Abstract
A series of glycoconjugates, derivatives of genistein containing a C-glycosylated carbohydrate moiety, were synthesized and their anticancer activity was tested in vitro in the human cell lines HCT 116 and DU 145. The target compounds 15–17 were synthesized by treating ω-bromoalkyl C-glycosides derived from l-rhamnal (1) with a tetrabutylammonium salt of genistein. The new, metabolically stable analogs of previously studied O-glycosidic genistein derivatives inhibited proliferation of cancer cell lines through inhibition of the cell cycle.
1. Introduction
Natural glycosides have been used directly as biologically active substances (antibiotics, nucleosides, lignans, saponins), but a glycon residue was rarely considered as a functional element in designing new drugs [1,2,3,4,5,6].
2,3-Unsaturated-O-glycosides are easily available chiral intermediates in the synthesis of biologically active compounds such as glycopeptide building blocks, oligosaccharides, and modified carbohydrates [7,8,9,10,11]. They have also been employed in the synthesis of some important antibiotics and nucleosides [12,13,14]. Our recent study indicates that introducing unsaturation into the pyranoside ring of flavonoid O-glycosides and glycoconjugates brings about pronounced changes in their biological activity profiles [15,16,17].
During our study on the synthetic glycosides of genistein, we have found that some of its 2,3-unsaturated pyranosides (Figure 1, type A) possess a rather unusual and potentially useful ability to interfere with microtubule dynamics and cell cycle progression [17,18,19]. 2,3-Unsaturated pyranosides are, in principle, easily accessible from readily available glycals through Ferrier rearrangements [3,20]. Unfortunately, this well-studied transformation often fails to deliver the required product, particularly in the case of complex and multifunctional aglycons, such as naturally occurring polyalcohols and polyphenols. Thus, genistein for example, does not react with glycals under typical Ferrier rearrangement conditions, even under the influence of new generation Lewis acid catalysts, and the desired unsaturated pyranosides have to be obtained from pre-formed unsaturated anomeric carbonate esters under palladium catalyzed exchange, the reaction which proved nonselective, yielding four distereoisomeric glycoside products [15].
Figure 1.
Structure of 2,3-ene-pyranosyl conjugates of genistein.
Figure 1.
Structure of 2,3-ene-pyranosyl conjugates of genistein.

Under these circumstances, structural analogs of unsaturated 7-O-genistein pyranosides selected as the first group of derivatives for biological activity study, were the compounds with an aliphatic carbon spacer, which separates a phenolic part and a carbohydrate moiety (Figure 1, type B) [17]. These compounds have retained antiproliferative activity, which prompted the design of further analogs. Since one of the principal problems of glycoside application in medicinal chemistry relates to the question of their integrity in biological media, it appeared that desired modification should lead to replacement of the O-glycosidic by the C-glycosidic bond (Figure 1, type C). Formal removal of the anomeric oxygen atom from aromatic “through spacer” glycosides can be achieved by variety of ways [21]. This paper presents a method for successful C-alkylating transformation of simple glycal, 3,4-di-O-acetyl-l-rhamnal (1), which is regioselective and stereoselective, and is thus useful for preparation of various chemically and biologically stable analogs of physiologically relevant O-glycosides.
2. Results and Discussion
2.1. Synthesis of 2,3-Enopyranosyl C-Linked Conjugates of Genistein
The syntheses of C-glycosides have been the subject of intense study [21]. Compounds of this type have been found in Nature and they often possess distinctly different biological activities than their O-glycosidic counterparts [22,23,24,25,26,27,28,29]. As non-hydrolysable analogs of O-glycosides, carbon-linked glycosides have been used as enzyme inhibitors, and they have proved to be involved in important intracellular and intercellular processes [30,31,32,33].
In our initial experiments, we have chosen l-rhamnal as a sugar substituent, due to its commercial availability and easy transformation into derivatives of deoxypyranosides—the structural analogs of well-known antibiotic sugars [34,35,36].
We have aimed at synthesis of 2,3-unsaturated C-glycosides (15), in which genistein is connected with a sugar segment by an alkyl carbon spacer. The proposed synthetic solution allows the derivation of compounds which can be subsequently transformed into a regular pyranoside (variable derivatization of the double bond C2–C3). Consequently, versatile synthons can be obtained, which are useful for preparation of biomimetic compounds with built-in metabolic stability.
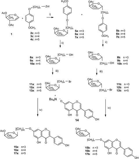
Intermediates for the desired C-glycoconjugates (methoxy aryloksyalkylbromides) were prepared by alkylation of phenols with dibromohalides under phase-transfer conditions (PTC) or in the presence of potassium carbonate in acetone solution (Scheme 1) [37,38,39]. The simplicity and efficiency of the PTC technique was demonstrated by McKillop and coworkers in the reaction of phenols with alkyl halides [40]. Treatment of phenols with α,ω-dibromoalkylhalides usually yields diaryloxyalkanes. We have observed that under controlled conditions, only aryloxyalkyl bromides were formed by treatment of phenols with 1,3-dibromopropane, 1,4-dibromobutane, and 1,5-dibromopentane.
Treatment of the bromides with sodium iodide in acetone led to the corresponding aryloxyalkyl iodides [41]. The yield of iodide product was in each case determined with 1H-NMR spectroscopy, by measuring the relative intensity of group CH2Br towards CH2I. The crude product of halogene exchange was used directly for reaction with activated zinc to obtain Reformatsky’s reagent.
Scheme 1.
Synthesis of Reformatsky reagents.
Scheme 1.
Synthesis of Reformatsky reagents.

Substrates and conditions: (i) Bu4NBr, CH2Cl2/H2O, NaOH, r.t.; (ii) NaI, acetone, overnight; (iii) Zn.
The reaction of glycals with organozinc reagents has already been a subject of studies presented by Gallagher’s and Orsini’s groups [42,43,44]. They have obtained C-glycosides by applying very reactive organozinc reagents, obtained from esters of ω-haloacids. For the purpose of coupling ω-aryloxy alkyl iodides to 3,4-di-O-acetyl-l-rhamnal (1) we have worked out a simple and effective method for preparing active zinc dust, using 1,2-dibromoethane in THF at 50 °C, followed by sonification, with addition of chlorotrimethylsilane.
Scheme 2 illustrates synthesis of compounds used in biological activity testing. Organozinc reagents were used immediately for coupling with l-rhamnal acetate (1) in the presence of BF3OEt2, which offered better yields then other Lewis acids. Although addition of iodides 2c–4c to 3,4-di-O-acetyl-l-rhamnal proceeded with a good yield, the stereoselectivity of the reaction was low, leading to a mixture of α/β C-glycosides (Scheme 2). However, in each case, both stereoisomers could be readily separated by column chromatography. Derivatization of the more acidic phenolic group is easily achieved via its tetra-n-butylammonium salt. Thus, by treatment of isoflavone tetra-n-butylammonium salt 14 with a near stoichiometric amount of an alkylating agent, 7-O-glycosylalkyl derivatives of genistein 15–17 can be obtained. The formation of 4'-O-derivatives was not observed (1H-NMR spectra). The presence of the acetyl group in hex-2,3-enose moiety was intentional and stemmed from positive results obtained in previous study of similar compounds [15]. It is worth noting that, in the final compounds, the acetyl group on the glycone was not removed in the reaction using the tetrabutylammonium salt of genistein. This result is in line with our previous observations [45].
To confirm structures of the products obtained and to identify proton and carbon signals, NMR spectroscopy (1H, 13C, HSQC and HMBC) was aided by simulation in the MestReNova 8.1.4–12489 program [46]. To determine the stereochemistry of individual C-glycosides we adopted the NOESY technique. In the β isomer, we have observed signal correlation between H-1 and H-5, in contrast to the α isomer, where no correlation between these signals appeared.
2.2. Anticancer Activity in Vitro
The cytotoxicity of six C-linked l-erythro-hex-2-enopyranosyl alkyl derivatives of genistein, differing by the length of a linker and the configuration of the C-glycosidic bond (α or β), was tested in HCT 116 (human colorectal cancer cell line) and DU 145 (human prostate cancer cell line). MTT colorimetric assay was used to assess cell viability after 72 h treatment with the tested drugs. In this assay a pale yellow substrate is cleaved by living cells to yield a dark blue formazan product. This process requires active mitochondria, and even freshly dead cells do not cleave significant amounts of MTT.
Scheme 2.
Synthesis of 2,3-enopyranosyl C-linked conjugates of genistein.
Scheme 2.
Synthesis of 2,3-enopyranosyl C-linked conjugates of genistein.

Reagents and conditions: (i) BF3·EtO2, −30 °C, overnight; (ii) CAN, 0 °C, 10 min; (iii) Ph3PBr2, r.t., 5 min.; (iv) DMF, 50 °C, 8h.
In both tested cell lines, four out of the six l-rhamnal derivatives of genistein demonstrated higher potency than the parent isoflavonoid (Table 1).
Table 1.
Cytotoxicity (IC50 [µM]) of genistein and its derivatives measured in MTT assay after 72 h treatment of cells with the drugs.
| Compound | Cell Line | |
|---|---|---|
| HCT 116 | DU 145 | |
| Genistein | 34.90 ± 9.84 | 47.29 ± 11.78 |
| 15a | 13.04 ± 2.13 | 28.02 ± 9.24 |
| 15b | >25.00 * | >25.00 * |
| 16a | 2.28 ± 0.62 | 4.64 ± 2.52 |
| 16b | 35.51 ±17.30 | 6.85 ± 2.39 |
| 17a | 9.13 ± 6.22 | 10.09 ± 4.61 |
| 17b | 4.69 ± 3.38 | 4.90 ± 2.57 |
| Paclitaxel | (3.5 ± 1.1) × 10−3 | (18.4 ± 3.64) × 10−3 |
* IC50 value is higher than the limit of solubility (precipitation of the compound is observed in culture medium).
Compounds 16a and 17b showed the greatest antiproliferative activity, with corresponding IC50 values lower than 5 µM. Two other compounds, 15a and 17a, showed IC50 values around 10 µM. The compound 15b was not active in the concentration up to 25 µM, whereas 16b was active only in one cell line. Paclitaxel, used as a reference drug, inhibited cell proliferation at low nanomolar concentrations.
Next, we analyzed the influence of the selected glycoconjugates on the cell cycle using a flow cytometer. Univariate analysis of DNA content in cells stained with propidium iodide (PI) allowed us to generate frequency histograms presenting the distribution of cells in three major phases of the cell cycle (G1, S, G2/M), and to detect the apoptotic population, with fractional DNA content (sub-G1), as well as the polyploid population, with DNA content higher than showed by the cells in the G2/M phase.
Treatment of both HCT 116 and DU 145 cell lines with compounds 15–17 for 24 h altered the cell cycle phase distribution, with a block observed in the G2/M phase (Figure 2). The most profound effect was observed after cell treatment with 15a. Inhibition of the cell cycle was clearly visible when 15a was used at a concentration corresponding to ½ of the IC50 value, determined in the MTT assay. Compounds 16a, 17a and 17b blocked the cell cycle only when used at the concentration corresponding to 2 × IC50 or higher. Worth noting is that all the tested compounds increased the frequency of apoptotic cells in a dose dependent manner.
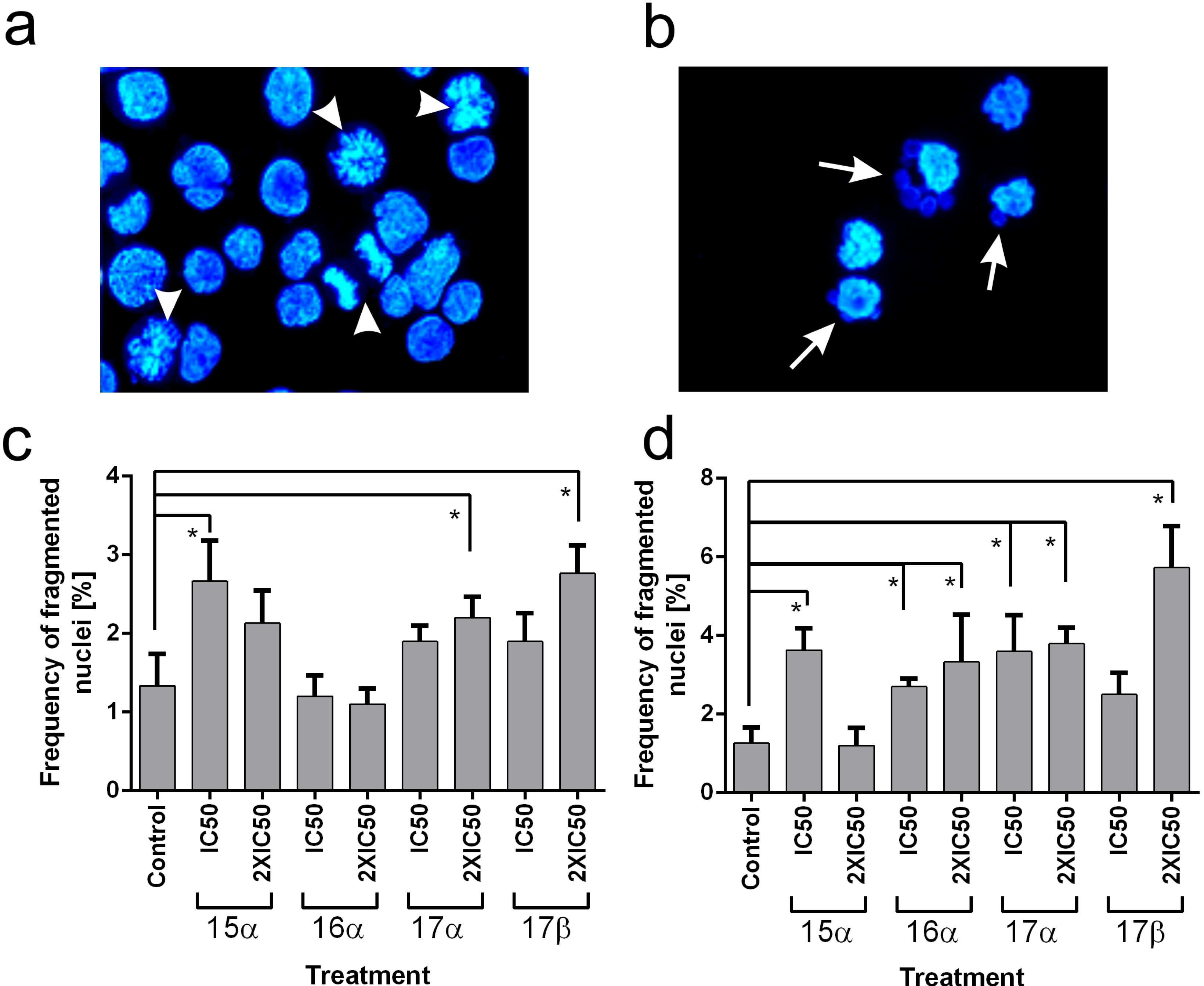
Since the method used for determination of the cell cycle phases distribution did not allow us to distinguish whether the cells were stopped in the G2 phase or in mitosis, we decided to calculate the mitotic index using microscope analysis. Compound 15a induced mitotic arrest, with the mitotic index reaching 9%. The reminder of the tested compounds did not cause mitotic arrest. Microscope examination also allowed us to count the cells with abnormal nuclear morphology. The most common abnormality observed after treatment with the selected drugs was fragmentation of the nucleus. In many cells, multiple large micronuclei were formed, and in extreme cases, the nucleus disintegrated into several micronuclei.
Figure 2.
(a) Distribution of cell cycle phases in HCT 116 cells treated with the selected genistein derivatives for 24 h. (b) Distribution of cell cycle phases in DU 145 cells treated with the selected genistein derivatives for 24 h.
Figure 2.
(a) Distribution of cell cycle phases in HCT 116 cells treated with the selected genistein derivatives for 24 h. (b) Distribution of cell cycle phases in DU 145 cells treated with the selected genistein derivatives for 24 h.

