Next Article in Journal
Tanacetum polycephalum (L.) Schultz-Bip. Induces Mitochondrial-Mediated Apoptosis and Inhibits Migration and Invasion in MCF7 Cells
Previous Article in Journal
GSK3β Regulates Milk Synthesis in and Proliferation of Dairy Cow Mammary Epithelial Cells via the mTOR/S6K1 Signaling Pathway
 
 
Font Type:
Arial Georgia Verdana
Font Size:
Aa Aa Aa
Line Spacing:
Column Width:
Background:
Review

Blumea balsamifera—A Phytochemical and Pharmacological Review

1
Tropical Crops Genetic Resources Institute, Chinese Academy of Tropical Agricultural Sciences, Danzhou, Hainan 571737, China
2
Key Laboratory of Crop Gene Resources and Germplasm Enhancement in Southern China, Danzhou, Hainan 571737, China
3
Hainan Provincial Engineering Research Center for Blumea balsamifera, Danzhou, Hainan 571737, China
4
School of Traditional Chinese Medicine, Guangdong Pharmaceutical University, Guangzhou, Guangdong 510006, China
*
Author to whom correspondence should be addressed.
Molecules 2014, 19(7), 9453-9477; https://doi.org/10.3390/molecules19079453
Submission received: 30 May 2014 / Revised: 27 June 2014 / Accepted: 2 July 2014 / Published: 3 July 2014
(This article belongs to the Section Medicinal Chemistry)

Abstract

:
The main components of sambong (Blumea balsamifera) are listed in this article. The whole plant and its crude extracts, as well as its isolated constituents, display numerous biological activities, such as antitumor, hepatoprotective, superoxide radical scavenging, antioxidant, antimicrobial and anti-inflammation, anti-plasmodial, anti-tyrosinase, platelet aggregation, enhancing percutaneous penetration, wound healing, anti-obesity, along with disease and insect resistant activities. Although many experimental and biological studies have been carried out, some traditional uses such as rheumatism healing still need to be verified by scientific pharmacological studies, and further studies including phytochemical standardization and bioactivity authentication would be beneficial.

Graphical Abstract

1. Introduction

Nowadays, herbal medicines are widely consumed and their sales have been rising significantly all over the world. According to the reports of the World Health Organization (WHO), to treat diseases over 80% of the populations in developing countries mainly rely on herbs, which are considered to be safer and more effective than synthetic drugs [1,2,3].
Blumea balsamifera (L.) DC. (Asteraceae), also known as sambong, has been used as medicine for thousands of years in Southeast Asia countries, such as China, Malaysia, Thailand, Vietnam, and Philippines. Sambong is the most important member of the genus Blumea and is an indigenous herb of tropical and subtropical Asia, especially in China. This plant grows on forest edges, under forests, river beds, valleys and grasses [4,5]. In China, it is generally a common used herb in the areas south of the Yangtze River, such as Hainan, Guizhou, Yunnan, and Guangdong provinces and Taiwan [6,7,8]. B. balsamifera is commonly called “Ainaxiang” and “Dafeng’ai” in Chinese and used as incense because it has a high level of essential oils [9]. It was originally recorded in “Bei Ji Qian Jin Yao Fang” in 652 by Sun Simiao. The whole plant or its leaves were used as a crude Chinese traditional medicinal material to treat eczema, dermatitis, beriberi, lumbago, menorrhagia, rheumatism, skin injury, and as an insecticide [10]. Bing Pian and Aipian are two important traditional Chinese medicines (TCMs) extracted from plants and have been used as one in prescriptions for centuries in China. Both of them mainly contain borneol and are similar in efficacy [11]. They are synonymous in the Chinese pharmaceutical industry nowadays. Before 2010, sambong was one of the most important plant sources for Bing Pian, but since 2010, the Pharmacopoeia of the People’s Republic of China records B. balsamifera as the only plant source for Aipian [11], with a consistent efficacy with B. balsamifera medicinal materials, which could induce resuscitation, clear heat, and relieve pain. Recently, extracts of its leaves have been verified do display various new physiological activities, such as antitumor [12,13,14], antifungal [13,15], radical-scavenging [16], and anti-obesity properties [17]. The main active compound is L-borneol, which was characterized by a high volatility. Besides, essential oils, flavonoids, and terpenoids with several different biological activities were also reported [18]. These studies could explain why this plant has multiple pharmacological effects.
In this review, botanical descriptions, herbal authentications, and phytochemical constituents of B. balsamifera are covered. In addition, the previous in vitro and in vivo studies conducted on its biological activities are reviewed, concentrating on antitumor, hepatoprotective, superoxide radical scavenging, antioxidant, antimicrobial, anti-inflammation, antiplasmodial, antityrosinase, platelet aggregation, wound healing, anti-obesity, disease and insect resistant activities as well as enhancing percutaneous penetration.

General Botanical Description

According to the description of Flora Republicae Popularis Sinicae and Chinese Materia Medica [19,20], B. balsamifera is a perennial herb or subshrub, which rises about 1–3 meters in height. Its stem is strong and taupe, and erects with taupe, longitudinal edges. Its upper internodes are covered by dense tawny nonglandular hair. Its leaves, when triturated, send out a unique, cool aroma, which can make people feel refreshed. The leaves are wide ovoid or oblong-lanceolate in shape at the bottom, 22–25 cm in length, 8–10 cm in width. Its base is attenuated with petiole, narrow linear appendants of 3–5 pairs on both sides, pubescenced above, slight brown or thick yellow-white silky-villous, highlighted below midrib, with lateral veins of 10–15 pairs. The leaves at the top are oblong-lanceolate or ovate-lanceolate in shape, 7–12 cm in length, 1.5–3.5 cm in width, with an acuminate apex, a slightly acuminate base, without petiole or with a short petiole with narrow linear appendants of 1–3 pairs, entire or with thin serration or pinnatopectinate. Capitulum is arranged in much more branched leafy panicles; a peduncle with yellow and dense pubescence; an involucre campanulate, and a dense pubescence at the back. Its flower is yellow, with numerous female parts; tubular corolla, receptacle honeycomb, and corolla thin tubulous. Akene is cylindrical, with five edges, a dense pubescence, and a red-brown rough hairy pappus. The flowering period almost covers the whole year. B. balsamifera often grows in forest edges, under forests, river beds, valleys, or grasslands, and the altitude is 600–1000 m. In addition to its various Chinese locations it is also distributed in India, Pakistan, Burma, Indo-China Peninsula, Malaysia, Indonesia and Philippines.

2. Phytochemistry

There have been more than 100 volatile or non-volatile constituents isolated from sambong, including monoterpenes, sesquiterpenes, diterpenes, flavonoids, organic acids, esters, alcohols, dihydroflavone, and sterols. The study of the plant mainly focused on the volatile oils and flavonoids, which possessed various bioactivities in vivo and in vitro. The chemical constituents of B. balsamifera have been reviewed earlier [8,18].

