Next Article in Journal
Interactive Effect of Salicylic Acid on Some Physiological Features and Antioxidant Enzymes Activity in Ginger (Zingiber officinale Roscoe)
Previous Article in Journal
Metabolites from Alternaria Fungi and Their Bioactivities
 
 
Font Type:
Arial Georgia Verdana
Font Size:
Aa Aa Aa
Line Spacing:
Column Width:
Background:
Article

Dimeric Labdane Diterpenes: Synthesis and Antiproliferative Effects

by
Mariano Walter Pertino
1,*,
Cristina Theoduloz
2,
Marco Bastías
1 and
Guillermo Schmeda-Hirschmann
1
1
Instituto de Química de Recursos Naturales, Universidad de Talca, Casilla 747, Talca, Chile
2
Facultad de Ciencias de la Salud, Universidad de Talca, Talca, Chile
*
Author to whom correspondence should be addressed.
Molecules 2013, 18(5), 5936-5953; https://doi.org/10.3390/molecules18055936
Submission received: 15 April 2013 / Revised: 29 April 2013 / Accepted: 13 May 2013 / Published: 21 May 2013

Abstract

:
Several diterpenes with the labdane skeleton show biological activity, including antiproliferative effects. Most of the research work on bioactive labdanes has been carried out on naturally occurring diterpenes and semisynthetic derivatives, but much less is known on the effects of diterpene dimers. The aim of the present work was to synthesize dimeric diterpenes from the labdane imbricatolic acid using esters, ethers and the triazole ring as linkers. Some 18 new derivatives were prepared and the compounds were evaluated for antiproliferative activity on human normal fibroblasts (MRC-5) and the following human tumor cell lines: AGS, SK-MES-1, J82 and HL-60. The diethers 810, differing in the number of CH2 units in the linker, presented better antiproliferative activity with a maximum effect for the derivative 9. The best antiproliferative effect against HL-60 cells was found for compounds 3 and 17, with IC50 values of 22.3 and 23.2 µM, lower than that found for the reference compound etoposide (2.23 µM). The compounds 9, 17 and 11 were the most active derivatives towards AGS cells with IC50 values of 17.8, 23.4 and 26.1 µM. A free carboxylic acid function seems relevant for the effect as several of the compounds showed less antiproliferative effect after methylation.

1. Introduction

Natural product monomers occur in all living organisms and many can also form polymeric structures, including rubber, cellulose or lignin. Less common are dimeric compounds formed by coupling two units by C-C, ester, ether, C-N or N-N bonds.
It has been reported that dimeric compounds can be employed as potential anticancer agents because they might interact with two different binding sites on a receptor or on two separate monomers of a dimeric protein [1]. In some cases, it has been observed that dimers not only maintained the activity shown by its monomer, but could also increase it. The dimer montamine from Centaurea montana presented two times higher activity on in vitro colon cancer than its monomer [2]. Monomeric ergolines presented weak antiplasmodial effect, while dimerized ergoline derivatives, prepared using different aliphatic or arylalkyl spacers, showed significantly increased activity [3].
Naturally occurring dimers also show antiproliferative activity. A few examples include benzoquinone derivatives [4], flavones [5], alkaloids [6], triterpene saponins [7] and diterpenes [8], among others. Dimeric terpenoids have a much restricted distribution in Nature and several of them display relevant biological effects such as antiprotozoal [9], antioxidant and cytotoxic [7], apoptotic [8] or TRAIL-resistance overcoming activity [10]. The dimeric diterpenes described so far belong to several chemical skeletons, including icetexanes [11], cassaines [10], abietanes [12], kauranes [13,14] and labdanes [15].
Different biological activities have been reported for labdanes [15,16,17,18,19,20] including antiproliferative effects [21]. Several labdane derivatives were prepared and assessed for gastroprotective and cytotoxic effects looking for structure-activity relationships. The semisynthetic labdanes included esters, ethers, amides with aromatic amines [17], amino acids [22], as well as hybrid molecules formed with naphthoquinones [23]. This paper describes the synthesis of some new dimeric diterpenes including esters, ethers and dimers fused by triazole rings, starting from the naturally occurring labdane imbricatolic acid. The new compounds were evaluated for antiproliferative activity on human normal lung fibroblasts and selected cancer cell lines.
Other studies on the synthesis and cell toxicity of dimeric compounds include the work on dimeric epothilone A derivatives, prepared by using diacyl spacers. The new compounds were evaluated on tubulin polymerization and the cytotoxicity was determined against cancer cell lines [24]. All the dimers were less cytotoxic than epothilone, however, several dimeric compounds inhibit endothelial cell differentiation and endothelial cell migration. Looking for new compounds with antimalarial and anticancer activity, C-10 non-acetal dimers of 10β-(2-hydroxyethyl)deoxoartemisinin were prepared and evaluated on cell lines [25]. All the artemisinin dimers showed potent antimalarial activity in the nM range. One of the dimers evaluated in vitro was fifty times more potent than artemisinin. The cytotoxicity of the new products was determined on the National Cancer Institute (NCI) tumour cell panel, most of the compounds, except the phosphate dimer were not cytotoxic. The synthesis, cytotoxicity, in vivo anticancer and antiprotozoal effect of twelve artemisinin acetal dimers was reported [26]. Several of the new dimers were more active than the corresponding monomers on the cancer cell lines tested with GI50 values for the dimers between 8.7 and 0.019 μM. Hybrid compounds combining the artemisinin and a quinoline moiety were synthesized [27] and evaluated against Plasmodium falciparum. Two of the new compounds showed excellent activity against the protozoa in vitro.