These types of nuclear aberrations are characteristic for cells treated with drugs interfering with mitotic spindles [47]. As a result of treatment with either microtubule destabilizing or microtubule stabilizing agents, the chromosomes do not segregate properly during the division into two daughter nuclei. In turn, after chromatin decondensation, the nucleus becomes polyploid or its integrity is impaired and the micronuclei containing a random number of chromosomes are formed. Our observations clearly show that the frequency of cells with fragmented nuclei increased in the tested cell lines after treatment with the derivatives 15a, 16a, 17a and 17b (Figure 3).
Figure 3.
(a) Nuclear morphology of control HCT 116 cells. (b) Example of abnormal nuclei in HCT 116 cells treated with the compound 17b for 24 h. (c) Frequency of cells with abnormal fragmented nuclei in HCT 116 cell line treated with the tested genistein derivatives for 24 h. (d) Frequency of cells with abnormal, fragmented nuclei in DU 145 cell line treated with the tested genistein derivatives for 24 h. Data presented in the (c) and (d) are mean values obtained in three independent experiments with standard deviations. Statistically important differences between means are marked with asterisks.
Figure 3.
(a) Nuclear morphology of control HCT 116 cells. (b) Example of abnormal nuclei in HCT 116 cells treated with the compound 17b for 24 h. (c) Frequency of cells with abnormal fragmented nuclei in HCT 116 cell line treated with the tested genistein derivatives for 24 h. (d) Frequency of cells with abnormal, fragmented nuclei in DU 145 cell line treated with the tested genistein derivatives for 24 h. Data presented in the (c) and (d) are mean values obtained in three independent experiments with standard deviations. Statistically important differences between means are marked with asterisks.

The number of cells with fragmented nuclei correlated with the polyploidized cells, both indicating, that the tested compounds caused aberrations in cell division. The C-rhamnosides tested in the present study share structural similarities to the derivatives described elsewhere, except for the presence of the C-glycosidic bond instead of the O-glycosidic bond [17]. Presumably, the mechanism of action of these analogs is similar, and is based on inhibiting the cell cycle and interfering with the cell division machinery.
3. Experimental
3.1. General Information
Genistein was manufactured at Pharmaceutical Research Institute (Warsaw, Poland), 3,4-di-O-Acetyl-l-rhamnal was a commercial reagent (Syntal Chemicals, Gliwice, Poland). The tetra-n-butylammonium salt of genistein 7 was prepared as described earlier [48]. The remaining reagents, solvents and sorbents were of commercial origin, certified for research use. Solvents were additionally dried before use as recommended in literature [49,50]. Products of the sugar reactions were recognized based on silica gel TLC RF values (in toluene/ethyl acetate, 2:1). These products were purified by column chromatography performed on silica gel 60 (70–230 mesh, E. Merck, Darmstadt, Germany) with acetone-hexane as the eluent and characterized by HRMS [positive mode, a Mariner PerSeptive Biosystem detector, electrospray + ionization (ESI)], 1H-NMR (600 MHz, 300 MHz) and 13C-NMR (150 MHz, 75 MHz) spectra, recorded in CDCl3 solution (unless state otherwise) with TMS internal standard] on a Varian Inova 600 MHz and 300 MHz apparatus). 1H-NMR and 13C-NMR signals of some compounds were assigned with the aid of COSY, HSQC and HMBC. Optical rotations were recorded using a JASCO 2000 polarimeter. Melting points were determined on a Koefler apparatus and are not corrected. All evaporations were performed under reduced pressure at 50 °C.
3.2. Synthesis of α,ω-Bromoalkyl Ethers of 4-Methoxyphenol
1-(3-Bromopropoxy)-4-methoxy-benzene (2a): Sodium hydroxide (3.6 g, 1.6 eq.) and 4-methoxyphenol (6.83 g, 55.5 mmol) were dissolved in water (120 mL), then 1,3-dibromopropane (41.6 g, 20.6 mmol) and tetra-N-buthyl ammonium bromide (1.8 g, 5.6 mmol) dissolved in dichloromethane (50 mL) was added. The mixture was stirred for 24 h. The water phase was extracted three times with dichloromethane (100 mL). Combined organic extracts were evaporated, and the crude product was purified by column chromatography (hexane, and hexane: acetone 15:1) to give 2a as a colorless liquid (12.51 g, 92%). 1H-NMR δ (ppm): 2.29 (quintet, 2H, J = 6.0 CH2CH2CH2), 3.60 (t, 2H, J = 6,3 CH2Br), 3.77 (s, 3H, OCH3), 4.05 (t, 2H, J = 6.0 OCH2), 6.84 (s, 4H, H-2, H-3, H-5, H-6). 13C-NMR δ (ppm): 30.34 (CH2Br), 32.74 (CH2CH2CH2), 55.97 (OCH3), 66.29 (OCH2), 114.93 (C-3, C-5 or C-2, C-6), 115.81 (C-3, C-5 or C-2, C-6), 153.08 (C-1 or C-4), 154.25 (C-4 or C-1).
1-(4-Bromobutoxy)-4-methoxy-benzene (3a): Prepared from the 4-methoxyphenol and 1,4-dibromobutane as described before to give 3a (89%) as a white solid. m.p.: 38–39 °C; 1H-NMR (300 MHz, CDCl3) δ (ppm): 1.8–1.98 (m, 2H, OCH2CH2), 1.99–2.12(m, 2H, CH2CH2Br), 3.48 (t, 2H, J = 6.6 Hz, CH2Br), 3.76(s, 3H, OCH3), 3.94 (t, 2H, J = 6.1 Hz, OCH2), 6.83 (s, 4H, H-2, H-3, H-5, H-6). 13C-NMR (75 MHz, CDCl3) δ (ppm): 27.97 (OCH2CH2), 27.97 (CH2CH2Br), 33.50 (CH2Br), 55.70 (OCH3), 67.43(OCH2), 114.62(C-3, C-5), 115.37(C-2, C-6), 152.97(C-1), 153.81(C-4).
1-(5-Bromopentyloxy)-4-methoxy-benzene (4a): Prepared from the 4-methoxyphenol and 1,5-dibromopentane as described before to give 4a (93%) as a colorless liquid. 1H-NMR (300 MHz, CDCl3) δ (ppm): 1.55–1.68 (m, 2H, OCH2CH2CH2), 1.72–1.85 (m, 2H, OCH2CH2), 1.87–2.00 (m, 2H, CH2CH2Br), 3.43 (t, 2H, J = 6.6Hz, CH2Br), 3.76 (s, 3H, OCH3), 3.92 (t, 2H, J = 6.3Hz, OCH2), 6.83(s, 4H, H-2, H-3, H-5, H-6). 13C-NMR (75 MHz, CDCl3) δ (ppm): 24.81(OCH2CH2CH2), 28.51 (OCH2CH2), 32.48 (CH2CH2Br), 33.58 (CH2Br), 55.70 (OCH3), 68.19(OCH2), 114.61 (C-3, C-5), 115.40 (C-2, C-6), 153.09 (C-1), 153.75 (C-4).
3.3. Synthesis of α,ω-Iodoalkyl Ethers of 4-Methoxyphenol
1-(3-Iodopropoxy)-4-methoxybenzene (2b): To a solution of 1-(3-bromopropoxy)-4-methoxybenzene (2a, 4 g, 16.32 mmol) in acetone (15 mL) NaI (5.24 g, 34.92 mmol) was added. The reaction mixture was stirred overnight at room temperature, NaBr was filtered off and the filtrate was concentrated. To the residue was added dichloromethane (15 mL), the excess of NaI was filtered off, the filtrate was concentrated to give the crude product (88%) as a yellow oil. 1H-NMR δ (ppm): 2.24 (tt, 2H, J = 6.0 Hz, CH2CH2CH2), 3.36 (t, 2H, J = 6.6, CH2I), 3.77 (s, 3H, OCH3), 3.98 (t, 2H, J = 6.0 OCH2), 6.84 (s, 4H, H-2, H-3). 13C-NMR δ (ppm): 2.88 (CH2I), 33.98 (CH2CH2CH2), 55.97 (OCH3), 68.25 (OCH2), 114.93 (C-3, C5 or C-2, C-6), 115.83 (C-3, C-5 or C-2, C-6), 153.07 (C-1 or C-4), 154.24 (C-4 or C-1).
1-(4-Iodobutoxy)-4-methoxybenzene (3b): Prepared from 3a and 1,4-dibromobutane as described before to give 3b (91%) as a colorless liquid. 1H-NMR (300 MHz, CDCl3) δ (ppm): 1.80–2.12 (m, 4H, OCH2CH2CH2CH2I); 3.26 (t, 2H, J = 6.8 Hz, CH2I); 3.77 (s, 3H, OCH3); 3.93 (t, 2H, J = 6.1 Hz OCH2); 6.83 (s, 4H, H-2, H-3, H-5, H-6). 13C-NMR (75 MHz, CDCl3) δ (ppm): 6.49 (CH2I), 30.19 (OCH2CH2CH2CH2I), 30.23 (OCH2CH2CH2CH2I), 55.72 (OCH3), 67.24 (OCH2), 114.63 (C-3, C-5), 115.34 (C-2, C-6), 152.98 (C-1), 153.81 (C-4).
1-(5-Iodopentoxy)-4-methoxybenzene (4b): Prepared from 4a as described before to give 4b (91%) as a colorless liquid. 1H-NMR (300 MHz, CDCl3) δ (ppm): 1.50–1.64 (OCH2CH2CH2CH2CH2I) 1.71–1.99 (m, 4H, OCH2CH2CH2CH2CH2I); 3.21(t, 2H, J = 6.9Hz, CH2I); 3.76(s, 3H, OCH3); 3.93(t, 2H, J = 6.3Hz OCH2); 6.83(s, 4H, H-2, H-3, H-5, H-6). 13C-NMR (75 MHz, CDCl3) δ (ppm): 6.67 (CH2I), 27.12 (OCH2CH2CH2CH2CH2I), 28.28 (OCH2CH2CH2CH2CH2I), 33.20 (OCH2CH2CH2CH2CH2I), 55.70 (OCH3), 68.16 (OCH2), 114.60 (C-3, C-5), 115.40 (C-2, C-6), 153.08 (C-1), 153.73 (C-4).
3.4. General Procedure for the Preparation of Reformatsky Reagents
1-[3-(4-Methoxyphenoxy)]propyl zinc iodide (2c): A mixture of zinc dust (65 mg, 1 mmol), THF (5 mL), and 1,2-dibromoethane (0.1 mL),was heated at 56 °C for 10 min. After addition of chlorotrimethylsilane (13 μL, 0.15 equiv.) the mixture was sonicated at room temperature for 15 min, then treated with 3-Iodopropyl-4-methoxyphenyl ether (2b, 1 mmol, 292 mg) and sonicated for an additional 45 min at room temperature. Next, the mixture was heated to 50 °C and stirred on magnetic stirrer for few hours, cooled to room temperature and concentrated under reduced pressure. The gel-like residue of the reagent was used as such in the unsaturated sugar coupling step.
1-[4-(4-Methoxyphenoxy)]butyl zinc iodide (3c): Prepared from 3b as described for 2c. The gel-like residue of the reagent was used as such in the unsaturated sugar coupling step.
1-[5-(4-methoxyphenoxy)]pentyl zinc iodide (4c): Prepared from 4b as described for 2c. The gel-like residue of the reagent was used as such in the unsaturated sugar coupling step.
3.5. General Procedure for the Synthesis of C-Glycosides
A solution of 3,4-di-O-acetyl l-rhamnal (1, 200 mg, 0.93 mmol) in dry dichloromethane (2.0 mL) was added to alkylzinc iodide 2c, 3c, or 4c (the gel-like residue, 1 mmol) placed in a 50 mL round bottom flask and the mixture was cooled to −30 °C before addition of boron trifluoride etherate (200 μL, 1.6 mmol) diluted with dichloromethane (1.6 mL). The tightly stoppered reaction flask was left at −30 °C for 24 h and then at 15 °C for another 24 h, after which time the mixture was diluted with dichloromethane (5 mL), transferred to a separation funnel and washed with chilled water. After phase separation the aqueous layer was extracted once with dichloromethane (5 mL) and the combined organic layers were dried with anhydrous sodium sulfate, filtered and evaporated to afford an oily product. The crude product was purified by silica gel column (hexane/acetone 20:1) with TLC control of individual fractions.
1-C-(4-O-Acetyl-2,3,6-trideoxy-α-L-erythro-hex-2-en-pyranosyl)-3-(4'-methoxyphenoxy) propane (5a): Yellow oil, (181 mg, 60%),
−57.0° (c 1.37, CHCl3); 1H-NMR (300 MHz, CDCl3) δ (ppm): 1.24 (d, J = 6.6 Hz, 3H, CH3), 1.70–2.00 (m, 4H, CH2CH2), 2.08 (s, 3H, CH3CO), 3.76 (s, 3H, OCH3), 3.91 (dq, J = 6.6 Hz and 4.9 Hz, 1H, H-5), 3.95 (t, J= 6.3 Hz, 2H, OCH2), 4.21 (m, 1H, H-1), 4.89 (m, 1H, H-4), 5.78 (ddd, J=10.3 Hz, 3.5 Hz and 2.1 Hz, 1H, H-3), 5.92 (ddd, 1H, J = 10.4 Hz, 2.2 Hz and 1.3 Hz, 1H, H-2), 6.83 (s, 4H, H-2ar, H-3ar, H-5ar, H-6ar). 13C-NMR (75 MHz, CDCl3) δ (ppm): 17.2 (CH3), 21.5 (CH3CO), 26.0 (CH2CH2CH2), 30.4 (CH2CH2CH2), 56.0 (OCH3), 68.5 (C-5), 68.7 (CH2O), 69.9 (C-4), 70.1 (C-1), 114.6 (C-3ar, C-5ar), 115.7 (C-2ar, C-6ar), 123.1 (C-3), 134.2 (C-2), 153.4(C-1ar), 154.0 (C-4ar), 171.0 (C=O). HRMS: calcd for [M+Na]+: m/z 359.1471. Found: m/z 359.1473.
−57.0° (c 1.37, CHCl3); 1H-NMR (300 MHz, CDCl3) δ (ppm): 1.24 (d, J = 6.6 Hz, 3H, CH3), 1.70–2.00 (m, 4H, CH2CH2), 2.08 (s, 3H, CH3CO), 3.76 (s, 3H, OCH3), 3.91 (dq, J = 6.6 Hz and 4.9 Hz, 1H, H-5), 3.95 (t, J= 6.3 Hz, 2H, OCH2), 4.21 (m, 1H, H-1), 4.89 (m, 1H, H-4), 5.78 (ddd, J=10.3 Hz, 3.5 Hz and 2.1 Hz, 1H, H-3), 5.92 (ddd, 1H, J = 10.4 Hz, 2.2 Hz and 1.3 Hz, 1H, H-2), 6.83 (s, 4H, H-2ar, H-3ar, H-5ar, H-6ar). 13C-NMR (75 MHz, CDCl3) δ (ppm): 17.2 (CH3), 21.5 (CH3CO), 26.0 (CH2CH2CH2), 30.4 (CH2CH2CH2), 56.0 (OCH3), 68.5 (C-5), 68.7 (CH2O), 69.9 (C-4), 70.1 (C-1), 114.6 (C-3ar, C-5ar), 115.7 (C-2ar, C-6ar), 123.1 (C-3), 134.2 (C-2), 153.4(C-1ar), 154.0 (C-4ar), 171.0 (C=O). HRMS: calcd for [M+Na]+: m/z 359.1471. Found: m/z 359.1473.1-C-(4-O-Acetyl-2,3,6-trideoxy-β-l-erythro-hex-2-en-pyranosyl)-3-(4'-methoxyphenoxy)propane (5b): Yellow oil, (60 mg, 20%),
−65.60° (c 1.74, CHCl3), 1H-NMR (300 MHz, CDCl3) δ (ppm): 1.24 (d, J = 6.6 Hz, 3H, CH3), 1.50–1.90 (m, 6H, CH2CH2CH2), 2.08 (s, 3H, CH3CO), 3.76 (s, 3H, OCH3), 3.88–3.96 (m, 3H, OCH2; H-5), 4.16 (m, 1H, H-1), 4.89 (m, 1H, H-4), 5.76 (ddd, J = 10.3 Hz, 3.5 Hz and 2.1 Hz, 1H, H-3), 5.92 (ddd, J = 10.4 Hz, 2.1 Hz, and 1.3 Hz, 1H, H-2), 6.83 (s, 4H, H-2ar, H-3ar, H-5ar, H-6ar). 13C-NMR (75 MHz, CDCl3) δ (ppm): 17.2 (CH3), 21.2 (CH3CO), 22.4 (CH2CH2CH2O), 29.2 (CH2CH2CH2O), 33.4 (CH2CH2CH2O), 55.7 (OCH3), 68.3 (C-5), 69.6 (C-4), 69.9 (C-1), 114.5 (C-3ar, C-5ar), 115.4 (C-2ar, C-6ar), 122.6 (C-3), 134.1 (C-2), 153.1 (C-1ar), 153.67 (C-4ar), 170.7 (C=O). HRMS: calcd for [M+Na]+: m/z 359.1471, found: m/z 359.1472.
