A Systematic Review of the Wound-Healing Effects of Monoterpenes and Iridoid Derivatives
Abstract
:1. Introduction
2. Results and Discussion

| Authors, year, Country | Substance(s) | Animals | Doses, Concetration or Quantity | Pharmaceutical dosage forms | Model | Valued Parameter Settings | Results and Mechanisms | |
|---|---|---|---|---|---|---|---|---|
| Macroscopic | Microscopic | |||||||
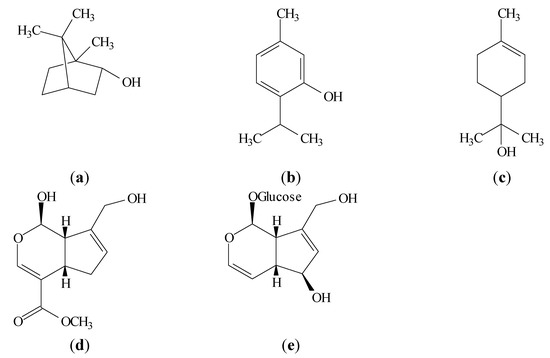
| Mai L.M. et al., 2003, China | Borneol | Adult male Sprangue-Dawley rats | 4.5% and 0.7% | Vaselin-based ointment | Excision wound | Basic physiological conditions (body length, weight, food eaten, water intake); Wound areas measured by slide calipers and photographed | Histological observation (HE) (skin appendages and collagen fibers quality); Measurement of the thinckness of the granulation tissue and newly formed epithelium | This study found that the combination of Bismuth subgallate (BS) and Borneol (BO) and Vaseline had a synergistic effect in accelerating wound closure. All results were associated with the BS, while nothing about BO was reported. However, the precise mechanism of the drugs remains unclear and further work is necessary to study whether macrophages could secret growth factor to accelerate wound healing. |
| Riella K.R. et al., 2012, Brazil | Thymol | Adult male and female Wistar rats | 1.2 mg | Collagen-based films | Excision wound | Wound contraction rates by digital caliper | Inflammatory response and profile inflammatory (HE); Collagen deposition (Picrosirius) | The modulation of the leukocyte influx by thymol was associated to increased levels of macrophage migration inhibitory factor (MIF) in central nervous system; The improved on granulation tissue by collagen-based containing thymol (COLTHY) films founded was associated to anti-inflammatory properties of thymol; Improvement in the replacement and arrangement by COLTHY was associated to modulatory effect on the flbroblast metabolism and collagen synthesis and the thymol able to enhance the flbroblasts growth in vitro. |
| Zhang K. et al., 2010, China | Genipin | Sprague–Dawley rats | 50 mg/mL | Silk fibroin/ hydroxybutyl chitosan | Excision wound | --------- | Histological examination of the inflammatory response; epithelization; proliferation of fibroblasts and collagen proliferation; blood vessels migration. | Greater proliferation of fibroblasts was observed in the nanofibers that was associated to a genipin crosslinked; Fibroblasts cells had greater proliferation and arranged in better order, densely in nanofibers that was too associated to a genipin crosslinked. |
| Villegas L.F. et al., 2001, Peru | α-Terpineol | Male mice | 0.05 mL | Suspension | Incision wound | Tensile strength | --------- | Epi-α-bisabolol, α-bisabolol and α-terpineol showed significant in vivo cicatrizant activity and did not have a significant effect on increasing cell migration. The mechanisms is not shown. |
| Chang W.H. et al., 2003, China | Genipin | Male Wistar rats | --------- | Wound dressing Membranes | Excision wound | Basic physiological conditions (infection) | Histological examination of the inflammatory response; epithelization and granulation tissue formation. | Genipin-crosslinked dressing membrane showed lower inflammatory reaction in the wound that may be due to the lower toxicity of its remaining residuesGenipin-crosslinked dressing membrane promotes early re-epithelialization, but mechanisms is not shown . |
| Lee S.W. et al., 1999, Republic of Korea | Aucubin | Male rats | 0.1% | Solution and based ointment | Incision wound | --------- | --------- | --------- |