2. Results and Discussion

Starting from the naturally occurring diterpene imbricatolic acid, fourteen dimers were synthesized using different linkers. The diterpene imbricatolic acid, used as starting compound for the synthesis was isolated from the resin of Araucaria araucana. Imbricatolic acid was methylated with diazomethane to form compound 1. 15-Hydroxyimbricatolic acid was treated with the Jones reagent (CrO3/H2SO4/H2O) to afford the diacid junicedric acid (JA, 2). Compound 1 was tosylated and then treated with NaN3 in DMF to form the azide 3. Compounds 4–6 were prepared by “click chemistry” of 3 with different alkynes using CuSO4·5H2O/sodium ascorbate in t-BuOH/H2O (Scheme 1).
Scheme 1. Preparation of derivatives 1–6 from imbricatolic acid.
Scheme 1. Preparation of derivatives 1–6 from imbricatolic acid.
Reagents and conditions: (a) CH2N2, Et2O, 91%; (b) Jones oxidation: CrO3, H2SO4, H2O, acetone, 84%; (c) (i) TsCl, pyridine 78%; (ii) NaN3, DMF, 84%; (d) appropriate alkyne, CuSO4·5H2O, sodium ascorbate, t-BuOH/H2O 1:1, 68%–73%.
To prepare the ether 7, compound 1 was treated with NaH in DMF under constant stirring and then the tosylated compound 1 was added to the solution. The ethers 8–10 were prepared from 1 with NaH in DMF and the corresponding dibromoalkanes. To prepare the ester 11, the diterpene JA (2) dissolved in dry CH2Cl2 was treated with N,N'-dicyclohexylcarbodiimide (DCC)/dimethylaminopyridine (DMAP) and compound 1. Compounds 13 and 14 were prepared from compound 1 with DCC/DMAP in dry CH2Cl2 and succinic acid and phthalic acid, respectively (Scheme 2).
Scheme 2. Preparation of derivatives 7#x2013;14 from imbricatolic acid methyl ester (1).
Scheme 2. Preparation of derivatives 7#x2013;14 from imbricatolic acid methyl ester (1).
Reagents and conditions: (a) (i) TsCl, Pyridine, 78%; (ii) compound 1, NaH, DMF, 51%; (b) appropriate dibromoalkane, NaH, DMF, 41%–56%; (c) compound 2, DCC, DMAP, CH2Cl2, 65%; (d) CH2N2, Et2O, 92%; (e) appropriate diacid, DCC, DMAP, CH2Cl2, 45%–53%.
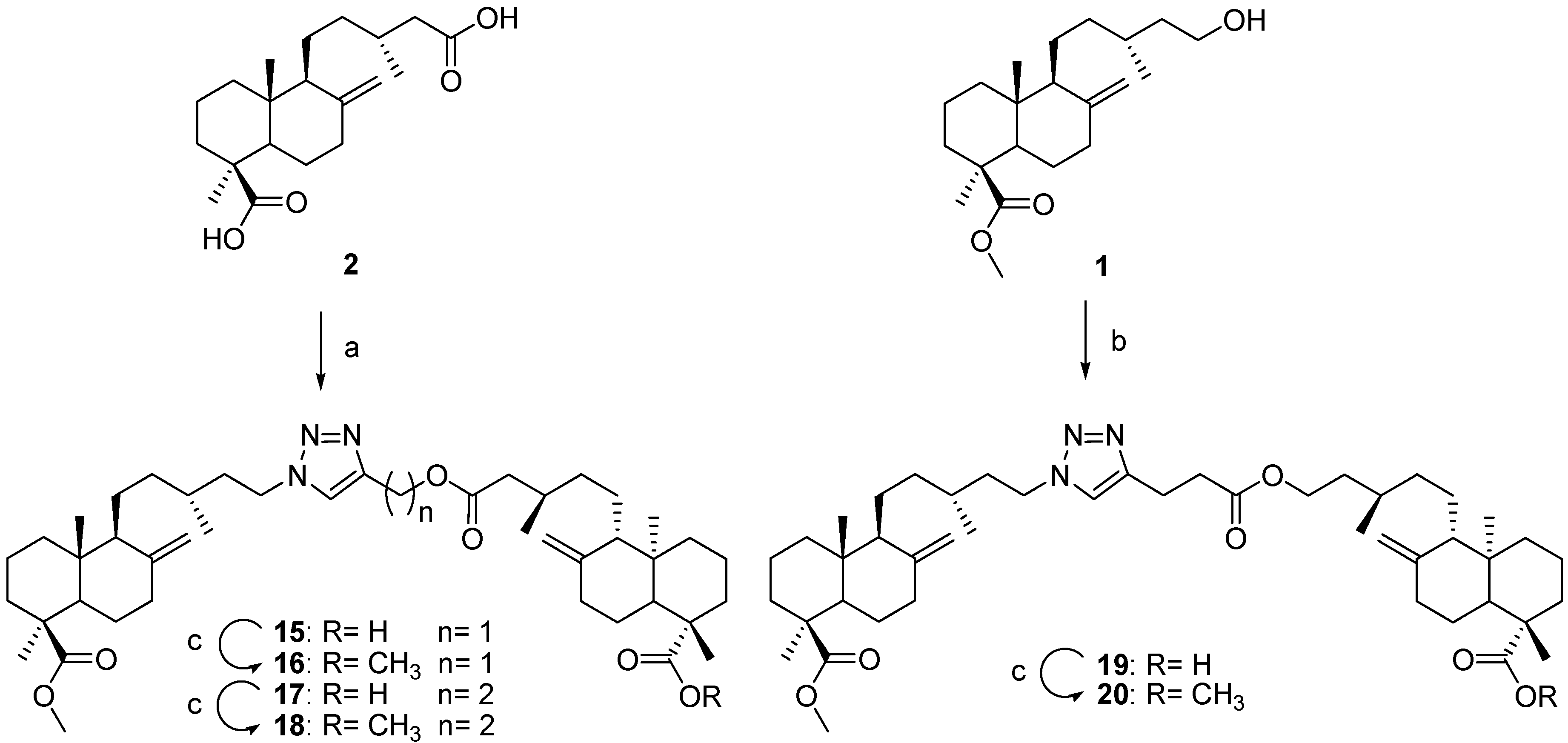
Scheme 3. Preparation of derivatives 15–20 from 1 and 2 by click chemistry.
Scheme 3. Preparation of derivatives 15–20 from 1 and 2 by click chemistry.
Reagents and conditions: (a) (i) appropriate alkyne alcohol, DCC, DMAP, CH2Cl2, 68%–73%; (ii) compound 3, CuSO4.5H2O, sodium ascorbate, t-BuOH/H2O 1:1, 66%–74%; (b) (i) 4-pentynoic acid, DCC, DMAP, CH2Cl2, 71%; (ii) compound 3, CuSO4·5H2O, sodium ascorbate, t-BuOH/H2O 1:1, 62%; (c) CH2N2, Et2O, 86%–94%.
The dimers 15, 17 and 19 were prepared by “click chemistry”. To prepare the dimers 15 and 17, JA (2) was treated with DCC/DMAP in dry CH2Cl2 and different alkyne alcohols (propargyl alcohol and 3-butyn-1-ol), to afford the corresponding alkynes esters. These esters were treated whit the azide 3 and CuSO4·5H2O/sodium ascorbate in t-BuOH/H2O to yield the desired products. In the same way 19 was obtained treated imbricatolic acid with DCC/DMAP in dry CH2Cl2 and 4-pentynoic acid, the ester obtained was then treated with the azide 3 (Scheme 3). All the C-19 methyl esters were prepared by reaction with a diazomethane solution (compounds 12, 16, 18 and 20). In all, some 19 compounds were prepared starting from the diterpenes labd-8(17)-en-15-hydroxy-19-oic acid (imbricatolic acid) and labd-8(17)-en-15,19-dioic acid (junicedric acid, compound 2). The new compounds include ethers and esters with different “linkers” (spacers) as well as 1,2,3-triazole-substituted derivatives prepared by click chemistry.
The purity of all derivatives was over 98% as assessed by 1H-NMR spectroscopy. The syntheses are summarized in Scheme 1, Scheme 2, Scheme 3. All of the compounds were characterized by spectroscopic means and compounds 3–20 are described for the first time. The dimeric compounds prepared can be classified into symmetric dimers (compounds 7–10, 13–14) and asymmetric dimers (compounds 11–12, 15–20). Unlike the symmetric dimers, asymmetric dimers showed small variations in many of their 13C-NMR signals (see Table 1 and Table 2). 1D and 2D-NMR methods were used for a better H and C assignation. Selected NMR spectra are presented as Supporting Information.
Table 1. 13C-NMR Data of Dimeric Symmetric Compounds 7–10, 13–14.
Table 1. 13C-NMR Data of Dimeric Symmetric Compounds 7–10, 13–14.
C789101314
2 ×C-139.12 t39.13 t39.18 t39.17 t39.18 t39.17 t
2 × C-220.03 t20.01 t19.99 t19.98 t19.99 t19.99 t
2 × C-338.23 t38.23 t38.30 t38.29 t38.28 t38.25 t
2 × C-444.32 s44.32 s44.31 s44.29 s44.32 s44.42 s
2 × C-556.36 d56.36 d56.41 d56.38 d56.37 d56.40 d
2 × C-626.28 t26.28 t26.26 t26.27 t26.28 t26.32 t
2 × C-738.82 t38.82 t38.81 t38.82 t38.80 t38.82 t
2 × C-8148.39 s148.41 s148.38 s148.34 s148.32 s148.35 s
2 × C-956.65 d56.64 d56.66 d56.60 d56.57 d56.55 d
2 × C-1040.37 s40.37 s40.35 s40.35 s40.37 s40.40 s
2 × C-1121.09 t21.16 t21.16 t21.15 t21.05 t21.05 t
2 × C-1236.43 t36.43 t36.44 t36.44 t36.09 t36.14 t
2 × C-1330.69 d30.70 d30.69 d30.67 d30.54 d30.61 d
2 × C-1436.33 t36.30 t36.34 t36.34 t35.16 t35.02 t
2 × C-1569.31 t69.32 t69.30t69.23 t63.51 t63.57 t
2 × C1619.91 q19.88 q19.92 q19.82 q19.69 q19.69 q
2 × C-17106.35 t106.31 t106.28 t106.34 t106.33 t106.38 t
2 × C-1828.79 q28.79 q28.82 q28.85 q28.86 q28.85 q
2 × C-19177.86 s177.84 s177.76 s177.80 s177.88 s178.37 s
2 × C-2012.54 q12.55 q12.55 q12.56 q12.58 q12.58 q
2 × C-OMe51.13 q51.12 q51.08 q51.14 q51.20 q51.27 q
R: 8: 69.81 (CH2, 2 × C-1''), 29.77 (CH2, 2 × C-2''); 9: 70.54 (CH2, 2 × C-1''), 32.63 (CH2, 2 × C-2''), 24.96 (CH2, C-3''); 10: 70.01 (CH2, 2 × C-1''), 32.82 (CH2, 2 × C-2''), 26.18 (CH2, 2 × C-3''), 29.77 (CH2, 2 × C-4''), 29.39 (CH2, C-5''); 13: 172.29 (CO, 2 × C-1''), 28.94 (2 × CH2, C-2''); 14: 168.84 (CO, 2 × C-1''), 131.29 (C,2 × C-2''), 129.39 (CH, 2 × C-3''), 130.86 (CH, 2 × C-4'').
Table 2. 13C-NMR Data of Dimeric Asymmetric Compounds 11–12, 15–20.
Table 2. 13C-NMR Data of Dimeric Asymmetric Compounds 11–12, 15–20.
C1112151617181920
139.20 t39.14 t39.11 t *39.17 t39.18 t39.20 t39.19 t39.11 t
1'39.20 t39.14 t39.16 t *39.17 t39.18 t39.20 t39.19 t39.11 t
220.05 t19.94 t19.94 t19.95 t19.96 t20.00 t19.96 t19.91 t
2'20.05 t19.94 t19.94 t19.95 t19.96 t20.00 t19.96 t19.91 t
338.30 t38.23 t37.97 t *37.12 t *38.04 t *37.24 t *38.02 t *37.11 t *
3'38.30 t38.23 t38.20 t *38.23 t *38.24 t *38.28 t *38.25 t *38.18 t *
444.32 s *44.26 s44.27 s *44.28 s44.31 s *44.33 s44.30 s *44.28 s
4'44.16 s *44.26 s44.13 s *44.28 s44.15 s *44.33 s44.16 s *44.28 s
556.48 d *56.31 d56.32 d *56.31 d *56.35 d *56.37 d *56.35 d56.29 d
5'57.41 d *56.31 d56.41 d *56.39 d *56.42 d *56.47 d *56.35 d56.29 d
626.27 t *26.22 t26.03 t *26.23 t26.07 t *26.28 t26.06 t *26.21 t
6'26.07 t *26.22 t26.23 t *26.23 t26.25 t *26.28 t26.26 t *26.21 t
738.81 t38.74 t38.74 t38.75 t38.76 t38.80 t38.77 t38.72 t
7'38.81 t38.74 t38.74 t38.75 t38.76 t38.80 t38.77 t38.72 t
8148.25 s *148.26 s*148.19 s *148.25 s *148.25 s *148.32 s *148.26 s *148.27 s *
8'148.07 s *148.13 s*148.08 s *148.17 s *148.15 s *148.23 s *148.18 s *148.23 s *
956.60 d56.51 d56.52 d56.53 d56.58 d56.60 d56.56 d56.49 d
9'56.60 d56.51 d56.52 d56.53 d56.58 d56.60 d56.56 d56.49 d
1040.36 s *40.31 s40.34 s *40.34 s40.37 s *40.38 s40.37 s *40.31 s
10'40.54 s *40.31 s40.51 s *40.34 s40.54 s *40.38 s40.56 s *40.31 s
1121.06 t *21.00 t21.11 t21.13 t21.18 t21.22 t21.01 t21.01 t
11'21.13 t *21.10 t21.11 t21.13 t21.18 t21.22 t21.01 t21.01 t
1236.10 t *36.04 t *35.85 t35.87 t35.91 t35.96 t36.09 t36.05 t
12'35.92 t *35.89 t *35.85 t35.87 t35.91 t35.96 t36.09 t36.05 t
1330.59 d *30.53 d *31.00 d31.02 d31.05 d31.09 d31.08 d31.04 d
13'31.07 d *31.04 d *31.00 d31.02 d31.05 d31.09 d31.08 d31.04 d
1435.32 t35.25 t35.77 t35.78 t35.82 t35.85 t35.83 t *35.76 t *
14'41.70 t41.67 t41.35 t41.37 t41.54 t41.57 t35.22 t *35.14 t *
1562.77 t62.74 t48.61 t48.62 t48.53 t48.50 t48.45 t48.48 t
15'173.40 s173.40 s173.18 s173.20 s173.25 s173.19 s63.17 t63.23 t
1619.75 q19.78 q *19.86 q *19.87 q *19.91 q *19.97 q *19.68 q *19.61 q *
16'19.75 q19.69 q *19.43 q *19.44 q *19.47 q *19.51 q *19.49 q *19.40 q *
17106.34 t *106.34 t *106.27 t *106.26 t106.28 t *106.30 t *106.30 t *106.25 t
17'106.44 t *106.29 t *106.34 t *106.26 t106.36 t *106.36 t *106.38 t *106.25 t
1828.83 q *28.80 q28.80 q *28.81 q28.82 q *28.86 q28.84 q28.78 q
18'29.04 q *28.80 q29.01 q *28.81 q29.05 q *28.86 q28.84 q28.78 q
19177.74 s177.77 s177.70 s177.74 s;177.81 s177.78 s177.95 s178.00 s *
19'183.27 s177.77 s183.14 s177.74 s182.74 s177.78 s182.74 s178.03 s *
2012.58 q *12.53 q12.55 q *12.54 q;12.58 q *12.60 q12.58 q *12.52 q
20'12.76 q *12.53 q12.73 q *12.54 q12.79 q *12.60 q12.79 q *12.52 q
OMe51.10 q51.11 q51.11 q51.13 q51.16 q51.17 q51.17 q51.17 q
OMe'-51.11 q-51.13 q-51.17 q-51.17 q
R: 15: 123.60 (CH, C-1''), 142.75 (C, C-2''), 57.36 (CH2, C-3''); 16: 123.55 (CH, C-1''), 142.75 (C, C-2''), 57.40 (CH2, C-3''); 17: 121.30 (CH, C-1''), 144.03 (C, C-2''), 21.02 (CH2, C-3''), 63.00 (CH2, C-4''); 18: 121.16 (CH, C-1''), 144.05 (C, C-2''), 21.05 (CH2, C-3''), 63.03 (CH2, C-4''); 19: 121.01 (CH, C-1''), 146.33 (C, C-2''), 29.05 (CH2, C-3''), 33.75 (CH2, C-4''), 172.92 (COO, C-5''); 20: 121.17 (CH, C-1''), 146.27 (C, C-2''), 30.51 (CH2, C-3''), 33.78 (CH2, C-4''), 172.98 (COO, C-5''). * For dimeric compounds, pair of signals belonging to the same carbon in the different moieties are interchangeable.
The compounds 1–20 were assessed for antiproliferative effect towards human lung fibroblasts (MRC-5) and the following human tumor cell lines: gastric adenocarcinoma (AGS), lung cancer cells (SK-MES-1), bladder carcinoma (J82) and promyelocytic leukemia (HL-60). IC50 values >100 µM were considered as inactive. The results are summarized in Table 3.
Table 3. Antiproliferative activity of compounds 1–20 against MRC-5 normal fibroblasts and selected tumor cell lines. a
Table 3. Antiproliferative activity of compounds 1–20 against MRC-5 normal fibroblasts and selected tumor cell lines. a
Compound(IC50 ± SD, µM) b
MRC-5AGSSK-MES-1J82HL-60
177.7 ± 4.038.5 ± 1.659.7 ± 2.463.7 ± 2.647.5 ± 3.9
2>100>100>100>100>100
391.8 ± 6.473.8 ± 5.267.6 ± 3.4>10022.3 ± 3.1
477.4 ± 3.941.5 ± 2.167.7 ± 3.160.7 ± 4.6>100
575.8 ± 5.354.8 ± 3.357.2 ± 3.456.2 ± 3.948.9 ± 4.5
6>100>100>100>100>100
7>100>100>100>100>100
8>10070.3 ± 6.3>100>10057.8 ± 4.1
968.1 ± 3.417.8 ± 1.367.5 ± 6.9>10032.6 ± 2.3
10>100>10067.9 ± 5.4>100>100
1171.2 ± 5.326.1 ± 2.2>100>10080.3 ± 5.9
12>100>10038.5 ± 2.861.4 ± 3.1>100
1376.8 ± 5.462.9 ± 3.968.2 ± 4.572.1 ± 4.360.8 ± 4.2
1476.3 ± 5.851.7 ± 2.8>100>10055.6 ± 3.9
15>10039.4 ± 2.456.0 ± 4.584.7 ± 6.844.1 ± 4.1
16>100>100>100>100>100
1779.6 ± 5.123.4 ± 1.467.5 ± 4.934.6 ± 2.523.2 ± 3.1
18>100>100>100>100>100
19>100>100>100>10042.4 ± 2.5
20>100>100>100>100>100
Etoposide c0.33 ± 0.020.58 ± 0.021.83 ± 0.093.49 ± 0.162.23 ± 0.09
a For cell lines used, see text. b Results are expressed as mean values ± SD. Each concentration was tested in sextuplicate together with the control and repeated two times in separate experiments. c Reference compound.
The new compounds as well as the diterpenes used to assemble the dimers were evaluated for antiproliferative effects using five different human cell lines. From the starting diterpenes, compounds 2 and 6 showed no antiproliferative effect on any of the cell lines. From the dimeric derivatives containing an ether function, compound 7 showed no antiproliferative effect. The diethers 8–10, differing in the number of CH2 units of the linker, presented better antiproliferative activity with maximum effect for the derivative 9. The dimer formed by the esterification of compounds 1 and 2 (compound 11) and its corresponding methyl ester (compound 12) show the importance of a free carboxylic acid function in the antiproliferative effect. Compound 11 showed activity against MRC-5, AGS and HL-60 cell lines but not against SK-MES-1 and J82 cells. Compound 12 showed effect against SK-MES-1 and J82 cells but was devoid of activity against MRC-5, AGS and HL-60 cell lines. The antiproliferative activity of both diesters with succinic and phthalic acid (compounds 13 and 14) was similar.
For compounds 15–18, methylation of the carboxylic acid function at C-19 reduced the antiproliferative effect, as can be seen comparing the pairs 15–16 and 17–18, respectively. Some selectivity against AGS and HL-60 cells was found for the dimers 15 and 17, with better effect for compound 17, differing from 15 in one CH2 unit in the triazole linker. On the other hand, the compounds 19 and 20 showed no antiproliferative effect on any of the cell lines, except on HL-60 for compound 19.

