Next Article in Journal
miR-221/222 Promotes S-Phase Entry and Cellular Migration in Control of Basal-Like Breast Cancer
Previous Article in Journal
An Unusual Conversion of Paramagnetic [3-Cl-3,3,8-{Ph2P(CH2)nPPh-µ-(C6H4-ortho)}-1,2-(CH3)2-closo-3,1,2-RuIIIC2B9H8] (n = 3 and 4) to Form the First 18-Electron P-Phenylene ortho-Cycloboronated closo-Ruthenacarboranes with a Dioxygen Ligand
 
 
Font Type:
Arial Georgia Verdana
Font Size:
Aa Aa Aa
Line Spacing:
Column Width:
Background:
Article

Synthesis and Biological Evaluation of Novel 2-Arylalkylthio-5-iodine-6-substituted-benzyl-pyrimidine-4(3H)-ones as Potent HIV-1 Non-Nucleoside Reverse Transcriptase Inhibitors

1
Department of Chemical Biology, School of Pharmaceutical Sciences, Peking University, Beijing 100191, China
2
State Key Laboratory of Natural and Biomimetic Drugs, Peking University, Beijing 100191, China
*
Authors to whom correspondence should be addressed.
Molecules 2014, 19(6), 7104-7121; https://doi.org/10.3390/molecules19067104
Submission received: 30 April 2014 / Revised: 26 May 2014 / Accepted: 28 May 2014 / Published: 30 May 2014

Abstract

:
A novel series of 2-arylalkylthio-5-iodine-6-substitutedbenzyl-pyrimidine-4(3H)-ones (S-DABOs) 8ax had been synthesized via an efficient method. Their biological activity against HIV virus and RT assay were evaluated. Some compounds, especially 8h, 8l and 8n, displayed promising activity against HIV-1 RT with IC50 values in a range of 0.41 μM to 0.71 μM, which were much better than that of nevirapine. Molecular modeling studies revealed that the binding mode would be affected via forming an additional hydrogen bond by incorporating an oxygen atom on the C-2 side chain. The biological activity was in accordance with the docking results.
Keywords:
HIV; NNRTIs; S-DABOs; IC50; docking

Graphical Abstract

1. Introduction

The reverse transcriptase (RT) of HIV-1, being an essential enzyme in the replication of the virus, is recognized as a great potential target for designing antiretroviral drugs [1]. In recent years, enormous efforts have been made to develop RT inhibitors. In particular, the non-nucleoside reverse transcriptase inhibitors (NNRTIs), a class of components of HAART, have received special attention due to their unique antiviral potency with generally low toxicity and favorable pharmacokinetic properties [2,3]. So far, five NNRTIs drugs—nevirapine, delavirdine, efavirenz, etravirine and rilpivirine (Figure 1)—have been approved for clinical use [4]. However, the high mutation rate of HIV-1 RT and the rapid emergence of drug resistance has limited the therapeutic efficacy of NNRTIs and this necessitates the continued discovery and development of drugs with novel mechanisms of action [5].
Figure 1. Structures of NNRTI drugs.
Figure 1. Structures of NNRTI drugs.
Molecules 19 07104 g001
Sulfo-dihydro-alkylthio-benzyl-oxopyrimidines (S-DABOs) as representative NNRTIs [6,7], show their activity not only on HIV-1 wild type, but also on HIV-1 mutants [8]. By studying the crystal structures of different kinds of NNRTIs, it’s found that S-DABOs share the same binding mode as that of TNK-651. They interact with the binding site composed by Tyr181, Tyr188 and Trp229 residues, which is near the catalytic site of the RT. The N-3-H of S-DABOs forms a crucial hydrogen bond with Lys101 inside the hydrophobic pocket. In addition, the molecular may rotate to a butterfly-like conformation so that the crucial hydrophobic forces can be formed between the aryl moiety at C-2 and C-6 and the amino acid residues such as Tyr181, Tyr188, Phe227 [9,10,11,12,13,14].
Based on these promising results, some modifications were performed to achieve more active S-DABO derivatives. It was anticipated that an oxygen atom on the C-2 side chain would form an additional hydrogen bond, and extending the π-π conjugated system by introducing electron withdrawing groups at the para position of the phenyl ring could be beneficial for the activity [15]. Moreover, optimization in the C-6 phenylmethyl ring at the meta positions would lead to closer interactions with the non-nucleoside binding pocket (NNBP). On the basis of our previous results [16,17], the halogen atom on C-5 position could form an interaction with the carbonyl of Tyr181, which played an important role in improving anti-HIV-1 activity.
Herein, in order to verify the relationship between structure and activity of the target compounds, we synthesized a series of 2-arylalkylthio-5-iodine-6-substitutedbenzyl-pyrimidine-4(3H)-ones 8ax (Figure 2), and evaluated their inhibitory activity on HIV-1 RT and HIV-1SF33 in TZM-bl cell lines.
Figure 2. Structures of S-DABOs, TNK-651 and target compounds.
Figure 2. Structures of S-DABOs, TNK-651 and target compounds.
Molecules 19 07104 g002

2. Results and Discussion

2.1. Chemistry

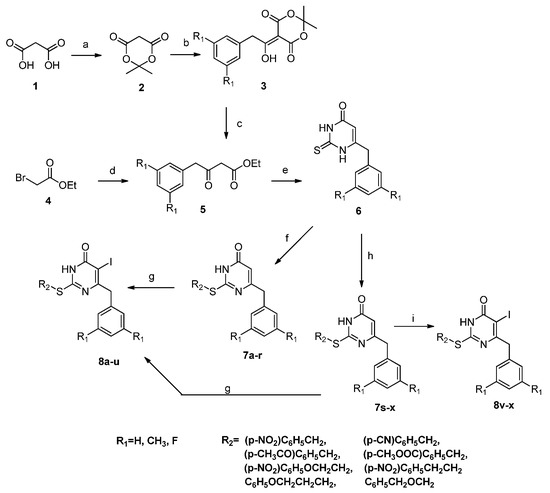
A general synthetic route to the target compounds is outlined in Scheme 1. The β-ketoesters 5 were prepared via phenylacetyl chloride and Meldrum’s acid without substituents on the phenyl ring [18,19]. Alternatively, for the compounds with dimethyl or difluoro m-substituents on the aromatic moiety, the corresponding compound 5 was generally obtained by reaction of the appropriate substituted benzyl cyanide with zinc and ethyl 2-bromoacetate using the method of Hannick and Kishi [20]. Condensation of 5 with thiourea in the presence of sodium ethoxide in boiling ethanol provided the 6-aryl thiouracils 6. The S-DABOs analogues 7ax were prepared by S-alkylation using the appropriate substituted alkyl halide and potassium carbonate in anhydrous DMF or sodium ethoxide in ethanol [21,22,23]. Subsequent treatment of 7au with I2 and (NH4)2Ce(NO3)6 (CAN) in refluxing CH3CN afforded the corresponding target compounds 8au [24]. Alternatively, another iodination method with NIS in DMF at 0 °C led to target compounds 8vx [25]. The structure assignments of these compounds were verified by NMR and mass spectral data.
Scheme 1. Synthesis of Target Compounds 8ax.
Scheme 1. Synthesis of Target Compounds 8ax.
Molecules 19 07104 g004
Reagents and conditions: (a) acetone, acetic anhydride, con.H2SO4, rt; (b) PhCH2COCl, pyridine, CH2Cl2, ice bath; (c) EtOH, reflux; (d) m-difluoro/m-dimethyl benzyl cyanide, Zn/THF, reflux; (e) thiourea, EtONa/EtOH, reflux; (f) substituted alkyl halide, K2CO3, rt; (g) I2, CAN, reflux; (h) substituted alkyl halide, MeONa/MeOH, rt; (i) NIS, DMF, ice bath.

