Abstract
New thiazolidine-4-one derivatives based on the 4-aminophenazone (4-amino-2,3-dimethyl-1-phenyl-3-pyrazolin-5-one) scaffold have been synthesized as potential anti-inflammatory drugs. The pyrazoline derivatives are known especially for their antipyretic, analgesic and anti-inflammatory effects, but recently there were synthesized new compounds with important antioxidant, antiproliferative, anticancer and antidiabetic activities. The beneficial effects of these compounds are explained by nonselective inhibition of cyclooxygenase izoenzymes, but also by their potential scavenging ability for reactive oxygen and nitrogen species. The structure of the new compounds was proved using spectroscopic methods (FR-IR, 1H-NMR, 13C-NMR, MS). The in vitro antioxidant potential of the synthesized compounds was evaluated according to the ferric reducing antioxidant power, phosphomolydenum reducing antioxidant power, DPPH and ABTS radical scavenging assays. The chemical modulation of 4-aminophenazone (6) through linkage to thiazolidine-propanoic acid derivatives 5a–l led to improved antioxidant potential, all derivatives 7a–l being more active than phenazone. The most active compounds are the derivatives 7e, and 7k, which showed the higher antioxidant effect depending on the antioxidant assay considered.
1. Introduction
The pyrazolin-5-one scaffold occupies an important place in the nonsteroidal anti-inflammatory drug (NSAID) class, having drawn considerable attention from researchers due to its interesting biological activities. Since the first pyrazolin-5-one derivative, named antipyrine, as synthesized by Ludwig Knorr in 1883, many pyrazoles, pyrazolin-5-ones and pyrazolidine-3,5-diones have been developed [1,2,3]. The interesting antiinflammatory, analgesic, antipyretic [2], antirheumatic [4], antidiabetic [5], antioxidant [6], anticancer, antiproliferative [7,8], antifungal and antimicrobial effects [9] of these compounds have been reported. Some of them, such as phenylbutazone, dipyrone, propyfenazone, ramifenazone, suxibuzone, are important drugs with clinical use in the treatment of fever, arthritis, musculoskeletal and joint disorders [10].
Phenazone or antipyrine (2,3-dimethyl-1-phenyl-3-pyrazolin-5-one) is a well-known compound for its analgesic and antipyretic effecs, while its 4-amino derivative (4-amino-2,3-dimethyl-1-phenyl-3-pyrazolin-5-one) also has anti-inflammatory effects [11]. Concerning the mechanism of action, the pyrazolin-5-one derivatives are known as nonselective COX isoenzyme inhibitors which inhibit platelet thromboxane and prostanoid synthesis [11]. The biological effects of these compounds have also been attributed to their scavenging ability against reactive species. It is proven that phenazone has good scavenging ability for reactive oxygen species (ROS), especially for hydroxyl radicals, while 4-aminophenazone evidenced a higher scavenging ability for oxygen (peroxyl, hydroxyl, superoxide radicals) and also for nitrogen reactive species (nitric oxide, peroxynitrite) [12]. However, apart from the beneficial effects of pyrazoline derivatives, therapy with these compounds has been associated with several side effects. The most frequently reported side effects are skin rashes, gastrointestinal irritation, cardiovascular (agranulocytosis, blood dyscrasias) problems and renal injury [13].
In order to improve the safety profile and pharmacological effects of the classical anti-inflammatory drugs, in the last years research was been focused on chemical modulation of their structure with different heterocyclic systems such as thiazoles, thiadiazoles, triazoles and pyrimidines [14,15,16,17]. Among them the thiazolidine moiety seems to be an interesting system due to its own biological effects. Compounds with thiazolidine structures have been reported as anti-inflammatory and analgesic [18], antitubercular [19], antimicrobial and antifungal [20], antiviral (especially as anti-HIV agents [21]), anticancer, antioxidants [18], anticonvulsants [22] and antidiabetic agents [22,23]. In the present work, we report the synthesis, structural characterization and antioxidant activity of some new thiazolidine-4-one derivatives that contain a pyrazoline-5-one moiety.
2. Results and Discussion
2.1. Chemistry
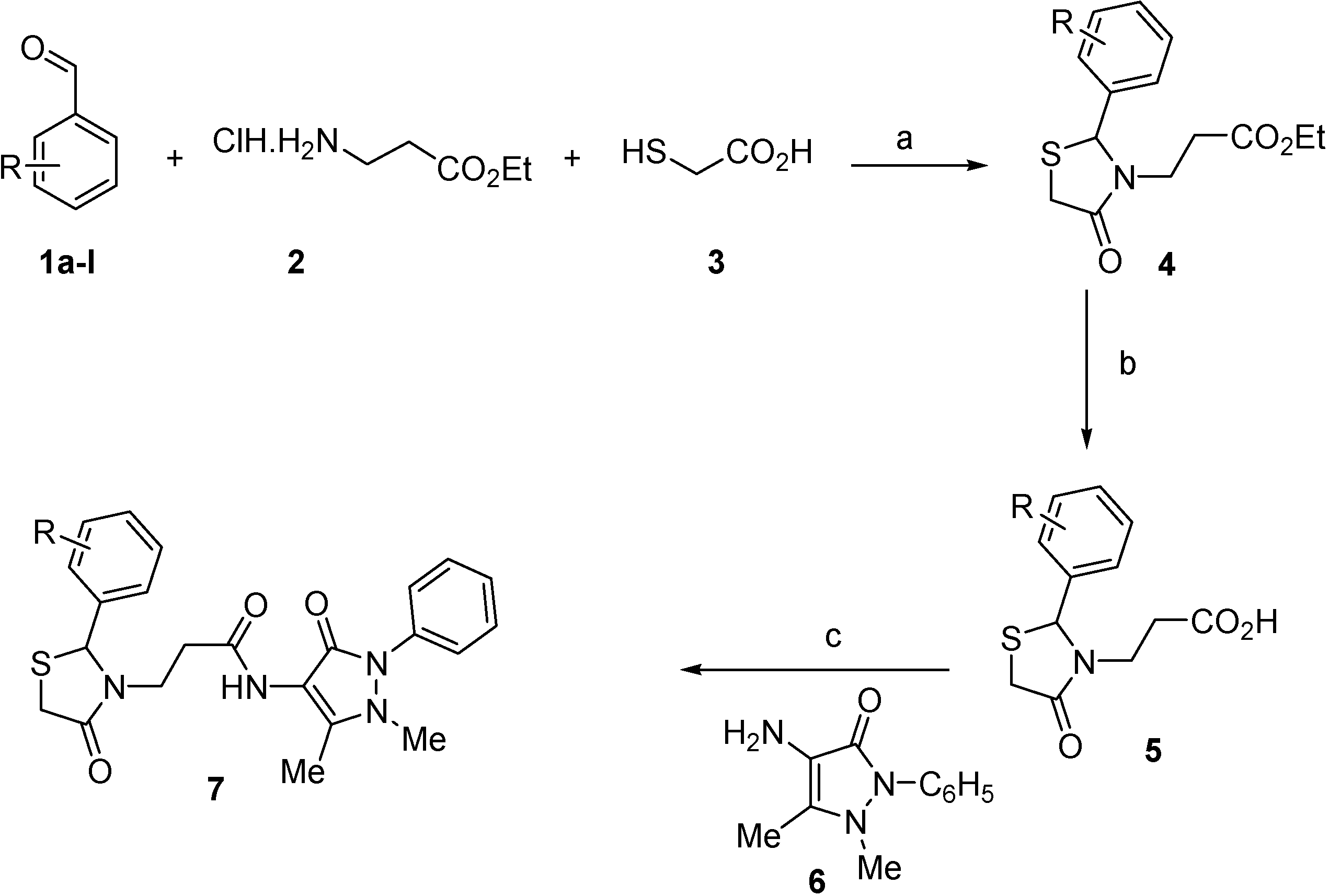
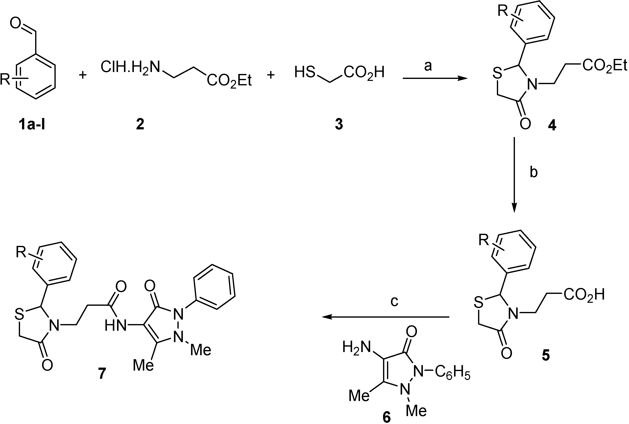
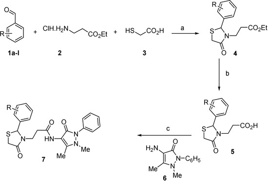
Synthesis of 1,3-thiazolidine-4-one derivatives 7a–l was carried out in several steps as is summarized in Scheme 1 and Table 1. Firstly, new ethyl 3-(2-aryl-4-oxo-thiazolidin-3-yl)-propionates 4a–l were obtained in moderate to good yields using a one-pot condensation/cyclization reactions between substituted aromatic aldehydes 1a–l, ethyl 3-aminopropionate hydrochloride (2) and mercaptoacetic acid (3). In the second step, the treatment of compounds 4 with KOH led to the corresponding acid derivatives 5a–l.
Scheme 1.
Synthesis of compounds 7.
Scheme 1.
Synthesis of compounds 7.

Reagents and conditions: (a) DIPEA, toluene, reflux 24–36 h; (b) KOH 1 M, EtOH/THF (1/1), r.t., 6–10 h then HCl 1 M; (c) HOBt, ECDI HCl, DCM; r.t., 8–12 h.
Table 1.
Synthesis of derivatives 4, 5 and 7.
| Entry | Product 4 | No., Yield | Product 5 | No., Yield | Product 7 | No., Yield |
|---|---|---|---|---|---|---|
| 1 | ![]() | 4a, 56% | ![]() | 5a, 56% | ![]() | 7a, 52% |
| 2 | ![]() | 4b, 46% | ![]() | 5b, 63% | ![]() | 7b, 74% |
| 3 | ![]() | 4c, 42% | ![]() | 5c, 70% | ![]() | 7c, 57% |
| 4 | ![]() | 4d, 76% | ![]() | 6d, 75% | ![]() | 7d, 92% |
| 5 | ![]() | 4e, 82% | ![]() | 6e, 79% | ![]() | 7e, 60% |
| 6 | ![]() | 4f, 72% | ![]() | 6f, 73% | ![]() | 7f, 75% |
| 7 | ![]() | 4g, 71% | ![]() | 6g, 83% | ![]() | 7g, 86% |
| 8 | ![]() | 4h, 95% | ![]() | 6h, 50% | ![]() | 7h, 62% |
| 9 | ![]() | 4i, 36% | ![]() | 6i, 55% | ![]() | 7i, 77% |
| 10 | ![]() | 4j, 56% | ![]() | 6j, 75% | ![]() | 7j, 62% |
| 11 | ![]() | 4k, 34% | ![]() | 6k, 60% | ![]() | 7k, 67% |
| 12 | ![]() | 4l, 77% | ![]() | 6l, 71% | ![]() | 7l, 66% |
In the last step, compounds 5a–l were reacted with 4-amino-phenazone (6) in presence of N-(3-dimethylaminopropyl)-N′-ethylcarbodiimide hydrochloride (ECDI·HCl) and 1-hydroxybenzotriazole (HOBt) to give new thiazolidine-4-one derivatives 7a–l with pyrazolin-5-one moieties.
The structures of the compounds was assigned on the basis of spectral data (IR, 1H-NMR, 13C-NMR, MS) which are provided in the Experimental Section. In the IR spectra of ethyl 3-(2-aryl-4-oxo-thiazolidin-3-yl)-propionates 4a–l the appearance of the C=O stretching band of the thiazolidine-4-one rings at 1676–1654 cm−1, together with the characteristic C-S absorption band at 648–632 cm−1 confirm the success of the cyclization reaction and the formation of the thiazolidine system. For these compounds the characteristic absorption band of the ester group appears in the 1728–1712 cm−1 region and this band disappears in the spectra of corresponding acids 5a–l in which the characteristic carboxyl group absorption band was observed in 1743–1662 cm−1 region. The characteristic absorption band of the amide bond appears in the spectra of pyrazoline-thiazolidine-4-one derivatives 7a–l in the 1686–1652 cm−1 region.
The formation of the thiazolidine-4-one heterocycle system has also been proved by the characteristic NMR data. In the 1H-NMR spectra of compounds 4a–l the CH (SCHN) proton resonates between 6.17–5.50 ppm as a singlet, doublet or multiplet, depending of the substitution of the phenyl ring. The protons of the methylene group (-CH2-S) appears as two sets of signals. One proton resonates as a multiplet between 3.82–3.47 ppm and the second one resonates as a doublet, doublet of doublets and doublet of triplets between 3.67–3.38 ppm. The carbons of the thiazolidine-4-one system appear in the 13C-NMR spectra between 64.17–58.26 ppm and 39.18–32.59 ppm, respectively.