3. Experimental

3.1. General Procedures

Melting points were determined on a Koffler hot stage apparatus (Electrothermal 9100, Dubuque, IA, USA) and were uncorrected. Optical rotations were measured on a Jasco DIP 370 (Jasco Analytical Instruments, Easton, MD, USA) polarimeter in CHCl3 at 20 °C. IR spectra were recorded on a Nicolet Nexus 470 FT-IR instrument (Thermo Electron Corporation, Whaltham, MA, USA). The NMR spectra were recorded on a Bruker Avance 400 (Bruker, Rheinstetten, Germany) spectrometer at 400 MHz for 1H and 100 MHz for 13C in CDCl3. Chemical shifts are given in ppm with TMS as the internal standard. High-resolution mass spectra were measured on a VG Micromass ZAB-2F at 70 eV (Varian Inc., Palo Alto, CA, USA). Merck silica gel (0.063–0.2) was used for column chromatography, pre-coated Si gel plates (Merck, Kieselgel 60 F254, 0.25 mm) were used for TLC analysis. TLC spots were visualized by spraying the chromatograms with p-anisaldehyde-ethanol-acetic acid-H2SO4 (2:170:20:10 v/v) and heating at 110 °C for 3 min. Dicyclohexylcarbodiimide (DCC) and dimethylaminopyridine (DMAP) were from Merck (Germany). 4-Toluenesulfonyl chloride (TsCl) from Fluka (St. Louis, MO, USA), propargyl alcohol, 3-butyn-1-ol and 4-pentynoic acid were from Aldrich (Streinheim, Germany). 1,4-dibromobutane, 1,5-dibromopentane and 1,9-dibromononane were from Aldrich (St. Louis, MO, USA). Sodium azide (Sigma-Aldrich, St. Louis, MO, USA), copper (II) sulphatepentahydrate (Aldrich, St. Louis, MO, USA) and sodium ascorbate (Sigma, St. Louis, MO, USA). The diterpene15-hydroxy-labd-8(17)-en-19-oic acid (imbricatolic acid) was isolated from the resin of Araucaria araucana as previously described [17,22]. To obtain the starting compound for the synthesis, imbricatolic acid was methylated with diazomethane to afford compound 1. Compound 2 was obtained from imbricatolic acid by oxidation with Jones reagent (CrO3/H2SO4/H2O).
15-Hydroxyimbricatolic acid methyl ester (1). Imbricatolic acid (3.00 g, 9.32 mmol) was dissolved in a solution of CH2N2/Et2O. The mixture was stirred at room temperature for 3 h, taken to dryness under reduced pressure and purified by flash column chromatography (CC) on silica gel, eluting with hexane/EtOAc (9:1) to yield 1 (2.85 g, 91%): colorless resin; [α]20 D +50 (c 0.016, CHCl3); IR (film) νmax 3440, 2937, 2873, 1722, 1426, 1147 cm−1; The NMR data are in concordance with those informed previously [22,23]; HREIMS m/z 337.2753 [M+H]+ (calcd for C21H37O3, 337.2742).
Labd-8(17)-en-15,19-dioic acid (junicedric acid) (2). To a solution of imbricatolic acid (3.50 g, 10.54 mmol) in acetone (0.1 M), 3 eq of Jones reagent (1 eq CrO3/35 eq H2O/1 eq H2SO4 16 M) were added at 0 °C. After 10–20 min, the reaction was poured over saturated NaHCO3 (50 mL) and extracted with ethyl ether (2 × 50 mL). The ethyl ether solution was washed with brine, dried over anhydrous Na2SO4, filtered and taken to dryness under reduced pressure. The residue was purified by flash CC on silica gel eluting with hexane/EtOAc (8:2) to yield 2 (2.97 g, 84%): colorless resin; [α]20 D +42 (c 0.159, CHCl3); IR (film) νmax 3420, 2937, 2847, 1698, 1644, 1467, 1155 cm−1; The NMR data are in concordance with those informed previously [22,23]; HREIMS m/z 337.2342 [M+H]+ (calcd for C20H33O4, 337.2379).
15-Azidoimbricatolic acid methyl ester (3). (i) To a solution of compound 1 (2.00 g, 6.21 mmol) in pyridine (0.1 M), a solution of TsCl (1.30 g, 6.83 mmol) was added at 0 °C and the mixture was stirred at room temperature for 24 h. The reaction mixture was cooled in an ice bath, water was added, and the aqueous phase was extracted with EtOAc (3 × 20 mL), dried over anhydrous Na2SO4 and taken to dryness under reduced pressure. The residue was purified by silica gel CC eluting with hexane/EtOAc (8:2), yielding 2.37 g (78%) of the tosylated compound 1. (ii) The tosylated compound (2.30 g, 4.70 mmol) and NaN3 (0.61 g, 9.40 mmol) in DMF (0.1 M) were stirred at room temperature for 24 h. The reaction mixture was cooled in an ice-bath, water was added, and the aqueous phase was extracted with EtOAc (3 × 20 mL). The organic phase was dried over anhydrous Na2SO4, taken to dryness and the residue was purified by silica gel CC eluting with hexane/EtOAc (9:1), yielding 3 (1.42 g, 84%): yellow oil; [α]20 D +83 (c 0.068, CHCl3); IR (film) νmax 2931, 2843, 2094, 1725, 1644, 1464, 1153 cm−1; 1H-NMR (CDCl3): δ 0.46 (3H, s, H-20), 0.86 (3H, d, J = 6.5 Hz, H-16), 0.88 (1H, m, H-12), 1.02 (1H, m, H-3), 1.06 (1H, m, H-1), 1.14 s (3H, s, H-18), 1.21 (1H, m, H-11), 1.25 (1H, m, H-5), 1.34 (1H, m, H-14), 1.42–1.52 (5H, m, H-2, H-9, H-11, H-12 and H-13), 1.60 (1H, m, H-14), 1.72 (1H, m, H-6), 1.77–1.80 (1H, m, H-2), 1.80–1.84 (1H, m, H-1), 1.86–1.89 (1H, m, H-7), 1.90–1.95 (1H, m, H-6), 2.13 (1H, brd, J = 14.2 Hz, H-3), 2.36 (1H, dt, J = 12.1; 3.0 Hz, H-7), 3.23 (2H, m, H-15), 3.57 (3H, s, OMe), 4.44 (1H, s, H-17), 4.80 (1H, s, H-17); 13C-NMR (CDCl3): 39.17 (C-1), 19.97 (C-2), 38.26 (C-3), 44.27 (C-4), 56.35 (C-5), 26.25 (C-6), 38.78 (C-7), 148.24 (C-8), 56.54 (C-9), 40.34 (C-10), 21.05 (C-11), 35.93 (C-12), 31.02 (C-13), 35.44 (C-14), 49.51 (C-15), 19.54 (C-16), 106.27 (C-17), 28.79 (C-18), 177.64 (C-19), 12.54 (C-20), 51.05 (OMe); HREIMS m/z 362.2796 [M+H]+ (calcd for C21H36N3O2, 362.2807).
15-(4-(Hydroxymethyl)-1H-1,2,3-triazol-1-yl)-imbricatolic acid methyl ester (4). Compound 3 (100 mg, 0.28 mmol) and propargyl alcohol (24 μL, 0.42 mmol), were dissolved in t-BuOH/H2O (3 mL/3 mL) followed by the addition of CuSO4·5H2O (7 mg, 0.028 mmol, dissolved in 200 μL of water) and sodium ascorbate (11 mg, 0.056 mmol, dissolved in 200 μL of water). The solution was stirred at room temperature for 24 h. The reaction mixture was cooled in an ice-bath, water was added, and the aqueous phase was extracted with EtOAc (3 × 20 mL). The organic phase was dried over anhydrous Na2SO4, taken to dryness and the residue was purified by silica gel CC eluting with hexane/EtOAc (8:2) to yield 4 (85 mg, 73%): colorless oil; [α]20 D +55 (c 0.021, CHCl3); IR (film) νmax 3420, 2943, 2846, 1725, 1644, 1464, 1153 cm−1; 1H-NMR (CDCl3): δ 0.47 (3H, s, H-20), 0.94 (3H, d, J = 6.5 Hz, H-16), 0.95-1.01 (1H, m, H-12), 1.02 (1H, m, H-3), 1.02–1.07 (1H, m, H-1),1.16 s (3H, s, H-18), 1.23 (1H, m, H-11), 1.27 (1H, m, H-5), 1.40 (1H, m, H-14β), 1.48-1.54 (4H, m, H-2, H-9, H-12 and H-13), 1.68 (1H, m, H-14α), 1.73 (1H, m, H-6), 1.77–1.82 (1H, m, H-2), 1.79–1.84 (2H, m, H-1 and H-11), 1.87–1.90 (1H, m, H-7), 1.92–1.98 (1H, m, H-6), 2.15 (1H, brd, J = 12.9 Hz, H-3), 2.37 (1H, dt, J = 11.9; 3.0 Hz, H-7), 3.59 (3H, s, OMe), 4.32 (2H, m, H-15), 4.43 (1H, s, H-17), 4.76 (2H, s, H-3'), 4.82 (1H, s, H-17), 7.50 (1H, s, H-1'); 13C-NMR (CDCl3): 39.17 (C-1), 19.95 (C-2), 38.23 (C-3), 44.32 (C-4), 56.34 (C-5), 26.25 (C-6), 38.76 (C-7), 148.25 (C-8), 56.56 (C-9), 40.37 (C-10), 20.98 (C-11), 35.81 (C-12), 31.02 (C-13), 37.11 (C-14), 48.64 (C-15), 19.43 (C-16), 106.30 (C-17), 28.81 (C-18), 177.89 (C-19), 12.56 (C-20), 51.18 (OMe), 121.72 (C-1'), 147.66 (C-2'), 56.05 (C-3'); HREIMS m/z 418.3044 [M+H]+ (calcd for C24H40N3O3, 418.3069).
