You are currently viewing a new version of our website. To view the old version click .
Molecules
  • Review
  • Open Access

5 April 2013

Coordination Programming of Photofunctional Molecules

,
,
,
and
Department of Chemistry, Graduate School of Science, The University of Tokyo, 7-3-1, Hongo, Bunkyo-ku, Tokyo 113-0033, Japan
*
Authors to whom correspondence should be addressed.
This article belongs to the Special Issue New Trends in Photochemistry

Abstract

Our recent achievements relating to photofunctional molecules are addressed. Section 1 discloses a new concept of photoisomerization. Pyridylpyrimidine-copper complexes undergo a ring inversion that can be modulated by the redox state of the copper center. In combination with an intermolecular photoelectron transfer (PET) initiated by the metal-to-ligand charge transfer (MLCT) transition of the Cu(I) state, we realize photonic regulation of the ring inversion. Section 2 reports on the first examples of heteroleptic bis(dipyrrinato)zinc(II) complexes. Conventional homoleptic bis(dipyrrinato)zinc(II) complexes suffered from low fluorescence quantum yields, whereas the heteroleptic ones feature bright fluorescence even in polar solvents. Section 3 describes our new findings on Pechmann dye, which was first synthesized in 1882. New synthetic procedures for Pechmann dye using dimethyl bis(arylethynyl)fumarate as a starting material gives rise to its new structural isomer. We also demonstrate potentiality of a donor-acceptor-donor type of Pechmann dye in organic electronics.

1. 2-Pyridylpyrimidine-Cu Complexes: Visible Light-Induced Pyrimidine Ring Rotation and Reversible CuII/CuI Electrochemical Potential Switching

1.1. Introduction

Redox switching in the CuII/CuI complex is accompanied by a change in the coordination environment [1,2,3,4,5,6,7,8,9,10,11,12,13,14,15]. CuI strongly prefers the tetrahedral coordination, whereas CuII accepts several coordination numbers and modes, including square-planar, triagonal bipyramidal, and octahedral. The drastic change in the coordination environment is attractive for the construction of molecular systems that exhibit bistability [16,17,18,19,20,21,22,23,24,25,26,27].
2-(2'-Pyridyl)pyrimidine (pypm, Figure 1a) and its derivatives act as bidentate ligands with several typical characteristics. First, they possess a low-lying π* orbital. This feature leads to the expression of metal-to-ligand charge transfer (MLCT) transitions, which often emerge in the visible region. For example, a [RuII(Mepypm)3]2+ cation (Mepypm = 4-methyl-2-(2'-pyridyl)pyrimidine) shows an MLCT band at λmax = 451 nm [28]. Second, thermal rotation of the pyrimidine ring can be defined in the complex form (Figure 1b). Vrieze and coworkers demonstrated this using a PdII complex [29]. Third, the introduction of substituents on the pyrimidine ring can result in desymmetrization, giving rise to two isomeric forms upon complexation (Figure 1c). Spiccia and coworkers synthesized a pypm derivative bearing a carboxyl group at the 4 position, and considered isomers produced using its RuII complexes [30]. We note that the ring rotation is associated with the desymmetrization, and it can be recognized as a kind of linkage isomerization [31,32,33,34,35].
Figure 1. (a) Structure of 2-(2'-pyridyl)pyrimidine (pypm). (b) Ring rotation of a metal complex bearing a pypm-type ligand. (c) Two possible isomers of a Ru complex possessing a substituted pypm ligand. Geometric isomers are omitted for clarity.
By synergistically exploiting the peculiar characteristics of Cu complexes and pypm ligands, we have fabricated electrochemical linkage isomerization systems [36,37,38,39,40,41]. One example of this is shown in Figure 2. This heteroleptic CuI complex composed of 2,9-dianthracenylphenanthroline and Mepypm possesses two isomers; inner (i-), and outer (o-) forms, in accordance with the orientation of the methyl group. Henceforth, the i- and o-isomers of 1·BF4 in the CuI and CuII states are abbreviated as i-CuI, o-CuI, i-CuII, and o-CuII. The abundance ratio of the two isomers in solution was nearly 1:1 (i-CuI:o-CuI = ca. 2:1 to 3:1) in the tetrahedral CuI state. In contrast, the o-form was dominant in the square-planar CuII state, because the steric repulsion between the two ligands was significant in the i-isomer. Therefore, reversible redox switching with respect to the CuII/CuI redox couple triggered linkage isomerization. The system exhibited not only oxidation-triggered isomerization (i-CuI− eo-CuII) but also electrode rest potential switching; this was due to repeatable, external-stimuli-induced changes in the ratio of the four stable isomers i-CuI, o-CuI, i-CuII, and o-CuII that occurred under a mixture of CuI and CuII complexes when the metastable state was trapped.
Figure 2. Conceptual illustration showing the rest potential switching caused by repeatable, external-stimuli-induced changes in the ratio of the four stable isomers i-CuI, o-CuI, i-CuII, and o-CuII in a 4-methyl-2-(2′-pyridyl)pyrimidine copper complex; the chemical structures of the isomers are displayed on the left, using a square scheme.
As described in this section in detail, our next study sought to create a ring rotation system driven by photochemical stimuli. Photochemical molecular bistability is advantageous over other bistability systems that use other stimuli, because of its practical reversibility, the fact that it can be controlled via changes in the intensity of light, and its selectivity for irradiation wavelengths. A conceptual illustration of the present study is shown in Figure 3 [42]. This system was based on photoinduced electron transfer (PET) [3,4,43]. PET is a phenomenon in which a photoexcited molecule undergoes either electron subtraction from, or electron donation to, another redox-active molecule. In fact, several electrochemical linkage isomerization molecules have shown PET-induced linkage isomerization [22,23]. Here, the molecular design, structure, photoinduced ring rotation, and additional functionality (conversion of light stimuli into electrochemical potential) are discussed.

