Correlation between Inflammatory Markers of Atherosclerosis and Carotid Intima-Media Thickness in Obstructive Sleep Apnea
Abstract
:1. Introduction
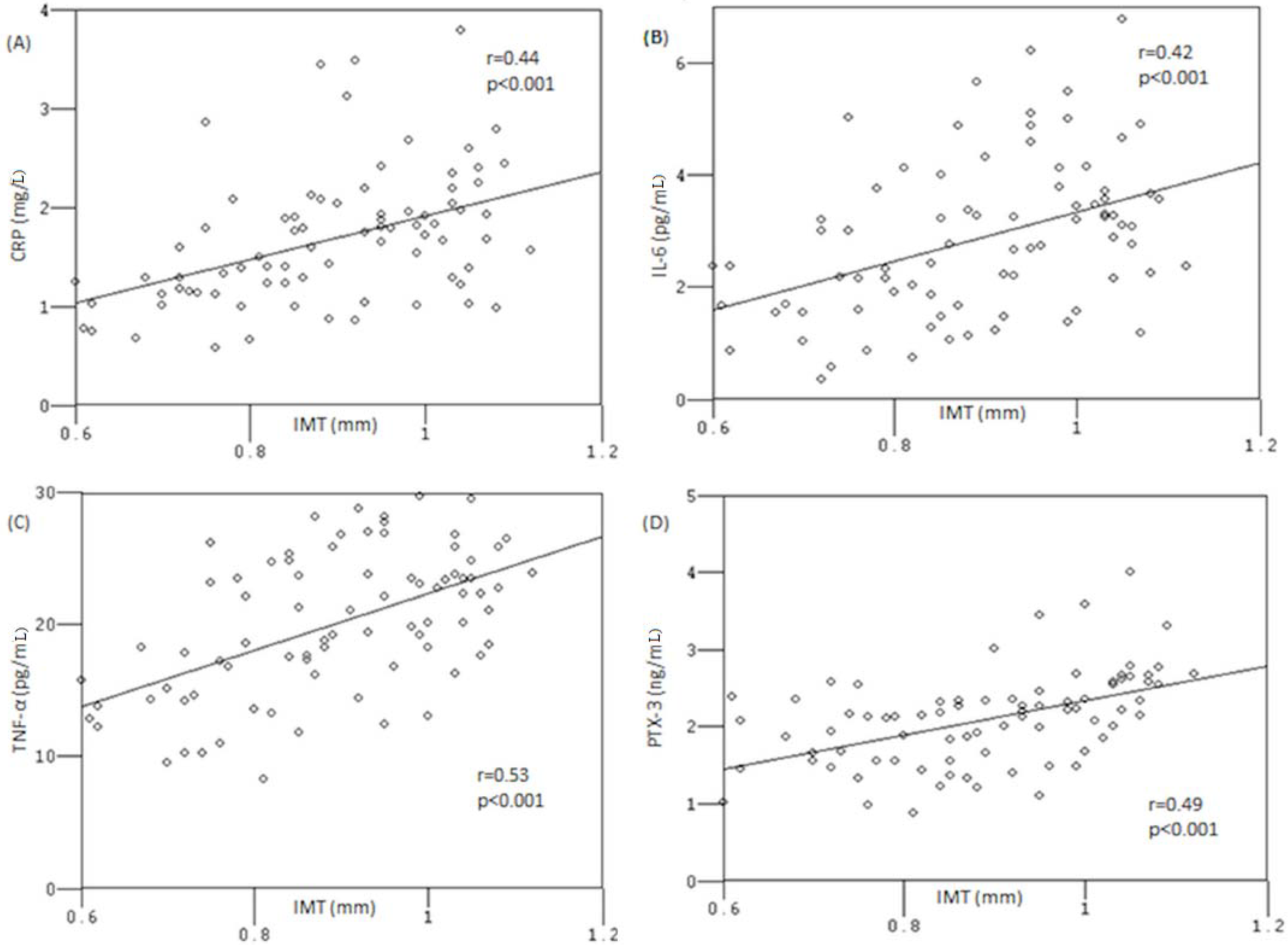
2. Results
| Controls | Mild OSA | Moderate-Severe OSA | |
|---|---|---|---|
| Number | 40 | 26 | 54 |
| Sex (male/female) | 34/6 | 23/3 | 45/9 |
| Age (years) | 52.27 ± 10.52 | 53.65 ± 11.47 | 52.33 ± 10.19 |
| BMI (kg/m2) | 28.24 ± 2.7 | 28.13 ± 3.04 | 28.8 ± 3.03 |
| Neck-circumference (cm) | 40.12 ± 2.91 | 40.03 ± 3.07 | 40.61 ± 3.41 |
| Blood pressure (mmHg) | |||
| - Systolic | 124.37 ± 11.21 | 124.61 ± 10.94 | 127.59 ± 10.12 |
| - Diastolic | 78.62 ± 9.53 | 77.3 ± 9.92 | 80.18 ± 9.8 |
| Heart rate (bpm) | 72.3 ± 10.65 | 73.84 ± 11.04 | 73.03 ± 10.8 |
| ESS | 6.72 ± 4.03 | 10.03 ± 4.16 a | 11.25 ± 4.81 c |
| AHI (events/h) | 2.11 ± 1.14 | 10.55 ± 3.14 a | 45.13 ± 16.08 b,c |
| TST90 (%) | 0.04 ± 0.08 | 4.81 ± 5.24 a | 29.17 ± 13.32 b,c |
| Mean SaO2 (%) | 94.55 ± 2.05 | 91.92 ± 1.71 a | 89.25 ± 2.78 b,c |
| SaO2 nadir (%) | 88.1 ± 4.21 | 81.8 ± 6.54 a | 74.35 ± 9.15 b,c |
| Controls | Mild OSA | Moderate-severe OSA | |
|---|---|---|---|
| CRP, mg/L | 1.08 ± 0.53 | 1.32 ± 0.48 | 1.84 ± 0.67 a,b |
| IL-6, pg/mL | 1.5 ± 0.67 | 1.89 ± 0.88 | 3.33 ± 1.35 a,b |
| TNF-α, pg/mL | 12.53 ± 3.48 | 14.42 ± 3.29 | 22.83 ± 3.85 a,b |
| PTX-3, ng/mL | 1.45 ± 0.41 | 1.66 ± 0.46 | 2.31 ± 0.53 a,b |
| Β-coefficient | Standard Deviation | p | |
|---|---|---|---|
| hsCRP, mg/L | −0.234 | 0.107 | 0.031 |
| IL-6, pg/mL | 0.130 | 0.099 | 0.194 |
| TNF-α, pg/mL | 0.027 | 0.013 | 0.041 |
| PTX-3, ng/mL | 0.863 | 0.047 | 0.000 |
3. Discussion

4. Experimental
4.1. Patients and Study Design
4.2. Portable Monitoring
4.3. Carotid IMT Assessment
4.4. Measurement of Inflammatory Markers
4.5. Statistical Analysis
5. Conclusions
Conflicts of Interest
References
- Olson, L.G.; King, M.T.; Hensley, M.J.; Saunders, N.A. A community study of snoring and sleep-disordered breathing. Prevalence. Am. J. Respir. Crit. Care Med. 1995, 152, 711–716. [Google Scholar] [CrossRef]
- Young, T.; Palta, M.; Dempsey, J.; Skatrud, J.; Weber, S.; Badr, S. The occurrence of sleep-disordered breathing among middle-aged adults. N. Engl. J. Med. 1993, 328, 1230–1235. [Google Scholar] [CrossRef]
- Patil, S.P.; Schneider, H.; Schwartz, A.R.; Smith, P.L. Adult obstructive sleep apnea: Pathophysiology and diagnosis. Chest 2007, 132, 325–337. [Google Scholar] [CrossRef]
- Remmers, J.E.; deGroot, W.J.; Sauerland, E.K.; Anch, A.M. Pathogenesis of upper airway occlusion during sleep. J. Appl. Physiol. 1978, 44, 931–938. [Google Scholar]
