Copper/N,N-Dimethylglycine Catalyzed Goldberg Reactions Between Aryl Bromides and Amides, Aryl Iodides and Secondary Acyclic Amides
Abstract
:1. Introduction
2. Results and Discussion
| Entry | Copper Salt | Ligand | Solvent | Base | Yield b [%] |
|---|---|---|---|---|---|
| 1 | CuI | L1 | DMF | K2CO3 | 24 |
| 2 | CuI | L1 c | DMF | K2CO3 | 25 |
| 3 | CuI | L1 | DMF d | K2CO3 | 61 |
| 4 | CuI | L1 | DMF d | K3PO4 | 60 |
| 5 | CuI | L1 | DMF d | Cs2CO3 | 0 |
| 6 | CuI | L1 | DMSO d | K2CO3 | 47 |
| 7 | CuI | L1 | Dioxane d | K2CO3 | 42 |
| 8 | Cu2O | L1 | DMF d | K2CO3 | 8 |
| 9 | Cu(acac)2 | L1 | DMF d | K2CO3 | 30 |
| 10 | CuI | L2 | DMF d | K2CO3 | trace |
| 11 | CuI | L3 | DMF d | K2CO3 | 76 |
| 12 | CuI | L4 | DMF d | K2CO3 | 86 e |
| 13 | CuI | L5 | DMF d | K2CO3 | 96 f |
| 14 | CuI | L5 | DMF d | K2CO3 | 96 g |
| 15 | CuI | L6 | DMF d | K2CO3 | 0 |
| 16 | CuI | L7 | DMF d | K2CO3 | 0 |
| 17 | CuI | -- | DMF d | K2CO3 | 0 |
| 18 | -- | L5 | DMF d | K2CO3 | 0 |
| Entry | Product | 3 | T (°C) | t (h) | Yield b (%) | |||
|---|---|---|---|---|---|---|---|---|
| 1 | ![]() | 3b | 100 | 22 | 96 | |||
| 2 | ![]() | 3c | 100 | 24 | 92 | |||
| 3 | ![]() | 3d | 100 | 16 | 93 | |||
| 4 | ![]() | 3e | 100 | 8 | 97 | |||
| 5 | ![]() | 3f | 100 | 20 | 90 | |||
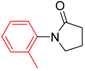
| 6 | ![]() | 3g | 90 | 18 | 90 | |||
| 7 | ![]() | 3h | 90 | 16 | 93 | |||
| 8 | ![]() | 3i | 100 | 16 | 83 | |||
| 9 | ![]() | 3g | 110 | 24 | 76 91 f | |||
| 10 | ![]() | 3k | 110 | 26 | 91 | |||
| 11 | ![]() | 3l | 110 | 24 | 95 c | |||
| 12 | ![]() | 3m | 100 | 19 | 93 93 f | |||
| 13 | ![]() | 3n | 110 | 20 | 95 93 f | |||
| 14 | ![]() | 3o | 90 | 19 | 94 | |||
| 15 | ![]() | 3p | 110 | 27 | 90 | |||
| 16 | ![]() | 3q | 110 | 14 | 96 92 f | |||
| 17 | ![]() | 3r | 100 | 18 | 71 d 70 f | |||
| 18 | ![]() | 3s | 110 | 24 | 74 | |||
| Entry | Product | 3 | T ( °C) | t (h) | Yield b (%) |
|---|---|---|---|---|---|
| 1 | ![]() | 3t | 90 | 24 | 85 |
| 2 | ![]() | 3u | 80 | 24 | 81 |
| 3 | ![]() | 3v | 90 | 24 | 82 |
| 4 | ![]() | 3v | 90 | 24 | 82 |
| 5 | ![]() | 3q | 80 | 24 | 92 |
3. Experimental Section
3.1. General Information & Materials
3.2. General Procedure for Optimization of Amidation of Aryl Bromides with Copper/N,N-Dimethyl-glycine Catalytic System
3.3. General Procedure for the Coupling of Aryl Bromides with Amides Using Copper/N,N-Dimethyl-glycine Catalytic System
3.4. General Procedure for the Coupling of Aryl Iodides with Hindered Amides Using Copper/N,N-Dimethylglycine Catalytic System