3. Experimental
3.1. Search Strategy
3.2. Study Selection
3.3. Data Extraction
4. Conclusions
Acknowledgments
Conflicts of Interest
References
- Meenakshi, S.; Raghavan, G.; Nath, V.; Ajay Kumar, S.R.; Shanta, M. Antimicrobial, wound healing and antioxidant activity of Plagiochasma. appendiculatum Lenm et Lind. J. Ethnopharmacol. 2006, 107, 67–72. [Google Scholar] [CrossRef]
- Diegelmann, R.F.; Evans, M.C. Wound healing: An overview of acute, fibrotic and delayed healing. Front. Biosci. 2004, 9, 283–289. [Google Scholar] [CrossRef]
- Chan, E.W.C.; Lim, Y.Y.; Wong, L.F.; Lianto, F.S.; Wong, S.K.; Lim, K.K.; Joe, C.E.; Lim, T.Y. Antioxidant and tyrosinase inhibition properties of leaves and rhizomes of ginger species. Food Chem. 2008, 109, 477–483. [Google Scholar] [CrossRef]
- Sumitra, M.; Manikandana, P.; Suguna, L. Efficacy of Buteamono sperma on dermal wound healing in rats. Int. J. Biochem. Cell Biol. 2005, 37, 566–573. [Google Scholar] [CrossRef]
- Ayyanar, M.; Ignacimuthu, S. Herbal medicines for wound healing among tribal people in Southern India: Ethnobotanical and Scientific evidences. Int. J. Appl. Res. Nat. Prod. 2009, 2, 29–42. [Google Scholar]
- Dash, G.K.; Murthy, P.N. Studies on wound healing activity of Heliotropium. indicum Linn. Leaves on Rats. ISRN Pharmacol. 2011, 2011, 847980. [Google Scholar]
- Reinke, J.M.; Sorg, H. Wound repair and regeneration. Eur. Surg. Res. 2012, 49, 35–43. [Google Scholar] [CrossRef]
- Rawat, S.; Singh, R.; Thakur, P.; Kaur, S.; Semwal, A. Wound healing agents from medicinal plants: A review. Asian Pac. J. Trop. Biomed. 2012, 2, S1910–S1917. [Google Scholar] [CrossRef]
- Süntar, I.; Akkol, E.K.; Nahar, L.; Sarker, S.D. Wound healing and antioxidant properties: Do they coexist in plants? Free Rad. Antiox. 2012, 2, 1–7. [Google Scholar]
- Li, J.W.; Vederas, J.C. Drug discovery and natural products: End of an era or an endless frontier? Science 2009, 325, 161–165. [Google Scholar]
- Bakkali, F.; Averbeck, S.; Averbeck, D.; Idaomar, M. Biological effects of essential oils–A Review. Food Chem. Toxicol. 2008, 46, 446–475. [Google Scholar] [CrossRef]
- Kordali, S.; Kotan, R.; Mavi, A.; Cakir, A.; Ala, A.; Yildirim, A. Determination of the chemical composition and antioxidant activity of the essential oil of Artemisia dracunculus and of the antifungal and antibacterial activities of Turkish Artemisia absinthium, Artemisia dracunculus, Artemisia santonicum and Artemisia spicigera essential oils. J. Agric. Food. Chem. 2005, 53, 9452–9458. [Google Scholar] [CrossRef]
- Bastos, J.F.; Moreira, I.J.; Ribeiro, T.P.; Medeiros, I.A.; Antoniolli, A.R.; DeSouza, D.P.; Santos, M.R. Hypotensive and vasorelaxant effects of citronellol, a monoterpene alcohol. Basic Clin. Pharmacol. Toxicol. 2010, 106, 331–337. [Google Scholar]
- Menezes, I.A.; Barreto, C.M.; Antoniolli, A.R.; Santos, M.R.; DeSousa, D.P. Hypotensive activity of terpenes found in essential oils. Z. Naturforsch. C 2010, 65, 562–566. [Google Scholar]
- Guimarães, A.G.; Quintans, J.S.; Quintans-Júnior., L.J. Monoterpenes with analgesic activity–A systematic review. Phytother. Res. 2013, 27, 1–15. [Google Scholar] [CrossRef]
- Carson, C.F.; Martelo, K.A.; Riley, T.V. Melaleuca alternifolia (Tea Tree) de óleo: Uma revisão das propriedades medicinais antimicrobianos e outros. Clin. Microbiol. Rev. 2006, 19, 50–62. [Google Scholar] [CrossRef]
- Butler, M.S. Natural products to drugs: Natural product-derived compounds in clinical trials. Nat. Prod. Rep. 2008, 25, 475–516. [Google Scholar] [CrossRef]