15-(4-(2-Hydroxyethyl)-1H-1,2,3-triazol-1-yl)-imbricatolic acid methyl ester (5). Compound 5 was synthesized as described for 4 starting from compound 3, using 3-butyn-1-ol instead of propargyl alcohol, to afford 82 mg (68%) of 5: colorless oil; [α]20 D +37 (c 0.034, CHCl3); IR (film) νmax 3422, 2946, 2846, 1723, 1644, 1464, 1153 cm−1; 1H-NMR (CDCl3): δ 0.46 (3H, s, H-20), 0.94 (3H, d, J = 6.5 Hz, H-16), 0.95–1.01 (1H, m, H-12), 1.02 (1H, m, H-3), 1.02–1.07 (1H, m, H-1), 1.16 (3H, s, H-18), 1.23 (1H, m, H-11), 1.27 (1H, m, H-5), 1.39 (1H, m, H-14β), 1.48–1.53 (4H, m, H-2, H-9, H-12 and H-13), 1.68 (1H, m, H-14α), 1.73 (1H, m, H-6), 1.77–1.82 (1H, m, H-2), 1.79-1.84 (2H, m, H-1 and H-11), 1.87–1.90 (1H, m, H-7), 1.93–1.99 (1H, m, H-6), 2.16 (1H, brd, J = 12.9 Hz, H-3), 2.38 (1H, dt, J = 11.9; 3.0 Hz, H-7), 2.92 (2H, t, J = 5.6 Hz, H-3'), 3.59 (3H, s, OMe), 3.93 (2H, brs, H-4'), 4.32 (2H, m, H-15), 4.42 (1H, s, H-17), 4.81 (1H, s, H-17), 7.37 (1H, s, H-1'); 13C-NMR (CDCl3): 39.21 (C-1), 19.90 (C-2), 38.27 (C-3), 44.33 (C-4), 56.37 (C-5), 26.27 (C-6), 38.79 (C-7), 148.31 (C-8), 56.57 (C-9), 40.39 (C-10), 21.03 (C-11), 35.83 (C-12), 31.08 (C-13), 37.16 (C-14), 48.50 (C-15), 19.51 (C-16), 106.28 (C-17), 28.85 (C-18), 177.79 (C-19), 12.59 (C-20), 51.17 (OMe), 121.44 (C-1'), 147.60 (C-2'), 28.70 (C-3'), 61.66 (C-4'); HREIMS m/z 432.3564 [M+H]+ (calcd for C25H42N3O3, 432.3226).
15-(4-(2-Carboxyethyl)-1H-1,2,3-triazol-1-yl)-imbricatolic acid methyl ester (6). 6 was synthesized as described for 4 from 3, using 4-pentynoic acid as the alkyne to afford 91 mg (71%) of 6: colorless oil; [α]20 D +56 (c 0.010, CHCl3); IR (film) νmax 3322, 2940, 2846, 1723, 1644, 1464, 1153 cm−1; 1H-NMR (CDCl3): δ 0.48 (3H, s, H-20), 0.94 (3H, d, J = 6.5 Hz, H-16), 0.95–1.01 (1H, m, H-12), 1.03 (1H, m, H-3), 1.02–1.07 (1H, m, H-1), 1.18 (3H, s, H-18), 1.23 (1H, m, H-11), 1.27 (1H, m, H-5), 1.38 (1H, m, H-14β), 1.47–1.55 (4H, m, H-2, H-9, H-12 and H-13), 1.68 (1H, m, H-14α ), 1.73 (1H, m, H-6), 1.77–1.82 (1H, m, H-2), 1.78–1.84 (2H, m, H-1 and H-11), 1.87–1.90 (1H, m, H-7), 1.93–1.99 (1H, m, H-6), 2.16 (1H, brd, J = 12.9 Hz, H-3), 2.37 (1H, dt, J = 11.9; 3.0 Hz, H-7), 2.79 (2H, t, J = 7.0 Hz, H-4'), 3.04 (2H, t, J = 7.0 Hz, H-3'), 3.61 (3H, s, OMe), 4.36 (2H, m, H-15), 4.44 (1H, s, H-17), 4.83 (1H, s, H-17), 7.34 (1H, s, H-1'); 13C-NMR (CDCl3): 39.18 (C-1), 19.96 (C-2), 38.24 (C-3), 44.29 (C-4), 56.32 (C-5), 26.25 (C-6), 38.76 (C-7), 148.30 (C-8), 56.54 (C-9), 40.36 (C-10), 21.01 (C-11), 35.79 (C-12), 31.07 (C-13), 37.13 (C-14), 48.57 (C-15), 19.47 (C-16), 106.26 (C-17), 28.82 (C-18), 177.79 (C-19), 12.56 (C-20), 51.16 (OMe), 121.11 (C-1'), 147.25 (C-2'), 20.65 (C-3'), 33.41 (C-4'), 176.23 (C-5'); HREIMS m/z 460.4086 [M+H]+ (calcd for C26H42N3O4, 460.4048).
Dimer A (7). To a solution of 1 (150 mg, 0.45 mmol) in DMF (10 mL) was added NaH (16 mg, 0.68 mmol) and tosylated compound 1 (220 mg, 0.45 mmol, for preparation see compound 3). The mixture was stirred at room temperature for 4 h, cooled in an ice-bath and after addition of water, the product was extracted with EtOAc (3 × 10 mL), washed with brine, and dried over anhydrous Na2SO4. The residue was purified by flash CC on silica gel eluting with hexane/EtOAc (8:2) to yield 7 (153 mg, 51%): pale yellow oil; [α]20 D +41 (c 0.009, CHCl3); IR (film) νmax 2949, 2867, 1723, 1465, 1151 cm−1; 1H-NMR (CDCl3): δ 0.49 (6H, s, 2xH-20), 0.87 (6H, d, J = 6.5 Hz, 2 × H-16), 0.90 (2H, m, 2 × H-12), 1.00–1.04 (2H, m, 2 × H-3), 1.03-1.08 (2H, m, 2 × H-1), 1.17 (6H, s, 2 × H-18), 1.23–1.28 (2H, m, 2 × H-11), 1.26–1.33 (2H, m, 2 × H-5), 1.37 (2H, m, 2 × H-14β), 1.46–1.54 (10H, m, 2 × H-2, 2 × H-9, 2 × H-11, 2 × xH-12 and 2 × H-13), 1.63 (2H, m, 2 × H-14α), 1.75–1.80 (4H, m, 2 × H-2 and 2 × H-6), 1.80–1.85 (2H, m, 2 × H-1), 1.84–1.90 (2H, m, 2 × H-7), 1.91–1.97 (2H, m, 2 × H-6), 2.13 (2H, brd, J = 14.2 Hz, 2 × H-3), 2.38 (2H, dt, J = 12.1; 3.0 Hz, 2 × H-7), 3.40 (4H, t, J = 7.0 Hz, 2 × H-15), 3.61 (6H, s, 2 × OMe), 4.48 (2H, s, 2 × H-17), 4.82 (2H, s, 2 × H-17); 13C-NMR (CDCl3): see Table 1; HREIMS m/z 655.5412 [M+H]+ (calcd for C42H71O5, 655.5301).
Dimer B (8). To a solution of 1 (150 mg, 0.45 mmol) in DMF (10 mL) was added NaH (16 mg, 0.68 mmol) and 1,4-dibromobutane (54 μL, 0.45 mmol). The mixture was stirred at room temperature for 4 h, cooled in an ice-bath and after addition of water, the product was extracted with EtOAc (3 × 10 mL), washed with brine, and dried over anhydrous Na2SO4. The residue was purified by flash CC on silica gel eluting with hexane/EtOAc (9:1) to yield 7 (78 mg, 48%): pale yellow oil; [α]20 D +32 (c 0.037; CHCl3); IR (film) νmax 2942, 2864, 1723, 1449, 1151 cm−1; 1H-NMR (CDCl3): δ 0.49 (6H, s, 2 × H-20), 0.87 (6H, d, J = 6.5 Hz, 2 × H-16), 0.88 (2H, m, 2 × H-12), 1.00-1.04 (2H, m, 2 × H-3), 1.03–1.08 (2H, m, 2 × H-1), 1.17 (6H, s, 2 × H-18), 1.24–1.30 (2H, m, 2 × H-11), 1.27–1.34 (2H, m, 2 × H-5),1.34 (2H, m, 2 × H-14β), 1.45–1.53 (10H, m, 2 × H-2, 2 × H-9, 2 × H-11, 2 × H-12 and 2 × H-13), 1.63 (2H, m, 2 × H-14α), 1.75–1.80 (4H, m, 2 × H-2 and 2 × H-6), 1.80–1.85 (2H, m, 2 × H-1), 1.84–1.89 (2H, m, 2 × H-7), 1.88–1.95 (2H, m, 2 × H-6 and 4H, m, 2 × H-2''), 2.15 (2H, brd, J = 14.2 Hz, 2 × H-3), 2.38 (2H, dt, J = 12.1; 3.0 Hz, 2 × H-7), 3.40 (4H, m, 2 × H-1''), 3.43 (4H, t, J = 7.0 Hz, 2 × H-15), 3.60 (6H, s, 2 × OMe), 4.48 (2H, s, 2 × H-17), 4.82 (2H, s, 2 × H-17); 13C-NMR (CDCl3): see Table 1; HREIMS m/z 727.5793 [M+H]+ (calcd for C46H79O6, 727.5876).
Dimer C (9). 9 was synthesized as described for 8 from 1 using 1,5-dibromopentane to afford 93 mg (56%) of 9: colorless oil; [α]20 D +35 (c 0.030, CHCl3); IR (film) νmax 2942, 2864, 1723, 1468, 1148 cm−1; 1H-NMR (CDCl3): δ 0.49 (6H, s, 2 × H-20), 0.87 (6H, d, J = 6.5 Hz, 2 × H-16), 0.90 (2H, m, 2 × H-12), 1.00–1.04 (2H, m, 2 × H-3), 1.02–1.06 (2H, m, 2 × H-1), 1.17 (6H, s, 2 × H-18), 1.24–1.31 (2H, m, 2 × H-11), 1.27–1.33 (2H, m, 2 × H-5), 1.34 (2H, m, 2 × H-14β), 1.45–1.55 (10H, m, 2 × H-2, 2 × H-9, 2 × H-11, 2 × H-12, 2 × H-13 and 2H, m, H-3''), 1.62 (2H, m, 2 × H-14α), 1.75-1.80 (4H, m, 2 × H-2 and 2 × H-6), 1.79–1.84 (2H, m, 2 × H-1), 1.84–1.89 (2H, m, 2 × H-7 and 4H, m, 2 × H-2''), 1.91–1.96 (2H, m, 2 × H-6), 2.16 (2H, brd, J = 14.2 Hz, 2 × H-3), 2.39 (2H, dt, J = 12.1; 3.0 Hz, 2 × H-7), 3.39 (4H, m, 2 × H-1''), 3.40 (4H, t, J = 7.0 Hz, 2 × H-15), 3.60 (6H, s, 2xOMe), 4.48 (2H, s, 2 × H-17), 4.82 (2H, s, 2 × H-17); 13C-NMR (CDCl3): see Table 1; HREIMS m/z 741.6012 [M+H]+ (calcd for C47H81O6, 741.6033).
