A Sensitive A3B Porphyrin Nanomaterial for CO2 Detection
Abstract
:1. Introduction
2. Results and Discussion

2.1. IR Spectrum of the A3B Porphyrin
2.2. 1H-NMR Spectrum of the Porphyrin (PyTDMeOPP)
2.3. UV-Vis Spectrum of Compound (PyTDMeOPP)

2.4. The Influence of the Acid Environment on UV-Vis Spectra

2.5. Excitation and Emission Spectra

2.6. Atomic Force Microscopy Studies


2.7. Preliminary Tests of Porphyrin (PyTDMeOPP) for CO2 Detection

2.8. Comparatively AFM Studies of the Porphyrin Morphology before and after CO2 Absorption


3. Experimental Section
3.1. Apparatus and Reagents
3.1.1. Spectroscopic Studies
3.1.2. Surface Imaging
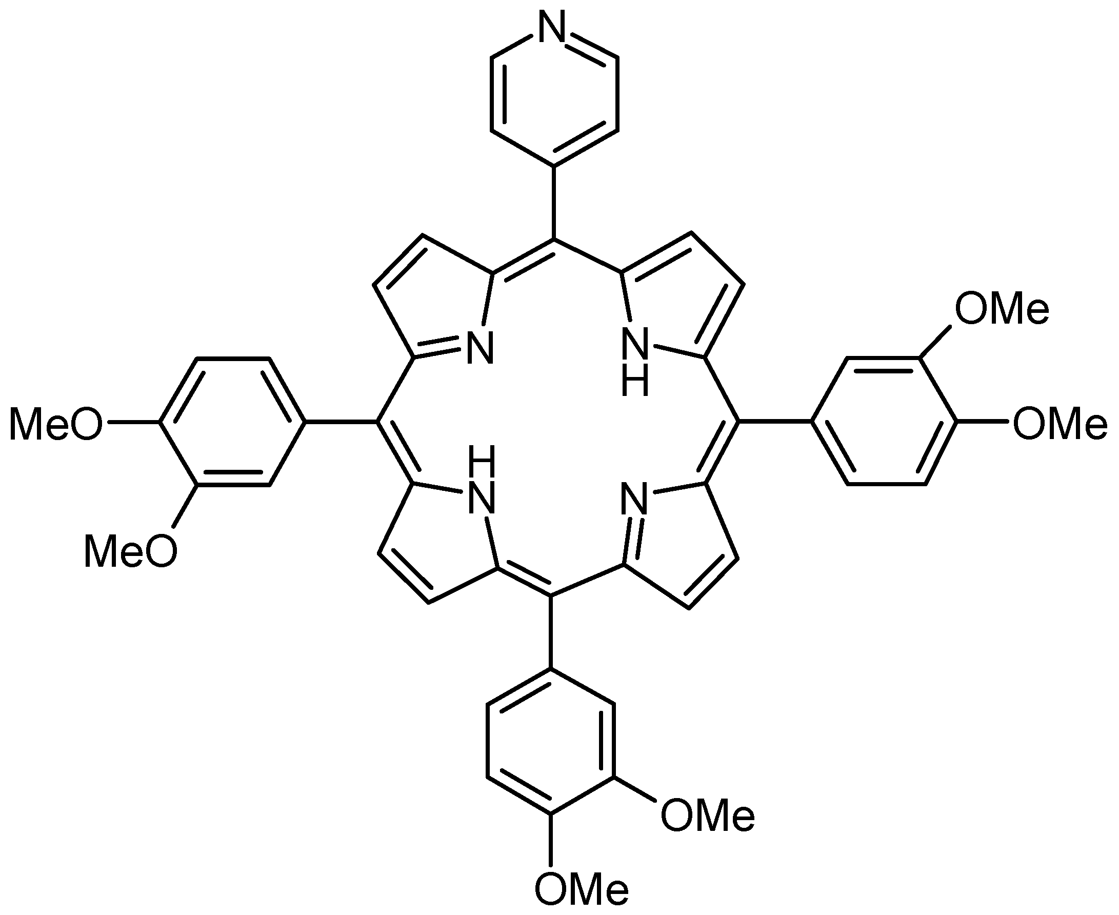
3.2. Method for Synthesis of 5-(4-Pyridyl)-10,15,20-tris-(3,4-dimethoxyphenyl)-porphyrin
3.3. Separation Procedure
3.4. The Main Characteristics of 5-(4-Pyridyl)-10,15,20-tris(3,4-dimethoxyphenyl)porphyrin
4. Conclusions
Acknowledgments
Author Contributions
Conflicts of Interest
References
- Amao, Y.; Nakamura, N. Optical CO2 sensor with the combination of colorimetric change of α-naphtholphthalein and internal reference fluorescent porphyrin dye. Sens. Actuators B 2004, 100, 347–351. [Google Scholar] [CrossRef]
- Amao, Y.; Komori, T.; Nishide, H. Rapid responsible optical CO2 sensor of the combination of colorimetric change of α-naphtholphthalein in poly(trimethylsiliylpropyne) layer and internal reference fluorescent porphyrin in polystyrene layer. React. Funct. Polym. 2005, 63, 35–41. [Google Scholar] [CrossRef]
- Amao, Y.; Komori, T. Optical CO2 sensor of the combination of colorimetric change of α-naphtholphthalein in poly(isobutyl methacrylate) and fluorescent porphyrin in polystyrene. Talanta 2005, 66, 976–981. [Google Scholar] [CrossRef] [PubMed]
- Amao, Y.; Nakamura, N. An optical sensor with the combination of colorimetric change of α-naphtholphthalein and internal reference luminescent dye for CO2 in water. Sens. Actuators B 2005, 107, 861–865. [Google Scholar] [CrossRef]
- Borchert, N.B.; Kerry, J.P.; Papkovsky, D.B. A CO2 sensor based on Pt-porphyrin dye and FRET scheme for food packaging applications. Sens. Actuators B 2013, 176, 157–165. [Google Scholar] [CrossRef]
- Perez de Vargas-Sansalvador, I.M.; Carvajal, M.A.; Roldán-Muñoz, O.; Banqueri, J.; Fernández-Ramos, M.; Capitán-Vallvey, L. Phosphorescent sensing of carbon dioxide based on secondary inner-filter quenching. Anal. Chim. Acta 2009, 655, 66–74. [Google Scholar]
- Carvajal, M.A.; Pérez de Vargas-Sansalvador, I.M.; Palma, A.J.; Fernández-Ramos, M.D.; Capitán-Vallvey, L.F. Hand-held optical instrument for CO2 in gas phase based on sensing film coating optoelectronic elements. Sens. Actuators B 2010, 144, 232–238. [Google Scholar] [CrossRef]