- Dias, A.M.A.; Braga, M.E.M.; Seabra, I.J.; Ferreira, P.; Gil, M.H.; de Sousa, H.C. Development of natural-based wound dressings impregnated with bioactive compounds and using supercritical carbon dioxide. Int. J. Pharm. 2011, 408, 9–19. [Google Scholar] [CrossRef]
- Viegas, J.R.; Bolzani, C.; Silva, V.; Barreto, E.J. Os produtos naturais e a química medicinal moderna. Quim. Nova 2006, 29, 326–337. [Google Scholar] [CrossRef]
- Xiao, P.G. Modern Chinese Materia Medica; Chemical Industry Press: Beijing, China, 2002; Volume 1, pp. 17–22. [Google Scholar]
- Chen, S.; Yao, H.; Han, J.; Liu, C.; Song, J.; Shi, L.; Zhu, Y.; Ma, X.; Gao, T.; Pang, X.; et al. Validation of the ITS2 region as a novel DNA barcode for identifying medicinal plant species. PLoS One 2010, 5, e8613. [Google Scholar]
- Nalawade, S.M.; Sagare, A.P.; Lee, C.Y.; Kao, C.L.; Tsay, H.S. Studies on tissue culture of Chinese medicinal plant resources in Taiwan and their sustainable utilization. Bot. Bull. Acad. Sin. 2003, 44, 79–98. [Google Scholar]
- Oberlies, N.H.; Kroll, D.J. Camptothecin and taxol: Historic achievements in natural products research. J. Nat. Prod. 2004, 67, 129–135. [Google Scholar] [CrossRef]
- Srivastava, V.; Negi, A.S.; Kumar, J.K.; Gupta, M.M.; Khanuja, S.P.S. Plant-based anticancer molecules: A chemical and biological profile of some important leads. Bioorg. Med. Chem. 2005, 13, 5892–5908. [Google Scholar] [CrossRef]
- Rajeswara, R.B.R.; Syamasundar, K.V.; Rajput, D.K.; Nagaraju, G.; Adinarayana, G. Biodiversity, conservation and cultivation of medicinal plants. J. Pharmacogn. 2012, 3, 59–62. [Google Scholar]
- Ravenhill, J. Is China an economic threat to southeast Asia? Asian Surv. 2006, 46, 653–674. [Google Scholar] [CrossRef]
- Hoareau, L.; DaSilva, E. Medicinal plants: A re-emerging health aid. Electronic J. Biotechnol. 1999, 2, 56–71. [Google Scholar]
- Schuster, B.G. Demonstrating the validity of natural products as anti-infective drugs. J. Altern. Compl. Med. 2001, 7S, 73–82. [Google Scholar] [CrossRef]
- Guerra, M.P.; Nodari, R.O. Biodiversidade: Aspectos Biológicos, Geográficos, Legais e éticos. In Farmacognosia da Planta Medicamento, 3rd ed.; Simões, O.M.C., Schenkel, R.P., Gosmann, G., Mello, P.C.J., Mentz, A.L., Petrovick, P.R., Eds.; Editora da UFSC: Porto Alegre/Florianópolis, Brazil, 2001; Volume 1, pp. 13–26. [Google Scholar]
- McKernan, R.M.; Whiting, P.J. Which GABAA-receptor subtypes really occurin the brain? Trends Neurosci. 1996, 19, 139–143. [Google Scholar] [CrossRef]
- Cooper, D.M. Optimizing wound healing. A practice within nursing's domain. Nurs. Clin. North. Am. 1990, 25, 165–177. [Google Scholar]
- Hanna, J.R.; Giacopelli, J.A. A review of wound healing and wound dressing products. J. Foot Ankle Surg. 1997, 36, 2–14. [Google Scholar] [CrossRef]
- Boateng, J.S.; Matthews, K.H.; Stevens, H.N.; Eccleston, G.M. Wound healing dressings and drugs delivery sytems: A review. J. Pharm. Sci. 2012, 97, 2892–2923. [Google Scholar]
- Ovington, L.G. Advances in wound dressings. Clin. Dermatol. 2007, 25, 33–38. [Google Scholar] [CrossRef]
- Yudanova, T.N.; Reshetov, I.V. Modern wound dressings: Manufacturing and properties. Pharm. Chem. J. 2006, 40, 85–92. [Google Scholar] [CrossRef]
- Gottrup, F.; Agren, M.S.; Karlsmark, T. Models for use in wound healing research: A survey focusing on in vitro and in vivo adult soft tissue. Wound Repair Regen. 2000, 8, 83–96. [Google Scholar] [CrossRef]
- Chen, C.; Schultz, G.S.; Bloch, M.; Edwards, P.D.; Tebes, S.; Mast, B.A. Molecular and mechanistic validation of delayed healing rat wounds as a model for human chronic wounds. Wound Repair Regen. 1999, 7, 486–494. [Google Scholar] [CrossRef]
