Next Article in Journal
Synthesis, Surface Modification and Characterisation of Biocompatible Magnetic Iron Oxide Nanoparticles for Biomedical Applications
Previous Article in Journal
Spectroscopic and Theoretical Studies of Some 3-(4′-Substituted phenylsulfanyl)-1-methyl-2-piperidones
 
 
Font Type:
Arial Georgia Verdana
Font Size:
Aa Aa Aa
Line Spacing:
Column Width:
Background:
Article

Facile and Efficient Syntheses of a Series of N-Benzyl and N-Biphenylmethyl Substituted Imidazole Derivatives Based on (E)-Urocanic acid, as Angiotensin II AT1 Receptor Blockers

by
George Agelis
1,2,*,
Konstantinos Kelaidonis
1,2,
Amalia Resvani
1,2,
Dimitra Kalavrizioti
3,
Maria-Eleni Androutsou
1,2,
Panagiotis Plotas
2,3,
Demetrios Vlahakos
4,
Catherine Koukoulitsa
5,
Theodore Tselios
1,
Thomas Mavromoustakos
5 and
John Matsoukas
1,2,*
1
Department of Chemistry, University of Patras, Patras 26500, Greece
2
Eldrug S.A., Patras Science Park, Patras 26504, Greece
3
Department of Pharmacology, School of Medicine, University of Patras, Patras 26500, Greece
4
Department of Internal Medicine, 'ATTIKON' University Hospital, Athens 12462, Greece
5
Department of Chemistry, University of Athens, Athens 15771, Greece
*
Authors to whom correspondence should be addressed.
Molecules 2013, 18(7), 7510-7532; https://doi.org/10.3390/molecules18077510
Submission received: 24 April 2013 / Revised: 17 June 2013 / Accepted: 20 June 2013 / Published: 27 June 2013
(This article belongs to the Section Medicinal Chemistry)

Abstract

:
In the present work, a facile and efficient route for the synthesis of a series of N-substituted imidazole derivatives is described. Docking studies have revealed that N-substituted imidazole derivatives based on (E)-urocanic acid may be potential antihypertensive leads. Therefore, new AT1 receptor blockers bearing either the benzyl or the biphenylmethyl moiety at the N-1 or N-3 position, either the (E)-acrylate or the propanoate fragment and their related acids at the C-4 position as well as a halogen atom at the C-5 position of the imidazole ring, were synthesized. The newly synthesized analogues were evaluated for binding to human AT1 receptor. The biological results showed that this class of molecules possesses moderate or no activity, thus not always confirming high docking scores. Nonetheless, important conclusions can be derived for their molecular basis of their mode of action and help medicinal chemists to design and synthesize more potent ones. An aliphatic group as in losartan seems to be important for enhancing binding affinity and activity.

Graphical Abstract

1. Introduction

Angiotensin II (ANG II) is the octapeptide produced by the Renin-Angiotensin System (RAS) which plays a key role in the pathophysiology of hypertension [1,2,3,4,5]. Inhibitors of the three active sites of RAS have proven to be effective for the treatment of hypertension and congestive heart failure. Research efforts over the last decades have focused on the development of highly selective ANG II AT1 receptor blockers (ARBs) [6]. The DuPont group was the first to develop losartan (DuP 753), an orally effective angiotensin receptor blocker, which is metabolized in vivo to the more potent full antagonist EXP 3174 [7,8]. The discovery of losartan has stimulated the design of a large number of congeners [4,5]. Among them, eprosartan, irbesartan, candesartan, valsartan, olmesartan and azilsartan have been launched in the market [6,9,10,11]. Extensive Structure-Activity Relationships (SAR) and pharmacophore modeling studies [12] of ARBs, as well as the available data from literature, have illustrated the key elements required for the design of potent AT1 blockers [1]. Lipophilic substituents, such as the biphenylmethyl fragment substituted with an acidic moiety (tetrazole group, CO2H) at the N-1 position of a heterocyclic ring and a linear alkyl group, providing an interaction with a hydrophobic pocket of the receptor, are required for potent antagonistic activity [6,13,14,15,16,17]. The DuPont group recommended a lipophilic and electron-withdrawing group such as a halogen atom, CF3, ethyl or pentafluoroethyl substituents at the C-4 of the imidazole ring and a small sized group such as CH2OH or CO2H at the C-5 capable of forming a hydrogen bond [6,9,18].
Our recent work on the synthesis of AT1 receptor antagonists [18,19] indicated that 4(5)-butylimidazole-based analogues displayed significant antihypertensive activity. As a continuation of our studies [18,19,20], we report herein on the preparation of (E)-urocanic acid-based analogues, focusing our attention on the structural modifications on the imidazole ring which would possibly enhance potency. Consequently, we have designed using docking studies and synthesized a series of (E)-urocanic acid derivatives bearing the benzyl and the biphenylmethyl tetrazole moiety at the N-1 or N-3 position of the imidazole ring. Furthermore, these analogues bear the (E)-acrylic acid chain of (E)-urocanic acid as well as the corresponding saturated side chain at the C-4, mimicking the carboxy-terminal region of the octapeptide ANG II [21,22] and a bulky lipophilic and electron-withdrawing group such as a halogen atom at the C-5 of the imidazole ring [6,9]. Additionally, some ARBs possessing two acidic groups, such as the tetrazole and the carboxyl group, have exhibited low oral bioavailability (BA) because of their highly polar character [6]. Thus, the rigid acrylic or the saturated acid side chain was masked by esterification resulting in the methyl ester or the bulky ester group (5-methyl-2-oxo-1,3-dioxol-4-yl)methyl or medoxomil [5,9], which is metabolized in vivo to the carboxyl moiety and may prove to be an effective structural element, emerging to compounds with improved BA. Finally, the reason for the shortening of the biphenyl group was to evaluate the ability of the tetrazole group to trigger activity located on a phenyl group instead of a biphenyl moiety and on the other hand to examine the ability of a single phenyl group to interact appropriately with the receptor [23]. Our synthetic approach included fast, efficient and regioselective reactions in high yields, allowing the facile introduction of the substituents on the imidazole nucleus. The synthesized analogues were finally tested for their AT1 receptor affinity using binding assays.