2.2. Biological Evaluation

All target compounds were evaluated as inhibitors of HIV-1 RT and some active compounds were evaluated for anti-HIV-1SF33 activity in the TZM-bl cell line with nevirapine and TNK-651 as reference compounds (Table 1 and Table 2) [26]. The biological results revealed that some compounds had potent activity and exhibited obvious structure-activity relationships.
Table 1. Inhibitory Activity of 7a8x against HIV-1 RT a Molecules 19 07104 i001
Table 1. Inhibitory Activity of 7a8x against HIV-1 RT a Molecules 19 07104 i001
Compd.R1R2IC50b µMCompdR1R2IC50b µM
7aH(p-NO2)C6H5CH2>1008aH(p-NO2)C6H5CH29.20
7bCH3(p-NO2)C6H5CH23.328bCH3(p-NO2)C6H5CH21.66
7cF(p-NO2)C6H5CH2>1008cF(p-NO2)C6H5CH25.50
7dH(p-CN)C6H5CH2>1008dH(p-CN)C6H5CH210.62
7eCH3(p-CN)C6H5CH229.638eCH3(p-CN)C6H5CH24.03
7fF(p-CN)C6H5CH215.778fF(p-CN)C6H5CH24.49
7gH(p-CH3CO)C6H5CH255.008gH(p-CH3CO)C6H5CH213.81
7hCH3(p-CH3CO)C6H5CH217.048hCH3(p-CH3CO)C6H5CH20.41
7iF(p-CH3CO)C6H5CH233.928iF(p-CH3CO)C6H5CH24.03
7jH(p-CH3OOC)C6H5CH2>1008jH(p-CH3OOC)C6H5CH23.64
7kCH3(p-CH3OOC)C6H5CH27.508kCH3(p-CH3OOC)C6H5CH21.11
7lF(p-CH3OOC)C6H5CH2>1008lF(p-CH3OOC)C6H5CH20.71
7mH(p-NO2)C6H5CH2CH267.248mH(p-NO2)C6H5CH2CH28.64
7nCH3(p-NO2)C6H5CH2CH21.408nCH3(p-NO2)C6H5CH2CH20.70
7oF(p-NO2)C6H5CH2CH218.148oF(p-NO2)C6H5CH2CH26.88
7pH(p-NO2)C6H5OCH2CH24.588pH(p-NO2)C6H5OCH2CH26.28
7qCH3(p-NO2)C6H5OCH2CH20.598qCH3(p-NO2)C6H5OCH2CH21.31
7rF(p-NO2)C6H5OCH2CH21.318rF(p-NO2)C6H5OCH2CH22.56
7sHC6H5OCH2CH2CH216.708sHC6H5OCH2CH2CH25.88
7tCH3C6H5OCH2CH2CH22.648tCH3C6H5OCH2CH2CH212.92
7uFC6H5OCH2CH2CH214.428uFC6H5OCH2CH2CH218.03
7vHC6H5CH2OCH212.888vHC6H5CH2OCH210.20
7wCH3C6H5CH2OCH21.828wCH3C6H5CH2OCH28.75
a Nevirapine and TNK-651 were used as reference compounds; IC50 value for nevirapine and TNK-651 is 6.29 µM and 0.14 µM respectively; b Compound dose (µM) required to inhibit the HIV-1 RT activity by 50%; Data represent mean values of three separate experiments, variation among triplicate samples was less than 15%.
In general, most of the tested compounds displayed activity against HIV-1 RT, and demonstrated a lower IC50 than nevirapine within a range of 0.41 μM to 6.28 μM. As shown in Table 1, it was noteworthy that the activity of compounds 8ao, without an oxygen atom on the C-2 side chain, was much better than that of 7ao, especially 8h (IC50 = 0.41 µM), 8l (IC50 = 0.71 µM) and 8n (IC50 = 0.70 µM), were about 10-fold more active compared to nevirapine (IC50 = 6.29 µM). Interestingly, the conclusion did not apply to 7px which had oxygen atom on the C-2 side chain. On the contrary, 7px revealed better activities than 8px, such as 7q > 8q, 7r > 8r, 7t > 8t and 7w > 8w. Therefore, it was suggested that the oxygen atom might play a crucial role in the binding process with HIV-1 RT. In addition, substituting electron withdrawing groups at the para position of the phenyl ring at C-2 while increasing the length of side chain, would both be beneficial for the inhibitory activity, as exemplified by 7q > 7n > 7b, 8p > 8m > 8a, which were consistent with the previous work in our lab [16,17]. Meanwhile, taking 8n > 8o > 8m and 8q > 8r > 8p as examples, the activities were significantly improved by incorporating dimethyl and difluoro into the meta position of the C-6 aromatic moiety. According to the combined results, the target compounds 8h (IC50 = 0.41 µM), 8l (IC50 = 0.71 µM), 8n (IC50 = 0.70 µM), 7q (IC50 = 0.59 µM) had the best activities.
Table 2. Antiviral Activity of Compounds on HIV-1SF33 Infection in TZM-bl Cell line.
Table 2. Antiviral Activity of Compounds on HIV-1SF33 Infection in TZM-bl Cell line.
Compd.MWEC50 (μM)/SF33Compd.MWEC50 (μM)/SF33
7n3956.128n5213.84
7q4115.078q5379.44
8h5041.068r5454.10
NVP a2650.19
a Nevirapine was used as reference compound.
Subsequently, the anti-HIV-1 activity of some active compounds was determined using nevirapine as reference compound. As shown in Table 2, the target compounds were capable of inhibiting wild-type virus infection by HIV-1SF33 in TZM-bl cell line. Especially, 8h showed the moderate activity. Meanwhile, the inhibitory activity of 7n < 8n and 7q > 8q was consistent with that of the RT assay. Moreover, the anti-HIV-1 cytotoxicity of these compounds was also determined and CC50values above 80 µM were observed.

2.3. Computational Modeling

Furthermore, in order to explore the structure-activity relationships, docking simulations were performed using the ChemScore program. Some target compounds were flexibly docked into the binding site of HIV-1 RT (PDB entry1RT2, in complex with TNK-651) (Figure 3). Default parameters were set according to the ChemScore manual, unless otherwise specified [27]. The results displayed that these target compounds could form a hydrogen bond between N-3-H and the amino acid residues Lys101 of RT, which was necessary for the activity. The series of compounds 7ao and 8ao had similar binding modes as the complex of TNK-651/1RT2. Compared to 7ao, 8ao a iodo substituent at the C-5 position could form an extra bond with the carbonyl of Tyr181, which had a significant impact on the activity by increasing the interaction. However, when an oxygen atom was introduced on the C-2 side chain, it could give different results. Another hydrogen bond was formed between the oxygen atom and the Tyr318 of RT. The extra hydrogen bond could potentially function as a pivot point to change the conformation of the compound when binding to the NNBP. Therefore, 7px could interact more stronglywith RT than 7ao, which explained the observed increase of activity. Interestingly, as the conformation changed, the halogen bond at the C-5 position of 8px disappeared unexpectedly. Herein, by forming the additional hydrogen bond, bearing an oxygen on the C-2 side chain could obviously affect the SAR of the traditional S-DABOs analogues. Moreover, to a certain extent, extending the C-2 side chain for a better location at the same region as N-1 substituent of TNK-651 was beneficial for the anti-HIV activity. Introducing substituents such as nitro, cyano, acetyl and ester, to the para position of the phenyl ring of the C-2 side chain, could significantly improve the inhibitory activity by forming another hydrogen bond with the Val106 residue. Meanwhile, because of the reduction in the electron density of the benzene ring with these electron withdrawing groups, a putative π-stacking interaction resulted with the electron rich benzene ring at the Tyr318 amino residue. In addition, due to the double or triple bonds in these groups, the well extended π-π conjugated system could increase the possibility of forming interactions with amino acid residues Phe227, Pro236 and so on. Considering the C-6 position, when the phenyl ring was characterized by m-dimethyl or m-difluoro substituents, favorable π-stacking and π-σ interactions would obviously be observed with the aromatic amino acid residues. Specifically, the dimethyl substituent could modulate the benzyl group into the most suitable conformation for the optimal affinity to the NNIBP by providing a special steric hindrance, where additional van der Waals contacts and π-σ interactions might be observed with the conserved Trp229 and Phe227 residues. Introducing a difluoro substituent at the benzene ring could reduce its electron density, which was beneficial for a better interaction by producing the π-stacking interaction.
Figure 3. Binding mode of 8n (a), 8q (b) (blue) and TNK-651 (green) with HIV-1 RT. Hydrogen bonds are shown as a green dashed lines, and halogen bonds are shown as a green solid line.
Figure 3. Binding mode of 8n (a), 8q (b) (blue) and TNK-651 (green) with HIV-1 RT. Hydrogen bonds are shown as a green dashed lines, and halogen bonds are shown as a green solid line.
Molecules 19 07104 g003

3. Experimental

3.1. General Information

Melting points were measured on an X-4 apparatus and are reported without correction. NMR spectra were recorded on a Bruker AVANCE III-400 spectrometer with TMS as an internal standard and CDCl3 or DMSO-d6 as the solvents. The chemical shifts were expressed in parts per million (δ ppm). Coupling constants (J) were measured in Hz. MS were taken by Bruker Apex IV FTMS with methanol as the solvent. FTIR spectra were recorded in the solid state as KBr dispersions using a Nicolet NEXUS 470 FTIR spectrometer. Silica gel H was used for the column chromatography and silica gel GF254 was used for TLC plates, which were used to monitor the reactions. CH3CN and acetone were dried with CaCl2, while other chemicals were purchased as reagent grade and used without further purification.