- Ansell, D.M.; Holden, K.A.; Hardman, M.J. Animal models of wound repair: Are they cutting it? Exp. Dermatol. 2012, 21, 581–585. [Google Scholar] [CrossRef]
- Davidson, J.M. Animal models for wound repair. Arch. Dermatol. Res. 1998, 290, S1–S11. [Google Scholar] [CrossRef]
- Alborova, A.; Lademann, J.; Meye, L.; Kramer, A.; Patzelt, A.; Sterry, W.; Antoniou, C. Application of laser scanning microscopy for the characterization of wound healing. GMS Krankenhaushyg. Interdiszip. 2007, 2, 1–6. [Google Scholar]
- Unlu, M.; Daferera, D.; Donmez, E.; Polissiou, M.; Tepe, B.; Sokmen, A. Compositions and the in vitro antimicrobial activities of the essential oils of Achillea. setacea and Achillea. teretifolia. J. Ethnopharmacol. 2002, 83, 117–121. [Google Scholar] [CrossRef]
- Mai, L.M.; Lin, C.Y.; Chen, C.Y.; Tsai, Y.C. Synergistic effect of bismuth subgallate and borneol, the major components of Sulbogins, on the healing of skin wound. Biomaterials 2003, 24, 3005–3012. [Google Scholar] [CrossRef]
- Almeida, J.R.G.S.; Souza, G.R.; Silva, J.C.; Lima-Saraiva, S.R.G.; Oliveira-Júnior, R.G.; Quintans, J.S.S.; Barreto, R.S.S.; Bonjardim, L.R.; Cavalcanti, S.C.H.; Quintans-Júnior, L.J. Borneol, a bicyclic monoterpene alcohol, reduces nociceptive behavior and inflammatory response in mice. Sci. World J. 2013, 2013, 1–5. [Google Scholar]
- Dai, J.P.; Chen, J.; Bei, Y.F.; Han, B.X.; Wang, S. Influence of borneol on primary mice oral fibroblasts: A penetration enhancer maybe used in oral submucous fibrosis. J. Oral Pathol. Med. 2009, 38, 276–281. [Google Scholar] [CrossRef]
- Candan, F.; Unlü, M.; Tepe, B.; Daferera, D.; Polissiou, M.; Sökmen, A.; Akpulat, H.A. Antioxidant and antimicrobial activity of the essential oil and methanol extracts of Achillea. millefolium subsp. Millefolium Afan. (Asteraceae). J. Ethnopharmacol. 2003, 87, 215–220. [Google Scholar] [CrossRef]
- Juhás, S.; Cikos, S.; Czikková, S.; Veselá, J.; Il’ková, G.; Hájek, T.; Domaracká, K.; Domaracky, M.; Bujnáková, D.; Rehák, P.; et al. Effects of borneol and thymoquinone on TNBS-induced colitis in mice. J. Folia Biol. 2008, 54, 1–7. [Google Scholar]
- Park, T.J.; Park, Y.S.; Lee, T.G.; Ha, H.; Kim, K.T. Inhibition of acetylcholine-mediated effects by borneol. Biochem. Pharmacol. 2003, 65, 83–90. [Google Scholar] [CrossRef]
- Knobloch, K.; Pauli, A.; Iberl, B.; Weigand, H.; Weis, N. Antibacterial and antifungal properties of essential oil components. J. Essent. Oil Res. 1989, 1, 119–128. [Google Scholar] [CrossRef]
- Tabanca, N.; Kirimer, N.; Demirci, B.; Demirci, F.; Baser, K.H. Composition and antimicrobial activity of the essential oils of Micromeria. cristata subsp. Phrygia and the enantiomeric distribution of borneol. J. Agric. Food Chem. 2001, 49, 4300–4303. [Google Scholar] [CrossRef]
- Tuberoso, C.I.; Kowalczyk, A.; Coroneo, V.; Russo, M.T.; Dessi, S.; Cabras, P. Chemical composition and antioxidant, antimicrobial and antifungal activities of the essential oil of Achillea. ligustica all. J. Agric. Food Chem. 2005, 53, 10148–10153. [Google Scholar] [CrossRef]
- Tabanca, N.; Demirci, B.; Baser, K.H.; Aytac, Z.; Ekici, M.; Khan, S.I.; Jacob, M.R.; Wedge, D.E. Chemical composition and antifungal activity of Salvia macrochlamys and Salvia recognita essential oils. J. Agric. Food Chem. 2006, 54, 6593–6597. [Google Scholar]
- Wenqiang, G.; Shufen, L.; Ruixiang, Y.; Yanfeng, H. Comparison of composition and antifungal activity of Artemisia argyi Levl. et Vant inflorescence essential oil extracted by hydrodistillation and supercritical carbon dioxide. Nat. Prod. Res. 2006, 20, 992–998. [Google Scholar] [CrossRef]