The carboxyl group proton of the thiazolidine-propanoic acid derivatives 5a–l resonates as a singlet between 12.35–10.12 ppm. In the 1H-NMR spectra of the pyrazoline-thiazolidine-4-one derivatives 7a–l, the amide bond proton resonates as single, doublet or multiplet between 9.67–8.96 ppm. Moreover the presence of the pyrazoline system was proved by the proton signals of two methyl groups, which resonate as singlets at 3.12–3.08 ppm and 2.33–2.16 ppm, respectively. The carbons of the pyrazoline ring appear in the 13C-NMR spectra between 150.65–150.45 ppm and 108.38–107.83 ppm. The proton and carbon signals for other characteristic groups were all observed according to the expected chemical shift and integral values. This NMR spectral data, coupled with the corresponding mass spectra, lend strong support to the proposed structures of the all the synthesized compounds.
2.2. Biological Evaluation
2.2.1. Ferric Reducing Antioxidant Power (FRAP) Assay
The ferric reducing antioxidant power assay is a simple and sensitive method used to evaluate the antioxidant potential of compounds. In the presence of the electron-donating compounds, the potassium ferric/ferricyanide complex is reduced to its ferrous form (Fe2+) which is complexed with ferric chloride to form a blue colored complex. The amount of this complex is quantitatively determined by measuring the intensity of colour at 700 nm [24]. The reaction between the ferrous form and the ferric chloride is:
4FeCl3 + 3K4[Fe(CN)6] → Fe4[Fe(CN)6]3 + 12KCl
The absorbance value of the samples at different concentrations (10 mg/mL, 8 mg/mL, 6 mg/mL, 4 mg/mL, 2 mg/mL in DMSO) are presented in Figure 1. The results expressed as EC50 values (mg/mL) are shown in Table 2. Low EC50 values indicate a higher ferric reducing antioxidant power. As we expected, the absorbance of the sample increased with the concentration, which means that reducing power of the tested compounds is concentration-dependent. The analysis of the obtained data revealed that the chemical modulation of the pyrazoline-5-one moiety through introduction of thiazolidine-4-one rings via a propioanamide chain has a great influence on antioxidant potential; all tested compounds were more active than phenazone, which was used as reference. Because phenazone showed a very low absorbance at the same concentrations as the tested compounds 7a–l, an EC50 could not be determined for it. It was also observed that the activity of the tested compounds depends on the substituents on the thiazolidine-4-one phenyl ring. The most active compound was 7e, which has a 2-OCH3 substituent on the phenyl ring. This compound has EC50 = 0.122 ± 0.003, which means that it is about eight time more active than the unsubstituted compound 7a (EC50 = 0.9647 ± 0.0108). Good activity was also shown by compounds 7d (4-Br, EC5 = 0.4653 ± 0.0334), 7f (3-OCH3, EC50 = 0.5316 ± 0.0063) and 7l (4-CH3; EC50 = 0.5455 ± 0.0177), being about twice as active as 7a. The compounds 7h (2-NO2), 7i (3-NO2) and 7k (3-OCH3, 4-OH) also have good activity in reference to 7a. All tested compounds are less active than vitamin E at the same concentration used as positive control.
Figure 1.
The absorbance of the derivatives 7a–l in reference to phenazone.
Figure 1.
The absorbance of the derivatives 7a–l in reference to phenazone.

Table 2.
The ferric reducing antioxidant power (EC50, mg/mL) of the derivatives 7a–l.
| Sample | EC50, mg/mL | Sample | EC50, mg/mL |
|---|---|---|---|
| 7a | 0.9647 ± 0.0108 | 7g | 1.1080 ± 0.0256 |
| 7b | 1.0817 ± 0.0413 | 7h | 0.6895 ± 0.0132 |
| 7c | 0.9073 ± 0.0021 | 7i | 0.8648 ± 0.0322 |
| 7d | 0.4653 ± 0.0334 | 7j | 1.0634 ± 0.0441 |
| 7e | 0.1221 ± 0.0025 | 7k | 0.8042 ± 0.0130 |
| 7f | 0.5316 ± 0.0063 | 7l | 0.5455 ± 0.0177 |
| Phenazone | nd | Vitamin E | 0.0143 ± 0.0027 |
Data are mean ± SD (n = 3, p < 0.05).
2.2.2. Phosphomolydenum Reducing Antioxidant Power (PRAP) Assay
This assay is based on quantitative monitoring of phophomolybdenum blue complex which presents a maximum absorption band at 695 nm [25]. The absorbance value of the samples at different concentrations (1 mg/mL, 0.5 mg/mL, 0.25 mg/L, 0.125 mg/mL, 0.0625 mg/mL in DMSO) are presented in Figure 2. The results expressed as EC50 values (mg/mL) are shown in Table 3. Low values of EC50 demonstrate a higer phosphomolydenum reducing antioxidant power.
The data of this assay also support the conclusion that the antioxidant activity of the tested compound increases with concentration and that all tested compounds are more active than phenazone. It was observed that the presence of a 2-OCH3 substituent on the thiazolidine-4-one phenyl ring also has a good influence on antioxidant properties, the corresponding compound 7e being the most active (EC50 = 0.0138 ± 0.0029). In comparison with the unsubstituted compound 7a (EC50 = 0.0153 ± 0.0010) this compound was slightly more active. The 4-CH3 and 2-NO2 substituents also had a good influence on the reducing antioxidant power, as the corresponding compounds 7l (EC50 = 00.0143 ± 0.0038) and 7h (0.0146 ± 0.0016) were also slightly more active than 7a. In this assay all the tested compounds were more active than vitamin E (0.0304 ± 0.0024) at the same concentrations used as positive control.
Figure 2.
The absorbance of the derivatives 7a–l in reference with phenazone.
Figure 2.
The absorbance of the derivatives 7a–l in reference with phenazone.

Table 3.
The phosphomolydenum reducing antioxidant power (EC50 mg/mL) of 7a–l.
| Sample | EC50 mg/mL | Sample | EC50 mg/mL |
|---|---|---|---|
| 7a | 0.0153 ± 0.0010 | 7g | 0.0222 ± 0.0043 |
| 7b | 0.0223 ± 0.0019 | 7h | 0.0146 ± 0.0016 |
| 7c | 0.0209 ± 0.0020 | 7i | 0.0220 ± 0.0016 |
| 7d | 0.0248 ± 0.0020 | 7j | 0.0182 ± 0.0080 |
| 7e | 0.0138 ± 0.0029 | 7k | 0.0163 ± 0.0025 |
| 7f | 0.0166 ± 0.0017 | 7l | 0.0143 ± 0.0038 |
| Phenazone | nd | Vitamin E | 0.0304 ± 0.0024 |
Data are mean ± SD (n = 3, p < 0.05).
2.2.3. DPPH Radical Scavenging Assay
DPPH (1,1-diphenyl-2-picrylhydrazyl) is a well-known radical which reacts with different antioxidant compounds whereby its deep violet color in methanol solution changes to yellow. The antioxidant effect is monitored by the decreasing intensity of the absorption band centered at about 515 nm [26]. The DPPH radical scavenging ability (%) of samples at different concentrations (20 mg/mL, 10 mg/mL, 5 mg/mL, 2.5 mg/mL, 1.25 mg/mL, 0.625 mg/mL in DMSO) is presented in Figure 3. Higher scavenging ability values indicate a higher radical scavenging effectiveness. The results expressed as EC50 values (mg/mL) are shown in Table 4. Low values of EC50 demonstrate a higher scavenging ability.
Figure 3.
The DPPH radical scavenging ability (%) of the derivatives 7a–l.
Figure 3.
The DPPH radical scavenging ability (%) of the derivatives 7a–l.

Table 4.
The DPPH scavenging ability (EC50 mg/mL) of the derivatives 7a–l.
| Sample | EC50 mg/mL | Sample | EC50 mg/mL |
|---|---|---|---|
| 7a | 0.3050 ± 0.0026 | 7g | 0.3542 ± 0.0049 |
| 7b | 0.6161 ± 0.0069 | 7h | 0.1858 ± 0.0031 |
| 7c | 0.5892 ± 0.0099 | 7i | 0.0943 ± 0.0016 |
| 7d | 0.2056 ± 0.0029 | 7j | 0.0849 ± 0.0043 |
| 7e | 0.1685 ± 0.0005 | 7k | 0.0390 ± 0.0006 |
| 7f | 0.1513 ± 0.0020 | 7l | 0.2017 ± 0.0025 |
| Phenazone | nd | Vitamin E | 0.0011 ± 0.0002 |
Data are mean ± SD (n = 3, p < 0.05).
The chemical modulation of the pyrazoline-5-one ring through introduction of thiazolidine-4-one rings via a propioanamide chain improves the DPPH radical scavenging ability, as all tested compounds were more active than phenazone. For phenazone at 20 mg/mL (488 µg/mL in the tube test) DPPH scavenging ability was only 5.19% ± 0.40%. The scavenging ability depends on the phenyl ring substituent of the thiazolidine-4-one. Among the tested compounds the most active was 7k (3-OCH3, 4-OH,) with EC50 = 0.0390 ± 0.0006, this compound being about eight time more active than the unsubstituted compound 7a (EC50 = 0.3050 ± 0.0026). A high influence was also shown by the substituents 3-OH/4-OCH3 and 3-NO2, as the corresponding compounds 7j (EC50 = 0.0849 ± 0.0043) and 7i (EC50 = 0.0943 ± 0.0016) were 3.6 and 3.2 times more active than 7a respectively. Good scavenging ability was also shown by 7f (EC50 = 0.1513 ± 0.0020), 7e (EC50 = 0.1685 ± 0.0005), 7h (EC50 = 0.1858 ± 0.0031), 7l (EC50 = 0.2017 ± 0.0025) and 7d (EC50 = 0.2056 ± 0.0029), the compounds being about twice (7f, 7e, 7h) and 1.5 times (7l, 7d) more active than 7a, respectively. All tested compounds were less active than the vitamin E at the same concentration used as positive control.
2.2.4. The ABTS Radical Scavenging Assay
The ABTS (2,2'-azino-bis(3-ethylbenzothiazoline-6-sulfonic acid) radical scavenging assay is a rapid and efficient method, based on the ability of the hydrogen donating antioxidants to scavenge the long-life radical cation ABTS+. The ABTS+ is generated by the reaction between 2,2'-azino-bis(3-ethylbenzothiazoline-6-sulfonic acid) and ammonium persulfate. The scavenging ability of the compounds is monitored by the decrease of the intensity of the blue colour of the ABTS+ species which presents a maximum absorption band centered at about 734 nm [27].
The ABTS radical scavenging ability (%) of samples at different concentrations (20 mg/mL, 10 mg/mL, 5 mg/mL, 2.5 mg/mL, 1.25 mg/mL, 0.625 mg/mL in DMSO) is presented in Figure 4. Higher scavenging ability values indicate a higher potential radical scavenging effectiveness. The results expressed as EC50 values (mg/mL) are shown in Table 5. Low EC50 values indicate a higher scavenging ability.
Figure 4.
The ABTS radical scavenging ability (%) of the derivatives 7a–l.
Figure 4.
The ABTS radical scavenging ability (%) of the derivatives 7a–l.

Table 5.
The ABTS scavenging ability (EC50 mg/mL) of the derivatives 7a–l.
| Sample | EC50 mg/mL | Sample | EC50 mg/mL |
|---|---|---|---|
| 7a | 0.9340 ± 0.0251 | 7g | 0.6677 ± 0.0160 |
| 7b | 0.8874 ± 0.0322 | 7h | 0.4074 ± 0.0012 |
| 7c | 0.7020 ± 0.0372 | 7i | 0.1729 ± 0.0020 |
| 7d | 0.2960 ± 0.0067 | 7j | 0.2190 ± 0.0097 |
| 7e | 0.0671 ± 0.0010 | 7k | 0.4570 ± 0.0113 |
| 7f | 0.6800 ± 0.0191 | 7l | 0.4556 ± 0.0050 |
| Phenazone | nd | Vitamin E | 0.0072 ± 0.0002 |
Data are mean ± SD (n = 3, p < 0.05).
From the data presented in Figure 4 it is obvious that the ABTS radical scavenging ability of all tested compounds 7a–l are higher than that of phenazone, which at 20 mg/mL (500 µg/mL in the tube test) showed a scavenging ability of 7.45 ± 0.33%. Moreover, the phenyl ring substitution of the thiazolidine-4-one improves the scavenging ability, as all substituted compounds 7b–l were more active than 7a. The most active compound was 7e (2-OCH3, EC50 = 0.0671 ± 0.0010) which was 14 times more active than 7a (EC50 = 0.9340 ± 0.0251). Very good scavenging ability was also shown by 7i (3-NO2, EC50 = 0.1729 ± 0.0020), 7j (3-OH, 4-OCH3, 0.2190 ± 0.0097) and 7d (4-Br, 0.2960 ± 0.0067); these compounds were about 5.5, 4 and 3 times more active, respectively, than 7a. At the same concentration all tested compounds are less active than vitamin E used as positive control.
3. Experimental Section
3.1. General Experimental Procedures
The melting points were measured using a Buchi Melting Point B-540 apparatus (Büchi Labortechnik AG, Postfach, Switzerland) and they are uncorrected. The FT-IR spectra were recorded on Horizon MBTM FT-IR (ABB Analytical Measurement, Québec, Canada), over a 500–4000 cm−1 range, after 32 scans at a resolution of 4 cm−1. The spectra processing was carried out with the Horizon MBTM FTIR Software. The 1H-NMR and 13C-NMR spectra were obtained on a Bruker Avance400 MHz Spectrometer (Brucker, Wissemboug, France) using tetramethylsilane as internal standard and CDCl3 as solvent, unless otherwise specified. The chemical shifts are shown in δ values (ppm). The mass spectra were registered using a Bruker MaXis Ultra-High Resolution Quadrupole Time-of-Flight Mass Spectrometer (Brucker Daltonik GmbH, Bremen, Germany). The progress of reaction was monitored on TLC, using pre-coated Kieselgel 60 F254 plates (Merck KGaA, Darmstadt, Germany) and the compounds were visualized using UV light.