Dimer D (10). 10 was synthesized as described for 8 from 1 using 1,9-dibromononane to afford 73 mg (41%) of 10: yellow oil; [α]20 D +20 (c 0.098, CHCl3); IR (film) νmax 2923, 2849, 1723, 1462, 1152 cm−1; 1H-NMR (CDCl3): δ 0.47 (6H, s, 2 × H-20), 0.86 (6H, d, J = 6.5 Hz, 2 × H-16), 0.89 (2H, m, 2 × H-12), 1.00–1.04 (2H, m, 2 × H-3), 1.01–1.05 (2H, m, 2 × H-1), 1.16 (6H, s, 2 × H-18), 1.24–1.30 (2H, m, 2 × H-11 and 6H, m, 2 × H-4'' and H-5''), 1.27–1.34 (2H, m, 2 × H-5), 1.34 (2H, m, 2 × H-14β), 1.47–1.55 (10H, m, 2 × H-2, 2 × H-9, 2 × H-11, 2 × H-12, 2 × H-13 and 4H, m, 2 × H-3''), 1.62 (2H, m, 2 × H-14α), 1.75–1.80 (4H, m, 2 × H-2 and 2 × H-6), 1.81–1.85 (2H, m, 2 × H-1 and 4H, m, 2 × H-2''), 1.86–1.90 (2H, m, 2 × H-7), 1.92–1.97 (2H, m, 2 × H-6), 2.14 (2H, brd, J = 14.2 Hz, 2 × H-3), 2.38 (2H, dt, J = 12.1; 3.0 Hz, 2 × H-7), 3.36 (4H, m, 2 × H-1''), 3.38 (4H, t, J = 7.0 Hz, 2 × H-15), 3.60 (6H, s, 2xOMe), 4.47 (2H, s, 2 × H-17), 4.80 (2H, s, 2 × H-17); 13C-NMR (CDCl3): see Table 1; HREIMS m/z 797.6721 [M+H]+ (calcd for C51H89O6, 797.6659).
Dimer E (11). 2 (120 mg, 0.36 mmol), DCC (111 mg, 0.54 mmol), catalytic amount of DMAP and 1 (120 mg, 0.36 mmol) in dry CH2Cl2 (10 mL) were stirred at room temperature for 2 h. The reaction mixture was cooled in an ice-bath, water was added, and the aqueous phase was extracted with EtOAc (3 × 20 mL), and dried over anhydrous Na2SO4, taken to dryness and the residue was purified by silica gel CC eluting with hexane/EtOAc (8:2), yielding 11 (153 mg, 65%): colorless oil; [α]20 D +34 (c 0.148, CHCl3); IR (film) νmax 3322, 2930, 2847, 1724, 1644, 1465, 1152 cm−1; 1H-NMR (CDCl3): δ 0.46 (3H, s, H-20), 0.55 (3H, s, H-20'), 0.86 (3H, d, J = 6.5 Hz, H-16), 0.89 (3H, d, J = 6.5 Hz, H-16'), 0.86-0.91 (2H, m, H-12 and H-12'), 0.98–1.08 (4H, m, H-1, H-1', H-3 and H-3'), 1.14 (3H, s, H-18), 1.19 (3H, s, H-18'), 1.20–1.25 (4H, m, H-5, H-5', H-11 and H-11'), 1.34 (1H, m, H-14β), 1.45–1.50 (10H, m, H-2, H-2', H-9, H-9', H-11, H-11', H-12, H-12', H-13 and H-13'), 1.64 (1H, m, H-14α), 1.70–1.75 (2H, m, H-6 and H-6'), 1.76-1.84 (4H, m, H-1, H-1', H-2 and H-2'), 1.86–1.93 (4H, m, H-6, H-6', H-7 and H-7'), 2.04 (1H, dd, J = 14.5; 8.2 Hz, H-14'β), 2.13 (2H, m, H-3 and H-3'), 2.27 (1H, dd, J = 14.5; 5.9 Hz, H-14'α), 2.36 (2H, m, H-7 and H-7'), 3.57 (3H, s, OMe), 4.04 (4H, m, H-15 and H-15'), 4.44 (2H, s, H-17 and H-17'), 4.79 (2H, s, H-17 and H-17'); 13C-NMR (CDCl3): see Table 2; HREIMS m/z 655.4924 [M+H]+ (calcd for C41H67O6, 655.4937).
Dimer F (12). Compound 11 (100 mg, 0.15 mmol), was methylated with a solution of CH2N2 in ethyl ether, yielding 92 mg (92%) of 12: colorless oil; [α]20 D +45 (c 0.029, CHCl3); IR (film) νmax 2949, 2842, 1723, 1644, 1465, 1152 cm−1; 1H-NMR (CDCl3): δ 0.48 (6H, s, H-20 and H-20'), 0.89 (3H, d, J = 6.5 Hz, H-16), 0.92 (3H, d, J = 6.5 Hz, H-16'), 0.88–0.93 (2H, m, H-12 and H-12'), 1.00–1.08 (4H, m, H-1, H-1', H-3 and H-3'), 1.17 (6H, s, H-18 and H-18'), 1.22–1.30 (4H, m, H-5, H-5', H-11 and H-11'), 1.36 (1H, m, H-14β), 1.46–1.52 (10H, m, H-2, H-2', H-9, H-9', H-11, H-11', H-12, H-12', H-13 and H-13'), 1.65 (1H, m, H-14α), 1.72–1.78 (2H, m, H-6 and H-6'), 1.80–1.87 (4H, m, H-1, H-1', H-2 and H-2'), 1.88–1.95 (4H, m, H-6, H-6', H-7 and H-7'), 2.06 (1H, dd, J = 14.5; 8.3 Hz, H-14'β), 2.14 (2H, m, H-3 and H-3'), 2.29 (1H, dd, J = 14.5; 5.9 Hz, H-14'α), 2.38 (2H, m, H-7 and H-7'), 3.60 (6H, s, OMe and OMe'), 4.06 (4H, m, H-15 and H-15'), 4.46 (2H, s, H-17 and H-17'), 4.82 (2H, s, H-17 and H-17'); 13C-NMR (CDCl3): see Table 2; HREIMS m/z 669.5131 [M+H]+ (calcd for C42H69O6, 669.5094).
Dimer G (13). 13 was synthesized as described for 11 from 1 using succinic acid to afford 76 mg (45%) of 13: pale yellow oil; [α]20 D +34 (c 0.042, CHCl3); IR (film) νmax 3320, 2949, 2841, 1721, 1645, 1465, 1155 cm−1; 1H-NMR (CDCl3): δ 0.49 (6H, s, 2 × H-20), 0.89 (6H, d, J = 6.5 Hz, 2 × H-16), 0.87–0.93 (2H, m, 2x H-12), 0.99–1.07 (4H, m, 2 × H-1 and 2 × H-3), 1.18 (6H, s, 2 × H-18), 1.23–1.29 (4H, m, 2 × H-5 and 2 × H-11), 1.30 (2H, m, 2 × H-14β), 1.46–1.52 (10H, m, 2 × H-2, 2 × H-9, 2 × H-11, 2 × H-12 and 2 × H-13), 1.66 (2H, m, 2 × H-14α), 1.70–1.76 (2H, m, 2 × H-6), 1.77–1.84 (4H, m, 2 × H-1 and 2 × H-2), 1.86–1.94 (4H, m, 2 × H-6 and 2 × H-7), 2.16 (2H, m, 2 × H-3), 2.38 (2H, m, 2 × H-7), 2.64 (4H, brd, J = 6.1 Hz, 2 × H-2''), 3.61 (6H, s, 2 × OMe), 4.11 (4H, m, 2 × H-15), 4.47 (2H, s, 2 × H-17), 4.82 (2H, s, 2 × H-17); 13C-NMR (CDCl3): see Table 1; HREIMS m/z 755.5546 [M+H]+ (calcd for C46H75O8, 755.5462).
Dimer H (14). 14 was synthesized as described for 11 from 1 using phthalic acid to afford 95 mg (53%) of 14: yellow oil; [α]20 D +33 (c 0.053, CHCl3); IR (film) νmax 2949, 2842, 1723, 1644, 1465, 1148 cm−1; 1H-NMR (CDCl3): δ 0.42 (6H, s, 2 × H-20), 0.88 (6H, d, J = 6.5 Hz, 2 × H-16), 0.88–0.95 (2H, m, 2 × H-12), 0.97–1.06 (4H, m, 2 × H-1 and 2 × H-3), 1.11 (6H, s, 2 × H-18), 1.20–1.25 (4H, m, 2 × H-5 and 2 × H-11), 1.30 (2H, m, 2 × H-14β), 1.40–1.48 (10H, m, 2 × H-2, 2 × H-9, 2 × H-11, 2 × H-12 and 2 × H-13), 1.68 (2H, m, 2 × H-14α), 1.70–1.76 (2H, m, 2 × H-6), 1.76–1.82 (4H, m, 2 × H-1 and 2 × H-2), 1.84–1.92 (4H, m, 2 × H-6 and 2 × H-7), 2.08 (2H, m, 2 × H-3), 2.33 (2H, m, 2 × H-7), 3.55 (6H, s, 2 × OMe), 4.28 (4H, m, 2 × H-15), 4.42 (2H, s, 2 × H-17), 4.76 (2H, s, 2 × H-17), 7.58 (2H, m, 2 × H-4''), 7.76 (2H, m, 2 × H-3''); 13C-NMR (CDCl3): see Table 1; HREIMS m/z 803.5437 [M+H]+ (calcd for C50H74O8, 803.5462).
Dimer I (15). (i) 2 (120 mg, 0.36 mmol), DCC (111 mg, 0.54 mmol), catalytic amount of DMAP and propargyl alcohol (31 μL, 0.54 mmol) in dry CH2Cl2 (10 mL) were stirred at room temperature for 2 h. Yielding the propargyl ester of 2 (92 mg, 66%) after the extraction and purification. (ii) 3 (76 mg, 0.21 mmol) and propargyl ester of 2 (80 mg, 0. 21 mmol), were dissolved in t-BuOH/H2O (3 mL/3 mL) followed by the addition of 5 mg CuSO4.5H2O (0.021 mmol, dissolved in 200 μL of water) and 8 mg of sodium ascorbate (0.042 mmol, dissolved in 200 μL of water). The solution was stirred at room temperature for 24 h. The reaction mixture was cooled in an ice-bath, water was added, and the aqueous phase was extracted with EtOAc (3 × 20 mL), and dried over anhydrous Na2SO4, taken to dryness and the residue was purified by silica gel CC eluting with hexane/EtOAc (8:2), yielding 15 (120 mg, 78%): yellow oil; [α]20 D +37 (c 0.075, CHCl3); IR (film) νmax 3320, 2936, 2842, 1718, 1641, 1466, 1152 cm−1; 1H-NMR (CDCl3): δ 0.44 (3H, s, H-20), 0.54 (3H, s, H-20'), 0.85 (3H, d, J = 6.5 Hz, H-16), 0.90 (3H, d, J = 6.5 Hz, H-16'), 0.94–0.99 (2H, m, H-12 and H-12'), 0.98–1.07 (4H, m, H-1, H-1', H-3 and H-3'), 1.13 (3H, s, H-18), 1.18 (3H, s, H-18'), 1.20–1.28 (4H, m, H-5, H-5', H-11 and H-11'), 1.34 (1H, m, H-14β), 1.45–1.51 (10H, m, H-2, H-2', H-9, H-9', H-11, H-11', H-12, H-12', H-13 and H-13'), 1.65 (1H, m, H-14α), 1.72–1.78 (2H, m, H-6 and H-6'), 1.79–1.85 (4H, m, H-1, H-1', H-2 and H-2'), 1.86–1.96 (4H, m, H-6, H-6', H-7 and H-7'), 2.05 (1H, dd, J = 14.8; 8.5 Hz, H-14'β), 2.11 (2H, m, H-3 and H-3'), 2.29 (1H, dd, J = 14.8; 5.6 Hz, H-14'α), 2.33 (2H, m, H-7 and H-7'), 3.56 (3H, s, OMe), 4.30 (2H, m, H-15), 4.39 (2H, s, H-17 and H-17'), 4.75 (1H, s, H-17'), 4.78 (1H, s, H-17), 5.16 (2H, s, H-3''), 7.55 (1H, s, H-1''); 13C-NMR (CDCl3): see Table 2; HREIMS m/z 736.5359 [M+H]+ (calcd for C44H70N3O6, 736.5265).