2.1. Volatile Constituents

The volatile constituents account for the largest amount of the constituents in B. balsamifera, which are the major active constituents containing terpenoids, fatty acids, phenols, alcohols, aldehydes, ethers, ketones, pyridines, furans, and alkanes (Table 1, Appendix A). The most important constituent is l-borneol. To address the need for a natural borneol, different extraction methods have been used to extract the volatile constituents from B. balsamifera. Steam distillation (SD), simultaneous distillation and extraction (SDE), and CO2 supercritical extraction were the most common methods in the extraction of volatile oils [21,22,23,24]. Wang et al. have adopted SD, SDE, and headspace solid-phase micro-extraction (HS-SPME) in order to obtain the volatile compounds of B. balsamifera leaves [23]. The extracts were then isolated and were identified by gas chromatography mass spectrometry (GC-MS). They found that alcohols and terpenoids were the main volatile compounds and the terpenoids accounted for a considerable proportion. Fifty, twenty-four, and forty-nine kinds of compounds were extracted by SD, SDE, and HS-SPME, respectively.
Table 1. The known volatile constituents of B. balsamifera.
Table 1. The known volatile constituents of B. balsamifera.
Classification Compound nameMolecular formulaReferences
Monoterpenes1l-borneolC10H18O[22,25,26]
2IsoborneolC10H18O[22,23,27]
3(+)-LimoneneC10H16[21,25,28]
4(−)-LimoneneC10H16[23]
5(E) OcimeneC10H16[23,27,28]
6(Z)-β-OcimeneC10H16[23]
7β-MyrceneC10H16[28]
8CampheneC10H16[21,23,25,27,28]
9α-PineneC10H16[21,23,25,27,28]
10β-PineneC10H16[21,23,25,27,28]
11Terpinen-4-olC10H18O[21,22,27]
12Perillyl alcoholC10H16O[21,28]
13ChrysanthenoneC10H14O[21,23,27]
14α-TerpineolC10H18O[22,23,26,27]
15Bornyl acetateC12H20O2[23]
16SabineneC10H16[27]
17α-ThujeneC10H16[27]
18Trans-linalool oxideC10H18O2[27]
19LinalooloxideC10H18O2[21]
20CamphorC10H16O[21,22,25,26,27,28]
211,8-CineoleC10H18O[26]
Oxygenated monoterpenes22Perilla aldehydeC10H14O[21,25,28]
23CuminaldehydeC10H12O[27,28]
24MyrtenalC10H14O[21,27]
25Thymohydroquinone dimethyl etherC12H18O2[21]
Sesquiterpenes26α-GurjuneneC15H24[21,23,25,27]
27AlloaromadendreneC15H24[23,25]
28(+)-AromadendreneC15H24[23]
29AromadendreneC15H24[21,23,27,28]
30Aromadendrene oxideC15H24O[28]
31Aromadendrene, dehydroC15H22[28]
32LongifoleneC15H24[23,27]
33α-CaryophylleneC15H24[21,23,25,26,27,28]
34β-CaryophylleneC15H24[21,25,27]
35Caryophyllene oxideC15H24O[21,22,26,27,28]
36Guaia-3,9-dieneC15H24[26,28]
37γ-CadineneC15H24[21,27]
38δ-CadineneC15H24[21,27,28]
39β-SelineneC15H24[27]
40(+)-β-Selinene(β-Selinene)C15H24[26]
41β-GurjuneneC15H24[26]
42(+)-γ-GurjuneneC15H24[23]
43Thujopsene-13C15H24[23,28]
44β-ElemeneC15H24[28]
45(−)-β-ElemeneC15H24[23]
46(−)-γ-CadineneC15H24[23]
47(−)-δ-CadineneC15H24[23]
4810-Epi- γ-EudesmolC15H26O[21,23,25,27]
49GlobulolC15H26O[27,28]
50(−)-GuaiolC15H26O[21,22,25,28]
51LedolC15H26O[21,23,25,28]
52γ-MuuroleneC15H24[26,28]
53ElemolC15H26O[21,23,27]
54α-EudesmolC15H26O[21,25]
55β-EudesmolC15H26O[21,23,27,28]
Sesquiterpenes56γ-EudesmolC15H26O[21,23,25,28]
57CarotolC15H26O[23,28]
58CubenolC15H26O[23,28]
Diterpenes5916-KaureneC20H32[23]
601-Ang-4,7-dihydroxyeudesmaneC20H34O4[9]
61PhytolC20H40O[26,28]
62Blumeaene AC20H30O5[9]
63Blumeaene BC20H30O5[9]
64Blumeaene CC19H30O5[9]
65Blumeaene DC21H32O5[9]
66Blumeaene EC20H30O6[9]
67Blumeaene FC20H30O6[9]
68Blumeaene GC20H30O5[9]
69Blumeaene HC19H30O5[9]
70Blumeaene IC20H30O6[9]
71Blumeaene JC20H32O7[9]
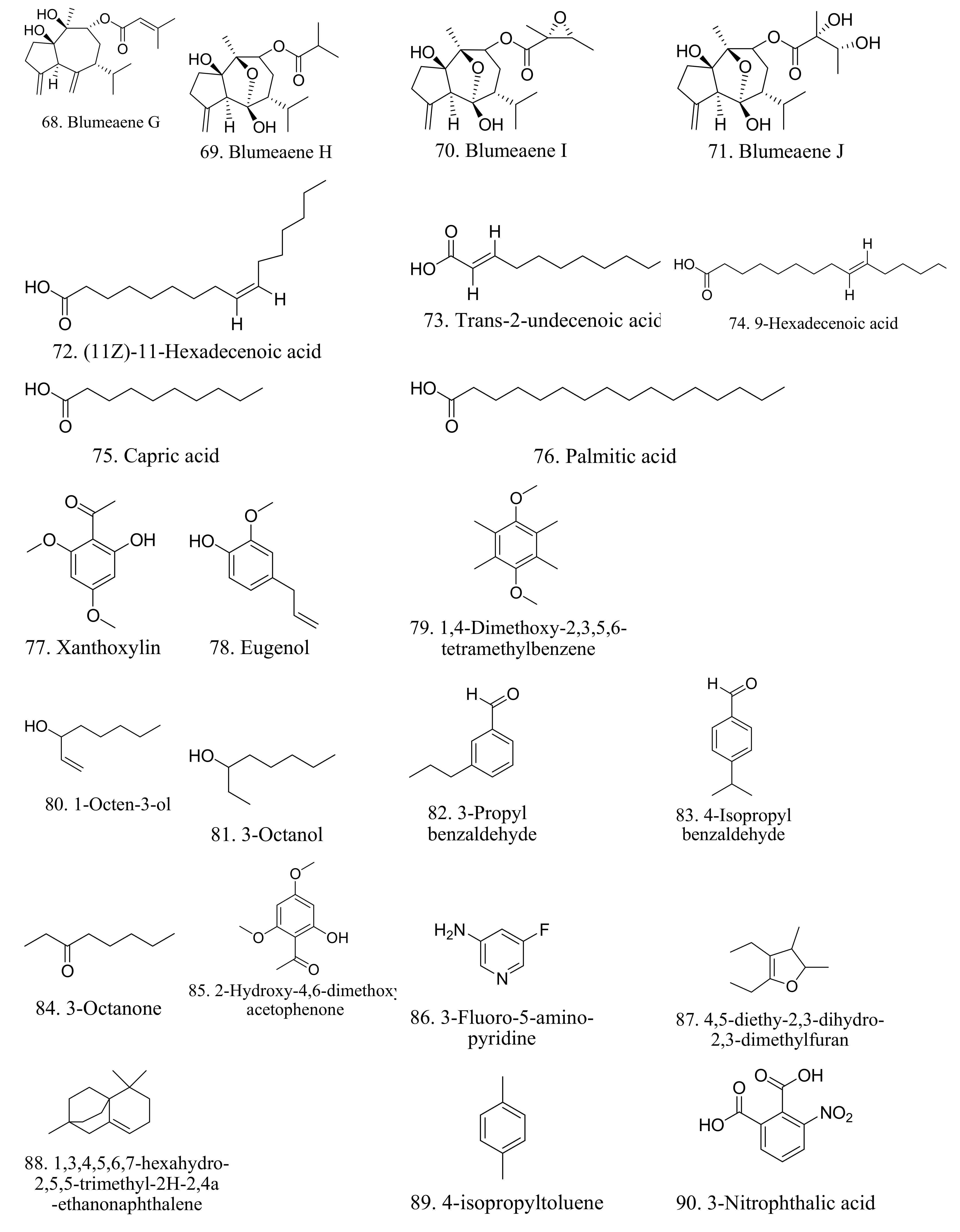
Fatty acids72(11Z)-11-hexadecenoic acidC16H30O2[23]
73Trans-2-undecenoic acidC11H20O2[22]
749-Hexadecenoic acidC16H30O2[27]
75Capric acidC10H20O2[27]
76Palmitic acidC16H32O2[23]
Phenols77XanthoxylinC10H12O4[23,29,30]
78EugenolC10H12O2[21,22,26]
79DimethoxydureneC12H18O2[25]
Alcohols801-Octen-3-olC8H16O[21,23,25,27]
813-OctanolC8H18O[21,23,25]
Aldehydes823-Propyl benzaldehydeC10H12O[25,31]
834-IsopropylbenzaldehydeC10H12O[21,22]
Ketones843-OctanoneC8H16O[21,23]
852-Hydroxy-4,6-dimethoxyacetophenoneC10H12O4[27]
Pyridines863-Fluoro-5-amino-pyridineC5H5FN2[22]
Furans87Furan,4,5-diethy-2,3-dihydro-2,3-dimethylC10H18O[22]
881,3,4,5,6,7-hexahydro-2,5,5-trimete-hyl-2H-2,4A-et hanonaphthaleneC10H14[23,25]
Others89Paracymene (4-Isopropyltoluene)C10H14[27]
903-Nitrophthalic acidC8H3NO6[23]
91α-Butenoic acid, 3-methoxy-4-nitroC5H7NO5[22]
92O-acetyl-1-serineC5H9NO4[22]
934,4-dimethyltetracyclo[6.3.2.02,5.01.8]tridecan-9-olC13H20O[28]
Several volatile oils are contained in the leaves and branchlets of B. balsamifera, which are the key crude materials of refined borneol [28]. Volatile oil in B. balsamifera is a yellow oily liquid with a unique aroma [32]. The oil yield of this plant is at least 2.5 mg/g (DW) in Guizhou, China. If the plants are fertilized in certain way, it can be much higher, may be up to 7.72 mg/g (DW) [33]. In Hainan (China), Pang et al. also got an oil yield of 3.2–4.3 mg/g (unpublished data). Some previous studies have reported that the volatile oils of B. balsamifera mainly contained monoterpenes and sesquiterpenes, such as l-borneol, 10-epi-γ-eudesmol, γ-eudesmol, β-eudesmol, α-eudesmol, limonene, l-camphor, palmitic acid, and d-camphor [21]. Hao et al. have qualitatively and quantitatively analyzed the volatile oil of B. balsamifera growing in Guizhou Province by GC-MS [25]. A total of 28 constituents were identified in this study, including: l-borneol, β-caryophyllene, camphor, γ-eudesmol, 1-octen-3-ol, trans-β-ocimene, and 1,3,4,5,6,7-hexahydro-2,5,5-trimethyl-2H-2,4a-ethanonaphthalene. Fifty-six compounds were separated and identified in the volatile oils of B. balsamifera by GC-MS according to the studies of Du et al. [22]. According to their studies, the main constituents are borneol and camphor. Others are isoborneol, terpineol, caryophyllene, eugenol, guaiol, and cubenol. Bhuiyan et al. also studied the volatile oils of B. balsamifera leaves to isolate fifty constituents, which contributed to 99.07% of the oil [28]. The main constituents were borneol (33.22%), caryophyllene (8.24%), ledol (7.12%), and 4,4-dimethyltetracyclo[6.3.2.02,5.01,8]tridecan-9-ol, (5.18%). It was difficult to give a trivial name to or classify 4,4-dimethyltetracyclo-[6.3.2.02,5.01,8]tridecan-9-ol, because it had a non-typical structure, which made it seem rather a fragment of some other compound(s). The contents of other constituents such as phytol, caryophyllene oxide, thujopsene-13, guaiol, dimethoxydurene, and γ-eudesmol were 3%–5%. Wen et al. adopted a RP-HPLC method to measure the content of xanthoxylin in different parts of B. balsamifera [34]. Xia et al. selected fourteen different regions of B. balsamifera to establish a GC chromatographic fingerprint [35]. The sample plants were selected from Hongshuihe village (II), Luodian, and Guizhou with the highest concentration of l-borneol. Chu et al. reported 1,8-Cineole contribute 20.98% to B. balsamifera oil in Nanning, Guangxi Zhuang Autonomous Region, China, while Pang et al., didn’t find it when they analyzed sambong oil with GC-MS (unpublished data), as well as some other research [22,25]. Sun, Shirota, and Xu also determined the contents of constituents in B. balsamifera oil [36,37,38]. The Aifen, B. balsamifera powder, is a crude product during the production of Aipian. Jiang et al. found that the yield and extraction rate of Aifen increased significantly if the plant materials were harvested from October to December [39].