1.2. Ligand Design, Structure, and Electrochemical Ring Rotation

The structure of the Cu complex was carefully designed to enhance the optical sensitivity. A long photoexcitation lifetime is preferable for PET. The CuI-diimine-type complexes feature relatively long-lived MLCT photoexcited states, and the lifetime depends significantly on the coordination structure; the substituents on the α position are reported to provide longer MLCT lifetimes by inhibiting the structural relaxation, and/or preventing additional solvent coordination [3,4,44,45,46,47,48,49,50,51,52]. Taking this into account, in this study we employed 4-methyl-2-(6′-methyl-2′-pyridyl)pyrimidine as a pypm-type ligand. In addition, 2,9-dimesityl-1,10-phenanthroline was adopted as an auxiliary ligand, to form a heteroleptic complex [53,54,55]. The bulky mesityl group was also expected to yield an extended MLCT lifetime. Using these two ligands, we synthesized a new heteroleptic CuI-pypm complex, 1·BF4 (Figure 3). X-ray structural analysis of 1·BF4·CH2Cl2·0.5·hexane revealed that both i- and o-isomers coexisted (Figure 4). Occupancy refinement with respect to the disordered part yielded an abundance ratio of i-CuI:o-CuI = 30:70. This ratio was consistent with that measured in solution (using 1H-NMR spectroscopy) in the temperature range of 200–300 K.
Figure 3. Schematic illustration of the photo-driven ring rotation of the pyrimidine moiety, and the accompanying change in the redox potential of the CuII/CuI couple in 1·BF4. Adapted with permission from [42]. Copyright (2012) American Chemical Society.
Figure 4. ORTEP drawing of 1·BF4·CH2Cl2·0.5hexane with thermal ellipsoid sets at the 50% probability level. Hydrogen atoms, counter anions, crystal solvents, and one of the two crystallographically independent complex cations are omitted for clarity. Adapted with permission from [42]. Copyright (2012) American Chemical Society.

1.3. Electrochemistry

To gain knowledge about the redox-mediated pyrimidine rotation of 1·BF4, variable temperature cyclic voltammetry was conducted. Cyclic voltammetry was performed on a BAS ALS750A analyzer. Glassy carbon was used as a working electrode, platinum wire was utilized as a counter electrode, and the Ag/AgClO4 redox couple was exploited in a reference electrode (0.01 M AgClO4 in 0.1 M Bu4NClO4/acetonitrile). A standard one-compartment electrochemical cell was equipped with a USP-203-A UNISOKU cryostat so that precise temperature control was attained. All measurement was conducted under an Ar atmosphere. Figure 5a shows a cyclic voltammogram of 1·BF4 (0.45 mM) in 0.1 M Bu4NBF4−CH2Cl2 at 203 K, which revealed two reversible waves at E0' = 0.48 V and 0.62 V vs. Ag+/Ag. The waves were assigned to the CuII/CuI couples of the o- and i-isomers, respectively, because a bulky substituent around the Cu center destabilized the CuII square-planar geometry, thereby shifting the redox potential in the positive direction [56,57,58,59]. A differential pulse voltammogram yielded an abundance ratio (i-CuI:o-CuI = 30:70) consistent with that determined using 1H-NMR spectroscopy (Figure 5b). At a higher temperature of 225 K, the cathodic current of the i-isomer significantly decreased (Figure 5c), indicating that the thermodynamic stability of o-CuII was much higher than that of i-CuII. This was due to the steric repulsion, and the fact that the timescale of the transition from o- to i- was comparable with the cyclic voltammetry sweep rate [56,57,58,59]. The appearance of the voltammogram at 275 K indicated the existence of a single reversible redox process, suggesting that the interconversions were sufficiently rapid in both the copper(II) and copper(I) states (Figure 5d).
Figure 5. Electrochemical measurements of 1·BF4 (0.45 mM) in 0.1 M Bu4NBF4−CH2Cl2. (a,c,d) Cyclic voltammograms measured using a scan rate of 50 mV s–1 at 203 K (a), 225 K (c), and 275 K (d). (b) Differential pulse voltammogram measured under the same conditions as those used in (a). Adapted with permission from [42]. Copyright (2012) American Chemical Society.
The first-order rate constants for the i-→o- and o-→i- rotations in the CuI state (kIi→o and kIo→i) and CuII state (kIIi→o and kIIo→i) were quantified via simulation of the cyclic voltammograms at various temperatures and scan rates using the Digisim 3.03a software (BAS Inc.). kIi→o was < 10–4 s–1 at 203 K, which indicated that the rotational motion was decelerated substantially. This set of conditions was defined as the “rotation-OFF state” (Figure 6). At 250 K, kIi→o increased to give values of the order of 10–1 s–1, indicating that the rotation was sufficiently activated (producing the “rotation-ON state”). Similarly, the first-order rate constant for the o-→i- rotation kIoi was < 10–4 s–1 at 203 K (rotation-OFF state), while heating to 250 K accelerated kIoi to give values of the order of 10–1 s–1 (rotation-ON state). In contrast, kIIi→o was higher than 10–1 s–1 even at 203 K (rotation-ON state), which indicated that the i-→o- rotation pathway in the CuII state was still active at low temperatures. kIIoI was negligible (kIIoI ~ 0) over the entire 200–300 K range.
Figure 6. Conceptual diagram summarizing the rotation kinetics described in this section.

1.4. Photophysical Properties

To investigate the fueling of the rotational isomerization of 1·BF4 with light illumination, we examined the absorption and luminescence spectra of 1·BF4 (Figure 7). The characteristic absorption band in the visible region (λmax = 456 nm, ε = 4.8 × 103 M–1 cm–1) was attributed to the 1MLCT transition, which typically appears in the bis(diimine)copper(I) complex family [3]. We note that the spectrum contained contributions from both o-CuI and i-CuI. Careful analysis disclosed that their absorption spectra were similar.
A broad emission band from 1·BF4 in dichloromethane was observed across the visible and near-IR region, with a maximum at λmax = 750 nm (Figure 7). This emission likely arose predominantly from the i-isomer, because bulky substituents near the CuI coordination sphere significantly increase the lifetime of the photoexcited state, as well as the emission efficiency [3].
A photoexcited state has a much lower reduction potential and a much higher oxidation potential than the ground state; this drives PET behavior. Figure 8 shows the reduction potentials for 1·BF4 in the photoexcited and ground states, which were calculated using the E0' values of the CuII/CuI couple, and the emission maximum [60]. In this scheme, a decamethylferrocenium cation (DMFc+, E0' = −0.41 V vs. Ag+/Ag) can serve an oxidizing reagent suitable for our system; DMFc+ can undergo PET with photoexcited 1·BF4, giving rise to DMFc, and the CuII state (Figure 8). In contrast, DMFc+ has nothing to do with 1·BF4 in the ground state.
Figure 7. UV-vis spectra of 1·BF4 in CH2Cl2 at room temperature: absorption spectrum in the dark (purple); absorption spectrum in the dark, ×10 (dashed purple); emission spectrum (black). Adapted with permission from [42]. Copyright (2012) American Chemical Society.
Figure 8. Diagram for the redox potentials of 1·BF4 in the ground and photoexcited states, and DMFc+.