−65.60° (c 1.74, CHCl3), 1H-NMR (300 MHz, CDCl3) δ (ppm): 1.24 (d, J = 6.6 Hz, 3H, CH3), 1.50–1.90 (m, 6H, CH2CH2CH2), 2.08 (s, 3H, CH3CO), 3.76 (s, 3H, OCH3), 3.88–3.96 (m, 3H, OCH2; H-5), 4.16 (m, 1H, H-1), 4.89 (m, 1H, H-4), 5.76 (ddd, J = 10.3 Hz, 3.5 Hz and 2.1 Hz, 1H, H-3), 5.92 (ddd, J = 10.4 Hz, 2.1 Hz, and 1.3 Hz, 1H, H-2), 6.83 (s, 4H, H-2ar, H-3ar, H-5ar, H-6ar). 13C-NMR (75 MHz, CDCl3) δ (ppm): 17.2 (CH3), 21.2 (CH3CO), 22.4 (CH2CH2CH2O), 29.2 (CH2CH2CH2O), 33.4 (CH2CH2CH2O), 55.7 (OCH3), 68.3 (C-5), 69.6 (C-4), 69.9 (C-1), 114.5 (C-3ar, C-5ar), 115.4 (C-2ar, C-6ar), 122.6 (C-3), 134.1 (C-2), 153.1 (C-1ar), 153.67 (C-4ar), 170.7 (C=O). HRMS: calcd for [M+Na]+: m/z 359.1471, found: m/z 359.1472.1-C-(4-O-Acetyl-2,3,6-trideoxy-α-l-erythro-hex-2-enopyranosyl)-4-(4'-methoxyphenoxy)butane (6a): Yellow oil, (186 mg, 60%),
−65.60° (c 1.744, CHCl3) 1H-NMR (300 MHz, CDCl3) δ (ppm): 1.24 (d, 3H, J = 6.6 Hz, CH3), 1.50–1.90 (m, 6H, CH2CH2CH2), 2.08 (s, 3H, CH3CO), 3.76 (s, 3H, OCH3), 3.88–3.96 (m, 3H, OCH2; H-5), 4.16 (m, 1H, H-1), 4.89 (m, 1H, H-4), 5.76 (ddd, 1H, J = 10.3 Hz, J = 3.5 Hz, J = 2.1Hz, H-3), 5,92 (ddd, 1H, J = 10.4 Hz, J = 2.1 Hz, J = 1.3Hz, H-2), 6.83(s, 4H, H-2ar, H-3ar, H-5ar, H-6ar); 13C-NMR (75 MHz, CDCl3) δ (ppm): 17.23 (CH3), 21.20 (CH3CO) 22.36 (CH2CH2CH2CH2O), 29.23 (CH2CH2CH2CH2O), 33.44 (CH2CH2CH2CH2O), 55.68 (OCH3), 68.33 (C-5), 68.49 (CH2O), 69.65 (C-4), 69.93 (C-1), 114.57 (C-3ar, C-5ar), 115.36 (C-2ar, C-6ar), 122.57 (C-3), 134.11 (C-2), 153.15 (C-1ar), 153.67 (C-4ar) 170.74 (C=O).
−65.60° (c 1.744, CHCl3) 1H-NMR (300 MHz, CDCl3) δ (ppm): 1.24 (d, 3H, J = 6.6 Hz, CH3), 1.50–1.90 (m, 6H, CH2CH2CH2), 2.08 (s, 3H, CH3CO), 3.76 (s, 3H, OCH3), 3.88–3.96 (m, 3H, OCH2; H-5), 4.16 (m, 1H, H-1), 4.89 (m, 1H, H-4), 5.76 (ddd, 1H, J = 10.3 Hz, J = 3.5 Hz, J = 2.1Hz, H-3), 5,92 (ddd, 1H, J = 10.4 Hz, J = 2.1 Hz, J = 1.3Hz, H-2), 6.83(s, 4H, H-2ar, H-3ar, H-5ar, H-6ar); 13C-NMR (75 MHz, CDCl3) δ (ppm): 17.23 (CH3), 21.20 (CH3CO) 22.36 (CH2CH2CH2CH2O), 29.23 (CH2CH2CH2CH2O), 33.44 (CH2CH2CH2CH2O), 55.68 (OCH3), 68.33 (C-5), 68.49 (CH2O), 69.65 (C-4), 69.93 (C-1), 114.57 (C-3ar, C-5ar), 115.36 (C-2ar, C-6ar), 122.57 (C-3), 134.11 (C-2), 153.15 (C-1ar), 153.67 (C-4ar) 170.74 (C=O).1-C-(4-O-Acetyl–2,3,6-trideoxy-β-l-erythro-hex-2-enopyranosyl)-4-(4'-methoxyphenoxy)butane (6b): Yellow oil, (59 mg, 19%),
−54.13°, (c 1.84, CHCl3), 1H-NMR (600 MHz, CDCl3) δ (ppm): 1.24 (d, 3H, J = 6.0 Hz, CH3), 1.50–1.65 (m, 4H, CH2CH2), 1.71–1.85 (m, 2H, CH2CH2O) 2.07 (s, 3H, CH3CO), 3.57 (dq, 1H, J = 8.7 Hz, J = 6.2 Hz, H-5), 3.76 (s, 3H, OCH3), 3.90 (t, 2H, J = 6.5 Hz, OCH2), 4.15 (m, 1H, H-1), 5.04 (m, 1H, H-4), 5.70 (ddd, 1H, J = 10.3 Hz, J = 2.0 Hz, J = 2.0 Hz, H-2), 5.80 (ddd, J = 10.3, Hz, J = 1.5 Hz, J = 1.5 Hz, H-3) 6.82 (s, 4H, H-2ar, H-3ar, H-5ar, H-6ar). 13C-NMR (150 MHz, CDCl3) δ (ppm): 18.44 (CH3), 21.08 (CH2CH2CH2CH2O), 21.35 (CH3CO), 29.29 (CH2CH2CH2CH2O), 34.96 (CH2CH2CH2CH2O), 55.66 (OCH3), 68.37 (CH2O), 71.27 (C-5), 72.32 (C-4), 74.44 (C-1), 114.56 (C-3ar, C-5ar), 115.38 (C-2ar, C-6ar), 125.71 (C-3), 132.92(C-2), 153.17 (C-1ar), 153.66 (C-4ar) 170.50 (C=O).
−54.13°, (c 1.84, CHCl3), 1H-NMR (600 MHz, CDCl3) δ (ppm): 1.24 (d, 3H, J = 6.0 Hz, CH3), 1.50–1.65 (m, 4H, CH2CH2), 1.71–1.85 (m, 2H, CH2CH2O) 2.07 (s, 3H, CH3CO), 3.57 (dq, 1H, J = 8.7 Hz, J = 6.2 Hz, H-5), 3.76 (s, 3H, OCH3), 3.90 (t, 2H, J = 6.5 Hz, OCH2), 4.15 (m, 1H, H-1), 5.04 (m, 1H, H-4), 5.70 (ddd, 1H, J = 10.3 Hz, J = 2.0 Hz, J = 2.0 Hz, H-2), 5.80 (ddd, J = 10.3, Hz, J = 1.5 Hz, J = 1.5 Hz, H-3) 6.82 (s, 4H, H-2ar, H-3ar, H-5ar, H-6ar). 13C-NMR (150 MHz, CDCl3) δ (ppm): 18.44 (CH3), 21.08 (CH2CH2CH2CH2O), 21.35 (CH3CO), 29.29 (CH2CH2CH2CH2O), 34.96 (CH2CH2CH2CH2O), 55.66 (OCH3), 68.37 (CH2O), 71.27 (C-5), 72.32 (C-4), 74.44 (C-1), 114.56 (C-3ar, C-5ar), 115.38 (C-2ar, C-6ar), 125.71 (C-3), 132.92(C-2), 153.17 (C-1ar), 153.66 (C-4ar) 170.50 (C=O).1-C-(4-O-Acetyl-2,3,6-trideoxy-α-l-erythro-hex-2-en-pyranosyl)-5-(4'-methoxyphenoxy) pentane (7a): Yellow oil, (184 mg, 57%),
−58.23° (c 2.23, CHCl3), 1H-NMR (300 MHz, CDCl3) δ (ppm): 1.24 (d, 3H, J = 6.6 Hz, CH3), 1.38–1.71 (m, 6H, CH2CH2CH2CH2CH2O), 1.78 (q, 2H J = 6.6 Hz, CH2CH2O), 2.08 (s, 3H, CH3CO), 3.76 (s, 3H, OCH3), 3.84–3.95 (m, 3H, OCH2; H-5), 4.14 (m, 1H, H-1), 4.89 (m, 1H, H-4), 5.75 (ddd, 1H, J = 10.3 Hz, J = 3.4 Hz, J = 2.0Hz, H-3), 5.91 (ddd, 1H, J = 10.3 Hz, J = 2.2 Hz, J = 1.2 Hz, H-2), 6.83(s, 4H, H-2ar, H-3ar, H-5ar, H-6ar), 13C-NMR (75 MHz, CDCl3) δ (ppm): 17.23 (CH3), 21.21 (CH3CO), 25.56 (CH2CH2CH2CH2CH2O), 25.98 (CH2CH2CH2CH2CH2O), 29.28 (CH2CH2CH2CH2CH2O), 33.44 (CH2CH2CH2CH2CH2O), 55.68 (OCH3), 68.40 (C-5; CH2O), 69.71 (C-4), 70.06 (C-1), 114.56 (C-3ar, C-5ar), 115.36 (C-2ar, C-6ar), 122.52 (C-3), 134.19 (C-2), 153.18 (C-1ar), 153.64 (C-4ar), 170.75 (C=O).
−58.23° (c 2.23, CHCl3), 1H-NMR (300 MHz, CDCl3) δ (ppm): 1.24 (d, 3H, J = 6.6 Hz, CH3), 1.38–1.71 (m, 6H, CH2CH2CH2CH2CH2O), 1.78 (q, 2H J = 6.6 Hz, CH2CH2O), 2.08 (s, 3H, CH3CO), 3.76 (s, 3H, OCH3), 3.84–3.95 (m, 3H, OCH2; H-5), 4.14 (m, 1H, H-1), 4.89 (m, 1H, H-4), 5.75 (ddd, 1H, J = 10.3 Hz, J = 3.4 Hz, J = 2.0Hz, H-3), 5.91 (ddd, 1H, J = 10.3 Hz, J = 2.2 Hz, J = 1.2 Hz, H-2), 6.83(s, 4H, H-2ar, H-3ar, H-5ar, H-6ar), 13C-NMR (75 MHz, CDCl3) δ (ppm): 17.23 (CH3), 21.21 (CH3CO), 25.56 (CH2CH2CH2CH2CH2O), 25.98 (CH2CH2CH2CH2CH2O), 29.28 (CH2CH2CH2CH2CH2O), 33.44 (CH2CH2CH2CH2CH2O), 55.68 (OCH3), 68.40 (C-5; CH2O), 69.71 (C-4), 70.06 (C-1), 114.56 (C-3ar, C-5ar), 115.36 (C-2ar, C-6ar), 122.52 (C-3), 134.19 (C-2), 153.18 (C-1ar), 153.64 (C-4ar), 170.75 (C=O).1-C-(4-O-Acetyl-2,3,6-trideoxy-β-l-erythro-hex-2-en-pyranosyl)-5-(4'-methoxyphenoxy) pentane (7b): Yellow oil, (61 mg, 19%),
−90.16°, (c 1.96, CHCl3), 1H-NMR (300 MHz, CDCl3) δ (ppm): 1.24 (d, 3H, J = 6.0 Hz, CH3), 1.35–1.63 (m, 6H, CH2CH2CH2), 1.68–1.84 (m, 2H, CH2CH2O), 2.08 (s, 3H, CH3CO), 3.57 (dq, 1H, J = 8.6 Hz, J = 6.2 Hz, H-5), 3.76 (s, 3H, OCH3), 3.90 (t, 2H, J = 6.6 Hz, OCH2), 4.14 (m, 1H, H-1), 5.04 (m, 1H, H-4), 5,68 (ddd, 1H, J = 10.3 Hz, J = 1.9 Hz, J = 1.9 Hz, H-2), 5.78 (ddd, J = 10.3 Hz, J = 1.6 Hz, J = 1.6 Hz, H-3) 6,82(s, 4H, H-2ar, H-3ar, H-5ar, H-6ar), 13C-NMR (75 MHz, CDCl3) δ (ppm): 18.47(CH3), 21.14 (CH3CO), 24.51 (CH2CH2CH2CH2CH2O), 26.06 (CH2CH2CH2CH2CH2O), 29.27 (CH2CH2CH2CH2CH2O), 35.20 (CH2CH2CH2CH2CH2O) 55.69 (OCH3), 68.44 (CH2O), 71.31 (C-5), 72.32 (C-4), 74.50 (C-1), 114.56 (C-3ar, C-5ar), 115.38 (C-2ar, C-6ar), 125.32 (C-3), 132.06 (C-2), 153.20 (C-1ar), 153.63 (C-4ar), 170.57 (C=O).
−90.16°, (c 1.96, CHCl3), 1H-NMR (300 MHz, CDCl3) δ (ppm): 1.24 (d, 3H, J = 6.0 Hz, CH3), 1.35–1.63 (m, 6H, CH2CH2CH2), 1.68–1.84 (m, 2H, CH2CH2O), 2.08 (s, 3H, CH3CO), 3.57 (dq, 1H, J = 8.6 Hz, J = 6.2 Hz, H-5), 3.76 (s, 3H, OCH3), 3.90 (t, 2H, J = 6.6 Hz, OCH2), 4.14 (m, 1H, H-1), 5.04 (m, 1H, H-4), 5,68 (ddd, 1H, J = 10.3 Hz, J = 1.9 Hz, J = 1.9 Hz, H-2), 5.78 (ddd, J = 10.3 Hz, J = 1.6 Hz, J = 1.6 Hz, H-3) 6,82(s, 4H, H-2ar, H-3ar, H-5ar, H-6ar), 13C-NMR (75 MHz, CDCl3) δ (ppm): 18.47(CH3), 21.14 (CH3CO), 24.51 (CH2CH2CH2CH2CH2O), 26.06 (CH2CH2CH2CH2CH2O), 29.27 (CH2CH2CH2CH2CH2O), 35.20 (CH2CH2CH2CH2CH2O) 55.69 (OCH3), 68.44 (CH2O), 71.31 (C-5), 72.32 (C-4), 74.50 (C-1), 114.56 (C-3ar, C-5ar), 115.38 (C-2ar, C-6ar), 125.32 (C-3), 132.06 (C-2), 153.20 (C-1ar), 153.63 (C-4ar), 170.57 (C=O).3.6. General Procedure for Deprotection
A solution of compound 5a or 5b (230 mg, 1 mmol) in a mixture of acetonitrile and water (4:1, 8.0 mL) was cooled to 0 °C and treated with ceric ammonium nitrate (CAN, 1.20 g; 2.2 mmol) with stirring. After 10 min a cooling bath was removed and the mixture was allowed to reach ambient temperature. Saturated brine was added (20 mL) and the resulting solution was extracted with ethyl acetate (3 × 20 mL). Combined organic layers were dried with anhydrous sodium sulfate, filtered and concentrated under reduced pressure. The oily residue was purified by column chromatography on silica gel (hexane/acetone 8:1).
