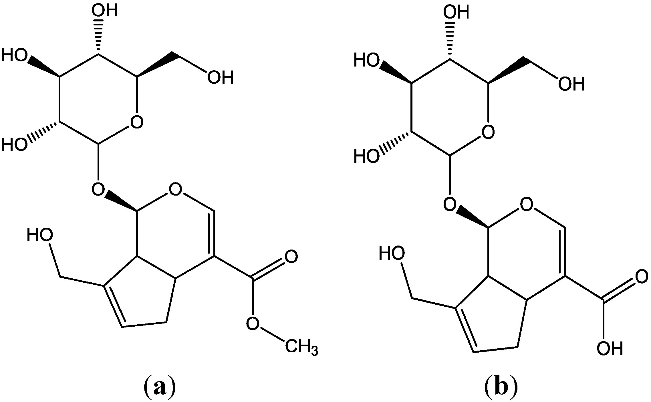
Effects of Fructus Psoraleae Extract on the Intestinal Absorption Kinetics of Geniposide and Geniposidic Acid in Rat
Abstract
:1. Introduction

2. Results
2.1. Chromatography

2.2. Linearity
2.3. Stability
2.3.1. Stability of GP and GPA in Blank Intestinal Perfusion Solution
2.3.2. Stability of GP and GPA in K-R Solution
| Solutions | RSD (%) | |
|---|---|---|
| GP | GPA | |
| Blank intestinal perfusion solution (3 h) | 3.27 | 0.45 |
| K-R solution (24 h) | 1.32 | 2.01 |
2.3.3. Effect of Physical Adsorption of the Peristaltic Pump
| Concentration (mg/L) | Physical Adsorption | ||
|---|---|---|---|
| Original | 3 h | RSD (%) | |
| GP | 93.81 | 92.34 | 0.57 |
| GPA | 115.24 | 114.68 | 1.32 |
2.4. Recovery
| Level | Nominal (mg/L) | Recovery (Mean ± SD, %) | Accuracy (Deviation %) | Precision (RSD %) | ||
|---|---|---|---|---|---|---|
| GP | Low | 0.5 | 99.52 ± 4.98 | 4.80 | 1.22 | |
| Mid | 4 | 110.94 ± 2.04 | 3.98 | 0.87 | ||
| High | 12 | 111.73 ± 1.52 | 1.23 | 2.51 | ||
| GPA | Low | 0.5 | 100.23 ± 0.66 | 6.1 | 2.62 | |
| Mid | 4 | 99.78 ± 1.91 | 3.4 | 0.80 | ||
| High | 12 | 99.57 ± 0.87 | 1.4 | 0.12 | ||
2.5. Accuracy, Precision and LLOQ
3. Discussion

| Component | Group | Cumulative Absorption Rate (%) | |
|---|---|---|---|
| 1 h (mean ± SD) | 3 h (mean ± SD) | ||
| GP | Single | 0.059 ± 0.018 * | 0.081 ± 0.017 * |
| Compatibility | 0.139 ± 0.104 | 0.120 ± 0.063 | |
| GPA | Single | 0.063 ± 0.040 | 0.136 ± 0.046 |
| Compatibility | 0.075 ± 0.015 | 0.105 ± 0.028 | |
4. Experimental
4.1. Reagents and Chemicals
4.2. Instruments
4.3. Preparation of Standard Solutions
4.3.1. Krebs-Ringer’s Nutrient Solution (K-R Solution)
4.3.2. Standard Solutions of GP and GPA
4.3.3. Quality Control (QC)
4.3.4. Intestinal Perfusion Solutions
4.3.4.1. Intestinal Perfusion Solutions of GP and GPA
4.3.4.2. Intestinal Perfusion Solutions of Mixtures
4.3.4.3. Blank Intestinal Perfusion Solution
4.3.5. In Situ Intestinal Perfusion of GP and GPA
, Xn is the residual quantities of GP or GPA in intestinal solution, Ci and Cn is the concentration of the GP or GPA, Vn is the volume of the intestinal perfusion solution (Vn = V1 + V2). Cumulative absorption rates were compared for 1 h and 3 h between the single and compatibility groups. The equation was as follows: 1 h/3 h cumulative absorption rate
. The data obtained was analyzed through independent samples T-test by SPSS, and was shown in Table 4.4.4. Sample Preparation
4.5. UPLC Conditions
4.6. Data Analysis and Statistics
5. Conclusions
Acknowledgments
Author Contributions
Conflicts of Interest
References
- State Pharmacopoeia Commission. Pharmacopoeia of People’s Republic of China; China Medical Science and Technology Press: Beijing, China, 2010; pp. 154–155. [Google Scholar]