3.2. Synthetic Procedures
3.2.1. Preparation of Ethyl 3-(2-Aryl-4-oxo-thiazolidin-3-yl)-propionates 4a–l
To a solution of ethyl 3-aminopropionate hydrochloride 2 (10 mmol) in freshly distilled toluene (15 mL), aromatic aldehydes (15 mmol) were added under an inert atmosphere according to the procedure described for other compounds [28]. The mixture was stirred for 5 min and mercaptoacetic acid 3 (20 mmol) was added. After 5 min, N,N-diisopropylethylamine (DIPEA, 13 mmol) was added and then the mixture was heated at 110–115 °C for 36 h until completion of the reaction (TLC monitoring, using ethyl acetate/petroleum ether, 4:6, v/v, UV light at 254 nm). The mixture was neutralized with saturated solution of sodium bicarbonate and extracted with ethyl acetate (2 × 25 mL). The organic layer was separated and washed with hydrochloric acid 1M and then with saturated solution of sodium chloride. Finally, the organic layer was dried over MgSO4 and filtered. The solvent was removed under reduced pressure and the residue was purified on a silica gel column using ethyl acetate/petroleum ether (4:6, v/v) as eluent system.
Ethyl 3-(2-phenyl-4-oxothiazolidin-3-yl)propanoate (4a). Yield: 56%, yellow liquid; IR (ATR diamond, cm−1): 2980 (CHAr), 1728 (COester), 1674 (COthiazolidine-4-one), 639 (C-S); 1H-NMR: 7.38–7.26 (m, 5H, Ar-H), 5.71 (s, 1H, CH), 4.10–4.02 (m, 2H, CH2CH3), 3.79–3.69 (m; 1H, CH2S; 1H, CH2N) 3.63 (dt, J = 15.6, 1.7Hz, 1H, CH2S), 3.05 (dtd, J = 14.1, 7.1, 1.7 Hz, 1H, CH2N), 2.66–2.56 (m, 1H, CH2CO), 2.40–2.31 (m, 1H, CH2CO), 1.2 (tt, J = 7.1, 1.7 Hz, 3H, CH3); 13C-NMR: 171.40, 171.35 (2C, CO), 139.54 (CAr), 129.19 (2C, CHAr), 129.09 (2C, CHAr), 127.00 (CHAr), 63.82 (CH), 60.75 (CH2CH3), 39.08 (CH2S), 32.63 (CH2N), 31.92 (CH2CO), 14.12 (CH3); HRMS (EI-MS): m/z Calcd for C14H17NO3S: 280.1002 [M+H]+, Found: 280.1004 [M+H]+.
Ethyl 3-[2-(4-chlorophenyl)-4-oxothiazolidin-3-yl]propanoate (4b). Yield: 46%, colorless liquid, IR (ATR diamond, cm−1): 2980 (CHAr), 1727 (COester), 1674 (COthiazolidine-4-one), 767 (C-Cl), 622 (C-S) [29]; 1H-NMR: 7.22–7.09 (m, 4H, Ar-H), 5.59 (d, J = 2.0 Hz, 1H, CH), 3.92 (q, J = 7.1 Hz, 2H, CH2CH3), 3.67–3.52 (m; 1H, CH2S, 1H, CH2N), 3.48 (d, J = 15.5 Hz, 1H, CH2S), 2.88 (dt, J = 14.2, 7.2 Hz, 1H, CH2N), 2.48 (dt, J = 16.6, 7.2 Hz, 1H, CH2CO), 2.23(dt, J = 16.6, 6.3 Hz, 1H, CH2CO), 1.05 (t, J = 7.2 Hz, 3H, CH3); 13C-NMR: 171.15, 171.01 (2C, CO), 138.28, 134.66 (2C, CAr), 129.12 (2C, CHAr), 128.46 (CHAr), 62.88 (CH), 60.61 (CH2CH3), 38.91 (CH2S), 32.37 (CH2N), 31.80 (CH2CO), 14.03 (CH3); HRMS (EI-MS): m/z Calcd for C14H16ClNO3S: 314.0612 [M+H]+, Found: 314.0614 [M+H]+.
Ethyl 3-[2-(4-fluorophenyl)-4-oxothiazolidin-3-yl]propanoate (4c). Yield: 42%, colorless liquid, IR (ATR diamond, cm−1): 2981 (CHAr), 1727 (COester), 1674 (COthiazolidine-4-one), 1155 (C-F), 636 (C-S) [29]; 1H-NMR: 7.33–7.25 (m, 2H, Ar-H), 7.03 (t, J = 8.6 Hz, 2H, Ar-H), 5.71 (d, J = 2.0 Hz, 1H, CH), 4.06 (qd, J = 7.1, 0.9 Hz, 2H, CH2CH3 ), 3.77–3.59 (m; 2H, CH2S; 1H, CH2N), 3.01 (dt, J = 14.3, 7.1 Hz, 1H, CH2N), 2.60 (dt, J = 16.4, 7.1 Hz, 1H, CH2CO), 2.34 (dt, J = 16.4, 6.3 Hz, 1H, CH2CO), 1.22–1.13 (m, 3H, CH3); 13C-NMR: 171.32, 171.17 (2C, CO), 164.14/161.67, 135.31/135.28 (2C, CAr), 129.05, 128.96 (2C, CHAr), 116.11, 115.90 (2C, CHAr), 63.10 (CH), 60.72 (CH2CH3), 38.90 (CH2S), 32.50 (CH2N), 31.84 (CH2CO), 14.03 (CH3); HRMS (EI-MS): m/z Calcd for C14H16FNO3S: 298.0900 [M+H]+, Found: 298.0909 [M+H]+.
Ethyl 3-[2-(4-bromophenyl)-4-oxothiazolidin-3-yl]propanoate (4d). Yield: 76%, light yellow liquid; IR (ATR diamond, cm−1): 2979 (CHAr), 1727 (COester), 1674 (COthiazolidine-4-one), 625 (C-S) [29]; 1H-NMR: 7.39 (dd, J = 8.5, 1.9 Hz, 2H, Ar-H), 7.11 (dd, J = 8.5, 1.9 Hz, 2H, Ar-H), 5.62 (d, J = 1.9 Hz, 1H, CH), 4.01–3.94 (m, 2H, CH2CH3), 3.68–3.58 (m;1H, CH2S; 1H, CH2N), 3.57–3.50 (m, 1H, CH2S), 2.93 (m, 1H, CH2N), 2.58–2.49 (m, 1H, CH2CO), 2.34–2.23 (m, 1H, CH2CO), 1.11 (td, J = 7.1, 1.9 Hz, 3H, CH3); 13C-NMR: 171.38, 171.27 (2C, CO), 138.90, 123.14 (2C, CAr), 132.29 (2C, CHAr), 128.88 (2C, CHAr), 63.20 (CH), 60.85 (CH2CH3), 39.11 (CH2N), 32.59 (CH2S), 32.01 (CH2CO), 14.23 (CH3); HRMS (EI-MS): m/z Calcd for C14H16BrNO3S: 358.0107 [M+H]+, Found: 358.0106 [M+H]+.
Ethyl 3-[2-(2-methoxyphenyl)-4-oxothiazolidin-3-yl]propanoate (4e). Yield: 82%, yellow liquid; IR (ATR diamond, cm−1): 2979 (CHAr), 1727 (COester), 1674 (COthiazolidine-4-one), 644 (C-S) [29]; 1H-NMR (400 MHz, CDCl3, δ ppm): 7.19 (ddd, J = 8.3, 7.5, 1.7 Hz, 1H, Ar-H), 7.01 (dd, J = 7.5, 1.7 Hz, 2H, Ar-H), 6.87–6.79 (m, 1H, Ar-H), 5.94 (d, J = 2.0 Hz, 1H, CH), 4.02–3.95 (m, 2H, CH2CH3), 3.80–3.71 (m; 3H, OCH3; 1H, CH2N), 3.59 (dd, J = 15.4, 2.0 Hz, 1H, CH2S), 3.44 (d, J = 15.4 Hz, 1H, CH2S), 2.97 (dt, J = 14.2, 7.4 Hz, 1H, CH2N), 2.54 (dt, J = 16.5, 7.4 Hz, 1H, CH2CO), 2.34 (ddd, J = 16.4, 7.4, 6.0 Hz, 1H, CH2CO), 1.11 (t, J = 7.4 Hz, CH3); 13C-NMR: 171.72, 170.93 (2C, CO), 156.63, 127.37 (2C, CAr), 129.64, 126.33, 120.53, 110.85 (4C, CHAr), 60.35 (CH2CH,3), 58.26 (CH), 55.30 (CH3O), 39.00 (CH2S), 32.11 (CH2N), 31.77 (CH2CO), 13.84 (CH3); HRMS (EI-MS): m/z Calcd for C15H19NO4S: 310.1107 [M+H]+, Found: 310.1111 [M+H]+.
Ethyl 3-[2-(3-methoxyphenyl)-4-oxothiazolidin-3-yl]propanoate (4f). Yield: 72%, slightly yellow liquid; IR (ATR diamond, cm−1): 2979 (CHAr), 1727 (COester), 1674 (COthiazolidine-4-one), 645 (C-S); 1H-NMR: 7.29 (t, J = 7.9 Hz, 1H, Ar-H), 6.88 (ddd, J = 7.9, 3.0, 1.6 Hz, 2H, Ar-H), 6.84 (t, J = 2.0 Hz, 1H, Ar-H), 5.71 (d, J = 2.0 Hz, 1H, CH), 4.10 (qd, J = 7.2, 1.0 Hz, 2H, CH2CH3), 3.82–3.75 (m; 3H, OCH3; 1H, CH2-N; 1H, CH2S), 3.67 (d, J = 15.6 Hz, 1H, CH2S), 3.11 (dt, J = 14.2, 7.2 Hz, 1H, CH2N), 2.64 (dt, J = 16.2, 7.2 Hz, 1H, CH2CO), 2.41 (dt, J = 16.2, 6.4 Hz, 1H, CH2CO), 1.23 (t, J = 7.2 Hz, 3H, CH3); 13C-NMR: 171.55, 171.38 (2C, CO), 160.16, 141.12 (2C, CAr), 130.21, 119.13, 114.61, 112.43 (4C, CHAr), 63.82 (CH), 60.80 (CH2CH3), 55.33 (CH3O), 39.18 (CH2S), 32.64 (CH2N), 31.95 (CH2CO), 14.13 (CH3); HRMS (EI-MS): m/z Calcd for C15H19NO4S: 310.1108 [M+H]+, Found: 310.1110 [M+H]+.
Ethyl 3-[2-(4-methoxyphenyl)-4-oxothiazolidin-3-yl]propanoate (4g). Yield: 71%, light yellow liquid; IR (ATR diamond, cm−1): 2979 (CHAr), 1728 (COester), 1673 (COthiazolidine-4-one), 628 (C-S) [29]; 1H-NMR: 7.09–7.05 (m, 2H, Ar-H), 6.70–6.66 (m, 2H, Ar-H), 5.50 (d, J = 1.9 Hz, 1H, CH), 3.89–3.83 (m, 2H, CH2CH3), 3.57–3.55 (m, 3H, OCH3), 3.53–3.47 (m; 1H, CH2S; 1H, CH2N), 3.42 (dd, J = 15.6, 2.8 Hz, 1H, CH2S), 2.91–2.82 (m, 1H, CH2N), 2.40 (m, 1H, CH2CO), 2.19–2.10 (m, 1H, CH2CO), 1.02–0.97 (m, 3H, CH3); 13C-NMR: 171.67, 170.99 (2C, CO), 160.06, 130.67 (2C, CAr), 128.10 (2C, CHAr), 113.81 (2C, CHAr), 62.86 (CH), 60.04 (CH2CH3), 54.70 (CH3O), 38.35 (CH2S), 32.09 (CH2N), 31.29 (CH2CO), 13.57 (CH3); HRMS (EI-MS): m/z Calcd for C15H19NO4S: 310.1108 [M+H]+, Found: 310.1110 [M+H]+.
Ethyl 3-[2-(2-nitrophenyl)-4-oxothiazolidin-3-yl]propanoate (4h). Yield: 95%, yellow liquid; IR (ATR diamond, cm−1): 2981 (CHAr), 1726 (COester), 1676 (COthiazolidine-4-one), 641 (C-S), 1524 (sim NO2), 1343 (asim NO2); 1H-NMR: 7.92 (dt, J = 8.0, 2.4 Hz, 1H, Ar-H), 7.61–7.54 (m, 1H, Ar-H), 7.40–7.33 (m, 1H, Ar-H), 7.19 (dq, J = 8.0, 1.5 Hz, 1H, Ar-H), 6.17 (t, J = 1.9 Hz, 1H, CH), 3.88 (dd, J = 7.2, 3.8 Hz, 2H, CH2CH3), 3.83–3.73 (m, 1H, CH2N), 3.55–3.47 (m, 1H, CH2S), 3.38 (dd, J = 15.8, 3.8 Hz, 1H, CH2S), 2.93–2.83 (m, 1H, CH2N), 2.56–2.45 (m, 1H, CH2CO), 2.43–2.32 (m, 1H, CH2CO), 1.05–0.98 (m, 3H, CH3); 13C-NMR: 171.81, 170.79 (2C, CO), 146.62, 136.28 (2C, CAr), 134.18, 128.81, 125.65, 125.26 (4C, CHAr), 60.31 (CH2CH3), 58.42 (CH), 38.99 (CH2S), 31.59 (CH2CO), 30.82 (CH2N), 13.58 (CH3); HRMS (EI-MS): m/z Calcd for C14H16N2O5S: 325.0853 [M+H]+, Found: 325.0854 [M+H]+.