Dimer J (16). Compound 15 (60 mg, 0.08 mmol), was methylated with a solution of CH2N2 in ethyl ether, yielding 57 mg (94%) of 16: colorless oil; [α]20 D +40 (c 0.008, CHCl3); IR (film) νmax 2929, 2835, 1720, 1643, 1454, 1153 cm−1; 1H-NMR (CDCl3): δ 0.46 (6H, s, H-20 and H-20'), 0.84 (3H, d, J = 6.5 Hz, H-16), 0.88 (3H, d, J = 6.5 Hz, H-16'), 0.93–0.98 (2H, m, H-12 and H-12'), 0.99–1.06 (4H, m, H-1, H-1', H-3 and H-3'), 1.12 (3H, s, H-18), 1.19 (3H, s, H-18'), 1.20–1.28 (4H, m, H-5, H-5', H-11 and H-11'), 1.33 (1H, m, H-14β), 1.49–1.53 (10H, m, H-2, H-2', H-9, H-9', H-11, H-11', H-12, H-12', H-13 and H-13'), 1.63 (1H, m, H-14α), 1.70–1.77 (2H, m, H-6 and H-6'), 1.79–1.86 (4H, m, H-1, H-1', H-2 and H-2'), 1.88–1.98 (4H, m, H-6, H-6', H-7 and H-7'), 2.02 (1H, dd, J = 14.8; 8.5 Hz, H-14'β), 2.12 (2H, m, H-3 and H-3'), 2.28 (1H, dd, J = 14.8; 5.6 Hz, H-14'α), 2.34 (2H, m, H-7 and H-7'), 3.59 (6H, s, OMe and OMe'), 4.33 (2H, m, H-15), 4.42 (2H, s, H-17 and H-17'), 4.79 (1H, s, H-17'), 4.81 (1H, s, H-17), 5.18 (2H, s, H-3''), 7.55 (1H, s, H-1''); 13C-NMR (CDCl3): see Table 2; HREIMS m/z 750.5205 [M+H]+ (calcd for C45H72N3O6, 750.5421).
Dimer K (17). 17 was synthesized as described for 15 (i) from 2 using 3-butyn-1-ol to afford 84 mg (58%) of the butyn ester of 2. (ii) from 3 using butyn ester of 2 to afford 115 mg (74%) of 17: colorless oil; [α]20 D +27 (c 0.122, CHCl3); IR (film) νmax 3315, 2933, 2864, 1723, 1638, 1462, 1152 cm−1; 1H-NMR (CDCl3): δ 0.44 (3H, s, H-20), 0.55 (3H, s, H-20'), 0.85 (3H, d, J = 6.5 Hz, H-16), 0.90 (3H, d, J = 6.5 Hz, H-16'), 0.92–0.98 (2H, m, H-12 and H-12'), 0.99–1.07 (4H, m, H-1, H-1', H-3 and H-3'), 1.14 (3H, s, H-18), 1.19 (3H, s, H-18'), 1.20–1.28 (4H, m, H-5, H-5', H-11 and H-11'), 1.34 (1H, m, H-14β), 1.45–1.51 (10H, m, H-2, H-2', H-9, H-9', H-11, H-11', H-12, H-12', H-13 and H-13'), 1.64 (1H, m, H-14α), 1.71–1.77 (2H, m, H-6 and H-6'), 1.78–1.84 (4H, m, H-1, H-1', H-2 and H-2'), 1.86–1.95 (4H, m, H-6, H-6', H-7 and H-7'), 2.03 (1H, dd, J = 14.8; 8.5 Hz, H-14'β), 2.11 (2H, m, H-3 and H-3'), 2.28 (1H, dd, J = 14.8; 5.6 Hz, H-14'α), 2.33 (2H, m, H-7 and H-7'), 3.02 (2H, t, J = 6.5 Hz, H-3''), 3.57 (3H, s, OMe), 4.29 (2H, t, J = 6.5 Hz, H-4''), 4.31 (2H, m, H-15), 4.40 (1H, s, H-17'), 4.42 (1H, s, H-17), 4.79 (2H, s, H-17 and H-17'), 7.32 (1H, s, H-1''); 13C-NMR (CDCl3): see Table 2; HREIMS m/z 750.5205 [M+H]+ (calcd for C45H72N3O6, 750.5421).
Dimer L (18). Compound 17 (60 mg, 0.08 mmol), was methylated with a solution of CH2N2 in ethyl ether, yielding 54 mg (88%) of 18: colorless oil; [α]20 D +41 (c 0.024, CHCl3); IR (film) νmax 2947, 2839, 1720, 1643, 1463, 1149 cm−1; 1H-NMR (CDCl3): δ 0.47 (6H, s, H-20 and H-20'), 0.89 (3H, d, J = 6.5 Hz, H-16), 0.92 (3H, d, J = 6.5 Hz, H-16'), 0.94–1.00 (2H, m, H-12 and H-12'), 1.01–1.09 (4H, m, H-1, H-1', H-3 and H-3'), 1.17 (6H, s, H-18 and H-18'), 1.22–1.30 (4H, m, H-5, H-5', H-11 and H-11'), 1.35 (1H, m, H-14β), 1.46–1.53 (10H, m, H-2, H-2', H-9, H-9', H-11, H-11', H-12, H-12', H-13 and H-13'), 1.65 (1H, m, H-14α), 1.71–1.77 (2H, m, H-6 and H-6'), 1.79–1.86 (4H, m, H-1, H-1', H-2 and H-2'), 1.87–1.93 (4H, m, H-6, H-6', H-7 and H-7'), 2.06 (1H, dd, J = 14.8; 8.5 Hz, H-14'β), 2.12 (2H, m, H-3 and H-3'), 2.30 (1H, dd, J = 14.8; 5.6 Hz, H-14'α), 2.35 (2H, m, H-7 and H-7'), 3.05 (2H, t, J = 6.5 Hz, H-3''), 3.60 (6H, s, OMe and OMe'), 4.32 (2H, t, J = 6.5 Hz, H-4''), 4.33 (2H, m, H-15), 4.43 (1H, s, H-17'), 4.44 (1H, s, H-17), 4.82 (2H, s, H-17 and H-17'), 7.32 (1H, s, H-1''); 13C-NMR (CDCl3): see Table 2; HREIMS m/z 764.5391 [M+H]+ (calcd for C46H74N3O6, 764.5577).
Dimer M (19). 19 was synthesized as described for 15 (i) from imbricatolic acid using 5-pentynoic acidto afford 97 mg (62%) of the pentynoic ester of imbricatolic acid. (ii) from 3 using pentynoic ester of imbricatolic acid to afford 107 mg (57%) of 19: yellow oil; [α]20 D +28 (c 0.046, CHCl3); IR (film) νmax 3318, 2947, 2840, 1720, 1639, 1463, 1149 cm−1; 1H-NMR (CDCl3): δ 0.48 (3H, s, H-20), 0.59 (3H, s, H-20'), 0.88 (3H, d, J = 6.5 Hz, H-16), 0.93 (3H, d, J = 6.5 Hz, H-16'), 0.95–0.99 (2H, m, H-12 and H-12'), 1.00–1.07 (4H, m, H-1, H-1', H-3 and H-3'), 1.17 (3H, s, H-18), 1.23 (3H, s, H-18'), 1.21–1.29 (4H, m, H-5, H-5', H-11 and H-11'), 1.32–1.36 (2H, m, H-14β and H-14'β), 1.47–1.52 (10H, m, H-2, H-2', H-9, H-9', H-11, H-11', H-12, H-12', H-13 and H-13'), 1.65 (2H, m, H-14α and H-14'α), 1.74–1.79 (2H, m, H-6 and H-6'), 1.80–1.86 (4H, m, H-1, H-1', H-2 and H-2'), 1.87–1.95 (4H, m, H-6, H-6', H-7 and H-7'), 2.15 (2H, m, H-3 and H-3'), 2.39 (2H, m, H-7 and H-7'), 2.70 (2H, t, J = 7.3 Hz, H-4''), 3.02 (2H, t, J = 7.3 Hz, H-3''), 3.60 (3H, s, OMe), 4.08 (2H, m, H-15'), 4.30 (2H, m, H-15),4.43 (1H, s, H-17'), 4.46 (1H, s, H-17), 4.81 (1H, s, H-17'), 4.82 (1H, s, H-17), 7.31 (1H, s, H-1''); 13C-NMR (CDCl3): see Table 2; HREIMS m/z 764.5516 [M+H]+ (calcd for C46H74N3O6, 764.5577).
Dimer N (20). Compound 19 (50 mg, 0.065 mmol), was methylated with a solution of CH2N2 in ethyl ether, yielding 43 mg (86%) of 20: pale yellow oil; [α]20 D +30 (c 0.047, CHCl3); IR (film) νmax 2947, 2860, 1724, 1639, 1463, 1149 cm−1; 1H-NMR (CDCl3): δ 0.43 (3H, s, H-20), 0.44 (3H, s, H-20'), 0.84 (3H, d, J = 6.5 Hz, H-16), 0.89 (3H, d, J = 6.5 Hz, H-16'), 0.92–0.97 (2H, m, H-12 and H-12'), 0.98–1.05 (4H, m, H-1, H-1', H-3 and H-3'), 1.13 (6H, s, H-18 and H-18'), 1.20–1.27 (4H, m, H-5, H-5', H-11 and H-11'), 1.30–1.35 (2H, m, H-14β and H-14'β), 1.45–1.51 (10H, m, H-2, H-2', H-9, H-9', H-11, H-11', H-12, H-12', H-13 and H-13'), 1.66 (2H, m, H-14α and H-14'α), 1.73–1.78 (2H, m, H-6 and H-6'), 1.79–1.84 (4H, m, H-1, H-1', H-2 and H-2'), 1.86–1.93 (4H, m, H-6, H-6', H-7 and H-7'), 2.11 (2H, m, H-3 and H-3'), 2.34 (2H, m, H-7 and H-7'), 2.66 (2H, t, J = 7.3 Hz, H-4''), 2.97 (2H, t, J = 7.3 Hz, H-3''), 3.56 (6H, s, OMe and OMe'), 4.04 (2H, m, H-15'), 4.27 (2H, m, H-15), 4.39 (1H, s, H-17'), 4.41 (1H, s, H-17), 4.78 (2H, s, H-17 and H-17'), 7.30 (1H, s, H-1''); 13C-NMR (CDCl3): see Table 2; HREIMS m/z 778.5566 [M+H]+ (calcd for C46H73N3O6, 778.5734).