- Liu, R.; Zhang, L.; Lan, X.; Li, L.; Zhang, T.T.; Sun, J.H.; Du, G.H. Protection by borneol on cortical neurons against oxygen-glucose deprivation/reperfusion: Involvement of anti-oxidation and anti-inflammation through nuclear transcription factor κappaB signaling pathway. Neuroscience 2011, 176, 408–419. [Google Scholar] [CrossRef]
- Watanabe, K.; Yano, S.; Horie, T.; Kachia, R.S.; Ikegami, F.; Yamamoto, Y.; Fujimori, H.; Kasai, M. Borneol as Allergy Inhibitor. JP 06211713. 2 August 1994. [Google Scholar]
- He, X.; Lu, Q.; Liu, Y. Effects of borneol injection on inflammation in focal cerebral ischemia reperfusion rats. Hua Xi Yao Xue Za Zhi 2006, 21, 523–526. [Google Scholar]
- Anamura, S.; Dohi, T.; Shirakawa, M.; Okamoto, H.; Tsujimoto, A. Effects of phenolic dental medicaments on prostaglandin synthesis by microsomes of bovine tooth pulp and rabbit kidney medulla. Arch. Oral Biol. 1988, 33, 555–560. [Google Scholar] [CrossRef]
- Braga, P.C.; Dal Sasso, M.; Culici, M.; Bianchi, T.; Bordoni, L.; Marabini, L. Anti-inflammatory activity of thymol inhibitory effect on the release of human neutrophil elastase. Pharmacology 2006, 77, 130–136. [Google Scholar] [CrossRef]
- Youdim, K.A.; Deans, S.G. Effect of thyme oil and thymol dietary supplementation on the antioxidant status and fatty acid composition of the ageing rat brain. Brit. J. Nutr. 2000, 83, 87–93. [Google Scholar]
- Yanishlieva, N.V.; Marinova, E.M.; Gordon, M.H.; Raneva, V.G. Antioxidant activity and mechanism of action of thymol and carvacrol in two lipid systems. Food Chem. 1999, 64, 59–66. [Google Scholar] [CrossRef]
- Prieto, J.M.; Iacopini, P.; Cioni, P.; Chericoni, S. In vitro activity of the essential oils of Origanum vulgare, Satureja montana and their main constituents in peroxynitrite-induced oxidative processes. Food Chem. 2007, 104, 889–895. [Google Scholar]
- Haeseler, G.; Maue, D.; Grosskreutz, J.; Bufler, J.; Nentwig, B.; Piepenbrock, S.; Dengler, R.; Leuwer, M. Voltage-dependent block of neuronal and skeletal muscle sodium channels by thymo land menthol. Eur. J. Anaesthesiol. 2002, 19, 571–579. [Google Scholar]
- Karpanen, T.J.; Worthington, T.; Hendry, E.R.; Conway, B.R.; Lambert, P.A. Antimicrobial efficacy of chlorhexidine digluconate alone and in combination with eucalyptus oil, tea tree oil and thymol against planktonic and biofilm cultures of Staphylococcus epidermidis. J. Antimicrob. Chemother. 2008, 62, 1031–1036. [Google Scholar] [CrossRef]
- Mastelic, J.; Jerkovic, I.; Blazevic, I.; Poljak-Blazi, M.; Borovi, S.; Ivancic-Bace, I.; Smrecki, V.; Zarkovic, N.; Brci-Kostic, K.; Vikic-Topic, D.Z.; et al. Comparative study on the antioxidant and biological activities of carvacrol, thymol and eugenol derivatives. J. Agric. Food Chem. 2008, 56, 3989–3996. [Google Scholar] [CrossRef]
- Riella, K.R.; Marinho, R.R.; Santos, J.S.; Pereira-Filho, R.N.; Cardoso, J.C.; Albuquerque-Junior, R.L.C.; Thomazzi, S.M. Anti-inflammatory and cicatrizing activities of thymol, a monoterpene of the essential oil from Lippia. gracilis, in rodents. J. Ethnopharmacol. 2012, 143, 656–663. [Google Scholar] [CrossRef]
- Denkinger, M.D.; Nikolaus, T.; Denkinger, C.; Lukas, A. Physical activity for the prevention of cognitive decline. Current evidence from observational and controlled studies. Z. Gerontol. Geriatr. 2012, 45, 11–16. [Google Scholar] [CrossRef]
- Khorshid, F.; Ali, S.S.; Alsofyani, T.; Albar, H. Plectranthustenuiflorus (Shara) promoteswoundhealing: In vitro and in vivo studies. Int. J. Bot. 2010, 6, 69–80. [Google Scholar] [CrossRef]