3.5. Analytical Data of Products
![]() | N-(4-Methoxyphenyl)-N-methylformamide (3a). 1H-NMR (CDCl3): δ 8.35 (s, 1H), 7.11 (d, J = 8.7 Hz, 2H), 6.93 (d, J = 9.0 Hz, 2H), 3.83 (s, 3H), 3.28 (s, 3H); EI-MS m/z 165 (M+), 153, 136, 122, 108, 94, 77, 65, 52. |
![]() | N-(4-Methoxyphenyl)benzamide (3b). 1H-NMR (CDCl3): δ 7.87 (d, J = 7.2 Hz, 1H ), 7.79 (s, 1H), 7.56–7.46 (m, 5H), 6.91 (d, J = 9.3 Hz, 2H), 3.82(s, 3H); EI-MS m/z 227 (M+), 210, 178, 149, 122, 105, 77, 51. |
![]() | N-(3-Aminophenyl)benzamide (3c). 1H-NMR (CDCl3): δ 7.85 (d, J = 7.2 Hz, 2H), 7.79 (s, 1H), 7.57–7.45 (m, 3H), 7.33 (s, 1H), 7.13 ( t, J = 7.8 Hz, 1H), 6.79 (d, J = 7.8 Hz, 1H), 6.48 (d, J1 = 8.1 Hz, J2 = 1.8 Hz,1H), 3.71 (s, 2H); EI-MS m/z 212 (M+), 184, 167, 135, 121, 105, 77, 51. |
![]() | N-(3-(Trifluoromethyl)phenyl)benzamide (3d). 1H-NMR (CDCl3): δ 8.00–7.85 (m, 5H), 7.57–7.39 (m, 5H); EI-MS m/z 265 (M+), 246, 225, 149, 113, 105, 77, 51. |
![]() | N-(4-Chlorophenyl)nicotinamide (3e). 1H-NMR (CDCl3): δ 9.08 (s, 1H), 8.78 (dd, J1 = 4.8 Hz, J2 = 1.5 Hz, 1H), 8.21 (d, J = 7.8 Hz, 1H), 8.04 (s, 1H), 7.62 (d, J = 9.0 Hz, 2H), 7.48–7.44 (m, 1H), 7.36 (d, J = 8.7 Hz, 2H); EI-MS m/z 232 (M+), 127, 106, 78, 51. |
![]() | N-(4-Methoxyphenyl)cinnamamide (3f). 1H-NMR (CDCl3): δ 7.75 (d, J = 15.6 Hz, 1H), 7.54 (m, 4H), 7.38 (m, 3H), 6.90 (d, J = 8.7 Hz, 2H), 6.53 (d, J = 15.3 Hz, 1H), 3.81 (s, 3H); EI-MS m/z 253 (M+), 131, 123, 108, 103, 77, 51. |
![]() | 1-(4-Methoxyphenyl)pyrrolidin-2-one (3g). 1H-NMR (CDCl3): δ 7.50 (d, J = 9.0 Hz, 2H), 6.91 (d, J = 9.0 Hz, 2H), 3.86–3.00 (m, 5H), 2.60 (t, J = 8.1 Hz, 2H), 2.16 (m, 2H); EI-MS m/z 191 (M+), 176, 166, 136, 121, 69, 57. |
![]() | 1-(4-Acetylphenyl)pyrrolidin-2-one (3h). 1H-NMR (CDCl3): δ 7.98 (d, J = 8.7 Hz, 2H), 7.76 (d, J = 9.0 Hz, 2H), 3.91 (t, J = 7.2 Hz, 2H), 2.65 (t, J = 7.5 Hz, 2H), 2.59 (s, 3H), 2.20 (m, 2H); EI-MS m/z 203 (M+), 188, 160, 148, 132, 120, 105, 90, 77, 69, 63, 51, 43. |
![]() | 1-(4-(Trifluoromethyl)phenyl)pyrrolidin-2-one (3i). 1H-NMR (CDCl3): δ 7.77 (d, J = 8.4 Hz, 2H), 7.61 (d, J = 8.4 Hz, 2H), 3.89 (t, J = 7.2 Hz, 2H), 2.64 (t, J = 7.8 Hz, 2H), 2.21 (m, 2H); EI-MS m/z 229 (M+), 210, 174, 145, 127, 95, 84, 57. |
![]() | 1-o-Tolylpyrrolidin-2-one (3j). 1H-NMR (CDCl3): δ 7.27–7.21 (m, 3H), 7.16–7.13 (m, 1H), 3.72 (t, J = 7.2 Hz, 2H), 2.59 (t, J = 8.1 Hz, 2H), 2.28–2.18 (m, 5H), EI-MS m/z 175 (M+), 158, 146, 130, 120, 91, 65, 51. |