2. Results and Discussion

2.1. Chemistry

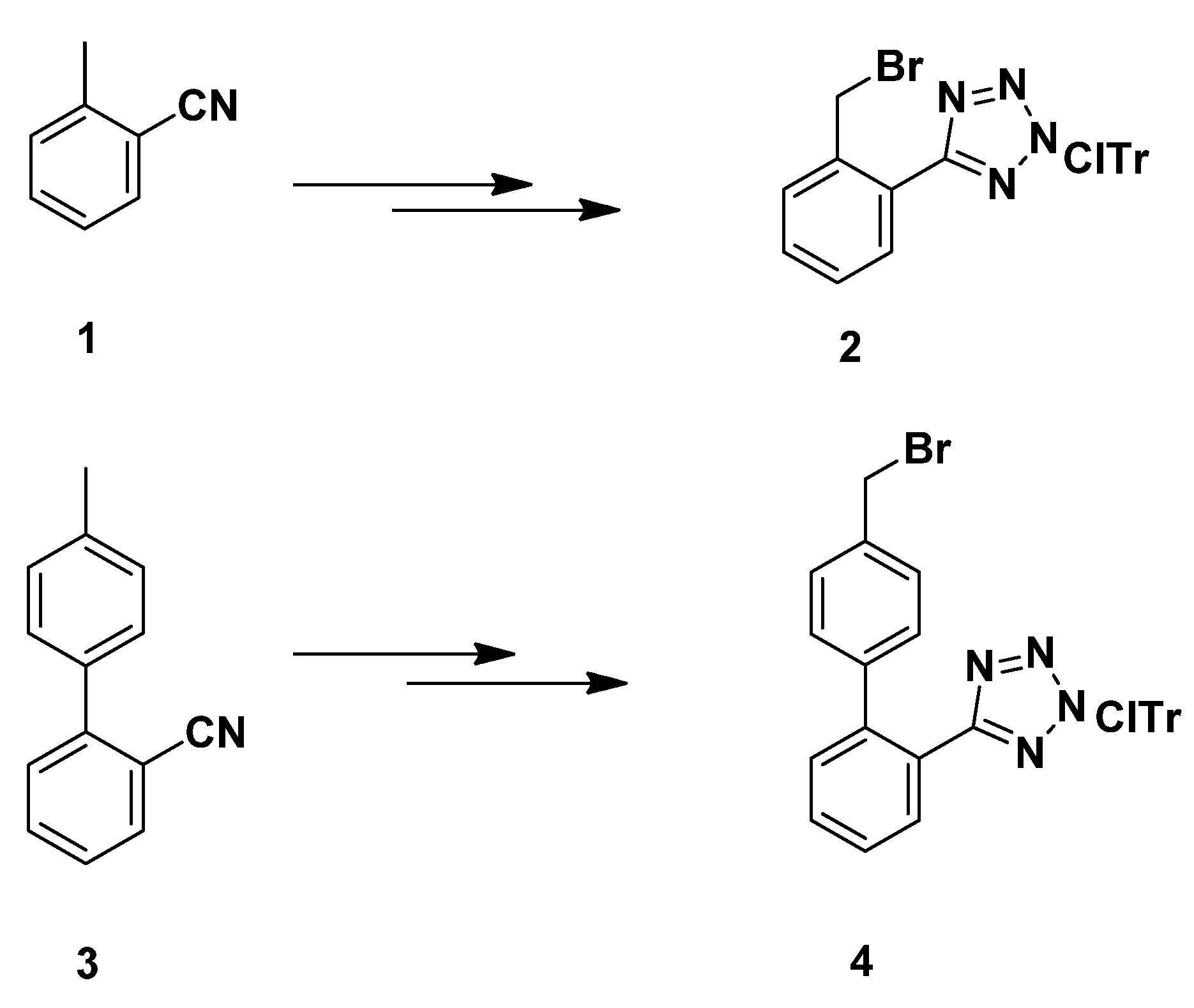
The intermediates 2 and 4 that were used to introduce the benzyl and the biphenylmethyl moiety to the imidazole ring were obtained according to reported methods as outlined in Scheme 1 [8,18,24,25]. In this case, protection of the tetrazole ring with the 2-chlorotrityl group by treatment with 2-chlorotrityl chloride (ClTr-Cl), followed by benzylic bromination provided the requisite alkylating agents 2 and 4 [18].
Scheme 1. Synthesis of the alkylating agents 2 and 4 [8,18,24,25].
Scheme 1. Synthesis of the alkylating agents 2 and 4 [8,18,24,25].
Molecules 18 07510 g003
The preparation of N-benzyl imidazole derivatives 1012 and 14 is depicted in Scheme 2. (E)-Urocanic acid (5) was converted to the corresponding methyl ester 6 by esterification in dry methanol (MeOH) [20,26]. The 1H-NMR spectrum of 6 showed two singlet peaks at δ 7.78 and 7.43 ppm corresponding to the H-2 and H-5 of the imidazole ring, respectively. Additionally, the two vinylic protons appeared as doublets at δ 6.44 and 7.61 (J = 16.0 Hz), respectively and the methoxy group at 3.78 ppm. Alkylation of the methyl ester 6 at the N-1 position of the imidazole ring with the benzyl alkylating agent 2, in the presence of sodium hydride (NaH) in dry N,N-dimethylformamide (DMF), afforded 7 in 74% yield. The 1H-NMR spectrum of 7 showed a singlet peak at δ 5.38 assigned to the methylene protons. Catalytic hydrogenation (Pd/C) of the latter afforded the saturated derivative 8 in excellent yield (90%). The 1H-NMR spectra of 8 showed two triplet peaks at δ 2.76 and 2.56 (J = 7.2 Hz) corresponding to the methylene protons of the saturated side chain. Alkaline hydrolysis [9] of the methyl esters 7 and 8 under mild conditions using a mixture of KOH in 1:1 H2O/dioxane, led to the corresponding acids 13 and 9, respectively. Removal of the ClTr group by treatment with 30% trifluoroacetic acid (TFA) in dichloromethane (CH2Cl2), in the presence of triethylsilane (Et3SiH) as scavenger, provided the final analogues 1012 and 14.
Scheme 2. Synthesis of the target N-benzyl analogues 10, 11, 12, 14 a.
Scheme 2. Synthesis of the target N-benzyl analogues 10, 11, 12, 14 a.
Molecules 18 07510 g004
a Reagents and conditions: (i) MeOH, anhydrous Na2SO4, conc. H2SO4, reflux, 24 h; (ii) 2, NaH (powdered 95%), dry DMF, 0 °C to rt, 4 h; (iii) H2, 10% Pd-C, MeOH, rt, 3 h; (iv) KOH, H2O/dioxane (1:1), rt, 3 h; (v) 30% TFA in CH2Cl2, Et3SiH, rt, 1 h.
The synthesis of the N-biphenylmethyl imidazole derivatives 1820ac, 22ab, 24ab and 26af is demonstrated in Scheme 3. Likewise, direct alkylation of the methyl ester 6 at the N-1 position of the imidazole ring with the biphenylmethyl alkylating agent 4 afforded the 1,4-disubstituted analogue 15. The 1H-NMR data of 15 showed a singlet peak at δ 4.95 due to the methylene protons of the alkylating moiety. Subsequently, hydrogenation of 15 in the presence of 10% Pd-C as catalyst in MeOH, led to the intermediate 16. Halogenation of 16 at the C-5 position of the imidazole ring with the appropriate N-halosuccinimide (NXS, X = Cl, Br, I) [18], afforded the halogenated derivatives 17ac. The 1H-NMR spectra showed the absence of the H-5 signal of the imidazole ring at 6.47 ppm appearing in 16. Saponification of the methyl esters 1517ac was mediated by an aqueous solution of KOH in dioxane for 3 h at rt, to afford the corresponding acids 21a, 23a, 25a, 25c and 25e, respectively. The 1H-NMR spectra confirmed the absence of the methoxy group at 3.56–3.77 ppm. Treatment of the latter acids with medoxomil chloride (4-chloromethyl-5-methyl-2-oxo-1,3-dioxole) in the presence of potassium carbonate (K2CO3) in dry N,N-dimethylacetamide (DMA), [9] furnished the esters 21b, 23b, 25b, 25d and 25f. The presence of the -OCH2 protons signal at 5.02–4.71 ppm as well as the methyl protons signal at 2.02–2.16, unequivocally confirmed the introduction of the medoxomil group. Detritylation of the tetrazole group was accomplished by treatment with TFA in CH2Cl2, resulting in the target compounds 1820ac, 22ab, 24ab and 26af.
Scheme 3. Synthesis of the final N-biphenylmethyl analogues 18, 19, 20ac, 22ab, 24ab, 26af a.
Scheme 3. Synthesis of the final N-biphenylmethyl analogues 18, 19, 20ac, 22ab, 24ab, 26af a.
Molecules 18 07510 g005
a Reagents and conditions: (i) 4, NaH (powdered 95%), dry DMF, 0 °C to rt, 4 h; (ii) H2, 10% Pd-C, MeOH, rt, 3 h; (iii) NXS, X = Br, I in dry DMF or NCS in MeCN, 0 °C to rt, 4 h; (iv) 30% TFA in CH2Cl2, Et3SiH, rt, 1 h; (v) KOH, H2O/dioxane (1:1), rt, 3 h; (vi) K2CO3, dry DMA, 4-chloromethyl-5-methyl-2-oxo-1,3-dioxole, rt, 4 h.
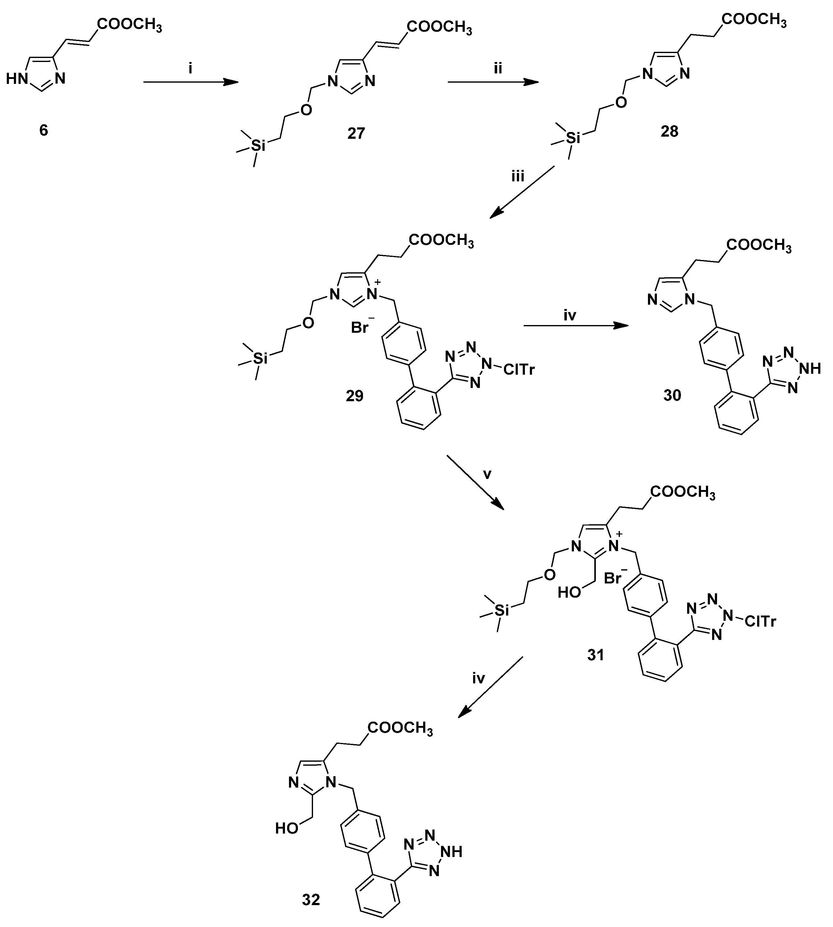
Finally, the preparation of the N-biphenylmethyl imidazole derivatives 30 and 32 is depicted in Scheme 4. Firstly, the imidazole ring was protected at the N-1 by the 2-(trimethylsilyl)ethoxymethyl (SEM) group using standard conditions [18,27,28]. Thus, treatment of the unsaturated methyl ester 6 with SEM-Cl in the presence of NaH in dry DMF, at ambient temperature for 2 h, led to 27 in 78% yield. It is worth noting, that using the latter reaction conditions only the desired 1,4-regioisomer was formed, as indicated by HPLC and 1H-NMR.
Scheme 4. Synthesis of the final N-biphenylmethyl substituted analogues 30 and 32 a.
Scheme 4. Synthesis of the final N-biphenylmethyl substituted analogues 30 and 32 a.
Molecules 18 07510 g006
a Reagents and conditions: (i) SEM-Cl, NaH (powdered 95%), dry DMF, 0 °C to rt, 2 h; (ii) H2, 10% Pd-C, MeOH, rt, 3 h; (iii) 4, CH2Cl2, reflux, 3 h; (iv) 30% TFA in CH2Cl2, Et3SiH, rt, 1 h; (v) 37% formalin, diisopropylethylamine, DMF, 85 °C, 1 h.
The resulting derivative 27 was subjected to hydrogenation in the presence of catalyst 10% Pd-C in MeOH to afford 28, in 91% yield. Regioselective alkylation at the N-3 position was performed in the presence of the alkylating reagent 4 in CH2Cl2 under reflux for 3 h, resulting in the intermediate salt 29 in high yield (81%). Thus, the SEM group was proven to be an excellent choice for the protection of the N-1 followed by regioselective alkylation at the N-3 of the imidazole ring. At this point, we were ready to perform the introduction of the hydroxymethyl group at the C-2 of the imidazole ring of the alkylated analogue 29. According to our strategy [18], the hydroxymethylation was promptly carried out in a sealed tube by treatment with diisopropylethylamine and 37% formalin in DMF at 85 °C for 1 h. The obtained residue was purified by column chromatography to afford the hydroxymethylated product 31 in excellent yield (91%) and purity. The 1H-NMR spectrum of 31 showed the presence of a singlet peak at 4.72 ppm due to the hydroxymethyl protons. Removal of the ClTr group by means of 30% TFA in CH2Cl2 and Et3SiH led to the 1,5-disubstituted imidazole analogues 30 and 32.

2.2. Pharmacology

The new synthesized analogues were evaluated in radioligand binding assay at a final concentration of 10−5 M. Although the used concentration was high enough, there were indications for moderate activity of the analogues 12 and 18. Competitive binding experiments revealed that the latter analogues caused 40.1% and 59.4% displacement of [125I]-Sar1-Ile8-ANG II from the AT1 receptor, respectively, whereas losartan at the same conditions caused 100% displacement.

2.3. Docking Studies

The synthesized analogues have been rationalized based on their highest docking scores (Table 1). We notice that some of these analogues show higher scoring than losartan as reported in our previous paper [18].
Table 1. Highest Docking Scores of the synthesized analogues obtained with GLIDE/IFD a.
Table 1. Highest Docking Scores of the synthesized analogues obtained with GLIDE/IFD a.
CompoundsDocking Score
Losartan−12.114
10−9.625
12−10.276
18−12.089
19−11.395
20a−10.397
20b−11.099
20c−11.899
22a−11.577
22b−14.401
24a−12.321
24b−13.570
26a−10.577
26b−13.463
26c−9.404
26d−13.047
26e−13.168
26f−12.017
30−12.281
32−11.012
a Induced Fit Docking/XP module.
However, high scores could not rationalize the pharmacological results which showed that most of the synthesized analogues were inactive and only few of them showed moderate activity. In order to comprehend the pharmacological data, we have used as a template for comparison the putative bioactive conformation of losartan in the AT1 receptor presented by the pose of Figure 1a. Interestingly, the inactive compounds adopted losartan’s orientation with poses of low scoring. The highest scoring orientations differed from that of losartan (Figure 1). As a result of this, the inactive compounds, even though docked in the same cavity, exerted different critical interactions that explain their inability to possess pharmacological activity. This is also applied with analogues 12 and 18 that showed 40.1% and 59.4% displacement of [125I]-Sar1-Ile8-ANG II from the AT1 receptor (Figure 2).
Figure 1. Ligand interactions of a losartan; b and c analogue 12; d and e analogue 18 with the aminoacids of the active site of AT1; (b and d represent orientations of analogues 12 and 18 with the highest scoring and c and e. represent orientations with low scoring).
Figure 1. Ligand interactions of a losartan; b and c analogue 12; d and e analogue 18 with the aminoacids of the active site of AT1; (b and d represent orientations of analogues 12 and 18 with the highest scoring and c and e. represent orientations with low scoring).
Molecules 18 07510 g001aMolecules 18 07510 g001b
As it is shown in Figure 1b,d the poses that showed the highest scoring (12, −10.276 kcal/mol and 18, −12.089 kcal/mol), adopted orientations that did not match that of losartan. For example, analogue 18 is lacking the hydrogen bonding with Lys199 and both 12 and 18 are lacking the hydrogen bonding with His183, Gln257 and Tyr113. However, the poses that resembled the orientation of losartan (Figure 1c,e) showed low scorings (12, −8.779 kcal/mol and 18, −5.217 kcal/mol). This is attributed to the fact that both 12 and 18 cannot adopt the maximal critical interactions. For example, 18 forms only two hydrogen bondings (losartan forms four) and 12 only one. It appears that docking experiments could shed light on the required molecular interactions for drug activity only when pharmacological data were obtained.
Figure 2. a. Superimposition of losartan (green), with low scoring orientations of analogues 12 (orange) and 18 (yellow). b. with the highest scoring orientations.
Figure 2. a. Superimposition of losartan (green), with low scoring orientations of analogues 12 (orange) and 18 (yellow). b. with the highest scoring orientations.
Molecules 18 07510 g002

3. Experimental

3.1. General

Starting materials were purchased by Aldrich (Patras, Greece) and used as received. Hydrogenation reaction was carried out in a Parr hydrogenation apparatus equipped with a 4 L hydrogen tank. The 1H-NMR and 13C-NMR spectra were recorded on a Bruker Avance DPX spectrometer at 400.13 MHz and 161.76 MHz, respectively. Chemical shifts are given in δ values (ppm) using tetramethylsilane as the internal standard and coupling constants (J) are given in Hertz (Hz). HPLC analysis was performed on an Alliance Waters 2695 equipped with a Waters 2996 Photodiode Array Detector UV-Vis, using the XBridge Waters C18 column (4.6 × 150 mm, 3.5 μm) as stationary phase and a gradient of H2O/MeCN both containing 0.08% TFA as mobile phase. Electrospray-ionization mass spectra (ESI-MS) were obtained on a UPLC (ultra performance liquid chromatography) equipped with SQ detector AcquityTM by Waters. All reactions were carried out in anhydrous solvents. Analytical TLC was performed on silica gel 60 F254 plates (Merck, Germany) and visualized by UV irradiation and iodine. Silica gel 60N (particle size 0.04–0.063 mm) was used for column chomatography.