1-C-(4-O-Acetyl-2,3,6-trideoxy-α-l-erythro-hex-2-en-pyranosyl)-3-hydroxypropane (8a): Yellow oil; (82%),
−101.13° (c 1.15, CHCl3); 1H-NMR (300 MHz, CDCl3) δ (ppm): 1.24 (d, J = 6.6 Hz, 3H, CH3), 1.60–1.80 (m, 4H, CH2CH2), 2.03 (s, 3H, CH3CO), 2.32 (s 1H, OH), 3.66 (m, 2H, CH2OH), 3.92 (dq, J = 6.5 Hz, 4.5 Hz, 1H, H-5), 4.18 (m,1H, H-1), 4.87 (m, 1H, H-4), 5.79 (ddd, J = 10.3 Hz, 3.6 Hz, 2.1 Hz, 1H, H-3), 5.89 (ddd, J = 10.3 Hz, 2.1 Hz, 1.2 Hz, 1H, H-2), 13C-NMR (75 MHz, CDCl3) δ (ppm): 16.76 (CH3), 21.2 (CH3CO), 29.2 (CH2CH2CH2OH), 30.4 (CH2CH2CH2OH), 62.6 (CH2OH), 68.7 (C-5), 69.4 (C-4), 69.9 (C-1), 122.7 (C-3), 134.8 (C-2), 170.7 (C=O). HRMS: calcd for [M+Na]+: m/z 253.1052, found: 253.1050.
−101.13° (c 1.15, CHCl3); 1H-NMR (300 MHz, CDCl3) δ (ppm): 1.24 (d, J = 6.6 Hz, 3H, CH3), 1.60–1.80 (m, 4H, CH2CH2), 2.03 (s, 3H, CH3CO), 2.32 (s 1H, OH), 3.66 (m, 2H, CH2OH), 3.92 (dq, J = 6.5 Hz, 4.5 Hz, 1H, H-5), 4.18 (m,1H, H-1), 4.87 (m, 1H, H-4), 5.79 (ddd, J = 10.3 Hz, 3.6 Hz, 2.1 Hz, 1H, H-3), 5.89 (ddd, J = 10.3 Hz, 2.1 Hz, 1.2 Hz, 1H, H-2), 13C-NMR (75 MHz, CDCl3) δ (ppm): 16.76 (CH3), 21.2 (CH3CO), 29.2 (CH2CH2CH2OH), 30.4 (CH2CH2CH2OH), 62.6 (CH2OH), 68.7 (C-5), 69.4 (C-4), 69.9 (C-1), 122.7 (C-3), 134.8 (C-2), 170.7 (C=O). HRMS: calcd for [M+Na]+: m/z 253.1052, found: 253.1050.1-C-(4-O-Acetyl-2,3,6-trideoxy-β-l-erythro-hex-2-en-pyranosyl)-3-hydroxypropane (8b): Yellow oil, (81%),
−126.81° (c 0.82, CHCl3); 1H-NMR (600 MHz, CDCl3) δ (ppm): 1.24 (d, J = 6.0 Hz, 3H, CH3), 1.54–1.63 (m, 1H, CH2(a)CH2), 1.65–1.75 (m, 3H, CH2(b)CH2), 2.08 (s, 3H, CH3CO), 2.42 (s 1H, OH), 3.60 (dq, 1H, J = 8.7 Hz and 6.2 Hz, H-5), 3.64 (m, 2H, CH2OH), 4.19 (m, 1H, H-1), 5.05 (m, 1H, H-4), 5.70 (ddd, J = 10.3 Hz, 2.1 Hz, 2.1 Hz, 1H, H-2), 5.77 (ddd, J = 10.3 Hz, 1.6 Hz, 1.6 Hz, 1H, H-3); 13C-NMR (150 MHz, CDCl3) δ (ppm): 18.4 (CH3), 21.07 (CH3CO), 28.3 (CH2CH2CH2OH), 32.0 (CH2CH2CH2OH), 62.6 (CH2OH), 71.1 (C-5), 72.43 (C-4), 74.5 (C-1), 125.6 (C-3),132.7 (C-2), 170.5 (C=O). HRMS: calcd for [M+Na]+: m/z 253.1052, found: m/z 253.1056.
−126.81° (c 0.82, CHCl3); 1H-NMR (600 MHz, CDCl3) δ (ppm): 1.24 (d, J = 6.0 Hz, 3H, CH3), 1.54–1.63 (m, 1H, CH2(a)CH2), 1.65–1.75 (m, 3H, CH2(b)CH2), 2.08 (s, 3H, CH3CO), 2.42 (s 1H, OH), 3.60 (dq, 1H, J = 8.7 Hz and 6.2 Hz, H-5), 3.64 (m, 2H, CH2OH), 4.19 (m, 1H, H-1), 5.05 (m, 1H, H-4), 5.70 (ddd, J = 10.3 Hz, 2.1 Hz, 2.1 Hz, 1H, H-2), 5.77 (ddd, J = 10.3 Hz, 1.6 Hz, 1.6 Hz, 1H, H-3); 13C-NMR (150 MHz, CDCl3) δ (ppm): 18.4 (CH3), 21.07 (CH3CO), 28.3 (CH2CH2CH2OH), 32.0 (CH2CH2CH2OH), 62.6 (CH2OH), 71.1 (C-5), 72.43 (C-4), 74.5 (C-1), 125.6 (C-3),132.7 (C-2), 170.5 (C=O). HRMS: calcd for [M+Na]+: m/z 253.1052, found: m/z 253.1056.1-C-(4-O-Acetyl-2,3,6-trideoxy-α-l-erytro-hex-2-en-pyranosyl)-4-hydroxybutane (9a): Yellow oil, (83%),
−89.66° (c 1.09, CHCl3), 1H-NMR (600 MHz, CDCl3) δ (ppm): 1.24 (d, 3H, J = 6.6 Hz, CH3), 1.42–1.72 (m, 6H, CH2CH2CH2), 1.76 (s 1H, OH), 2.08 (s, 3H, CH3CO), 3.65 (t, 2H, J = 6.5 Hz, CH2OH), 3.90 (dq, 1H, J = 6.6 Hz, J = 4.7 Hz, H-5), 4.14 (m, 1H, H-1), 4.88 (m, 1H, H-4), 5.76 (ddd, 1H J = 10.3 Hz, J = 3.6 Hz, J = 2.1 Hz, H-3), 5.91 (ddd, 1H, J = 10.4 Hz, J = 2.3 Hz, J = 1.3 Hz, H-2). 13C-NMR (150 MHz, CDCl3) δ (ppm): 16.88 (CH3), 21.18 (CH3CO), 21.90 (CH2CH2CH2CH2OH), 32.48 (CH2CH2CH2CH2OH), 33.35 (CH2CH2CH2CH2OH), 62.62 (CH2OH), 68.52 (C-5), 69.62 (C-4), 69.92 (C-1), 122.50 (C-3), 134.10 (C-2), 170.77 (C=O).
−89.66° (c 1.09, CHCl3), 1H-NMR (600 MHz, CDCl3) δ (ppm): 1.24 (d, 3H, J = 6.6 Hz, CH3), 1.42–1.72 (m, 6H, CH2CH2CH2), 1.76 (s 1H, OH), 2.08 (s, 3H, CH3CO), 3.65 (t, 2H, J = 6.5 Hz, CH2OH), 3.90 (dq, 1H, J = 6.6 Hz, J = 4.7 Hz, H-5), 4.14 (m, 1H, H-1), 4.88 (m, 1H, H-4), 5.76 (ddd, 1H J = 10.3 Hz, J = 3.6 Hz, J = 2.1 Hz, H-3), 5.91 (ddd, 1H, J = 10.4 Hz, J = 2.3 Hz, J = 1.3 Hz, H-2). 13C-NMR (150 MHz, CDCl3) δ (ppm): 16.88 (CH3), 21.18 (CH3CO), 21.90 (CH2CH2CH2CH2OH), 32.48 (CH2CH2CH2CH2OH), 33.35 (CH2CH2CH2CH2OH), 62.62 (CH2OH), 68.52 (C-5), 69.62 (C-4), 69.92 (C-1), 122.50 (C-3), 134.10 (C-2), 170.77 (C=O).1-C-(4-O-Acetyl-2,3,6-trideoxy-β-l-erytro-hex-2-en-pyranosyl)-4-hydroxybutane (9b): Yellow oil, (80%), 1H-NMR (600 MHz, CDCl3) δ (ppm): 1.24 (d, 3H, J = 6.1 Hz, CH3), 1.42–1.66 (m, 6H, CH2CH2CH2), 1.77 (s 1H, OH), 2.08 (s, 3H, CH3CO), 3.57 (dq, 1H, J = 8.7 Hz, J = 6.2 Hz, H-5), 3,65(t, 2H, J = 6.5 Hz, CH2OH), 4.15 (m, 1H, H-1), 5.03(m, 1H, H-4), 5.68 (ddd, 1H, J = 10.3 Hz, J = 2.2 Hz, J = 2.2 Hz, H-2), 5.78 (ddd, 1H, J = 10.3 Hz, J = 1.7 Hz, J = 1.7Hz, H-3),13C-NMR (150 MHz, CDCl3) δ (ppm): 18.44 (CH3), 20.94 (CH3CO), 21.12 (CH2CH2CH2CH2OH), 32.56 (CH2CH2CH2CH2OH), 34.87 (CH2CH2CH2CH2OH), 62.69 (CH2OH), 71.28 (C-5), 72.35 (C-4), 74.51 (C-1), 125.43 (C-3), 132.92 (C-2), 170.60 (C=O).
1-C-(4-O-Acetyl-2,3,6-trideoxy-α-l-erytro-hex-2-en-pyranosyl)-5-hydroxypentane, (10a): Yellow oil, (85%),
−88.73° (c 1.63, CHCl3), 1H-NMR (300 MHz, CDCl3) δ (ppm): 1.24 (d, 3H, J = 6.6 Hz, CH3), 1.33–1.70 (m, 8H, CH2CH2CH2CH2), 1.73 (s 1H, OH), 2.08 (s, 3H, CH3CO), 3.64 (t, 2H, J = 6.8 Hz, CH2OH), 3.89 (dq, 1H, J = 6.5 Hz, J = 4.7 Hz, H-5), 4.13 (m, 1H, H-1), 4.88 (m, 1H, H-4), 5.75 (ddd, 1H, J = 10.3 Hz, J = 3.5 Hz, J = 2.1 Hz, H-3), 5.91 (ddd, 1H, J = 9.4 Hz, J = 2.3 Hz, J = 1.2 Hz, H-2). 13C-NMR (75 MHz, CDCl3) δ (ppm): 16.94 (CH3), 21.15 (CH3CO), 25.48 (CH2CH2CH2CH2CH2OH), 25.59 (CH2CH2CH2CH2CH2OH), 33.56 (CH2CH2CH2CH2CH2OH), 33.75 (CH2CH2CH2CH2CH2OH), 62.67 (CH2OH), 68.35 (C-5), 69.71 (C-4), 70.05 (C-1), 122.48 (C-3), 134.14 (C-2), 170.74 (C=O).
−88.73° (c 1.63, CHCl3), 1H-NMR (300 MHz, CDCl3) δ (ppm): 1.24 (d, 3H, J = 6.6 Hz, CH3), 1.33–1.70 (m, 8H, CH2CH2CH2CH2), 1.73 (s 1H, OH), 2.08 (s, 3H, CH3CO), 3.64 (t, 2H, J = 6.8 Hz, CH2OH), 3.89 (dq, 1H, J = 6.5 Hz, J = 4.7 Hz, H-5), 4.13 (m, 1H, H-1), 4.88 (m, 1H, H-4), 5.75 (ddd, 1H, J = 10.3 Hz, J = 3.5 Hz, J = 2.1 Hz, H-3), 5.91 (ddd, 1H, J = 9.4 Hz, J = 2.3 Hz, J = 1.2 Hz, H-2). 13C-NMR (75 MHz, CDCl3) δ (ppm): 16.94 (CH3), 21.15 (CH3CO), 25.48 (CH2CH2CH2CH2CH2OH), 25.59 (CH2CH2CH2CH2CH2OH), 33.56 (CH2CH2CH2CH2CH2OH), 33.75 (CH2CH2CH2CH2CH2OH), 62.67 (CH2OH), 68.35 (C-5), 69.71 (C-4), 70.05 (C-1), 122.48 (C-3), 134.14 (C-2), 170.74 (C=O).1-C-(4-O-Acetyl-2,3,6-trideoxy-β-l-erytro-hex-2-en-pyranosyl)-5-hydroxypentane (10b): Yellow oil, (87%),
−119.32° (c 1.294, CHCl3), 1H-NMR (300 MHz, CDCl3) δ (ppm): 1.24 (d, 3H, J = 6.4 Hz, CH3), 1.30–1.65 (m, 8H, CH2CH2CH2CH2), 1.79 (s 1H, OH), 2.08 (s, 3H, CH3CO), 3,57 (dq, 1H, J = 8.7, J = 6.2Hz, H-5), 3.64 (t, 2H, J = 6.5 Hz, CH2OH), 4.14 (m, 1H, H-1), 5.04 (m, 1H, H-4), 5.68 (ddd, 1H, J = 10.3 Hz, J = 2.0 Hz, J = 2.0 Hz, H-2), 5.79 (ddd, 1H, J = 10.3 Hz, J = 1.5 Hz, J = 1.5 Hz, H-3); 13C-NMR (75 MHz, CDCl3) δ (ppm): 18.43 (CH3), 21.12 (CH3CO), 25.48 (CH2CH2CH2CH2CH2OH), 25.70 (CH2CH2CH2CH2CH2OH), 33.58 (CH2CH2CH2CH2CH2OH), 35.18 (CH2CH2CH2CH2CH2OH), 62.78 (CH2OH), 71.31 (C-5), 72.30 (C-4), 74.50 (C-1), 125.28 (C-3), 133.03 (C-2), 170.61 (C=O).
−119.32° (c 1.294, CHCl3), 1H-NMR (300 MHz, CDCl3) δ (ppm): 1.24 (d, 3H, J = 6.4 Hz, CH3), 1.30–1.65 (m, 8H, CH2CH2CH2CH2), 1.79 (s 1H, OH), 2.08 (s, 3H, CH3CO), 3,57 (dq, 1H, J = 8.7, J = 6.2Hz, H-5), 3.64 (t, 2H, J = 6.5 Hz, CH2OH), 4.14 (m, 1H, H-1), 5.04 (m, 1H, H-4), 5.68 (ddd, 1H, J = 10.3 Hz, J = 2.0 Hz, J = 2.0 Hz, H-2), 5.79 (ddd, 1H, J = 10.3 Hz, J = 1.5 Hz, J = 1.5 Hz, H-3); 13C-NMR (75 MHz, CDCl3) δ (ppm): 18.43 (CH3), 21.12 (CH3CO), 25.48 (CH2CH2CH2CH2CH2OH), 25.70 (CH2CH2CH2CH2CH2OH), 33.58 (CH2CH2CH2CH2CH2OH), 35.18 (CH2CH2CH2CH2CH2OH), 62.78 (CH2OH), 71.31 (C-5), 72.30 (C-4), 74.50 (C-1), 125.28 (C-3), 133.03 (C-2), 170.61 (C=O).3.7. General Procedure for the Transformation of Hydroxyl Group to Bromide
The solution of triphenylphosphine (TPP, 289 mg, 1.1 mmol) in dichloromethane (5.0 mL) was stirred at room temperature and treated with bromine (54 μL, 1.05 mmol). After disappearance of the color, a solution of compound 8a or 8b, (230 mg, 1 mmol) in dichloromethane (4.0 mL) was added and stirring was continued for 5min. The mixture was concentrated and the residue was chromatographed on a silica gel column (hexane/acetone 20:1) to give product 11a or 11b.