![]() | 1-(3-(Trifluoromethyl)phenyl)piperidin-2-one (3k). 1H-NMR (CDCl3): δ 7.53–7.48 (m, 4H), 3.69–3.66 (m, 2H), 2.60–2.56 (m, 2H), 1.98–1.96 (m, 4H); EI-MS m/z 243 (M+), 224, 214, 187, 174, 149, 145, 120, 108, 91, 70, 55. |
![]() | N-Methyl-N-(thiophen-3-yl)formamide (3l). 1H-NMR (CDCl3): δ 8.52 (s, 1H), 8.23 (s, 0.2H), 7.44–7.42 (m, 0.2H), 7.35–7.30 (m, 1.2 H), 7.25–7.23 (m, 0.2H), 6.99–6.97 (m, 1H), 6.84–6.83 (m, 1H), 3.30 (s, 0.6 H), 3.22 (s, 3H); EI-MS m/z 141 (M+), 112, 98, 85, 80, 72, 68, 58, 54, 45, 42. |
![]() | N-(4-Fluorophenyl)-N-methylformamide (3m). 1H-NMR (CDCl3): δ 8.40 (s, 1H), 7.18–7.12 (m, 4H), 3.31 (s, 3H); EI-MS m/z 153 (M+), 124, 112, 95, 83, 77, 75, 57. |
![]() | N-(4-Methoxyphenyl)-N-phenylformamide (3n). 1H-NMR (CDCl3): δ 8.62 (d, J = 30.9 Hz, 1H), 7.38–7.34 (m, 2H), 7.31–7.19 (m, 3H), 7.16–7.11 (m, 2H), 6.92 (d, J = 9.0 Hz, 2H), 3.81 (d, J = 4.2 Hz, 3H); EI-MS m/z 227 (M+), 199, 184, 167, 154, 129, 124, 121, 103, 93, 77, 66, 51, 43 |
![]() | N-Phenyl-N-m-tolylformamide (3o). 1H-NMR (CDCl3): δ 8.66 (d, J = 6.3 Hz,1H), 7.43–7.38 (m, 2H), 7.33–7.26 (m, 3H), 7.18–7.05 (m, 3H), 6.98 (s, 1H), 2.36–2.35 (d, J = 3.6 Hz, 3H); EI-MS m/z 211 (M+), 183, 167, 141, 128, 118, 108, 91, 80, 65, 51; EI-HRMS for C15H13NO2 (M+) requires 211.0997, found 211.0992. |
![]() | N-(4-Acetylphenyl)-N-phenylformamide (3p). 1H-NMR (CDCl3): δ 7.86 (d, J = 8.1 Hz, 2H), 7.34 (t, J = 7.5 Hz, 2H), 7.18 (d, J = 7.5 Hz, 2H), 7.08 (t, J = 7.2 Hz, 1H), 6.99 (d, J = 8.4 Hz, 2H), 6.26 (s, 1H), 2.63 (s, 3H); 13C-NMR (CDCl3): δ 196.3, 148.2, 140.4, 130.5 (2C), 129.4 (2C), 128.9, 123.2, 120.5 (2C), 114.2 (2C), 97.6, 26.0; EI-MS m/z 239 (M+), 211, 196, 167, 139, 115, 98, 84, 77, 63, 51, 43; EI-HRMS for C15H13NO2 (M+) requires 239.0946, found 239.0944. |
![]() | N-Benzyl-N-p-tolylformamide (3q). 1H-NMR (CDCl3): δ 8.50 (s, 1H), 7.28–7.21 (m, 5H), 7.13 (d, J = 8.1 Hz, 2H), 6.98 (d, J = 8.4 Hz, 2H), 4.97 (s, 2H), 2.32 (s, 3H); EI-MS m/z 225 (M+), 196, 181, 165, 133, 118, 91, 77, 65, 51 |
![]() | N-Benzyl-N-(pyridin-2-yl)formamide (3r). 1H-NMR (CDCl3): δ 9.50 (s, 1H), 8.39 (d, J = 5.1 Hz, 1H), 7.62 (t, J = 7.2 Hz, 1H), 7.29–7.22 (m, 5H), 7.08 (m, 1H), 6.93(d, J = 8.1 Hz, 1H), 5.18 (s, 2H); EI-MS m/z 212 (M+), 183, 168, 154, 106, 91, 78, 65, 51 |
![]() | N-Phenyl-N-(thiophen-3-yl)acetamide (3s). 1H-NMR (CDCl3): δ 7.46–7.18 (m, 7H), 7.18 (6.95, J = 5.7 Hz, 1H), 1.99 (s, 3H); EI-MS m/z 217 (M+), 175, 149, 130, 120, 104, 84, 77, 51, 43. |