2.2. Non-Volatile Constituents

2.2.1. Flavonoids Constituents

Flavonoids, including flavonoid, flavanone and chalcone constituents, are the major non-volatile constituents of B. balsamifera (Table 2, Appendix B). The ultrasonic extraction methods of total flavonoids of B. balsamifera were studied by Pang et al. [40]. It was found that 30% ethanol was the suitable extraction solvent with the solid/liquid ratio of 1/300. It was then extracted by ultrasonic frequency (85 Hz), twice, each time for 30 min, where the extraction yield was 208.6 mg/g. Previous phytochemical studies have shown that the leaves of B. balsamifera included a number of flavonoids, such as blumeatin, velutin, tamarixetin, dihydroquercetin-7,4'-dimethyl ether, ombuine, rhamnetin, luteolin-7-methyl ether, luteolin, quercetin, 5,7,3',5'-tetrahydroxyflavanone, and dihydroquercetin-4'-methyl ether [16,41,42,43,44]. With the advances in phytochemical studies of B. balsamifera, flavonoids have been recognized for their medicinal properties and the investigation, validation, standardization of the local plant have been developed as an herbal medicine. Ali et al. extracted 3,4',5-trihydroxy-3',7-dimethoxyflavanone from the ligroin extract of B. balsamifera leaves [31]. The constituents of 3',4',5-trihydroxy-7-methoxyflavanone and a new bioflavonoid, determined as 3-O-7''-biluteolin, were extracted by acetone. Zhu et al. isolated three constituents, including: xanthoxylin, blumeatin, dihydroquercetin-7, and 4'-dimethylethe [29]. Chen et al. also obtained three flavonoid compounds from aerial parts of B. balsamifera [45]. The compounds of 5,7-dihydroxy-3,3',4'-trim ethoxy flavone, davidigenin, catechin, ayanin, and davidioside were originally extracted from B. balsamifera. In the same year, Huang et al. isolated and identified seven constituents from this plant [46]. The constituents of 5,4'-dihydroxy-7-methoxyflavone and 5,4'-dihydroxy-3,3',7-trimethoxy flavanone were first found in the plant. Deng et al., Zhu, Saewan et al., Yan et al., and Tan et al. also studied the flavonoid constituents [14,29,47,48,49]. Liang et al. used the methods of silica gel column chromatography, TLC, and Sephadex LH-20 column chromatography in order to isolate the chemical constituents of the plant, the structures of which were determined by physico-chemical constants and spectral analysis [39]. As a result, seven constituents were isolated. Besides, the contents of the flavonoids were determined by different methods. The chromatographic methods of RP-HPLC (reversed-phase high-performance liquid chromatographic), and HPLC were the most widely used to determine the contents of flavonoids of B. balsamifera [44,50]. Huang et al. determined the total amount of flavonoids in different parts of B. balsamifera [51]. The results exhibited that the total flavonoid content was 2.94%, 1.21%, and 1.36% in the leaves, branch, and stem, respectively.
Table 2. The known non-volatile constituents of B. balsamifera.
Table 2. The known non-volatile constituents of B. balsamifera.
Classification Compound NameMolecular FormulaReferences
Flavones14',5-Dihydroxy-7-methyletherflavanoneC16H12O5[30,46]
2LuteolinC15H10O6[9,14,30,39,46]
3Luteolin-7-methyl-etherC16H12O6[14,30,46]
4Diosmetin (Luteolin 4'-methyl ether)C16H12O6[48]
5Chrysoeriol (Luteolin 3'-methyl ether)C16H12O6[48]
Flavonols6QuercetinC15H10O7[9,14,39,44]
73,5,3',4'-Tetrahydroxy-7-methoxyflavoneC16H12O7[9,31,47]
83,5,3'-Trihydroxy-7,4-dimethoxyflavoneC17H14O7[9,45,47]
9Rhamnetin (7-Methoxyquercetin)C16H12O7[14,30,46]
10TamarixetinC16H12O7[14]
11OmbuineC17H14O7[49]
123,5,7-Trihydroxy-3'4'-dimethoxyflavoneC17H14O7[48]
133,3',4',5-Tetrahydroxy-7-methoxyflavoneC16H15O6[48]
143,5-Dihydroxy-3',4',7-trimethoxyflavoneC18H16O7[48]
154',5-Dihydroxy-3,3',7-trimethoxy flavanoneC18H16O7[30,46]
165,7-Dihydroxy-3,3',4',-trimethoxyflavoneC18H16O7[9,45]
17AyaninC18H16O7[9,45]
18Chrysosplenol CC18H16O8[45]
194',5,7-Trihydroxy-3,3'-dimethoxyflavoneC17H14O7[48]
20HyperosideC21H20O12[48]
21IsoquercitrinC21H20O12[48]
Flavanones22Blumeatin (5,3',5'-trihydroxy-methoxydihydro-flavone)C16H14O6[9,14,29,30,45,52]
23EriodictyolC15H12O6[30,46]
245,7,3',5'-TetrahydroxyflavanoneC15H12O6[9,44,45]
253',4',5-Trihydroxy-7-metoxyflavanoneC16H15O8[45]
Flavanonols26Dihydroquercetin-4'-methyletherC16H14O7[9,12,14,30,39,45,52,53]
27Dihydroquercetin-7,4'-dimethyletherC17H16O7[9,14,29,30,39,45,52,53]
283,4'5-Trihydroxy-3'7-dimethoxyflavanoneC17H18O9[45]
293,3',5,5',7-PentahydroxyflavanoneC15H12O7[48]
303,3',4',5-Tetrahydroxy-7-methoxyflavanoneC16H15O8[48]
313,3',5-Trihydroxy-4',7-dimethoxyflavanoneC17H18O9[48]
323,3',5,7-Tetrahydroxy-4'-methoxyflavanoneC16H15O8[48]
333',4',5-Trihydroxy-3,7-dimetoxyflavanoneC17H18O9[48]
Flavanols34CatechinC15H14O6[9,45]
35(2R,3R)-(+)-7-O-MethyldihydroquercetinC16H14O7[53]
Chalcones36DavidiosideC21H24O9[9,45]
37DavidigeninC15H14O4[9,45]
Sesquiterpene lactone38Blumealactone AC19H26O6[54]
39Blumealactone BC20H28O6[54]
40Blumealactone CC16H22O6[54]
Sterides41β-SitosterolC29H50O[9]
425 α,8α-Epidioxyergosta-6,22-dien-3β-olC28H44O3[9]
43DaucosterolC35H60O6[9,39]
Diterpenes44CryptomeridiolC15H28O2[55]
Triterpenes453,13-Clerodadiene-6,15-diolC20H34O2[9]
46AustroinulinC20H34O3[55]
Lignans47SyringaresinolC22H26O8[9]
Coumarin48HydranngetinC10H8O4[9]
49Umberlliferone (7-hydroxycoumarin)C9H6O3[9]
Naphthalenone505,7-DihydroxychromoneC9H6O4[49]