3.1.1. General Procedure for the Syntheses of Compounds 7ar

6-Substitued benzyl-2-thioxouracil (compound 6, 0.47 mmol) and K2CO3 (0.94 mmol) were dissolved in DMSO (2 mL) and stirred at room temperature, then the corresponding substituted alkyl bromide (0.47 mmol) was added to the solution followed by stirring for 12 h. H2O (7 mL) was added and then the pH of solution was adjusted to 3 with 2 N hydrochloric acid. After the addition of ethyl acetate (10 mL), the solution was stirred for another 15 min. Ethyl acetate (20 mL × 3) was used to extract the aqueous layer and the organic phases were combined, dried over MgSO4 and concentrated under reduced pressure with a rotary evaporator. The crude product was purified with silica gel H, and EtOAc–petroleum ether was used as the eluting solvent, to yield the target products 7ar.
2-(4-Nitrobenzylthio)-6-benzyluracil (7a). Yield: 62.61%. mp: 192–194 °C. 1H-NMR (DMSO-d6) δ: 3.77 (s, 2H, ArCH2), 4.40 (s, 2H, SCH2), 6.01 (s, 1H, 5-H), 7.19–7.29 (m, 5H, ArH), 7.47 (d, 2H, o-ArH, J = 8.4 Hz), 7.80 (d, 2H, m-ArH, J = 8.4 Hz). 13C-NMR (DMSO-d6) δ: 146.85, 138.33, 130.59, 129.69, 128.88, 126.94, 123.79 (Carom), 43.12 (SCH2), 32.83 (ArCH2). HRMS calcd. for C18H16N3O3S [M+H]+ 354.09069; found: 354.09007.
2-(4-Nitrobenzylthio)-6-(3,5-dimethylbenzyl)uracil (7b). Yield: 89.72%. mp: 218–220 °C. 1H-NMR (DMSO-d6) δ: 2.05 (s, 6H, Ar(CH3)2), 3.55 (s, 2H, (Me)2ArCH2), 4.27 (s, 2H, SCH2), 5.86 (s, 1H, 5-H), 6.70(s, 3H, (Me)2ArH), 7.35 (d, 2H, o-ArH, J = 8.4 Hz), 7.86(d, 2H, m-ArH, J = 8.4 Hz). 13C-NMR (DMSO-d6) δ: 162.28 (C-4), 159.86 (C-2), 158.00 (C-6), 149.79, 146.78, 138.14, 137.83, 130.58, 128.36, 127.39, 123.70 (Carom), 32.93 (SCH2), 30.21 (ArCH2), 21.28 (CH3). HRMS calcd. for C20H20N3O3S [M+H]+ 382.12199; found: 382.12142.
2-(4-Nitrobenzylthio)-6-(3,5-difluorobenzyl)uracil (7c). Yield: 73.05%. mp: 244–24 °C. 1H-NMR (DMSO-d6) δ: 3.79 (s, 2H, F2ArCH2), 4.42 (s, 2H, SCH2), 6.07 (s, 1H, 5-H), 6.93–7.06 (m, 3H, F2ArH), 7.52 (d, 2H, o-ArH, J = 8.4 Hz), 8.03 (d, 2H, m-ArH, J = 8.4 Hz). 13C-NMR (DMSO-d6) δ: 163.98 (C-4), 163.85 (C-F), 161.54 (C-2), 161.41 (C-6), 146.84, 146.68, 142.87, 130.39, 123.70, 112.86, 112.61 (Carom), 102.43 (C-5), 42.32 (SCH2), 33.07 (ArCH2). HRMS calcd. for C18H14F2N3O3S [M+H]+ 354.07184; found: 390.07125.
2-(4-Cyanobenzylthio)-6-benzyluracil (7d). Yield: 98.26%. mp: 190–193 °C. 1H-NMR (DMSO-d6) δ: 3.76 (s, 2H, ArCH2), 4.35 (s, 2H, SCH2), 6.00 (s, 1H, 5-H), 7.22–7.30 (m, 5H, ArH), 7.39 (d, 2H, o-ArH, J = 8.4 Hz), 7.61 (d, 2H, m-ArH, J = 8.4 Hz). 13C-NMR (DMSO-d6) δ: 144.62, 138.33, 132.59, 130.34, 129.67, 128.90, 126.98, 119.21 (Carom), 110.18 (CN), 43.18 (SCH2), 33.33 (ArCH2). HRMS calcd. for C19H16N3OS [M+H]+ 334.10086; found: 334.10041.
2-(4-Cyanobenzylthio)-6-(3,5-dimethylbenzyl)uracil (7e). Yield: 97.14%. mp: 193–196 °C. 1H-NMR (DMSO-d6) δ: 2.18 (s, 6H, Ar(CH3)2), 3.67 (s, 2H, (Me)2ArCH2), 4.37 (s, 2H, SCH2), 5.98 (s, 1H, 5-H), 6.83 (d, 3H, (Me)2ArH), 7.42 (d, 2H, o-ArH, J = 8 Hz), 7.60 (d, 2H, m-ArH, J = 8 Hz). 13C-NMR (DMSO-d6) δ: 144.65, 138.08, 137.813, 132.53, 130.34, 128.39, 127.39, 119.19 (Carom), 110.21 (CN), 43.08 (SCH2), 33.30 (ArCH2), 21.30 (CH3). HRMS calcd. for C21H20N3OS [M+H]+ 362.13216; found: 362.13153.
2-(4-Cyanobenzylthio)-6-(3, 5-difluorobenzyl)uracil (7f). Yield: 73.05%. mp: 205–208 °C. 1H-NMR (DMSO-d6) δ: 3.82 (s, 2H, F 2ArCH2), 4.44 (s, 2H, SCH2), 6.70 (s, 1H, 5-H), 6.97–7.13 (m, 3H, F2ArH), 7.47 (d, 2H, o-ArH, J = 8.4 Hz), 7.66 (d, 2H, m-ArH, J = 8.4 Hz). 13C-NMR (DMSO-d6) δ: 164.00 (C-4), 163.86 (C–F), 161.55 (C-2), 161.42 (C-6), 144.52, 142.82, 132.52, 130.19, 119.17, 112.90, 112.66 (Carom), 110.26 (CN), 102.51 (C-5), 42.33 (SCH2), 33.32 (ArCH2). HRMS calcd. for C19H14 F2N3OS [M+H]+ 370.08202; found: 370.08147.
2-(4-Acetylbenzylthio)-6-benzyluracil (7g). Yield: 83.10%. mp: 204–205 °C. 1H-NMR (DMSO-d6) δ: 2.38 (s, 3H, ArCOCH3), 3.65 (s, 2H, ArCH2), 4.23 (s, 2H, SCH2), 5.87 (s, 1H, 5-H), 7.08–7.18 (m, 5H, ArH), 7.23 (d, 2H, o-ArH, J = 8.4 Hz), 7.62 (d, 2H, m-ArH, J = 8.4 Hz). 13C-NMR (DMSO-d6) δ: 197.84 (CO), 144.00, 138.36, 136.05, 129.68, 129.64, 128.88, 128.69, 126.94 (Carom), 43.22 (SCH2), 33.40 (ArCH2), 27.09 (CH3). HRMS calcd. for C20H19N2O2S [M+H]+ 351.11617; found: 351.11565.
2-(4-Acetylbenzylthio)-6-(3,5-dimethylbenzyl)uracil (7h). Yield: 85.18%. mp: 195–197 °C. 1H-NMR (DMSO-d6) δ: 2.23 (s, 6H, Ar(CH3)2), 2.54 (s, 3H, p-ArCOCH 3), 3.73 (s, 2H, (Me)2ArCH2), 4.41 (s, 2H, SCH2), 6.01 (s, 1H, 5-H), 6.90 (s, 3H, (Me)2ArH), 7.41 (d, 2H, o-ArH, J = 7.2 Hz), 7.78 (d, 2H, m-ArH, J = 7.2 Hz). 13C-NMR (DMSO-d6) δ: 197.78 (CO), 150.27, 138.14, 137.82, 136.04, 129.64, 128.65, 128.38, 127.44 (Carom), 44.12 (SCH2), 43.15 (ArCH2), 27.06 (COCH3), 21.32 (CH3). HRMS calcd. for C22H23N2O2S [M+H]+ 379.14748; found: 379.14672.
2-(4-Acetylbenzylthio)-6-(3,5-difluorobenzyl)uracil (7i). Yield: 93.34%. mp: 251–254 °C. 1H-NMR (DMSO-d6) δ: 2.50 (s, 3H, ArCOCH3), 3.80 (s, 2H, F2ArCH2), 4.36 (s, 2H, SCH2), 6.05 (s, 1H, 5-H), 6.96–7.10 (m, 3H, F 2ArH), 7.37 (d, 2H, o-ArH, J = 8 Hz), 7.76 (d, 2H, m-ArH, J = 8 Hz). 13C-NMR (DMSO-d6) δ: 197.75 (CO), 164.02 (C-4), 163.90 (C-F), 161.58 (C-2), 161.45 (C-6), 143.97, 142.88, 136.07, 129.50, 128.62, 112.95, 112.70 (Carom), 102.49 (C-5), 42.40 (SCH2), 33.39 (ArCH2), 27.04 (COCH3). HRMS calcd. for C20H17F2N2O2S [M+H]+ 387.09733; found: 387.09703.
2-(4-Methoxycarbonylbenzylthio)-6-benzyluracil (7j). Yield: 93.79%. mp: 214–217 °C. 1H-NMR (DMSO-d6) δ: 3.81 (s, 2H, ArCH2), 3.85 (s, 3H, ArCOOCH3), 4.40 (s, 2H, SCH2), 6.03 (s, 1H, 5-H), 7.25–7.34 (m, 5H, ArH), 7.39 (d, 2H, o-ArH, J = 8 Hz), 7.80 (d, 2H, m-ArH, J = 8 Hz). 13C-NMR (DMSO-d6) δ: 166.52 (CO), 144.22, 138.33, 131.95, 129.71, 129.12, 128.86, 126.94 (Carom), 52.27 (OCH3), 43.04 (SCH2), 33.23 (ArCH2). HRMS calcd. for C20H19N2O3S [M+H]+ 367.11109; found: 367.11079.
2-(4-Methoxycarbonylbenzylthio)-6-(3,5-dimethylbenzyl)uracil (7k). Yield: 90.91%. mp: 221–224 °C. 1H-NMR (DMSO-d6) δ: 2.06 (s, 6H, Ar(CH3)2), 3.55 (s, 2H, (Me)2ArCH2), 3.68 (s, 3H, p-ArCO2CH3), 4.24 (s, 2H, SCH2), 5.84 (s, 1H, 5-H), 6.71 (s, 3H, (Me)2ArH), 7.23 (d, 2H, o-ArH, J = 8 Hz), 7.63 (d, 2H, m-ArH, J = 8 Hz). 13C-NMR (DMSO-d6) δ: 166.41 (CO), 144.30, 137.81, 129.71, 129.59, 128.74, 128.39, 127.43 (Carom), 52.52 (OCH3), 43.13 (SCH2), 33.34 (ArCH2), 21.30 (CH3). HRMS calcd. for C22H23N2O3S [M+H]+ 395.14239; found: 395.14195.
2-(4-Methoxycarbonylbenzylthio)-6-(3,5-difluorobenzyl)uracil (7l). Yield: 70.71%. mp: 279–280 °C. 1H-NMR (DMSO-d6) δ: 3.79 (s, 2H, F2ArCH2), 3.80 (s, 3H, p-ArCO2CH3), 4.35 (s, 2H, SCH2), 6.03 (s, 1H, 5-H), 6.97–7.07 (m, 3H, F 2ArH), 7.37 (d, 2H, o-ArH, J = 8 Hz), 7.77 (d, 2H, m-ArH, J = 8 Hz). 13C-NMR (DMSO-d6) δ: 166.40 (CO), 144.21, 142.93, 129.57, 128.80, 112.96, 112.71 (Carom), 52.54 (OCH3), 42.38 (SCH2), 33.38 (ArCH2). HRMS calcd. for C20H17F2N2O3S [M+H]+ 403.09225; found: 403.09219.
2-(4-Nitrophenethylthio)-6-benzyluracil (7m). Yield: 84.14%. mp: 200–204 °C. 1H-NMR (DMSO-d6) δ: 3.01 (t, 2H, p-NO2ArCH2, J = 7.2 Hz), 3.34 (t, 2H, J 6.8Hz, SCH2, J = 7.2 Hz), 3.80 (s, 2H, ArCH2), 5.98 (s, 1H, 5-H), 7.20–7.32 (m, 5H, ArH), 7.43 (d, 2H, o-ArH, J = 8 Hz), 8.13 (d, 2H, m-ArH, J = 8 Hz). 13C-NMR (DMSO-d6) δ: 148.57, 146.64, 138.41, 130.32, 129.75, 128.71, 127.02, 123.87 (Carom), 43.10 (SCH2), 35.11 (ArCH2), 30.64 (NO2ArCH2). HRMS calcd. for C19H18N3O3S [M+H]+ 368.10634; found: 368.10628.
2-(4-Nitrophenethylthio)-6-(3,5-dimethylbenzyl)uracil (7n). Yield: 50.20%. mp: 212–215 °C. 1H-NMR (DMSO-d6) δ: 2.02 (s, 6H, Ar(CH3)2), 2.88 (t, 2H, p-NO2ArCH2, J = 7.2 Hz), 3.19 (t, 2H, SCH2, J = 7.2 Hz), 3.55 (s, 2H, (Me)2ArCH2), 5.81 (s, 1H, 5-H), 6.70 (d, 3H, (Me)2ArH), 7.28 (d, 2H, o-ArH, J = 7.2 Hz), 7.98(d, 2H, m-ArH, J = 7.2 Hz). 13C-NMR (DMSO-d6) δ: 146.62, 137.73, 130.34, 128.32, 127.38, 123.85 (Carom), 46.63 (SCH2), 35.01 (ArCH2), 30.64 (NO2ArCH2), 21.25 (CH3). HRMS calcd. for C21H22N3O3S [M+H]+ 396.13764; found: 396.13726. IR (KBr): 3433, 3114, 2917, 2852, 1646, 1605, 1522, 1459, 1346, 837, 756, 729 cm−1.
2-(4-Nitrophenethylthio)-6-(3,5-difluorobenzyl)uracil (7o). Yield: 79.25%. mp: 220–222 °C. 1H-NMR (DMSO-d6) δ: 2.98 (t, 2H, p-NO2ArCH2, J = 7.6 Hz), 3.30 (t, 2H, SCH2, J = 7.6 Hz), 3.81 (s, 2H, F2ArCH2), 6.02 (s, 1H, 5-H), 7.00–7.04 (m, 3H, F 2ArH), 7.41 (d, 2H, o-ArH, J = 8.4 Hz), 8.11 (d, 2H, m-ArH, J = 8.4 Hz). 13C-NMR (DMSO-d6) δ: 164.00 (C-4), 163.87 (C–F), 161.42 (C-6), 148.52, 146.64, 142.92, 130.28, 123.83, 112.96, 112.71 (Carom), 102.73 (C-5), 42.41 (SCH2), 35.00 (ArCH2), 30.62 (NO2ArCH2). HRMS calcd. for C19H16F2N3O3S [M+H]+ 404.08749; found: 404.08743.
2-(2-(4-Nitrophenoxy)ethylthio)-6-benzyluracil (7p). Yield: 63.46%. mp: 212–213 °C. 1H-NMR (DMSO-d6) δ: 3.49 (t, 2H, p-NO2ArCH2), 3.76 (s, 2H, ArCH2), 4.25 (t, 2H, SCH2), 5.99 (s, 1H, 5-H), 7.18 (d, 2H, o-ArH, J = 8 Hz), 7.16–7.29 (m, 5H, ArH), 8.18 (d, 2H, m-ArH, J = 8 Hz). 13C-NMR (DMSO-d6) δ: 163.80 (CO), 141.46, 138.20, 129.62, 128.79, 126.90, 126.28, 115.47 (Carom), 67.30 (OCH2), 42.87 (SCH2), 28.76 (ArCH2), 21.25 (CH3). HRMS calcd. for C19H18N3O4S [M+H]+ 384.10125; found: 384.10106.
2-(2-(4-Nitrophenoxy)ethylthio)-6-(3,5-dimethylbenzyl)uracil (7q). Yield: 82.12%. mp: 210–214 °C. 1H-NMR (DMSO-d6) δ: 2.16 (s, 6H, Ar(CH3)2), 3.46 (t, 2H, SCH2, J = 6.4 Hz), 3.65 (s, 2H, (Me)2ArCH2), 4.24 (t, 2H, OCH2, J = 6.4 Hz), 5.95 (s, 1H, 5-H), 6.80 (d, 3H, (Me)2ArH), 7.08 (d, 2H, o-ArH, J = 9.2 Hz), 8.15 (d, 2H, m-ArH, J = 9.2 Hz). 13C-NMR (DMSO-d6) δ: 163.78 (CO), 141.43, 138.00, 137.72, 128.32, 127.36, 126.27, 115.45 (Carom), 67.22 (OCH2), 43.02 (SCH2), 28.84 (ArCH2), 21.25 (CH3). HRMS calcd. for C21H22N3O4S [M+H]+ 412.13255; found: 412.13196. IR (KBr): 3433, 2920, 2851, 1648, 1595, 1546, 1513, 1465, 1345, 1266, 1027, 843, 751, 652 cm1.
2-(2-(4-Nitrophenoxy)ethylthio)-6-(3,5-difluorobenzyl)uracil (7r). Yield: 82.76%. mp: 210–212 °C. 1H-NMR (DMSO-d6) δ: 3.48 (t, 2H, SCH2, J = 6.4 Hz), 3.81 (s, 2H, F2ArCH2), 4.24 (t, 2H, OCH2, J = 6.4 Hz), 6.07 (s, 1H, 5-H), 6.99–7.02 (m, 3H, F2ArH), 7.09 (d, 2H, o-ArH, J = 9.2 Hz), 8.18 (d, 2H, m-ArH, J = 9.2 Hz). 13C-NMR (DMSO-d6) δ: 163.94 (C-4), 163.78 (CO), 163.21 (C–F), 161.49 (C-2), 161.36 (C-6), 143.35, 142.76, 141.44, 126.27, 115.39, 112.92, 112.68 (Carom), 102.43 (C-5), 67.24 (OCH2), 43.29 (SCH2), 28.90 (ArCH2). HRMS calcd. for C19H16F2N3O4S [M+H]+ 420.08241; found: 420.08188.