- Badr, G.; Alwasel, S.; Ebaid, H.; Mohany, M.; Alhazza, I. Perinatal supplementation with thymoquinone improves diabetic complications and T cell immune responses in rat offspring. Cell. Immunol. 2011, 267, 133–140. [Google Scholar] [CrossRef]
- Amirghofran, Z.; Hashemzadeh, R.; Javidnia, K.; Golmoghaddam, H.; Esmaeilbeig, A. In vitro immunomodulatory effects of extracts from three plants of the Labiatae family and isolation of the active compound(s). J. Immunotoxicol. 2011, 8, 265–273. [Google Scholar] [CrossRef]
- Villegas, L.F.; Marçalo, A.; Martin, J.; Fernández, I.D.; Maldonado, H.; Vaisberg, A.J.; Hammond, G.B. (+)-epi-α-Bisbolol is the wound-healing principle of Peperomia. galioides: Investigation of the in vivo wound-healing activity of related terpenoids. J. Nat. Prod. 2001, 64, 1357–1359. [Google Scholar] [CrossRef]
- Dagne, E.; Bisrat, D.; Alemayehu, M.; Worku, T. Essential oils of twelve eucalyptus species from Ethiopia. J. Essent. Oil Res. 2000, 12, 467–470. [Google Scholar] [CrossRef]
- Khalil, Z.; Pearce, A.L.; Satkunanathan, N.; Storer, E.; Finlay-Jones, J.J.; Hart, P.H. Regulation of wheal and flare by tea tree oil: Complementary human and rodent studies. J. Invest. Dermatol. 2004, 123, 683–690. [Google Scholar] [CrossRef]
- Kawata, J.; Kameda, M.; Miyazawa, M. Cyclooxygenase-2 inhibitory effects of monoterpenoids with a p-methane skeleton. Int. J. Essent. Oil Ther. 2008, 2, 145–148. [Google Scholar]
- Hassan, S.B.; Gali-Muhtasib, H.; Göransson, H.; Larsson, R. Alpha terpineol: A potential anticancer agent which acts through suppressing NF-kappaB signalling. Anticancer Res. 2010, 30, 1911–1919. [Google Scholar]
- Held, S.; Schieberle, P.; Somoza, V. Identification of α-terpineol as an anti-inflammatory component of orange juice by in vitro and ex vivo studies. Eisenach, Germany, 27 February–2 March 2007; Deutsche Forschungsanstalt für Lebensmittelchemie: Garching, Germany, 2007; pp. 239–244. [Google Scholar]
- Oliveira, M.G.; Marques, R.B.; de Santana, M.F.; Santos, A.B.; Brito, F.A.; Barreto, E.O.; de Sousa, D.P.; Almeida, F.R.; Badauê-Passos, D.J.; Antoniolli, A.R.; et al. α-erpineol reduces mechanical hypernociception and inflammatory response. Basic. Clin. Pharmacol. Toxicol. 2012, 111, 120–125. [Google Scholar]
- Park, S.N.; Lim, Y.K.; Freire, M.O.; Cho, E.; Jin, D.; Kook, J.K. Antimicrobial effect of linalool and α-terpineol against periodontopathic and cariogenic bacteria. Anaerobe 2012, 18, 369–372. [Google Scholar] [CrossRef]
- Park, M.J.; Gwak, K.S.; Yang, I.; Kim, K.W.; Jeung, E.B.; Chang, J.W.; Choi, I.G. Effect of citral, eugenol, nerolidol and α-terpineol on the ultrastructural changes of Trichophyton. mentagrophytes. Fitoterapia 2009, 80, 290–296. [Google Scholar] [CrossRef]
- Jin, J.; Song, M.; Hourston, D.J. Novel chitosan based films cross-linked by genipin with improved physical properties. Biomacromolecules 2004, 5, 162–168. [Google Scholar] [CrossRef]
- González, A.; Strumia, M.C.; Alvarez Igarzabal, C.I. Cross-linked soy protein as material for biodegradable films: Synthesis, Characterization and biodegradation. J. Food Eng. 2011, 106, 331–338. [Google Scholar]
- Pujana, M.A.; Pérez-Álvarez, L.; Iturbe, L.C.C.; Katime, I. Biodegradable chitosan nanogels crosslinked with genipin. Carbohydr. Polym. 2013, 94, 836–842. [Google Scholar] [CrossRef]
- Zhang, K.; Qian, Y.; Wang, H.; Fan, L.; Huang, C.; Yin, A.; Mo, X. Genipin-crosslinked silk fibroin/hydroxybutyl chitosan nanofibrous scaffolds for tissue-engineering application. J. Biomed. Mat. Res. A 2010, 95A, 870–881. [Google Scholar] [CrossRef]