1-C-(4-O-Acetyl-2,3,6-trideoxy-α-l-erytro-hex-2-en-pyranosyl)-3-bromopropane (11a): Yellow oil; (88%),
−62.20° (c 0.947, CHCl3); 1H-NMR (600 MHz, CDCl3) δ (ppm): 1,24 (d, J = 6.6 Hz, 3H, CH3), 1.62–2.15 (m, 4H, CH2CH2), 2.09 (s, 3H, CH3CO), 3.48 (m, 2H, CH2Br), 3.90 (dq, J = 6.5 Hz and J = 4.7 Hz, 1H, H-5), 4.18 (m, 1H, H-1), 4.89 (m, 1H, H-4), 5.79 (ddd, J = 10.3 Hz, 3.5 Hz, and 2.0 Hz, 1H, H-3), 5.89 (ddd, J = 10.3 Hz, 2.1 Hz and 1.1 Hz, 1H, H-2); 13C-NMR (150 MHz, CDCl3) δ (ppm): 16.9 (CH3), 21.2 (CH3CO), 29.0 (CH2CH2CH2Br), 31.9 (CH2CH2CH2Br), 33.8 (CH2Br), 68.5 (C-5), 69.4 (C-4), 69.5 (C-1), 123.1 (C-3), 134.7 (C-2), 170.7 (C=O). HRMS: calcd for [M+Na]+: m/z 315.0208, found: m/z 315.0205.
−62.20° (c 0.947, CHCl3); 1H-NMR (600 MHz, CDCl3) δ (ppm): 1,24 (d, J = 6.6 Hz, 3H, CH3), 1.62–2.15 (m, 4H, CH2CH2), 2.09 (s, 3H, CH3CO), 3.48 (m, 2H, CH2Br), 3.90 (dq, J = 6.5 Hz and J = 4.7 Hz, 1H, H-5), 4.18 (m, 1H, H-1), 4.89 (m, 1H, H-4), 5.79 (ddd, J = 10.3 Hz, 3.5 Hz, and 2.0 Hz, 1H, H-3), 5.89 (ddd, J = 10.3 Hz, 2.1 Hz and 1.1 Hz, 1H, H-2); 13C-NMR (150 MHz, CDCl3) δ (ppm): 16.9 (CH3), 21.2 (CH3CO), 29.0 (CH2CH2CH2Br), 31.9 (CH2CH2CH2Br), 33.8 (CH2Br), 68.5 (C-5), 69.4 (C-4), 69.5 (C-1), 123.1 (C-3), 134.7 (C-2), 170.7 (C=O). HRMS: calcd for [M+Na]+: m/z 315.0208, found: m/z 315.0205.1-C-(4-O-Acetyl-2,3,6-trideoxy-β-l-erytro-hex-2-en-pyranosyl)-3-bromopropane (11b): Yellow oil, (92%);
−112.58° (c 1.27, CHCl3); 1H-NMR (600 MHz, CDCl3) δ (ppm): 1.23 (d, J = 6.3 Hz, 3H, CH3), 1.54–1.81 (m, 2H, CH2CH2CH2Br), 1.91–2.05 (m, 2H, CH2CH2CH2Br), 2.08 (s, 3H, CH3CO), 3.44 (t, 2H, J = 6.7 Hz, CH2Br), 3.56 (dq, 1H J = 8.7 Hz and 6.2 Hz, H-5), 4.18 (m, 1H, H-1), 5.03 (m, 1H, H-4), 5.71 (ddd, J = 10.4 Hz, 1.7 Hz, and 1.7 Hz, 1H, H-2), 5.77 (ddd, J = 10.3 Hz, 1.2 Hz, and 1.2 Hz, 1H, H-3); 13C-NMR (150 MHz, CDCl3) δ (ppm): 18.4 (CH3), 21.1 (CH3CO), 28.1 (CH2CH2CH2Br), 33.6 (CH2CH2CH2Br), 33.9 (CH2Br), 71.1 (C-5), 72.34(C-4), 74.0 (C-1), 126.0 (C-3), 132.5 (C-2), 170.5 (C=O). HRMS: calcd for [M+Na]+: m/z 315.0208, found: m/z 315.0204.
−112.58° (c 1.27, CHCl3); 1H-NMR (600 MHz, CDCl3) δ (ppm): 1.23 (d, J = 6.3 Hz, 3H, CH3), 1.54–1.81 (m, 2H, CH2CH2CH2Br), 1.91–2.05 (m, 2H, CH2CH2CH2Br), 2.08 (s, 3H, CH3CO), 3.44 (t, 2H, J = 6.7 Hz, CH2Br), 3.56 (dq, 1H J = 8.7 Hz and 6.2 Hz, H-5), 4.18 (m, 1H, H-1), 5.03 (m, 1H, H-4), 5.71 (ddd, J = 10.4 Hz, 1.7 Hz, and 1.7 Hz, 1H, H-2), 5.77 (ddd, J = 10.3 Hz, 1.2 Hz, and 1.2 Hz, 1H, H-3); 13C-NMR (150 MHz, CDCl3) δ (ppm): 18.4 (CH3), 21.1 (CH3CO), 28.1 (CH2CH2CH2Br), 33.6 (CH2CH2CH2Br), 33.9 (CH2Br), 71.1 (C-5), 72.34(C-4), 74.0 (C-1), 126.0 (C-3), 132.5 (C-2), 170.5 (C=O). HRMS: calcd for [M+Na]+: m/z 315.0208, found: m/z 315.0204.1-C-(4-O-Acetyl-2,3,6-trideoxy-α-l-erytro-hex-2-en-pyranosyl)-4-bromobutane (12a): Yellow oil, (91%);
−52.20° (c 1.63, CHCl3), 1H-NMR (600 MHz, CDCl3) δ (ppm): 1.24 (d, 3H, J = 6.3Hz, CH3), 1.47–1.73 (m, 4H, CH2CH2), 1.83–1.98 (tt, 2H, J = 7.0 Hz, CH2CH2Br) 2.08 (s, 3H, CH3CO), 3.42 (t, 2H, J = 6,8 Hz, CH2Br), 3.89 (m, 1H, H-5), 4.14 (m, 1H, H-1), 4.88 (m, 1H, H-4), 5.77 (ddd, 1H, J = 10.3 Hz, J = 3.7 Hz, J = 2.2Hz, H-3), 5.90 (m, 1H, H-2); 13C-NMR (150 MHz, CDCl3) δ (ppm): 16.91 (CH3), 21.19 (CH3CO), 24.40 (CH2CH2CH2CH2Br), 32.57 (CH2CH2CH2CH2Br), 32.76 (CH2Br), 33.52 (CH2CH2CH2CH2Br), 68.52 (C-5), 69.58 (C-4), 69.77 (C-1), 122.77 (C-3), 133.90 (C-2), 170.69 (C=O).
−52.20° (c 1.63, CHCl3), 1H-NMR (600 MHz, CDCl3) δ (ppm): 1.24 (d, 3H, J = 6.3Hz, CH3), 1.47–1.73 (m, 4H, CH2CH2), 1.83–1.98 (tt, 2H, J = 7.0 Hz, CH2CH2Br) 2.08 (s, 3H, CH3CO), 3.42 (t, 2H, J = 6,8 Hz, CH2Br), 3.89 (m, 1H, H-5), 4.14 (m, 1H, H-1), 4.88 (m, 1H, H-4), 5.77 (ddd, 1H, J = 10.3 Hz, J = 3.7 Hz, J = 2.2Hz, H-3), 5.90 (m, 1H, H-2); 13C-NMR (150 MHz, CDCl3) δ (ppm): 16.91 (CH3), 21.19 (CH3CO), 24.40 (CH2CH2CH2CH2Br), 32.57 (CH2CH2CH2CH2Br), 32.76 (CH2Br), 33.52 (CH2CH2CH2CH2Br), 68.52 (C-5), 69.58 (C-4), 69.77 (C-1), 122.77 (C-3), 133.90 (C-2), 170.69 (C=O).1-C-(4-O-Acetyl-2,3,6-trideoxy-β-l-erytro-hex-2-en-pyranosyl)-4-bromobutane (12b): Yellow oil, (90%);
−84.67° (c 1.807, CHCl3); 1H-NMR (600 MHz, CDCl3) δ (ppm): 1.23 (d, 3H, J = 6.3 Hz, CH3), 1.49–1.62 (m, 4H, CH2CH2), 1.82–1.96 (m, 2H, CH2CH2Br), 2.08 (s, 3H, CH3CO), 3.41 (t, 2H, J = 6.8 Hz, CH2Br), 3.56 (dq, 1H, J = 8.8 J = 6.1 Hz, H-5), 4.14(m, 1H, H-1), 5.03 (m, 1H, H-4), 5.69 (ddd, 1H, J = 10.3 Hz, J = 2.0 Hz, J = 2.0Hz, H-2), 5.77 (ddd, 1H, J = 10.6 Hz, J = 1.8 Hz, J = 1.8Hz, H-3). 13C-NMR (150 MHz, CDCl3) δ (ppm): 18.45(CH3), 21.11(CH3CO), 23.45 (CH2CH2CH2CH2Br), 32.72 (CH2Br), 33.56 (CH2CH2CH2CH2Br), 34.30 (CH2CH2CH2CH2Br), 71.22 (C-5), 72.33 (C-4), 74.26 (C-1) 125.65 (C-3), 132.73 (C-2), 170.51 (C=O).
−84.67° (c 1.807, CHCl3); 1H-NMR (600 MHz, CDCl3) δ (ppm): 1.23 (d, 3H, J = 6.3 Hz, CH3), 1.49–1.62 (m, 4H, CH2CH2), 1.82–1.96 (m, 2H, CH2CH2Br), 2.08 (s, 3H, CH3CO), 3.41 (t, 2H, J = 6.8 Hz, CH2Br), 3.56 (dq, 1H, J = 8.8 J = 6.1 Hz, H-5), 4.14(m, 1H, H-1), 5.03 (m, 1H, H-4), 5.69 (ddd, 1H, J = 10.3 Hz, J = 2.0 Hz, J = 2.0Hz, H-2), 5.77 (ddd, 1H, J = 10.6 Hz, J = 1.8 Hz, J = 1.8Hz, H-3). 13C-NMR (150 MHz, CDCl3) δ (ppm): 18.45(CH3), 21.11(CH3CO), 23.45 (CH2CH2CH2CH2Br), 32.72 (CH2Br), 33.56 (CH2CH2CH2CH2Br), 34.30 (CH2CH2CH2CH2Br), 71.22 (C-5), 72.33 (C-4), 74.26 (C-1) 125.65 (C-3), 132.73 (C-2), 170.51 (C=O).1-C-(4-O-Acetyl-2,3,6-trideoxy-α-l-erytro-hex-2-en-pyranosyl)-5-bromopentane (13a): Yellow oil, (91%);
−100.93° (c 0.86, CHCl3); 1H-NMR (600 MHz, CDCl3) δ (ppm): 1.24 (d, 3H, J = 6.6 Hz, CH3), 1.36–1.70 (m, 6H, CH2CH2CH2), 1.88 (q, 2H, J = 7.0 Hz, CH2CH2Br) 2.08 (s, 3H, CH3CO), 4.02 (t, 2H, J = 6.7 Hz, CH2Br), 3.91 (dq, 1H, J = 6.5 Hz, J = 4.7 Hz, H-5), 4.13 (m, 1H, H-1), 4.88 (m, 1H, H-4), 5.77 (ddd, 1H, J = 10.6 Hz, J = 3.5 Hz, J = 1.7Hz, H-3), 5.94 (ddd, 1H, J = 10.6 Hz, J = 2.3 Hz, J = 1.2 Hz, H-2). 13C-NMR (150 MHz, CDCl3) δ (ppm): 16.94 (CH3), 21.19 (CH3CO),24.91 (CH2CH2CH2CH2CH2Br), 28.88 (CH2CH2CH2CH2CH2Br), 32.63 (CH2CH2CH2CH2CH2Br), 33.45 (CH2CH2CH2CH2CH2Br), 33.74 (CH2Br), 68.42 (C-5), 69.63 (C-4), 69.90 (C-1),122.58 (C-3), 134.07 (C-2), 170.69 (C=O).
−100.93° (c 0.86, CHCl3); 1H-NMR (600 MHz, CDCl3) δ (ppm): 1.24 (d, 3H, J = 6.6 Hz, CH3), 1.36–1.70 (m, 6H, CH2CH2CH2), 1.88 (q, 2H, J = 7.0 Hz, CH2CH2Br) 2.08 (s, 3H, CH3CO), 4.02 (t, 2H, J = 6.7 Hz, CH2Br), 3.91 (dq, 1H, J = 6.5 Hz, J = 4.7 Hz, H-5), 4.13 (m, 1H, H-1), 4.88 (m, 1H, H-4), 5.77 (ddd, 1H, J = 10.6 Hz, J = 3.5 Hz, J = 1.7Hz, H-3), 5.94 (ddd, 1H, J = 10.6 Hz, J = 2.3 Hz, J = 1.2 Hz, H-2). 13C-NMR (150 MHz, CDCl3) δ (ppm): 16.94 (CH3), 21.19 (CH3CO),24.91 (CH2CH2CH2CH2CH2Br), 28.88 (CH2CH2CH2CH2CH2Br), 32.63 (CH2CH2CH2CH2CH2Br), 33.45 (CH2CH2CH2CH2CH2Br), 33.74 (CH2Br), 68.42 (C-5), 69.63 (C-4), 69.90 (C-1),122.58 (C-3), 134.07 (C-2), 170.69 (C=O).1-C-(4-O-Acetyl-2,3,6-trideoxy-β-l-erytro-hex-2-en-pyranosyl)-3-bromopentane (13b): Yellow oil, (94%);
−126.07° (c 1.417, CHCl3), 1H-NMR (300 MHz, CDCl3) δ (ppm): 1.24 (d, 3H, J = 6.4 Hz, CH3), 1.35–1.62 (m, 6H, CH2CH2CH2), 1.80–1.93 (m, 2H, CH2CH2Br) 2.08 (s, 3H, CH3CO), 3.41 (t, 2H, J = 6.8 Hz, CH2Br), 3,57 (dq, 1H, J = 8.6 Hz, J = 6.2 Hz, H-5), 4.14 (m, 1H, H-1), 5.04 (m, 1H, H-4), 5.69 (ddd, 1H, J = 10.3 Hz, J = 2.0 Hz, J = 2.0 Hz, H-2), 5.78 (ddd, 1H, J = 10.3 Hz, J = 1.5 Hz, J = 1.5Hz, H-3); 13C-NMR (75 MHz, CDCl3) δ (ppm): 18.46 (CH3), 21.14 (CH3CO), 23.87 (CH2CH2CH2CH2CH2Br), 28.10 (CH2CH2CH2CH2CH2Br), 32.65 (CH2CH2CH2CH2CH2Br), 33.83 (CH2Br), 35.03 (CH2CH2CH2CH2CH2Br), 71.27 (C-5), 72.32 (C-4), 74.40 (C-1), 125.46 (C-3), 132.94 (C-2), 170.56 (C=O).