3.1.2. General Procedure for the Syntheses of Compounds 7sx

Sodium (6.43 mmol)) was dissolved in anhydrous methanol (20 mL), 6-substitued benzyl-2-thiouracil (compound 6, 0.92 mmol) was added, followed by addition of the appropriate substituted alkyl halide (1.38 mmol). After completion of the reaction according to TLC analysis, the crude product were purified by silica gel column chromatography with EtOAc–petroleum ether as eluent to afford the white solid products 7sx.
2-(Phenoxypropylthio)-6-benzyluracil (7s). Yield: 79.17%. mp: 89–91 °C. 1H-NMR (CDCl3) δ: 2.11–2.17 (m, 2H, ArOCH2CH2), 3.36 (t, 2H, SCH2, J = 7.2 Hz), 3.79 (s, 2H, ArCH2), 4.02 (t, 2H, ArOCH2, J = 7.2 Hz), 5.99 (s, 1H, 5-H), 6.89–7.33 (m, 10H, ArH). 13C-NMR (DMSO-d6) δ: 158.85 (CO), 138.17, 129.95, 129.72, 128.78, 126.91, 121.03, 114.88 (Carom), 66.51 (OCH2), 43.16 (SCH2), 29.27 (ArCH2), 27.11 (CH2). HRMS calcd. for C20H21N2O2S [M+H]+ 353.13183; found: 353.13142.
2-(Phenoxypropylthio)-6-(3,5-dimethylbenzyl)uracil (7t). Yield: 64.57%. mp: 100–102 °C. 1H-NMR (CDCl3) δ: 2.12–2.18 (m, 2H, ArOCH2CH2), 2.17 (s, 6H, Ar(CH3)2), 3.35 (t, 2H, SCH2, J = 7.2 Hz), 3.69 (s, 2H, (Me)2ArCH2), 4.01 (t, 2H, ArOCH2, J = 7.2 Hz), 5.96 (s, 1H, 5-H), 6.84–6.96 (m, 5H, ArH), 7.29 (d, 3H, (Me)2ArH). 13C-NMR (DMSO-d6) δ: 158.97 (CO), 138.01, 137.74, 129.84, 128.32, 127.45, 121.02, 114.83 (Carom), 66.21 (OCH2), 43.17 (SCH2), 28.76 (ArCH2), 26.92 (CH2), 21.38 (CH2). HRMS calcd. for C22H25N2O2S [M+H]+ 381.16313; found: 381.16260.
2-(Phenoxypropylthio)-6-(3,5-difluorobenzyl)uracil (7u). Yield: 62.14%. mp: 100–101 °C. 1H-NMR (CDCl3) δ: 2.09–2.16 (m, 2H, ArOCH2CH2), 3.33 (t, 2H, SCH2, J = 7.2 Hz), 3.72 (s, 2H, F2ArCH2), 4.01 (t, 2H, ArOCH2, J = 7.2 Hz), 5.99 (s, 1H, 5-H), 6.67–7.30 (m, 8H, ArH). 13C-NMR (DMSO-d6) δ: 163.91 (C-F), 161.02 (C-6), 158.78 (CO), 143.00, 129.81, 121.02, 114.83, 113.02, 102.57 (Carom), 65.87 (OCH2), 42.40 (SCH2), 29.12 (ArCH2), 27.27 (CH2). HRMS calcd. for C20H19F2N2O2S [M+H]+ 389.11298; found: 389.11317.
2-(Benzyloxymethylthio)-6-benzyluracil (7v). Yield: 72.62%. mp: 118–120 °C. 1H-NMR (CDCl3) δ: 3.82 (s, 2H, ArCH2), 4.60 (s, 2H, ArCH2O), 5.43 (s, 2H, SCH2O), 5.99 (s, 1H, 5-H), 7.23–7.37 (m, 10H, ArH). 13C-NMR (DMSO-d6) δ: 176.47 (C-4), 161.01 (C-2), 156.20 (C-6), 136.03, 129.53, 129.09, 128.73, 128.26, 127.91, 127.48 (Carom), 104.14 (C-5), 70.93 (OCH2), 69.19 (SCH2), 27.56 (ArCH2). HRMS calcd. for C19H19N2O2S [M+H]+ 339.11617; found: 339.11591.
2-(Benzyloxymethylthio)-6-(3,5-dimethylbenzyl)uracil (7w). Yield: 65.13%. mp: 134–136 °C. 1H-NMR (CDCl3) δ: 2.17 (s, 6H, Ar(CH3)2), 3.73 (s, 2H, ArCH2), 4.58 (S, 2H, ArCH2O), 5.42 (s, 2H, SCH2O), 5.98 (s, 1H, 5-H), 6.83 (d, 3H, (Me)2ArH), 7.26–7.35 (m, 5H, ArH). 13C-NMR (DMSO-d6) δ: 156.20 (C-6), 138.07, 137.73, 128.69, 128.38, 128.16, 128.11, 127.42, 127.23 (Carom), 103.73 (C-5), 71.72 (OCH2), 70.93 (SCH2), 37.13 (ArCH2), 21.16 (CH3). HRMS calcd. for C21H23N2O2S [M+H]+ 367.14748; found: 367.14662.
2-(Benzyloxymethylthio)-6-(3,5-difluorobenzyl)uracil (7x). Yield: 57.77%. mp: 120–122 °C. 1H-NMR (CDCl3) δ: 3.78 (s, 2H, F2ArCH2), 4.62 (S, 2H, ArCH2O), 5.42 (s, 2H, SCH2O), 6.03 (s, 1H, 5-H), 6.68 (d, 3H, F 2ArH), 7.28–7.37 (m, 5H, ArH). 13C-NMR (DMSO-d6) δ: 176.47 (C-4), 163.59 (C-F), 161.34 (C-2), 154.78 (C-6), 140.83, 137.83, 128.73, 127.56, 112.98, 112.73, 102.53 (Carom), 104.55 (C-5), 71.79 (OCH2), 70.63 (SCH2), 36.49 (ArCH2). HRMS calcd. for C19H17F2N2O2S [M+H]+ 375.09733; found: 375.09789.