- Punjabi, N.M.; Bandeen-Roche, K.; Marx, J.J.; Neubauer, D.N.; Smith, P.L.; Schwartz, A.R. The association between daytime sleepiness and sleep-disordered breathing in NREM and REM sleep. Sleep 2002, 25, 307–314. [Google Scholar]
- Punjabi, N.M.; O’Hearn, D.J.; Neubauer, D.N.; Nieto, F.J.; Schwartz, A.R.; Smith, P.L.; Bandeen-Roche, K. Modeling hypersomnolence in sleep-disordered breathing. A novel approach using survival analysis. Am. J. Respir. Crit. Care Med. 1999, 159, 1703–1709. [Google Scholar] [CrossRef]
- Lawrence, J.E.; David, K.; Patrick, J.S., Jr.; Norman, F.; Atul, M.; Susheel, P.P.; Kannan, R.; Robert, R.; Richard, J.S.; Edward, M.W.; et al. Clinical guideline for the evaluation, management and long-term care of obstructive sleep apnea in adults. J. Clin. Sleep Med. 2009, 5, 263–276. [Google Scholar]
- Dempsey, J.A.; Veasey, S.C.; Morgan, B.J.; O’Donnell, C.P. Pathophysiology of sleep apnea. Physiol. Rev. 2010, 90, 47–112. [Google Scholar] [CrossRef]
- Drager, L.F.; Togeiro, S.M.; Polotsky, V.Y.; Lorenzi-Filho, G. Obstructive sleep apnea: A cardiometabolic risk in obesity and the metabolic syndrome. J. Am. Coll. Cardiol. 2013, 62, 569–576. [Google Scholar] [CrossRef]
- O’Leary, D.H.; Polak, J.F. Intima-media thickness: A tool for atherosclerosis imaging and event prediction. Am. J. Cardiol. 2002, 90, 18–21. [Google Scholar] [CrossRef]
- O’Leary, D.H.; Polak, J.F.; Kronmal, R.A.; Manolio, T.A.; Burke, G.L.; Wolfson, S.K., Jr. Carotid-artery intima and media thickness as a risk factor for myocardial infarction and stroke in older adults. Cardiovascular Health Study Collaborative Research Group. N. Engl. J. Med. 1999, 340, 14–22. [Google Scholar] [CrossRef]
- Hodis, H.N.; Mack, W.J.; LaBree, L.; Selzer, R.H.; Liu, C.R.; Liu, C.H.; Azen, S.P. The role of carotid arterial intima-media thickness in predicting clinical coronary events. Ann. Intern. Med. 1998, 128, 262–269. [Google Scholar] [CrossRef]
- Cao, J.J.; Thach, C.; Manolio, T.A.; Psaty, B.M.; Kuller, L.H.; Chaves, P.H.; Polak, J.F.; Sutton-Tyrrell, K.; Herrington, D.M.; Price, T.R.; et al. C-Reactive protein, carotid intima-media thickness, and incidence of ischemic stroke in the elderly: The Cardiovascular Health Study. Circulation 2003, 108, 166–170. [Google Scholar] [CrossRef]
- Magyar, M.T.; Szikszai, Z.; Balla, J.; Valikovics, A.; Kappelmayer, J.; Imre, S.; Balla, G.; Jeney, V.; Csiba, L.; Bereczki, D. Early-onset carotid atherosclerosis is associated with increased intima-media thickness and elevated serum levels of inflammatory markers. Stroke 2003, 34, 58–63. [Google Scholar] [CrossRef]