2.2.2. Sterols

Apart from the above constituents, a small number of sterols were also isolated from B. balsamifera. Zhao et al. obtained colorless acicular as well as sheet crystals from B. balsamifera by silica gel column chromatography [56], where the crystals were identified to be stigmasterol and β-sitosterol by TLC and melting point measurement. Chen isolated β-sitosterol, daucosterol, and 5α,8α-epidioxyergosta-6,22-dien-3β-ol from the aerial sections of B. balsamifera collected from Mengla, Yunnan by MS determination [9]. Liang et al. yielded seven compounds, which were isolated from ethyl acetate and chloroform extract, including daucosterol [39].

2.2.3. Sesquiterpene Lactone (SLs)

Sesquiterpene lactones (SLs) are a group of common chemicals in many Asteraceae plants. They were famous because they had cytotoxic and potential to be tumor inhibitors [57,58]. In sambong, a member of Asteraceae family, there were three sesquiterpene lactones, Blumealactone A, Blumealactone B, and Blumealactone C. Fujimoto et al. isolated them by extracting its dried leaves with 90% ethanol [54].

2.2.4. Other Constituents

There were some other constituents in this plant. Chen found two coumarin constituents, such as umberlliferone and hydranngetin, in B. balsamifera. He also found a lignans constituent, which was syringaresinol [9].

3. Biological Activities

3.1. Antitumor Activity

Hasegawa et al. extracted a dihydroflavonol from B. balsamifera as a result of screening among more than 150 plant materials [12]. The dihydroflavonol components showed the most significant synergism with tumor related apoptosis inducing ligand (TRAIL). It enhanced the level of TRAIL-R2 promoter activity and promoted the expression of surface protein in a p53-independent manner. The ethanol extract of B. balsamifera leaves was tested on male mice to investigate its hepatoxicity. The results exhibited that the hepatic cells, sitplasm, nucleus, and sinusoid of the mice liver were damaged through some changes in the liver color and texture [59]. The methanol extract of B. balsamifera inhibited the growth in rat and showed no cytotoxicity on human hepatocellular carcinoma cells. The methanol extract decreased the expression of cyclin-E and phosphorylation of retinoblastoma (Rb) protein resulting in cell cycle arrest. Likewise, it decreased the level of the proliferation related ligand (APRIL) [60,61]. Moreover, the methanol extract of B. balsamifera was used to determine its cytotoxicity on a panel of human cancer cell lines by MTT assay. There was no regular or acute cytotoxicity on the cells of HepG2, HCT-116, T-47D, NCl-H23 and CCD-18Co [62]. Saewan et al. found six compounds out of nine isolated flavonoids to have cytotoxicity against KB, MCF-7, and NCI-H187 cancer cell lines [14]. These six compounds were evaluated for cytotoxicity against KB, MCF-7, and NCI-H187 cancer cell lines. Three compounds were active against the KB cells with the IC50 values of 17.09, 47.72, and 17.83 µg/mL, respectively. Another three compounds exhibited a moderate activity against the NCI-H187 cells with the IC50 values of 16.29, 29.97, and 20.59 µg/mL. Luteolin-7-methyl ether showed a strong cytotoxicity against human lung cancer (NCI-H187) cell lines with an IC50 of 1.29 µg/mL and a moderate toxicity against oral cavity cancer (KB) cell lines with an IC50 of 17.83 µg/mL. Li et al. studied the antitumor activity determined by means of 3-(4,5-dimethylthiazol-2-yl)-2,5-diphenyltetrazolium bromide assay [13]. The three endophytic streptomycetes strains of B. balsamifera, including: YIM 56092, YIM 56093, and YIM 56099 exhibited anticancer activity. Yet, different strains displayed different antitumor activities. The YIM 56092 strain displayed a cytotoxic activity on polyketide synthases I (PKS-I) nonribosomal peptide synthetases (NRPS) and P388D1. The YIM 56093 strain displayed a cytotoxic activity on PKS-Ⅱ, NRPS, and P388D1. The YIM 56099 was on the PKS-I, PKS-II, and NRPS. Fuijimoto et al., extracted blumealactone A, B, and C from sambong’s dried leaves and found them could inhibit the growth of Yoshida sarcoma at the concentration of 5–10 μg/ml [54]. Lee disclosed a medication combination including sambong (Ainaxiang) and found it could enhance the efficiency of curing hepatoma and pancreatic cancer treatments [63].

3.2. Hepatoprotective Effects

Xu et al. demonstrated that oral blumeatin (5,3',5-trihydroxy-7-methoxydihydroflavone) exhibited a significant protective activity against the liver injury caused by paracetamol and prednisolone [64]. Furthermore, Xu and Zhao have shown that five other blumea flavanones possessed protective activity for acute experimental liver injury [65]. Pu et al. further verified the five blumea flavanones protecting the hepatocytes against lipid peroxidation, which was induced by CCl4 or FeSO4+cysteine. Certain concentration of the five compounds (10–100 μmol/L) inhibited the malonaldehyde production, GSH depletion, and GPT leakage of hepatocytes [66]. Furthermore, blumea flavanone II showed the strongest activity. They also reported that the blumea flavones had protective effects against acute liver injury induced by different chemicals [67].

3.3. Superoxide Radical Scavenging Activity

The methanol extracts of B. balsamifera leaves showed a higher radical scavenging activity than the chloroform extracts. However, the pet-ether extracts had less activity against nonenzymatically generated superoxide radicals. The capacity of nine kinds of flavonoids (100 mmol/L) of the plant was decreased as follows: quercetin > luteolin > 5,7,3',5'-tetrahydroxyflavanone > blumeatin > rhamnetin > tamarixetin > luteolin-7-methyl ether > dihydroquercetin-4'-methyl ether > dihydroquercetin-4',7-dimethyl ether. The flavonoids showed more activity than methylated compounds [16]. Zhao and Xu studied antiperoxidant activities of five compounds of blumea flavanones [68]. As a result, five compounds with the concentration of 10−5–10−4 mol/L of blocked malondialdehyde formation in homogenates and in liver mitochondria of rats in vitro.