3.2. Synthesis

3.2.1. General Procedure 1: Alkylation of the (E)-urocanic Methyl Esters at the Ν-1 Position

To a solution of 6 (2.0 g, 13.16 mmol) in dry DMF (25 mL), dry ΝaH (powdered 95%, 0.35 g, 14.47 mmol) was added and the resulting suspension was stirred for 30 min at 0 °C under nitrogen Then, 4 (8.56 g, 14.48 mmol) was added in two portions and the mixture was stirred for 4 h at RT. The mixture was diluted in H2O, extracted with CH2Cl2 and the organic phase was washed successively with 5% w/v citric acid, brine, dried over Na2SO4 and concentrated. The residue was purified by flash column chromatography (7:3 EtOAc:hexanes) to afford 15.

3.2.2. General Procedure 2: Catalytic Hydrogenation of the Ν-1 Alkylated (E)-Urocanic methyl Esters

A mixture of 15 (5.0 g, 7.54 mmol), 10% w/w Pd-C (0.50 g) in MeOH (20.0 mL) was stirred under a hydrogen atmosphere (3 bar) at ambient temperature for 3 h. The catalyst was filtered off by a Celite pad and the filtrate was concentrated in vacuo. The residue was purified by flash column chromatography (EtOAc) to provide 16.

3.2.3. General Procedure 3: Halogenation of the Ν-1 Alkylated Imidazole Derivatives

To a solution of 16 (1.0 g, 1.5 mmol) in dry DMF (5.0 mL) at 0 °C under nitrogen, NBS (0.29 g, 1.65 mmol) was added in three portions and the mixture was allowed to cool at room temperature. After 4 h, the solvent was removed and the residue was purified by flash column chromatography (8:2, EtOAc:hexanes) to provide 17b.

3.2.4. General Procedure 4: Alkaline Hydrolysis of the Ν-Substituted Imidazole Methyl Esters

To a solution of 16 (2.50 g, 3.75 mmol) in H2O/dioxane (10.0 mL, 1:1) was added fine powdered ΚΟΗ (2.10 g, 37.50 mmol) and the resulting mixture was stirred at ambient temperature for 3 h. The dioxane was removed by distillation in vacuo and to the residual solution was added 1 N HCl to give a white precipitate 23a which was collected by vacuum filtration.

3.2.5. General Procedure 5: Esterification of the Ν-Substituted Imidazole Carboxylic Acids with the (5-Methyl-2-oxo-1,3-dioxol-4-yl)methyl or Medoxomil Group

To a solution of 23a (2.0 g, 3.07 mmol) in dry DMA (5.0 mL) under nitrogen was added K2CO3 (0.88 g, 6.41 mmol) and the mixture was stirred at ambient temperature for 30 min. A solution of 4-chloromethyl-5-methyl-2-oxo-1,3-dioxole (0.67 g, 4.56 mmol) in dry DMA was added dropwise and the resulting mixture was stirred for 4 h. Then, the mixture was diluted with EtOAc and the organic phase was washed with H2O, brine, dried over Na2SO4 and concentrated in vacuo. The crude product was purified by flash column chromatography (8:2 EtOAc:hexanes) to afford 23b.

3.2.6. General Procedure 6: Removal of the 2-Chlorotrityl Protecting Group

To a solution of 16 (0.50 g, 0.75 mmol) in 30% TFA in CH2Cl2 (2.0 mL), TES (0.10 mL, 0.63 mmol) was added dropwise and the resulting solution was stirred for 1 h at ambient temperature. The reaction mixture was concentrated and recrystallized from diethyl ether to afford 19.

3.2.7. Synthesis of 1,4-Disubstituted Benzyl Analogues 10, 11, 12, 14

N-(2-Chlorotrityl)-5-(2-bromobenzyl)tetrazole (2). Prepared from 1 according to the literature method [8,18,24,25]. Yield 78%; Rf = 0.46 (2:8 EtOAc:hexanes); ESI-MS (m/z): 238.27 (M+H+-ClTr), 277.78 (ClTr); 1H-NMR (CDCl3): δ 8.22–8.18 (m, 1H), 7.51–7.32 (m, 12H), 7.25–7.21 (m, 4H), 6.86 (d, 1H, J = 7.6 Hz), 4.92 (s, 2H); 13C-NMR (CDCl3): δ 162.90, 141.28, 136.87, 131.64, 130.46, 129.96, 128.94, 128.42, 127.96, 127.84, 127.29, 126.43, 83.45, 32.42. Anal. Calcd for C27H20N4ClBr (%): C: 62.87; H: 3.91; N: 10.86. Found (%): C: 62.99; H: 4.00; N: 10.54.
Methyl 3-(1H-imidazol-4-yl)acrylate (6). Prepared from 5 according to the literature method [20,26]. Yield 95%; M.p. 92–94 °C; Rf = 0.42 (9:1 CHCl3:MeOH); ESI-MS (m/z): 153.22 (M+H+); 1Η-ΝΜR (CD3OD): δ 7.78 (s, 1H), 7.61 (d, 1Η, J = 16.0 Hz), 7.43 (s, 1H), 6.44 (d, 1H, J = 16.0 Hz), 3.78 (s, 3H); 13C-NMR (CDCl3): δ 168.14, 137.43, 135.25, 134.35, 124.0, 114.35, 50.61. Anal. Calcd for C7H8N2O2 (%): C: 55.26; H: 5.30; N: 18.41. Found (%): C: 55.21; H: 5.39; N: 18.37. All data were consistent with literature [26].
(E)-Methyl 1-[[1-[[N-(2-chlorotrityl)]-1H-tetrazol-5-yl]phenyl-2-yl]methyl]imidazole-4-acrylate (7). General procedure 1 was employed for the preparation of 7 using 2 as alkylating agent. Yield 74%; Rf = 0.38 (8:2 EtOAc:hexanes); ESI-MS (m/z): 587.27 (M+H+), 309.37 (M+H+-ClTr), 277.88 (ClTr); 1Η-ΝΜR (CDCl3): δ 8.28 (dd, 1H, J = 2.0, 7.6 Hz), 7.53–7.10 (m, 19H), 6.76 (s, 1H), 6.48 (d, 1H, J = 15.6 Hz), 5.38 (s, 2H), 3.77 (s, 3H). Anal. Calcd for C34H27N6O2Cl (%): C: 74.02; H: 4.30; N: 13.28. Found (%): C: 73.96; H: 4.22; N: 13.32.
Methyl 1-[[1-[[N-(2-chlorotrityl)]-1H-tetrazol-5-yl]phenyl-2-yl]methyl]imidazole-4-propanoate (8). General procedure 2 was employed for the preparation of 8. Yield 90%; Rf = 0.45 (9:1 CHCl3:MeOH); ESI-MS (m/z): 589.17 (M+H+), 311.45 (M+H+-ClTr), 277.38 (ClTr); 1Η-ΝΜR (CDCl3): δ 8.18–8.15 (m, 1H), 7.42–7.26 (m, 9H), 7.07–6.99 (m, 9H), 6.37 (s, 1H), 5.27 (s, 2H), 3.57 (s, 3H), 2.76 (t, 2H, J = 7.2 Hz), 2.56 (t, 2H, J = 7.2 Hz). Anal. Calcd for C34H29N6O2Cl (%): C: 69.32; H: 4.96; N: 14.27. Found (%): C: 69.45; H: 4.88; N: 14.32.
1-[[1-[[N-(2-Chlorotrityl)]-1H-tetrazol-5-yl]phenyl-2-yl]methyl]imidazole-4-propanoic acid (9). General procedure 4 was employed for the preparation of 9. Yield 93%; Rf = 0.31 (8.5:1.5 CHCl3:MeOH); ESI-MS (m/z): 576.19 (M+H+), 299.63 (M+H+-ClTr), 277.77 (ClTr); 1Η-ΝΜR (CDCl3): δ 8.31 (d, 1Η, J = 7.2 Hz), 7.54–7.11 (m, 17H), 6.85 (d, 1H, J = 7.6 Hz), 6.42 (s, 1H), 5.40 (s, 2H), 2.73 (bs, 2H), 2.65 (bs, 2H). Anal. Calcd for C33H27N6O2 (%): C: 68.92; H: 4.73; N: 14.61. Found (%): C: 68.92; H: 4.73; N: 14.61.
Methyl 1-[[1-(1H-tetrazol-5-yl)phenyl-2-yl]methyl]imidazole-4-propanoate (10). General procedure 6 was employed for the preparation of 10. Yield 91%; Rf = 0.48 (8:2 CHCl3:MeOH); ESI-MS (m/z): 313.34 (M+H+); 1Η-ΝΜR (CD3OD): δ 8.80 (s, 1H), 7.96-7.93 (m, 1H), 7.64–7.60 (m, 3H), 7.33 (s, 1Η), 5.75 (s, 2H), 3.65 (s, 3H), 2.94 (t, 2H, J = 7.2 Hz), 2.69 (t, 2H, J = 7.2 Hz). Anal. Calcd for C15H16N6O2∙CF3COOH (%): C: 47.89; H: 4.02; N: 19.71. Found (%): C: 47.78; H: 3.95; N: 19.87.
1-[[1-(1H-Tetrazol-5-yl)phenyl-2-yl]methyl]imidazole-4-propanoic acid (11). General procedure 6 was employed for the preparation of 11. Yield 88%; Rf = 0.37 (4:1:1 n-butanol:acetic acid:H2O); ESI-MS (m/z): 297.24 (M+H+); 1Η-ΝΜR (CD3OD): δ 8.83 (s, 1H), 7.97–7.93 (m, 1H), 7.65–7.59 (m, 3H), 7.36 (s, 1H), 5.76 (s, 2H), 2.93 (t, 2H, J = 7.2 Hz), 2.66 (t, 2H, J = 7.2 Hz). Anal. Calcd for C14H14N6O2∙CF3COOH (%): C: 46.11; H: 3.67; N: 20.38. Found (%): C: 46.02; H: 3.57; N: 20.48.
(E)-Methyl 1-[[1-(1H-tetrazol-5-yl)phenyl-2-yl]methyl]imidazole-4-acrylate (12). General procedure 6 was employed for the preparation of 12. Yield 95%; Rf = 0.48 (8:2 CHCl3:MeOH); ESI-MS (m/z): 311.24 (M+H+); 1Η-ΝΜR (DMSO-d6): δ 8.46 (s, 1H), 7.90 (s, 1H), 7.79 (s, 1H), 7.62 (bs, 2H), 7.58 (m, 4Η), 7.50 (d, 1H, J = 15.6 Hz), 7.34 (s, 1H), 6.46 (d, 1H, J = 15.6 Hz), 5.68 (s, 2H), 3.78 (s, 3H). Anal. Calcd for C15H14N6O2∙CF3COOH (%): C: 48.12; H: 3.56; N: 19.81. Found (%): C: 48.22; H: 3.47; N: 19.71.
(E)-1-[[1-[[N-(2-Chlorotrityl)]-1H-tetrazol-5-yl]phenyl-2-yl]methyl]imidazole-4-acrylic acid (13). General procedure 4 was employed for the preparation of 13. Yield 95%; Rf = 0.30 (9:1 CHCl3:MeOH); ESI-MS (m/z): 574.15 (M+H+), 297.54 (M+H+-ClTr), 277.78 (ClTr); 1Η-ΝΜR (CDCl3): δ 8.28 (d, 2Η, J = 5.6 Hz), 7.52–7.23 (m, 12H), 7.10 (d, 6H, J = 5.6 Hz), 6.74 (bs, 1H), 6.44 (d, 1H, J = 15.6 Hz), 5.36 (s, 2H). Anal. Calcd for C33H25N6O2Cl (%): C: 69.17; H: 4.40; N: 14.67. Found (%): C: 69.11; H: 4.29; N: 14.72.
(E)-1-[[1-(1H-Tetrazol-5-yl)phenyl-2-yl]methyl]imidazole-4-acrylic acid (14). General procedure 6 was employed for the preparation of 14. Yield 95%; Rf = 0.50 (4:1:1 n-butanol:acetic acid:H2O); ESI-MS (m/z): 297.30 (M+H+); 1Η-ΝΜR (CD3OD): δ 8.85 (s, 1H), 7.98–7.95 (m, 1H), 7.84 (s, 1H), 7.72–7.64 (m, 3H), 7.48 (d, 1H, J = 16.0 Hz), 6.49 (d, 1H, J = 16.0 Hz), 5.80 (s, 2H). Anal. Calcd for C14H12N6O2∙CF3COOH (%): C: 48.12; H: 3.56; N: 19.81. Found (%): C: 48.22; H: 3.47; N: 19.71.