![]() | N-(4-Fluorophenyl)-N-phenylacetamide (3t). 1H-NMR (CDCl3): δ 7.32~7.15 (m, 9H), 2.33 (s, 3H), 2.05 (s, 3H). |
![]() | N-(4-Fluorophenyl)-N-phenylacetamide (3u). 1H-NMR (CDCl3): δ 7.40~6.99 (m, 9H), 2.06 (s, 3H). |
![]() | N-methyl-N-phenylacetamide (3v). 1H-NMR (CDCl3): δ 7.43 (t, J = 7.2 Hz, 2H), 7.34 (t, J = 7.2 Hz, 1H), 7.19 (d, J = 4.8 Hz, 2H), 3.27 (s, 3H), 1.87 (s, 3H); EI-MS m/z 149 (M+), 129, 120, 109, 106, 92, 81, 77, 65, 51, 43. |
![]() | N-Cyclohexyl-N-phenylformamide (3w). 1H-NMR (CDCl3): δ 8.42 (s, 0.15H), 8.15 (s, 0.85H), 7.44–7.35 (m, 3H), 7.17–7.13 (m, 2H), 4.44–4.37 (m, 0.85H), 3.65–3.57 (m, 0.15H), 1.92–1.74 (m, 4H), 1.63–1.58 (m, 1H), 1.46–1.23 (m,4H), 1.05–0.95 (m, 1H); EI-MS m/z 203 (M+), 174, 160, 146, 132, 121, 118, 104, 93, 77, 66, 55, 51, 41. |
4. Conclusions
Supplementary Materials
Supplementary Files
Supplementary File 1Acknowledgments
Author Contributions
Conflicts of Interest
References
- Muci, A.R.; Buchwald, S.L. Practical Palladium Catalysts for C-N and C-O Bond Formation. Top. Curr. Chem. 2002, 219, 131–209. [Google Scholar] [CrossRef]
- Hartwig, J.F. Handbook of Organopalladium Chemistry for Organic Synthesis; Negishi, E.I., Ed.; Wiley-Interscience: New York, NY, USA, 2002; pp. 1051–1096. [Google Scholar]
- Evano, G.; Blanchard, N.; Toumi, M. Copper-mediated coupling reactions and their applications in natural products and designed biomolecules synthesis. Chem. Rev. 2008, 108, 3054–3031. [Google Scholar] [CrossRef]
- Monnier, F.; Taillefer, M. Catalytic C-C, C-N, and C-O ullmann-type coupling reactions. Angew. Chem. Int. Ed. 2009, 48, 6954–6971. [Google Scholar] [CrossRef]
- Yin, J.; Buchwald, S.L. Pd-catalyzed intermolecular amidation of aryl halides: The discovery that xantphos can be trans-chelating in a palladium complex. J. Am. Chem. Soc. 2002, 124, 6043–6048. [Google Scholar] [CrossRef]
- Huang, X.; Anderson, K.W.; Zim, D.; Jiang, L.; Klapars, A.; Buchwald, S.L. Expanding Pd-catalyzed C-N bond-forming processes: The first amidation of aryl sulfonates, aqueous amination, and complementarity with Cu-catalyzed reactions. J. Am. Chem. Soc. 2003, 125, 6653–6655. [Google Scholar] [CrossRef]
- Shen, Q.; Shekhar, S.; Stambuli, J.P.; Hartwig, J.F. Highly reactive, general, and long-lived catalysts for coupling heteroaryl and aryl chlorides with primary nitrogen nucleophiles. Angew. Chem. Int. Ed. 2005, 44, 1371–1375. [Google Scholar] [CrossRef]
