A Novel Method HPLC-DAD Analysis of the Contentsof Moutan Cortexand Paeoniae Radix Alba with Similar Constituents-Monoterpene Glycosides in Guizhi Fuling Wan
Abstract
:1. Introduction

2. Results and Discussion
2.1. Optimization of Sample Preparation
| Extraction Method | Extractant | Time | Compounds (mg/g) | Total | |||
|---|---|---|---|---|---|---|---|
| 1 | 2 | 3 | 4 | ||||
| Ultrasonic | Ethyl acetate | 0.5 | 0.2581 | 4.5582 | 0.0805 | 0.7246 | 5.6213 |
| Ultrasonic | Acetone | 0.5 | 0.1656 | 2.1447 | 0.0394 | 0.6233 | 2.9730 |
| Ultrasonic | Methanol | 0.5 | 0.1371 | 2.5489 | 0.0985 | 0.7065 | 3.4910 |
| Soxhlet | Methanol | 1.0 | 0.4378 | 5.7462 | 0.0980 | 0.7399 | 7.0220 |
| Soxhlet | Methanol | 2.0 | 0.4593 | 5.6639 | 0.1016 | 0.7532 | 6.9780 |
| Soxhlet | Methanol | 3.0 | 0.5075 | 7.0481 | 0.1028 | 0.8105 | 8.4689 |
| Soxhlet | Methanol | 4.0 | 0.4810 | 6.6659 | 0.1000 | 0.7785 | 8.0254 |
2.2. Optimization of Chromatography Conditions



2.3. Simultaneous Determination of Multiponents: 1, 2, 3, 4 in M, P and GZFLW
2.3.1. Specificity
2.3.2. Linearity, Limit of Detection (LOD) and Limit of Quantitation (LOQ)
| Compounds | Calibration Curves | r | Linear Range (ng) | LOD (ng) | LOQ (ng) |
|---|---|---|---|---|---|
| 1 | Y = 2.77 × 103 X + 6.18 × 103 | 0.9997 | 0.04–0.49 | 0.88 | 2.21 |
| 2 | Y = 1.02 × 102 X − 7.74 × 103 | 0.9996 | 0.67–7.32 | 0.67 | 166.38 |
| 3 | Y = 7.65 × 102 X + 4.35 × 103 | 0.9997 | 0.01–0.13 | 2.98 | 5.95 |
| 4 | Y = 1.58 × 103 X + 1.65 × 104 | 1.0000 | 0.09–0.10 | 0.91 | 4.56 |
2.3.3. Precision, Stability, Reproducibility and Recovery
| Compounds | Precision | Stability | Recovery | Reproducibility | |||
|---|---|---|---|---|---|---|---|
| Concentrations (μg/mL) | RSD (%) | RSD (%) | Average (%) | RSD (%) | Average Content (mg/g) | RSD (%) | |
| 1 | 22.05 | 1.13 | 1.20 | 101.71 | 1.67 | 0.4972 | 1.30 |
| 2 | 332.80 | 1.53 | 1.47 | 99.93 | 1.94 | 6.9337 | 1.88 |
| 3 | 5.95 | 1.69 | 1.83 | 98.18 | 2.51 | 0.0782 | 2.37 |
| 4 | 45.60 | 1.21 | 1.24 | 100.39 | 1.00 | 0.7879 | 1.02 |
2.3.4. Quantification Analysis 1, 2, 3 and 4 in M, P and GZFLW
| Analysis | M | P | GZFLW with Different M/P Ratios | ||||||||||
|---|---|---|---|---|---|---|---|---|---|---|---|---|---|
| NO.1 | NO.2 | NO.3 | NO.4 | NO.5 | NO.6 | NO.7 | NO.8 | NO.9 | NO.10 | NO.11 | |||
| 1 | 1.6896 | 0.8322 | 0.4242 | 0.4235 | 0.4421 | 0.4654 | 0.4907 | 0.5116 | 0.5121 | 0.5466 | 0.5604 | 0.5807 | 0.5908 |
| 2 | 8.3567 | 15.4794 | 5.7133 | 5.4802 | 5.1281 | 5.3575 | 4.8711 | 4.9124 | 4.6395 | 4.4391 | 4.3825 | 4.0811 | 4.0044 |
| 3 | 0.3825 | ND | 0.0366 | 0.0444 | 0.0466 | 0.0622 | 0.0636 | 0.0806 | 0.0855 | 0.1031 | 0.1038 | 0.1066 | 0.1083 |
| 4 | 2.9510 | 0.3838 | 0.4417 | 0.4501 | 0.5083 | 0.5640 | 0.5806 | 0.6326 | 0.6996 | 0.8003 | 0.8697 | 0.8740 | 0.8983 |
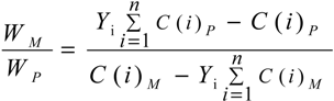
2.4. Method Application and Validation: Analysis of the Weight of M and P in GZFLW
| Sample | NO.1 | NO.2 | NO.3 | NO.4 | NO.5 | NO.6 | NO.7 | NO.8 | NO.9 | NO.10 | NO.11 | |
|---|---|---|---|---|---|---|---|---|---|---|---|---|
