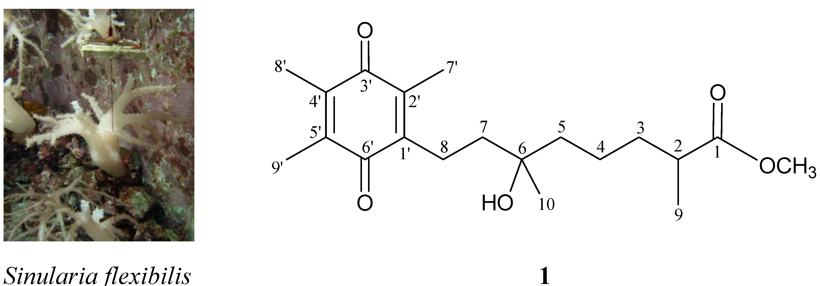
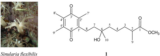
Flexibilisquinone, a New Anti-Inflammatory Quinone from the Cultured Soft Coral Sinularia flexibilis
Abstract
:1. Introduction

2. Results and Discussion
| Position | δΗ (J in Hz) | δC, Mult. | 1H–1H COSY | HMBC (H→C) | 
|---|---|---|---|---|
| 1 | 177.2, C | |||
| 2 | 2.48 m | 39.4, CH | H2-3, H3-9 | C-1, -3, -4, -9 | 
| 3 | 1.67 m; 1.40 m | 34.2, CH2 | H-2, H2-4 | C-1, -2, -4, -5, -9 | 
| 4 | 1.45 m; 1.38 m | 21.6, CH2 | H2-3, H2-5 | C-2, -3, -5, -6 | 
| 5 | 1.74–1.39 m | 41.7, CH2 | H2-4 | C-3, -4, -6, -7, -10 | 
| 6 | 72.5, C | |||
| 7 | 1.74–1.39 m | 40.2, CH2 | H2-8 | C-5, -6, -8, -10, -1' | 
| 8 | 2.53 m | 21.3, CH2 | H2-7 | C-6, -7, -1', -2', -6' | 
| 9 | 1.17 d (7.2) | 17.1, CH3 | H-2 | C-1, -2, -3 | 
| 10 | 1.22 s | 26.6, CH3 | C-5, -6, -7 | |
| 1' | 144.3, C | |||
| 2' | 140.2, C | |||
| 3' | 187.6, C | |||
| 4' | 140.4, C a | |||
| 5' | 140.6, C a | |||
| 6' | 187.2, C | |||
| 7' | 2.03 s | 12.0, CH3 | C-1', -2', -3' | |
| 8' | 2.01 s | 12.3, CH3b | C-3', -4', -5' | |
| 9' | 2.01 s | 12.4, CH3b | C-4', -5', -6' | |
| 1-OCH3 | 3.68 s | 51.5, CH3 | C-1 | 


3. Experimental
3.1. General
3.2. Animal Material
3.3. Extraction and Isolation
3.4. In Vitro Anti-Inflammatory Assay
4. Conclusions
Acknowledgments
Conflicts of Interest
References and Notes
- Rocha, J.; Peixe, L.; Gomes, N.C.M.; Calado, R. Cnidarians as a source of new marine bioactive compounds—An overview of the last decade and future steps for bioprospecting. Mar. Drugs 2011, 9, 1860–1886. [Google Scholar] [CrossRef]
 - Chen, W.-T.; Li, Y.; Guo, Y.-W. Terpenoids of Sinularia soft corals: Chemistry and bioactivity. Acta Pharm. Sinica B 2012, 2, 227–237. [Google Scholar] [CrossRef]
 - Taglialatela-Scafati, O.; Deo-Jangra, U.; Campbell, M.; Roberge, M.; Andersen, R.J. Diterpenoids from cultured Erythropodium caribaeorum. Org. Lett. 2002, 4, 4085–4088. [Google Scholar] [CrossRef]
 - Chen, B.-W.; Wu, Y.-C.; Chiang, M.Y.; Su, J.-H.; Wang, W.-H.; Fan, T.-Y.; Sheu, J.-H. Eunicellin-based diterpenoids from the cultured soft coral Klyxum simplex. Tetrahedron 2009, 65, 7016–7022. [Google Scholar] [CrossRef]
 - Chen, B.-W.; Chao, C.-H.; Su, J.-H.; Wen, Z.-H.; Sung, P.-J.; Sheu, J.-H. Anti-inflammatory eunicellin-based diterpenoids from the cultured soft coral Klyxum simplex. Org. Biomol. Chem. 2010, 8, 2363–2366. [Google Scholar] [CrossRef]