3.2.8. Synthesis of 1,4-Disubstituted biphenylmethyl analogues 18, 19, 20ac, 22ab, 24ab, 26af

Ν-(2-Chlorotrityl)-5-[4′-(bromomethyl)biphenyl-2-yl]tetrazole (4). Prepared from 3 according to the literature method [8,19,25,26]. Yield 80%; M.p. 155–157 °C; Rf = 0.33 (1.5:8.5 EtOAc:hexanes); ESI-MS (m/z): 315.48 (M+H+-ClTr), 277.22 (ClTr); 1Η-ΝΜR (CDCl3): δ 8.02–7.89 (m, 1H), 7.60–6.87 (m, 20H), 6.79 (dd, 1H, J = 1.5, 8.0 Hz), 4.43 (s, 2H); 13C-NMR (CDCl3): δ 163.95, 141.63, 141.47, 140.64, 139.49, 136.34, 132.13, 131.75, 130.79, 130.53, 130.15, 129.69, 128.87, 128.66, 127.97, 127.91, 126.68, 81.96, 33.45. Anal. Calcd for C33H24Ν4ClBr (%): C: 66.96; H: 4.09; N: 9.47. Found (%): C: 66.88; H: 4.15; N: 9.42.
(E)-Methyl 1-[[2′-[[N-(2-chlorotrityl)]-1H-tetrazol-5-yl]biphenyl-4-yl]methyl]imidazole-4-acrylate (15). General procedure 1 was employed for the preparation of 15 using 4 as alkylating agent. Yield 73%; Rf = 0.50 (EtOAc); ESI-MS (m/z): 664.19 (M+H+), 387.29 (M+H+-ClTr), 277.38 (ClTr); 1Η-ΝΜR (CDCl3): δ 8.28 (dd, 1H, J = 1.8, 7.6 Hz), 7.53–7.12 (m, 22H), 6.84 (m, 2H), 6.54 (d, 1H, J = 15.6 Hz), 4.95 (s, 2H), 3.77 (s, 3H); 13C-NMR (CDCl3): δ 168.20, 137.43, 162.87, 140.48, 139.14, 138.89, 138.22, 136.33, 134.05, 132.22, 131.84, 130.99, 130.54, 129.29, 128.86, 128.30, 126.97, 126.31, 122.18, 115.53, 82.66, 51.63, 49.53. Anal. Calcd for C40H31N6O2Cl (%): C: 72.44; H: 4.71; N: 12.67. Found (%): C: 72.38; H: 4.77; N: 12.62.
Methyl 1-[[2′-[[N-(2-chlorotrityl)]-1H-tetrazol-5-yl]biphenyl-4-yl]methyl]imidazole-4-propanoate (16). General procedure 2 was employed for the preparation of 16. Yield 88%; Rf = 0.55 (9:1 CHCl3:MeOH); ESI-MS (m/z): 666.19 (M+H+), 388.39 (M+H+-ClTr), 277.77 (ClTr); 1Η-ΝΜR (CDCl3): δ 7.98 (dd, 1H, J = 2.0, 7.6 Hz), 7.53–7.12 (m, 14H), 6.89–6.83 (m, 7H), 6.72 (dd, 1H, J = 1.2, 8.0 Hz), 6.47 (s, 1H), 4.87 (s, 2H), 3.65 (s, 3H), 2.84 (t, 2H, J = 7.6 Hz), 2.64 (t, 2H, J = 7.6 Hz). Anal. Calcd for C40H33N6O2Cl (%): C: 72.23; H: 5.00; N: 12.63. Found (%): C: 72.18; H: 5.09; N: 12.57.
Methyl 5-chloro-1-[[2′-[[N-(2-chlorotrityl)]-1H-tetrazol-5-yl]biphenyl-4-yl]methyl]imidazole-4-propanoate (17a). General procedure 3 was employed for the preparation of 17a using NCS in MeCN. Yield 85%; Rf = 0.49 (EtOAc); ESI-MS (m/z): 700.59 (M+H+), 422.86 (M+H+-ClTr), 277.77 (ClTr); 1Η-ΝΜR (CDCl3): δ 7.97 (dd, 1Η, J = 1.2, 7.2 Hz), 7.52–7.14 (m, 15H), 6.90–6.84 (m, 6H), 6.72 (d, 1H, J = 8.0 Hz), 4.89 (s, 2H), 3.68 (s, 3H), 2.87 (t, 2H, J = 7.6 Hz), 2.70 (t, 2H, J = 7.6 Hz). C40H32Cl2N6O2. Anal. Calcd for C40H32N6O2Cl2 (%): C: 68.67; H: 4.61; N: 12.01. Found (%): C: 67.92; H: 4.78; N: 11.84.
Methyl 5-bromo-1-[[2′-[[N-(2-chlorotrityl)]-1H-tetrazol-5-yl]biphenyl-4-yl]methyl]imidazole-4-propanoate (17b). General procedure 3 was employed for the preparation of 17b using NBS in DMF. Yield 68%; Rf = 0.47 (EtOAc); ESI-MS (m/z): 745.54 (M+H+), 467.80 (M+H+-ClTr), 277.80 (ClTr); 1Η-ΝΜR (CDCl3): δ 7.84 (dd, 1H, J = 1.2, 7.2 Hz ), 7.46-7.24 (m, 8H), 7.18-6.79 (m, 13H), 6.68 (dd, 1H, J = 1.6, 8.0 Hz), 4.88 (s, 2H), 3.56 (s, 3H), 2.73 (t, 2H, J = 7.6 Hz), 2.58 (t, 2H, J = 7.6 Hz). Anal. Calcd for C40H32N6O2ClBr (%): C: 64.57; H: 4.33; N: 11.29. Found (%): C: 64.68; H: 4.40; N: 11.23.
Methyl 5-iodo-1-[[2′-[[N-(2-chlorotrityl)]-1H-tetrazol-5-yl]biphenyl-4-yl]methyl]imidazole-4-propanoate (17c). General procedure 3 was employed for the preparation of 17c using NIS in DMF. Yield 70%; Rf = 0.46 (EtOAc); ESI-MS (m/z): 792.48 (M+H+), 514.44 (M+H+-ClTr), 277.76 (ClTr); 1Η-ΝΜR (CD3OD): δ 7.58 (d, 1H, J = 7.6 Hz), 7.49–7.23 (m, 13H), 7.16–7.00 (m, 8H), 6.83 (d, 1H, J = 8.0 Hz), 5.15 (s, 2H), 3.57 (s, 3H), 2.78 (t, 2H, J = 7.6 Hz), 2.57 (t, 2H, J = 7.6 Hz). Anal. Calcd for C40H32N6O2ClI (%): C: 60.73; H: 4.08; N: 10.62. Found (%): C: 60.66; H: 4.14; N: 10.56.
(E)-Methyl 1-[[2′-(1H-tetrazol-5-yl)biphenyl-4-yl]methyl]imidazole-4-acrylate (18). General procedure 6 was employed for the preparation of 18. Yield 94%; Rf = 0.51 (8.5:1.5 CHCl3:MeOH); ESI-MS (m/z): 387.15 (M+H+); 1Η ΝΜR (400 MHz, DMSO-d6): δ 8.49 (s, 1H), 7.87 (s, 1H), 7.68–7.54 (m, 4H), 7.53 (d, 1H, J = 15.6 Hz), 7.27 (d, 2H, J = 7.6 Hz), 7.13 (d, 2H, J = 8.0 Hz), 6.48 (d, 1H, J = 15.6 Hz), 5.32 (s, 2H), 3.71 (s, 3H). Anal. Calcd for C21H18N6O2∙CF3COOH (%): C: 55.20; H: 3.83; N: 16.79. Found (%): C: 55.11; H: 3.72; N: 16.84.
Methyl 1-[[2′-(1H-tetrazol-5-yl)biphenyl-4-yl]methyl]imidazole-4-propanoate (19). General procedure 6 was employed for the preparation of 19. Yield 89%; Rf = 0.49 (8.5:1.5 CHCl3:MeOH); ESI-MS (m/z): 389.13 (M+H+); 1Η-ΝΜR (CD3OD): δ 7.91 (d, 1H, J = 7.5 Hz), 7.62-6.76 (m, 9H), 6.62 (s, 1H), 5.04 (s, 2H), 3.64 (s, 3H), 2.76 (t, 2H, J = 7.2 Hz), 2.56 (t, 2H, J = 7.2 Hz); 13C-NMR (CD3OD): δ 167.99, 163.90, 141.79, 141.32, 140.68, 139.38, 138.96, 137.53, 136.06, 135.08, 131.47, 130.72, 130.30, 129.66, 128.36, 127.80, 127.31, 126.52, 114.82, 50.85, 50.37, 35.75, 29.83. Anal. Calcd for C21H20N6O2∙CF3COOH (%): C: 54.98; H: 4.21; N: 16.73. Found (%): C: 54.86; H: 4.33; N: 16.61.
Methyl 5-chloro-1-[[2′-(1H-tetrazol-5-yl)biphenyl-4-yl]methyl]imidazole-4-propanoate (20a). General procedure 6 was employed for the preparation of 20a. Yield 95%; Rf = 0.53 (8.5:1.5 CHCl3:MeOH); ESI-MS (m/z): 423.92 (M+H+); 1Η-ΝΜR (CD3OD): δ 8.30 (s, 1H), 7.71-7.60 (m, 2H), 7.23–7.18 (m, 4H), 5.32 (s, 2H), 3.66 (s, 3H), 2.92 (t, 2H, J = 7.2 Hz), 2.70 (t, 2H, J = 7.2 Hz). Anal. Calcd for C21H19N6O2Cl∙CF3COOH (%): C: 51.45; H: 3.75; N: 15.65. Found (%): C: 51.37; H: 3.83; N: 16.51.
Methyl 5-bromo-1-[[2′-(1H-tetrazol-5-yl)biphenyl-4-yl]methyl]imidazole-4-propanoate (20b). General procedure 6 was employed for the preparation of 20b. Yield 93%; Rf = 0.52 (8.5:1.5 CHCl3:MeOH); ESI-MS (m/z): 468.39 (M+H+); 1Η-ΝΜR (CD3OD): δ 8.80 (s, 1H), 7.70–7.56 (m, 4H), 7.26–7.18 (m, 4H), 5.40 (s, 2H), 3.66 (s, 3H), 2.97 (t, 2H, J = 7.2 Hz), 2.73 (t, 2H, J = 7.2 Hz). Anal. Calcd for C21H19N6O2Br∙CF3COOH (%): C: 47.52; H: 3.47; N: 14.46. Found (%): C: 47.63; H: 3.36; N: 14.55.