3.4. Antioxidant Activity

Nguyen et al. demonstrated the methanol extracts of B. balsamifera (collected in Lam Dong province) with strong xanthine oxidase inhibitory activity with an IC50 value of 6.0 μg/mL [69]. They also verified the seven compounds of B. balsamifera methanol extract in Vietnam, which exhibited significant xanthine oxidase inhibitory activity. Three compounds among them, such as (2R,3S)-(−)-4'-O-methyldihydroquercetin, quercetin, and quercetin-3,3',4', showed a higher potent inhibitory activity, with their IC50 values ranging from 0.23 to 1.91 mmol/L, as compared to that of the positive control allopurinol (IC50 of 2.50 mmol/L) [70]. Furthermore, Nessa et al. have found that the methanol extract of B. balsamifera exhibited a higher xanthine oxidase inhibitory activity as compared to that of the chloroform and pet-ether extracts [71]. The activity of the isolated flavonoids’ order was as follow: allopurinol > luteolin > quercetin > tamarixetin > 5,7,3',5'-tetrahydroxyflavanone > rhamnetin > luteolin-7-methylether > blumeatin > dihydroquercetin-4'-methylether > dihydroquercetin-7,4'-dimethyl ether > l-ascorbic acid. The plant of B. balsamifera was collected in Taiwan and the dry powder of the whole plant was extracted twice with methanol. The methanol extracts showed an activity on scavenging 1,1-diphenyl-2-picrylhydrazyl (DPPH) radicals with an IC50 value of 72 g/mL. The superoxide anion scavenging activity was over 200 g/mL [72].

3.5. Anti-Microbial and Anti-Inflammation Activity

Ongsakul et al. claimed that the crude aqueous and ethanolic extracts of B. balsamifera displayed no significant antibacterial activity against the strains of Staphylococcus aureus and Escherichia coli [73]. However, the stain of B. balsamifera, including YIM 56092 and YIM 56093, displayed a significant activity against S. epidermidis, such that YIM 56099 was active against E. coli. There seems to be no antimicrobial activity against S. aureus, Klebsiella pneumonia, and Candida albicans [13]. Chen isolated twelve new compounds [9], four of which displayed inhibitory activities against LPS-induced NO production in RAW 264.7 with the IC50 values of 40.06, 46.35, 57.80, and 59.44 μg/mL, respectively. Sakee et al. reported the essential oil of B. balsamifera to have a minimum inhibitory concentration (MIC) of 150 µg/mL and 1.2 mg/mL against Bacillus cereus, S. aureus and Candida albicans, respectively [74]. Furthermore, the hexane extract inhibited Enterobacter cloacae and S. aureus. These results suggested that the extracts of B. balsamifera possessed an activity against certain kinds of infectious and toxin-producing microorganisms. It could potentially be utilized to prevent and treat microbial diseases.

3.6. Antiplasmodial Activities

According to the traditional efficacy of relieving fever, the methanol extract of B. balsamifera from Forest Research Institute Malaysia was investigated for any potential antiplasmodial activity. The extracts of roots and stems exhibited some activity against Plasmodium falciparum D10 strain (sensitive strain) with an IC50 value of (26.25 ± 2.47) μg/mL and (7.75 ± 0.35) μg/mL, respectively [75].

3.7. Antityrosinase Activities

The ethylacetate extract consisting of nine flavonoids were isolated from the leaves of B. balsamifera. Their antityrosinase activities were surveyed by Saewan et al. [14]. According to their reports, compared with arbutin, two dihydroflavonols, dihydroquercetin-4'-methylether and dihydroquercetin-7,4'-dimethylether, and three flavonols, quercetin, rhamnetin and tamarixetin, showed a significantly higher inhibitory activity, but another two flavanones, 5,7,3',5'-tetrahydroxyflavanone and blumeatin, and two flavones, luteolin and luteolin-7-methyl ether, showed a lower inhibitory activity. The possible mechanism of the antityrosinase activity might be the cause of chelating with copper in the active center of tyrosinase.

3.8. Platelet Aggregation Activities

The concentration of 1.26 μmol/L blumeatin displayed a significant promoting activity on the rat and human platelet aggregation caused by arachidonic acid, 5-hydotypamice, and epinephrine. However, concentrations of 0.315 and 2.52 μmol/L inhibited platelet aggregation. It suggested that the effects of blumeatin on the platelet aggregation were dependent upon the concentration used. The injection of B. balsamifera extracts decreased the blood pressure, expanded the blood vessels, and inhibited the sympathetic nervous system in order to address the high pressure and insomnia. The infusion of the plant also had the function of diuresis [67].

3.9. Enhancing Percutaneous Penetration Activity

The l-borneol, as the main effective compound of B. balsamifera, showed a percutaneous penetration enhancer effect. The essential oil camphor and 1-menthol of the plant specifically promoted the percutaneous absorption of nicotinamide [9]. Fu et al. further verified the 0.5%, 1.0%, and 2.0% B. balsamifera oil enhancing albuterol sulfate transdermal absorption, respectively [76]. The percutaneous penetration of a combination of 1.0% B. balsamifera oil and 1.0% azone was less than that of their separate uses.

3.10. Wound Healing Activity

Wang et al. discovered that the external application of B. balsamifera oil on the intact and damaged skin of rats exhibited no acute toxicity [77]. The rats with pure B. balsamifera oil exposure at dosage of 2000 mg/kg for 24 h showed no allergic reaction or acute toxicity reaction, but a better wound recovery activity as compared to the one treated with non-B. balsamifera oil formulations. The results were consistent with the traditional use in ethnic minority, Li and Miao, in China in order to heal the skin wound and itch [19].

3.11. Anti-Obesity Activity

Kubota et al. reported that the extracts of B. balsamifera inhibited the lipid accumulation and glycerol-3-phosphate dehydrogenase (GPDH) activities [17], which mainly decreased the expressions of key adipogenic transcription factors, such as peroxisome proligerator-activated receptor γ, CCAAT element binding protein, and leptin in the 3T3-L1 adipocytes. Therefore, the extracts of B. balsamifera might possess antidiabetic, antiatherogenic, and anti-inflammatory functions. The methanol extracts of B. balsamifera (100 μg/mL) were used to investigate the ability of inhibiting blood vessel’s formation by the method of rat aortic ring. The results exhibited that there was no remarkable differences between B. balsamifera extracts and vehicle control treatment [62].

3.12. Disease and Insect Resistant Activity

Luo et al. reported that the acetone extracts of B. balsamifera possessed an activity against Pryicutaria oryzae, Fusarium oxysporum sp., Colletorichum musae, C. gloeosporioides, C. capsici, and F. oxysporum f. sp. in vitro, with an inhibition rate of over 90.0% [78]. The volatile oil of B. balsamifera inhibited Aeromonas hydrophila, F. graminearum, and Magnaporthe grisea [27]. Wang et al. also demonstrated that the extract of B. balsamifera leaves showed a 60.8% insecticidal activity against the adult Aleurodicus disperses [23]. Furthermore, the essential oil of B. balsamifera showed fumigant toxicity against the maize weevils, such as Sitophilus zeamais [26]. The crude oil also induced the death in the S. zeamais adults. The results suggested that the extracts of B. balsamifera possessed significant disease and insect resistant activities, and could be used as new potential plant pesticides.

4. Conclusions

In traditional medicine, the source of the plant should be primarily clear and definite. Thus, the general botanical description should be reviewed according to the Flora Republicae Popularis Sinicae and Chinese Materia Medica [19,20]. The herbal authentication of B. balsamifera was then further carried out to verify the plant source and medicinal efficacy [19]. These studies confirmed the accuracy and uniqueness of the source of B. balsamifera. In the same way, as a folk medicine, B. balsamifera has been widely used in South Asian countries, especially in China. Due to the chemical constituents contained in this plant for the different effects, the phytochemical research has been reviewed in this article. The chemical constituents were mostly volatile and non-volatile. The former constituents occupied the largest amount, which mainly included: terpenoids, fatty acids, phenols, alcohols, aldehydes, ethers, ketones, pyridines, furans, and alkanes. l-borneol was the most abundant and active constituent in this plant, while other constituents included flavonoids, sterols, sesquiterpene lactones, and other constituents [8,18]. The chemical composition of B. balsamifera oils varies from different plant populations [22,25,26,28], indicating more studies should be done on individual’s structural development, the cultivation, geographical, and climate conditions and essential oil standardization. The survey and summary of the extensive studies revealed that B. balsamifera was an essential and valuable medicinal plant used for folk treatments such as treating eczema, dermatitis, beriberi, lumbago, menorrhagia, rheumatism, skin injury, or used as insecticide [45]. As a traditional medicine, the biological and pharmacological studies of the plant materials, crude extracts, and isolated chemical constituents of B. balsamifera offered experimental and scientific proofs for its various traditional uses. The pharmacological studies focused on studying the anti-microbial and anti-inflammatory effects [13,15], antiplasmodial effects [75], platelet aggregation [79], wound healing [77], and disease and insect resistant activities [26], all of which confirmed the plant’s traditional uses. Moreover, some new pharmacological uses were discovered, such as antitumor [12,13,14], hepatoprotective [66], superoxide radical scavenging [16], antioxidant [69], antityrosinase [14], enhancing percutaneous penetration [76], and anti-obesity activities [17]. However, there was no experimental and pharmacological evidence to prove the traditional uses of this plant in rheumatism and lumbago. Besides, the isolated chemical constituent and its correspondent pharmacological effects were rarely simultaneously carried out in one study. Hasegawa et al. extracted a dihydroflavonol from B. balsamifera, which exhibited a significant synergism with TRAIL by pharmacological experiment [12]. Nevertheless, more studies should be done in abundance to understand the pharmacodynamic chemical constituents. The outcome from this study could establish the basis for its future clinical utilization in modern science.
On the basis of the above review, several prospects were revealed. In order to further define the effective chemical compounds, the biological activities of monomeric compounds, the plant material, and its crude extraction further studies were proposed. In addition, some traditional effects of B. balsamifera, such as rheumatism still need to be testified by more modern methods and further pharmacological trials. Few more aspects such as pharmacokinetics, molecular biology, and naturel medicinal chemistry should be utilized to study its phytochemical standardization and bioactivity identification according to its bioactive metabolism. Moreover, in the production process of TCM Aipian, B. balsamifera oil and Aifen could be important accessory substances yielded, which also possess many chemical and biological activities to be further studied in the future. Therefore, we concluded that the area of B. balsamifera research should be significantly expanded.