Ethyl 3-[2-(3-nitrophenyl)-4-oxothiazolidin-3-yl]propanoate (4i). Yield: 36%, white solid, m.p. 84–85 °C; IR (ATR diamond, cm−1): 2982 (CHAr), 1727 (COester), 1676 (COthiazolidine-4-one), 1528 (sym. NO2), 1349 (asym. NO2), 639 (C-S); 1H-NMR: 8.15–8.04 (m, 2H, Ar-H), 7.63 (dt, J = 8.0, 1.4 Hz, 1H, Ar-H), 7.52 (t, J = 7.8 Hz, 1H, Ar-H), 5.83 (d , J = 2.0 Hz, 1H, CH), 3.99 (d, J = 7.2 Hz, 2H, CH2CH3), 3.79–3.66 (m; 1H, CH2S; 1H, CH2N), 3.59 (d, J = 15.6 Hz,1H, CH2S), 3.01–2.89 (m, 1H, CH2N), 2.64–2.53 (m, 1H, CH2CO), 2.35 (m, 1H, CH2CO), 1.11 (t, J = 7.2 Hz, 3H, CH3); 13C-NMR: 171.12, 170.98 (2C, CO), 148.31, 142.16 (2C, CAr), 132.85, 130.05, 123.73, 121.82 (4C, CHAr), 62.43 (CH), 60.59 (CH2CH3), 38.85 (CH2S), 32.14 (CH2N), 31.64 (CH2CO), 13.83 (CH3); HRMS (EI-MS): m/z Calcd for C14H16N2O5S: 325.0852 [M+H]+, Found: 325.0853 [M+H]+.
Ethyl 3-{2-[(3-hydroxy-4-methoxy)phenyl]-4-oxothiazolidin-3-yl}propanoate (4j). Yield: 56%, white solid, m.p. 74–75 °C; IR (ATR diamond, cm−1): 3422 (OH), 2930 (CHAr), 1712 (COester), 1654 (COthiazolidine-4-one), 648 (C-S); 1H-NMR: 6.83 (d, J = 1.5 Hz, 1H, Ar-H), 6.76–6.72 (m, 2H, Ar-H; s, 1H, OH), 5.58 (d, J = 1.5 Hz, 1H, CH), 4.05–3.99 (m, 2H, CH2CH3), 3.79 (s, 3H, OCH3), 3.73–3.63 (m; 1H CH2S; 1H, CH2N), 3.58 (d, J = 15.6 Hz, 1H, CH2S), 3.04 (dt, J = 14.2, 7.2 Hz, 1H, CH2N), 2.58–2.48 (m, 1H, CH2CO), 2.32 (dt, J = 16.3, 6.5 Hz, 1H, CH2CO), 1.15 (t, J = 7.2 Hz, 3H, CH3); 13C-NMR: 171.35, 171.26 (2C, CO), 147.59, 146.33, 131.85 (3C, CAr), 118.77, 113.17, 110.79 (3C, CHAr), 63.59 (CH), 60.61 (CH2CH3), 55.82 (OCH3), 38.83 (CH2S), 32.49 (CH2N), 31.67 (CH2CO), 13.90 (CH3); HRMS (EI-MS): m/z Calcd for C15H19NO5S: 326.10577 [M+H]+, Found: 326.1059 [M+H]+.
Ethyl 3-{2-[(3-methoxy-4-hydroxy)phenyl]-4-oxothiazolidin-3-yl}propanoate (4k). Yield: 34%, white solid, m.p. 134–135 °C; IR (ATR diamond, cm−1): 3222 (OH), 2999 (CHAr), 1719 (COester), 1657 (COthiazolidine-4-one), 643 (C-S); 1H-NMR: 6.92–6.83 (m, 3H, Ar-H), 6.00 (s, 1H, OH), 5.71–5.68 (m, 1H, CH), 4.15–4.08 (m, 2H, CH2CH3), 3.90 (s, 3H, OCH3), 3.81–3.67 (m; 2H, CH2S; 1H, CH2N), 3.12 (dt, J = 14.2, 7.1 Hz, 1H, CH2N), 2.63 (dt, J = 16.3, 7.2 Hz, 1H, CH2CO), 2.39 (ddd, J = 16.3, 6.9, 6.0 Hz, 1H, CH2CO), 1.25 (t, J = 7.1 Hz, 3H, CH3); 13C-NMR: 171.40, 171.36 (2C, CO), 147.27, 146.69, 130.64 (3C, CAr), 120.79, 114.53, 109.22 (3C, CHAr), 64.17 (CH), 60.82 (CH2CH3), 56.06 (OCH3), 39.00 (CH2S), 32.85 (CH2N), 31.91 (CH2CO), 14.13 (CH3); HRMS (EI-MS): m/z Calcd for C15H19NO5S: 326.1057 [M+H]+, Found: 326.1059 [M+H]+.
Ethyl 3-[2-(4-methylphenyl)-4-oxothiazolidin-3-yl]propanoate (4l). Yield: 77%, colorless liquid; IR (ATR diamond, cm−1): 2980 (CHAr), 1728 (COester), 1674 (COthiazolidine-4-one), 632 (S-C); 1H-NMR: 7.19 (q, J = 8.2 Hz, 4H, Ar-H), 5.71 (d, J = 2.0 Hz, 1H, CH), 4.09 (qd, J =7.1, 1.3 Hz, 2H, CH2CH3), 3.80–3.71 (m; 1H, CH2S; 1H, CH2N), 3.64 (d, J = 15.5 Hz, 1H, CH2S), 3.08 (dt, J = 14.2, 7.1 Hz, 1H, CH2N), 2.62 (dt, J = 16.3, 7.2 Hz, 1H, CH2CO), 2.41–2.36 (m, 1H, CH2CO), 2.34 (s, 3H, CH3), 1.22 (t, J = 7.2 Hz, 3H, CH3); 13C-NMR: 171.12, 171.10 (2C, CO), 138.94, 136.27 (2C, CAr), 129.55 (2C, CHAr), 126.84 (2C, CHAr), 63.47 (CH), 60.51 (CH2CH3), 38.82 (CH2S), 32.47 (CH2N), 31.72 (CH2CO), 21.00, 13.94 (2C, CH3); HRMS (EI-MS): m/z Calcd for C15H19NO3S: 294.1158 [M+H]+, Found: 294.1161 [M+H]+.
3.2.2. Preparation of 3-(2-Aryl-4-oxothiazolidin-3-yl)-propanoic Acids 5a–l
To a solution of ethyl 3-(2-aryl-4-oxothiazolidin-3-yl)-propanate 4a–l (13.2 mmol) in a mixture of EtOH and THF (1:1, 25 mL:25 mL), potassium hydroxide 1 M (26 mmol) was added according to the procedure for alkaline hydrolysis of esters [30]. The mixture of reaction was stirred for 6–10 h at room temperature until completion of the reaction (TLC monitoring, using ethyl acetate/petroleum ether, 4:6, v/v, UV light at 254 nm). After that, the mixture was neutralized with hydrochloric acid 1 M to pH 2, stirred again for another 20 min and finally extracted with ethyl acetate (2 × 25 mL). The organic layer was dried over MgSO4 and filtered. The solvent was removed under reduced pressure and the residue was triturated with ethyl ether.
3-(2-Phenyl-4-oxothiazolidin-3-yl)propanoic acid (5a). Yield: 56%, white solid, m.p. 124 °C; IR (ATR diamond, cm−1): 3063 (OH), 1741 (COOH), 1725 (COthiazolidine-4-one), 699 (C-S); 1H-NMR: 11.00–10.88 (m, 1H, COOH), 7.42–7.29 (m, 5H, Ar-H), 5.74 (d, 1H, CH), 3.81(dd, J = 15.7, 2.0 Hz, 1H, CH2S), 3.78–3.68 (m; 1H, CH2S; 1H, CH2N), 3.10 (dt, J = 14.2, 7.1 Hz, 1H, CH2N), 2.69 (dt, J = 16.9, 7.2 Hz, 1H, CH2CO), 2.43 (dt, J = 16.9, 6.4 Hz, 1H, CH2CO); 13C-NMR: 175.99, 171.10 (2C, CO), 139.15 (CAr), 129.41 (2C, CHAr), 129.20 (2C, CHAr), 127.14 (CHAr), 64.90 (CH), 39.05 (CH2S), 32.76 (CH2N), 31.63 (CH2CO); HRMS (EI-MS): m/z Calcd for C12H14NO3S: 252.0691 [M+H]+, Found: 252.0691 [M+H]+.
3-[2-(4-Chlorophenyl)-4-oxothiazolidin-3-yl]propanoic acid (5b). Yield: 63%, white solid, m.p. 125–126 °C; IR (ATR diamond, cm−1): 3088 (OH), 1742 (COOH), 1724 (COthiazolidine-4-one), 768 (C-Cl), 622 (C-S); 1H-NMR: 10.17 (s, 1H, COOH), 7.57–7.11 (m, 4H, Ar-H), 5.75 (s, 1H, CH), 3.88–3.65 (m; 2H, CH2S; 1H, CH2N), 3.18–3.03 (m, 1H, CH2N), 2.75–2.64 (m, 1H, CH2CO), 2.52–2.30 (s, 1H, CH2CO); 13C-NMR: 176.11, 172.08 (2C, CO), 138.87, 135.36 (2C, CAr), 129.54 (2C, CHAr), 128.68 (2C, CHAr), 63.62 (CH), 39.13 (CH2S), 32.77 (CH2N), 31.76 (CH2CO); HRMS (EI-MS): m/z Calcd for C12H13ClNO3S: 286.0299 [M+H]+, Found: 286.0300 [M+H]+.
3-[2-(4-Fluorophenyl)-4-oxothiazolidin-3-yl]propanoic acid (5c). Yield: 70%, white solid, m.p. 94–95 °C; IR (ATR diamond, cm−1): 3076 (OH), 1743 (COOH), 1724 (COthiazolidine-4-one), 1223 (C-F), 623 (C-S); 1H-NMR: 10.69 (s, 1H, COOH), 7.34 (dd, J = 7.5, 4.0 Hz, 2H, Ar-H), 7.15–7.06 (m, 2H, Ar-H), 5.77 (s, 1H, CH), 3.86–3.69 (m; 2H, CH2S; 1H CH2N), 3.11 (dd, J = 14.4, 7.1 Hz, 1H, CH2N), 2.77–2.65 (m, 1H, CH2CO), 2.46 (dd, J = 14.4, 7.8 Hz, 1H, CH2CO); 13C-NMR: 176.06, 172.10 (2C, CO), 164.44/161.96, 134.98/134.96 (2C, CAr), 129.35, 129.29 (2C, CHAr), 116.42, 116.40 (2C, CHAr), 63.65 (CH), 39.06 (CH2S), 32.81 (CH2N), 31.73 (CH2CO); HRMS (EI-MS): m/z Calcd for C12H13FNO3S: 270.0595 [M+H]+, Found: 270.0596 [M+H]+.
3-[2-(4-Bromophenyl)-4-oxothiazolidin-3-yl]propanoic acid (5d). Yield: 75%, white solid, m.p. 116–117 °C; IR (ATR diamond, cm−1): 3083 (OH), 1741 (COOH), 1724 (COthiazolidine-4-one), 653 (C-Br), 621 (C-S); 1H-NMR: 10.12 (s, 1H, COOH), 7.52 (d, J = 8.1 Hz, 2H, Ar-H), 7.24–7.14 (m, 2H, Ar-H), 5.71 (d, J = 2.1 Hz, 1H, CH), 3.84–3.65 (m; 2H CH2S; 1H, CH2N), 3.07 (dt, J = 14.1, 7.0 Hz, 1H, CH2N), 2.69 (dt, J = 17.1, 7.0 Hz, 1H, CH2CO), 2.45 (dt, J = 16.9, 6.2 Hz, 1H, CH2CO); 13C-NMR: 176.10, 171.99 (2C, CO), 138.32, 132.40 (2C, CAr), 128.85 (2C, CHAr), 123.42 (2C, CHAr), 63.55 (CH), 39.04 (CH2S), 32.67 (CH2N), 31.71 (CH2CO); HRMS (EI-MS): m/z Calcd for C12H13BrNO3S: 329.9794 [M+H]+, Found: 329.9795 [M+H]+.
3-[2-(2-Methoxyphenyl)-4-oxothiazolidin-3-yl]propanoic acid (5e). Yield: 79%, brown sticky product; IR (ATR diamond, cm−1) 2940 (OH), 1724 (COOH), 1634 (COthiazolidine-4-one), 608 (C-S); 1H-NMR: 10.18 (s, 1H, COOH), 7.34–7.28 (m, 1H, Ar-H), 7.16–7.12 (m, 1H, Ar-H), 6.98–6.90 (m, 2H, Ar-H), 6.11–6.04 (m, 1H, CH), 3.85 (s, 3H, OCH3), 3.83–3.74 (m; 1H, CH2S, 1H, CH2N), 3.63 (d, J = 15.6 Hz, 1H, CH2S), 3.11 (dt, J = 14.3, 7.3 Hz, 1H, CH2N), 2.69 (dt, J = 16.9, 7.3 Hz, 1H, CH2CO), 2.55–2.46 (m, 1H, CH2CO); 13C-NMR: 175.48, 172.87 (2C, CO), 156.97, 127.13 (2C, CAr), 130.15, 126.98, 120.88, 111.17 (4C, CHAr), 59.07 (CH), 55.61 (OCH3), 39.20 (CH2S), 32.63 (CH2N), 31.70 (CH2CO); HRMS (EI-MS): m/z Calcd for C13H16NO4S: 282.0794 [M+H]+, Found: 282.0795 [M+H]+.