| M | Act. | 0.5021 | 0.5572 | 0.6734 | 0.7481 | 0.8807 | 1.0151 | 1.1223 | 1.2482 | 1.3371 | 1.4213 | 1.5046 |
| Cal. | 0.4617 | 0.5113 | 0.6690 | 0.7038 | 0.9352 | 1.0056 | 1.0570 | 1.2370 | 1.2983 | 1.4639 | 1.5237 | |
| RE% | 8.05 | 8.24 | 0.65 | 5.92 | 6.19 | 0.94 | 5.82 | 0.89 | 2.90 | 3.00 | 1.27 | |
| P | Act. | 1.4996 | 1.4334 | 1.3308 | 1.2468 | 1.1251 | 1.0053 | 0.8956 | 0.7448 | 0.6712 | 0.5658 | 0.5042 |
| Cal. | 1.6114 | 1.5061 | 1.2983 | 1.3671 | 1.0491 | 1.0321 | 0.9307 | 0.7724 | 0.7317 | 0.5164 | 0.4567 | |
| RE% | 7.46 | 5.07 | 2.44 | 9.65 | 6.76 | 2.67 | 3.92 | 3.70 | 9.01 | 8.73 | 9.42 | |
3. Experimental Section
3.1. Materials and Reagents
3.2. Sample Preparation
3.2.1. Preparation of GZFLW (Series Ratio of M and P) and Negative Control
3.2.2. Preparation of the Sample and Negative Control Solutions
3.2.3. Preparation of the Standard Solutions
3.2.4 Apparatus and Chromatographic Conditions
4. Conclusions
Acknowledgments
Author Contributions
Conflicts of Interest
References
- Pharmacopoeia Commission. Pharmacopoeia of People’s Republic of China, 9th ed.; Chinese Medical Science and Technology Press: Beijing, China, 2010; Volume 1. [Google Scholar]
- Miao, W.J.; Wang, Q.; Bo, T.; Ye, M.; Qiao, X.; Yang, W.Z.; Xiang, C.; Guan, X.Y.; Guo, D.A. Rapid characterization of chemical constituents and rats metabolites of the traditional Chinese patent medicine Gegen-Qinlian-Wan by UHPLC/DAD/qTOF-MS. J. Pharm. Biomed. Anal. 2013, 72, 99–108. [Google Scholar] [CrossRef] [PubMed]
- Yan, Y.; Chai, C.Z.; Wang, D.W.; Yue, X.Y.; Zhu, D.N.; Yu, B.Y. HPLC-DAD-Q-TOF-MS/MS analysis and HPLC quantitation of chemical contituents in traditional Chinese medicinal formula Ge-Gen Decoction. J. Pharm. Biomed. Anal. 2013, 80, 192–202. [Google Scholar] [CrossRef] [PubMed]
- Wang, P.; Li, L.; Yang, H.L.; Cheng, S.J.; Zeng, Y.Z.; Nie, L.; Zang, H.C. Chromatographic fingerprinting and quantitative analysis for the quality evaluation of Xinkeshu tablet. J. Pharm. Anal. 2012, 2, 422–430. [Google Scholar] [CrossRef]
- Jing, J.; Ren, W.C.; Chen, S.B.; Wei, M.; Parekh, H.S. Advances in analytical technologies to evaluate the quality of traditional Chinese medicines. Trends Anal. Chem. 2013, 44, 39–45. [Google Scholar] [CrossRef]
- Li, T.J.; Qiu, Y.; Mao, J.Q.; Yang, P.Y.; Rui, Y.C.; Chen, W.S. Protective Effects of Guizhi-Fuling-Capsules on Rat Brain Ischemia/Reperfusion Injury. J. Pharmacol. Sci. 2007, 105, 34–40. [Google Scholar] [CrossRef] [PubMed]
- Shimadaa, Y.; Yokoyama, K.; Goto, H.; Sekiya, N.; Mantani, N.; Tahara, E.; Hikiami, H.; Terasawa, K. Protective effect of Keishi-bukuryo-gan and its constituent medicinal plants against nitric oxide donor-induced neuronal death in cultured cerebellar granule cells. Phytomedicine 2004, 11, 404–410. [Google Scholar] [CrossRef] [PubMed]
- Goto, H.; Shimada, Y.; Sekiya, N.; Yang, Q.; Kogure, T.; Mantani, N.; Hikiami, H.; Shibahara, N.; Terasawa, K. Effect of Keishi-bukuryo-gan on vascular function and hemorheological factors in spontaneously diabetic (WBN/kob) rats. Phytomedicine 2004, 11, 188–195. [Google Scholar] [CrossRef] [PubMed]
