A One-Step Microwave-Assisted Synthetic Method for an O/S-Chemoselective Route to Derivatives of the First Adenosine A3 PET Radiotracer
Abstract
:1. Introduction

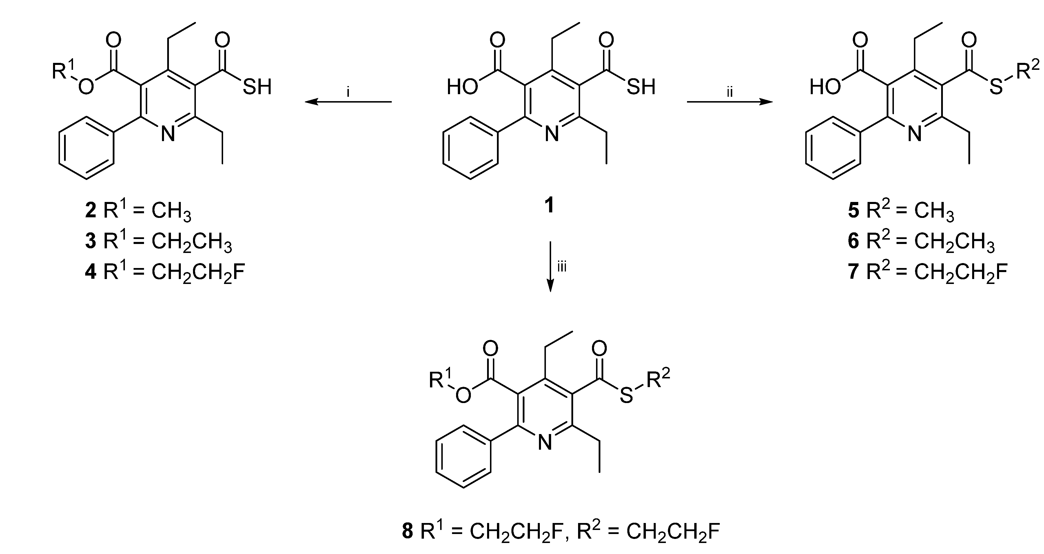
2. Results and Discussion

3. Experimental
3.1. General Information
3.2. General Procedure for the Synthesis of Compounds 2–4
3.3. Alternative Method for the Synthesis of 2,4-Diethyl-5-(methoxycarbonyl)-6-phenylpyridine-3-carbothioic S-acid (2)
3.4. General Procedure for the Synthesis of Compounds 5‒7
3.5. Synthesis of 2-Fluoroethyl 4,6-Diethyl-5-{[(2-fluoroethyl)sulfanyl]carbonyl}-2-phenylpyridine-3-carboxylate (8)
4. Conclusions
Supplementary Materials
Acknowledgments
Conflicts of Interest
References
- Fredholm, B.B.; IJzerman, A.P.; Jacobson, K.A.; Klotz, K.N.; Linden, J. International union of pharmacology. XXV. nomenclature and classification of adenosine receptors. Pharmacol. Rev. 2001, 53, 527–552. [Google Scholar]
- Fishman, P.; Bar-Yehuda, S.; Madi, L.; Cohn, I. Review A3 adenosine receptor as a target for cancer therapy. Anticancer Drugs 2002, 13, 437–443. [Google Scholar] [CrossRef]
- Madi, L.; Ochaion, A.; Rath-Wolfson, L.; Bar-Yehuda, S.; Erlanger, A.; Ohana, G.; Harish, A.; Merimski, O.; Barer, F.; Fishman, P. The A3 adenosine receptor is highly expressed in tumor vs. normal cells: Potential target for tumor growth inhibition. Clin. Cancer Res. 2004, 10, 4472–4479. [Google Scholar] [CrossRef]
- Li, A.H.; Moro, S.; Forsyth, N.; Melman, N.; Ji, X.D.; Jacobson, K.A. Synthesis, CoMFA analysis, and receptor docking of 3,5-diacyl-2,4-dialkylpyridine derivatives as selective A3 adenosine receptor antagonists. J. Med. Chem. 1999, 42, 706–721. [Google Scholar] [CrossRef]
- Wadsak, W.; Mien, L.K.; Shanab, K.; Ettlinger, D.E.; Haeusler, D.; Sindelar, K.; Lanzenberger, R.R.; Spreitzer, H.; Viernstein, H.; Keppler, B.K.; et al. Preparation and first evaluation of [(18)F]FE@SUPPY: A new PET tracer for the adenosine A(3) receptor. Nucl. Med. Biol. 2008, 35, 61–66. [Google Scholar] [CrossRef]
- Mitterhauser, M.; Haeusler, D.; Mien, L.K.; Ungersboeck, J.; Nics, L.; Lanzenberger, R.R.; Sindelar, K.; Viernstein, H.; Dudczak, R.; Kletter, K.; et al. Automatisation and first evaluation of [18F]FE@SUPPY: 2, an alternative PET-Tracer for the adenosine A3 receptor: A comparison with [18F]FE@SUPPY. Open Nucl. Med. J. 2009, 1, 15–23. [Google Scholar] [CrossRef]