3-[2-(3-Methoxyphenyl)-4-oxothiazolidin-3-yl]propanoic acid (5f). Yield: 73%, white solid, m.p. 156 °C; IR (ATR diamond, cm−1): 2946 (OH), 1723 (COOH), 1627 (COthiazolidine-4-one), 645 (C-S); 1H-NMR (DMSO-d6): 12.34 (s, 1H, COOH), 7.36–7.30 (m, 1H, Ar-H), 6.93 (dt, J = 7.8, 1.6 Hz, 3H, Ar-H), 5.82 (d, J = 1.9 Hz, 1H, CH), 3.84 (dd, J = 15.6, 1.9 Hz, 1H, CH2S), 3.76 (s, 3H, OCH3), 3.68–3.59 (m; 1H, CH2S, 1H, CH2N), 2.85 (ddd, J = 14.4, 8.7, 6.2 Hz, 1H, CH2N), 2.57–2.50 (m, 1H, CH2CO), 2.28 (ddd, J = 16.4, 8.7, 5.9 Hz, 1H, CH2CO); 13C-NMR: 172.45, 170.72 (2C, CO), 159.60, 141.95 (2C, CAr), 130.16, 118.87, 114.19, 112.51 (4C, CHAr), 62.03 (CH), 55.19 (OCH3), 38.70 (CH2S), 31.78 (CH2N), 31.40 (CH2CO); HRMS (EI-MS): m/z Calcd for C13H16NO4S: 282.0794 [M+H]+, Found: 282.0797 [M+H]+.
3-[2-(4-Methoxyphenyl)-4-oxothiazolidin-3-yl]propanoic acid (5g). Yield: 83%; white solid, m.p. 108–110 °C; IR (ATR diamond, cm−1): 2929 (OH), 1730 (COOH), 1640 (COthiazolidine-4-one), 624 (C-S); 1H-NMR (DMSO-d6):12.35 (s, 1H, COOH), 7.34 (d, J =8.2 Hz, 2H, Ar-H), 6.96 (d, J = 8.2 Hz, 2H, Ar-H), 5.81 (s, 1H, CH), 3.79 (d, J = 14.4 Hz; 3H, OCH3; 1H, CH2S), 3.69–3.55 (m; 1H, CH2S; 1H, CH2N), 2.89–2.77 (m, 1H, CH2N), 2.47 (d, J = 7.6 Hz, 1H, CH2CO), 2.25 (dt, J = 14.4, 7.6 Hz, 1H, CH2CO); 13C-NMR: 172.88, 170.91 (2C, CO), 160.06, 132.15 (2C, CAr), 129.05 (2C, CHAr), 114.69 (2C, CHAr), 62.33 (CH), 55.65 (OCH3), 38.91 (CH2S), 32.37 (CH2N), 31.77 (CH2CO); HRMS (EI-MS): m/z Calcd for C13H16NO4S: 282.079455 [M+H]+, Found: 282.0796 [M+H]+.
3-[2-(2-Nitrophenyl)-4-oxothiazolidin-3-yl]propanoic acid (5h). 50%; white solid, m.p. 268 °C; IR (ATR diamond, cm−1): 2913 (OH), 1724 (COOH), 1629 (COthiazolidine-4-one), 1515 (sym. NO2), 1344 (asym. NO2), 674 (C-S); 1H-NMR (DMSO-d6): 12.34 (s, 1H, COOH), 8.12 (dd, J = 8.4, 1.3 Hz, 1H, Ar-H), 7.82 (td, J = 7.4, 1.3 Hz, 1H, Ar-H), 7.62 (ddd, J = 8.4, 7.4, 1.3 Hz, 1H, Ar-H), 7.37 (dd, J = 7.8, 1.3 Hz, 1H, Ar-H), 6.26 (d, J = 1.7 Hz, 1H, CH), 3.79–3.67 (m; 1H, CH2S; 1H, CH2N), 3.59 (J = 15.7 Hz, 1H, CH2S), 2.86 (dt, J = 14.2, 7.4 Hz, 1H, CH2N), 2.58 (ddd, J = 16.7, 7.8, 6.8 Hz, 1H, CH2CO), 2.42 (ddd, J = 16.7, 7.8, 5.6 Hz, 1H, CH2CO); 13C-NMR: 172.83, 171.75 (2C, CO), 146.96, 136.64 (2C, CAr), 134.99, 129.38, 126.21, 125.44 (4C, CHAr), 58.04 (CH), 38.89 (CH2S), 31.69 (CH2N), 30.58 (CH2CO); HRMS (EI-MS): m/z Calcd for C12H13N2O5S: 295.0539 [M+H]+, Found: 297.0540 [M+H]+.
3-[2-(3-Nitrophenyl)-4-oxothiazolidin-3-yl]propanoic acid (5i). Yield: 55%, slight brown solid; m.p. 160–162 °C; IR (ATR diamond, cm−1): 2917 (OH), 1725 (COOH), 1625 (COthiazolidine-4-one), 1525 (sym. NO2), 1350 (asym. NO2), 677 (C-S); 1H-NMR (DMSO-d6): 12.33 (s, 1H, COOH), 8.31–8.13 (m, 2H, Ar-H), 7.87 (dt, J = 7.9, 1.4 Hz, 1H, Ar-H), 7.71 (t, J = 7.9 Hz, 1H, Ar-H), 6.06 (d, J = 1.9 Hz, 1H, CH), 3.92 (dd, J = 15.4, 1.9 Hz, 1H, CH2S), 3.73–3.61 (m; 1H, CH2S; 1H, CH2N), 2.85 (ddd, J = 14.3, 8.4, 6.3 Hz, 1H, CH2N), 2.61–2.49 (m, 1H, CH2CO), 2.32 (ddd, J = 16.6, 8.4, 6.3 Hz, 1H, CH2CO); 13C-NMR: 172.85, 171.26 (2C, CO), 148.47, 143.44 (2C, CAr), 133.93, 131.14, 124.13, 122.25 (4C, CHAr), 61.42 (CH), 39.13 (CH2S), 32.12 (CH2N), 31.87 (CH2CO); HRMS (EI-MS): m/z Calcd for C12H13N2O5S: 295.0540 [M+H]+, Found: 297.0541 [M+H]+.
3-{2-[(3-Hydroxy-4-methoxy)phenyl]-4-oxothiazolidin-3-yl}propanoic acid (5j). Yield 75%; white solid, m.p. 172 °C; IR (ATR diamond, cm−1): 3208 (OH), 1733 (COOH), 1611 (COthiazolidine-4-one), 617 (C-S); 1H-NMR (400 MHz, DMSO-d6, δ ppm): 12.29 (s, 1H, COOH), 9.16 (s, 1H, OH), 6.93–6.87 (m, 1H, Ar-H), 6.80–6.74 (m, 2H, Ar-H), 5.72 (d, J = 1.8 Hz, 1H, CH), 3.80–3.74 (m; 3H, OCH3, 1H, CH2S), 3.64 (d, J = 15.4 Hz, 1H, CH2S), 3.60–3.52 (m, 1H, CH2N), 2.88–2.79 (m, 1H, CH2N), 2.47–2.45 (m, 1H, CH2CO), 2.25 (m, 1H, CH2CO); 13C-NMR: 172.44, 170.44 (2C, CO), 148.21, 146.92, 132.12 (3C, CAr), 118.24, 113.75, 111.98 (3C, CHAr), 62.10 (CH), 55.62 (OCH3), 38.51 (CH2S), 31.91 (CH2N), 31.33 (CH2CO); HRMS (EI-MS): m/z Calcd for C13H16NO5S: 298.07430 [M+H]+, Found: 298.0744 [M+H]+.
3-{2-[(3-Methoxy-4-hydroxy)phenyl]-4-oxothiazolidin-3-yl}propanoic acid (5k). Yield 60%, white solid, m.p. 136–137 °C; IR (ATR diamond, cm−1): 2946 (OH), 1726 (COOH), 1626 (COthiazolidine-4-one), 615 (C-S); 1H-NMR (DMSO-d6): 12.30 (s, 1H, COOH), 9.22 (s, 1H, OH), 6.93 (s, 1H, Ar-H), 6.87–6.74 (m, 2H, Ar-H), 5.75 (s, 1H, CH), 3.79 (d, J = 9.2 Hz; 3H OCH3, 1H, CH2S), 3.67–3.52 (m; 1H, CH2S, 1H, CH2N), 2.93–2.82 (m, 1H, CH2N), 2.47 (dd, J = 9.2, 5.9 Hz, 1H, CH2CO), 2.30–2.17 (m, 1H, CH2CO); 13C-NMR: 172.90, 170.90 (2C, CO), 148.32, 147.63, 130.76 (3C, CAr), 120.43, 115.88, 111.45 (3C, CHAr), 62.91 (CH), 56.14 (OCH3), 38.97 (CH2S), 32.42 (CH2N), 31.80 (CH2CO); HRMS (EI-MS): m/z Calcd for C13H16NO5S: 298.0743 [M+H]+, Found: 298.0744 [M+H]+.
3-[2-(4-Methylphenyl)-4-oxothiazolidin-3-yl]propanoic acid (5l). Yield 71%, white solid, m.p. 119–121 °C; IR (ATR diamond, cm−1): 3307 (OH), 1662 (COOH), 1557 (COtiazolidine-4-one), 632 (S-C); 1H-NMR (DMSO-d6): 12.30 (s, 1H, COOH), 7.23 (d, J = 7.9 Hz, 2H, Ar-H), 7.15 (d, J = 7.9 Hz, 2H, Ar-H), 5.83 (d, J = 2.0 Hz, 1H, CH), 3.78 (dd, J = 15.4, 2.0 Hz, 1H, CH2S), 3.56 (d, 1H, CH2S), 3.51 (ddd, J = 14.0, 8.9, 5.4 Hz, 1H, CH2N), 2.74 (ddd, J = 14.0, 8.9, 6.9 Hz, 1H, CH2N), 2.31–2.21 (m; 3H, CH3; 1H, CH2CO), 2.06–1.97 (m, 1H, CH2CO); 13C-NMR: 176.84, 170.28 (2C, CO), 137.95, 137.75 (2C, CAr), 129.32 (2C, CHAr), 126.98 (2C, CHAr), 62.07 (CH) 38.87 (CH2S), 34.25 (CH2CO), 31.97 (CH2N), 20.80 (CH3); HRMS (EI-MS): m/z Calcd for C13H16NO3S: 266.0845 [M+H]+, Found: 266.0848 [M+H]+.
3.2.3. Preparation of the 3-(2-Aryl-4-oxo-thiazolidin-3-yl)-N-(2,3-dimethyl-1-phenyl-5-oxo-pyrazolin-4-yl) Propionamide Derivatives 7a–l
4-Aminophenazone (6, 3.3 mmol), N-(3-dimethylaminopropyl)-N′-ethylcarbodiimide hydrochloride (EDCI·HCl) (3.3 mmol) and 1-hydroxybenzotriazole (HOBt) (3.3 mmol) were added to a cold solution of 3-(2-aryl-4-oxo-thiazolidin-3-yl)-propanoic acid 5a–l (3 mmol) in dichloromethane (10–20 mL) under inert atmosphere according to the procedure for amide bond formation [31]. The mixture was stirred for 24 h at room temperature until completion of the reaction (TLC monitoring, using dichloromethane-methanol, 10:0.5–0.8, v/v, UV light at 254). After that, the mixture was washed successively with hydrochloric acid 1M, sodium bicarbonate solution 10% and saturated solution of sodium chloride. The organic layer was collected, dried using anhydrous magnesium sulphate and concentrated by rotary evaporator. The residue was purified on a silica gel column using dichloromethane-methanol, 10:0.5–0.8, v/v as eluent system, and finally the product was triturated with cold ethyl ether.
3-(2-Phenyl-4-oxothiazolidin-3-yl)-N-(2,3-dimethyl-1-phenyl-5-oxo-pyrazolin-4-yl) propionamide (7a). Yield: 52%, white solid, m.p. 173–175 °C; IR (ATR diamond, cm−1): 3183 (NH), 3031 (CH) 1660 (CONH), 1652 (COthiazolidine-4-one), 1651 (COpyrazolin-5-one), 637 (C-S); 1H-NMR: 9.17 (s, 1H, NH), 7.47–7.41 (m, 2H, Ar-H), 7.40–7.36 (m, 2H, Ar-H), 7.34–7.27 (m, 4H, Ar-H), 7.25–7.20 (m, 2H, Ar-H), 5.82 (d, J = 1.9 Hz, 1H, CH), 3.88 (dt, J = 13.6, 6.5 Hz, 1H, CH2N), 3.77 (dd, J = 15.4, 1.9 Hz, 1H, CH2S), 3.66 (d, J = 15.4 Hz, 1H, CH2S), 3.08 (s, 3H, CH3N), 2.95–2.87 (m,1H, CH2N), 2.53 (dt, J = 15.4, 6.5 Hz, 1H, CH2CO), 2.40 (dt, J = 15.4, 6.5 Hz, 1H, CH2CO), 2.18 (s, 3H, CH3); 13C-NMR: 171.50, 170.29, 162.16 (3C, CO), 139.91, 134.50 (2C, CAr), 150.60, 108.28 (2C, Cpyrazoline), 129.40, (2C, CHAr), 129.04 (2C, CHAr), 127.30 (2C, CHAr), 127.09 (2C, CHAr), 124.73, 129.11 (2C, CHAr), 63.44 (CH), 39.53 (CH2N), 35.91, 12.16 (2C, CH3) 33.12 (CH2CO), 32.87 (CH2S); HRMS (EI-MS): m/z Calcd for C23H25N4O3S: 437.1642 [M+H]+, Found: 437.1644 [M+H]+.