- Ji, X.Y.; Gao, J.; Cai, X.T.; Lu, W.G.; Hu, C.P.; Wang, Z.G.; Cheng, X.W.; Gu, Z.H.; Wan, G.P.; Zhang, S.Q.; Cao, P. Immunological regulation of Chinese herb GuizhiFuling Capsule on rat endometriosis model. J. Ethnopharmacol. 2011, 134, 624–629. [Google Scholar] [CrossRef] [PubMed]
- Zhang, Y.; Zhang, S.L. Inhibition effect of Guizhi-Fuling-decoction on the invasion of human cervical cancer. J. Ethnopharmacol. 2008, 120, 25–35. [Google Scholar] [CrossRef] [PubMed]
- Noguchi, M.; Ikarashi, Y.; Yuzurihara, M.; Kase, Y.; Watanabe, K.; Plotnikoff, G.A.; Takeda, S.; Aburada, M. Skin temperature rise induced by calcitonin gene-treated female rats and alleviation by Keishi-bukuryo-gan, a Japanses herbal medicine. Life Sci. 2005, 76, 2079–2090. [Google Scholar] [CrossRef] [PubMed]
- Cho, K.H.; Kim, Y.S.; Jung, W.S.; Kim, T.H. Effect of Gui-zhi-fu-ling-wan on Hot Flashes in Young Patients: A Retrospective Case Series. J. Acupunct. Meridian Stud. 2011, 4, 129–133. [Google Scholar] [CrossRef] [PubMed]
- Wu, S.H.; Wu, D.G.; Chen, Y.W. Chemical Constituents and Biocativities of Plants from the genus Paeonia. Chem. Biodivers. 2010, 7, 90–104. [Google Scholar] [CrossRef] [PubMed]
- Xu, S.J.; Yang, L.; Zeng, X.; Zhang, M.; Wang, Z.T. Characterization of compounds in the Chinese herbal drug Mu-Dan-Pi by liquid chromatography coupled to electrospray ionization mass spectrometry. Rapid Commun. Mass Spectrom. 2006, 20, 3275–3288. [Google Scholar] [CrossRef] [PubMed]
- Li, S.L.; Song, J.Z.; Choi, F.F.; Qiao, C.F.; Zhou, Y.; Han, Q.B.; Xu, H.X. Chemical profiling of Radix Paeoniae evaluated by ultra-performance liquid chromatography/photo-diode-array/quadrupole time-of-flight mass spectrometry. J. Pharm. Biomed. Anal. 2009, 49, 253–266. [Google Scholar] [CrossRef] [PubMed]
- Furuya, R.; Hu, H.; Zhang, Z.Y.; Shigemori, H. Suffruyabiosides A and B, Two New Monoterpene Diglycosides from Moutan Cortex. Molecules 2012, 17, 4915–4923. [Google Scholar] [CrossRef] [PubMed]
- Okubo, T.; Nagai, F.; Seto, T.; Satoh, K.; Ushiyama, K.; Kano, I. The Inhibition of Phenylhydroquinone-Induced Oxidative DNA Cleavage by Constituents of Mputan Cortex and Paeoniae Radix. Biol. Pharm. Bull. 2000, 23, 199–203. [Google Scholar] [CrossRef] [PubMed]
- Li, J.; Ji, X.; Zhang, J.; Shi, G.; Zhu, X.; Wang, K. Paeoniflorin attenuates Aβ25-35-induced neurotoxicity in PC12 cells by preventing mitochondrial dysfunction. Folia Neuropathol. 2014, 52, 285–290. [Google Scholar] [PubMed]
- Lu, J.T.; He, W.; Song, S.S.; Wei, W. Paeoniflorin inhibited the tumor invasion and metastasis in human hepatocellular carcinoma cells. Bratisl. Lek. Listy 2014, 115, 427–433. [Google Scholar] [PubMed]
- Cheng, Y.Y.; He, Q.; Wang, Y.; Wang, X.W.; Li, Y.F.; Ge, Z.W.; Hu, X.J. Extraction and Application of Mudanpioside C and Benzoyloxypaeoniflorin from Paeonia suffruticosa. CN 1981820 A, 20 June 2007. [Google Scholar]
- Bi, M.; Tang, C.Y.; Yu, H.M.; Chen, W.; Wang, J.X. Monoterpenes from Paeonia sinjiangensis Inhibit the Replication of Hepatitis B Virus. Rec. Nat. Prod. 2013, 7, 346–350. [Google Scholar]