- Venditti, A.; Serrilli, A.M.; Bianco, A. Iridoids from Bellardia trixago (L.) All. Nat. Prod. Res. 2013, 27, 1413–1416. [Google Scholar] [CrossRef]
- Qu, K.; Dai, J.; Zhao, L.; Lu, Y.; Li, B.; Zhao, X.; Hou, P.; Zhang, Y.; Bi, K.; Chen, X. A sensitive liquid chromatographic-mass spectrometric method for simultaneous quantification of six iridoid glycosides from Zhi-zi-chi Decoction in rat plasma and its application to a pharmacokinetic study. J. Pharm. Biomed. Anal. 2013, 78–79, 83–91. [Google Scholar]
- Zhou, Q.; Lu, W.; Niu, Y.; Liu, J.; Zhang, X.; Gao, B.; Akoh, C.C.; Shi, H.; Yu, L.L. Identification and quantification of phytochemical composition and anti-inflammatory, cellular antioxidant, and radical scavenging activities of 12 plantago species. J. Agric. Food Chem. 2013, 61, 6693–6701. [Google Scholar] [CrossRef]
- Zhang, Q.; Su, Y.; Zhang, J. Seasonal difference in antioxidant capacity and active compounds contents of Eucommia ulmoides oliver leaf. Molecules 2013, 18, 1857–1868. [Google Scholar]
- Tan, Q.; Zhu, J.; Wang, W.; Wang, Z.; Cui, J.; Kong, J.; Qi, M.; Yang, L. Study on absorption ingredients of Plantaginis semen by in vitro everted intestinal sac method. China J. Chin. Mater. Med. 2011, 36, 150–153. [Google Scholar]
- Du, S.; Zhang, Q.; Lu, Y.; Zhai, Y.; Wu, Q. Study of components in xingnaojing affecting intestine absorption of gardenia extract. China J. Chin. Mater. Med. 2010, 35, 297–300. [Google Scholar]
- Almasi, A.; Bojcsev, S.; Fischer, T.; Simon, H.; Perjesi, P.; Fischer, E. Metabolic enzyme activities and drug excretion in the small intestine and in the liver in the rat. Acta Physiol. Hung. 2013, 100, 478–488. [Google Scholar] [CrossRef]
- Zhao, G.; Huang, J.; Xue, K.; Si, L.; Li, G. Enhanced intestinal absorption of etoposide by self-microemulsifying drug delivery systems: Roles of P-glycoprotein and cytochrome P450 3A inhibition. Eur. J. Pharm. Sci. 2013, 50, 429–439. [Google Scholar]
- Patel, J.R.; Barve, K.H. Intestinal permeability of Lamivudine using single pass intestinal perfusion. Indian J. Pharm. Sci. 2012, 74, 478–481. [Google Scholar] [CrossRef]
- Yun, H.; Yan, H.; Zhang, Z.; Li, J.; Lu, X.; Liu, X. [Determination of dicyandiamide, melamine and cyanuric acid in milk and milk powder by ultra performance liquid chromatography-tandem mass spectrometry]. Se Pu 2013, 31, 404–409. [Google Scholar]
- Long, Z.; Zhang, R.; Zhao, X.; Meng, X.; Bi, K.; Chen, X. Determination and pharmacokinetics of geniposidic acid in rat plasma after oral administration of Gardenia jasminoides fruit crude extract and Zhi-zi-chi decoction. Biomed. Chromatogr. 2013, 27, 812–816. [Google Scholar] [CrossRef]