3-[2-(4-Chlorophenyl)-4-oxothiazolidin-3-yl]-N-(2,3-dimethyl-1-phenyl-5-oxo-pyrazolin-4-yl) propionamide (7b). Yield: 74%, white solid, m.p. 182–183 °C; IR (ATR diamond, cm−1): 3172 (NH), 3027 (CH), 1682 (CONH), 1647 (COthiazolidine-4-one), 1616 (COpyrazolin-5-one), 756 (C-Cl), 639 (C-S); 1H-NMR: 9.27–9.17 (m, 1H, NH), 7.48–7.43 (m, 2H, Ar-H), 7.39–7.35 (m, 2H, Ar-H), 7.32–7.25 (m, 3H, Ar-H), 7.17 (d, J = 8.5 Hz, 2H, Ar-H), 5.81 (d, J = 1.8 Hz, 1H, CH), 3.89–3.81 (m, 1H, CH2N), 3.78–3.63 (m, 2H, CH2S), 3.09 (s, 3H, CH3N), 2.86 (dt, J = 14.2, 6.5 Hz, 1H, CH2N), 2.53 (dt, J = 15.3, 6.5 Hz, 1H, CH2CO), 2.40 (dt, J = 15.3, 6.5 Hz, 1H, CH2CO), 2.18 (s, 3H, CH3); 13C-NMR: 171.26, 170.21, 162.04 (3C, CO), 138.41, 134.71, 134.33 (3C, CAr), 129.34 (2C, CHA), 129.19 (2C, CHA), 128.51 (2C, CHA), 127.31 (2C, CHA), 150.47, 108.03 (2C, Cpyrazoline), 124.71 (CHAr), 62.62 (CH), 39.33 (CH2N), 35.76, 12.02 (2C, CH3), 33.01 (CH2CO), 32.69 (CH2S); HRMS (EI-MS): m/z Calcd for C23H24ClN4O3S: 471.1252 [M+H]+, Found: 471.1251 [M+H]+.
3-[2-(4-Fluorophenyl)-4-oxothiazolidin-3-yl]-N-(2,3-dimethyl-1-phenyl-5-oxo-pyrazolin-4-yl) propionamide (7c). Yield: 57%, light yellow solid; m.p. 86–88 °C; IR (ATR diamond, cm−1): 3245 (NH), 3013 (CH), 1652 (CONH), 1648 (COthiazolidine-4-one), 1620 (COpyrazolin-5-one), 1150 (C-F), 623 (C-S); 1H-NMR: 9.37 (d, J = 46.9 Hz, 1H, NH), 7.47–7.41 (m, 2H, Ar-H), 7.38–7.33 (m, 2H, Ar-H), 7.29 (dd, J = 7.2, 1.6 Hz, 1H, Ar-H), 7.25–7.18 (m, 2H, Ar-H), 7.01–6.93 (m, 2H, Ar-H), 5.81 (d, J = 1.8 Hz, 1H, CH), 3.85 (dd, J = 7.7, 6.6 Hz, 1H, CH2N), 3.76–3.62 (m, 2H, CH2S), 3.08 (s, 3H, CH3N), 2.85 (dd, J = 13.6, 6.6 Hz, 1H, CH2N), 2.56–2.47 (m, 1H, CH2CO), 2.44–2.35 (m, 1H, CH2CO), 2.16 (s, 3H, CH3); 13C-NMR: 171.31/171.28, 170.40/170.38, 162.15 (3C, CO), 164.14/161.67, 135.61/135.58 134.35/134.28 (3C, CAr), 129.40 (CHAr), 129.17, 129.08 (2C, CHAr), 127.41 (2C, CHAr), 124.83 (2C, CHAr), 116.00, 115.90 (2C, CHAr), 150.63, 108.03 (2C, Cpyrazoline), 62.67 (CH), 39.34 (CH2N), 35.77, 12.03 (2C, CH3), 32.99 (CH2CO), 32.80 (CH2S); HRMS (EI-MS): m/z Calcd for C23H24FN4O3S: 455.1542 [M+H]+, Found: 455.1543 [M+H]+.
3-[2-(4-Bromophenyl)-4-oxothiazolidin-3-yl]-N-(2,3-dimethyl-1-phenyl-5-oxo-pyrazolin-4-yl) propionamide (7d). Yield: 92%, yellow solid; m.p. 110–112 °C; IR (ATR diamond, cm−1): 3196 (NH), 2984 (CH), 1664 (CONH), 1655 (COthiazolidine-4-one), 1621 (COpyrazolin-5-one), 643 (C-S), 668 (C-Br); 1H-NMR: 9.67 (s, 1H, NH), 7.40 (ddd, J = 13.8, 11.9, 7.6 Hz, 6H, Ar-H), 7.29 (d, J = 5.8 Hz, 1H, Ar-H), 7.09 (d, J = 8.3 Hz, 2H, Ar-H), 5.80 (s, 1H, CH), 3.90–3.82 (m, 1H, CH2N), 3.68 (dd, J = 37.7, 15.5 Hz, 2H, CH2S), 3.08 (s, 3H, CH3N), 2.83–2.75 (m, 1H, CH2N), 2.49 (dt, J = 12.7, 6.3 Hz, 1H, CH2CO), 2.43–2.35 (m, 1H, CH2CO), 2.16 (s, 3H, CH3); 13C-NMR: 171.16, 170.36, 162.11 (3C, CO), 138.99, 134.27, 132.09 (3C, CAr), 129.33 (2C, CHAr), 128.80 (2C, CHAr), 127.33 (2C, CHAr), 124.75 (2C, CHAr), 122.79 (CHAr), 150.65, 107.96 (2C, Cpyrazoline), 62.49 (CH), 39.29 (CH2N), 35.69, 11.96 (2C, CH3), 32.84 (CH2CO), 32.68 (CH2S); HRMS (EI-MS): m/z Calcd for C23H24BrN4O3S: 515.0747 [M+H]+, Found: 515.0745 [M+H]+.
3-[2-(2-Methoxyphenyl)-4-oxo-thiazolidin-3-yl]-N-(2,3-dimethyl-1-phenyl-5-oxo-pyrazolin-4-yl) propionamide (7e). Yield: 60%, white solid; m.p.162 °C; IR (ATR diamond, cm−1): 3243 (NH), 2942 (CH), 1675 (CONH), 1647 (COthiazolidine-4-one), 1620 (COpyrazolin-5-one) 617 (C-S); 1H-NMR: 9.01 (d, J = 6.1 Hz, 1H, NH), 7.41 (dd, J = 20.5, 7.8 Hz, 4H, Ar-H), 7.28 (t, J = 7.8 Hz, 2H, Ar-H), 7.08 (d, J = 7.3 Hz, 1H, Ar-H), 6.90 (d, J = 8.5 Hz, 2H, Ar-H), 6.10 (s, 1H, CH), 3.93 (dd, J = 13.9, 6.8 Hz, 1H, CH2N), 3.87–3.81 (m, 3H, OCH3), 3.72 (d, J = 15.3 Hz, 1H, CH2S), 3.58 (d, J = 15.3 Hz, 1H, CH2S), 3.08 (s, 3H, CH3N), 3.01 (dd, J = 13.9, 6.8 Hz, 1H, CH2N), 2.59 (dt, J = 14.8, 6.8 Hz, 1H, CH2CO), 2.48 (dt, J = 14.8, 6.8 Hz, 1H, CH2CO), 2.20 (s, 3H, CH3); 13C-NMR: 172.14, 170.09, 162.00 (3C, CO), 156.99, 134.48, 127.79 (3C, CAr), 129.80 (CHAr), 129.26 (2C, CHAr), 127.04 (2C, CHAr), 126.81, 124.49, 120.77, 111.08 (4C, CHAr), 150.45, 108.38 (2C, Cpyrazoline), 58.81 (CH), 55.59 (OCH3), 39.75 (CH2N), 35.90, 12.12 (2C, CH3), 33.36 (CH2CO), 32.63 (CH2S); HRMS(EI-MS): m/z Calcd for C24H27N4O4S: 467.1747 [M+H]+, Found:467.1748 [M+H]+.
3-[2-(3-Methoxyphenyl)-4-oxo-thiazolidin-3-yl]-N-(2,3-dimethyl-1-phenyl-5-oxo-pyrazolin-4-yl) propionamide (7f). Yield: 75%, yellow solid; m.p. 74–76 °C; IR (ATR diamond, cm−1): 3247 (NH), 2930 (CH), 1667 (CONH), 1659 (COthiazolidine-4-one), 1640 (COpyrazolin-5-one), 641 (C-S); 1H-NMR: 9.33 (d, J = 17.4 Hz, 1H, NH), 7.45 (t, J = 7.7 Hz, 2H, Ar-H), 7.38 (d, J = 7.7 Hz, 2H, Ar-H), 7.29 (t, J = 7.2 Hz, 1H, Ar-H), 7.23 (dd, J = 11.5, 4.6 Hz, 1H, Ar-H), 6.86–6.78 (m, 3H, Ar-H), 5.82 (s, 1H, CH), 3.95–3.86 (m, 1H, CH2N), 3.82–3.74 (m; 3H, OCH3; 1H, CH2S), 3.66 (d, J = 15.4 Hz, 1H, CH2S), 3.09 (s, 3H, CH3N), 2.99–2.89 (m, 1H, CH2N), 2.59–2.50 (m, 1H, CH2CO), 2.47–2.38 (m, 1H, CH2CO), 2.18 (s, 3H, CH3); 13C-NMR: 171.38, 170.28, 162.09 (3C, CO), 160.10, 141.45, 134.37 (3C, CAr), 130.06, 124.65, 119.20, 114.48, 112.24 (5C, CHAr), 129.29 (2C, CHAr), 127.19 (2C, CHAr), 150.56, 108.17 (2C, Cpyrazoline), 63.24 (CH), 55.31 (OCH3), 39.47 (CH2N), 35.78, 12.03 (2C, CH3), 32.95 (CH2CO), 32.75 (CH2S); HRMS (EI-MS): m/z Calcd for C24H27N4O4S: 467.1748 [M+H]+, Found: 467.1746 [M+H]+.
3-[2-(4-Methoxyphenyl)-4-oxothiazolidin-3-yl]-N-(2,3-dimethyl-1-phenyl-5-oxo-pyrazolin-4-yl) propionamide (7g). Yield: 86%; white solid; m.p. 120 °C; IR (ATR diamond, cm−1): 3247 (NH), 2929 (CH), 1656 (CONH), 1651 (COthiazolidine-4-one), 1610 (COpyrazolin-5-one), 623 (C-S); 1H-NMR: 9.21 (s, 1H, NH), 7.45 (t, J = 7.7 Hz, 2H, Ar-H), 7.38 (d, J = 7.7 Hz, 2H, Ar-H), 7.31–7.27 (m, 1H, Ar-H), 7.19 (d, J = 8.6 Hz, 2H, Ar-H), 6.83 (d, J = 8.6 Hz, 2H, Ar-H), 5.79 (s, 1H, CH), 3.87 (dt, J = 13.7, 6.6 Hz, 1H, CH2N), 3.76 (d, J = 19.3 Hz; 3H, OCH3; 1H, CH2S), 3.67 (d, J = 15.5 Hz, 1H, CH2S), 3.09 (s, 3H, CH3N), 2.96–2.88 (m, 1H, CH2N), 2.53 (dt, J = 13.1, 6.6 Hz, 1H, CH2CO), 2.45-–2.36 (m, 1H, CH2CO), 2.18 (s, 3H, CH3); 13C-NMR: 171.30, 170.32, 162.14 (3C, CO), 160.12, 134.45, 131.46 (3C, CAr), 129.37 (2C, CHAr), 128.65 (2C, CHAr), 127.28 (2C, CHAr), 124.72, 119.20, 114.41 (3C, CHAr), 150.61, 108.20 (2C, Cpyrazoline), 63.14 (CH), 55.41 (OCH3), 39.33 (CH2N), 35.86, 12.09 (2C, CH3), 33.05 (CH2CO), 32.95 (CH2S); HRMS (EI-MS): m/z Calcd for C24H27N4O4S: 467.1747 [M+H]+, Found: 467.1748 [M+H]+.