- Bevilaqua, R.C.A.; Zanella, I.; Fagan, S.B. Chlorophyll a and pheophytin a as gas sensors of CO2 and O2 molecules. Chem. Phys. Lett. 2010, 496, 310–315. [Google Scholar]
- Gu, C.; Sun, L.; Zhang, T.; Li, T. The design and characteristics of a porphyrin LB film ChemFET gas sensor. Thin Solid Films 1996, 284–285, 863–865. [Google Scholar] [CrossRef]
- Arnold, D.P.; Manno, D.; Micocci, G.; Serra, A.; Tepore, A.; Valli, L. Gas-sensing properties of porphyrin dimer Langmuir-Blodgett films. Thin Solid Films 1998, 327–329, 341–344. [Google Scholar] [CrossRef]
- Popescu, M.; Simandan, I.D.; Sava, F.; Velea, A.; Fagadar-Cosma, E. Sensor of nitrogen dioxide based on single wall carbon nanotubes and manganese-porphyrin. Dig. J. Nanomater. Biostructures 2011, 6, 1253–1256. [Google Scholar]
- Cristescu, R.; Popescu, C.; Popescu, A.C.; Grigorescu, S.; Mihailescu, I.N.; Ciucu, A.A.; Iordache, S.; Andronie, A.; Stamatin, I.; Fagadar-Cosma, E.; et al. MAPLE deposition of Mn(III) metalloporphyrin thin films: Structural, topographical and electrochemical investigations. Appl. Surf. Sci. 2011, 257, 5293–5297. [Google Scholar] [CrossRef]
- Sivalingam, Y.; Magna, G.; Pomarico, G.; Catini, A.; Martinelli, E.; Paolesse, R.; di Natale, C. The light enhanced gas selectivity of one-pot grown porphyrins coated ZnO nanorods. Sens. Actuators B 2013, 188, 475–481. [Google Scholar] [CrossRef]
- Li, Y.W.; Yao, J.H.; Liu, C.J.; Yang, J.W.; Yang, C.L. Theoretical investigation of the O2 adsorption effect in the electron transport of single Fe-porphyrin molecule. Phys. Lett. A 2009, 373, 3974–3977. [Google Scholar] [CrossRef]
- Baschir, L.; Fagadar-Cosma, E.; Creanga, I.; Palade, A.; Lascu, A.; Birdeanu, M.; Savastru, D.; Savu, V.; Antohe, S.; Velea, A.; et al. UV sensing effect in Langmuir-Blodgett complex films containing a novel synthesized Fe(III) porphyrin. Dig. J. Nanomater. Biostructures 2014, 9, 847–857. [Google Scholar]
- Tripathi, V.S.; Lakshminarayana, G.; Nogami, M. Optical oxygen sensors based on platinum porphyrin dyes encapsulated in ORMOSILS. Sens. Actuators B 2010, 147, 741–747. [Google Scholar] [CrossRef]
- Frankenberg, C.; O’Dell, C.; Berry, J.; Guanter, L.; Joiner, J.; Köhler, P.; Pollock, R.; Taylor, T.E. Prospects for chlorophyll fluorescence remote sensing from the Orbiting Carbon Observatory-2. Remote Sens. Environ. 2014, 147, 1–12. [Google Scholar] [CrossRef]
- Fagadar-Cosma, E.; Enache, C.; Vlascici, D.; Fagadar-Cosma, G.; Vasile, M.; Bazylak, G. Novel nanomaterials based on 5,10,15,20-tetrakis(3,4-dimethoxyphenyl)-21H,23H-porphyrin entrapped in silica matrices. Mater. Res. Bull. 2009, 44, 2186–2193. [Google Scholar] [CrossRef]
- Zakavi, S.; Gharab, N.G. Interaction of para-substituted meso-tetraphenylporphyrins and meso-tetra(n-propyl)porphyrin with weak and strong carboxylic acids: A UV-vis spectroscopic study. Polyhedron 2007, 26, 2425–2432. [Google Scholar] [CrossRef]