3.1.3. General Procedure for the Syntheses of Compounds 8au

Compound 7au (0.30 mmol) was dissolved in dry CH3CN (20 mL) and stirred at room temperature, then I2 (0.18 mmol) and Ce(NH4)2(NO3)6 (CAN, 0.18 mmol) were added to this solution followed by refluxing for 4 h. After cooling to room temperature, the reaction mixture was quenched with saturated aqueous NaHSO3 (15 mL). The CH3CN was evaporated under reduced pressure, and the residue was extracted with CH2Cl2 (20 mL × 3). The organic phases were combined, dried over MgSO4 and concentrated at reduced pressure with a rotary evaporator. The crude product was purified with silica gel H, and EtOAc–petroleum ether was used as the eluting solvent, to yield products 8au.
2-(4-Nitrobenzylthio)-5-iodine-6-benzyluracil (8a). Yield: 75.74%. mp: 207–210 °C. 1H-NMR (DMSO-d6) δ: 4.11 (s, 2H, ArCH2), 4.41 (s, 2H, SCH2), 7.24–7.30 (m, 5H, ArH), 7.45 (d, 2H, o-ArH, J = 8.4 Hz), 8.01 (d, 2H, m-ArH, J = 8.4 Hz). 13C-NMR (DMSO-d6) δ: 146.87, 146.47, 137.70, 130.49, 129.36, 128.93, 127.03, 123.78 (Carom), 46.41 (SCH2), 32.02 (ArCH2). HRMS calcd. for C18H15IN3O3S [M+H]+ 479.98733; found: 479.98704.
2-(4-Nitrobenzylthio)-5-iodine-6-(3,5-dimethylbenzyl)uracil (8b). Yield: 79.90%. mp: 224–228 °C. 1H-NMR (DMSO-d6) δ: 2.16 (s, 6H, Ar(CH3)2), 4.01 (s, 2H, (Me)2ArCH2), 4.38 (s, 2H, SCH2), 6.816 (s, 3H, (Me)2ArH),7.41 (d, 2H, o-ArH, J = 8.4 Hz), 7.95 (d, 2H, m-ArH, J = 8.4 Hz). 13C-NMR (DMSO-d6) δ: 146.79, 146.53, 137.78, 137.50, 130.46, 128.46, 127.07, 123.66 (Carom), 46.56 (SCH2), 33.11 (ArCH2), 21.33 (CH3). HRMS calcd. for C20H19IN3O3S [M+H]+ 508.01863; found: 508.01826.
2-(4-Nitrobenzylthio)-5-iodine-6-(3,5-difluorobenzyl)uracil (8c). Yield: 69.81%. mp: 203–206 °C. 1H-NMR (DMSO-d6) δ: 4.10 (s, 2H, F2ArCH2), 4.40 (s, 2H, SCH2), 6.85–7.05 (m, 3H, F2ArH), 7.50 (d, 2H, o-ArH, J = 8.8 Hz), 8.04 (d, 2H, m-ArH, J = 8.8 Hz). 13C-NMR (DMSO-d6) δ: 163.85 (C-F), 146.83, 146.35, 142.00, 130.28, 123.68, 112.60, 112.35 (Carom), 102.51 (C-5), 47.78 (SCH2), 33.22 (ArCH2). HRMS calcd. for C18H13F2IN3O3S [M+H]+ 515.96849; found: 515.96792.
2-(4-Cyanobenzylthio)-5-iodine-6-benzyluracil (8d). Yield: 78.26%. mp: 223–226 °C. 1H-NMR (DMSO-d6) δ: 4.07 (s, 2H, ArCH2), 4.34 (s, 2H, SCH2), 7.21–7.29 (m, 5H, ArH), 7.35 (d, 2H, o-ArH, J = 7.2 Hz), 7.59 (d, 2H, m-ArH, J = 7.2 Hz), 13.05 (s, 1H, NH). 13C-NMR (DMSO-d6) δ: 144.26, 137.69, 132.55, 130.25, 129.37, 128.89, 127.08, 118.76 (Carom), 110.27 (CN), 46.79 (SCH2), 33.18 (ArCH2). HRMS calcd. for C19H15IN3OS [M+H]+ 459.99750; found: 459.99747.
2-(4-Cyanobenzylthio)-5-iodine-6-(3,5-dimethylbenzyl)uracil (8e). Yield: 65.47%. mp: 224–227 °C. 1H-NMR (DMSO-d6) δ: 2.17 (s, 6H, Ar(CH3)2), 3.99 (s, 2H, (Me)2ArCH2), 4.35 (s, 2H, SCH2), 6.83 (d, 3H, (Me)2ArH), 7.36 (d, 2H, o-ArH, J = 8 Hz), 7.57 (d, 2H, m-ArH, J = 8 Hz). 13C-NMR (DMSO-d6) δ: 144.29, 137.76, 137.46, 132.51, 130.23, 128.48, 127.08, 119.15 (Carom), 110.25 (CN), 46.53 (SCH2), 33.41 (ArCH2), 21.34 (CH3). HRMS calcd. for C21H19IN3OS [M+H]+ 428.02880; found: 488.02855.
2-(4-Cyanobenzylthio)-5-iodine-6-(3,5-difluorobenzyl)uracil (8f). Yield: 82.17%. mp: 216–219 °C. 1H-NMR (DMSO-d6) δ: 4.06 (s, 2H, F2ArCH2), 4.32 (s, 2H, SCH2), 6.83–7.08 (m, 3H, F2ArH), 7.38 (d, 2H, o-ArH, J = 8.4 Hz), 7.60 (d, 2H, m-ArH, J = 8.4 Hz). 13C-NMR (DMSO-d6) δ: 163.83 (C-F), 161.52 (C-2), 161.38 (C-6), 144.09, 142.01, 132.50, 130.06, 119.12, 112.64, 112.39 (Carom), 110.32 (CN), 102.56 (C-5), 46.12 (SCH2), 33.49 (ArCH2). HRMS calcd. for C19H13F2IN3OS [M+H]+ 495.97866; found: 495.97824.
2-(4-Acetylbenzylthio)-5-iodine-6-benzyluracil (8g). Yield: 86.51%. mp: 219–220 °C. 1H-NMR (DMSO-d6) δ: 2.52 (s, 3H, ArCOCH3), 4.10 (s, 2H, ArCH2), 4.35 (s, 2H, SCH2), 7.24–7.30 (m, 5H, ArH), 7.34 (d, 2H, o-ArH, J = 8 Hz), 7.76 (d, 2H, m-ArH, J = 8 Hz). 13C-NMR (DMSO-d6) δ: 197.68 (CO), 143.45, 137.64, 135.89, 129.57, 129.39, 128.88, 128.70, 127.05 (Carom), 46.45 (SCH2), 33.44 (ArCH2), 27.04 (CH3). HRMS calcd. for C20H18IN2O2S [M+H]+ 477.01282; found: 477.01248.
2-(4-Acetylbenzylthio)-5-iodine-6-(3,5-Dimethylbenzyl)uracil (8h). Yield: 79.97%. mp: 201–203 °C. 1H-NMR (DMSO-d6) δ: 2.20 (s, 6H, Ar(CH3)2), 2.53 (s, 3H, p-ArCOCH 3), 4.04 (s, 2H, (Me)2ArCH2), 4.36 (s, 2H, SCH2), 6.89 (d, 3H, (Me)2ArH), 7.33 (d, 2H, o-ArH, J = 8 Hz), 7.75 (d, 2H, m-ArH, J = 8 Hz). 13C-NMR (DMSO-d6) δ: 197.72 (CO), 143.75, 137.78, 137.49, 136.06, 129.53, 128.63, 128.49, 127.13 (Carom), 46.59 (SCH2), 33.47 (ArCH2), 27.04 (COCH3), 21.36 (CH3). HRMS calcd. for C22H22IN2O2S [M+H]+ 505.04412; found: 505.04325. IR (KBr): 3434, 2920, 2851, 1728, 1675, 1605, 1449, 1354, 1266, 1120, 836, 776, 638, 615 cm−1.
2-(4-Acetylbenzylthio)-5-iodine-6-(3,5-difluorobenzyl)uracil (8i). Yield: 88.79%. mp: 205–206 °C. 1H-NMR (DMSO-d6) δ: 2.53 (s, 3H, ArCOCH3), 4.12 (s, 2H, F2ArCH2), 4.35 (s, 2H, SCH2), 6.93–7.11 (m, 3H, F 2ArH), 7.35 (d, 2H, o-ArH, J = 8 Hz), 7.77 (d, 2H, m-ArH, J = 8 Hz). 13C-NMR (DMSO-d6) δ: 197.72 (CO), 164.00 (C-F), 161.54 (C-2), 161.41 (C-6), 143.59, 142.06, 136.05, 129.40, 128.60, 112.70, 112.45 (Carom), 102.57 (C-5), 46.17 (SCH2), 33.53 (ArCH2), 27.02 (COCH3). HRMS calcd. for C20H16F2IN2O2S [M+H]+ 512.99397; found: 512.99383.
2-(4-Methoxycarbonylbenzylthio)-5-iodine-6-benzyluracil (8j). Yield: 92.59%. mp: 214–216 °C. 1H-NMR (DMSO-d6) δ: 3.85 (s, 3H, p-ArCOOCH3), 4.12 (s, 2H, ArCH2), 4.38 (s, 2H, SCH2), 7.25–7.32 (m, 5H, ArH), 7.35 (d, 2H, o-ArH, J = 7.6 Hz), 7.78 (d, 2H, m-ArH, J = 7.6 Hz), 13.07 (s, 1H, NH). 13C-NMR (DMSO-d6) δ: 166.40 (CO), 143.82, 137.62, 129.64, 129.61, 129.40, 128.84, 127.03 (Carom), 52.69 (OCH3), 46.79 (SCH2), 33.53 (ArCH2). HRMS calcd. for C20H18IN2O3S [M+H]+ 493.00773; found: 493.00702.