1.5. Photodriven Rotation of the Pyrimidine Ring

In the presence of 4 equiv. of DMFc+ (BF4 salt, 1.8 mM), the cyclic voltammograms and differential pulse voltammograms for 1·BF4 (0.45 mM) changed shape significantly under photoirradiation. The procedure and results are summarized in Figure 9. Light illumination was performed using a MAX-302 xenon lamp (Asahi Spectra) equipped with an optical fiber with a long-pass filter (cut-on 400 nm). We note that neither the absence of DMFc+ nor storage in the dark in the presence of DMFc+ produced changes in the voltammogram. Before photoirradiation, two redox waves assignable to the CuII/CuI couple of the i- and o-isomers were observed at 203 K, in the ratio of 30:70 (Figure 9a). Under photoirradiation with visible light (λ > 400 nm) at 203 K for 60 min, the redox wave corresponding to the o-isomer increased in intensity (Figure 9b). The shapes of the voltammograms observed after photoirradiation did not change after incubation at 203 K in the dark for 10 min, confirming that the photogenerated state was not a transient state. However, subsequent heating for 2 min at 250 K in the dark recovered the initial voltammograms (Figure 9c), which indicated that the thermal relaxation of the photoinduced metastable state to the ground state had occurred. The molar ratios of i-CuI and o-CuI in the initial, photoirradiated, and thermally relaxed states were 30:70, 12:88, and 30:70, respectively [56,57,58,59]. This series of changes in the voltammograms was found to be repeatable.
Figure 9. Cyclic voltammograms and differential pulse voltammograms for 1·BF4 (0.45 mM) in 0.1 M Bu4NBF4−dichloromethane containing 1.8 mM DMFcBF4 (a) at 203 K in the dark, (b) after 60 min of visible-light irradiation (λ > 400 nm) at 203 K, and (c) after 2 min of heating at 250 K in the dark. The molar ratios of i-CuI and o-CuI are represented on the right as horizontal bars. Adapted with permission from [42]. Copyright (2012) American Chemical Society.

1.5. Mechanism for Photodriven Rotation of the Pyrimidine Ring

Figure 10 shows a schematic illustration of the photoinduced ring rotation system. The i- and o-isomers coexisted in the initial CuI state (i-CuI:o-CuI = 30:70). The photoirradiation induced PET from the excited i-CuI state (*i-CuI) to the electron acceptor (DMFc+). The oxidation potential of *i-CuI was −1.0 V, whereas the reduction potential of DMFc+ was −0.4 V. The i-CuII generated in the course of the PET isomerized to o-CuII for two reasons: (i) the pyrimidine ring rotation in the CuII state was not frozen at 203 K (kIIio ~ 10–1 s–1, rotation-ON state), and (ii) i-CuII was thermodynamically unfavorable, because of the steric repulsion. Finally, o-CuII was reduced to o-CuI via a back electron transfer reaction from DMFc. The net process resulted in the conversion of i-CuI to o-CuI upon photoirradiation. The photorotation induced a change in the abundance ratio of the i- and o- isomers (i-CuI:o-CuI = 12:88). The molar ratio deviated from the thermodynamic equilibrium for the CuI state, but this state was trapped kinetically (kIoi ~ 10–4 s–1). Heating to 250 K provided sufficient activation for the o- to i- rotation (kIoi ~ 10–1 s–1), so that the thermodynamic equilibrium was restored (i-CuI:o-CuI = 30:70). As a result, we attained reversible photochemical pyrimidine ring rotation, which was accompanied by a change in the redox potential shift (ΔE0' = 0.14 V) (Figure 3). Generally, the photochromic molecule undergoes a significant color change upon isomerization, which involves the reconstruction of the electronic state [61]. Our present photo-driven rotation system worked without a significant color change. Therefore, the present method allows the creation of photodriven materials using another methodology.
Figure 10. Schematic representation of the PET-driven i-CuI-to-o-CuI ligand geometry isomerization of 1·BF4 in the presence of DMFc+. The reversible changes in the molar ratios of the isomers upon light irradiation and heating are illustrated in the bottom panels. Adapted with permission from [42]. Copyright (2012) American Chemical Society.

1.6. Conclusions

We demonstrated the conversion of light stimuli into electrochemical potential via reversibly working artificial molecular rotation in a copper-pyrimidine complex, 1·BF4. A key feature of the present system is that the population of bistable isomers, i-Cu and o-Cu, possessing different redox potentials (ΔE0' = 0.14 V), is reversibly converted by light and heat stimuli through a PET process with DMFc+ as a redox mediator. Generally, photodriven bistable material changes are accompanied by significant color changes, which involve light absorption efficiency and reconstruction of the electronic state. On the other hand, our present system works without a significant color change, thereby providing a further methodology to construct photodriven materials.