3-[2-(2-Nitrophenyl)-4-oxothiazolidin-3-yl]-N-(2,3-dimethyl-1-phenyl-5-oxo-pyrazolin-4-yl) propionamide (7h). Yield: 62%; light yellow solid; m.p. 166 °C; IR (ATR diamond, cm−1): 3244 (NH), 3016 (CH), 1686 (CONH), 1647 (COthiazolidine-4-one), 1622 (COpyrazolin-5-one), 1522 (sym. NO2), 1339 (asym. NO2), 677 (C-S); 1H-NMR: 9.22 (s, 1H, NH), 8.11 (d, J = 8.0 Hz, 1H, Ar-H), 7.64 (t, J = 7.4 Hz, 1H, Ar-H), 7.47 (dd, J = 10.7, 4.5 Hz, 3H, Ar-H), 7.39–7.35 (m, 2H, Ar-H), 7.31 (t, J = 7.4 Hz, 1H, Ar-H), 7.23–7.18 (m, 1H, Ar-H), 6.35 (s, 1H, CH), 3.91–3.83 (m, 1H, CH2N), 3.62 (d, J = 15.7 Hz, 1H, CH2S), 3.54 (d, J = 15.7 Hz, 1H, CH2S), 3.11 (s, 3H, CH3N), 2.91 (dt, J = 13.8, 6.9 Hz, CH2N), 2.62 (dt, J = 8.0, 7.1 Hz, 1H, CH2CO), 2.46 (dd, J = 13.8, 8.0 Hz, 1H, CH2CO), 2.18 (s, 3H, CH3); 13C-NMR: 172.44, 170.06, 161.94 (3C, CO), 147.16, 137.34, 136.60 (3C, CAr), 134.36, 125.95, 125.79 (3C, CHAr), 124.81 (2C, CHAr), 129.34, 128.93 (2C, CHAr), 127.29 (2C, CHAr), 150.47, 107.87 (2C, Cpyrazoline), 59.25 (CH), 39.53 (CH2N), 35.82, 12.14 (2C, CH3), 33.31 (CH2CO), 31.40 (CH2S); HRMS (EI-MS): m/z Calcd for C23H24N5O5S: 482.1492 [M+H]+, Found: 482.1492 [M+H]+.
3-[2-(3-Nitrophenyl)-4-oxo-thiazolidin-3-yl]-N-(2,3-dimethyl-1-phenyl-5-oxo-pyrazolin-4-yl) propionamide (7i). Yield: 77%, yellow solid; m.p. 124 °C; IR (ATR diamond, cm−1): 3246 (NH), 2928 (CH), 1668 (CONH), 1650 (COthiazolidine-4-one), 1591 (COpyrazolin-5-one), 1527 (sym. NO2), 1349 (asym. NO2), 641 (C-S); 1H-NMR: 9.44 (s, 1H, NH), 8.16 (d, J = 8.3 Hz, 2H, Ar-H), 7.59 (d, J = 7.9 Hz, 1H, Ar-H), 7.53–7.44 (m, 3H, Ar-H), 7.40 (d, J = 7.9 Hz, 2H, Ar-H), 7.30 (dd, J = 12.6, 3.9 Hz, 1H, Ar-H), 5.99 (s, 1H, CH), 3.92–3.84 (m, 1H, CH2N), 3.80 (d, J = 15.6 Hz, 1H, CH2S), 3.70 (d, J = 15.6 Hz, 1H, CH2S), 3.12 (s, 3H, CH3N), 2.91–2.83 (m, 1H, CH2N), 2.59 (dt, J = 12.9, 6.4 Hz, 1H, CH2CO), 2.43 (dt, J = 15.6, 5.9 Hz, 1H, CH2CO), 2.19 (s, 3H, CH3); 13C-NMR: 171.29, 170.44, 162.05 (3C, CO), 148.65, 142.61, 134.30 (3C, CAr), 133.18, 130.13, 124.90, 123.6, 122.27 (5C, CHAr), 129.42 (2C, CHAr), 127.46 (2C, CHAr), 150.46, 107.91 (2C, Cpyrazoline), 62.34 (CH), 39.46 (CH2N), 35.75, 12.06 (2C, CH3), 33.11 (CH2CO), 32.64 (CH2S); HRMS (EI-MS): m/z Calcd for C23H24N5O5S: 482.1492 [M+H]+, Found: 482.1493 [M+H]+.
3-{2-[(3-Hydroxi-4-methoxy)phenyl]-4-oxothiazolidin-3-yl}-N-(2,3-dimethyl-1-phenyl-5-oxo-pyrazolin-4-yl) propionamide (7j). Yield 62%; light yellow solid, m.p. 120–122 °C; IR (ATR diamond, cm−1): 3355 (OH), 3240 (NH), 2935 (CH), 1652 (CONH, COthiazolidine-4-one), 1591 (COpyrazolin-5-one), 667 (C-S); 1H-NMR: 9.03 (s, 1H, NH), 7.43 (dd, J = 8.4, 7.2 Hz, 2H, Ar-H, 7.35–7.32 (m, 2H, Ar-H), 7.26 (s, 1H, Ar-H), 6.88 (t, J = 4.3 Hz, 2H, Ar-H), 6.75 (d, J = 1.9 Hz, 2H, Ar-H), 5.68 (d, J = 1.9Hz, 1H, CH), 3.85–3.73 (m; 3H, OCH3; 1H, CH2S; 1H, CH2N; 1H, OH)), 3.63 (d, J = 15.5 Hz, 1H, CH2S), 3.09 (m; 3H, CH3N; 1H, CH2N), 2.54–2.38 (m, 2H, CH2CO), 2.16 (s, 3H, CH3); 13C-NMR: 171.46, 170.55, 162.04 (3C, CO), 147.81, 146.52, 134.32, 132.43 (4C, CAr), 124.88, 118.98, 113.76, 111.16 (4C, CHAr), 129.39 (2C, CHAr), 127.40 (2C, CHAr), 150.65, 107.83 (2C, Cpyrazoline), 63.63 (CH), 56.02 (CH3O), 39.66 (CH2N), 35.76, 12.02 (2C, CH3), 33.36 (CH2CO), 32.95 (CH2S); HRMS (EI-MS): m/z Calcd for C24H27N4O5S: 483.1697 [M+H]+, Found: 483.1698 [M+H]+.
3-{2-[(3-Methoxy-4-hydroxi)phenyl]-4-oxothiazolidin-3-yl}-N-(2,3-dimethyl-1-phenyl-5-oxo-pyrazolin-4-yl) propionamide (7k). Yield 67%, white solid; m.p. 123–125 °C; IR (ATR diamond, cm−1): 3242 (OH), 3182 (NH), 2925 (CH), 1652 (CONH, COthiazolidine-4-one), 1591 (COpyrazolin-5-one), 715 (C-S); 1H-NMR: 8.96 (s, 1H, NH), 7.44 (t, J = 7.8 Hz, 2H, Ar-H), 7.36 (d, J = 7.8 Hz, 2H, Ar-H), 7.31–7.27 (m, 2H, Ar-H), 6.81 (dd, J = 4.8, 3.2 Hz, 2H, Ar-H), 6.76 (dd, J = 8.1, 1.7 Hz, 1H, Ar-H), 6.31 (s, 1H, OH), 5.76 (s, 1H, CH), 3.84–3.72 (m; 3H, OCH3; 1H, CH2S; 1H, CH2N), 3.68 (d, J = 15.4 Hz, 1H, CH2S), 3.08 (s, 3H, CH3N), 2.96 (dd, J = 13.8, 6.8 Hz, 1H, CH2N), 2.54 (dd, J = 14.4, 7.5 Hz, 1H, CH2CO), 2.40 (dd, J = 14.4, 7.5 Hz, 1H, CH2CO), 2.18 (s, 3H, CH3); 13C-NMR: 171.40, 170.30, 161.96 (3C, CO), 147.31, 146.58, 134.34, 130.72 (4C, CAr), 124.65, 120.79, 114.61, 109.46 (4C, CHAr), 129.29 (2C, CHAr), 127.25 (2C, CHAr), 150.46, 107.99 (2C, Cpyrazoline), 63.78 (CH), 56.04 (CH3O), 39.37 (CH2N), 35.77, 12.02 (2C, CH3), 33.03 (CH2CO), 32.99 (CH2S); HRMS (EI-MS): m/z Calcd for C24H27N4O5S: 483.1697 [M+H]+, Found: 483.1698 [M+H]+.
3-[2-(4-Methylphenyl)-4-oxo-thiazolidin-3-yl]-N-(2,3-dimethyl-1-phenyl-5-oxo-pyrazolin-4-yl) propionamide (7l). Yield 66%, light yellow solid; m.p.70–72 °C; IR (ATR diamond, cm−1): 3247 (NH), 3024.16 (C-H), 1668 (CONH), 1652 (COthiazolidine-4-one), 1591 (COpyrazolin-5-one) 632 (S-C); 1H-NMR: 9.46 (s, 1H, NH), 7.45 (t, J = 7.9 Hz, 2H, Ar-H), 7.39 (d, J = 7.9 Hz, 2H, 2Ar-H), 7.29 (s, 1H, Ar-H), 7.12 (s, 4H, Ar-H), 5.81 (s, 1H, CH), 3.90 (dt, J = 13.6, 6.9 Hz, 1H, CH2N), 3.76 (d, J = 15.5 Hz, 1H, CH2S), 3.66 (d, J = 15.5 Hz, 1H, CH2S), 3.09 (s, 3H, CH3N), 2.94–2.85 (m, 1H, CH2N), 2.51 (m, 1H, CH2CO), 2.45–2.38 (m, 1H, CH2CO), 2.33 (s, 3H, CH3), 2.19 (s, 3H, CH3); 13C-NMR: 171.30, 170.31, 162.13 (3C, CO), 138.82, 136.72, 134.38, (3C, CAr), 124.65 (CHAr), 129.66 (2C, CHAr), 129.29 (2C, CHAr), 127.19 (2C, CHAr), 126.96 (2C, CHAr), 150.65, 108.18 (2C, Cpyrazoline), 63.10 (CH), 39.33 (CH2N), 35.78, 21.20, 12.01 (3C, CH3), 32.91 (CH2CO), 32.81 (CH2S); HRMS (EI-MS): m/z Calcd fot C24H27N4O3S: 451.1798 [M+H]+, Found: 451.1801 [M+H]+.
3.3. Biological Evaluation
The antioxidant activity was estimated using in vitro tests: ferric reducing antioxidant power, phosphomolydenum reducing antioxidant power, DPPH and ABTS radical scavenging assays.
3.3.1. Ferric Reducing Antioxidant Power (FRAP) Assay
The ferric reducing power of the compounds was determined according to the procedure described in the literature [24] with minor modifications. For each compound different concentrations (10, 8, 6, 4 and 2 mg/mL in DMSO) were tested. Briefly sample (250 µL), phosphate buffer (250 µL, 0.2 M, pH 6.6) and potassium ferricyanide (250 µL, 1% w/v) were mixed in a test tube and incubated at 50 °C for 20 min in a water bath and then the reaction was stopped by adding 10% (w/v) of trichloroacetic acid solution (1 mL). After that, deionised water (1 mL) and ferric chloride (0.2 mL, 0.1% w/v) were added. The final concentrations of sample in the test tubes were 1136, 909, 682, 455 and 227 µg/mL, respectively. The mixture was left at room temperature for 10 min and then the absorbance was measured at 700 nm against a blank solution (DMSO mixed with the reagents). Increased absorbance of the reaction mixture indicated increased reducing power. For each sample the effective concentration (EC50) was calculated by linear regression analysis and phenazone and vitamin E (α-tocopherol) were used as reference and positive control respectively. All the tests were performed in triplicate.
3.3.2. Phosphomolydenum Reducing Antioxidant Power (PRAP) Assay
The antioxidant activity of tested compounds was evaluated using the phosphomolybdenum method according to the procedure described in the literature [25] with minor modifications. The assay is based on the reduction of Mo(VI) to Mo(V) by the tested compounds and subsequent formation of green phosphate/Mo(V) complex at acid pH. For each compound different concentrations (1, 0.5, 0.25, 0.125 and 0.0625 mg/mL in DMSO) were tested. The samples (300 µL) were mixed with the reagent solution (3 mL, 28 mM sodium phosphate; 4 mM ammonium molybdate; 0.6 M sulphuric acid), incubated at 95 °C for 90 min and after that cooled at room temperature. The final concentrations of sample in the test tubes were 91, 45.5, 22.7, 11.4 and 5.7 µg/mL, respectively. The absorbance of the samples was measured at 695 nm against a blank solution (DMSO mixed with the reagents). For each sample the effective concentration (EC50) was calculated by linear regression analysis and phenazone and vitamin E (α-tocopherol) were used as reference and positive control respectively. All tests were performed in triplicate.
3.3.3. The DPPH Radical Scavenging Assay
The antioxidant activity of the tested compounds using DPPH assay was performed in reference with [26]. For each compound different concentrations (20 mg/mL, 10 mg/mL, 5 mg/mL, 2.5 mg/mL, 1.25 mg/mL, 0.625 mg/mL in DMSO) were tested. Briefly methanolic solution of DPPH (4 mL, 15 µM) was added to tested compounds (100 µL) in a test tube. The final concentrations of sample in the test tube were 488, 244, 122, 61, 30.5 and 15. 2µg/mL, respectively. The mixture was left for 30 min at room temperature, in the dark, and after that the absorbance was measured at 515 nm against a blank solution (methanol). The radical scavenging capacity was calculated according to the following equation:
where Asample is the absorbance of the sample after 30 min. Acontrol is the absorbance of mixture of 100 µL DMSO and 4 mL DPPH. For each compound the effective concentration (EC50) was calculated by linear regression analysis and phenazone and vitamin E (α-tocopherol) were used as reference and positive control respectively. All tests were carried out in triplicate.