- Shen, Q.; Hartwig, J.F. Lewis acid acceleration of C-N bond-forming reductive elimination from heteroarylpalladium complexes and catalytic amidation of heteroaryl bromides. J. Am. Chem. Soc. 2007, 129, 7734–7735. [Google Scholar] [CrossRef]
- Ikawa, T.; Barder, T.E.; Biscoe, M.R.; Buchwald, S.L. Pd-catalyzed amidations of aryl chlorides using monodentate biaryl phosphine ligands: A kinetic, computational, and synthetic investigation. J. Am. Chem. Soc. 2007, 129, 13001–13007. [Google Scholar] [CrossRef]
- Jacqueline, D.H.; Hyde, A.M.; Cuezva, A.M.; Buchwald, S.L. Pd-catalyzed N-arylation of secondary acyclic amides: Catalyst development, scope, and computational study. J. Am. Chem. Soc. 2009, 131, 16720–16734. [Google Scholar]
- Klapars, A.; Antilla, J.C.; Huang, X.; Buchwald, S.L. A general and efficient copper catalyst for the amidation of aryl halides and the N-arylation of nitrogen heterocycles. J. Am. Chem. Soc. 2001, 123, 7727–7729. [Google Scholar] [CrossRef]
- Klapars, A.; Huang, X.; Buchwald, S.L. A general and efficient copper catalyst for the amidation of aryl halides. J. Am. Chem. Soc. 2002, 124, 7421–7428. [Google Scholar] [CrossRef]
- Mallesham, B.; Rajesh, B.M.; Reddy, P.R.; Srinivas, D.; Trehan, S. Highly efficient CuI-catalyzed coupling of aryl bromides with oxazolidinones using Buchwald’s protocol: A short route to linezolid and toloxatone. Org. Lett. 2003, 5, 963–965. [Google Scholar] [CrossRef]
- Barros, O.S.D.; Nogueira, C.W.; Stangherlin, E.C.; Menezes, P.H.; Zeni, G. Copper-promoted carbon-nitrogen bond formation with 2-Iodo-selenophene and amides. J. Org. Chem. 2006, 71, 1552–1557. [Google Scholar] [CrossRef]
- Padwa, A.; Crawford, K.R. Copper-catalyzed amidation of bromo substituted furans and thiophenes. Tetrahedron Lett. 2002, 43, 7365–7368. [Google Scholar] [CrossRef]
- Phillips, D.P.; Hudson, A.R.; Nguyen, B.; Lau, T.L.; McNeill, M.H.; Dalgard, J.E.; Chen, J.H.; Penuliar, R.J.; Miller, T.A.; Zhi, L. Copper-catalyzed N-arylation of oxindoles. Tetrahedron Lett. 2006, 47, 7137–7138. [Google Scholar] [CrossRef]
- Kang, S.K.; Kim, D.H.; Park, J.N. Copper-catalyzed N-arylation of aryl iodides with benzamides or nitrogen heterocycles in the presence of ethylenediamine. Synlett 2002, 427–430. [Google Scholar] [CrossRef]
- Deng, W.; Wang, Y.F.; Zou, Y.; Liu, L.; Guo, Q.X. Amino acie-mediated Goldberg reactions between amides and aryl iodides. Tetrahedron Lett. 2004, 45, 2311–2315. [Google Scholar] [CrossRef]