2. A Brightly Luminescent Heteroleptic bis(dipyrrinato)zinc(II) Complex

2.1. Introduction

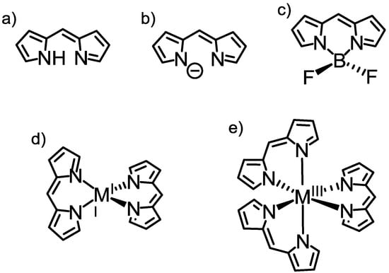
Dipyrrin, or dipyrromethene (Figure 11a), comprises two pyrrole rings bridged by a methine carbon. Dipyrrin was originally studied as an intermediate for the synthesis of porphyrins, but chemistry was developed for dipyrrin itself after the discovery of its neutral complexes [62,63]. Dipyrrin can serve as a monoanionic bidentate ligand upon deprotonation (dipyrrinato ligand, Figure 11b). The boron difluoride complex of dipyrrin, or 4,4-difluoro-4-bora-3a,4a-diaza-s-indacene, known as BODIPY, is the most well known dipyrrin complex (Figure 11c). Since the first report on BODIPY in 1968 [64], it has acquired popularity as a dye molecule. Plain dipyrrin features an intense absorption in the visible region (λmax~500 nm) that is assignable to the 1π-π* transition; however, the intense absorption does not lead to bright fluorescence. In sharp contrast, BODIPY fluoresces brightly from the 1π-π* excited state; the fluorescence quantum yield often reaches unity. Due to its excellent stability against light and moisture, among other properties, BODIPY has been used in a wide range of fields, in applications including laser dyes [65,66,67], chemosensors [68,69,70,71,72], biological probes [73,74,75,76], and solar cells [77,78,79].
Figure 11. (a) Dipyrrin, (b) dipyrrinato ligand, (c) BODIPY, (d) bis(dipyrrinato)metal complex, and e) tris(dipyrrinato)metal complex.
Dipyrrin can also accept various types of metal ions [63]: Fe(III), Co(III), Ni(II), Pd(II), Cu(II), Zn(II), Ga(III), and Sn(II) give rise to bis- and tris(dipyrrinato)metal complexes (Figure 11d,e). One of the most important features of dipyrrinato-metal complexes is that the coordination bonds can be generated in a self-assembled fashion, and can form supramolecular architectures. We note that these functions cannot be reproduced by BODIPY. Maeda and coworkers developed one-dimensional coordination polymers simply by mixing zinc acetate and bridging bis(dipyrrin) in tetrahydrofuran at room temperature (Figure 12a) [80], and Lindsey and coworkers reported a light-harvesting molecular array in which efficient energy transfer occurred from the central bis(dipyrrinato)zinc(II) complex to the peripheral porphyrin (Figure 12b) [81]. Guldi and coworkers reported a photoinduced charge-separation system using a bis(dipyrrinato)zinc(II) complex, and fullerene (Figure 12c) [82]. In these molecular systems, the bis(dipyrrinato)zinc(II) complex served as a glue for the construction of the triads. At the same time, it functioned as a photosensitizer. Similar to dipyrrin and BODIPY, this series of complexes possessed a 1π-π* band that absorbed visible light efficiently.
Figure 12. (a) Coordination polymer based on a dipyrrinato-metal complex. (b,c) Self-assembled donor-accepter systems that express either energy or electron transfer.
In contrast with BODIPY, which has been extensively studied, basic investigations for dipyrrinato-metal complexes have not been performed, and practical applications have not been fully developed. One possible reason for this is their poorer photochemical activity, which is reflected in their low fluorescence quantum yields. Much effort has been made to improve the photochemical activity of dipyrrinato-metal complexes. Lindsey and coworkers reported a bis(dipyrrinato)zinc(II) complex bearing an bulky aryl group at the meso-position (Figure 13a). The bulkiness inhibited the thermal rotation of the aryl group, leading to a moderate increase in the fluorescence quantum yield (0.006→0.36) in toluene [83]. Cohen and co-workers reported weakly fluorescent tris(dipyrrinato) group 13 metal complexes (Figure 13b) [84]. Many mono(dipyrrinato)metal complexes have been reported to be highly fluorescent (Figure 13c–f) [85,86,87,88], but they are often sensitive to temperature or moisture. In addition, mono(dipyrrinato) metal complexes cannot be differentiated from BODIPY derivatives, and they have not been fully exploited for the fabrication of supramolecular assemblies. Thus, there is room for further work on improving the fluorescence quantum yield of dipyrrinato-metal complexes.

2.2. Strategy to Improve the Fluorescence Quantum Yield of bis(dipyrrinato)zinc(II) Complexes

Several bichromophoric systems show charge-separated (CS) states [89,90,91,92,93,94]. For example, the photoexcitation of 9,9'-bianthryl produces a locally excited state (LE) (Figure 14). The LE is in thermodynamic equilibrium with a twisted intramolecular excited state (TICT) [89,90], which is generated by an interligand one-electron transfer. Such phenomena are labeled as “photoinduced symmetry-breaking charge separation” [91,92]. The thermodynamic equilibrium between LEs and TICTs strongly depends on the solvent polarity; TICTs are dominant in polar solvents [90].
Figure 13. Fluorescent mono, bis, and tris(dipyrrinato) metal complexes.
Figure 14. Charge separation in 9,9'-bianthryl.
The bis(dipyrrinato)zinc(II) complex can be also regarded as a bichromophoric molecule, where two dye entities (dipyrrinato ligands) are ligated by a zinc(II) ion. Here, we propose the hypothesis that charge separation may occur between the two ligands via the 1π-π* excited state, and the formation of the CS states may suppress the fluorescence of the bis(dipyrrinato)zinc(II) complex. A schematic illustration of this hypothesis is shown in Figure 15a.
To destabilize the charge-separated states, we designed heteroleptic bis(dipyrrinato)zinc(II) complexes. The degeneration of the frontier orbitals (highest π and lowest π* orbitals of the dipyrrinato ligand) in the heteroleptic complex was ignored. Figure 15b shows one of the possible energy diagrams for the heteroleptic complex. In this case, the two CS states would be less energetically favorable compared with the emissive 1π-π* state, so the fluorescence would be enhanced.
The heteroleptic complex could also have another frontier orbital configuration, as shown in Figure 15c. In this case, one of the two CS states would be stabilized over the emissive 1π-π* state, resulting in the quenching of the fluorescence. This phenomenon would be unfavorable, but the observation of the enhancement and depression of the fluorescence in heteroleptic complexes would support our hypothesis that thermally accessible CS states are responsible for the low fluorescence quantum yield in the zinc(II) complex.
In this work, we synthesized two heteroleptic bis(dipyrrinato)zinc(II) complexes, 2a and 2b (Figure 16) [95]. Their synthesis, photochemical properties, and frontier orbital ordering were discussed, and compared with the corresponding homoleptic complexes 3a, 3b, and 4 (Figure 16).
Figure 15. Schematic illustration of charge-separation hypothesis, for (a) a homoleptic complex, (b) a heteroleptic complex with a favorable frontier orbital order, and (c) a heteroleptic complex with an unfavorable frontier orbital order.
Figure 16. Homoleptic bis(dipyrrinato)zinc(II) complexes 2a and 2b, and corresponding homoleptic complexes 3a, 3b, and 4.

2.3. Synthesis, Structure, and Thermal Stability

The heteroleptic complexes were synthesized using the stepwise coordination method. Chloroform solutions of the two dipyrrin ligands were added stepwise to zinc(II) acetate in methanol, at room temperature (Scheme 1). The isolation yield exceeded the statistical value of 50%.
Scheme 1. Synthesis of 2b.
Single crystal X-ray crystallographic analysis was conducted to reveal the precise structures of the bis(dipyrrinato)zinc(II) complexes. ORTEP drawings of 2a and 2b are shown in Figure 17. The two dipyrrin ligands were almost perpendicular to each other (dihedral angles: 88° and 87°), indicating that the zinc center was tetrahedral, as observed in homoleptic complexes [96].
We investigated the thermal stability of the heteroleptic complexes against disporporionation into the corresponding homoleptic complexes, as follows. A degassed dichloromethane-d1 solution of 2a was sealed in an NMR tube, and heated at 100 °C for 1 day, in the dark. This treatment did not produce any change in the 1H NMR spectrum, which indicated the good stability of the heteroleptic form.
Figure 17. ORTEP drawings of 2a (left) and 2b (right), with a thermal ellipsoid set at the 50% probability level. Hydrogen atoms are omitted for clarity.