3.2. Antiproliferative Assay

All human cell lines used in this work were purchased from the American Type Culture Collection (ATCC, Manasas, VA, USA). Normal lung MRC-5 fibroblasts (CCL-171), SK-MES-1 lung cancer cells (HTB-58) and J82 bladder carcinoma cells (HTB-1) were grown as monolayers in minimum essential Eagle medium (MEM) with Earles’s salts, 2 mM L-glutamine and 1.5 g/L sodium bicarbonate. Gastric adenocarcinoma AGS cells (CRL-1739) were grown as monolayers in Ham F-12 medium containing 1 mM L-glutamine and 1.5 g/L sodium bicarbonate. Promyelocytic leukemia HL-60 cells (CCL-240) were grown in suspension in RPM1 medium containing 1 mM sodium pyruvate and 2.0 g/L sodium bicarbonate. All media were supplemented with 10% heat-inactivated FBS, 100 IU/mL penicillin and 100 µg/mL streptomycin. Cells were grown in a humidified incubator with 5% CO2 in air at 37 °C. For the antiproliferative assay, adherent cells were plated at a density of 5 × 104 cells/mL and HL-60 cells at 30 × 104 cells/mL. Cells were seeded in 96-well plates (100 µL/well). One day after seeding, cells were treated with medium containing the compounds at concentrations ranging from 0 up to 100 µM during 3 days. The compounds were dissolved in DMSO (1% final concentration) and complete medium. Untreated cells (medium containing 1% DMSO) were used as 100% viability controls. Etoposide (98% purity, Sigma-Aldrich, St. Louis, MO, USA) was used as reference compound. Each concentration was tested in sextuplicate and experiments were repeated 2 times. Cell viability was determined by means of the MTT reduction assay at the end of the incubation with the products. The results were transformed to percentage of controls and the IC50 values were graphically obtained from the dose-response curves.

4. Conclusions

In the present work, some 14 new dimeric labdane diterpenes were synthesized starting from the natural product imbricatolic acid. Dimeric labdanes are uncommon in Nature and this report presents a suitable methodology for the synthesis of new dimeric terpenes to be assessed for selected bioactivities. The new compounds showed low to moderate antiproliferative effects on the selected cell lines, with some selectivity. Additional studies using other biological models are needed to disclose the potential of the novel dimers as bioactive agents.

Supplementary Materials

Supplementary materials can be accessed at: https://www.mdpi.com/1420-3049/18/5/5936/s1.