Acknowledgments

We thank Dr. Lingliang Guan for grammar correction, Mr. Yingbo Zhang for valuable comments, Qing Wen and all other sixteen master degree candidates for modifying the spelling and grammar mistakes in this review. This project was supported by the Natural Science Fund of Hainan Province, China (Grant No. 312022) and the Natural Science Fund of China (Grant No. 81374065, 81303171). We are grateful to Professor Chen Song-bi (Tropical Crops Genetic Resources Institute, Chinese Academy of Tropical Agricultural Sciences) for critical reviewing and revision of the manuscript.

Author Contributions

Dan Wang: Acquisition, interpretation of data and wrote the manuscript. References management. Obtained funding; Zuowang Fan: Draw the structural formulas. Classified the chemical components. Xiaolu Chen: References management. Revising the review critically for important intellectual content. Fulai Yu: Obtained funding. Xuan Hu: References management. Participate in drafting the article. Kai Wang: Drafted the structural formulas. Lei Yuan: Drafted the structural formulas. Yuxin Pang: Contributed to conception and design of the review. Obtained funding. Overall responsibility.

Appendix A. The structures of the volatile chemical constituents.
Appendix A. The structures of the volatile chemical constituents.
Molecules 19 09453 g001aMolecules 19 09453 g001bMolecules 19 09453 g001cMolecules 19 09453 g001dMolecules 19 09453 g001e

Appendix B. The structures of the non-volatile chemical constituents.
Appendix B. The structures of the non-volatile chemical constituents.
Molecules 19 09453 g002aMolecules 19 09453 g002bMolecules 19 09453 g002cMolecules 19 09453 g002d

Conflicts of Interest

The authors declare no conflict of interest.