2-(4-Methoxycarbonylbenzylthio)-5-iodine-6-(3,5-dimethylbenzyl)uracil (8k). Yield: 80.18%. mp: 208–211 °C. 1H-NMR (DMSO-d6) δ: 2.16 (s, 6H, Ar(CH3)2), 3.81 (s, 3H, p-ArCO2CH3), 4.01 (s, 2H, (Me)2ArCH2), 4.34 (s, 2H, SCH2), 6.84 (s, 3H, (Me)2ArH), 7.29 (d, 2H, o-ArH, J = 8 Hz), 7.72 (d, 2H, m-ArH, J = 8 Hz). 13C-NMR (DMSO-d6) δ: 166.37 (CO), 143.95, 137.77, 129.60, 129.58, 128.78, 128.49, 127.13 (Carom), 52.54 (OCH3), 46.60 (SCH2), 33.46 (ArCH2), 21.35 (CH3). HRMS calcd. for C22H22IN2O3S [M+H]+ 521.03903; found: 521.03770.
2-(4-Methoxycarbonylbenzylthio)-5-iodine-6-(3,5-difluorobenzyl)uracil (8l). Yield: 41.41%. mp: 210–213 °C. 1H-NMR (DMSO-d6) δ: 3.81(s, 3H, p-ArCO2CH3), 4.09 (s, 2H, F2ArCH2), 4.32 (s, 2H, SCH2), 6.88–7.08 (m, 3H, F2ArH), 7.32 (d, 2H, o-ArH, J = 8.4 Hz), 7.75 (d, 2H, m-ArH, J = 8.4 Hz). 13C-NMR (DMSO-d6) δ: 166.34 (CO), 163.86 (C-F), 161.54 (C-2), 161.41 (C-6), 143.80, 142.08, 129.53, 129.46, 128.81, 112.71, 112.46 (Carom), 52.53 (OCH3), 46.18 (SCH2), 33.49 (ArCH2). HRMS calcd. for C20H16F2IN2O3S [M+H]+ 528.98889; found: 528.98826.
2-(4-Nitrophenethylthio)-5-iodine-6-benzyluracil (8m). Yield: 75.83%. mp: 209–212 °C. 1H-NMR (DMSO-d6) δ: 2.93 (t, 2H, p-NO2ArCH2, J = 7.2 Hz), 3.28 (t, 2H, SCH2, J = 7.2 Hz), 4.09 (s, 2H, ArCH2), 7.18–7.30 (m, 5H, ArH), 7.35 (d, 2H, o-ArH, J = 8.4 Hz), 8.10 (d, 2H, m-ArH, J = 8.4 Hz), 12.99 (s, 1H, NH). 13C-NMR (DMSO-d6) δ: 148.36, 146.64, 137.87, 130.32, 129.28, 128.85, 127.02, 123.84 (Carom), 46.78 (SCH2), 34.84 (ArCH2), 30.80 (NO2ArCH2). HRMS calcd. for C19H17IN3O3S [M+H]+ 494.00298; found: 494.00270.
2-(4-Nitrophenethylthio)-5-iodine-6-(3,5-dimethylbenzyl)uracil (8n). Yield: 74.15%. mp: 220–221 °C. 1H-NMR (DMSO-d6) δ: 2.17 (s, 6H, Ar(CH3)2), 2.25 (t, 2H, p-NO2ArCH2, J = 7.6 Hz), 3.00 (t, 2H, SCH2, J = 7.6 Hz), 4.05 (s, 2H, (Me)2ArCH2), 6.88 (d, 3H, (Me)2ArH), 7.40 (d, 2H, o-ArH, J = 8.4 Hz), 8.12 (d, 2H, m-ArH, J = 8.4 Hz). 13C-NMR (DMSO-d6) δ: 148.47, 146.62, 137.72, 130.31, 128.43, 127.03, 126.49, 123.82 (Carom), 46.57 (SCH2), 34.81 (ArCH2), 30.86 (NO2ArCH2), 21.31 (CH3). HRMS calcd. for C21H21IN3O3S [M+H]+ 522.03428; found: 522.03387. IR (KBr): 3433, 2923, 2853, 1640, 1560, 1555, 1515, 1453, 1341, 1230, 1030, 995, 848, 711, 684, 596 cm−1.
2-(4-Nitrophenethylthio)-5-iodine-6-(3,5-difluorobenzyl)uracil (8o). Yield: 74.73%. mp: 220–221°C. 1H-NMR (DMSO-d6) δ: 2.94 (t, 2H, p-NO2ArCH2, J = 7.6 Hz), 3.27 (t, 2H, SCH2, J = 7.6 Hz), 4.14 (s, 2H, F2ArCH2), 6.98–7.08 (m, 3H, F 2ArH), 7.39 (d, 2H, o-ArH, J = 8.8 Hz), 8.11 (d, 2H, m-ArH, J = 8.8 Hz). 13C-NMR (DMSO-d6) δ: 163.99 (C-4), 163.86 (C-F), 161.55 (C-6), 148.33, 146.63, 130.26, 123.79, 112.71, 112.46 (Carom), 102.53 (C-5), 46.20 (SCH2), 34.71 (ArCH2), 30.79 (NO2ArCH2). HRMS calcd. for C19H15F2IN3O3S [M+H]+ 529.98414; found: 529.98365.
2-(2-(4-Nitrophenoxy)ethylthio))-5-iodine-6-benzyluracil (8p). Yield: 63.64%. mp: 204–205 °C. 1H-NMR (DMSO-d6) δ: 3.44 (t, 2H, p-NO2ArOCH2, J = 6.4 Hz), 4.06 (s, 2H, ArCH2), 4.16 (t, 2H, SCH2, J = 6.4 Hz), 7.05 (d, 2H, o-ArH, J = 9.2 Hz), 7.16–7.29 (m, 5H, ArH), 8.16 (d, 2H, m-ArH, J = 9.2 Hz). 13C-NMR (DMSO-d6) δ: 163.91 (CO), 141.46, 137.86, 129.32, 128.31, 126.97, 126.14, 115.49 (Carom), 67.34 (OCH2), 46.80 (SCH2), 29.10 (ArCH2). HRMS calcd. for C19H17IN3O4S [M+H]+ 509.99791; found: 509.99834.
2-(2-(4-Nitrophenoxy)ethylthio))-5-iodine-6-(3,5-dimethylbenzyl)uracil (8q). Yield: 60.48%. mp: 215–218 °C. 1H-NMR (DMSO-d6) δ: 2.16 (s, 6H, Ar(CH3)2), 3.42 (t, 2H, SCH2, J = 6.8 Hz), 3.96 (s, 2H, (Me)2ArCH2), 4.18 (t, 2H, OCH2, J = 6.8 Hz), 6.81 (d, 3H, (Me)2ArH), 7.09 (d, 2H, o-ArH, J = 9.2 Hz), 8.15 (d, 2H, m-ArH, J = 9.2 Hz). 13C-NMR (DMSO-d6) δ: 163.72 (CO), 141.44, 137.68, 137.51, 128.41, 127.06, 126.23 (Carom), 115.39 (C-5), 67.02 (OCH2), 46.50 (SCH2), 29.18 (ArCH2), 21.31 (CH3). HRMS calcd. for C21H21IN3O4S [M+H]+ 538.02920; found: 538.02847. IR (KBr): 3433, 2920, 2851, 1633, 1596, 1554, 1513, 1464, 1347, 1258, 1231, 1030, 840, 750, 651, 596 cm−1.
2-(2-(4-Nitrophenoxy)ethylthio)-5-Iodine-6-(3,5-difluorobenzyl)uracil (8r). Yield: 75.52%. mp: 224–226 °C. 1H-NMR (DMSO-d6) δ: 3.41 (t, 2H, SCH2, J = 6.4 Hz), 4.09 (s, 2H, F2ArCH2), 4.15 (t, 2H, OCH2, J = 6.4 Hz), 6.98 (d, 3H, F2ArH), 7.05 (d, 2H, o-ArH, J = 9.2 Hz), 8.16 (d, 2H, m-ArH, J = 9.2 Hz). 13C-NMR (MHz, DMSO-d6) δ: 163.92 (CO), 163.73 (C-F), 161.48 (C-2), 161.34 (C-6), 141.43, 126.23, 115.36, 112.74, 112.49 (Carom), 102.49 (C-5), 67.03 (OCH2), 46.18 (SCH2), 29.17 (ArCH2). HRMS calcd. for C19H14F2IN3NaO4S [M+Na]+ 567.96100; found: 567.96056. IR (KBr): 3435, 2924, 2853, 1644, 1592, 1557, 1516, 1461, 1343, 1261, 1241, 1116, 1033, 851, 751, 656, 603 cm−1.
2-(Phenoxypropylthio)-5-iodine-6-benzyluracil (8s). Yield: 68.26%. mp: 135–137 °C. 1H-NMR (CDCl3) δ: 1.95–2.00 (m, 2H, ArOCH2CH2), 3.19–3.20 (m, 2H, SCH2), 3.82–3.90 (m, 2H, ArOCH2), 4.10 (s, 2H, ArCH2), 6.58–7.51 (m, 10H, ArH). 13C-NMR (DMSO-d6) δ: 158.85 (CO), 138.43, 129.95, 129.44, 128.90, 127.01, 121.04, 117.70 (Carom), 114.79 (C-5), 66.51 (OCH2), 46.73 (SCH2), 29.07 (ArCH2), 27.39 (CH2). HRMS calcd. for C20H20IN2O2S [M+H]+ 479.02847; found: 479.02956.
2-(Phenoxypropylthio)-5-iodine-6-(3,5-dimethylbenzyl)uracil (8t). Yield: 60.11%. mp: 165–167 °C. 1H-NMR (CDCl3) δ: 2.04–2.10 (m, 2H, ArOCH2CH2), 2.27 (s, 6H, Ar(CH3)2), 3.27 (t, 2H, SCH2, J = 7.2 Hz), 3.93 (t, 2H, ArOCH2, J = 7.2 Hz), 4.08 (s, 2H, (Me)2ArCH2), 6.86–7.04 (m, 5H, ArH), 7.27 (q, 3H, (Me)2ArH). 13C-NMR (DMSO-d6) δ: 158.80 (CO), 138.37, 137.63, 129.80, 128.28, 127.09, 120.98, 117.65 (Carom), 114.35 (C-5), 66.21 (OCH2), 46.04 (SCH2), 29.13 (ArCH2), 27.26 (CH2), 21.38 (CH2). HRMS calcd. for C22H24IN2O2S [M+H]+ 507.05977; found: 507.06077.
2-(Phenoxypropylthio)-5-iodine-6-(3,5-difluorobenzyl)uracil (8u). Yield: 62.40%. mp: 156–158 °C. 1H-NMR (CDCl3) δ: 2.05–2.11 (m, 2H, ArOCH2CH2), 3.26 (t, 2H, SCH2, J = 7.2 Hz), 3.99 (t, 2H, ArOCH2, J = 7.2 Hz), 4.10 (s, 2H, F2ArCH2), 6.66–6.97 (m, 5H, ArH), 7.28 (q, 3H, F2ArH). 13C-NMR (DMSO-d6) δ: 161.62 (C-F), 160.28 (C-6), 158.52 (CO), 142.26, 129.56, 120.79, 112.32, 112.03, 102.25 (Carom), 114.73 (C-5), 65.47 (OCH2), 46.36 (SCH2), 29.11 (ArCH2), 27.69 (CH2). HRMS calcd. for C20H18F2IN2O2S [M+H]+ 515.00962; found: 515.01071.