2.4. Optical Properties

Figure 18 shows the absorption and fluorescence spectra for 2a, 3a, and 4; the associated numerical data, including the data for 2b and 3b, are presented in Table 1. Homoleptic complexes 3a and 4 showed a single strong absorption band in the visible region, which was assigned to the 1π-π* transition of the dipyrrinato ligands. The introduction of arylethynyl groups in 4 resulted in a redshift of the 1π-π* band, compared with 3a. The absorption spectrum of heteroleptic 2a was the average of those of 3a and 4. This fact indicated that there were no appreciable interactions in the ground state in the heteroleptic complex.
In contrast, several distinctive phenomena were observed in the emission spectra. Homoleptic 3a and 4 showed one emission maximum corresponding to the 1π-π* fluorescence, but heteroleptic 2a showed only one emission band at 578 nm, similar to 4, even upon excitation with the 1π-π* band of the left-hand dipyrrinato ligand. This suggested that 2a underwent a quantitative intraligand energy transfer from the left-hand dipyrrinato ligand to the right-hand one. The most important feature of heteroleptic 2a was its higher fluorescence quantum yield compared with homoleptic 3a and 4 (Table 1 and Figure 19). The superiority of heteroleptic 2a as a fluorophore over homoleptic 3a and 4 was more significant in the more polar solvent, dichloromethane (Table 1 and Figure 19). We note that the fluorescence quantum yield of 2a exceeded those of the corresponding BODIPYs.
We did find, however, that a heteroleptic structure was not a prerequisite for high fluorescence efficiency. 2b showed much smaller fluorescence quantum yields than the corresponding homoleptic complexes and the heteroleptic 2a (Table 1 and Figure 19).
Figure 18. Absorption and emission spectra for 2a, 3a, and 4 in toluene.
Table 1. Photochemical properties of 2a, 2b, 3a, 3b, and 4.
Table 1. Photochemical properties of 2a, 2b, 3a, 3b, and 4.
10−4ε (M−1 cm−1)λabs (nm)λem (nm)φF (in Toluene)φF (in CH2Cl2)
2a11, 10495, 5535780.76, 0.750.53, 0.51
2b11, 10508, 5565790.07, 0.080.01, 0.03
3a164955090.280.00
3b145085320.200.05
4185535790.720.31
Figure 19. Photographs of solutions of 2a, 3a and 4 under daylight (left), and UV irradiation (middle and right).

2.5. DFT Calculations

To rationally explain the photoproperties of the heteroleptic complexes, we conducted DFT calculations (Figure 20). Homoleptic complex 3a had degenerated HOMOs and LUMOs corresponding to the π and π* orbitals of the two identical dipyrrinato ligands (Figure 20a). The degeneration of the frontier orbitals was suppressed in 2a; the HOMO and LUMO were localized on the right-hand ligand, and the HOMO-1 and LUMO+1 were localized on the left-hand ligand. This was a good electronic structure for the improvement of the fluorescence quantum yield, assuming the charge-separation hypothesis (Figure 15b). However, compared with 2a, the order of HOMO and HOMO-1 was inverted in the heteroleptic 2b. In the charge-separation hypothesis, such an electronic structure would stabilize the charge-separated state, resulting in the reduction of the fluorescence quantum yield (Figure 15c).
Figure 20. Frontier orbitals of 3a (left), 2a (middle), and 2b (right), calculated using the B3LYP/6-31G(d) level of theory, considering CH2Cl2 solvation using the PCM method.

2.6. Conclusions

This chapter presented details of the synthesis, structure, and optical properties of heteroleptic bis(dipyrrinato)zinc(II) complexes. A great improvement in the fluorescence quantum yield was achieved, which was well explained by the charge-separation hypothesis. These findings will increase the range of applications for bis(dipyrrinato)zinc(II) complexes, especially in the photochemical field.

3. New Discoveries for Pechmann Dyes: An Alternative Synthesis, a Missing Structural Isomer, and Applications for Organic Electronics

3.1. Introduction

Pechmann Dye, E-5,5'-diphenylbifuranylidenedione (P55-Ph, Scheme 2a), was first reported by von Pechmann and coworkers in 1882 [97]. This series of molecules possesses good photochemical properties, including an intense absorption at approximately 550 nm, which is ascribed to a 1π-π* transition, and intense 1π-π* fluorescence [98]. Rahmani and coworkers revealed its structure via single crystal X-ray structural analysis [99]; a noteworthy feature is its planar structure. Good thermal stability in the solid state and electron acceptor abilities are other distinctive virtues of Pechmann dye. One of the representative synthetic routes for Pechmann dye is shown in Scheme 2(b). The dimerization of β-aroylacrylic acid in acetic anhydride, in the presence of cuprous chloride as a catalyst, produced Pechmann dye in good yields [100]. Its structural isomer, 3,7-diphenylpyrano[4,3-c]-pyran-1,5-dione (P66-Ph, Scheme 2a) was produced by thermal isomerization under basic conditions in the Pechmann dye [101]. P66-Ph is also a good dye molecule, showing a strong absorption at approximately 430 nm [102]. There are two more possible isomeric forms of Pechmann dye, P56-Ph and P55’-Ph [Scheme 2(a)]. However, the synthesis of these isomers has not yet been accomplished.
Scheme 2. (a) Pechmann dye (P55-Ph) and its structural isomers (P66-Ph, P56-Ph, and P55’-Ph, and (b) representative synthetic route for P55-Ph and P66-Ph.
Recently, D-A-D and A-D-A (D: donor, A: acceptor) quadrupolar types of molecules have attracted the attention of chemists. These types of molecules feature intense one-photon absorptions in the visible and NIR regions, which are due to intramolecular charge-transfer (ICT) transitions, high fluorescent quantum yields, and large two-photon absorption cross sections. These features make D-A-D and A-D-A quadrupolar molecules promising materials for applications such as bioimaging [103,104], photodynamic therapy (PDT) [105], optical power limiting [106,107], organic light emitting diodes (OLEDs) [108,109,110], organic photovoltaic devices (OPVs) [111,112], and organic field effect transistors (OFETs) [113,114]. The electron acceptor abilities of Pechmann dye and its structural isomers make them excellent components for the D-A-D type of quadrupolar molecules; despite this, such systems have not yet been investigated.
The present study aimed to solve the remaining problems associated with Pechmann dye. We developed a new synthetic procedure for Pechmann dye, which enabled us to synthesize one of the missing structural isomers, P56-Ar. By employing triarylamine as the aryl group, we fabricated D-A-D quadrupolar molecules based on Pechmann dyes and demonstrated their good dye abilities, as well as their potential for applications in organic electronics [115].