 - Chen, B.-W.; Chao, C.-H.; Su, J.-H.; Tsai, C.-W.; Wang, W.-H.; Wen, Z.-H.; Huang, C.-Y.; Sung, P.-J.; Wu, Y.-C.; Sheu, J.-H. Klysimplexins I–T, eunicellin-based diterpenoids from the cultured soft coral Klyxum simplex. Org. Biomol. Chem. 2011, 9, 834–844. [Google Scholar] [CrossRef]
 - Chen, B.-W.; Huang, C.-Y.; Wen, Z.-H.; Su, J.-H.; Wang, W.-H.; Sung, P.-J.; Wu, Y.-C.; Sheu, J.-H. Klysimplexins U–X, eunicellin-based diterpenoids from the cultured soft coral Klyxum simplex. Bull. Chem. Soc.Jpn. 2011, 84, 1237–1242. [Google Scholar] [CrossRef]
 - Lee, N.-L.; Su, J.-H. Tetrahydrofuran cembranoids from the cultured soft coral Lobophytum crassum. Mar. Drugs 2011, 9, 2526–2536. [Google Scholar]
 - Su, J.-H.; Lu, Y.; Lin, W.-Y.; Wang, W.-H.; Sung, P.-J.; Sheu, J.-H. A cembranoid, trocheliophorol, from the cultured soft coral Sarcophyton trocheliophoru. Chem. Lett. 2010, 39, 172–173. [Google Scholar] [CrossRef]
 - Su, J.-H.; Lin, Y.-F.; Lu, Y.; Yeh, H.-C.; Wang, W.-H.; Fan, T.-Y.; Sheu, J.-H. Oxygenated cembranoids from the cultured and wild-type soft corals Sinularia flexibilis. Chem. Pharm. Bull. 2009, 57, 1189–1192. [Google Scholar]
 - Tsai, T.-C.; Wu, Y.-J.; Su, J.-H.; Lin, W.-T.; Lin, Y.-S. A new spatane diterpenoid from the cultured soft coral Sinularia leptoclados. Mar. Drugs 2013, 11, 114–123. [Google Scholar] [CrossRef]
 - Sung, P.-J.; Lin, M.-R.; Su, Y.-D.; Chiang, M.Y.; Hu, W.-P.; Su, J.-H.; Cheng, M.-C.; Hwang, T.-L.; Sheu, J.-H. New briaranes from the octocorals Briareum excavatum (Briareidae) and Junceella fragilis (Ellisellidae). Tetrahedron 2008, 64, 2596–2604. [Google Scholar] [CrossRef]
 - Sung, P.-J.; Lin, M.-R.; Hwang, T.-L.; Fan, T.-Y.; Su, W.-C.; Ho, C.-C.; Fang, L.-S.; Wang, W.-H. Briaexcavatins M–P, four new briarane-related diterpenoids from cultured octocoral Briareum excavatum (Briareidae). Chem. Pharm. Bull. 2008, 56, 930–935. [Google Scholar] [CrossRef]
 - Hwang, T.-L.; Lin, M.-R.; Tsai, W.-T.; Yeh, H.-C.; Hu, W.-P.; Sheu, J.-H.; Sung, P.-J. New polyoxygenated briaranes from octocorals Briareum excavatum and Ellisella robusta. Bull. Chem. Soc. Jpn. 2008, 81, 1638–1646. [Google Scholar] [CrossRef]
 - Sung, P.-J.; Lin, M.-R.; Chiang, M.Y. The structure and absolute stereochemistry of briaexcavatin U, a new chlorinated briarane from a cultured octocoral Briareum excavatum. Chem. Lett. 2009, 38, 154–155. [Google Scholar] [CrossRef]
 - Sung, P.-J.; Lin, M.-R.; Chiang, M.Y.; Hwang, T.-L. Briaexcavatins V–Z, discovery of new briaranes from a cultured octocoral Briareum excavatum. Bull. Chem. Soc. Jpn. 2009, 82, 987–996. [Google Scholar] [CrossRef]