3.1.4. General Procedure for the Syntheses of Compounds 8vx

Compound 7vu (0.10 mmol) and NIS (0.12 mmol) were dissolved in dry DMF (15 mL) after cooling to 0 °C of ice bath, then stirred to room temperature for another 10 h, the reaction completed according to TLC analysis. The mixture was added to EtOAc (50 mL) and washed by saturated brine (50 mL × 3). The organic phase was dried over MgSO4 and concentrated at reduced pressure with a rotary evaporator. The crude product was purified with silica gel H, and EtOAc–petroleum ether was used as the eluting solvent, to yield products 8vx.
2-(Benzyloxymethylthio)-5-iodine-6-benzyluracil (8v). Yield: 91.25%. mp: 133–135 °C. 1H-NMR (CDCl3) δ: 4.14 (s, 2H, ArCH2), 4.47 (s, 2H, ArCH2O), 5.35 (s, 2H, SCH2O), 7.15–7.33 (m, 8H, ArH). 13C-NMR (DMSO-d6) δ: 175.23 (C-4), 160.50 (C-2), 156.39 (C-6), 138.60, 129.12, 129.06, 128.80, 128.45, 127.49, 127.43 (Carom), 104.14 (C-5), 71.53 (OCH2), 69.84 (SCH2), 29.43 (ArCH2). HRMS calcd. for C19H18IN2O2S [M+H]+ 465.01282; found: 465.01307.
2-(Benzyloxymethylthio)-5-iodine-6-(3,5-dimethylbenzyl)uracil (8w). Yield: 78.90%. mp: 200–202 °C. 1H-NMR (CDCl3) δ: 2.20 (s, 6H, Ar(CH3)2), 4.07 (s, 2H, ArCH2), 4.47 (s, 2H, ArCH2O), 5.34 (s, 2H, SCH2O), 6.80–6.95 (m, 5H, ArH), 7.26–7.33 (m, 3H, (Me)2ArH). 13C-NMR (DMSO-d6) δ: 156.39 (C-6), 138.97, 137.49, 129.36, 129.02, 128.58, 128.06, 127.52, 126.96 (Carom), 103.73 (C-5), 71.72 (OCH2), 70.93 (SCH2), 37.13 (ArCH2), 21.16 (CH3). HRMS calcd. for C21H22IN2O2S [M+H]+ 493.04412; found: 493.04508.
2-(Benzyloxymethylthio)-5-iodine-6-(3,5-difluorobenzyl)uracil (8x). Yield: 78.93%. mp: 196–198 °C. 1H-NMR (CDCl3) δ: 4.12 (s, 2H, F2ArCH2), 4.59 (s, 2H, ArCH2O), 5.35 (s, 2H, SCH2O), 6.63–6.90 (m, 3H, F 2ArH), 7.26–7.36 (m, 5H, ArH). 13C-NMR (DMSO-d6) δ: 176.62 (C-4), 163.46 (C-F), 161.48 (C-2), 154.41 (C-6), 141.21, 138.27, 128.83, 127.77, 112.99, 111.94, 102.59 (Carom), 105.25 (C-5), 72.22 (OCH2), 70.92 (SCH2), 35.53 (ArCH2). HRMS calcd. for C19H16F2IN2O2S [M+H]+ 500.99397; found: 500.99365.

3.2. Biological Assays

3.2.1. Assay for Measuring the Inhibitory Activity of Compounds against HIV-1 RT

Oligo(dT) (TaKaRa Co., Otsu, Japan) was immobilized via its 5'-terminal phosphate to Covalink-NH microtiter plates (NUNC Co., Roskilde, Denmark). The biotin-dUTP was incorporated by reverse transcriptase (Sigma, St. Louis, MO, USA). Briefly, a serial concentration of inhibitor was added to the mixture, which contained 50 mmol/L Tris-HCl (pH 8.3), 3 mmol/L MgCl2, 75 mmol/L KCl, 5 mmol/L DTT, 0.13 mg/mL BSA, 10 μg/mL poly (A), 0.75 μM biotin-11-Dutp, 1.5 μM dTTP and HIV-1 RT. After incubation at 37 °C for 1h, washing buffer, which contained 50 mmol/L Tris-HCl (pH 7.5), 0.15 mol/L NaCl, 0.05 mmol/L MgCl2 and 0.02% Tween20, was used to wash the plate. Then each well of the plate was added 100 mL 1% BSA and incubated at room temperature for another 30 min. The plate was washed with the same buffer for 3 times. Before further incubation at 37 °C for 1 h, 50 μL of alkaline phosphatase streptavidin (SA-ALP) solution (100 ng/mL) was added to each well and washed again as above. Finally, 50 μL of p-nitrophenyl phosphate, disodium (PNPP, 1 mg/mL, pH 9.5) was added and incubated at 37 °C for 30 min. 0.5 mol/L NaOH was added to stop the reaction and a colorimetric streptavidin-alkaline phosphatase reporter system was used to detect and quantify the result.

3.2.2. Assay for Measuring the Inhibitory Activity of Compounds on HIV-1SF33 Infectious

TZM-bl cells, HIV-1SF33 were obtained from the NIH AIDS Research and Reference Reagent Program (Germantown, MD, USA). The inhibitory activity of the compounds on infection by a laboratory-adapted HIV-1 strain SF33 was tested in TZM-bl cells. Briefly, TZM-bl cells (4 × 104/well) were infected by addition of 200 TCID50 of HIV-1, followed by incubation for 2 h at 37 °C before addition of compounds at serial dilutions. After further incubation at 37 °C for 7 days, p24 was measured using a commercial enzyme-linked immunosorbent assay (ELISA) kit (Vironostika HIV-1 Microelisa system; BioMérieux; Marcy l’Etoile, France).The concentration of a compound for inhibiting 50% viral replication (EC50) was determined by nonlinear regression using GraphPad Prism 5.01.

3.3. Molecular Modeling

The docking studies were conducted by using software GOLD3.0.1 and protein crystal structures of wildtype RT/1 complex (PDB ID: 1RT2). Following the default settings of Chemscore in the software tool, top scored docked poses were visually inspected for each ligand in the DS 2.5 based on relevant molecules. The radius of the binding site sphere was defined by the original ligand as 8.9 Å, thus ensuring that the docking method was reliable.

4. Conclusions

In summary, a series of novel 2-arylalkylthio-5-iodine-6-substitutedbenzyl-pyrimidine-4(3H)-ones (S-DABOs) were synthesized as inhibitors of HIV-1 RT. We evaluated their anti-HIV activity on the HIV-1 RT and HIV-1SF33 in TZM-bl cell lines. Biological results revealed that the target compounds displayed good activity. It was noteworthy that compounds bearing an oxygen atom on the C-2 side chain demonstrated a new SAR, and the differences in biological results seen between 7ax and 8ax were discussed. From this study, useful information was obtained for designing HIV-1 inhibitors with great efficiency and low toxicity.

Acknowledgments

We thank the Foundation of China (20972011, 21042009, 21172014) and grants from the Ministry of Science and Technology of China (2009ZX09301-010) for financial support.

Author Contributions

The listed authors contributed to this work as described in the following: J.L. and W.X. designed research; L.Z., X.T., Y.C., S.W., Y.Z., J.Z. and Y.G. performed research and analyzed the dara; L.Z., C.T., Z.Z., J.L. and W.X. wrote the paper. All authors read and approved the final manuscript.

Conflicts of Interest

The authors declare no conflict of interest.