- Silvestrini, M.; Rizzato, B.; Placidi, F.; Baruffaldi, R.; Bianconi, A.; Diomedi, M. Carotid artery wall thickness in patients with obstructive sleep apnea syndrome. Stroke 2002, 33, 1782–1785. [Google Scholar] [CrossRef]
- Schulz, R.; Seeger, W.; Fegbeutel, C.; Husken, H.; Bodeker, R.H.; Tillmanns, H.; Grebe, M. Changes in extracranial arteries in obstructive sleep apnea. Eur. Respir. J. 2005, 25, 69–74. [Google Scholar] [CrossRef]
- Suzuki, T.; Nakano, H.; Maekawa, J.; Okamoto, Y.; Ohnishi, Y.; Yamauchi, M.; Kimura, H. Obstructive sleep apnea and carotid-artery intima-media thickness. Sleep 2004, 27, 129–133. [Google Scholar]
- Kaynak, D.; Goksan, B.; Kaynak, H.; Degirmenci, N.; Daglioglu, S. Is therea link between the severity of sleep-disordered breathing and atherosclerotic disease of the carotid arteries? Eur. J. Neurol. 2003, 10, 487–493. [Google Scholar] [CrossRef]
- Drager, L.F.; Bortolotto, L.A.; Lorenzi, M.C.; Figueiredo, A.C.; Krieger, E.M.; Lorenzi-Filho, G. Early signs of atherosclerosis in obstructive sleep apnea. Am. J. Respir. Crit. Care Med. 2005, 172, 613–618. [Google Scholar] [CrossRef]
- Baguet, J.P.; Hammer, L.; Lévy, P.; Pierre, H.; Launois, S.; Mallion, J.M.; Pépin, J.L. The severity of oxygen desaturation is predictive of carotid wall thickening and plaque occurrence. Chest 2005, 128, 3407–3412. [Google Scholar] [CrossRef]
- Ciccone, M.M.; Scicchitano, P.; Mitacchione, G.; Zito, A.; Gesualdo, M.; Caputo, P.; Damiani, M.F.; Sassara, M.; Favale, S.; Resta, O.; et al. Is there a correlation between OSAS duration/severity and carotid intima-media thickness? Respir. Med. 2012, 106, 740–746. [Google Scholar] [CrossRef]
- Ryan, S.; Taylor, C.T.; McNicholas, W.T. Selective activation of inflammatory pathways by intermittent hypoxia in obstructive sleep apnea syndrome. Circulation 2005, 112, 2660–2667. [Google Scholar] [CrossRef]
- Burke, A.P.; Tracy, R.P.; Kolodgie, F.; Malcom, G.T.; Zieske, A.; Kutys, R.; Pestaner, J.; Smialek, J.; Virmani, R. Elevated C-reactive protein values and atherosclerosis in sudden coronary death: Association with different pathologies. Circulation 2002, 105, 2019–2023. [Google Scholar] [CrossRef]
- Ridker, P.M.; Rifai, N.; Stampfer, M.J.; Hennekens, C.H. Plasma concentration of interleukin-6 and the risk of future myocardial infarction among apparently healthy men. Circulation 2000, 101, 1767–1772. [Google Scholar] [CrossRef]