References

  1. Singh, A.; Singh, D.K. Molluscicidal activity of Lawsonia inermis and its binary and tertiary combinations with other plant derived molluscicides. Indian J. Exp. Biol. 2001, 39, 263–268. [Google Scholar]
  2. Bhathena, S.J.; Velasquez, M.T. Beneficial role of dietary phytoestrogens in obesity and diabetes. Am. J. Clin. Nutr. 2002, 76, 1191–1201. [Google Scholar]
  3. Canter, P.H.; Thomas, H.; Ernst, E. Bringing medicinal plants into cultivation: Opportunities and challenges for biotechnology. Trends Biotechnol. 2005, 23, 180–185. [Google Scholar] [CrossRef]
  4. Chinese Academy of Sciences editorial commission of the flora. Flora Republicae Popularis Sinicae; Sciences Press: Beijing, China, 1988. [Google Scholar]
  5. Yuan, Y.; Pang, Y.X.; Wang, W.Q.; Zhang, Y.B.; Yu, J.B.; Zhu, M. Research advances in the genus of Blumea (inuleae) phylogenetic classification. Chin. J. Trop. Agric. 2011, 31, 81–86. [Google Scholar]
  6. Pang, Y.X.; Wang, W.Q.; Zhang, Y.B.; Mo, T.H.; Yuan, Y. Clonal diversity and structure in natural populations of Blumea balsamifera. Guihaia 2010, 30, 209–214. [Google Scholar]
  7. Yuan, Y.; Pang, Y.X.; Wang, W.Q.; Zhang, Y.B.; Yu, J.B. Investigation on the plants resources of Blumea balsamifera (L.) DC. in China. J. Trop. Org. 2011, 2, 78–82. [Google Scholar]
  8. Guan, L.L.; Pang, Y.X.; Wang, D.; Zhang, Y.B.; Wu, K.Y. Research progress on Chinese Minority Medicine of Blumea balsamifera L. DC. J. Plant Genet. Res. 2012, 13, 695–698. [Google Scholar]
  9. Chen, M. Studies on the Active Constituents of Blumea balsamifera. Master Degree, Shanghai Jiaotong University, Shanghai, China, 2009. [Google Scholar]
  10. Chen, M.; Qin, J.J.; Fu, J.J.; Hu, X.J.; Liu, X.H.; Zhang, W.D.; Jin, H.Z. Blumeaenes A–J, sesquiterpenoid esters from Blumea balsamifera with NO inhibitory activity. Planta Med. 2010, 76, 897–902. [Google Scholar] [CrossRef]
  11. Chinese Pharmacopeia Commission. Pharmacopoeia of the People’s Republic of China, 2010 ed.; The medicine science and technology press of China: Beijing, China, 2010. [Google Scholar]
  12. Hasegawa, H.; Yamada, Y.; Komiyama, K.; Hayashi, M.; Ishibashi, M.; Yoshida, T.; Sakai, T.; Koyano, T.; Kam, T.S.; Murata, K.; et al. Dihydroflavonol BB–1, an extract of natural plant Blumea balsamifera, abrogates TRAIL resistance in leukemia cells. Blood 2006, 107, 679–688. [Google Scholar] [CrossRef]
  13. Li, J.; Zhao, G.Z.; Chen, H.H.; Wang, H.B.; Qin, S.; Zhu, W.Y.; Xu, L.H.; Jiang, C.L.; Li, W.J. Antitumour and antimicrobial activities of endophytic streptomycetes from pharmaceutical plants in rainforest. Lett. Appl. Microbiol. 2008, 47, 574–580. [Google Scholar] [CrossRef]
  14. Saewan, N.; Koysomboon, S.; Chantrapromma, K. Anti-tyrosinase and anti-cancer activities of flavonoids from Blumea balsamifera DC. J. Med. Plants. Res. 2011, 5, 1018–1025. [Google Scholar]
  15. Ragasa, C.Y.; Co, A.L.K.C.; Rideout, J.A. Antifungal metabolites from Blumea balsamifera. Nat. Prod. Res. 2005, 19, 231–237. [Google Scholar] [CrossRef]
  16. Nessa, F.; Ismail, Z.; Mohamed, N.; Haris, M.R.H.M. Free radical–scavenging activity of organic extracts and of pure flavonoids of Blumea balsamifera DC leaves. Food Chem. 2004, 88, 243–252. [Google Scholar] [CrossRef]
  17. Kubota, H.; Kojima-Yuasa, A.; Morii, R.; Huang, X.; Norikura, T.; Rho, S.N.; Matsui-Yuasa, I. Anti-obesity effect of Blumea balsamifera extract in 3T3–L1 preadipocytes and adipocytes. Am. J. Chin. Med. 2009, 37, 843–854. [Google Scholar] [CrossRef]
  18. Chen, M.; Jin, H.Z.; Zhang, W.D.; Yan, S.K.; Shen, Y.H. Chemical constituents of plants from the genus Blumea. Chem. Biodiver. 2009, 6, 809–817. [Google Scholar] [CrossRef]
  19. State Administration of Traditional Chinese Medicine. Chinese Materia Medica; Scientific and Technical Publishers: Shanghai, China, 1999.
  20. Chinese Academy of Sciences editorial commission of the flora. Flora Republicae Popularis Sinicae; Sciences Press: Beijing, China, 1979. [Google Scholar]
  21. Zhou, X.; Yang, X.S.; Zhao, C. Chemical components of volatile oil from folium et cacumen Blumea balsamifera originated from Guizhou. J. Instrem. Anal. 2001, 20, 76–78. [Google Scholar]
  22. Du, P.; Zhang, X.J.; Sun, X.D. Chemical constituents of volatile oil from Blumea balsamifera (Linn.) DC. in Yunnan. Chem. Ind. For. Prod. 2009, 29, 115–118. [Google Scholar]
  23. Wang, Y.H.; Tian, H.Y.; He, S.J.; Hu, Q.P.; Wang, H.X.; Zhou, C.L.; Wang, X. Analysis of volatile components from leaf in Blumea balsamifera (L.) DC. with different extraction methods by gas chromatography–mass spectrometry. Sci. Tech. Food Ind. 2012, 33, 97–105. [Google Scholar]
  24. Liu, J.X.; Wang, K.X.; Li, C.P. The questions and solutions in extraction of volatile oils from Traditional Chinese Medicine by vapour distillation. Lishizhen Med. Mater. Med. Res. 2008, 19, 97–98. [Google Scholar]
  25. Hao, X.Y.; Yu, Z.; Ding, Z.H. The study on chemical constituents of volatile oil on Blumea balsamifera growing in Guizhou. Guiyang Yi Xue Yuan Xue Bao 2000, 25, 121–122. [Google Scholar]
  26. Chu, S.S.; Du, S.S.; Liu, Z.L. Fumigant compounds from the essential oil of Chinese Blumea balsamifera leaves against the maize weevil (Sitophilus zeamais). J. Chem. 2013, 2013, 1–7. [Google Scholar]
  27. Gao, Y.Q. The Chemical Composition and Biological Activities of Volatile Oils of Nineteen Plants. PhD. Thesis, Guizhou University, Guiyang, China, 2007. [Google Scholar]
  28. Bhuiyan, N.I.; Chowdhury, J.U.; Begum, J. Chemical components in volatile oil from Blumea balsamifera (L.) DC. Bangladesh J. Botany 2009, 38, 107–109. [Google Scholar]
  29. Zhu, Y.C.; Wen, Y.X.; Wang, H.S.; Huang, Y.L. Chemical constituents in Blumea balsamifera (I). Guihaia 2008, 28, 139–141. [Google Scholar]
  30. Zhu, T.C. Study on Chemical Constituents of the Extracts of Ethyl Acetate from Blumea balsamifera DC. Master Thesis, Guangxi Normal University, Guilin, China, 2007. [Google Scholar]
  31. Ali, D.M.; Wong, K.C.; Lim, P.K. Flavonoids from Blumea balsamifera. Fitoterapia 2005, 76, 128–130. [Google Scholar] [CrossRef]
  32. Bai, Z.W.; Zhu, L.; Lu, Y.; Su, J.P. The research progress of Miao medicine Blumea balsamifera (L.) DC. J. Med. Pharm. Chin. Minor. 2012, 18, 65–67. [Google Scholar]
  33. He, Y.; Chai, L.; Ding, Y.; Xian, F.; PAN, J. Effect of N nutrition on yield and active ingredient in Blumea balsamifera. Guizhou Agri. Sci. 2006, 34, 28–30. [Google Scholar]
  34. Wen, Y.X.; Huang, Y.L.; Zhu, Y.C.; Zhao, Z.G. Analysis of Xanthoxylin in different section of Blumea balsamifera DC. by RP–HPLC. Lishizhen Med. Mater. Med. Res. 2007, 18, 2137–2138. [Google Scholar]
  35. Xia, J.Z.; Zhao, Z.; An, J.; Deng, Y.H. GC fingerprint of herba Blumea from different habitats. Zhong Guo Yao Shi 2011, 12, 1191–1194. [Google Scholar]
  36. Sun, Y.M. The methodology validation of the determination of Blumea balsamifera oil. Guizhou Med. J. 2011, 35, 757–759. [Google Scholar]
  37. Shirota, O.; Oribello, J.M.; Sekita, S.; Satake, M. Sesquiterpenes from Blumea balsamifera. J. Nat. Prod. 2011, 74, 470–476. [Google Scholar] [CrossRef]
  38. Xu, J.; Jin, D.Q.; Liu, C.; Xie, C.; Guo, Y.; Fang, L. Isolation, characterization, and NO inhibitory activities of sesquiterpenes from Blumea balsamifera. J. Agric. Food Chem. 2012, 60, 8051–8058. [Google Scholar] [CrossRef]
  39. Liang, H.L.; Cao, P.X.; Qiu, J.Y.; Li, X.; Cai, L.; Liang, G.Y. Study on the chemical constituents of Blumea balsamifera DC. Lishizhen Med. Mater. Med. Res. 2011, 22, 308–309. [Google Scholar]
  40. Pang, Y.X.; Wang, D.; Yuan, Y.; Yu, F.L.; Wu, K.Y.; Di, M. Study on the extraction technology of total flavonoids from Blumea balsamifera (L.) DC. Chin. J. Trop. Crop. 2013, 34, 168–170. [Google Scholar]
  41. Ruangrungsi, N.; Tappayuthpijarn, P.; Tantivatana, P.; Borris, R.P.; Cordell, G.A. Traditional Medicinal Plants of Thailand. I. Isolation and structure elucidation of two new flavonoids, (2R,3R)-dihydroquercetin-4'-methyl ether and (2R,3R)–dihydroquercetin-4',7-dimethyl ether from Blumea balsamifera. J. Nat. Prod. 1981, 44, 541–545. [Google Scholar] [CrossRef]
  42. Lin, Y.C.; Long, K.H.; Deng, Y.J. Studies on the chemical constituents of the Chinese medicinal plant Blumea balsamifera. Acta Sci. Natur. Univ. Sunyaatseni 1988, 2, 77–81. [Google Scholar]
  43. Nessa, F.; Mohamed, N.; Ismail, Z.; Haris, M.R.H.M. Phytochemical investigation on Blumea balsamifera DC. J. Trop. Med. Plants 2001, 2, 17–22. [Google Scholar]
  44. Nessa, F.; Ismail, Z.; Karupiah, S.; Mohamed, N. RP–HPLC method for the quantitative analysis of naturally occurring flavonoids in leaves of Blumea balsamifera DC. J. Chromatogr. Sci. 2005, 43, 416–420. [Google Scholar] [CrossRef]
  45. Chen, M.; Jin, H.Z.; Yan, L.; Hu, X.J.; Qin, J.J.; Liu, J.H.; Yan, S.K.; Zhang, W.D. Flavonoids from Blumea balsamifera. Nat. Prod. Res. 2010, 991–994. [Google Scholar]
  46. Huang, Y.L.; Zhu, T.C.; Wen, Y.X.; Wang, H.S.; Chen, Y.Y. Isolation and identification of chemical constituents from Blumea balsamifera. Guihaia 2010, 30, 560–562. [Google Scholar]
  47. Deng, Q.Y.; Ding, C.M.; Zhang, W.H.; Lin, Y.C. Studies on the flavonoid constituents in Blumea balsamifera. Chin. J. Magn. Resonance 1996, 5, 447–452. [Google Scholar]
  48. Yan, Q.X.; Tan, D.P.; Kang, H.; Feng, H.L.; Zeng, W.Z. Study on flavonoids constituents of Blumea balsamifera. Chin. J. Exp. Tradit. Med. Form. 2012, 18, 86–89. [Google Scholar]
  49. Tan, D.P.; Yan, Q.X.; Kang, H.; Zeng, W.Z.; Feng, H.L. Chemical constituents of Blumea balsamifera DC. Nat. Prod. Res. Dev. 2012, 24, 718–721. [Google Scholar]
  50. Huang, Y.L.; Wen, Y.X.; Zhao, Z.G.; Zhu, T.C. Determination of flavanones and flavanonols in Blumea balsamifera DC. by RP–HPLC. Guangxi Sci. 2007, 14, 140–142. [Google Scholar]
  51. Huang, Y.L.; Zhao, Z.G.; Wen, Y.X. Determination of total flavonoid in different sections of Blumea balsamifera. Guihaia 2006, 26, 453–455. [Google Scholar]
  52. Nessa, F.; Mohamed, N.; Ismail, Z. Superoxide radical scavenging properties of extracts and flavonoids isolated from the leaves of Blumea balsamifera. Pharm. Biol. 2005, 43, 15–20. [Google Scholar] [CrossRef]
  53. Ishibashi, M.; Ohtsuki, T. Studies on search for bioactive natural products targeting TRAIL signaling leading to tumor cell apoptosis. Med. Res. Rev. 2008, 28, 688–714. [Google Scholar] [CrossRef]
  54. Fujimoto, Y.; Soemartono, A.; Sumatra, M. Sesquiterpene lactones from Blumea balsamifera. Phytochemistry 1988, 27, 1109–1111. [Google Scholar] [CrossRef]
  55. Osaki, N.; Koyano, T.; Kowithayakorn, T.; Hayashi, M.; Komiyama, K.; Ishibashi, M. Sesquiterpenoids and plasmin-inhibitory flavonoids from Blumea balsamifera. J. Nat. Prod. 2005, 68, 447–449. [Google Scholar] [CrossRef]
  56. Zhao, J.H.; Kang, H.; Yao, G.H.; Zeng, W.Z. The study of chemical constituents of Blumea balsamifera DC. Chin. Trad. Herb. Drug. 2007, 38, 350–352. [Google Scholar]
  57. Chadwick, M.; Trewin, H.; Gawthrop, F.; Wagstaff, C. Sesquiterpenoids Lactones: Benefits to Plants and People. Int. J. Mol. Sci. 2013, 14, 12780–12805. [Google Scholar] [CrossRef]
  58. Ghantous, A.; Gali-Muhtasib, H.; Vuorela, H.; Saliba, N.A.; Darwiche, N. What made sesquiterpene lactones reach cancer clinical trials? Drug Discov Today 2010, 15, 668–678. [Google Scholar] [CrossRef]
  59. Arifin, H.; Widianingsih, I.; Marusin, N.; Andalas, J.F.F.M. Pengaruh pemberian akut ekstrak etanol daun Capo (Blumea balsamifera DC) terhadap gambaran morfolofis dan histologi hati mencit putih jantan. J. Sains Tek. Far. 2007, 12, 82–88. [Google Scholar]
  60. Norikura, T.; Kojima-Yuasa, A.; Shimizu, M.; Huang, X.; Xu, S.; Kametani, S.; Rho, S.N.; Kennedy, D.O.; Matsui-Yuasa, I. Anticancer activities and mechanisms of Blumea balsamifera extract in hepatocellular carcinoma cells. Am. J. Chin. Med. 2008, 36, 411–424. [Google Scholar] [CrossRef]
  61. Norikura, T.; Kojima-Yuasa, A.; Shimizu, M.; Huang, X.; Xu, S.; Kametani, S.; Rho, S.; Kennedy, D.O.; Matsui-Yuasa, I. Mechanism of growth inhibitory effect of Blumea balsamifera extract in hepatocellular carcinoma. Biosci. Biotechnol. Biochem. 2008, 72, 1183–1189. [Google Scholar] [CrossRef]
  62. Ng, K.W.; Salhimi, S.M.; Majid, A.M.; Chan, K.L. Anti–angiogenic and cytotoxicity studies of some medicinal plants. Planta Med. 2010, 76, 935–940. [Google Scholar] [CrossRef]
  63. Lee, C.Y. Medication Combination for Hepatoma and Pancreatic Cancer and Preparation Protocol. U.S. Patent US6998141 B2, 14 February 2006. [Google Scholar]
  64. Xu, S.Y.; Bian, R.L.; Chen, X. Methodology of Pharmacological Experiments, 2nd ed.; People’s Medical Publishing House: Beijing, China, 1994. [Google Scholar]
  65. Xu, S.B.; Zhao, J.H. Protective actions of Blumea flavanones on experimental liver injury. Chin. Phar. Bull. 1998, 14, 191–192. [Google Scholar]
  66. Pu, H.L.; Zhao, J.H.; Xu, S.B.; Hu, Q. Protective actions of Blumea flavanones on primary cultured hepatocytes against lipid peroxidation. Chin. Trad. Herb. Drug. 2000, 31, 1113–1115. [Google Scholar]
  67. Xu, S.B.; Hu, Y.; Lin, Y.C.; Yang, Z.B. Study on protection of blumeatin against experimental liver injury and aggregation of platelet. Suppl. J. Sun Yatsen Univer. 1994, 1994, 48–53. [Google Scholar]
  68. Zhao, J.H.; Xu, S.B. Effects of Blumea flavanones on lipid peroxidation and active oxygen radicals. Chin. Phar. Bull. 1997, 5, 17. [Google Scholar]
  69. Nguyen, M.T.; Awale, S.; Tezuka, Y.; Tran, Q.L.; Watanabe, H.; Kadota, S. Xanthine oxidase inhibitory activity of Vietnamese medicinal plants. Biol. Pharm. Bull. 2004, 27, 1414–1421. [Google Scholar] [CrossRef]
  70. Nguyen, M.T.; Nguyen, N.T. Xanthine oxidase inhibitors from Vietnamese Blumea balsamifera L. Phytother. Res. 2012, 26, 1178–1181. [Google Scholar] [CrossRef]
  71. Nessa, F.; Ismail, Z.; Mohamed, N. Xanthine oxidase inhibitory activities of extracts and flavonoids of the leaves of Blumea balsamifera. Pharm. Biol. 2010, 48, 1405–1412. [Google Scholar] [CrossRef]
  72. Shyur, L.; Tsung, J.; Chen, J.; Chiu, C.; Lo, C. Antioxidant properties of extracts from medicinal plants popularly used in Taiwan. Int. J. Appl. Sci. Eng. 2005, 3, 195–202. [Google Scholar]
  73. Ongsakul, M.; Jindarat, A.; Rojanaworarit, C. Antibacterial effect of crude alcoholic and aqueous extracts of six medicinal plants against Staphylococcus aureus and Escherichia coli. J. Health Res. 2009, 23, 153–156. [Google Scholar]
  74. Sakee, U.; Maneerat, S.; Cushnie, T.P.; De-Eknamkul, W. Antimicrobial activity of Blumea balsamifera (Lin.) DC. extracts and essential oil. Nat. Prod. Res. 2011, 25, 1849–1856. [Google Scholar] [CrossRef]
  75. Noor, R.A.; Khozirah, S.; Mohd, R.M.; Ong, B.K.; Rohaya, C.; Rosilawati, M.; Hamdino, I.; Badrul, A.; Zakiah, I. Antiplasmodial properties of some Malaysian medicinal plants. Trop. Biomed. 2007, 24, 29–35. [Google Scholar]
  76. Fu, W.J.; Wang, D.; Pang, Y.X.; Wang, H.; Wang, Z.; Nie, H.; Yu, F.L.; Zhang, Y.B. Effect of Blumea balsamifera oil on percutaneous absorption of salbutamol sulfate. Chin. J. Exp. Tradit. Med. Form. 2013, 19, 174–177. [Google Scholar]
  77. Wang, D.; Fu, W.J.; Pang, Y.X.; Wang, H.; Hu, X.; Nie, H. The study of skin allergy and acute toxicity of Blumea balsamifera oil. Chin. J. Trop. Crop. 2013, 34, 2499–2502. [Google Scholar]
  78. Luo, Y.; Zheng, F.; Yang, Y. Antifungal activities of 128 southern Chinese herbs against 6 pathogens. Chin. J. Trop. Crop. 2004, 25, 106–111. [Google Scholar]
  79. Huang, T.K.; Ding, Z.Z.; Zhao, S.X. Modern Compendium of Materia Medica; Chinese Medical Science and Technology Press: Beijing, China, 2000. [Google Scholar]