References

  1. Rodgers, D.W.; Gamblin, S.J.; Harris, B.A.; Ray, S.; Culp, J.S.; Hellmig, B.; Woolf, D.J.; Debouck, C.; Harrison, S.C. The structure of unliganded reverse transcriptase from the human immunodeficiency virus type 1. Proc. Natl. Acad. Sci. USA 1995, 92, 1222–1226. [Google Scholar] [CrossRef]
  2. Ting, Z.; Lan, X. Progress in HIV non-nucleoside reverse transcriptase inhibitors (NNRTIs). Acta Pharm. Sin. 2004, 39, 666–672. [Google Scholar]
  3. Mugnaini, C.; Manetti, F.; Este, J.A.; Clotet-Codina, I.; Maga, G.; Cancio, R.; Botta, M.; Corelli, F. Synthesis and biological investigation of S-aryl-S-DABO derivatives as HIV-1 inhibitors. Bioorg. Med. Chem. Lett. 2006, 16, 3541–3544. [Google Scholar]
  4. Zhang, X. The newest developments in anti-HIV-1 drugs. Acta Pharm. Sin. 2010, 45, 194–204. [Google Scholar]
  5. De Clercq, E. Non-Nucleoside Reverse Transcriptase Inhibitors (NNRTIs): Past, Present, and Future. Chem. Biodivers. 2004, 1, 44–64. [Google Scholar] [CrossRef]
  6. Artico, M.; Massa, S.; Mai, A.; Marongiu, M.E.; Piras, G.; Tramontano, E.; la Colla, P. 3.4-Dihydro-2-alkoxy-6-benzyl-4-oxopyrimidines(DABOs): A new class of specific inhibitors of human immunodeficiency virus type 1. Antivir. Chem. Chemother. 1993, 4, 361–368. [Google Scholar]
  7. Mai, A.; Artico, M.; Sbardella, G.; Massa, S.; Loi, A.G.; Tramontano, E.; Scano, P.; la Colla, P. Preparation and anti-HIV-1 activity of Thio Analogues of Dichydroalkoxybenzyloxopyrimidines. J. Med. Chem. 1995, 38, 3258–3263. [Google Scholar] [CrossRef]
  8. Wang, Y.; Chen, F.; de Clercq, E.; Balzarini, J.; Pannecouque, C. Synthesis and in vitro anti-HIV evaluation of a new series of 6-arylmethyl-substituted S-DABOs as potential non-nucleoside HIV-1 reverse transcriptase inhibitors. Eur. J. Med. Chem. 2009, 44, 1016–1023. [Google Scholar] [CrossRef]
  9. Ragno, R.; Mai, A.; Sbardella, S.; Artico, M.; Massa, S.; Musiu, C.; Mura, M.; Marceddu, T.; Cadeddu, A.; la Colla, P. Computer-aided design, synthesis, and anti-hiv-1 activity in vitro of 2-alkylamino-6-[1-(2,6-difluorophenyl)alkyl]-3,4-dihydro-5-alkylpyrimidin-4(3H)- ones as novel potent non-nucleoside reverse transcriptase inhibitors, also active against the Y181C variant. J. Med. Chem. 2004, 47, 928–934. [Google Scholar] [CrossRef]
  10. Esnouf, R.M.; Stuart, D.I.; de Clercq, E.; Schwartz, E.; Balzarini, J. Models which explain the inhibition of reverse transcriptase by HIV-1 specific (thio)carboxaanilide derivatives. Biochem. Biophys. Res. Commn. 1997, 234, 458–464. [Google Scholar] [CrossRef]
  11. Tantillo, C.; Ding, J.; Jacobo-Molina, A.; Nanni, R.G.; Boyer, P.L.; Hughes, S.H.; Pauwels, R.; Andries, K.; Janssen, P.A.; Arnold, E. Locations of anti-AIDS drug binding sites and resistance mutations in the three-dimensional structure of HIV-1 reverse transcriptase.Implications for mechanisms of drug inhibition and resistance. J. Mol. Boil. 1994, 243, 369–387. [Google Scholar] [CrossRef]
  12. Meng, G.; Chen, F. Research progress of HEPT analogs as nonnucleoside HIV-1 reverse transcriptase inhibitors. Chin. J. Med. Chem. 2004, 14, 56–64. [Google Scholar]
  13. Kohlstaedt, L.A.; Wang, J.; Friedman, J.M.; Rice, P.A.; Steits, T.A. Crystal structure at 3.5 A resolution of HIV-1 reverse transcriptase complexed with an inhibitor. Science 1992, 256, 1783–1790. [Google Scholar]
  14. Das, K.; Lewi, P.J.; Hughes, S.H.; Arnold, E. Crystallography and the design of anti-AIDS drugs: Conformational flexibility and positional adaptability are important in the design of non-nucleoside HIV-1 reverse transcriptase inhibitors. Prog. Biophys. Mol. Biol. 2005, 88, 209–231. [Google Scholar] [CrossRef]
  15. He, Y.; Long, J.; Zhang, S.; Li, C.; Lai, C.; Zhang, C.; Li, D.; Zhang, D.; Wang, H.; Cai, Q.; et al. Synthesis and biological evaluation of novel dihydro-aryl/alkylsulfanyl-cyclohexylmethyl-oxopyrimidines (S-DACOs) as high active anti-HIV agents. Bioorg. Med. Chem. Lett. 2011, 21, 694–697. [Google Scholar] [CrossRef]
  16. Qin, H.; Liu, C.; Guo, Y.; Wang, R.; Zhang, J.; Ma, L.; Zhang, Z.; Wang, X.; Cui, Y.; Liu, J. Synthesis and biological evaluation of novel C5 halogen-functionalized S-DABO as potent HIV-1 non-nucleoside reverse transcriptase inhibitors. Bioorg. Med. Chem. 2010, 18, 3231–3237. [Google Scholar] [CrossRef]
  17. Wang, X.; Zhang, J.; Huang, Y.; Wang, R.; Zhang, L.; Qiao, K.; Li, L.; Liu, C.; Ouyang, Y.; Xu, W.; et al. Design, Synthesis and Biological Evaluation of 1-[(2-benzyloxyl/alkoxyl) methyl]-5-halo-6-aryluracils as Potent HIV-1 Non-Nucleoside Reverse Transcriptase Inhibitors with Improved Drug Resistance Profile. J. Med. Chem. 2012, 55, 2242–2250. [Google Scholar] [CrossRef]
  18. Davidson, D.; Berhardt, S.A. The Structure of Meldrum’s Supposed β-Lacto nic Acid. J. Am. Chem. Soc. 1948, 70, 3426–3428. [Google Scholar] [CrossRef]
  19. Oikawa, Y.; Yoshika, T.; Sugano, K.; Yonemitsu, O. Methyl Phenylacetylacetate from Phenylacetyl Chloride and Meldrum’s Acid. Org. Synth. 1985, 63, 198–202. [Google Scholar] [CrossRef]
  20. Danel, K.; Larsen, E.; Pedersen, E.B. Easy synthesis of 5,6-disubstituted acyclouridine derivatives. Synthesis 1995, 8, 934–936. [Google Scholar] [CrossRef]
  21. Mugnaini, C.; Alongi, M.; Togninelli, A.; Gevariya, H.; Rizzi, A.; Manetti, F.; Bernardini, C.; Angeli, L.; Tafi, A.; Bellucci, L.; et al. Dihydro- alkylthio- benzyl-oxopyrimidines as Inhibitors of reverse transcriptase: synthesis and rationalization of the biological data on both wild-type enzyme and relevant clinical mutants. J. Med. Chem. 2007, 50, 6580–6595. [Google Scholar] [CrossRef]
  22. Manetti, F.; Esté, J.A.; Clotet-Codina, I.; Armand-Ugon, M.; Maga, G.; Crespan, E.; Cancio, R.; Mugnaini, C.; Bernardini, C.; Togninelli, A.; et al. Parallel solution-phase and microwave-assisted synthesis of new s-dabo derivatives endowed with subnanomolar anti-hiv-1 activity. J. Med. Chem. 2005, 48, 8000–8008. [Google Scholar] [CrossRef]
  23. Qin, H.; Liu, C.; Zhang, J.; Guo, Y.; Zhang, S.; Zhang, Z.; Wang, X.; Zhang, L.; Liu, J. Synthesis and biological evaluation of novel 2-arylalkylthio-4-amino-6-benzyl pyrimidines as potent HIV-1 non-nucleoside reverse transcriptase inhibitors. Bioorg. Med. Chem. Lett. 2010, 20, 3003–3005. [Google Scholar] [CrossRef]
  24. Asakura, J.; Robins, M.J. Cerium(IV)-Mediated Halogenation at C-5 of Uracil Derivatives. J. Org. Chem. 1990, 55, 4928–4933. [Google Scholar] [CrossRef]
  25. Yano, S.; Kazuno, H.; Suzuki, N.; Emura, T.; Wierzba, K.; Yamashita, J.; Tada, Y.; Yamada, Y.; Fukushima, M.; Asao, T. Synthesis and evaluation of 6-methylene-bridged uracil derivatives. Part 1: Discovery of novel orally active inhibitors of human thymidine phosphorylase. Bioorg. Med. Chem. 2004, 12, 3431–3441. [Google Scholar] [CrossRef]
  26. Lu, X.; Chen, Y.; Guo, Y.; Liu, Z.; Shi, Y.; Xu, Y.; Wang, X.; Zhang, Z.; Liu, J. The design and synthesis of N-1-alkylated-5-aminoaryalkylsubstituted-6-methyluracils as potential non-nucleoside HIV-1 RT inhibitors. Bioorg. Med. Chem. 2007, 15, 7399–7407. [Google Scholar] [CrossRef]
  27. Morris, G.M.; Goodsell, D.S.; Halliday, R.S.; Huey, R.; Hart, W.E.; Belew, R.K.; Olson, A.J. Complexes of HIV-1 reverse transcriptase with inhibitors of the HEPT series reveal conformational changes relevant to the design of potent non-nucleoside inhibitors. J. Comput. Chem. 1998, 19, 1639–1662. [Google Scholar] [CrossRef]
  • Sample Availability: Samples of the compounds are not available from the authors.

Share and Cite

MDPI and ACS Style

Zhang, L.; Tang, X.; Cao, Y.; Wu, S.; Zhang, Y.; Zhao, J.; Guo, Y.; Tian, C.; Zhang, Z.; Liu, J.; et al. Synthesis and Biological Evaluation of Novel 2-Arylalkylthio-5-iodine-6-substituted-benzyl-pyrimidine-4(3H)-ones as Potent HIV-1 Non-Nucleoside Reverse Transcriptase Inhibitors. Molecules 2014, 19, 7104-7121. https://doi.org/10.3390/molecules19067104

AMA Style

Zhang L, Tang X, Cao Y, Wu S, Zhang Y, Zhao J, Guo Y, Tian C, Zhang Z, Liu J, et al. Synthesis and Biological Evaluation of Novel 2-Arylalkylthio-5-iodine-6-substituted-benzyl-pyrimidine-4(3H)-ones as Potent HIV-1 Non-Nucleoside Reverse Transcriptase Inhibitors. Molecules. 2014; 19(6):7104-7121. https://doi.org/10.3390/molecules19067104

Chicago/Turabian Style

Zhang, Liang, Xiaowan Tang, Yuanyuan Cao, Shaotong Wu, Yu Zhang, Jianxiong Zhao, Ying Guo, Chao Tian, Zhili Zhang, Junyi Liu, and et al. 2014. "Synthesis and Biological Evaluation of Novel 2-Arylalkylthio-5-iodine-6-substituted-benzyl-pyrimidine-4(3H)-ones as Potent HIV-1 Non-Nucleoside Reverse Transcriptase Inhibitors" Molecules 19, no. 6: 7104-7121. https://doi.org/10.3390/molecules19067104

APA Style

Zhang, L., Tang, X., Cao, Y., Wu, S., Zhang, Y., Zhao, J., Guo, Y., Tian, C., Zhang, Z., Liu, J., & Wang, X. (2014). Synthesis and Biological Evaluation of Novel 2-Arylalkylthio-5-iodine-6-substituted-benzyl-pyrimidine-4(3H)-ones as Potent HIV-1 Non-Nucleoside Reverse Transcriptase Inhibitors. Molecules, 19(6), 7104-7121. https://doi.org/10.3390/molecules19067104

Article Metrics

Back to TopTop