Methyl 5-iodo-1-[[2′-(1H-tetrazol-5-yl)biphenyl-4-yl]methyl]imidazole-4-propanoate (20c). General procedure 6 was employed for the preparation of 20c. Yield 95%; Rf = 0.53 (8.5:1.5 CHCl3:MeOH); ESI-MS (m/z): 515.38 (M+H+); 1Η-ΝΜR (CD3OD): δ 8.37 (s, 1H), 7.62–7.51 (m, 4H), 7.09 (s, 4H), 5.23 (s, 2H), 3.58 (s, 3H), 2.84 (t, 2H, J = 7.2 Hz), 2.60 (t, 2H, J = 7.2 Hz). Anal. Calcd for C21H19N6O2I∙CF3COOH (%): C: 43.96; H: 3.21; N: 13.37. Found (%): C: 43.87; H: 3.34; N: 13.44.
(E)-1-[[2′-[[N-(2-Chlorotrityl)]-1H-tetrazol-5-yl]biphenyl-4-yl]methyl]imidazole-4-acrylic acid (21a). General procedure 4 was employed for the preparation of 21a. Yield 90%; Rf = 0.38 (9:1 CHCl3:MeOH); ESI-MS (m/z): 650.17 (M+H+), 372.80 (M+H+-ClTr), 277.76 (ClTr); 1Η-ΝΜR (DMSO-d6): δ 7.81 (d, 1H, J = 7.6 Hz), 7.62–7.49 (m, 4H), 7.45–7.30 (m, 9H), 7.29 (d, 1H, J = 15.6 Hz), 7.11–7.06 (m, 4H), 6.78 (d, 4H, J = 7.6 Hz), 6.68 (d, 1Η, J = 8.0 Hz), 6.44 (d, 1H, J = 15.6 Hz), 5.12 (s, 2H). Anal. Calcd for C39H29N6O2Cl (%): C: 72.16; H: 4.50; N: 12.95. Found (%): C: 72.09; H: 4.58; N: 12.89.
(E)-(5-Methyl-2-oxo-1,3-dioxol)methyl-1-[[2′-[[N-(2-chlorotrityl)]-1H-tetrazol-5-yl]biphenyl-4-yl]-methyl]imidazole-4-acrylate (21b). General procedure 5 was employed for the preparation of 21b. Yield 84%; Rf = 0.52 (EtOAc); ESI-MS (m/z): 762.165 (M+H+), 484.44 (M+H+-ClTr), 277.76 (ClTr); 1Η-ΝΜR (DMSO-d6): δ 7.80 (s, 2H), 7.60–7.42 (m, 7H), 7.34–7.27 (m, 7H), 7.09 (s, 4H), 6.76 (s, 4H), 6.67 (s, 1H), 6.28 (d, 1H, J = 16.0 Hz), 5.12 (s, 2H), 5.02 (s, 2H), 2.16 (s, 3H). Anal. Calcd for C44H33N6O5Cl (%): C: 69.42; H: 4.37; N: 11.04. Found (%): C: 69.39; H: 4.32; N: 10.98.
(E)-1-[[2′-(1H-Tetrazol-5-yl)biphenyl-4-yl]methyl]imidazole-4-acrylic acid (22a). General procedure 6 was employed for the preparation of 22a. Yield 95%; Rf = 0.38 (4:1:1 n-butanol:acetic acid:H2O); ESI-MS (m/z): 373.44 (M+H+); 1Η-ΝΜR (DMSO-d6): δ 8.56 (s, 1H), 7.84 (s, 1H), 7.66 (s, 2H), 7.58 (s, 1H), 7.52 (s, 1H), 7.42 (d, 1H, J = 16.0 Hz), 7.26 (s, 2H), 7.11 (s, 2H), 6.40 (d, 1H, J = 16.0 Hz), 5.31 (s, 2H). Anal. Calcd for C20H16N6O2∙CF3COOH (%): C: 54.32; H: 3.52; N: 17.28. Found (%): C: 54.45; H: 3.41; N: 17.39.
(E)-(5-Methyl-2-oxo-1,3-dioxol)methyl-1-[[2′-(1H-tetrazol-5-yl)biphenyl-4-yl]methyl]imidazole-4-acrylate (22b). General procedure 6 was employed for the preparation of 22b. Yield 94%; Rf = 0.52 (8.5:1.5 CHCl3:MeOH); ESI-MS (m/z): 485.52 (M+H+); 1Η-ΝΜR (DMSO-d6): δ 8.10 (s, 1H), 7.76 (s, 1H), 7.65 (s, 2H), 7.57–7.51 (m, 3H), 7.24–7.20 (m, 2H), 7.11–7.07 (m, 2H), 6.38 (d, 1H, J = 16.0 Hz), 5.24 (s, 2H), 5.04 (s, 2H), 2.16 (s, 3H). Anal. Calcd for C25H20N6O5∙CF3COOH (%): C: 54.18; H: 3.54; N: 14.04. Found (%): C: 54.08; H: 3.41; N: 14.17.
1-[[2′-[[N-(2-Chlorotrityl)]-1H-tetrazol-5-yl]biphenyl-4-yl]methyl]imidazole-4-propanoic acid (23a). General procedure 4 was employed for the preparation of 23a. Yield 93%; Rf = 0.33 (9:1 CHCl3:MeOH); ESI-MS (m/z): 652.19 (M+H+), 374.77 (M+H+-ClTr), 277.77 (ClTr); 1Η-ΝΜR (DMSO-d6): δ 7.82–7.69 (m, 1H), 7.64–7.44 (m, 6H), 7.40–7.27 (m, 7H), 7.10–7.02 (m, 4H), 7.09–6.66 (m, 6H), 5.00 (s, 2H), 2.60 (t, 2H, J = 7.2 Hz), 2.38 (t, 2H, J = 7.2 Hz). Anal. Calcd for C39H31N6O2Cl (%): C: 71.94; H: 4.80; N: 12.91. Found (%): C: 71.87; H: 4.86; N: 12.87.
(5-Μethyl-2-oxo-1,3-dioxol)methyl-1-[[2′-[[N-(2-chlorotrityl)]-1H-tetrazol-5-yl]biphenyl-4-yl]-methyl]imidazole-4-propanoate (23b). General procedure 5 was employed for the preparation of 23b. Yield 73%; Rf = 0.45 (9:1 CHCl3:MeOH); ESI-MS (m/z): 764.21 (M+H+), 486.56 (M+H+-ClTr), 277.76 (ClTr); 1Η-ΝΜR (CDCl3): δ 7.96 (d, 1H, J = 7.2 Hz), 7.49–7.31 (m, 9H), 7.22–7.18 (m, 5H), 7.13 (d, 2H, J = 8.0 Hz), 6.92-6.84 (m, 5H), 6.82 (s, 1H), 6.72 (d, 1H, J = 8.0 Hz), 4.88 (s, 2H), 4.81 (s, 2H), 2.83 (t, 2H, J = 7.2 Hz), 2.68 (t, 2H, J = 7.2 Hz), 2.16 (s, 3H). Anal. Calcd for C44H35N6O5Cl (%): C: 69.24; H: 4.62; N: 11.01. Found (%): C: 69.19; H: 4.67; N: 11.08.
1-[[2′-(1H-Tetrazol-5-yl)biphenyl-4-yl]methyl]imidazole-4-propanoic acid (24a). General procedure 6 was employed for the preparation of 24a. Yield 92%; Rf = 0.33 (4:1:1 n-butanol:acetic acid:H2O); ESI-MS (m/z): 375.41 (M+H+); 1Η-ΝΜR (CD3OD): δ 8.89 (s, 1H), 7.71–7.67 (m, 2Η), 7.60–7.56 (m, 2H), 7.39 (s, 1H), 7.35 (d, 2H, J = 7.2 Hz), 7.20 (d, 2H, J = 7.2 Hz), 5.50 (s, 2H), 2.98 (t, 2H J = 7.2 Hz), 2.71 (t, 2H, J = 7.2 Hz). Anal. Calcd for C20H18N6O2∙CF3COOH (%): C: 54.10; H: 3.92; N: 17.21. Found (%): C: 54.17; H: 3.81; N: 17.32.
(5-Methyl-2-oxo-1,3-dioxol)methyl-1-[[2′-(1H-tetrazol-5-yl)biphenyl-4-yl]methyl]imidazole-4-propanoate (24b). General procedure 6 was employed for the preparation of 24b. Yield 87%; Rf = 0.49 (8.5:1.5 CHCl3:MeOH); ESI-MS (m/z): 487.56 (M+H+); 1Η-ΝΜR (DMSO-d6): δ 9.06 (s, 1H), 7.67–7.12 (m, 9H), 5.35 (s, 2H), 4.94 (s, 2H), 2.87 (t, 2H, J = 7.2 Hz), 2.74 (t, 2H, J = 7.2 Hz), 2.12 (s, 3H). Anal. Calcd for C25H22N6O5∙CF3COOH (%): C: 54.00; H: 3.86; N: 13.99. Found (%): C: 53.91; H: 3.91; N: 14.11.
5-Chloro-1-[[2′-[[N-(2-chlorotrityl)]-1H-tetrazol-5-yl]biphenyl-4-yl]methyl]imidazole-4-propanoic acid (25a). General procedure 4 was employed for the preparation of 25a. Yield 94%; Rf = 0.39 (9:1 CHCl3:MeOH); ESI-MS (m/z): 686.66 (M+H+), 408.92 (M+H+-ClTr), 277.81 (ClTr); 1Η-ΝΜR (CDCl3): δ 7.98–7.94 (m, 1H), 7.48-7.08 (m, 15H), 6.85 (d, 6H, J = 7.6 Hz), 6.71 (d, 1H, J = 8.0 Hz), 4.84 (s, 2H), 2.79 (bs, 2H), 2.58 (bs, 2H). Anal. Calcd for C39H30N6O2Cl2 (%): C: 68.31; H: 4.41; N: 12.26. Found (%): C: 68.08; H: 4.53; N: 12.57.