- McRae, E.G.; Kasha, M. The enhancement of phosphorescence ability upon aggregation of dye molecules. J. Chem. Phys. 1958, 28, 721–722. [Google Scholar] [CrossRef]
- Di Natale, C.; Monti, D.; Paolesse, R. Chemical sensitivity of porphyrin assemblies. Mater. Today 2010, 13, 46–52. [Google Scholar] [CrossRef]
- Mihailescu, G.; Olenic, L.; Garabagiu, S.; Blanita, G.; Fagadar-Cosma, E.; Biris, A. A coupling between plasmonic resonances in nanoparticles and porphyrins molecules. J. Nanosci. Nanotechnol. 2010, 10, 2527–2530. [Google Scholar] [CrossRef] [PubMed]
- Mohnani, S.; Bonifazi, D. Supramolecular architectures of porphyrins on surfaces: The structural evolution from 1D to 2D to 3D to devices. Coord. Chem. Rev. 2010, 254, 2342–2362. [Google Scholar] [CrossRef]
- Grama, S.; Hurduc, N.; Fagadar-Cosma, E.; Vasile, M.; Tarabukina, E.; Fagadar-Cosma, G. Novel porphyrin-based polysiloxane micromaterial. Dig. J. Nanomater. Biostructures 2010, 5, 959–973. [Google Scholar]
- Fagadar-Cosma, E.; Enache, C.; Fagadar-Cosma, G.; Savii, C. Design of hybrid nanomaterials based on silica-porphyrin. AFM characterization. J. Optoelectron. Adv. Mater. 2007, 9, 1878–1883. [Google Scholar]
- Cristescu, R.; Popescu, C.; Popescu, A.C.; Mihailescu, I.N.; Ciucu, A.A.; Andronie, A.; Iordache, S.; Stamatin, I.; Fagadar-Cosma, E.; Chrisey, D.B. Functional porphyrin thin films deposited by matrix assisted pulsed laser evaporation. Mater. Sci. Eng. B-Adv. 2010, 169, 106–110. [Google Scholar] [CrossRef]
- Teixeira, R.; Andrade, S.M.; Vaz Serra, V.; Paulo, P.M.R; Sánchez-Coronilla, A.; Neves, M.G.P.M.S.; Cavaleiro, J.A.S.; Costa, S.M.B. Reorganization of Self-Assembled Dipeptide Porphyrin J-Aggregates in Water–Ethanol Mixtures. J. Phys. Chem. B 2012, 116, 2396–2404. [Google Scholar] [CrossRef] [PubMed]
- Vaz Serra, V.; Andrade, S.M.; Neves, M.G.P.M.S.; Cavaleiro, J.A.S.; Costa, S.M.B. J-aggregate formation in bis-(4-carboxyphenyl)porphyrins in water: pH and counterion dependence. New J. Chem. 2010, 34, 2757–2765. [Google Scholar] [CrossRef]
- Lvova, L.; Mastroianni, M.; Pomarico, G.; Santonico, M.; Pennazza, G.; di Natale, C.; Paolesse, R.; D’Amico, A. Carbon nanotubes modified with porphyrin units for gaseous phase chemical sensing. Sens. Actuators B 2012, 170, 163–171. [Google Scholar] [CrossRef]
- Fagadar-Cosma, E.; Enache, C.; Dascalu, D.; Fagadar-Cosma, G.; Gavrila, R. FT-IR, fluorescence and electronic spectra for monitoring the aggregation process of tetra-pyridylporphyrine entrapped in silica matrices. Optoelectron. Adv. Mater. 2008, 2, 437–441. [Google Scholar]