−126.07° (c 1.417, CHCl3), 1H-NMR (300 MHz, CDCl3) δ (ppm): 1.24 (d, 3H, J = 6.4 Hz, CH3), 1.35–1.62 (m, 6H, CH2CH2CH2), 1.80–1.93 (m, 2H, CH2CH2Br) 2.08 (s, 3H, CH3CO), 3.41 (t, 2H, J = 6.8 Hz, CH2Br), 3,57 (dq, 1H, J = 8.6 Hz, J = 6.2 Hz, H-5), 4.14 (m, 1H, H-1), 5.04 (m, 1H, H-4), 5.69 (ddd, 1H, J = 10.3 Hz, J = 2.0 Hz, J = 2.0 Hz, H-2), 5.78 (ddd, 1H, J = 10.3 Hz, J = 1.5 Hz, J = 1.5Hz, H-3); 13C-NMR (75 MHz, CDCl3) δ (ppm): 18.46 (CH3), 21.14 (CH3CO), 23.87 (CH2CH2CH2CH2CH2Br), 28.10 (CH2CH2CH2CH2CH2Br), 32.65 (CH2CH2CH2CH2CH2Br), 33.83 (CH2Br), 35.03 (CH2CH2CH2CH2CH2Br), 71.27 (C-5), 72.32 (C-4), 74.40 (C-1), 125.46 (C-3), 132.94 (C-2), 170.56 (C=O).3.8. General Procedure for Synthesis of 2,3-Enopyranosyl C-Linked Conjugates of Genistein
A solution of C-glycoside 11–13 (1 mmol), tetra n-butylammonium salt of genistein 14 (1,2 mmol, 614 mg) in DMF (4 mL) was stirred at temperature 45–50 °C to a complete dissolution of salt. DMF was evaporated under reduced pressure and the residue was dissolved in CHCl3, washed with water. Organic layer was dried over Na2SO4, evaporated on rotary evaporator. The crude product was purified by silica gel column chromatography (gradient of CH2Cl2/acetone 30:1→10:1) to give compound 15–17.
5-Hydroxy-7-O-[1-C-(3-(4-O-acetyl-2,3,6-trideoxy-α-l-erythro-heks-2-en-pyranosyl) propyl]–3–(4'–hydroxyphenyl) chromen–4–on (15a): Solid, m.p. 126–129 °C, (77%);
−35.82° (c 0.67, CHCl3), HRMS: calcd for [M+Na]+: 489.5, found: m/z = 489.0. 1H-NMR (600 MHz, CDCl3) δ (ppm): 1.27 (d, 3H, J = 6.6 Hz, CH3), 1.68–2.05 (m, 4H, CH2CH2), 2.10 (s, 3H, CH3CO), 3.91 (dq, 1H, J = 6.6, J = 4.6 Hz, H-5), 4.06 (t, 2H, J = 6.1 Hz, OCH2), 4.24 (m, 1H, H-1), 4.91 (m, 1H, H-4), 5.81 (ddd, 1H, J = 10.3 Hz, J = 3.6 Hz, J = 2.0 Hz, H-3), 5.94 (ddd, 1H, J = 10.3 Hz, J = 2.1 Hz, J = 1.1 Hz, H-2), 6.29 (s, 1H, 4'-OH), 6,36 (d, 1H, J = 2.4 Hz,, H-8), 6,38 (d, 1H, J = 2.4 Hz, H-6), 6.84 (AA'XX', 2H, J = 8.7 Hz, 2H, H-3'g, H-5'g), 7.34 (AA'XX', 2H, J = 8.7 Hz,, 2H, H-2'g, H-6'g), 7.84 (s, 1H, H-2g), 12.80 (s, 1H, 5g-OH); 13C-NMR (150 MHz, CDCl3) δ (ppm): 16.82 (CH3), 21.19 (CH3CO), 25.23 (CH2CH2CH2O), 29,91 (CH2CH2CH2O), 68.24 (C-5), 68.72 (CH2O), 69.53 (C-4), 69.55 (C-1), 92.82 (C-8g), 98.64 (C-6g), 106.12 (C-4a), 115.67 (C-3'g, C-5'g), 122.52 (C-1'g), 122.85 (C-3), 123.71 (C-3g), 130.22 (C-2'g, C-6'g), 133.82 (C-2), 152.80 (C-2g), 156.26 (C-4'g), 157.94 (C-8a), 162.50 (C-5g), 164.99 (C-7g) 171.00 (C=O), 180.94 (C-4g).
−35.82° (c 0.67, CHCl3), HRMS: calcd for [M+Na]+: 489.5, found: m/z = 489.0. 1H-NMR (600 MHz, CDCl3) δ (ppm): 1.27 (d, 3H, J = 6.6 Hz, CH3), 1.68–2.05 (m, 4H, CH2CH2), 2.10 (s, 3H, CH3CO), 3.91 (dq, 1H, J = 6.6, J = 4.6 Hz, H-5), 4.06 (t, 2H, J = 6.1 Hz, OCH2), 4.24 (m, 1H, H-1), 4.91 (m, 1H, H-4), 5.81 (ddd, 1H, J = 10.3 Hz, J = 3.6 Hz, J = 2.0 Hz, H-3), 5.94 (ddd, 1H, J = 10.3 Hz, J = 2.1 Hz, J = 1.1 Hz, H-2), 6.29 (s, 1H, 4'-OH), 6,36 (d, 1H, J = 2.4 Hz,, H-8), 6,38 (d, 1H, J = 2.4 Hz, H-6), 6.84 (AA'XX', 2H, J = 8.7 Hz, 2H, H-3'g, H-5'g), 7.34 (AA'XX', 2H, J = 8.7 Hz,, 2H, H-2'g, H-6'g), 7.84 (s, 1H, H-2g), 12.80 (s, 1H, 5g-OH); 13C-NMR (150 MHz, CDCl3) δ (ppm): 16.82 (CH3), 21.19 (CH3CO), 25.23 (CH2CH2CH2O), 29,91 (CH2CH2CH2O), 68.24 (C-5), 68.72 (CH2O), 69.53 (C-4), 69.55 (C-1), 92.82 (C-8g), 98.64 (C-6g), 106.12 (C-4a), 115.67 (C-3'g, C-5'g), 122.52 (C-1'g), 122.85 (C-3), 123.71 (C-3g), 130.22 (C-2'g, C-6'g), 133.82 (C-2), 152.80 (C-2g), 156.26 (C-4'g), 157.94 (C-8a), 162.50 (C-5g), 164.99 (C-7g) 171.00 (C=O), 180.94 (C-4g).5-Hydroxy-7-O-[3-(1-C-4-O-acetyl-2,3,6-trideoxy-α-l-erytro-heks-2-en-pyranosyl)propyl]-3-(4-hydroxyphenyl)chromen-4-on (15b): Solid, m.p. 166–168 °C, (75%);
−74.69° (c 0.64, CHCl3) HRMS: calcd for [M+Na]+: 489.5, found: m/z = 489.0, 1H-NMR (600 MHz, CDCl3) δ (ppm): 1.26 (d, 3H, J = 6.2 Hz, CH3), 1.59-2.00 (m, 4H, CH2CH2) 2.10 (s, 3H, CH3CO), 3.61 (dq, 1H, J = 8.6, J = 6.2 Hz, H-5), 4.07 (t, 2H, J = 6.3 Hz, CH2O), 4.25 (m, 1H, H-1), 5.07 (m, 1H, H-4), 5.54 (s, 1H, 4'-OH), 5.73 (ddd, 1H J = 10.3 Hz J = 1.8 Hz, H-2), 5.81 (ddd, 1H, J = 10.3 Hz, J = 1.4 Hz, J = 1.4 Hz, H-3), 6.36 (d, 1H, J = 2.2 Hz, H-8), 6.39 (d, 1H, J = 2.2 Hz, H-6), 6.87 (AA'XX', 2H, J = 8.6 Hz, 2H, H-3'g, H-5'g), 7.37 (AA'XX', 2H, J=8.6 Hz, 2H, H-2'g, H-6'g), 7.85(s, 1H, H-2g), 12.80(s, 1H, 5g-OH); 13C-NMR (150 MHz, CDCl3) δ (ppm): 18.50 (CH3), 21.17 (CH3CO), 24.32 (CH2CH2CH2O), 31.49 (CH2CH2CH2O), 68.48 (CH2O), 71.26 (C-5), 72.43 (C-4), 74.08 (C-1), 92.87 (C-8g), 98.68 (C-6g), 106.19 (C-4a), 115.65 (C-3'g, C-5'g), 122.94 (C-1'g), 123.69 (C-3g) 125.99 (C-3), 130.33 (C-2'g, C-6'g), 132.65 (C-2), 152.77 (C-2g), 156.04 (C-4'g), 157.99 (C-8a), 162.33 (C-5g), 165.06 (C-7g), 170.74 (C=O), 180.90 (C-4g).
−74.69° (c 0.64, CHCl3) HRMS: calcd for [M+Na]+: 489.5, found: m/z = 489.0, 1H-NMR (600 MHz, CDCl3) δ (ppm): 1.26 (d, 3H, J = 6.2 Hz, CH3), 1.59-2.00 (m, 4H, CH2CH2) 2.10 (s, 3H, CH3CO), 3.61 (dq, 1H, J = 8.6, J = 6.2 Hz, H-5), 4.07 (t, 2H, J = 6.3 Hz, CH2O), 4.25 (m, 1H, H-1), 5.07 (m, 1H, H-4), 5.54 (s, 1H, 4'-OH), 5.73 (ddd, 1H J = 10.3 Hz J = 1.8 Hz, H-2), 5.81 (ddd, 1H, J = 10.3 Hz, J = 1.4 Hz, J = 1.4 Hz, H-3), 6.36 (d, 1H, J = 2.2 Hz, H-8), 6.39 (d, 1H, J = 2.2 Hz, H-6), 6.87 (AA'XX', 2H, J = 8.6 Hz, 2H, H-3'g, H-5'g), 7.37 (AA'XX', 2H, J=8.6 Hz, 2H, H-2'g, H-6'g), 7.85(s, 1H, H-2g), 12.80(s, 1H, 5g-OH); 13C-NMR (150 MHz, CDCl3) δ (ppm): 18.50 (CH3), 21.17 (CH3CO), 24.32 (CH2CH2CH2O), 31.49 (CH2CH2CH2O), 68.48 (CH2O), 71.26 (C-5), 72.43 (C-4), 74.08 (C-1), 92.87 (C-8g), 98.68 (C-6g), 106.19 (C-4a), 115.65 (C-3'g, C-5'g), 122.94 (C-1'g), 123.69 (C-3g) 125.99 (C-3), 130.33 (C-2'g, C-6'g), 132.65 (C-2), 152.77 (C-2g), 156.04 (C-4'g), 157.99 (C-8a), 162.33 (C-5g), 165.06 (C-7g), 170.74 (C=O), 180.90 (C-4g).5-Hydroxy-7-O-[4-(1-C-4-O-acetyl-2,3,6-trideoxy-α-l-erythro-heks-2-en-pyranosyl)butyl]-3-(4'-hydroxyphenyl)chromen-4-on (16a): Yellow oil, (70%),
−37.51°(c 1.27, CHCl3), HRMS: calcd for [M+Na]+: 503.5, found: m/z = 503.1; 1H-NMR (600 MHz, CDCl3) δ (ppm): 1.27 (d, 3H, J = 6.6 Hz, CH3), 1.5–2.00 (m, 6H, CH2CH2CH2), 2.09 (s, 3H, CO-CH3), 3.95 (dq, 1H, J = 6.6 Hz, J = 4.4 Hz, H-5), 4.01 (t, 2H, J = 6.1 Hz, OCH2), 4.19 (m, 1H, H-1), 4.90 (m, 1H, H-4), 5.79 (ddd, 1H, J = 10.3 Hz, J = 3.6 Hz, J = 2.0 Hz, H-3), 5.94 (ddd, 1H, J = 10.3 Hz, J = 2.0 Hz, J = 1.1Hz, H-2), 6.35 (d, 1H, J = 2.2 Hz, H-8), 6.37 (d, 1H, J = 2.2Hz, H-6), 6.71 (s, 1H, 4'-OH), 6.87 (AA'XX', 2H, J = 8.6 Hz, 2H, H-3'g, H-5'g), 7.35 (AA'XX', 2H, J = 8.4 Hz, 2H, H-2'g, H-6'g), 7.83 (s, 1H, H-2g), 12.82 (s, 1H, 5g-OH), 13C-NMR (150 MHz, CDCl3) δ (ppm): 16.84 (CH3), 21.21 (CH3CO), 22.24 (CH2CH2CH2CH2O), 28.77 (CH2CH2CH2CH2O), 33.32 (CH2CH2CH2CH2O), 68.40 (C-5), 68.70 (CH2O), 69.62 (C-4), 69.80 (C-1), 92.79 (C-8g), 98.58 (C-6g), 106.09 (C-4a), 115.65 (C-3'g, C-5'g), 122.41(C-1'g) 122.58 (C-3), 123.68 (C-3g), 130.18 (C-2'g, C-6'g) 134,02 (C-2), 152.71 (C-2g), 156.47 (C-4’g), 157.91 (C-8a), 162.52 (C-5g), 164.99 (C-7g) 170.99 (C=O), 180.90 (C-4g).
−37.51°(c 1.27, CHCl3), HRMS: calcd for [M+Na]+: 503.5, found: m/z = 503.1; 1H-NMR (600 MHz, CDCl3) δ (ppm): 1.27 (d, 3H, J = 6.6 Hz, CH3), 1.5–2.00 (m, 6H, CH2CH2CH2), 2.09 (s, 3H, CO-CH3), 3.95 (dq, 1H, J = 6.6 Hz, J = 4.4 Hz, H-5), 4.01 (t, 2H, J = 6.1 Hz, OCH2), 4.19 (m, 1H, H-1), 4.90 (m, 1H, H-4), 5.79 (ddd, 1H, J = 10.3 Hz, J = 3.6 Hz, J = 2.0 Hz, H-3), 5.94 (ddd, 1H, J = 10.3 Hz, J = 2.0 Hz, J = 1.1Hz, H-2), 6.35 (d, 1H, J = 2.2 Hz, H-8), 6.37 (d, 1H, J = 2.2Hz, H-6), 6.71 (s, 1H, 4'-OH), 6.87 (AA'XX', 2H, J = 8.6 Hz, 2H, H-3'g, H-5'g), 7.35 (AA'XX', 2H, J = 8.4 Hz, 2H, H-2'g, H-6'g), 7.83 (s, 1H, H-2g), 12.82 (s, 1H, 5g-OH), 13C-NMR (150 MHz, CDCl3) δ (ppm): 16.84 (CH3), 21.21 (CH3CO), 22.24 (CH2CH2CH2CH2O), 28.77 (CH2CH2CH2CH2O), 33.32 (CH2CH2CH2CH2O), 68.40 (C-5), 68.70 (CH2O), 69.62 (C-4), 69.80 (C-1), 92.79 (C-8g), 98.58 (C-6g), 106.09 (C-4a), 115.65 (C-3'g, C-5'g), 122.41(C-1'g) 122.58 (C-3), 123.68 (C-3g), 130.18 (C-2'g, C-6'g) 134,02 (C-2), 152.71 (C-2g), 156.47 (C-4’g), 157.91 (C-8a), 162.52 (C-5g), 164.99 (C-7g) 170.99 (C=O), 180.90 (C-4g).5-Hydroxy-7-O-[4-(1-C-4-O-acetyl-2,3,6-trideoxy-α-l-erytro-hex-2-en-pyranosyl)butyl]-3-(4'-hydroxyphenyl)chromen-4-on (16b): Yellow oil (77%);
−47.20° (c 1.017, CHCl3), HRMS: [M+Na]+: m/z = 503.1; 1H-NMR (600 MHz, CDCl3) δ (ppm): 1.25 (d, 3H, J = 6.2 Hz, CH3), 1.52–1.66 (m, 4H, CH2CH2), 1.77–1.88 (m, 2H, CH2CH2O), 2.09 (s, 3H, CH3CO), 3.59 (dq, 1H, J = 8.8 Hz, J = 6.2 Hz, J = 6.2 Hz, H-5), 4.01(t, 2H, J = 6.5 Hz, J = 6.2 Hz, OCH2), 4.18 (m, 1H, H-1), 5.06 (m, 1H, H-4), 5.71 (ddd, 1H, J = 10.3 Hz, J = 2.1 Hz, J = 2.1 Hz, J = 6.2 Hz, H-2), 5.79 (ddd, J = 10.3 Hz, J = 1.6 Hz, J = 1.6 Hz, J = 6.2 Hz, H-3), 6,35 (d, 1H, J = 2.1 Hz, J = 6.2 Hz, H-8), 6.37 (d, 1H, J = 2.1 Hz, J = 6.2 Hz, H-6), 6.02 (s, 1H, 4'-OH), 6.85 (AA'XX', 2H, J = 9.0 Hz, 2H, H-3'g, H-5'g), 7.35 (AA'XX', 2H, J = 8.4 Hz, 2H, H-2'g, H-6'g), 7.83 (s, 1H, H-2g), 12.79 (s, 1H, 5g-OH); 13C-NMR (150 MHz, CDCl3) δ (ppm): 18.48 (CH3), 21.18 (CH2CH2CH2CH2O), 21.29 (CH3CO), 28.92 (CH2CH2CH2CH2O), 34.87 (CH2CH2CH2CH2O), 68.50 (CH2O), 71.38 (C-5), 72.44 (C-4), 74.48 (C-1), 92.88 (C-8g), 98.70 (C-6g), 106.15 (C-4a), 115.71 (C-3'g, C-5'g), 122.70 (C-1'g), 122.73 (C-3g), 125.62 (C-3), 130.29 (C-2'g, C-6'g), 132,86 (C-2), 152.82 (C-2g), 156.82 (C-4'g), 157.99 (C-8a), 162.56 (C-5g), 165.11 (C-7g), 170.85 (C=O), 180.9 (C-4g).