Acknowledgments

This work was supported by FONDECYT N° 11100046.

Conflicts of Interest

The authors declare no conflict of interest.

References

  1. Hadden, M.K.; Blagg, B.S.J. Dimeric approaches to anti-cancer chemotherapeutics. Anticancer Agents Med. Chem. 2008, 8, 807–816. [Google Scholar]
  2. Shoeb, M.; MacManus, S.M.; Jaspars, M.; Trevidu, J.; Nahar, L.; Kong-Thoo-Lind, P.; Sarkere, S.D. Montamine, a unique dimeric indole alkaloid, from the seeds of Centaurea montana (Asteraceae), and its in vitro cytotoxic activity against the CaCo2 colon cancer cells. Tetrahedron 2006, 62, 11172–11177. [Google Scholar]
  3. Jenett-Siems, K.; Kohler, I.; Kraft, C.; Pertz, H.H.; Kren, V.; Fiserova, A.; Kuzma, M.; Ulrichova, J.; Bienzle, U.; Eich, E. In vitro antiplasmodial activities of semisynthetic N,N'-spacer-linked oligomeric ergolines. Bioorg. Med. Chem. 2004, 12, 817–824. [Google Scholar]
  4. Ndonsta, B.L.; Tatsimo, J.S.N.; Csupor, D.; Forgo, P.; Berkecz, R.; Berényi, A.; Tene, M.; Molnár, J.; Zupkó, I.; Hohmann, J.; Tane, P. Alkylbenzoquinones with antiproliferative effect against human cancer cell lines from stem of Ardisia kivuensis. Phytochem. Lett. 2011, 4, 227–230. [Google Scholar]
  5. Lewin, G.; Shridhar, N.B.; Aubert, G.; Thoret, S.; Dubois, J.; Cresteil, T. Synthesis of antiproliferative flavones from calycopterin, Major flavonoid of Calycopteris floribunda Lamk. Bioorg. Med. Chem. 2011, 19, 186–196. [Google Scholar]
  6. Li, L.; Li, D.; Luan, Y.; Gu, Q.; Zhu, T. Cytotoxic metabolites from the antarctic psychrophilic fungus Oidiodendron truncatum. J. Nat. Prod. 2012, 75, 920–927. [Google Scholar]
  7. Ponou, B.K.; Teponno, R.B.; Ricciutelli, M.; Quassinti, L.; Bramucci, M.; Lupidi, G.; Barboni, L.; Tapondjou, L.A. Dimeric antioxidant and cytotoxic triterpenoid saponins from Terminalia ivorensis A. Chev. Phytochemstry 2010, 71, 2108–2115. [Google Scholar]
  8. Chen, C.H.; Hsieh, T.J.; Liu, T.Z.; Chern, C.L.; Hsieh, P.Y.; Chen, C.Y. Annoglabayin, a novel dimeric kaurane diterpenoid, and apoptosis in Hep G2 cells of annomontacin from the fruits of Annona glabra. J. Nat. Prod. 2004, 67, 1942–1946. [Google Scholar]
  9. Maas, M.; Hensel, A.; da Costa, F.B.; Brun, R.; Kaiser, M.; Schmidt, T.J. An unusual dimeric guaianolide with antiprotozoal activity and further sesquiterpene lactones from Eupatorium perfoliatum. Phytochemstry 2011, 72, 635–644. [Google Scholar]
  10. Miyagawa, T.; Ohtsuki, T.; Koyano, T.; Kowithayakorn, T.; Ishibashi, M. Cassaine diterpenoid dimers isolated from Erythrophleum succirubrum with TRAIL-resistance overcoming activity. Tetrahedron Lett. 2009, 50, 4658–4662. [Google Scholar]
  11. Suresh, G.; Babu, K.S.; Rao, M.S.A.; Rao, V.R.S.; Yadav, P.A.; Nayak, V.L.; Ramakrishna, S. Premnalatifolin A, a novel dimeric diterpene from Premna latifolia Roxb. Tetrahedron Lett. 2011, 52, 5016–5019. [Google Scholar]
  12. Li, M.; Zhang, J.S.; Chen, M.Q. A novel dimeric diterpene from Salvia prionitis. J. Nat. Prod. 2001, 64, 971–972. [Google Scholar]
  13. Braca, A.; Abdel-Razik, A.F.; Mendez, J.; Morelli, I. A new kaurane diterpene dimer from Parinari campestris. Fitoterapia 2005, 76, 614–619. [Google Scholar]
  14. Drewes, S.E.; Mudau, K.E.; Van Vuuren, S.F.; Viljoen, A.M. Antimicrobial monomeric and dimeric diterpenes from the leaves of Helichrysum tenax var tenax. Phytochemstry 2006, 67, 716–722. [Google Scholar]
  15. Rustaiyan, M.H.; Mosslemin-Kupaii, F.; Papastergiou, J. Persianone, a dimeric diterpene from Ballota aucheri. Phytochemstry 1995, 40, 875–879. [Google Scholar]
  16. Demetzos, C.; Dimas, K.S. Labdane-type diterpenes: chemistry and biological activity. Stud. Nat. Prod. Chem. 2001, 25, 235–292. [Google Scholar]
  17. Izquierdo, R.; Astudillo, L.; Rodríguez, J.A.; Theoduloz, C.; Palenzuela, J.A.; Schmeda-Hirschmann, G. Gastroprotective effect and cytotoxicity of labdenamides. Planta Med. 2007, 73, 310–317. [Google Scholar]
  18. Mahaira, L.G.; Tsimplouli, C.; Sakellaridis, N.; Alevizopoulos, K.; Demetzos, C.; Han, Z.; Pantazis, P.; Dimas, K. The labdane diterpene sclareol (labd-14-ene-8, 13-diol) induces apoptosis in human tumor cell lines and suppression of tumor growth in vivo via a p53-independent mechanism of action. Eur. J. Pharmacol. 2011, 666, 173–182. [Google Scholar]
  19. Schmeda-Hirschmann, G.; Astudillo, L.; Sepúlveda, B.; Rodríguez, J.A.; Theoduloz, C.; Yáñez, T.; Palenzuela, J.A. Gastroprotective effect and cytotoxicity of natural and semisynthetic labdane diterpenes from Araucaria araucana resin. Z. Naturforsch. 2005, 60c, 511–522. [Google Scholar]
  20. Schmeda-Hirschmann, G.; Astudillo, L.; Rodríguez, J.A.; Theoduloz, C.; Yáñez, T. Gastroprotective effect of the Mapuche crude drug Araucaria araucana resin and its main constituents. J. Ethnopharmacol. 2005, 101, 271–276. [Google Scholar]
  21. Lixia, C.; Huajie, Z.; Rui, W.; Kailan, Z.; Yongkui, J.; Feng, Q. ent-labdane diterpenoid lactone stereoisomers from Andrographis paniculata. J. Nat. Prod. 2008, 71, 852–855. [Google Scholar] [CrossRef]
  22. Schmeda-Hirschmann, G.; Pertino, M.W.; Rodriguez, J.A.; Monsalve, F.; Droguett, D.; Theoduloz, C. Synthesis, Gastroprotective effect and cytotoxicity of new amino acid diterpene monoamides and diamides. Molecules 2010, 15, 7378–7394. [Google Scholar]
  23. Pertino, M.W.; Theoduloz, C.; Palenzuela, J.A.; Afonso, M.M.; Yesilada, E.; Monsalve, F.; González, P.; Droguett, D.; Schmeda-Hirschmann, G. Synthesis and pharmacological activity of diterpenylnaphthoquinone derivatives. Molecules 2011, 16, 8614–8628. [Google Scholar] [CrossRef]
  24. Passarella, D.; Comi, D.; Cappelletti, G.; Cartelli, D.; Gertsch, J.; Quesada, A.; Borlak, J.; Altmann, K. Synthesis and biological evaluation of epothilone A dimeric compounds. Bioorg. Med. Chem. 2009, 17, 7435–7440. [Google Scholar]
  25. Jeyadevan, J.P.; Bray, P.G.; Chadwick, J.; Mercer, A.E.; Byrne, A.; Ward, S.A.; Park, B.K.; Williams, D.P.; Cosstick, R.; Davies, J.; et al. Antimalarial and antitumor evaluation of novel C-10 non-acetal dimers of 10β-(2-hydroxyethyl)deoxoartemisinin. J. Med. Chem. 2004, 47, 1290–1298. [Google Scholar] [CrossRef]
  26. Galal, A.M.; Gul, W.; Slade, D.; Ross, S.A.; Feng, S.; Hollingshead, M.G.; Alley, M.C.; Kaur, G.; ElSohly, M.A. Synthesis and evaluation of dihydroartemisinin and dihydroartemisitene acetal dimers showing anticancer and antiprotozoal activity. Bioorg. Med. Chem. 2009, 17, 741–751. [Google Scholar]
  27. Lombard, M.C.; N’Da, D.D.; Breytenbach, J.C.; Smith, P.J.; Lategan, C.A. Artemisinin-quinoline hybrid-dimers: Synthesis and in vitro antiplasmodial activity. Bioorg. Med. Chem. Lett. 2010, 20, 6975–6977. [Google Scholar] [CrossRef]
  • Sample Availability: Samples of the compounds 1–20 are available from the authors.

Share and Cite

MDPI and ACS Style

Pertino, M.W.; Theoduloz, C.; Bastías, M.; Schmeda-Hirschmann, G. Dimeric Labdane Diterpenes: Synthesis and Antiproliferative Effects. Molecules 2013, 18, 5936-5953. https://doi.org/10.3390/molecules18055936

AMA Style

Pertino MW, Theoduloz C, Bastías M, Schmeda-Hirschmann G. Dimeric Labdane Diterpenes: Synthesis and Antiproliferative Effects. Molecules. 2013; 18(5):5936-5953. https://doi.org/10.3390/molecules18055936

Chicago/Turabian Style

Pertino, Mariano Walter, Cristina Theoduloz, Marco Bastías, and Guillermo Schmeda-Hirschmann. 2013. "Dimeric Labdane Diterpenes: Synthesis and Antiproliferative Effects" Molecules 18, no. 5: 5936-5953. https://doi.org/10.3390/molecules18055936

APA Style

Pertino, M. W., Theoduloz, C., Bastías, M., & Schmeda-Hirschmann, G. (2013). Dimeric Labdane Diterpenes: Synthesis and Antiproliferative Effects. Molecules, 18(5), 5936-5953. https://doi.org/10.3390/molecules18055936

Article Metrics

Back to TopTop