(5-Methyl-2-oxo-1,3-dioxol)methyl-5-chloro-1-[[2΄-[[N-(2-chlorotrityl)]-1H-tetrazol-5-yl]biphenyl-4-yl]methyl]imidazole-4-propanoate (25b). General procedure 1 was employed for the preparation of 7. Yield 82%; Rf = 0.50 (EtOAc); ESI-MS (m/z): 798.72 (M+H+), 521.03 (M+H+-ClTr), 277.78 (ClTr); 1Η-ΝΜR (CDCl3): δ 7.95 (d, 1Η, J = 7.2 Hz), 7.48–7.34 (m, 6H), 7.34–7.32 (m, 5H), 7.23 (m, 5H), 7.11 (d, 2H, J = 8.0 Hz), 6.91–6.86 (m, 8H), 4.93 (s, 2H), 4.83 (s, 2H), 2.87 (t, 2H, J = 7.2 Hz), 2.74 (t, 2H, J = 7.2 Hz), 2.15 (s, 3H). Anal. Calcd for C44H34N6O5Cl2 (%): C: 66.25; H: 4.30; N: 10.54. Found (%): C: 66.24; H: 4.18; N: 10.33.
5-Bromo-1-[[2′-[[N-(2-chlorotrityl)]-1H-tetrazol-5-yl]biphenyl-4-yl]methyl]imidazole-4-propanoic acid (25c). General procedure 4 was employed for the preparation of 25c. Yield 91%; Rf = 0.37 (9:1, CHCl3:MeOH); ESI-MS (m/z): 731.11 (M+H+), 453.36 (M+H+-ClTr), 277.76 (ClTr); 1Η-ΝΜR (CDCl3): δ 8.04 (d, 1H, J = 7.6 Hz), 7.67–7.28 (m, 15H), 7.09 (d, 2H, J = 8.0 Hz), 6.97 (d, 4H, J = 7.6 Hz), 6.87 (d, 1H, J = 8.0 Hz), 5.12 (s, 1H), 2.96–2.92 (m, 2H), 2.81–2.78 (m, 2H). Anal. Calcd for C39H30N6O2ClBr (%): C: 64.16; H: 4.14; N: 11.51. Found (%): C: 64.11; H: 4.21; N: 11.44.
(5-Methyl-2-oxo-1,3-dioxol)methyl-5-bromo-1-[[2′-[[N-(2-chlorotrityl)]-1H-tetrazol-5-yl]biphenyl-4-yl]methyl]imidazole-4-propanoate (25d). General procedure 5 was employed for the preparation of 25d. Yield 72%; Rf = 0.48 (EtOAc); ESI-MS (m/z): 843.18 (M+H+), 565.43 (M+H+-ClTr), 277.78 (ClTr); 1Η-ΝΜR (CDCl3): δ 8.03 (d, 1H, J = 7.2 Hz), 7.65–7.33 (m, 13H), 7.24 (d, 2H, J = 7.6 Hz), 6.99 (m, 4H), 6.87 (d, 1H, J = 7.6 Hz), 5.07 (s, 2H), 4.93 (s, 2H), 2.94 (t, 2H, J = 6.4 Hz), 2.82 (t, 2H, J = 6.4 Hz), 2.24 (s, 3H). Anal. Calcd for C44H34N6O5ClBr (%): C: 62.75; H: 4.07; N: 9.98. Found (%): C: 62.68; H: 4.15; N: 9.91.
5-Iodo-1-[[2′-[[N-(2-chlorotrityl)]-1H-tetrazol-5-yl]biphenyl-4-yl]methyl]imidazole-4-propanoic acid (25e). General procedure 4 was employed for the preparation of 25e. Yield 95%; Rf = 0.37 (9:1 CHCl3:MeOH); ESI-MS (m/z): 778.13 (M+H+), 500.35 (M+H+-ClTr), 277.76 (ClTr); 1Η-ΝΜR (CDCl3): δ 7.97 (d, 1H, J = 7.6 Hz), 7.72 (s, 1H), 7.49–7.17 (m, 15H), 6.93 (d, 2H, J = 7.6 Hz ), 6.88 (d, 4H, J = 7.6 Hz), 6.73 (d, 1H, J = 7.2 Hz), 4.98 (s, 2H), 2.88 (t, 2H, J = 7.2 Hz), 2.73 (t, 2H, J = 7.2 Hz). Anal. Calcd for C39H30N6O2ClI (%): C: 60.28; H: 3.89; N: 10.82. Found (%): C: 60.21; H: 3.96; N: 10.73.
(5-Methyl-2-oxo-1,3-dioxol)methyl-5-iodo-1-[[2′-[[N-(2-chlorotrityl)]-1H-tetrazol-5-yl]biphenyl-4-yl]methyl]imidazole-4-propanoate (25f). General procedure 5 was employed for the preparation of 25f. Yield 74%; Rf = 0.51 (EtOAc); ESI-MS (m/z): 890.21 (M+H+), 612.45 (M+H+-ClTr), 276.88 (ClTr); 1Η-ΝΜR (CDCl3): δ 7.77 (d, 1H, J = 7.6 Hz), 7.45–7.22 (m, 8Η), 7.15–6.80 (m, 14H), 4.86 (s, 2H), 4.71 (s, 2H), 2.71 (t, 2H, J = 7.2 Hz), 2.59 (t, 2H, J = 7.2 Hz), 2.02 (s, 3H); Anal. Calcd for C44H34N6O5ClI (%): C: 59.44; H: 3.85; N: 9.45. Found (%): C: 59.36; H: 3.94; N: 4.37.
5-Chloro-1-[[2′-(1H-tetrazol-5-yl)biphenyl-4-yl]methyl]imidazole-4-propanoic acid (26a). General procedure 6 was employed for the preparation of 26a. Yield 90%; Rf = 0.32 (4:1:1 n-butanol:acetic acid:H2O); ESI-MS (m/z): 409.31 (M+H+); 1Η-ΝΜR (CD3OD): δ 8.62 (s, 1H), 7.70 (d, 2H, J = 7.2 Hz), 7.62–7.56 (m, 2H), 7.27 (d, 2H, J = 7.6 Hz), 7.19 (d, 2H, J = 7.6 Hz), 5.38 (s, 2H), 2.94 (t, 2H, J = 7.2 Hz), 2.69 (t, 2H, J = 7.2 Hz). Anal. Calcd for C20H17N6O2Cl∙CF3COOH (%): C: 50.54; H: 3.47; N: 16.07. Found (%): C: 50.43; H: 3.58; N: 16.17.
(5-Methyl-2-oxo-1,3-dioxol)methyl-5-chloro-1-[[2′-(1H-tetrazol-5-yl)biphenyl-4-yl]methyl]imidazole-4-propanoate (26b). General procedure 6 was employed for the preparation of 26b. Yield 89%; Rf = 0.56 (8.5:1.5 CHCl3:MeOH); ESI-MS (m/z): 522.00 (M+H+); 1Η-ΝΜR (DMSO-d6): δ 8.24 (s, 1H), 7.71–7.54 (m, 4H), 7.17-7.08 (m, 4H), 5.24 (s, 2H), 4.92 (s, 2H), 2.76 (t, 2H, J = 7.6 Hz), 2.69 (t, 2H, J = 7.6 Hz), 2.13 (s, 3H). Anal. Calcd for C25H21N6O5Cl∙CF3COOH (%): C: 51.07; H: 3.49; N: 13.24. Found (%): C: 51.13; H: 3.41; N: 13.35.
5-Bromo-1-[[2′-(1H-tetrazol-5-yl)biphenyl-4-yl]methyl]imidazole-4-propanoic acid (26c). General procedure 6 was employed for the preparation of 26c. Yield 93%; Rf = 0.31 (4:1:1 n-butanol:acetic acid:H2O); ESI-MS (m/z): 454.37 (M+H+); 1Η-ΝΜR (CD3OD): δ 7.67–7.55 (m, 5H), 7.12 (s, 4H), 5.21 (s, 2H), 2.83 (t, 2H, J = 7.2 Hz), 2.60 (t, 2H, J = 7.2 Hz). Anal. Calcd for C20H17N6O2Br∙CF3COOH (%): C: 46.58; H: 3.20; N: 14.81. Found (%): C: 46.63; H: 3.32; N: 14.69.
(5-Methyl-2-oxo-1,3-dioxol)methyl-5-bromo-1-[[2′-(1H-tetrazol-5-yl)biphenyl-4-yl]methyl]imidazole-4-propanoate (26d). General procedure 6 was employed for the preparation of 26d. Yield 91%; Rf = 0.55 (8.5:1.5 CHCl3:MeOH); ESI-MS (m/z): 566.45 (M+H+); 1Η-ΝΜR (DMSO-d6): δ 7.91 (s, 1H), 7.67–7.64 (m, 2H), 7.58–7.53 (m, 2H), 7.09 (s, 4H), 5.17 (s, 2H), 4.92 (s, 2H), 2.72–2.63 (m, 4H), 2.13 (s, 3H). Anal. Calcd for C25H21N6O5Br∙CF3COOH (%): C: 47.73; H: 3.26; N: 12.37. Found (%): C: 47.83; H: 3.34; N: 13.27.
5-Iodo-1-[[2′-(1H-tetrazol-5-yl)biphenyl-4-yl]methyl]imidazole-4-propanoic acid (26e). General procedure 6 was employed for the preparation of 26e. Yield 91%, Rf = 0.29 (4:1:1 n-butanol:acetic acid:H2O); ESI-MS (m/z): 501.38 (M+H+); 1Η-ΝΜR (CD3OD): δ 8.79 (s, 1H), 7.68–7.64 (m, 2H), 7.56–7.31 (m, 4H), 7.19 (d, 2H, J = 8.0 Hz), 5.35 (s, 2H), 2.95 (t, 2H, J = 7.2 Hz), 2.68 (t, 2H, J = 7.2 Hz). Anal. Calcd for C20H17N6O2I∙CF3COOH (%): C: 43.01; H: 2.95; N: 13.68. Found (%): C: 43.13; H: 2.87; N: 13.79.
(5-Methyl-2-oxo-1,3-dioxol)methyl-5-iodo-1-[[2′-(1H-tetrazol-5-yl)biphenyl-4-yl]methyl]imidazole-4-propanoate (26f). General procedure 6 was employed for the preparation of 26f. Yield 90%; Rf = 0.56 (8.5:1.5 CHCl3:MeOH); ESI-MS (m/z): 613.44 (M+H+); 1Η-ΝΜR (CD3OD): δ 8.00 (s, 1H), 7.66–7.56 (m, 4H), 7.15 (bs, 4Η), 5.22 (s, 2H), 4.88 (s, 2H), 2.86 (t, 2H, J = 7.2 Hz), 2.70 (t, 2H, J = 7.2 Hz), 2.16 (s, 3H). Anal. Calcd for C25H21N6O5I∙CF3COOH (%): C: 44.64; H: 3.05; N: 11.57. Found (%): C: 44.72; H: 3.14; N: 11.65.