- Chen, Y.J.; Chen, H.H. 1,1,1-Tris(hydroxymethyl)ethane as a new, efficient, and versatile tripod ligand for copper-catalyzed cross-coupling reactions of aryl iodides with amides, thiols, and phenols. Org. Lett. 2006, 8, 5609–5612. [Google Scholar] [CrossRef]
- Cristau, H.J.; Cellier, P.P.; Spindler, J.F.; Taillefer, M. Highly efficient and mild copper-catalyzed N- and C-arylations with aryl bromides and iodides. Chem. Eur. J. 2004, 10, 5607–5622. [Google Scholar] [CrossRef]
- Spindler, J.F.; Cellier, P.P.; Cristau, H.J.; Taillefer, M. Process for Formation of a Carbon-Carbon or Carbon-Heteroatom Bond. French Patent Application 2859205 A1, 4 March 2005. [Google Scholar]
- Racine, E.; Monnier, F.; Vors, J.P.; Taillefer, M. A simple copper-catalyzed synthesis of tertiary acyclic amides. Org. Lett. 2011, 13, 2818–2812. [Google Scholar]
- Lv, X.; Bao, W. A β-Keto ester as a novel, efficient, and versatile ligand for copper(I)-catalyzed C-N, C-O, and C-S coupling reactions. J. Org. Chem. 2007, 72, 3863–3867. [Google Scholar]
- Xu, L.; Jiang, Y.; Ma, D. Synthesis of 3-substituted and 2,3-disubstituted quinazolinones via Cu-catalyzed aryl amidation. Org. Lett. 2012, 14, 1150–1153. [Google Scholar]
- Li, J.; Zhang, Y.; Jiang, Y.; Ma, D. CuI/N,N-dimethylglycine-catalyzed synthesis of N-aryloxazolidinones from aryl bromides. Tetrahedron Lett. 2012, 53, 3981–3983. [Google Scholar]
- Hick, J.D.; Hyde, A.M.; Martinez Cuezva, A.; Buchwald, S.L. Pd-Catalyzed N-Arylation of Secondary Acyclic Amides: Catalyst Development, Scope, and Computational Study. J. Am. Chem. Soc. 2009, 131, 16720–16734. [Google Scholar]
- Wagner, J.; Wagner, M.L.; Hening, W.A. Beyond benzodiazepines: Alternative pharmacologic agents for the treatment of insomnia. Ann. Pharmacother. 1998, 32, 680–691. [Google Scholar] [CrossRef]
- VanBever, W.F.M.; Niemegeers, C.J.E.; Janssen, P.A. Synthetic analgesics. Synthesis and pharmacology of the diastereoisomers of N-(3-methyl-1-(2-phenylethyl)-4-piperidyl)-N-phenylpropanamide and N-(3-methyl-1-(1-methyl-2-phenylethyl)-4-piperidyl)-N-phenylpropanamide. J. Med. Chem. 1974, 17, 1047–1051. [Google Scholar] [CrossRef]
- Anderson, R.; Hokama, T.; Lee, S.F.; Oey, R.; Elich, T.; Breazeale, S. Preparation of Modulators of Acetyl Coenzyme A Carboxylase as Fungicides and Pharmaceuticals. U.S. Patent 20080200461, 20 February 2008. [Google Scholar]
- Greene, T.W.; Wuts, P.G.M. Protective Groups in Organic Chemistry, 3rd ed.; John Wiley & Sons: New York, NY, USA, 1999; pp. 503–564. [Google Scholar]