 - Sung, P.-J.; Chen, B.-Y.; Lin, M.-R.; Hwang, T.-L.; Wang, W.-H.; Sheu, J.-H.; Wu, Y.-C. Excavatoids E and F: discovery of two new briaranes from the cultured octocoral Briareum excavatum. Mar. Drugs 2009, 7, 472–482. [Google Scholar] [CrossRef]
 - Sung, P.-J.; Chen, B.-Y.; Chiang, M.Y.; Hou, C.-H.; Su, Y.-D.; Hwang, T.-L.; Chen, Y.-H.; Chen, J.-J. Excavatoids G–K, new 8,17-epoxybriaranes from the cultured octocoral Briareum excavatum (Briareidae). Bull. Chem. Soc.Jpn. 2010, 83, 539–545. [Google Scholar] [CrossRef]
 - Su, J.-H.; Chen, B.-Y.; Hwang, T.-L.; Chen, Y.-H.; Huang, I.-C.; Lin, M.-R.; Chen, J.-J.; Fang, L.-S.; Wang, W.-H.; Li, J.-J.; et al. Excavatoids L–N, new 12-hydroxybriaranes from the cultured octocoral Briareum excavatum (Briareidae). Chem. Pharm. Bull. 2010, 58, 662–665. [Google Scholar] [CrossRef]
 - Sung, P.-J.; Li, G.-Y.; Su, Y.-D.; Lin, M.-R.; Chang, Y.-C.; Kung, T.-H.; Lin, C.-S.; Chen, Y.-H.; Su, J.-H.; Lu, M.-C.; et al. Excavatoids O and P, new 12-hydroxybriaranes from the octocoral Briareum excavatum. Mar. Drugs 2010, 8, 2639–2646. [Google Scholar] [CrossRef]
 - Sung, P.-J.; Lin, M.-R.; Chiang, M.Y.; Huang, I-C.; Syu, S.-M.; Fang, L.-S.; Wang, W.-H.; Sheu, J.-H. Briarenolide D, a new hydroperoxybriarane diterpenoid from a cultured octocoral Briareum sp. Chem. Lett. 2010, 39, 1030–1032. [Google Scholar] [CrossRef]
 - Chen, Y.-H.; Lu, M.-C.; Chang, Y.-C.; Hwang, T.-L.; Wang, W.-H.; Weng, C.-F.; Kuo, J.; Sung, P.-J. Pseudoalteromone A: A novel bioactive ubiquinone from a marine bacterium Pseudoalteromonas sp. CGH2XX (Pseudoalteromonadaceae). Tetrahedron Lett. 2012, 53, 1675–1677. [Google Scholar]
 - Chen, Y.-H.; Kuo, J.; Su, J.-H.; Hwang, T.-L.; Chen, Y.-H.; Lee, C.-H.; Weng, C.-F.; Sung, P.-J. Pseudoalteromone B: A novel 15C compound from a marine bacterium Pseudoalteromonas sp. CGH2XX. Mar. Drugs 2012, 10, 1566–1571. [Google Scholar] [CrossRef]
 - Li, L.; Wang, C.-Y.; Shao, C.-L.; Han, L.; Sun, X.-P.; Zhao, J.; Guo, Y.-W.; Huang, H.; Guan, H.-S. Two new metabolites from the Hainan soft coral Sarcophyton crassocaule. J. Asian Nat. Prod. Res. 2009; 11, 851–855. [Google Scholar]
 - In a later study, the compound flexibilisquinone (1) was also obtained from the soft coral Lobophytum hsiehi collected off the waters of Taiwan, and the optical rotation value of this compound was recorded as −22.0 (c 0.19, CHCl3).