- Ridker, P.M.; Rifai, N.; Pfeffer, M.; Sacks, F.; Lepage, S.; Braunwald, E. Elevation of tumor necrosis factor-α and increased risk of recurrent coronary events after myocardial infarction. Circulation 2000, 101, 2149–2153. [Google Scholar] [CrossRef]
- Klouche, M.; Peri, G.; Knabbe, C.; Eckstein, H.H.; Schmid, F.X.; Schmitz, G.; Mantovani, A. Modified atherogenic lipoproteins induce expression of pentraxin-3 by human vascular smooth muscle cells. Atherosclerosis 2004, 175, 221–228. [Google Scholar] [CrossRef]
- Vgontzas, A.N.; Papanicolaou, D.A.; Bixler, E.O.; Kales, A.; Tyson, K.; Chrousos, G.P. Elevation of plasma cytokines in disorders of excessive daytime sleepiness: Role of sleep disturbance and obesity. J. Clin. Endocrinol. Metab. 1997, 82, 1313–1316. [Google Scholar] [CrossRef]
- Shamsuzzaman, A.S.; Winnicki, M.; Lanfranchi, P.; Wolk, R.; Kara, T.; Accurso, V.; Somers, V.K. Elevated C-reactive protein in patients with obstructive sleep apnea. Circulation 2002, 105, 2462–2464. [Google Scholar] [CrossRef]
- Kasai, T.; Inoue, K.; Kumagai, T.; Kato, M.; Kawana, F.; Sagara, M.; Ishiwata, S.; Ohno, M.; Yamaguchi, T.; Momomura, S.; et al. Plasma pentraxin3 and arterial stiffness in men with obstructive sleep apnea. Am. J. Hypertens. 2011, 24, 401–407. [Google Scholar] [CrossRef]
- Kraiczi, H.; Caidahl, K.; Samuelsson, A.; Peker, Y.; Hedner, J. Impairment of vascular endothelial function and left ventricular filling: Association with the severity of apnea-induced hypoxemia during sleep. Chest 2001, 119, 1085–1091. [Google Scholar] [CrossRef]
- Damiani, M.F.; Carratù, P.; Quaranta, V.N.; Resta, O. Influence of obstructive sleep apnea on endothelial function in obese patients. Chest 2012, 141, 1639. [Google Scholar] [CrossRef]
- Ciccone, M.M.; Favale, S.; Scicchitano, P.; Mangini, F.; Mitacchione, G.; Gadaleta, F.; Longo, D.; Iacoviello, M.; Forleo, C.; Quistelli, G.; et al. Reversibility of the endothelial dysfunction after CPAP therapy in OSAS patients. Int. J. Cardiol. 2012, 158, 383–386. [Google Scholar] [CrossRef]
- Altin, R.; Ozdemir, H.; Mahmutyazicioğlu, K.; Kart, L.; Uzun, L.; Ozer, T.; Savranlar, A.; Aydin, M. Evaluation of carotid artery wall thickness with high-resolution sonography in obstructive sleep apnea syndrome. J. Clin. Ultrasound 2005, 33, 80–86. [Google Scholar] [CrossRef]
- Atkeson, A.; Jelic, S. Mechanisms of endothelialdysfunction in obstructive sleep apnea. Vasc. Health Risk Manag. 2008, 4, 1327–1335. [Google Scholar]