Share and Cite

MDPI and ACS Style

Pang, Y.; Wang, D.; Fan, Z.; Chen, X.; Yu, F.; Hu, X.; Wang, K.; Yuan, L. Blumea balsamifera—A Phytochemical and Pharmacological Review. Molecules 2014, 19, 9453-9477. https://doi.org/10.3390/molecules19079453

AMA Style

Pang Y, Wang D, Fan Z, Chen X, Yu F, Hu X, Wang K, Yuan L. Blumea balsamifera—A Phytochemical and Pharmacological Review. Molecules. 2014; 19(7):9453-9477. https://doi.org/10.3390/molecules19079453

Chicago/Turabian Style

Pang, Yuxin, Dan Wang, Zuowang Fan, Xiaolu Chen, Fulai Yu, Xuan Hu, Kai Wang, and Lei Yuan. 2014. "Blumea balsamifera—A Phytochemical and Pharmacological Review" Molecules 19, no. 7: 9453-9477. https://doi.org/10.3390/molecules19079453

APA Style

Pang, Y., Wang, D., Fan, Z., Chen, X., Yu, F., Hu, X., Wang, K., & Yuan, L. (2014). Blumea balsamifera—A Phytochemical and Pharmacological Review. Molecules, 19(7), 9453-9477. https://doi.org/10.3390/molecules19079453

Article Metrics

Back to TopTop