- Srikanth, C.H.; Chaira, T.; Sampathi, S.; V, B.S.; Bambal, R.B. Correlation of in vitro and in vivo plasma protein binding using ultracentrifugation and UPLC-tandem mass spectrometry. Analyst 2013, 138, 6106–6116. [Google Scholar]
- Zhang, Q.; Du, S.; Lu, Y.; Rao, X. Studies on O/W partition coefficient and absorption kinetics of geniposide in fructus gardeniae extract in rat intestine. China J. Chin. Mater. Med. 2009, 34, 1840–1844. [Google Scholar]
- Zhai, Y.; Du, S.; Lu, Y.; Wang, Y.; Xu, B.; Gao, Y. Impact of notoginseng total saponin on intestinal absorption kinetics of jasminoidin. China J. Tradit. Chin. Med. Pharm. 2010, 3, 459–463. [Google Scholar]
- Chula, S.; Hang, L.; Yinying, B.; Jianning, S.; Shi, R. The effects of notoginsenoside R(1) on the intestinal absorption of geniposide by the everted rat gut sac model. J. Ethnopharmacol. 2012, 142, 136–143. [Google Scholar] [CrossRef]
- Wang, S.S.X.; Huang, X.; Xie, Y. TCM Pharmacodynamic Research and Evaluation; Shanxi Science and Technology Press: Xi’an, China, 2005; p. 930. [Google Scholar]
- Liu, E.; Han, L.; Wang, J.; He, W.; Shang, H.; Gao, X.; Wang, T. Eucommia ulmoides bark protects against renal injury in cadmium-challenged rats. J. Med. Food 2012, 15, 307–314. [Google Scholar]
- Akao, T.; Kobashi, K.; Aburada, M. Enzymic studies on the animal and intestinal bacterial metabolism of geniposide. Biol. Pharm. Bull. 1994, 17, 1573–1576. [Google Scholar] [CrossRef]
- Sample Availability: Samples of the compounds GP, GPA and FPE are available from the authors.
© 2014 by the authors. licensee MDPI, Basel, Switzerland. This article is an open access article distributed under the terms and conditions of the Creative Commons Attribution license ( http://creativecommons.org/licenses/by/3.0/).
Share and Cite
Huo, Y.; Huang, Y.; Hou, X.; Han, L.; Wang, L.; Liu, E.; Gao, X. Effects of Fructus Psoraleae Extract on the Intestinal Absorption Kinetics of Geniposide and Geniposidic Acid in Rat. Molecules 2014, 19, 7557-7567. https://doi.org/10.3390/molecules19067557
Huo Y, Huang Y, Hou X, Han L, Wang L, Liu E, Gao X. Effects of Fructus Psoraleae Extract on the Intestinal Absorption Kinetics of Geniposide and Geniposidic Acid in Rat. Molecules. 2014; 19(6):7557-7567. https://doi.org/10.3390/molecules19067557
Chicago/Turabian StyleHuo, Yan, Yuxing Huang, Xiangmei Hou, Lifeng Han, Lei Wang, Erwei Liu, and Xiumei Gao. 2014. "Effects of Fructus Psoraleae Extract on the Intestinal Absorption Kinetics of Geniposide and Geniposidic Acid in Rat" Molecules 19, no. 6: 7557-7567. https://doi.org/10.3390/molecules19067557
APA StyleHuo, Y., Huang, Y., Hou, X., Han, L., Wang, L., Liu, E., & Gao, X. (2014). Effects of Fructus Psoraleae Extract on the Intestinal Absorption Kinetics of Geniposide and Geniposidic Acid in Rat. Molecules, 19(6), 7557-7567. https://doi.org/10.3390/molecules19067557