Scavenging activity % = (Acontrol − Asample/Acontrol) × 100
3.3.4. The ABTS Radical Scavenging Assay
The ABTS radical scavenging ability of the compounds was tested in reference with [27] with minor modifications. The ABTS+ radicals were activated by reacting of ABTS (2,2'-azinobis(3-ethylbenzthiazoline-6-sulphonic acid) (7 mM) with ammonium persulphate (2.45 mM) and the mixture was left at room temperature for 16 h in the dark. The ABTS+ radical cation solution was diluted with ethanol to obtain an absorbance value of 0.7 ± 0.02 at 734 nm. For each compound different concentrations were tested (20, 15, 10, 5, 2.5 and 1.25 mg/mL in DMSO). To sample (50 µL), ABTS solution (1950 µL) was added. The final concentrations of sample in the test tubes were 500, 375, 250, 125, 62.5 and 31.25 µg/mL, respectively. After 6 min the absorbance was measured and the radical scavenging capacity was calculated according to the following equation:
where At=0 is the absorbance before adding the sample. At=6 min is the absorbance after 6 min of reaction. For each sample the effective concentration (EC50) was calculated by linear regression analysisand phenazone and vitamin E (α-tocopherol) were used as reference and positive control respectively. All tests were performed in triplicate.
Scavenging activity % = (At=0 − At=6min/At=0) × 100
3.3.5. Statistical Analysis
All antioxidant assays were carried out in triplicate. Data were analyzed by an analysis of variance (ANOVA) (p < 0.05) and were expressed as means ± SD. The EC50 values were calculated by linear interpolation between the values registered above and below 50% activity.
4. Conclusions
In this study new heterocyclic compounds that combine the thiazolidine-4-one structure with pyrazoline-5-one ones have been synthesized. The structure of the new compounds was proved using spectroscopic methods (IR, 1H-NMR, 13C-NMR, MS). The compounds were evaluated for their antioxidant activity using in vitro assays: ferric reducing antioxidant power, phosphomolydenum reducing antioxidant power, DPPH and ABTS radical scavenging assays. The all tested compounds 7a–l showed improved antioxidant effects in reference to phenazone. The good preliminary results which support the antioxidant potential of the synthesized compounds motivate further research focused on their anti-inflammatory effects on chronic and acute inflammation models, based on implication of oxidative stress in many disorders, including inflammation.
Acknowledgments
This work was supported by the project “Inter-university partnership for increasing the medical doctoral research quality and interdisciplinarity through doctoral scholarships-DocMed.net” (POSDRU/107/1.5/S/78702).
Author Contributions
Maria Apotrosoaei, Frédéric Buron, Sylvain Routier and Lenuta Profire designed research; Maria Apotrosoaei, Ioana Mirela Vasincu and Maria Dragan performed research; Maria Apotrosoaei, Frédéric Buron, Sylvain Routier and Lenuta Profire analyzed the data; Lenuta Profire, Frédéric Buron, Sylvain Routier wrote the paper. All authors read and approved the final manuscript.
Conflicts of Interest
The authors declare no conflict of interest.
References
- Jamwal, A.; Javed, A.; Bhardwaj, V. A review on pyrazole derivatives of pharmacological potential. J. Pharm. BioSci. 2013, 3, 114–123. [Google Scholar]
- El-Hawash, S.; Badawey, E.-S.; El-Ashmawey, I. Nonsteroidal antiinflammatory agents-part 2. Antiinflammatory, analgesic and antipyretic activity of some substituted 3-pyrazolin-5-ones and 1,2,4,5,6,7-3H-hexahydroindazol-3-ones. Eur. J. Med. Chem. 2006, 41, 155–165. [Google Scholar] [CrossRef]
- Le Bourdonnec, B.; Meulon, E.; Yous, S.; Goossens, J.-F.; Houssin, R.; Hénichart, J.-P. Synthesis and pharmacological evaluation of new pyrazolidine-3,5-diones as AT1 angiotensin II receptor antagonists. J. Med. Chem. 2000, 43, 2685–2697. [Google Scholar] [CrossRef]
- El-Sayed, M.A.; Abdel-Aziz, N.I.; Abdel-Aziz, A.A.; El-Azab, A.S.; ElTahir, K.E. Synthesis, biological evaluation and molecular modeling study of pyrazole and pyrazoline derivatives as selective COX-2 inhibitors and anti-inflammatory agents. Bioorg. Med. Chem. 2012, 20, 3306–3316. [Google Scholar] [CrossRef]
- Fushimi, N.; Fujikura, H.; Shiohara, H.; Teranishi, H.; Shimizu, K.; Yonekubo, S.; Ohno, K.; Miyagi, T.; Itoh, F.; Shibazaki, T.; et al. Structure-activity relationship studies of 4-benzyl-1H-pyrazol-3-yl β-d-glucopyranoside derivativesas potent and selective sodium glucose co-transporter 1 (SGLT1) inhibitors with therapeutic activity on postprandial hyperglycemia. Bioorg. Med. Chem. 2012, 20, 6598–6612. [Google Scholar] [CrossRef]
- Khalil, N.A.; Ahmed, E.M.; El-Nassan, H.B.; Ahme, O.K.; Al-Abd, A.M. Synthesis and biological evaluation of novel pyrazoline derivatives as anti-inflammatory and antioxidant agents. Arch. Pharm. Res. 2012, 35, 995–1002. [Google Scholar] [CrossRef]
- Shamsuzzaman, K.H.; Mashrai, A.; Sherwani, A.; Owais, M.; Siddiqui, N. Synthesis and anti-tumor evaluation of B-ring substituted steroidal pyrazoline derivatives. Steroids 2013, 78, 1263–1272. [Google Scholar] [CrossRef]
- Markovic, V.; Eric, S.; Stanojkovic, T.; Gligorijevic, N.; Arandelovic, S.; Todorovic, N.; Trifunovic, S.; Manojlovic, N.; Jelic, R.; Joksovic, M. Antiproliferative activity and QSAR studies of a series of new 4-aminomethylidene derivatives of some pyrazol-5-ones. Bioorg. Med. Chem. Lett. 2011, 21, 4416–4421. [Google Scholar]
- Hassan, S.Y. Synthesis, antibacterial and antifungal activity of some newpyrazoline and pyrazole derivatives. Molecules 2013, 18, 2683–2711. [Google Scholar] [CrossRef]
- Marella, A.; Ali, M.R.; Alam, M.T.; Saha, R.; Tanwar, O.; Akhter, M.; Shaquiquzzaman, M.; Alam, M.M. Pyrazolines: A biological review. Mini Rev. Med. Chem. 2013, 13, 921–931. [Google Scholar]
- Mahle, F.; Guimaraes, T.; Meira, A.V.; Correa, R.; Cruz, R.; Cruz, A.B.; Nunes, R.J.; Cechinel-Filho, V.; Campos, F. Synthesis and biological evaluation of N-antipyrine-4-substituted amino-3-chloromaleimide derivatives. Eur. J. Med. Chem. 2010, 45, 4761–4768. [Google Scholar] [CrossRef]
- Mariappan, G.; Saha, B.P.; Bhuyan, N.R.; Bharti, P.R.; Kumar, D. Evaluation of antioxidant potential of pyrazolone derivatives. J. Adv. Pharm. Technol. Res. 2010, 1, 260–267. [Google Scholar]
- Praveen, R.P.N.; Kabir, S.N.; Mohamed, T. Nonsteroidal anti-inflammatory drugs (NSAIDS): Progress in small molecule drug development. Pharmaceuticals 2010, 3, 1530–1549. [Google Scholar] [CrossRef]
- Rostom, S.A.F.; El-Ashmawy, I.M.; Razik, H.A.A.E.; Badr, M.H.; Ashour, H.M.A. Design and synthesis of some thiazolyl and thiadiazolyl derivatives of antipyrine as potential non-acidic anti-inflammatory, analgesic and antimicrobial agents. Bioorg. Med. Chem. 2009, 17, 882–895. [Google Scholar] [CrossRef]
- Prasada, A.; Nimavat, K.S.; Vyas, K.B. Synthesis and biological activity of thiazolidinone containing heterocyclic compound. J. Chem. Pharm. Res. 2012, 4, 2959–2963. [Google Scholar]
- Bazrak, H.; Demirbas, A.; Demirbas, N.; Karaoglu, S.A. Cyclization of some carbothioamide derivatives containing antipyrine and triazole moieties and investigation of their antimicrobial activities. Eur.J. Med. Chem. 2010, 45, 4726–4732. [Google Scholar] [CrossRef]
- Antre, R.V.; Cendilkumar, C.; Goli, D.; Andhale, G.S.; Oswal, R.J. Microwave assisted synthesis of novel pyrazolone derivatives attached to a pyrimidine moiety and evaluation of their anti-inflammatory, analgesic and antipyretic activities. Saudi Pharm. J. 2011, 19, 233–243. [Google Scholar] [CrossRef]
- Suthar, S.K.; Jaiswal, V.; Lohan, S.; Bansal, S.; Chaudhary, A.; Tiwari, A.; Alex, A.T.; Joesph, A. Novel quinolone substituted thiazolidin-4-ones as anti-inflammatory, anticancer agents: Design, synthesis and biological screening. Eur. J. Med. Chem. 2013, 63, 589–602. [Google Scholar] [CrossRef]
- Sharma, S.; Sharma, P.K.; Kumar, N.; Dudhe, R. A review on various heterocyclic moieties and their antitubercular activity. Biomed. Pharmacother. 2011, 65, 244–251. [Google Scholar] [CrossRef]
- Patel, D.; Kumari, P.; Patel, N. Synthesis and biological evaluation of some thiazolidinones as antimicrobial agents. Eur. J. Med. Chem. 2012, 48, 354–362. [Google Scholar] [CrossRef]
- Rawal, R.K.; Tripathi, R.; Katti, S.B.; Pannecouque, C.; de Clercq, E. Design, synthesis, and evaluation of 2-aryl-3-heteroaryl-1,3-thiazolidin-4-ones as anti-HIV agents. Bioorg. Med. Chem. 2007, 15, 1725–1731. [Google Scholar] [CrossRef]
- Shingalapur, R.V.; Hosamani, K.M.; Keri, R.S.; Hugar, M.H. Derivatives of benzimidazole pharmacophore: Synthesis, anticonvulsant, antidiabetic and DNA cleavage studies. Eur. J. Med. Chem. 2010, 45, 1753–1759. [Google Scholar] [CrossRef]
- Kishore, A.; Nampurath, G.K.; Mathew, S.P.; Zachariah, R.T.; Potu, B.K.; Rao, M.S.; Valiathan, M.; Chamallamudi, M.R. Antidiabetic effect through islet cell protection in streptozotocin diabetes: A preliminary assessment of two thiazolidin-4-ones in Swiss albino mice. Chem. Biol. Interact. 2009, 177, 242–246. [Google Scholar] [CrossRef]
- Sabeena Farvin, K.H.; Andersen, L.L.; Nielsen, H.H.; Jacobsen, C.; Jakobsen, G.; Jahansson, I.; Jessen, F. Antioxidant activity of cod (Gadus morhua) protein hydrolysates: In vitro assays and evaluation in 5% fish oil-in-water emulsion. Food Chem. 2014, 149, 326–334. [Google Scholar] [CrossRef]
- Cervellati, R.; Galletti, P.; Greco, E.; Cocuzza, C.E.; Musumeci, R.; Bardini, L.; Paolucci, F.; Pori, M.; Soldati, R.; Giacomini, D. Monocyclic β-lactams as antibacterial agents: Facing antioxidant activity of N-methylthio-azetidinones. Eur. J. Med. Chem. 2012, 60, 340–349. [Google Scholar]
- Osorio, M.; Aravena, J.; Vergara, A.; Taborga, L.; Baeza, E.; Catalán, K.; González, C.; Carvajal, M.; Carrasco, H.; Espinoza, L. Synthesis and DPPH radical scavenging activity of prenylated phenol derivatives. Molecules 2012, 17, 556–570. [Google Scholar] [CrossRef]
- Tabassum, S.; Kumara, T.H.S.; Jasinski, J.P.; Millikan, S.P.; Yathirajan, H.S.; Ganapathy, P.S.S.; Sowmya, H.B.V.; More, S.S.; Nagendrappa, G.; Kaur, M.; et al. Synthesis, crystal structure, ABTS radical-scavenging activity, antimicrobial and docking studies of some novel quinoline derivatives. J. Mol. Struct. 2014, 1070, 10–20. [Google Scholar] [CrossRef]
- Kumar, S.; Bhat, H.R.; Kumawat, M.K.; Singh, U.P. Design and one-pot synthesis of hybrid thiazolidin-4-one-1,3,5-triazines as potent antibacterial agents against human disease-causing pathogens. New J. Chem. 2013, 37, 581–584. [Google Scholar] [CrossRef]
- Apotrosoaei, M.; Vasincu, I.; Constantin, S.; Buron, F.; Routier, S.; Profire, L. Synthesis, characterization and antioxidant activity of some new thiazolidin-4-one derivatives. Rev. Med. Chir. Soc. Med. Nat. Iasi 2014, 118, 213–218. [Google Scholar]
- Theodorou, V.; Konstantinos, S.; Tzakos, A.G.; Ragoussis, V. A simple method for the alkaline hydrolysis of esters. Tetrahedron Lett. 2007, 48, 8230–8233. [Google Scholar]
- Sambarkar, P.B.; Patil, A.C. Synthesis of amides from acid and amine using coupling reagents. J. Curr. Pharm. Res. 2012, 10, 22–24. [Google Scholar]
- Sample Availability: Samples of the compounds 4a–l, 5a–l, 7a–l are available from the authors.
© 2014 by the authors. Licensee MDPI, Basel, Switzerland. This article is an open access article distributed under the terms and conditions of the Creative Commons Attribution license ( http://creativecommons.org/licenses/by/3.0/).



