3.2.9. Synthesis of 1,5-Disubstituted Benzyl Analogues 30, 32

(E)-Methyl 3-[1-[(2-(trimethylsilyl)ethoxy)methyl]-1H-imidazole-4-yl]acrylate (27). To a solution of (E)-urocanic methyl ester (6) (0.61 g, 4.03 mmol) in dry DMF (15.0 mL) under argon atmosphere at 0 °C was added dry NaH (powdered 95%, 0.12 g, 4.84 mmol) and the suspension was left at the same temperature for 15 min. Then, SEM-Cl (0.68 mL, 4.84 mmol) was added in three portions and the reaction mixture was allowed to warm to rt for 4 h. The reaction was quenched with 0.5 N NaOH (15 mL) and extracted with CH2Cl2 (3 × 20 mL). The combined organic phases were washed with brine (× 2), dried (Na2SO4) and concentrated in vacuo. Purification by flash column chromatography (7:3 EtOAc:hexanes) afforded 27. Yield 78%; Rf = 0.35 (8:2 EtOAc:hexanes); ESI-MS (m/z): 283.29 (M+H+); 1Η-ΝΜR (CDCl3): δ 8.58 (s, 1H), 7.52 (d, 1H, J = 16.0 Hz), 7.35 (s, 1H), 6.68 (d, 1H, J = 16.0 Hz), 5.42 (s, 2H), 3.82 (s, 3H), 3.58 (t, 2H, J = 8.0 Hz), 0.96 (t, 2H, J = 8.0 Hz), 0.01 (s, 9H); 13C-NMR (CDCl3): δ 166.64, 137.98, 134.48, 130.47, 121.21, 120.59, 50.85, 76.79, 68.14, 51.95, 18.22, 1.44. Anal. Calcd for C13H22N2O3Si (%): C: 55.29; H: 7.85; N:9.92. Found (%): C:55.36; H:7.72; N:9.87.
Methyl 3-[1-[(2-(trimethylsilyl)ethoxy)methyl]-1H-imidazole-4-yl]propanoate (28). General procedure 2 was employed for the preparation of 28. Yield 91%; Rf = 0.44 (9:1 CHCl3:MeOH); ESI-MS (m/z): 284.99 (M+H+); 1Η-ΝΜR (CDCl3): δ 7.91 (s, 1H), 6.88 (s, 1H), 5.25 (s, 2H), 3.67 (s, 3H), 3.50 (t, 2H, J = 8.0 Hz), 3.00 (t, 2H, J = 7.2 Hz), 2.72 (t, 2H, J = 7.2 Hz), 0.91 (t, 2H, J = 8.0 Hz), 0.01 (s, 9H); 13C-NMR (CDCl3): δ 173.13, 136.14, 116.19, 76.88, 67.08, 120.59, 51.65, 33.27, 22.27, 17.89, 1.44. Anal. Calcd for C13H24N2O3Si (%): C:54.90; H:8.51; N:9.85. Found (%): C:54.81; H:8.61; N:9.74.
Methyl 1-[[2′-[[N-(2-chlorotrityl)]-1H-tetrazol-5-yl]biphenyl-4-yl]methyl]-3-[(2-(trimethylsilyl)-ethoxy)methyl]imidazolium-5-propanoate bromide (29). To a stirred solution of 28 (2.0 g, 7.03 mmol) in dry CH2Cl2 (20.0 mL) under argon was added the alkylating agent 4 (4.31 g, 7.73 mmol) in one portion and the resulting mixture was heated under reflux for 3 h. Upon completion (disappearance of starting material confirmed by RP-HPLC), the solvent was concentrated, followed by chromatographic purification (97:3 CHCl3:MeOH) to afford 29 as a white powder. Yield 81%; Rf = 0.40 (9:1 CHCl3:MeOH); ESI-MS (m/z): 796.19 (M+-Br); 1Η-ΝΜR (CDCl3): δ 7.93 (dd, 1H, J = 1.6, 7.6 Hz), 7.52–7.46 (m, 3H), 7.40–7.13 (m, 13H), 7.11 (s, 1H), 6.94 (d, 6H, J = 7.6 Hz), 5.67 (s, 2H), 5.46 (s, 2H), 3.75–3.64 (m, 5H), 2.75 (t, 2H, J = 7.2 Hz), 2.47 (t, 2H, J = 7.2 Hz), 0.94 (t, 2H, J = 8.0 Ηz), 0.002 (s, 9H). Anal. Calcd for C46H48N6O3SiBr (%): C:63.04; H:5.52; N:9.59. Found (%): C:62.93; H:5.57; N:9.51.
Methyl 1-[[2′-(1H-tetrazol-5-yl)biphenyl-4-yl]methyl]-3-[(2-(trimethylsilyl)ethoxy)methyl]imidazole-5-propanoate (30). General procedure 6 was employed for the preparation of 30. Yield 90%; Rf = 0.53 (8.5:1.5 CHCl3:MeOH); ESI-MS (m/z): 389.51 (M+H+); 1Η-ΝΜR (DMSO-d6): δ 9.13 (s, 1H), 7.68 (d, 1H, J = 8.0 Hz), 7.59 (d, 1H, J = 7.6 Hz), 7.54 (d, 1H, J = 7.6 Hz), 7.50 (s, 1H), 7.21 (d, 2H, J = 8.0 Hz), 7.14 (d, 1H, J = 8.0 Hz), 5.48 (s, 2H), 3.60 (s, 3H), 2.77 (t, 2H, J = 7.2 Hz), 2.64 (t, 2H, J = 7.2 Hz). Anal. Calcd for C21H20N6O2∙CF3COOH (%): C:54.98; H:4.21; N:16.73. Found (%): C:54.91; H:4.13; N:16.61.
Methyl 2-hydroxymethyl-1-[[2′-[[N-(2-chlorotrityl)]-1H-tetrazol-5-yl]biphenyl-4-yl]methyl]-3-[(2-(trimethylsilyl)ethoxy)methyl]imidazolium-5-propanoate bromide (31). In a sealed tube were sequentially added 29 (2.0 g, 2.38 mmol), DMF (1.0 mL), 37% formalin (2.65 mL, 35.63 mmol) and diisopropylethylamine (2.02 mL, 11.90 mmol). The resulting mixure was stirred at 85 °C until HPLC showed no starting material left (ca. 1 h). Then, the mixture was quenched with 5% aqueous citric acid (10 mL), extracted with CH2Cl2 and the combined organic phases were washed with brine, dried (Na2SO4), filtered and concentrated in vacuo. Purification by flash column chromatography (96:4 CHCl3:MeOH) afforded 31. Yield 91%; Rf = 0.28 (9:1 CHCl3:MeOH); ESI-MS (m/z): 826.32 (M+-Br); 1Η-ΝΜR (CDCl3): δ 7.95 (d, 1H, J = 6.8 Hz), 7.52–7.42 (m, 3H), 7.40–7.26 (m, 9H, ), 7.19 (s, 1H), 7.15 (d, 2H, J = 8.0 Hz), 6.94–6.89 (m, 8H), 5.76 (s, 2H), 5.52 (s, 2H), 4.72 (s, 2H), 3.70–3.62 (m, 5H), 2.76 (t, 2H, J = 6.8 Hz), 2.54 (t, 2H, J = 6.8 Hz), 0.95 (t, 2H, J = 8.0 Ηz), 0.001 (s, 9H). Anal. Calcd for C47H50N6O4SiBr (%): C:62.28; H:5.56; N:9.27. Found (%): C:62.37; H:5.43; N:9.19.
Methyl 2-hydroxymethyl-1-[[2′-(1H-tetrazol-5-yl)biphenyl-4-yl]methyl]-3-[(2-(trimethylsilyl)ethoxy)-methyl]imidazole-5-propanoate (32). General procedure 6 was employed for the preparation of 32. Yield 88%; Rf = 0.32 (8:2 CHCl3:MeOH); ESI-MS (m/z): 419.56 (M+H+); 1Η-ΝΜR (DMSO-d6): δ 7.67 (dd, 2H, J = 2.0, 7.6 Hz), 7.59 (d, 1H, J = 7.6 Hz), 7.52 (d, 1H, J = 7.6 Hz), 7.44 (s, 1H), 7.12 (s, 4H), 6.26 (bs, 1H), 5.45 (s, 2H), 4.74 (s, 2H), 3.58 (s, 3H), 2.71 (t, 2H, J = 6.8 Hz), 2.61 (t, 2H, J = 6.8 Hz). Anal. Calcd for C22H22N6O3∙CF3COOH (%): C:54.14; H:4.35; N:15.78. Found (%): C:54.23; H:4.25; N:15.86.

3.3. Pharmacological Evaluation

3.3.1. Radioligand Binding Assay

Radioligand binding assay was performed as previously described [20].

3.4. Docking Studies

The 3D model of the AT1 receptor used in our docking studies was kindly provided by Tuccinardiet al. [29]. The construction of this model is based on X-ray bovine rhodopsin structure, molecular procedure and available site-directed mutagenesis data [30]. Molecular Docking studies were performed using Glide extra precision (XP) implemented Induced Fit Docking (IFD) protocol (v 5.0) [31,32,33] docking programs under the Linux operating system. The active site was defined by 20 Å inner cubic grid box, centered on the point that is the center of mass of residues Lys199 and His256. The IFD protocol under the Schrodinger molecular modeling package was used in order to eliminate clashes between receptor and ligand atoms and for the receptor to gain partial flexibility to the receptor. Before the docking simulations, the complexes were submitted to the protein preparation module of Schrodinger. Ligands were constructed using the Schrodinger’s Maestro module and then geometry optimization was performed for these ligands using Polak-Ribiere conjugate gradient (PRCG) minimization (0.0001 kJÅ−1 mol−1 convergence criteria). Protonation states of residues were created using LigPrep and Protein Preparation modules under the Schrodinger package at neutral pH. IFD uses the Glide docking program to account the ligand flexibility and the refinement module and the Prime (v.1.6) program [32,33] to account for flexibility of the receptor. Schrodinger’s IFD protocol model uses the following steps (the description below is taken from the IFD user manual): (i) Constrained minimization of the receptor with an RMSD cutoff of 0.18 Å. (ii) Initial Glide docking of each ligand using soft potentials (0.5 van der Waals radii scaling of non-polar atoms of ligands and receptor using partial charge cutoff of 0.15). (iii) Derived docking poses were refined using the Prime Induced Fit module of Schrodinger. Residues within 5.0 Å of ligand poses were minimized in order to form suitable conformations of poses at the active site of the receptor. (iv) Glide re-docking of each protein–ligand complex.

4. Conclusions

In the present study, we have demonstrated an efficient and convenient strategy for the syntheses of a series of N-benzyl and N-biphenylmethyl imidazole derivatives substituted either at the N-1 or N-3 positions of (E)-urocanic acid. A facile and clean methodology with a few-step synthetic protocol in high yields has been developed. Biological evaluation of the synthesized analogues concerning their binding affinity for the AT1 receptor revealed that certain analogues (compounds 12 and 18) are moderate inhibitors. In particular, the methyl acrylate analogue 18 which bears the biphenylmethyl moiety, showed relevant higher activity compared to the others. In addition, the lack of a lipophilic alkyl chain may also explain the lower activity of 18 which seems to be critical for binding affinity, compared to losartan. Docking results showed that flexibility of these molecules is an important factor that governs their drug activity. The synthesized analogues adopt different orientations in the active site as indicated by the docking studies. It is reasonable to assume that the studied molecules first adopt the most comfortable conformation and orientation and show the highest scoring when these are approaching the receptor. Such a hypothesis can explain the experimental data which have indicated the poor activity of the studied molecules. The propensity of some molecules to adopt the appropriate orientation and thus exert all favored but not maximal interactions can explain their moderate activity.

Acknowledgments

This research project was supported by the research programmes PRAXE B-EPAN & 4NEW_B_2012, General Secretariat of Research and Technology of Greece, Ministry of Development and the pharmaceutical companies ELDRUG SA and VIANEX SA. We also acknowledge Demetrios Vahliotis (Instrumental Analysis Laboratory, University of Patras) for recording the NMR spectra. C. Koukoulitsa acknowledges Greek national funds through the Operational Program “Education and Lifelong Learning” of the National Strategic Reference Framework (NSRF)-Research Funding Program: Heracleitus II, investing in knowledge society through the European Social Fund.

Conflicts of Interest

The authors have no financial/commercial conflicts of interest to declare.