- Haeusler, D.; Nics, L.; Mien, L.-K.; Ungersboeck, J.; Lanzenberger, R.R.; Shanab, K.; Spreitzer, H.; Sindelar, K.M.; Viernstein, H.; Wagner, K.H.; et al. Mitterhauser, [18F]FE@SUPPY and [18F]FE@SUPPY: 2--metabolic considerations. Nucl. Med. Biol. 2010, 37, 421–426. [Google Scholar] [CrossRef]
- Shanab, K.; Wadsak, W.; Mien, L.K.; Mitterhauser, M.; Holzer, W.; Polster, V.; Viernstein, H.; Spreitzer, H. Synthesis of in vivo metabolites of the new adenosine A3 receptor pet-radiotracer [18F]FE@SUPPY. Heterocycles 2008, 75, 339–356. [Google Scholar] [CrossRef]
- Sample Availability: Samples of compound 1 is available from the authors.
© 2014 by the authors. Licensee MDPI, Basel, Switzerland. This article is an open access article distributed under the terms and conditions of the Creative Commons Attribution license ( http://creativecommons.org/licenses/by/3.0/).
Share and Cite
Shanab, K.; Neudorfer, C.; Holzer, W.; Mitterhauser, M.; Wadsak, W.; Spreitzer, H. A One-Step Microwave-Assisted Synthetic Method for an O/S-Chemoselective Route to Derivatives of the First Adenosine A3 PET Radiotracer. Molecules 2014, 19, 4076-4082. https://doi.org/10.3390/molecules19044076
Shanab K, Neudorfer C, Holzer W, Mitterhauser M, Wadsak W, Spreitzer H. A One-Step Microwave-Assisted Synthetic Method for an O/S-Chemoselective Route to Derivatives of the First Adenosine A3 PET Radiotracer. Molecules. 2014; 19(4):4076-4082. https://doi.org/10.3390/molecules19044076
Chicago/Turabian StyleShanab, Karem, Catharina Neudorfer, Wolfgang Holzer, Markus Mitterhauser, Wolfgang Wadsak, and Helmut Spreitzer. 2014. "A One-Step Microwave-Assisted Synthetic Method for an O/S-Chemoselective Route to Derivatives of the First Adenosine A3 PET Radiotracer" Molecules 19, no. 4: 4076-4082. https://doi.org/10.3390/molecules19044076
APA StyleShanab, K., Neudorfer, C., Holzer, W., Mitterhauser, M., Wadsak, W., & Spreitzer, H. (2014). A One-Step Microwave-Assisted Synthetic Method for an O/S-Chemoselective Route to Derivatives of the First Adenosine A3 PET Radiotracer. Molecules, 19(4), 4076-4082. https://doi.org/10.3390/molecules19044076