- Chang, W.H.; Chang, Y.; Lai, P.H.; Sung, H.W. A genipin-crosslinked gelatin membrane as wound-dressing material: In vitro and in vivo studies. J. Biomater. Sci. Polymer Edn. 2003, 14, 481–495. [Google Scholar] [CrossRef]
- Sung, H.W.; Huang, R.N.; Huang, L.L.; Tsai, L.L. In vitro evaluation of cytotoxicity of a naturally occurring cross-linking reagent for biological tissue fixation. J. Biomater. Sci. Polym. Ed. 1999, 10, 63–78. [Google Scholar] [CrossRef]
- Nam, K.N.; Choi, Y.S.; Jung, H.J.; Park, G.H.; Park, J.M.; Moon, S.K.; Cho, K.H.; Kang, C.; Kang, I.; Myung, S.O.; et al. Genipin inhibits the inflammatory response of rat brain microglial cells. Int. Immunopharmacol. 2010, 10, 493–499. [Google Scholar] [CrossRef]
- Wang, G.F.; Wu, S.Y.; Rao, J.J.; Lu, L.; Xu, W.; Pang, J.X.; Liu, Z.Q.; Wu, S.G.; Zhang, J.J. Genipin inhibits endothelial exocytosis via nitric oxide in cultured human umbilical vein endothelial cells. Acta Pharmacol. Sin. 2009, 30, 589–596. [Google Scholar] [CrossRef]
- Koo, H.J.; Song, Y.S.; Kim, H.J.; Park, E.H. Antiinflammatory effects of genipin, an active principle of gardenia. Eur. J. Pharmacol. 2004, 495, 201–208. [Google Scholar] [CrossRef]
- Parton, L.E.; Ye, C.P.; Coppari, R. Glucose sensing by POMC neurons regulates glucose homeostasis and is impaired in obesity. Nature 2007, 449, 228–233. [Google Scholar] [CrossRef]
- Kitano, A.; Saika, S.; Yamanaka, O.; Ikeda, K.; Reinach, O.S.; Nakajima, Y.; Okada, Y.; Shirai, K.; Ohnishi, Y. Genipin suppresses subconjunctival fibroblast migration, proliferation and myofibroblast transdifferentiation. Ophthalmic. Res. 2006, 38, 355–360. [Google Scholar] [CrossRef]
- Kitano, A.; Saika, S.; Yamanaka, O.; Reinach, P.S.; Ikeda, K.; Okada, Y.; Shirai, K.; Ohnishi, Y. Genipin suppression of fibrogenic behaviors of the alpha-TN4 lens epithelial cell line. J. Cataract. Refract. Surg. 2006, 32, 1727–1735. [Google Scholar] [CrossRef]
- Ishiguro, K.; Yamaki, M.; Takagi, S. Studies on the iridoid related compound. I. On the antimicrobial activity of aucubigenin and certain iridoid aglycones. Yakugaku Zasshi 1982, 102, 755–759. [Google Scholar]
- Davini, E.; Iavarone, C.; Trogolo, C.; Aureli, P.; Pasolini, B. The quantitative isolation and antimicrobial activity of the aglycone of aucubin. Phytochemistry 1986, 25, 2420–2422. [Google Scholar] [CrossRef]
- Yuan, C.S.; Zhang, Q.; Xie, W.D.; Yang, X.P.; Jia, Z.J. Iridoids from Pedicularis kansuensis forma albiflora. Pharmazie 2003, 58, 428–430. [Google Scholar]
- Recio, M.C.; Giner, R.M.; Máñez, S.; Ríos, J.L. Structural considerations on the iridoids as anti-inflammatory agents. Plant Med. 1994, 60, 232–234. [Google Scholar] [CrossRef]
- Park, K.S.; Chang, I.M. Anti-inflammatory activity of aucubin by inhibition of tumor necrosis factor-alpha production in RAW264.7cells. Plant Med. 2004, 70, 778–779. [Google Scholar] [CrossRef]
- Shim, K.M.; Choi, S.H.; Jeong, M.J.; Kang, S.S. Effects of aucubin on the healing of oral wounds. In Vivo 2007, 21, 1037–1041. [Google Scholar]
- Lee, S.W.; Kho, H.S.; Lee, S.G. The effects of iridoid compounds on wound healing. J. Korean Acad. Oral Med. 1999, 24, 137–142. [Google Scholar]
- Li, F.R.; Yang, J.X.; Shen, X.T.; Li, S.J. Antioxidative activities of aucubin in vitro. J. Shaanxi Norm. Univ. 2004, 32, 98–101. [Google Scholar]
- Chang, I.M.; Ryu, J.C.; Park, Y.C.; Yun, H.S.; Yang, K.H. Protective activities of aucubin against carbon tetrachloride-induced liver damage in mice. Drug Chem. Toxicol. 1983, 6, 443–453. [Google Scholar] [CrossRef]