−47.20° (c 1.017, CHCl3), HRMS: [M+Na]+: m/z = 503.1; 1H-NMR (600 MHz, CDCl3) δ (ppm): 1.25 (d, 3H, J = 6.2 Hz, CH3), 1.52–1.66 (m, 4H, CH2CH2), 1.77–1.88 (m, 2H, CH2CH2O), 2.09 (s, 3H, CH3CO), 3.59 (dq, 1H, J = 8.8 Hz, J = 6.2 Hz, J = 6.2 Hz, H-5), 4.01(t, 2H, J = 6.5 Hz, J = 6.2 Hz, OCH2), 4.18 (m, 1H, H-1), 5.06 (m, 1H, H-4), 5.71 (ddd, 1H, J = 10.3 Hz, J = 2.1 Hz, J = 2.1 Hz, J = 6.2 Hz, H-2), 5.79 (ddd, J = 10.3 Hz, J = 1.6 Hz, J = 1.6 Hz, J = 6.2 Hz, H-3), 6,35 (d, 1H, J = 2.1 Hz, J = 6.2 Hz, H-8), 6.37 (d, 1H, J = 2.1 Hz, J = 6.2 Hz, H-6), 6.02 (s, 1H, 4'-OH), 6.85 (AA'XX', 2H, J = 9.0 Hz, 2H, H-3'g, H-5'g), 7.35 (AA'XX', 2H, J = 8.4 Hz, 2H, H-2'g, H-6'g), 7.83 (s, 1H, H-2g), 12.79 (s, 1H, 5g-OH); 13C-NMR (150 MHz, CDCl3) δ (ppm): 18.48 (CH3), 21.18 (CH2CH2CH2CH2O), 21.29 (CH3CO), 28.92 (CH2CH2CH2CH2O), 34.87 (CH2CH2CH2CH2O), 68.50 (CH2O), 71.38 (C-5), 72.44 (C-4), 74.48 (C-1), 92.88 (C-8g), 98.70 (C-6g), 106.15 (C-4a), 115.71 (C-3'g, C-5'g), 122.70 (C-1'g), 122.73 (C-3g), 125.62 (C-3), 130.29 (C-2'g, C-6'g), 132,86 (C-2), 152.82 (C-2g), 156.82 (C-4'g), 157.99 (C-8a), 162.56 (C-5g), 165.11 (C-7g), 170.85 (C=O), 180.9 (C-4g).5-Hydroxy-7-O-[5-(1-C-4-O-acetyl-2,3,6-trideoxy-α-l-erythro-hex-2-en-pyranosyl)pentyl]-3-(4'-hydroxyphenyl)chromen-4-on (17a): Solid, m.p. 116–125 °C, (69%);
−39.09° (c 0.66, CHCl3), HRMS: calcd for [M+Na]+: 517.2 found: m/z = 517.5; 1H-NMR (600 MHz, CDCl3) δ (ppm): 1.25 (d, 3H, J = 6.6 Hz, CH3), 1.44–1.72 (m, 6H, CH2CH2CH2), 1.83 (q, 2H, J = 6.8 Hz, CH2CH2O), 2.09 (s, 3H, CH3CO), 3.91 (dq, 1H, J = 6.6 J = 4.8 Hz, H-5), 4.02 (t, 2H, J = 6.1 Hz, OCH2), 4.15 (m, 1H, H-1), 4.90 (m, 1H, H-4), 5.77 (ddd, 1H J = 10.4 Hz, J = 3.5 Hz, J = 2.1 Hz, H-3), 5.91 (ddd, 1H, J = 10.3 Hz, J = 2.3 Hz, J = 1.3 Hz, H-2), 6.36 (d, 1H, J = 2.2 Hz, H-8), 6.38 (d, 1H, J = 2.2 Hz, H-6), 6.90 (AA'XX', 2H, J = 8.4 Hz, H-3'g, H-5'g), 7.41 (AA'XX', 2H, J = 8.4 Hz, H-2'g, H-6'g), 7.85 (s, 1H, H-2g), 12.81 (s, 1H, 5g-OH); 13C-NMR (150 MHz, CDCl3) δ (ppm): 16.92 (CH3), 21.28 (CH3CO), 25.43 (CH2CH2CH2CH2CH2O), 25.86 (CH2CH2CH2CH2CH2O), 28.84 (CH2CH2CH2CH2CH2O), 33.59 (CH2CH2CH2CH2CH2O), 68.50 (C-5), 68.66 (CH2O), 69.74 (C-4), 69.99 (C-1), 92.85 (C-8g), 98.64 (C-6g), 106.07 (C-4a), 115.71 (C-3'g, C-5'g), 122.46 (C-1'g, C-3), 123.70 (C-3g), 130.24 (C-2'g, C-6'g) 134.21 (C-2), 152.83 (C-2g), 156.40 (C-4'g), 157.95 (C-8a), 162.46 (C-5g), 165.09 (C-7g), 171.12 (C=O), 180.96 (C-4g).
−39.09° (c 0.66, CHCl3), HRMS: calcd for [M+Na]+: 517.2 found: m/z = 517.5; 1H-NMR (600 MHz, CDCl3) δ (ppm): 1.25 (d, 3H, J = 6.6 Hz, CH3), 1.44–1.72 (m, 6H, CH2CH2CH2), 1.83 (q, 2H, J = 6.8 Hz, CH2CH2O), 2.09 (s, 3H, CH3CO), 3.91 (dq, 1H, J = 6.6 J = 4.8 Hz, H-5), 4.02 (t, 2H, J = 6.1 Hz, OCH2), 4.15 (m, 1H, H-1), 4.90 (m, 1H, H-4), 5.77 (ddd, 1H J = 10.4 Hz, J = 3.5 Hz, J = 2.1 Hz, H-3), 5.91 (ddd, 1H, J = 10.3 Hz, J = 2.3 Hz, J = 1.3 Hz, H-2), 6.36 (d, 1H, J = 2.2 Hz, H-8), 6.38 (d, 1H, J = 2.2 Hz, H-6), 6.90 (AA'XX', 2H, J = 8.4 Hz, H-3'g, H-5'g), 7.41 (AA'XX', 2H, J = 8.4 Hz, H-2'g, H-6'g), 7.85 (s, 1H, H-2g), 12.81 (s, 1H, 5g-OH); 13C-NMR (150 MHz, CDCl3) δ (ppm): 16.92 (CH3), 21.28 (CH3CO), 25.43 (CH2CH2CH2CH2CH2O), 25.86 (CH2CH2CH2CH2CH2O), 28.84 (CH2CH2CH2CH2CH2O), 33.59 (CH2CH2CH2CH2CH2O), 68.50 (C-5), 68.66 (CH2O), 69.74 (C-4), 69.99 (C-1), 92.85 (C-8g), 98.64 (C-6g), 106.07 (C-4a), 115.71 (C-3'g, C-5'g), 122.46 (C-1'g, C-3), 123.70 (C-3g), 130.24 (C-2'g, C-6'g) 134.21 (C-2), 152.83 (C-2g), 156.40 (C-4'g), 157.95 (C-8a), 162.46 (C-5g), 165.09 (C-7g), 171.12 (C=O), 180.96 (C-4g).5-Hydroxy-7-O-[5-(1-C-4-O-acetyl-2,3,6-trideoxy-α-l-erytro-hex-2-en-pyranosyl)pentyl]-3-(4-hydroxyphenyl)chromen-4-on (17b): Solid, m.p. 152–154° C, (71%),
−65.45° (c 0.64, CHCl3), HRMS: calcd for [M+Na]+: 517.5 found: 517.2; 1H-NMR (600 MHz, CDCl3) δ (ppm): 1.25 (d, 3H, J = 6.2 Hz, CH3), 1.42–1.62 (m, 6H, CH2CH2CH2), 1.78–1.85(m, 2H, CH2CH2O), 2.09 (s, 3H, CH3CO), 3.57 (dq, 1H, J = 8.7 Hz, J = 6.2 Hz, H-5), 4.01 (t, 2H, J = 6.5 OCH2), 4.16 (m, 1H, H-1), 5.05 (m, 1H, H-4), 5.67 (s, 1H, 4'-OH), 5.70 (ddd, 1H, J = 10.4 Hz, J = 2.1 Hz, H-2), 5.79 (ddd, J = 10.3 Hz, J = 1.6 Hz, H-3), 6.36 (d, 1H, J = 2.2 Hz, H-8), 6,38 (d, 1H, J = 2.2 Hz, H-6), 6.85 (AA'XX', 2H, H-3'g, H-5'g J = 8.8 Hz), 7.36 (d, 2H, H-2'g, H-6'g J = 8.7 Hz), 7.84 (s, 1H, H-2g), 12.79 (s, 1H, 5g-OH); 13C-NMR (150 MHz, CDCl3) δ (ppm): 18.49 (CH3ram), 21.18 (CH3CO), 24.43 (CH2CH2CH2CH2CH2O), 25.96 (CH2CH2CH2CH2CH2O), 28.85 (CH2CH2CH2CH2CH2O), 35.15 (CH2CH2CH2CH2CH2O), 68.44 (CH2O), 71.41 (C-5), 72.41 (C-4), 74.55 (C-1), 92.90 (C-8g), 98.68 (C-6g), 106.13 (C-4a), 115.68 (C-3’g, C-5’g), 122.83 (C-1’g), 123.71 (C-3g), 125.45 (C-3), 130.31 (C-2'g, C-6'g), 133,02 (C-2), 152.79 (C-2g), 156.11 (C-4'g), 158.00 (C-8a), 162.59 (C-5g), 165.16 (C-7g), 170.80 (C=O), 180.94 (C-4g).
−65.45° (c 0.64, CHCl3), HRMS: calcd for [M+Na]+: 517.5 found: 517.2; 1H-NMR (600 MHz, CDCl3) δ (ppm): 1.25 (d, 3H, J = 6.2 Hz, CH3), 1.42–1.62 (m, 6H, CH2CH2CH2), 1.78–1.85(m, 2H, CH2CH2O), 2.09 (s, 3H, CH3CO), 3.57 (dq, 1H, J = 8.7 Hz, J = 6.2 Hz, H-5), 4.01 (t, 2H, J = 6.5 OCH2), 4.16 (m, 1H, H-1), 5.05 (m, 1H, H-4), 5.67 (s, 1H, 4'-OH), 5.70 (ddd, 1H, J = 10.4 Hz, J = 2.1 Hz, H-2), 5.79 (ddd, J = 10.3 Hz, J = 1.6 Hz, H-3), 6.36 (d, 1H, J = 2.2 Hz, H-8), 6,38 (d, 1H, J = 2.2 Hz, H-6), 6.85 (AA'XX', 2H, H-3'g, H-5'g J = 8.8 Hz), 7.36 (d, 2H, H-2'g, H-6'g J = 8.7 Hz), 7.84 (s, 1H, H-2g), 12.79 (s, 1H, 5g-OH); 13C-NMR (150 MHz, CDCl3) δ (ppm): 18.49 (CH3ram), 21.18 (CH3CO), 24.43 (CH2CH2CH2CH2CH2O), 25.96 (CH2CH2CH2CH2CH2O), 28.85 (CH2CH2CH2CH2CH2O), 35.15 (CH2CH2CH2CH2CH2O), 68.44 (CH2O), 71.41 (C-5), 72.41 (C-4), 74.55 (C-1), 92.90 (C-8g), 98.68 (C-6g), 106.13 (C-4a), 115.68 (C-3’g, C-5’g), 122.83 (C-1’g), 123.71 (C-3g), 125.45 (C-3), 130.31 (C-2'g, C-6'g), 133,02 (C-2), 152.79 (C-2g), 156.11 (C-4'g), 158.00 (C-8a), 162.59 (C-5g), 165.16 (C-7g), 170.80 (C=O), 180.94 (C-4g).3.9. Anticancer Activity in Vitro
3.9.1. Cell Viability
Cell viability was estimated using an MTT (3-[4,5-dimethylthiazol-2-y]2,5-diphenyltetrazolium bromide) assay (Sigma–Aldrich, Hamburg, Germany), according to the supplier’s protocol. Shortly, 24 h before addition of the tested compounds, the cells were plated in 96-well plates (Sarstedt, Nümbrecht, Germany) at the density of 2 × 103 cells per well. Assays were performed after 72 h of continuous exposure to varying concentrations of the tested agents. Each compound in each concentration was tested in hexaplicate in a single experiment, which was repeated at least three times. Viability of cells was expressed as a percentage versus vehicle control (DMSO treatment). IC50 was defined as a concentration of a drug that decreased cell viability by 50%.
3.9.2. Cell Cycle Analysis
Cells in subconfluent proliferating cultures were incubated with the tested compounds continuously for 24 h. Floating cells were collected and added to adherent cells harvested by trypsinization. Cells were washed with PBS and then fixed in ice-cold ethanol (70%) for 30 min, treated with RNase (100 μg/mL) and stained with propidium iodide (PI) (100 μg/mL). DNA content was analyzed using Becton Dickinson FACSCanto cytometer (BD Company, Franklin Lakes, NJ, USA) to monitor the cell cycle changes. Experiments were repeated at least three times.
3.9.3. Microscope Analysis
Cells, collected as described above, were cytospinned, fixed with cold methanol, stained with solution of DAPI (3 μM). Slides were mounted in DAKO®Fluorescent Mounting Medium (Dako, Carpinteria, CA, USA) and examined under an ECLIPSE E800 Nikon microscope (Nikon, Tokyo, Japan) using an objective 40×. Mitotic cells and cells with fragmented nuclei (at least one large micronucleus present in the cell) were counted among 1000 cells of the specimen. The in vitro micronucleus assay with size-classified micronucleus counting was performed according to the method described elsewhere [47]. The experiments were repeated three times.
3.9.4. Statistics
Three separate experiments were performed in six replicates for each sample concentration to assess cytotoxicity. Curve fitting was performed using nonlinear regression model in GraphPad Prism software. Data were expressed as means ± S.D. Three separate experiments were performed for cell cycle analysis. Data were expressed as means ± S.D. Three independent experiments were performed for microscopy examination of nuclei morphology. Data were expressed as means ± S.D. Statistical comparison between untreated cells and cells treated with the tested compounds was performed using one-way ANOVA (GraphPad Prism software, GraphPad Software, Inc., La Jolla, CA USA).