- Adler, A.D.; Longo, F.R.; Goldmacher, J.; Assour, J.; Korsakoff, L. A simplified synthesis for meso-tetraphenylporphine. J. Org. Chem. 1967, 32, 476. [Google Scholar] [CrossRef]
- Lindsey, J.S.; Schreiman, I.C.; Hsu, H.C.; Kearney, P.C.; Marguerettaz, A.M. Rothemund and Adler-Longo reactions revisited: Synthesis of tetraphenylporphyrins under equilibrium conditions. J. Org. Chem. 1987, 52, 827–836. [Google Scholar] [CrossRef]
- Fazekas, M.; Pintea, M.; Senge, M.O.; Zawadzka, M. Synthetic strategies and porphyrin building blocks for unsymmetrical multichromophores. Tetrahedron Lett. 2008, 49, 2236–2239. [Google Scholar] [CrossRef]
- Marek, D.; Narra, M.; Schneider, A.; Swavey, S. Synthesis, characterization and electrode adsorption studies of porphyrins coordinated to ruthenium(II) polypyridyl complexes. Inorg. Chim. Acta 2006, 359, 789–799. [Google Scholar] [CrossRef]
- Lindsey, J.S. Self-assembly in synthetic routes to molecular devices. Biological principles and chemical perspectives: A review. New. J. Chem. 1991, 15, 153–180. [Google Scholar]
- Fagadar-Cosma, E.; Cseh, L.; Badea, V.; Fagadar-Cosma, G.; Vlascici, D. Combinatorial synthesis and characterization of new asymmetric porphyrins as potential photosensitizers in photodynamic therapy. Comb. Chem. High Throughput Screen. 2007, 10, 466–472. [Google Scholar] [CrossRef] [PubMed]
- Sample Availability: Sample of the compound 5-(4-pyridyl)-10,15,20-tris(3,4-dimethoxyphenyl)-porphyrin is available from the authors.
© 2014 by the authors. Licensee MDPI, Basel, Switzerland. This article is an open access article distributed under the terms and conditions of the Creative Commons Attribution license ( http://creativecommons.org/licenses/by/4.0/).
Share and Cite
Fagadar-Cosma, E.; Vlascici, D.; Fagadar-Cosma, G.; Palade, A.; Lascu, A.; Creanga, I.; Birdeanu, M.; Cristescu, R.; Cernica, I. A Sensitive A3B Porphyrin Nanomaterial for CO2 Detection. Molecules 2014, 19, 21239-21252. https://doi.org/10.3390/molecules191221239
Fagadar-Cosma E, Vlascici D, Fagadar-Cosma G, Palade A, Lascu A, Creanga I, Birdeanu M, Cristescu R, Cernica I. A Sensitive A3B Porphyrin Nanomaterial for CO2 Detection. Molecules. 2014; 19(12):21239-21252. https://doi.org/10.3390/molecules191221239
Chicago/Turabian StyleFagadar-Cosma, Eugenia, Dana Vlascici, Gheorghe Fagadar-Cosma, Anca Palade, Anca Lascu, Ionela Creanga, Mihaela Birdeanu, Rodica Cristescu, and Ileana Cernica. 2014. "A Sensitive A3B Porphyrin Nanomaterial for CO2 Detection" Molecules 19, no. 12: 21239-21252. https://doi.org/10.3390/molecules191221239
APA StyleFagadar-Cosma, E., Vlascici, D., Fagadar-Cosma, G., Palade, A., Lascu, A., Creanga, I., Birdeanu, M., Cristescu, R., & Cernica, I. (2014). A Sensitive A3B Porphyrin Nanomaterial for CO2 Detection. Molecules, 19(12), 21239-21252. https://doi.org/10.3390/molecules191221239