- Chang, I.M. Liver-protective activities of aucubin derived from traditional oriental medicine. Res. Commun. Mol. Pathol. Pharmacol. 1998, 102, 189–204. [Google Scholar]
- Chang, K.S.; Yun, H.S.; Chang, I.M. Effects of aucubin on DNA and RNA biosyntheses in sarcoma 180 cells. Korean Biochem. J. 1989, 22, 322–326. [Google Scholar]
- Grundy, S.M. Obesity, metabolic syndrome and cardiovascular diseases. J. Clin. Endocrinol. MeTable 2004, 89, 2595–2600. [Google Scholar]
- Park, K.S. Aucubin, a naturally occurring iridoid glycoside inhibits TNF-α-induced inflammatory responses through suppression of NF-κB activation in 3T3-L1 adipocytes. Cytokine 2013, 62, 407–412. [Google Scholar] [CrossRef]
- Hung, J.Y.; Yang, C.J.; Tsai, Y.M.; Huang, H.W.; Huang, M.S. Antiproliferative activity of aucubin is through cell cycle arrest and apoptosis in human non-small cell lung cancer A549 cells. Clin. Exp. Pharmacol. Physiol. 2008, 35, 995–1001. [Google Scholar] [CrossRef]
- Cherng, J.M.; Shieh, D.E.; Chiang, W.; Chang, M.Y.; Chiang, L.C. Aucubin has no effect on proliferation in cancer cells derived from nine human organs, including the lungs. Biosci. Biotechnol. Biochem. 2007, 71, 1500–1504. [Google Scholar]
- Gálvez, M.; Martín-Cordero, C.; Ayuso, M.J. Iridoids as DNA topoisomerase I poisons. J. Enzyme Inhib. Med. Chem. 2005, 20, 389–392. [Google Scholar] [CrossRef]
- Liberati, A.; Altman, D.G.; Tetzlaff, J.; Mulrow, C.; Gøtzsche, P.C.; Ioannidis, J.P.A.; Clarke, M.; Devereaux, P.J.; Kleijnen, J.; Moher, D. The PRISMA statement for reporting systematic reviews and meta-analyses of studies that evaluate health care interventions: Explanation and elaboration. BMJ 2009, 339, b2700. [Google Scholar] [CrossRef]
- Tholl, D. Terpene synthases and the regulation, diversity and biological roles of terpene metabolism. Cur. Opin. Plant Biol. 2006, 9, 297–304. [Google Scholar] [CrossRef]
© 2014 by the authors. Licensee MDPI, Basel, Switzerland. This article is an open access article distributed under the terms and conditions of the Creative Commons Attribution license ( http://creativecommons.org/licenses/by/3.0/).
Share and Cite
Barreto, R.S.S.; Albuquerque-Júnior, R.L.C.; Araújo, A.A.S.; Almeida, J.R.G.S.; Santos, M.R.V.; Barreto, A.S.; DeSantana, J.M.; Siqueira-Lima, P.S.; Quintans, J.S.S.; Quintans-Júnior, L.J. A Systematic Review of the Wound-Healing Effects of Monoterpenes and Iridoid Derivatives. Molecules 2014, 19, 846-862. https://doi.org/10.3390/molecules19010846
Barreto RSS, Albuquerque-Júnior RLC, Araújo AAS, Almeida JRGS, Santos MRV, Barreto AS, DeSantana JM, Siqueira-Lima PS, Quintans JSS, Quintans-Júnior LJ. A Systematic Review of the Wound-Healing Effects of Monoterpenes and Iridoid Derivatives. Molecules. 2014; 19(1):846-862. https://doi.org/10.3390/molecules19010846
Chicago/Turabian StyleBarreto, Rosana S.S., Ricardo L.C. Albuquerque-Júnior, Adriano A.S. Araújo, Jackson R.G.S. Almeida, Márcio R.V. Santos, André S. Barreto, Josimari M. DeSantana, Pollyana S. Siqueira-Lima, Jullyana S.S. Quintans, and Lucindo J. Quintans-Júnior. 2014. "A Systematic Review of the Wound-Healing Effects of Monoterpenes and Iridoid Derivatives" Molecules 19, no. 1: 846-862. https://doi.org/10.3390/molecules19010846
APA StyleBarreto, R. S. S., Albuquerque-Júnior, R. L. C., Araújo, A. A. S., Almeida, J. R. G. S., Santos, M. R. V., Barreto, A. S., DeSantana, J. M., Siqueira-Lima, P. S., Quintans, J. S. S., & Quintans-Júnior, L. J. (2014). A Systematic Review of the Wound-Healing Effects of Monoterpenes and Iridoid Derivatives. Molecules, 19(1), 846-862. https://doi.org/10.3390/molecules19010846