- Glass, C.K.; Witztum, J.L. Atherosclerosis: The road ahead. Cell 2001, 104, 503–516. [Google Scholar] [CrossRef]
- Ridker, P.M. High-sensitivity C-reactive protein: Potential adjunct for global risk assessment in the primary prevention of cardiovascular disease. Circulation 2001, 103, 1813–1818. [Google Scholar] [CrossRef]
- Haverkate, F.; Thompson, S.G.; Pyke, S.D.; Gallimore, J.R.; Pepys, M.B. Production of C-reactive protein and risk of coronary events in stable and unstable angina. European Concerted Action on Thrombosis and Disabilities Angina Pectoris Study Group. Lancet 1997, 349, 462–426. [Google Scholar] [CrossRef]
- Minoguchi, K.; Yokoe, T.; Tazaki, T.; Minoguchi, H.; Tanaka, A.; Oda, N.; Okada, S.; Ohta, S.; Naito, H.; Adachi, M. Increased carotid intima-media thickness and serum inflammatory markers in obstructive sleep apnea. Am. J. Respir. Crit. Care Med. 2005, 172, 625–630. [Google Scholar] [CrossRef]
- Torzewski, M.; Rist, C.; Mortensen, R.F.; Zwaka, T.P.; Bienek, M.; Waltenberger, J.; Koenig, W.; Schmitz, G.; Hombach, V.; Torzewski, J. C-reactive protein in the arterial intima: Role of C-reactive protein receptor-dependent monocyte recruitment in atherogenesis. Arterioscler Thromb. Vasc. Biol. 2000, 20, 2094–2099. [Google Scholar] [CrossRef]
- Lagrand, W.K.; Visser, C.A.; Hermens, W.T.; Niessen, H.W.; Verheugt, F.W.; Wolbink, G.J.; Hack, C.E. C-reactive protein as a cardiovascular risk factor: More than an epiphenomenon? Circulation 1999, 100, 96–102. [Google Scholar] [CrossRef]
- Pasceri, V.; Willerson, J.T.; Yeh, E.T. Direct proinflammatory effect of C-reactive protein on human endothelial cells. Circulation 2000, 102, 2165–2168. [Google Scholar] [CrossRef]
- Zwaka, T.P.; Hombach, V.; Torzewski, J. C-reactive protein-mediated lowdensity lipoprotein uptake by macrophages: Implications for atherosclerosis. Circulation 2001, 103, 1194–1197. [Google Scholar] [CrossRef]
- Yudkin, J.S.; Kumari, M.; Humphries, S.E.; Mohamed-Ali, V. Inflammation, obesity, stress and coronary heart disease: Is interleukin-6 the link? Atherosclerosis 2000, 148, 209–214. [Google Scholar] [CrossRef]
- Lyon, C.J.; Law, R.E.; Hsueh, W.A. Minireview: Adiposity, inflammation, and atherogenesis. Endocrinology 2003, 144, 2195–2200. [Google Scholar] [CrossRef]
- Morishita, T.; Uzui, H.; Nakano, A.; Mitsuke, Y.; Geshi, T.; Ueda, T.; Lee, J.D. Number of endothelial progenitor cells in peripheral artery disease as a marker of severity and association with pentraxin-3, malondialdehyde-modified low-density lipoprotein and membrane type-1 matrix metalloproteinase. J. Atheroscler Thromb. 2012, 19, 149–158. [Google Scholar] [CrossRef]