3.2. Synthesis, Identification, and Reaction Mechanism

Previously, we investigated the dimethyl diethynylfumarate framework (Scheme 3) [116,117,118]. For example, with E-5 forming the framework and the presence of triarylamine, interesting photochemical activities were produced, including strong absorption in the visible region, reversible visible-light E-Z photoisomerization accompanied by the switching of the fluorescence, and electronic communication in the one-electron oxidized MV state. In the present work, we regarded the dimethyl diethynylfumarate framework as the open form of Pechmann dye. We expected that with appropriate ring closing reactions between the ethynylene and carboxyl group [119,120], the dimethyl diethynylfumarate framework could be converted into the Pechmann dye frameworks, including the missing structural isomers. Scheme 3 shows a reaction condition for the conversion of E-5 into the Pechmann dye derivatives P55-5, P66-6, and P56-5. The treatment of E-5 with hydrochloric acid in acetic acid at 100°C produced three compounds with different colors (blue, red, and purple). Single-crystal X-ray structure analysis revealed their structures (Figure 21). The three compounds were identified as blue P55-5 (yield: 11%), red P66-6 (43%), and purple P56-5 (1%). It is noteworthy that P56-5 comprised one of the missing structural isomers of Pechmann dye.
Scheme 3. (a) Add a descriptive label of the figure here. (b) Add a descriptive label of the figure here. (c) Add a descriptive label of the figure here.
Figure 21. ORTEP drawings of (a) P55-5·toluene, (b) P66-5, and (c) P56-5 with thermal ellipsoids set at the 50% probability level. P56-5 comprises two disordered structures. Hydrogen atoms are omitted for clarity.
Scheme 4 shows a plausible reaction mechanism for P55-5, P66-5, and P56-5. They were generated via intramolecular double lactionization. The lactonication could be classified into three types, 5-endo, 6-endo, and 5-exo. Judging from the fact that P55'-5 was not obtained at all, and the yield of P56-5 was the lowest among the three compounds, the 5-exo cyclization was least favorable among the three lactonization modes.
Scheme 4. Plausible reaction mechanism for the generation of P55-5, P66-5, and P56-5 from E-5.

3.3. Photochemical Properties

Figure 22 shows the absorption and fluorescence spectra for E-5, P55-5, P66-5, and P56-5 in toluene, and Table 2 details their numerical data. DFT calculations were used to assign the most intense absorption bands in the visible and NIR regions to intramolecular charge transfer (ICT) transitions from the donor (chiefly distributed on the n orbital of the triarylamine moiety) to the acceptor (the π* orbital of the dimethyl diethynylfumarate or dilaction framework). The lactonized compounds showed red-shifts of the ICT bands relative to the parental compound, E-5: P66-5 (0.53 eV), P56-5 (0.77 eV), and P55-5 (1.03 eV). This was ascribed to the lowering of the π* orbital level upon the double lactonization. The absorption for P55-5 and P66-5 occurred at longer wavelengths than that for P55-Ph and P66-Ph, because of the existence of the triarylamine moiety, and the expression of the D-A interaction. The fluorescence quantum yields (ΦF) were measured to be 0.27 for P55-5, 0.20 for P56-5, 0.82 for P66-5, and 0.15 for E-5. The lactonized compounds showed brighter fluorescence than the parental E-5.
Figure 22. UV-vis-NIR (solid) and fluorescence (dashed) spectra for E-5 (black), P55-5 (blue), P56-5 (purple), and P66-5 (red) in toluene.
Table 2. Photochemical data for E-5, P55-5, P56-5, and P66-5 in toluene.
Table 2. Photochemical data for E-5, P55-5, P56-5, and P66-5 in toluene.
10−4ε (M−1 cm−1)λabs (nm)λem (nm)φF
P55-5656747530.27
P56-5375746920.20
P66-5505386170.82
E-5364826600.15

3.4. Application to Organic Electronics

To demonstrate the utility of Pechmann dyes, we investigated a preliminary OFET device based on P66-5 (Figure 23a). P66-5 was subjected to vacuum deposition at 8.2 × 10−5 Pa, 468 K, and a rate of 1.3 Ås−1 so that a flat and smooth thin film of P66-5 was fabricated on silicon substrates modified with hexamethyldisilazane (HMDS) (Figure 23b). The thickness of the deposited film, ca. 50 nm, was confirmed by an AFM analysis, where the film was deposited on a quartz substrate under the same condition as described above (Figure 23c). On the other hand, XRD analysis for the thin film on the silicon substrate disclosed its amorphous nature (Figure 23d). Gold electrodes as source and drain were attached on the thin film of P66-5 to complete the top-contact OFET configuration, where the channel width and channel length was 3 cm and 50 μm, respectively (Figure 23a). The device characteristics were investigated under an ambient condition. The thin film of P66-5 functioned as a p-type semiconductor, with a maximum hole mobility of 5.6 × 10–5 cm2 V–1 s–1. This is the first report of the application of Pechmann dyes for organic electronics. The carrier mobility could be enhanced by improving the low crystallinity of the P66-5 thin film.
Figure 23. (a) Schematic illustration of a top-contact OFET device. (b) Photograph of the P66-5 thin film. (c) AFM image of a P66-5 thin film on a quartz substrate. (d) XRD patterns for the P66-5 thin film on a silicon substrate (red) and on a bare substrate (blue).

4. Conclusions

We developed an alternative synthetic route for Pechmann dyes. The dimethyl diethynylfumarate framework was converted into Pechmann dyes, including one of the missing structural isomers (P56-Ph), via intramolecular double lactonization. We synthesized D-A-D-type quadrupolar molecules P55-5, P66-5, and P56-5 using triarylamine as the donor and Pechmann dyes as the acceptor. The quadrupolar molecules showed intense absorption and fluorescence in the visible and NIR regions, which was ascribed to ICT transitions from the donor to the acceptor. We fabricated an OFET device using P66-5 as an active layer, revealing the potential of Pechmann dyes for organic electronics.

Acknowledgments

The authors acknowledge Grants-in-Aid from MEXT of Japan (Nos. 24750054 and 21108002, area 2107, Coordination Programming), JSPS Research Fellowship for Young Scientists. R. S. is grateful to The Murata Science Foundation, Tokuyama Science Foundation, Iketani Science and Technology Foundation, and The Japan Prize Foundation for financial supports.