4. Conclusions
We have elaborated simple and effective method of synthesis for intermediate alkyl aryl organozinc iodides and their coupling with 3,4-di-O-acetyl-l-rhamnal, affording 2,3-unsaturated C-glycosides in good yield, and rather insignificant stereoselectivity. Preparative separation of isomers can be easily achieved by classical silica gel chromatography. These novel synthetic derivatives of the parent isoflavone exhibit cytotoxicity towards selected cell lines, which varies with such structural parameters as anomeric configuration and carbon spacer length. The new derivatives also significantly alter cell cycle and cause mitotic perturbations not observed for genistein itself. It seems that remarkable changes in activity of unsaturated genistein glycosides, when compared to the parent isoflavone, are largely retained after the switch from O- to C-conjugation.
Acknowledgments
This research was part-financed by the European Union within the European Regional Development Fund (POIG.01.01.02-14-102/09) and the grant from Polish National Science Centre No DEC-2011/01/N/NZ4/01141.
Author Contributions
The work presented here was carried out in collaboration between all authors. WS, GG, and AR defined the research subject. WS and GG designed chemical synthesis. AR designed biological assays. PS performed the chemical synthesis. TB prepared and interpreted the NMR spectra. AB, KP and RK carried out the cytotoxicity assay, the cell cycle analysis, and the micronucleus assay. WS, GG and AR analyzed the data, interpreted the results and wrote the paper. All authors have contributed to, seen and approved the manuscript.
Conflicts of Interest
The authors declare no conflict of interest.
References
- Ferrier, R.J.; Hoberg, J.O. Synthesis and reactions of unsaturated sugars. Adv. Carbohydr. Chem. Biochem. 2003, 58, 55–119. [Google Scholar] [CrossRef]
- Fraser-Reid, B. Some progeny of 2,3-unsaturated sugars-they little resemble grandfather glucose-10 years later. Acc. Chem. Res. 1985, 18, 347–354. [Google Scholar] [CrossRef]
- Ferrier, R.J. Unsaturated sugars. Adv. Carbohydr. Chem. Biochem. 1969, 24, 199–266. [Google Scholar]
- Grynkiewicz, G.; Szeja, W.; Boryski, J. Synthetic analogs of natural glycosides in drug discovery and development. Acta Pol. Pharm. 2008, 65, 655–76. [Google Scholar]
- Sears, P.; Wong, C.H. Carbohydrate Mimetics: A New Strategy for Tackling the Problem of Carbohydrate-Mediated Biological Recognition. Angew. Chem. Int. Ed. Engl. 1999, 38, 2300–2324. [Google Scholar] [CrossRef]
- Witczak, Z.J.; Nieforth, K.A. Carbohydrates in drug design. Eur. J. Med. Chem. 1997, 32, 842. [Google Scholar]
- Dorgan, B.J.; Jackson, R.F.W. Synthesis of C-linked glycosyl amino acid derivatives using organozinc reagents. Synlett 1996, 859–861. [Google Scholar]
- Liu, Z.J.; Zhou, M.; Min, J.M.; Zhang, L.H. Syntheses of 5'-O-glycosylnucleosides. Tetrahedron Asymmetr. 1999, 10, 2119–2127. [Google Scholar] [CrossRef]
- Seeberger, P.H.; Bilodeau, M.T.; Danishefsky, S.J. Synthesis of biologically important oligosaccharides and other glycoconjugates by the glycal assembly method. Aldrichim. Acta 1997, 30, 75–92. [Google Scholar]
- Danishefsky, S.J.; Bilodeau, M.T. Glycals in organic synthesis: The evolution of comprehensive strategies for the assembly of oligosaccharides and glycoconjugates of biological consequence. Angew. Chem. Int. Ed. 1996, 35, 1380–1419. [Google Scholar] [CrossRef]
- Schmidt, R.R.; Angerbauer, R. Simple de-novo synthesis of reactive pseudoglycals (Hex-2-enopyranosides)-stereospecific α-glycoside coupling. Angew. Chem. Int. Ed. 1997, 16, 783–784. [Google Scholar]
- Williams, N.R.; Wander, J.D. The Carbohydrates in Chemistry and Biochemistry; Academic Press: New York, NY, USA, 1980; p. 761. [Google Scholar]
- Borrachero-Moya, P.; Cabrera-Escribano, F.; Gomez-Guillen, M.; Paredes-Leon, M.D.R. Synthesis of 4-(4,6-di-O-benzyl-2,3-dideoxy-beta-d-erythro-hex-2-enopyranosyl)pyrazoles from 3,4,6-tri-O-acetyl-d-glucal. Carbohydr. Res. 1998, 308, 181–190. [Google Scholar] [CrossRef]
- Schmidt, M.A.; Talley, J.J.; Scaros, M.G.; Yonan, P.K. Palladium-catalyzed coupling of aryl halides and aryl triflates to itaconate diesters-a convenient preparation of E-benzylidenesuccinate diesters. Chem. Indust. 1995, 62, 105–114. [Google Scholar]
- Polkowski, K.; Popiolkiewicz, J.; Krzeczynski, P.; Ramza, J.; Pucko, W.; Zegrocka-Stendel, O.; Boryski, J.; Skierski, J.S.; Mazurek, A.P.; Grynkiewicz, G. Cytostatic and cytotoxic activity of synthetic genistein glycosides against human cancer cell lines. Cancer Lett. 2004, 203, 59–69. [Google Scholar] [CrossRef]
- Popiolkiewicz, J.; Polkowski, K.; Skierski, J.S.; Mazurek, A.P. In vitro toxicity evaluation in the development of new anticancer drugs-genistein glycosides. Cancer Lett. 2005, 229, 67–75. [Google Scholar] [CrossRef]
- Rusin, A.; Zawisza-Puchalka, J.; Kujawa, K.; Gogler-Piglowska, A.; Wietrzyk, J.; Switalska, M.; Glowala-Kosinska, M.; Gruca, A.; Szeja, W.; Krawczyk, Z.; et al. Synthetic conjugates of genistein affecting proliferation and mitosis of cancer cells. Bioorg. Med. Chem. 2011, 19, 295–305. [Google Scholar] [CrossRef]
- Rusin, A.; Gogler, A.; Glowala-Kosinska, M.; Bochenek, D.; Gruca, A.; Grynkiewicz, G.; Zawisza, J.; Szeja, W.; Krawczyk, Z. Unsaturated genistein disaccharide glycoside as a novel agent affecting microtubules. Bioorg. Med. Chem. Lett. 2009, 19, 4939–4943. [Google Scholar] [CrossRef]
- Gogler-Piglowska, A.; Rusin, A.; Bochenek, D.; Krawczyk, Z. Aneugenic effects of the genistein glycosidic derivative substituted at C7 with the unsaturated disaccharide. Cell Biol. Toxicol. 2012, 28, 331–342. [Google Scholar]
- Priebe, W.; Fokt, I.; Grynkiewicz, G. Glycal Derivatives. In Glycoscience, Chemistry and Chemical Biology, 2nd ed.; Springer-Verlag: Berlin, Heidelberg, Germany, 2008; pp. 699–735. [Google Scholar]
- Levy, D.E.; Tang, C. The Chemistry of C-Glycosides; Elsevier Science Ltd: Tarrytown, NY, USA, 1995; p. 291. [Google Scholar]
- Lown, J.W. Discovery and development of anthracycline antitumor antibiotics. Chem. Soc. Rev. 1993, 22, 165–176. [Google Scholar]
- Ravishankar, R.; Surolia, A.; Vijayan, M.; Lim, S.; Kishi, Y. Preferred conformation of C-lactose at the free and peanut lectin bound states. J. Am. Chem. Soc. 1998, 120, 11297–11303. [Google Scholar] [CrossRef]
- Rubinstenn, G.; Sinay, P.; Berthault, P. Evidence of conformational heterogeneity for carbohydrate mimetics. NMR study of methyl beta-C-lactoside in aqueous solution. J. Phys. Chem. A 1997, 101, 2536–2540. [Google Scholar] [CrossRef]
- Espinosa, J.F.; Montero, E.; Vian, A.; Garcia, J.L.; Dietrich, H.; Schmidt, R.R.; Martin-Lomas, M.; Imberty, A.; Canada, F.J.; Jimenez-Barbero, J. Escherichia coli beta-galactosidase recognizes a high-energy conformation of C-lactose, a nonhydrolizable substrate analogue. NMR and modeling studies of the molecular complex. J. Am. Chem. Soc. 1998, 120, 1309–1318. [Google Scholar] [CrossRef]
- Sparks, M.A.; Williams, K.W.; Whitesides, G.M. Neuraminidase-resistant hemagglutination inhibitors-acrylamide copolymers containing a C-glycoside of N-acetylneuraminic acid. J. Med. Chem. 1993, 36, 778–783. [Google Scholar] [CrossRef]
- Nagy, J.O.; Wang, P.; Gilbert, J.H.; Schaefer, M.E.; Hill, T.G.; Callstrom, M.R.; Bednarski, M.D. Carbohydrate materials bearing neuraminidase-resistant C-glycosides of sialic-acid strongly inhibit the in vitro infectivity of influenza-virus. J. Med. Chem. 1992, 35, 4501–4502. [Google Scholar] [CrossRef]
- Bertozzi, C.R.; Cook, D.G.; Gonzalezscarano, F.; Bednarski, M.D. Carbon-linked galactosphingolipid analogs bind specifically to Hiv-1 Gp120-applications for immunotargeting. J. Cell. Biochem. 1993, 382–382. [Google Scholar]
- Suhadolnik, R.J. Nucleoside Antibiotics; Wiley-Interscience: New York, NY, USA, 1970; p. 480. [Google Scholar]
- Bertozzi, C.; Bednarski, M. Synthesis of C-Glycosides: Stable Mimics of O-Glycosidic Linkages. In Modern Methods in Carbohydrate Synthesis; Harwood Academic Publishers: Amsterdam, Poland, 1996; pp. 316–351. [Google Scholar]
- Stick, R.V. The Synthesis of Novel Enzyme Inhibitors and Their Use in Defining the Active Sites of Glycan Hydrolases. In Topics in Current Chemistry-Glycoscience; Springer Verlag: Berlin, Heilderberg, Germany, 1997; pp. 187–213. [Google Scholar]
- Weatherman, R.V.; Mortell, K.I.; Chervenak, M.; Kiessling, L.L.; Toone, E.J. Specificity of C-glycoside complexation by mannose glucose specific lectins. Biochemistry 1996, 35, 3619–3624. [Google Scholar]
- Sutherlin, D.P.; Stark, T.M.; Hughes, R.; Armstrong, R.W. Generation of C-glycoside peptide ligands for cell surface carbohydrate receptors using a four-component condensation on solid support. J. Org. Chem. 1996, 61, 8350–8354. [Google Scholar]
- Garcia, I.G.; Stevenson, C.E.M.; Uson, I.; Meyers, C.L.F.; Walsh, C.T.; Lawson, D.M. The crystal structure of the novobiocin biosynthetic enzyme novp: The first representative structure for the TylF O-methyltransferase superfamily. J. Mol. Biol. 2010, 395, 390–407. [Google Scholar] [CrossRef]
- Osman, H.; Larsen, D.S.; Simpson, J. Synthesis of orthogonally protected d-olivoside, 1,3-di-O-acetyl-4-O-benzyl-2,6-dideoxy-d-arabinopyranose, as a C-glycosyl donor. Tetrahedron 2009, 65, 4092–4098. [Google Scholar]
- Wang, J.H.; Li, J.; Czyryca, P.G.; Chang, H.W.; Kao, J.; Chang, C.W.T. Synthesis of an unusual branched-chain sugar, 5-C-methyl-l-idopyranose for SAR studies of pyranmycins: Implication for the future design of aminoglycoside antibiotics. Bioorg. Med. Chem. Lett. 2004, 14, 4389–4393. [Google Scholar] [CrossRef]
- Ilas, J.; Anderluh, P.S.; Dolenc, M.S.; Kikelj, D. Recent advances in the synthesis of 2H-1,4-benzoxazin-3-(4H)-ones and 3,4-dihydro-2H-1,4-benzoxazines. Tetrahedron 2005, 61, 7325–7348. [Google Scholar] [CrossRef]
- Allen, C.F.H.; Gates, J.W. Ortho-normal-butoxynitrobenzene-ether, butyl ortho-nitrophenyl. Org. Synth. 1945, 25, 9–11. [Google Scholar] [CrossRef]
- Batcho, A.D.; Leimgruber, W. Indoles from 2-methylnitrobenzenes by condensation with formamide acetals followed by reduction: 4-Benzyloxyindole [1H-indole, 4-(phenylmethoxy)-]. Org. Synth. 1985. [Google Scholar] [CrossRef]
- McKillop, A.; Fiaud, J.C.; Hug, R.P. Use of phase-transfer catalysis for synthesis of phenol ethers. Tetrahedron 1974, 30, 1379–1382. [Google Scholar] [CrossRef]
- Vogel, A.I.; Tatchell, A.R.; Furnis, B.S.; Hannaford, A.J.; Smith, P.W.G. Vogel’s Textbook of Practical Organic Chemistry, 5th ed.; Longman Scientific & Technical: Essex, UK, 2006. [Google Scholar]
- Orsini, F.; Pelizzoni, F. Synthesis of C-glycosyl compounds-the reaction of acetylated glycals with tert-butoxycarbonylmethylzinc bromide. Carbohydr. Res. 1993, 243, 183–189. [Google Scholar] [CrossRef]
- Pearce, A.J.; Ramaya, S.; Thorn, S.N.; Bloomberg, G.B.; Walter, D.S.; Gallagher, T. C-glycosyl tyrosines. Synthesis and incorporation into C-glycopeptides. J. Org. Chem. 1999, 64, 5453–5462. [Google Scholar] [CrossRef]
- Cook, M.J.; Fletcher, M.J.E.; Gray, D.; Lovell, P.J.; Gallagher, T. Highly stereoselective addition of organozinc reagents to pentopyranose derived glycals: Effect of protecting group and assignment of C-glycoside stereochemistry. Tetrahedron 2004, 60, 5085–5092. [Google Scholar] [CrossRef]
- Szeja, W.; Puchałka, J.; Swierk, P.; Hendrich, A.B.; Grynkiewicz, G. Selective alkylation of genistein and daidzein. Chem. Biol. Interface 2013, 3, 95–106. [Google Scholar]
- Cobas, C.; Domínguez, S.; Larin, N.; Iglesias, I.; Geada, C.; Seoane, F.; uxa Sordo, M.; Monje, P.; Fraga, S.; Cobas, R.; et al. Program MestReNova, version 8.1.4–12489 ed; Mestrelab Research S.L: Santiago de Compostela, Spain, 2013. [Google Scholar]
- Hashimoto, K.; Nakajima, Y.; Matsumura, S.; Chatani, F. An in vitro micronucleus assay with size-classified micronucleus counting to discriminate aneugens from clastogens. Toxicol. In Vitro 2010, 24, 208–216. [Google Scholar] [CrossRef]
- Grynkiewicz, G.; Zegrocka-Stendel, O.; Pucko, W.; Ramza, J.; Koscielecka, A.; Kolodziejski, W.; Wozniak, K. X-ray and 13C CP MAS investigations of structure of two genistein derivatives. J. Mol. Struct. 2004, 694, 121–129. [Google Scholar] [CrossRef]
- Yadav, J.S.; Reddy, B.V.S.; Chand, P.K. Sc(OTf)(3)-catalyzed C-glycosidation of glycals: A facile synthesis of allyl glycosides, glycosyl cyanides and glycosyl azides. Tetrahedron Lett. 2001, 42, 4057–4059. [Google Scholar] [CrossRef]
- Ansari, A.A.; Lahiri, R.; Vankar, Y.D. The carbon-Ferrier rearrangement: An approach towards the synthesis of C-glycosides. ARKIVOC 2013, ii, 316–362. [Google Scholar] [CrossRef]
- Sample Availability: Samples of the compounds 15a–17a, 15b–17b are available from the authors.
© 2014 by the authors. licensee MDPI, Basel, Switzerland. This article is an open access article distributed under the terms and conditions of the Creative Commons Attribution license ( http://creativecommons.org/licenses/by/3.0/).