- Mallat, Z.; Tedgui, A. HDL, PTX3, and vascular protection. Arterioscler Thromb. Vasc. Biol. 2008, 28, 809–811. [Google Scholar] [CrossRef]
- Latini, R.; Maggioni, A.P.; Peri, G.; Gonzini, L.; Lucci, D.; Mocarelli, P.; Vago, L.; Pasqualini, F.; Signorini, S.; Soldateschi, D.; et al. Prognostic significance of the long pentraxin PTX3 in acute myocardial infarction. Circulation 2004, 110, 2349–2354. [Google Scholar] [CrossRef]
- Napoleone, E.; di Santo, A.; Bastone, A.; Peri, G.; Mantovani, A.; de Gaetano, G.; Donati, M.B.; Lorenzet, R. Long pentraxin PTX3 upregulates tissue factor expression in human endothelial cells: A novel link between vascular inflammation and clotting activation. Arterioscler Thromb. Vasc. Biol. 2002, 22, 782–787. [Google Scholar] [CrossRef]
- Rolph, M.S.; Zimmer, S.; Bottazzi, B.; Garlanda, C.; Mantovani, A.; Hansson, G.K. Production of the long pentraxin PTX3 in advanced atherosclerotic plaques. Arterioscler Thromb. Vasc. Biol. 2002, 22, e10–e14. [Google Scholar] [CrossRef]
- Nauta, A.J.; Bottazzi, B.; Mantovani, A.; Salvatori, G.; Kishore, U.; Schwaeble, W.J.; Gingras, A.R.; Tzima, S.; Vivanco, F.; Egido, J.; et al. Biochemical and functional characterization of the interaction between pentraxin 3 and C1q. Eur. J. Immunol. 2003, 33, 465–473. [Google Scholar] [CrossRef]
- Ait-Oufella, H.; Kinugawa, K.; Zoll, J.; Simon, T.; Boddaert, J.; Heeneman, S.; Blanc-Brude, O.; Barateau, V.; Potteaux, S.; Merval, R.; et al. Lactadherin deficiency leads to apoptotic cell accumulation and accelerated atherosclerosis in mice. Circulation 2007, 115, 2168–2177. [Google Scholar] [CrossRef]
- Iber, C.; Ancoli-Israel, S.; Chesson, A.; Quan, S.F. The AASM Manual for the Scoring of Sleep and Associated Events: Rules, Terminology and Technical Specifications; American Academy of Sleep Medicine: Westchester, IL, USA, 2007. [Google Scholar]
- Patruno, V.; Bosi, M.; Sanna, A.; Fanfulla, F.; Braghiroli, A.; Insalaco, G. Indices for the instrumental diagnosis of sleep apneas: Standardization of the calculation with polysomnography and cardiorespiratory monitoring. Rassegna di Patologiadell’ApparatoRespiratorio 2006, 21, 22–27. [Google Scholar]
- Touboul, P.J.; Hennerici, M.G.; Meairs, S.; Adams, H.; Amarenco, P.; Bornstein, N.; Csiba, L.; Desvarieux, M.; Ebrahim, S.; Fatar, M.; et al. Mannheim carotid intima-media thickness consensus (2004–2006). An update on behalf of the Advisory Board of the 3rd and 4th Watching the Risk Symposium, 13th and 15th European Stroke Conferences, Mannheim, Germany, 2004, and Brussels, Belgium, 2006. CerebrovascDis. 2007, 23, 75–80. [Google Scholar]