References

  1. Addison, A.W. Is ligand topology an influence on the redox potentials of copper complexes? Inorg. Chim. Acta 1989, 162, 217–220. [Google Scholar] [CrossRef]
  2. Ambundo, E.A.; Deydier, M.-V.; Grall, A.J.; Aguera-Vega, N.; Dressel, L.T.; Cooper, T.H.; Heeg, M.J.; Ochrymowycz, L.A.; Rorabacher, D.B. Influence of Coordination Geometry upon Copper(II/I) Redox Potentials. Physical Parameters for Twelve Copper Tripodal Ligand Complexes. Inorg. Chem. 1999, 38, 4233–4242. [Google Scholar] [CrossRef]
  3. Ruthkosky, M.; Kelly, C.A.; Castellano, F.N.; Meyer, G.J. Electron and energy transfer from CuI MLCT excited states. Coord. Chem. Rev. 1998, 171, 309–322. [Google Scholar] [CrossRef]
  4. Scaltrito, D.V.; Thompson, D.W.; O’Callaghan, J.A.; Meyer, G.J. MLCT excited states of cuprous bis-phenanthroline coordination compounds. Coord. Chem. Rev. 2000, 208, 243–266. [Google Scholar] [CrossRef]
  5. Ruthkosky, M.; Castellano, F.N.; Meyer, G.J. Photodriven Electron and Energy Transfer from Copper Phenanthroline Excited States. Inorg. Chem. 1996, 35, 6406–6412. [Google Scholar] [CrossRef]
  6. Miller, M.T.; Gantzel, P.K.; Karpishin, T.B. Structures of the Copper(I) and Copper(II) Complexes of 2,9-Diphenyl-1,10-phenanthroline: Implications for Excited-State Structural Distortion. Inorg. Chem. 1998, 37, 2285–2290. [Google Scholar] [CrossRef]
  7. Rorabacher, D.B. Electron Transfer by Copper Centers. Chem. Rev. 2004, 104, 651–697. [Google Scholar] [CrossRef]
  8. Le Poul, N.; Campion, M.; Douziech, B.; Rondelez, Y.; Le Clainche, L.; Reinaud, O.; le Mest, Y. Monocopper Center Embedded in a Biomimetic Cavity: From Supramolecular Control of Copper Coordination to Redox Regulation. J. Am. Chem. Soc. 2007, 129, 8801–8810. [Google Scholar] [CrossRef]
  9. Munakata, M.; Kitagawa, S.; Asahara, A.; Masuda, H. Crystal Structure of Bis(2,2′-bipyridine)copper(I) Perchlorate. Bull. Chem. Soc. 1987, 60, 1927–1929. [Google Scholar] [CrossRef]
  10. Meyer, M.; Albrecht-Gary, A.M.; Dietrich-Buchecker, C.O.; Sauvage, J.-P. π−π Stacking-Induced Cooperativity in Copper(I) Complexes with Phenanthroline Ligands. Inorg. Chem. 1999, 38, 2279–2287. [Google Scholar] [CrossRef]
  11. Munakata, M.; Endicott, J.F. Oxidation-reduction reactions of complexes with macrocyclic ligands. Role of kinetic factors in distinguishing mechanistic pathways in reactions of copper(I) complexes with coordinated dioxygen. Inorg. Chem. 1984, 23, 3693–3698. [Google Scholar] [CrossRef]
  12. Federlin, P.; Kern, J.-M.; Rastegar, A.; Dietrich-Buchecker, C.; Marnot, P.A.; Sauvage, J.-P. Electrochemical properties of copper(I) catenates and some of their open chain analogues; Correlation with their photophysical properties. New. J. Chem. 1990, 14, 9–12. [Google Scholar]
  13. Solomon, E.I.; Szilagyi, R.K.; George, S.D.; Basumallick, L. Electronic Structures of Metal Sites in Proteins and Models: Contributions to Function in Blue Copper Proteins. Chem. Rev. 2004, 104, 419–458. [Google Scholar] [CrossRef]
  14. Lewis, E.A.; Tolman, W.B. Reactivity of Dioxygen−Copper Systems. Chem. Rev. 2004, 104, 1047–1076. [Google Scholar] [CrossRef]
  15. Suzuki, M. Ligand Effects on Dioxygen Activation by Copper and Nickel Complexes: Reactivity and Intermediates. Acc. Chem. Res. 2007, 40, 609–617. [Google Scholar] [CrossRef]
  16. Livoreil, A.; Dietrich-Buchecker, C.O.; Sauvage, J.-P. Electrochemically Triggered Swinging of a [2]-Catenate. J. Am. Chem. Soc. 1994, 116, 9399–9400. [Google Scholar] [CrossRef]
  17. Dietrich-Buchecker, C.O.; Sauvage, J.-P. Interlocking of molecular threads: from the statistical approach to the templated synthesis of catenands. Chem. Rev. 1987, 87, 795–810. [Google Scholar] [CrossRef]
  18. Raehm, L.; Kern, J.-M.; Sauvage, J.-P. A Transition Metal Containing Rotaxane in Motion: Electrochemically Induced Pirouetting of the Ring on the Threaded Dumbbell. Chem. Eur. J. 1999, 5, 3310–3317. [Google Scholar] [CrossRef]
  19. Poleschak, I.; Kern, J.M.; Sauvage, J.-P. A copper-complexed rotaxane in motion: pirouetting of the ring on the millisecond timescale. Chem. Commun. 2004, 474–476. [Google Scholar] [CrossRef]
  20. Durola, F.; Lux, J.; Sauvage, J.-P. A Fast-Moving Copper-Based Molecular Shuttle: Synthesis and Dynamic Properties. Chem. Eur. J. 2009, 15, 4124–4134. [Google Scholar] [CrossRef]
  21. Sauvage, J.-P. From Chemical Topology To Molecular Machines: The Transition Metal Approach. Bull. Jpn. Soc. Coord. Chem. 2010, 55, 3–18. [Google Scholar] [CrossRef]
  22. Armaroli, N.; Balzani, V.; Collin, J.-P.; Gavin, P.; Sauvage, J.-P. Rotaxanes Incorporating Two Different Coordinating Units in Their Thread: Synthesis and Electrochemically and Photochemically Induced Molecular Motions. J. Am. Chem. Soc. 1999, 121, 4397–4408. [Google Scholar] [CrossRef]
  23. Livoreil, A.; Sauvage, J.-P.; Armaroli, N.; Balzani, V.; Flamigni, L.; Ventura, B. Electrochemically and Photochemically Driven Ring Motions in a Disymmetrical Copper [2]-Catenate. J. Am. Chem. Soc. 1997, 119, 12114–12124. [Google Scholar] [CrossRef]
  24. Collin, J.-P.; Dietrich-Buchecker, C.; Gaviña, P.; Jiménez-Molero, M.C.; Sauvage, J.-P. Shuttles and Muscles: Linear Molecular Machines Based on Transition Metals. Acc. Chem. Res. 2001, 34, 477–487. [Google Scholar] [CrossRef]