- Jiang, L.; Lu, X.; Zhang, H.; Jiang, Y.; Ma, D. CuI/4-hydro-l-proline as a more effective catalytic system for coupling of aryl bromides with N-Boc hydrazine and aqueous ammonia. J. Org. Chem. 2009, 74, 4542–4546. [Google Scholar] [CrossRef]
- Xie, X.; Chen, Y.; Ma, D. Enantioselective arylation of 2-methylacetoacetates catalyzed by CuI/trans-4-hydroxy-l-proline at low reaction temperatures. J. Am. Chem. Soc. 2006, 128, 16050–16051. [Google Scholar] [CrossRef]
- Watanabe, M.; Yamamoto, T.; Nishiyama, M. Stabilisation of charge-separated states via gain of aromaticity and planarity of the donor moiety in C60-based dyads. Chem. Commun. 2000, 133–134. [Google Scholar] [CrossRef]
- Luker, T.J.; Beaton, H.G.; Whiting, M.; Mete, A.; Cheshire, D.R. Palladium catalysed amination of electron deficient halothiophenes. Tetrahedron Lett. 2000, 41, 7731–7735. [Google Scholar]
- Kauffman, G.B.; Fang, L.Y. Purification of copper(I) iodide. Inorg. Synth. 1983, 22, 101–103. [Google Scholar]
- Kitching, M.O.; Hurst, T.E.; Snieckus, V. Copper-catalyzed cross-coupling interrupted by an opportunistic smiles rearrangement: An efficient domino approach to dibenzoxazepinones. Angew. Chem. Int. Ed. 2012, 51, 2925–2929. [Google Scholar] [CrossRef]
- Sample Availability: Not available.
© 2014 by the authors. Licensee MDPI, Basel, Switzerland. This article is an open access article distributed under the terms and conditions of the Creative Commons Attribution license ( http://creativecommons.org/licenses/by/3.0/).
Share and Cite
Jiang, L. Copper/N,N-Dimethylglycine Catalyzed Goldberg Reactions Between Aryl Bromides and Amides, Aryl Iodides and Secondary Acyclic Amides. Molecules 2014, 19, 13448-13460. https://doi.org/10.3390/molecules190913448
Jiang L. Copper/N,N-Dimethylglycine Catalyzed Goldberg Reactions Between Aryl Bromides and Amides, Aryl Iodides and Secondary Acyclic Amides. Molecules. 2014; 19(9):13448-13460. https://doi.org/10.3390/molecules190913448
Chicago/Turabian StyleJiang, Liqin. 2014. "Copper/N,N-Dimethylglycine Catalyzed Goldberg Reactions Between Aryl Bromides and Amides, Aryl Iodides and Secondary Acyclic Amides" Molecules 19, no. 9: 13448-13460. https://doi.org/10.3390/molecules190913448
APA StyleJiang, L. (2014). Copper/N,N-Dimethylglycine Catalyzed Goldberg Reactions Between Aryl Bromides and Amides, Aryl Iodides and Secondary Acyclic Amides. Molecules, 19(9), 13448-13460. https://doi.org/10.3390/molecules190913448
















