 - Huang, S.-Y.; Chen, N.-F.; Chen, W.-F.; Hung, H.-C.; Lee, H.-P.; Lin, Y.-Y.; Wang, H.-M.; Sung, P.-J.; Sheu, J.-H.; Wen, Z.-H. Sinularin from indigenous soft coral attenuates nociceptive responses and spinal neuroinflammation in carrageenan-induced inflammatory rat model. Mar. Drugs 2012, 10, 1899–1919. [Google Scholar]
 - Jean, Y.-H.; Chen, W.-F.; Sung, C.-S.; Duh, C.-Y.; Huang, S.-Y.; Lin, C.-S.; Tai, M.-H.; Tzeng, S.-F.; Wen, Z.-H. Capnellene, a natural marine compound derived from soft coral, attenuates chronic constriction injury-induced neuropathic pain in rat. Br. J. Pharmacol. 2009, 158, 713–725. [Google Scholar]
 - Jean, Y.-H.; Chen, W.-F.; Duh, C.-Y.; Huang, S.-Y.; Hsu, C.-H.; Lin, C.-S.; Sung, C.-S.; Chen, I.-M.; Wen, Z.-H. Inducible nitric oxide synthase and cyclooxygenase-2 participate in anti-inflammatory and analgesic effects of the natural marine compound lemnalol from Formosan soft coral Lemnalia cervicorni. Eur. J. Pharmacol. 2008, 578, 323–331. [Google Scholar]
 
- Sample Availability: Not available.
 
© 2013 by the authors; licensee MDPI, Basel, Switzerland. This article is an open access article distributed under the terms and conditions of the Creative Commons Attribution license (http://creativecommons.org/licenses/by/3.0/).
Share and Cite
Lin, Y.-F.; Kuo, C.-Y.; Wen, Z.-H.; Lin, Y.-Y.; Wang, W.-H.; Su, J.-H.; Sheu, J.-H.; Sung, P.-J. Flexibilisquinone, a New Anti-Inflammatory Quinone from the Cultured Soft Coral Sinularia flexibilis. Molecules 2013, 18, 8160-8167. https://doi.org/10.3390/molecules18078160
Lin Y-F, Kuo C-Y, Wen Z-H, Lin Y-Y, Wang W-H, Su J-H, Sheu J-H, Sung P-J. Flexibilisquinone, a New Anti-Inflammatory Quinone from the Cultured Soft Coral Sinularia flexibilis. Molecules. 2013; 18(7):8160-8167. https://doi.org/10.3390/molecules18078160
Chicago/Turabian StyleLin, Yu-Fang, Chao-Ying Kuo, Zhi-Hong Wen, Yen-You Lin, Wei-Hsien Wang, Jui-Hsin Su, Jyh-Horng Sheu, and Ping-Jyun Sung. 2013. "Flexibilisquinone, a New Anti-Inflammatory Quinone from the Cultured Soft Coral Sinularia flexibilis" Molecules 18, no. 7: 8160-8167. https://doi.org/10.3390/molecules18078160
APA StyleLin, Y.-F., Kuo, C.-Y., Wen, Z.-H., Lin, Y.-Y., Wang, W.-H., Su, J.-H., Sheu, J.-H., & Sung, P.-J. (2013). Flexibilisquinone, a New Anti-Inflammatory Quinone from the Cultured Soft Coral Sinularia flexibilis. Molecules, 18(7), 8160-8167. https://doi.org/10.3390/molecules18078160
        