- Ha, D.T.; Trung, T.N.; Thuan, N.D.; Yim, N.H.; Min, B.; Bae, K.H. Lipoxygenase inhibitory and antioxidant activities of isolated compounds from Moutan cortex. Nat. Prod. Sci. 2010, 16, 68–74. [Google Scholar]
- Chen, L.; Wang, D.W.; Wu, J.; Yu, B.Y.; Zhu, D.N. Identification of multiple constituents in the traditional Chinese medicine formula GuiZhiFuLing-Wan by HPLC-DAD-MS/MS. J. Pharm. Biomed. Anal. 2009, 49, 267–275. [Google Scholar] [CrossRef] [PubMed]
- Ma, T.T.; Chen, X.H.; Lin, X.Y.; Guo, D.A.; Bi, K.S. Simultaneous determination of gallic acid, albiflorin and paeoniflorin in GuizhiFuling capsules by RP-HPLC. J. Shenyang Pharm. Univ. 2010, 27, 216–219. [Google Scholar]
- Li, J.C.; Sun, L.; Li, H.J.; Xiao, W.; Bi, Y.A.; Wang, Z.Z. HPLC fingerprint of Guizhi Fining Capsule. Tradit. Herbal Drugs 2012, 43, 1333–1335. [Google Scholar]
- Kostova, I.N.; Simeonov, M.F.; Todrova, D.I.; Petkova, P.L. Two Acylated Monoterpene Glucosides from Paeonia Peregina. Phytochemistry 1998, 48, 511–514. [Google Scholar] [CrossRef]
- Lin, H.C.; Ding, H.Y.; Wu, T.S. Monoterpene Glycosides From Paeonia Suffruticosa. Phytochemistry 1996, 41, 237–242. [Google Scholar] [CrossRef]
- Kang, S.S.; Shin, K.H.; Chi, H.J. Galloypaeoniflorin, A New Acylated Monoterpene Glucoside from Paeony Root. Arch. Pharm. Res. 1991, 14, 52–54. [Google Scholar] [CrossRef] [PubMed]
- Sample Availability: Samples of galloylpaeoniflorin (1), paeoniflorin (2), mudanpioside C (3) and benzoylpaeoniflorin (4), Moutan cortex (M), Paeoniae radix alba (P), GuizhiFuling Wan (GZFLW) are available from the authors.
© 2014 by the authors. Licensee MDPI, Basel, Switzerland. This article is an open access article distributed under the terms and conditions of the Creative Commons Attribution license ( http://creativecommons.org/licenses/by/4.0/).
Share and Cite
Wang, S.; Huang, J.; Mao, H.; Wang, Y.; Kasimu, R.; Xiao, W.; Wang, J. A Novel Method HPLC-DAD Analysis of the Contentsof Moutan Cortexand Paeoniae Radix Alba with Similar Constituents-Monoterpene Glycosides in Guizhi Fuling Wan. Molecules 2014, 19, 17957-17967. https://doi.org/10.3390/molecules191117957
Wang S, Huang J, Mao H, Wang Y, Kasimu R, Xiao W, Wang J. A Novel Method HPLC-DAD Analysis of the Contentsof Moutan Cortexand Paeoniae Radix Alba with Similar Constituents-Monoterpene Glycosides in Guizhi Fuling Wan. Molecules. 2014; 19(11):17957-17967. https://doi.org/10.3390/molecules191117957
Chicago/Turabian StyleWang, Shuyun, Jian Huang, Huijuan Mao, Yuliang Wang, Rena Kasimu, Wei Xiao, and Jinhui Wang. 2014. "A Novel Method HPLC-DAD Analysis of the Contentsof Moutan Cortexand Paeoniae Radix Alba with Similar Constituents-Monoterpene Glycosides in Guizhi Fuling Wan" Molecules 19, no. 11: 17957-17967. https://doi.org/10.3390/molecules191117957
APA StyleWang, S., Huang, J., Mao, H., Wang, Y., Kasimu, R., Xiao, W., & Wang, J. (2014). A Novel Method HPLC-DAD Analysis of the Contentsof Moutan Cortexand Paeoniae Radix Alba with Similar Constituents-Monoterpene Glycosides in Guizhi Fuling Wan. Molecules, 19(11), 17957-17967. https://doi.org/10.3390/molecules191117957