References

  1. Naik, P.; Murumkar, P.; Giridhar, R.; Yadav, M.R. Angiotensin II receptor type 1 (AT1) selective nonpeptidic antagonists—A perspective. Bioorg. Med. Chem. 2010, 18, 8418–8456. [Google Scholar] [CrossRef]
  2. Burnier, M. Angiotensin II Type 1 Receptor Blockers. Circulation 2001, 103, 904–912. [Google Scholar] [CrossRef]
  3. Burnier, M.; Brunner, H.R. Angiotensin II receptor antagonists. Lancet 2000, 355, 637–645. [Google Scholar] [CrossRef]
  4. Cappelli, A.; Mohr, G.P.; Gallelli, A.; Rizzo, M.; Anzini, M.; Vomero, S.; Mennuni, L.; Ferrari, F.; Makovec, F.; Menziani, M.C.; et al. Design, synthesis, structural studies, biological evaluation, and computational simulations of novel potent AT1 angiotensin II receptor antagonists based on the 4-phenylquinoline structure. J. Med. Chem. 2004, 47, 2574–2586. [Google Scholar] [CrossRef]
  5. Cappelli, A.; Nannicini, C.; Giuliani, G.; Valenti, S.; Mohr, G.P.; Anzini, M.; Mennuni, L.; Ferrari, F.; Caselli, G.; Giordani, A.; et al. Design, synthesis, and biological evaluation of AT1 angiotensin II receptor antagonists based on the pyrazolo[3,4-b]pyridine and related heteroaromatic bicyclic systems. J. Med. Chem. 2008, 51, 2137–2146. [Google Scholar] [CrossRef]
  6. Kubo, K.; Kohara, Y.; Imamiya, E.; Sugiura, Y.; Inada, Y.; Furukawa, Y.; Nishikawa, K.; Naka, T. Nonpeptide angiotensin II receptor antagonists. Synthesis and biological activity of benzimidazolecarboxylic acids. J. Med. Chem. 1993, 36, 2182–2195. [Google Scholar] [CrossRef]
  7. Duncia, J.V.; Chiu, A.T.; Carini, D.J.; Gregory, G.B.; Johnson, A.L.; Price, W.A.; Wells, G.J.; Wong, P.C.; Calabrese, J.C.; Timmermans, P.B.M.W.M. The discovery of potent nonpeptide angiotensinII receptor antagonists: A new class of potent antihypertensives. J. Med. Chem. 1990, 33, 1312–1329. [Google Scholar] [CrossRef]
  8. Carini, D.J.; Duncia, J.V.; Aldrich, P.E.; Chiu, A.T.; Johnson, A.L.; Pierce, M.E.; Price, W.A.; Santella, J.B.; Wells, G.J.; Wexler, R.R.; et al. Nonpeptide angiotensin II receptor antagonists: The discovery of a series of N-(biphenylylmethyl)imidazoles as potent, orally active antihypertensives. J. Med. Chem. 1991, 34, 2525–2547. [Google Scholar] [CrossRef]
  9. Yanagisawa, H.; Ameniya, Y.; Kanazaki, T.; Shimoji, Y.; Fujimoto, K.; Kitahara, Y.M.; Sada, T.; Mizuno, M.; Ikeda, M.; Miyamoto, S.; et al. Nonpeptide angiotensin II receptor antagonists: Synthesis, biological activities, and structure−activity relationships of imidazole-5-carboxylic acids bearing alkyl, alkenyl, and hydroxyalkyl substituents at the 4-position and their related compounds. J. Med. Chem. 1996, 39, 323–338. [Google Scholar] [CrossRef]
  10. Kohara, Y.; Kubo, K.; Imamiya, E.; Wada, T.; Inada, Y.; Naka, T. Synthesis and angiotensin II receptor antagonistic activities of benzimidazole derivatives bearing acidic heterocycles as novel tetrazole bioisosteres. J. Med. Chem. 1996, 39, 5228–5235. [Google Scholar] [CrossRef]
  11. Baker, W.L.; White, W.B. Azilsartan medoxomil: A new angiotensin II receptor antagonist for treatment of hypertension. Ann. Pharmacother. 2011, 45, 1506–1515. [Google Scholar] [CrossRef]
  12. Miura, S.; Karnik, S.S.; Saku, K. Significance of pigment spithelium-derived factor levels with angiotensin II type 1 receptor blokers in patients with successful colonary stent implantation. J. Renin. Angiotensin. Aldosterone. Syst. 2011, 12, 1–7. [Google Scholar] [CrossRef]
  13. Herr, R.J. 5-Substituted-1H-tetrazoles as carboxylic acid isosteres: Medicinal chemistry and synthetic methods. Bioorg. Med. Chem. 2002, 10, 3379–3393. [Google Scholar] [CrossRef]
  14. Deprez, P.; Guillaume, J.; Becker, R.; Corbier, A.; Didierlaurent, S.; Fortin, M.; Frechet, D.; Hamon, G.; Heckmann, B.; Heitch, H.; et al. Sulfonylureas and sulfonylcarbamates as new non-tetrazole angiotensin II receptor antagonists. Discovery of a highly potent orally active (Imidazolylbiphenylyl)sulfonylurea (HR 720). J. Med. Chem. 1995, 38, 2357–2377. [Google Scholar] [CrossRef]
  15. Ismail, M.A.H.; Barker, S.; Abou El Ella, D.A.; Abouzid, K.A.M.; Toubar, R.A.; Todd, M.H. Design and synthesis of new tetrazolyl- and carboxy-biphenylylmethyl-quinazolin-4-one derivatives as angiotensin II AT1 Receptor Antagonists. J. Med. Chem. 2006, 49, 1526–1535. [Google Scholar] [CrossRef]
  16. Xu, J.Y.; Zeng, Y.; Ran, Q.; Wie, Z.; Bi, Y.; He, Q.H.; Wang, Q.J.; Hu, S.; Zhang, J.; Tang, M.Y.; et al. Synthesis and biological activity of 2-alkylbenzimidazoles bearing a N-phenylpyrrole moiety as novel angiotensin II AT1 receptor antagonists. Bioorg. Med. Chem. Lett. 2007, 17, 2921–2926. [Google Scholar] [CrossRef]
  17. Kaur, N.; Kaur, A.; Bansal, Y.; Shah, D.V.; Bansal, G.; Singh, M. Design, synthesis, and evaluation of 5-sulfamoyl benzimidazole derivatives as novel angiotensin II receptor antagonists. Bioorg. Med. Chem. 2008, 16, 10210–10215. [Google Scholar] [CrossRef]
  18. Agelis, G.; Resvani, A.; Durdagi, S.; Spyridaki, K.; Tumova, T.; Slaninova, J.; Giannopoulos, P.; Vlahakos, D.; Liapakis, G.; Mavromoustakos, Τ.; et al. The discovery of new potent non-peptide angiotensin II AT1 receptor blockers: A concise synthesis, molecular docking studies and biological evaluation of N-substituted 5-butylimidazole derivatives. Eur. J. Med. Chem. 2012, 55, 358–374. [Google Scholar] [CrossRef]
  19. Agelis, G.; Roumelioti, P.; Resvani, A.; Durdagi, S.; Androutsou, M.E.; Kelaidonis, K.; Mavromoustakos, Τ.; Matsoukas, J. An efficient synthesis of a rationally designed 1,5 disubstituted imidazole AT1 angiotensin II receptor antagonist: Reorientation of imidazole pharmacophore groups in losartan reserves high receptor affinity and confirms docking studies. J. Comput.-Aided. Mol. Des. 2010, 24, 749–758. [Google Scholar] [CrossRef]
  20. Agelis, G.; Resvani, A.; Matsoukas, M.T.; Tselios, T.; Kelaidonis, K.; Kalavrizioti, D.; Vlahakos, D.; Matsoukas, J. Towards non-peptide ANG II AT1 receptor antagonists based on urocanic acid: rational design, synthesis and biological evaluation. Amino Acids 2011, 40, 411–420. [Google Scholar] [CrossRef]
  21. Weinstock, J.; Keenan, R.M.; Samanen, J.; Hempel, J.; Finkelstein, J.A.; Franz, R.G.; Gaitanopoulos, D.E.; Girard, G.R.; Gleason, J.G.; Hill, D.T.; et al. 1-(Carboxybenzyl)imidazole-5-acrylic acids: Potent and selective angiotensin II receptor antagonists. J. Med. Chem. 1991, 34, 1514–1517. [Google Scholar] [CrossRef]
  22. Keenan, R.M.; Weinstock, J.; Finkelstein, J.A.; Franz, R.G.; Gaitanopoulos, D.E.; Girard, G.R.; Hill, D.T.; Morgan, T.M.; Samanen, J.; Peishoff, C.E.; et al. Potent nonpeptide angiotensin II receptor antagonists. 2. 1-(Carboxybenzyl)imidazole-5-acrylic acids. J. Med. Chem. 1993, 36, 1880–1892. [Google Scholar] [CrossRef]
  23. Bovy, P.R.; Reitz, D.B.; Collins, J.T.; Chamberlain, T.S.; Olins, G.M.; Corpus, V.M.; McMahon, E.G.; Palomo, M.A.; Koepke, J.P.; Smits, G.J.; et al. Nonpeptide angiotensin II antagonists: N-phenyl-1H-pyrrole derivatives are angiotensin II receptor antagonists. J. Med. Chem. 1993, 36, 101–110. [Google Scholar] [CrossRef]
  24. Kristensen, J.; Lysén, M.; Begtrup, M. Synthesis of ortho substituted arylboronic esters by in situ trapping of unstable lithio intermediates. Org. Lett. 2001, 3, 1435–1437. [Google Scholar] [CrossRef]
  25. Amantini, D.; Beleggia, R.; Fringuelli, F.; Pizzo, F.; Vaccaro, L. TBAF-catalyzed synthesis of 5-substituted 1H-tetrazoles under solventless conditions. J. Org. Chem. 2004, 69, 2896–2898. [Google Scholar] [CrossRef]
  26. Pirrung, M.C.; Pei, T. Synthesis of (+/−)-homohistidine. J. Org. Chem. 2000, 65, 2229–2230. [Google Scholar] [CrossRef]
  27. Lipshutz, B.H.; Vaccaro, W.; Huff, B. Protection of imidazoles as their β-trimethylsilylethoxymethyl (SEM) derivatives. Tetrahedron Lett. 1986, 27, 4095–4098. [Google Scholar] [CrossRef]
  28. Luo, G.; Chen, L.; Dubowchik, G. Regioselective Protection at N-2 and Derivatization at C-3 of Indazoles. J. Org. Chem. 2006, 71, 5392–5395. [Google Scholar] [CrossRef]
  29. Tuccinardi, T.; Calderone, V.; Rapposelli, S.; Martinelli, A. Proposal of a new binding orientation for non-peptide AT1 antagonists: Homology modeling, docking and three-dimensional quantitative structure-activity relationship analysis. J. Med. Chem. 2006, 49, 4305–4316. [Google Scholar] [CrossRef]
  30. Okada, T.; Sugihara, M.; Bondar, A.N.; Elstner, M.; Entel, P.; Buss, V. The retinal conformation and its environment in rhodopsin in light of a new 2.2 Å crystal structure. J. Mol. Biol. 2004, 342, 571–583. [Google Scholar] [CrossRef]
  31. Friesner, R.A.; Murphy, R.B.; Repasky, M.P.; Frye, L.L.; Greenwood, J.R.; Halgren, T.A.; Sanschagrin, P.C.; Mainz, D.T. Extra precision glide: Docking and scoring incorporating a model of hydrophobic enclosure for protein−ligand complexes. J. Med. Chem. 2006, 49, 6177–6196. [Google Scholar] [CrossRef]
  32. Sherman, W.; Day, T.; Jacobson, M.P.; Friesner, R.A.; Farid, R. Novel procedure for modeling ligand/receptor induced fit effects. J. Med. Chem. 2006, 49, 534–553. [Google Scholar] [CrossRef]
  33. Small-Molecule Drug Discovery Suite 2012: Glide, version 5.8; Schrödinger, LLC: New York, NY, USA, 2012.
  • Sample Availability: Samples of the final compounds 12, 18, 30, 32 are available from the authors.

Share and Cite

MDPI and ACS Style

Agelis, G.; Kelaidonis, K.; Resvani, A.; Kalavrizioti, D.; Androutsou, M.-E.; Plotas, P.; Vlahakos, D.; Koukoulitsa, C.; Tselios, T.; Mavromoustakos, T.; et al. Facile and Efficient Syntheses of a Series of N-Benzyl and N-Biphenylmethyl Substituted Imidazole Derivatives Based on (E)-Urocanic acid, as Angiotensin II AT1 Receptor Blockers. Molecules 2013, 18, 7510-7532. https://doi.org/10.3390/molecules18077510

AMA Style

Agelis G, Kelaidonis K, Resvani A, Kalavrizioti D, Androutsou M-E, Plotas P, Vlahakos D, Koukoulitsa C, Tselios T, Mavromoustakos T, et al. Facile and Efficient Syntheses of a Series of N-Benzyl and N-Biphenylmethyl Substituted Imidazole Derivatives Based on (E)-Urocanic acid, as Angiotensin II AT1 Receptor Blockers. Molecules. 2013; 18(7):7510-7532. https://doi.org/10.3390/molecules18077510

Chicago/Turabian Style

Agelis, George, Konstantinos Kelaidonis, Amalia Resvani, Dimitra Kalavrizioti, Maria-Eleni Androutsou, Panagiotis Plotas, Demetrios Vlahakos, Catherine Koukoulitsa, Theodore Tselios, Thomas Mavromoustakos, and et al. 2013. "Facile and Efficient Syntheses of a Series of N-Benzyl and N-Biphenylmethyl Substituted Imidazole Derivatives Based on (E)-Urocanic acid, as Angiotensin II AT1 Receptor Blockers" Molecules 18, no. 7: 7510-7532. https://doi.org/10.3390/molecules18077510

APA Style

Agelis, G., Kelaidonis, K., Resvani, A., Kalavrizioti, D., Androutsou, M.-E., Plotas, P., Vlahakos, D., Koukoulitsa, C., Tselios, T., Mavromoustakos, T., & Matsoukas, J. (2013). Facile and Efficient Syntheses of a Series of N-Benzyl and N-Biphenylmethyl Substituted Imidazole Derivatives Based on (E)-Urocanic acid, as Angiotensin II AT1 Receptor Blockers. Molecules, 18(7), 7510-7532. https://doi.org/10.3390/molecules18077510

Article Metrics

Back to TopTop