- Ciccone, M.M.; Balbarini, A.; Teresa Porcelli, M.; Santoro, D.; Cortese, F.; Scicchitano, P.; Favale, S.; Butitta, F.; de Pergola, G.; Gullace, G.; et al. Carotid artery intima-media thickness: Normal and percentile values in the Italian population (camp study). Eur. J. Cardiovasc. Prev. Rehabil. 2011, 18, 650–655. [Google Scholar] [CrossRef]
- Pignoli, P.; Tremoli, E.; Poli, A.; Oreste, P.; Paoletti, R. Intimal plus medial thickness of the arterial wall: A direct measurement with ultrasound imaging. Circulation 1986, 74, 1399–1406. [Google Scholar] [CrossRef]
- Sample Availability: Not available.
© 2014 by the authors. Licensee MDPI, Basel, Switzerland. This article is an open access article distributed under the terms and conditions of the Creative Commons Attribution license ( http://creativecommons.org/licenses/by/3.0/).
Share and Cite
Ciccone, M.M.; Scicchitano, P.; Zito, A.; Cortese, F.; Boninfante, B.; Falcone, V.A.; Quaranta, V.N.; Ventura, V.A.; Zucano, A.; Di Serio, F.; et al. Correlation between Inflammatory Markers of Atherosclerosis and Carotid Intima-Media Thickness in Obstructive Sleep Apnea. Molecules 2014, 19, 1651-1662. https://doi.org/10.3390/molecules19021651
Ciccone MM, Scicchitano P, Zito A, Cortese F, Boninfante B, Falcone VA, Quaranta VN, Ventura VA, Zucano A, Di Serio F, et al. Correlation between Inflammatory Markers of Atherosclerosis and Carotid Intima-Media Thickness in Obstructive Sleep Apnea. Molecules. 2014; 19(2):1651-1662. https://doi.org/10.3390/molecules19021651
Chicago/Turabian StyleCiccone, Marco Matteo, Pietro Scicchitano, Annapaola Zito, Francesca Cortese, Barbara Boninfante, Vito Antonio Falcone, Vitaliano Nicola Quaranta, Valentina Anna Ventura, Antonietta Zucano, Francesca Di Serio, and et al. 2014. "Correlation between Inflammatory Markers of Atherosclerosis and Carotid Intima-Media Thickness in Obstructive Sleep Apnea" Molecules 19, no. 2: 1651-1662. https://doi.org/10.3390/molecules19021651
APA StyleCiccone, M. M., Scicchitano, P., Zito, A., Cortese, F., Boninfante, B., Falcone, V. A., Quaranta, V. N., Ventura, V. A., Zucano, A., Di Serio, F., Damiani, M. F., & Resta, O. (2014). Correlation between Inflammatory Markers of Atherosclerosis and Carotid Intima-Media Thickness in Obstructive Sleep Apnea. Molecules, 19(2), 1651-1662. https://doi.org/10.3390/molecules19021651