  25. Sauvage, J.-P. Transition Metal-Containing Rotaxanes and Catenanes in Motion: Toward Molecular Machines and Motors. Acc. Chem. Res. 1998, 31, 611–619. [Google Scholar] [CrossRef]
  26. Zahn, S.; Canary, J.W. Cu(I/II) Redox Control of Molecular Conformation and Shape in Chiral Tripodal Ligands: Binary Exciton-Coupled Circular Dichroic States. J. Am. Chem. Soc. 2002, 124, 9204–9211. [Google Scholar] [CrossRef]
  27. Mortezaei, S.; Catarineu, N.R.; Canary, J.W. A Redox-Reconfigurable, Ambidextrous Asymmetric Catalyst. J. Am. Chem. Soc. 2012, 134, 8054–8057. [Google Scholar] [CrossRef]
  28. Kawanishi, Y.; Kitamura, N.; Tazuke, S. Dependence of spectroscopic, electrochemical, and excited-state properties of tris chelate ruthenium(II) complexes on ligand structure. Inorg. Chem. 1989, 28, 2968–2975. [Google Scholar] [CrossRef]
  29. Groen, J.H.; van Leeuwen, P.W.N.M.; Vrieze, K. Synthesis, characterisation and dynamic behaviour of palladium complexes containing the novel terdentate nitrogen ligand 2,6-bis(pyrimidin-2-yl)pyridine. J. Chem. Soc. Dalton Trans. 1998, 113–117. [Google Scholar]
  30. Nickita, N.; Gasser, G.; Pearson, P.; Belousoff, M.J.; Goh, L.Y.; Bond, A.M.; Deacon, G.B.; Spiccia, L. Ruthenium(II) Complexes Incorporating 2-(2′-Pyridyl)pyrimidine-4-carboxylic Acid. Inorg. Chem. 2008, 48, 68–81. [Google Scholar]
  31. Pearson, R.G.; Henry, P.M.; Bergmann, J.G.; Basolo, F. Mechanism of Substitution Reactions of Complex Ions. VI. Formation of Nitrito- and Nitrocobalt(III) Complexes. O-Nitrosation1,2,3. J. Am. Chem. Soc. 1954, 76, 5920–5923. [Google Scholar] [CrossRef]
  32. Basolo, F.; Hammaker, G.S. Synthesis and Isomerization of Nitritopentammine Complexes of Rhodium(III), Iridium(III), and Platinum(IV). Inorg. Chem. 1962, 1, 1–5. [Google Scholar] [CrossRef]
  33. Murmann, R.K.; Taube, H. The Mechanism of the Formation and Rearrangement of Nitritocobalt(III) Ammines1. J. Am. Chem. Soc. 1956, 78, 4886–4890. [Google Scholar] [CrossRef]
  34. Murmann, R.K. The requirement of triphosphopyridine nucleotide in fatty acid synthesis. J. Am. Chem. Soc. 1955, 77, 5190–5192. [Google Scholar] [CrossRef]
  35. Mares, M.; Palmer, D.A.; Kelm, H. Activation volumes for the linkage isomerization reactions of nitritopentaammine complexes of cobalt(III), rhodium(III) and iridium(III) in aqueous solution. Inorg. Chim. Acta. 1978, 27, 153–156. [Google Scholar] [CrossRef]
  36. Nomoto, K.; Kume, S.; Nishihara, H. A Single Molecular System Gating Electron Transfer by Ring Inversion of a Methylpyridylpyrimidine Ligand on Copper. J. Am. Chem. Soc. 2009, 131, 3830–3831. [Google Scholar] [CrossRef]
  37. Kume, S.; Nishihara, H. Tuning-up and driving a redox-active rotor. Chem. Commun. 2011, 47, 415–417. [Google Scholar] [CrossRef]
  38. Kume, S.; Nomoto, K.; Kusamoto, T.; Nishihara, H. Intramolecular Electron Arrangement with a Rotative Trigger. J. Am. Chem. Soc. 2009, 131, 14198–14199. [Google Scholar]
  39. Kume, S.; Nishihara, H. Synchronized motion and electron transfer of a redox-active rotor. Dalton Trans. 2011, 40, 2299–2305. [Google Scholar] [CrossRef]
  40. Nishikawa, M.; Nomoto, K.; Kume, S.; Inoue, K.; Sakai, M.; Fujii, M.; Nishihara, H. Dual Emission Caused by Ring Inversion Isomerization of a 4-Methyl-2-pyridyl-pyrimidine Copper(I) Complex. J. Am. Chem. Soc. 2010, 132, 9579–9581. [Google Scholar]
  41. Nishikawa, M.; Nomoto, K.; Kume, S.; Nishihara, H. Solvated-Ion-Pairing-Sensitive Molecular Bistability Based on Copper(I)-Coordinated Pyrimidine Ring Rotation. Inorg. Chem. 2013, 52, 369–380. [Google Scholar]
  42. Nishikawa, M.; Nomoto, K.; Kume, S.; Nishihara, H. Reversible Copper(II)/(I) Electrochemical Potential Switching Driven by Visible Light-Induced Coordinated Ring Rotation. J. Am. Chem. Soc. 2012, 134, 10543–10553. [Google Scholar]
  43. Tran, D.; Ryu, C.K.; Ford, P.C. Diffusion Limited Quenching of the Cluster Centered Excited State of the Copper(I) Cluster Cu4I4(py)4 by Ferrocenium Ion in CH2Cl2 Solution. Inorg. Chem. 1994, 33, 5957–5959. [Google Scholar] [CrossRef]
  44. Armaroli, N.; Accorsi, G.; Cardinali, F.; Listorti, A. Photochemistry and Photophysics of Coordination Compounds: Copper. Top. Curr. Chem. 2007, 280, 69–115. [Google Scholar] [CrossRef]
  45. Lavie-Cambot, A.; Cantuel, M.; Leydet, Y.; Jonusauskas, G.; Bassani, D.M.; McClenaghan, N.D. Improving the photophysical properties of copper(I) bis(phenanthroline) complexes. Coord. Chem. Rev. 2008, 252, 2572–2584. [Google Scholar] [CrossRef]
  46. McMillin, D.R.; McNett, K.M. Photoprocesses of Copper Complexes That Bind to DNA. Chem. Rev. 1998, 98, 1201–1219. [Google Scholar] [CrossRef]
  47. Everly, R.M.; Ziessel, R.; Suffert, J.; McMillin, D.R. Steric influences on the photoluminescence from copper(I) phenanthrolines in rigid media. Inorg. Chem. 1991, 30, 559–561. [Google Scholar] [CrossRef]
  48. Cunningham, C.T.; Cunningham, K.L.H.; Michalec, J.F.; McMillin, D.R. Cooperative Substituent Effects on the Excited States of Copper Phenanthrolines. Inorg. Chem. 1999, 38, 4388–4392. [Google Scholar] [CrossRef]
  49. Cuttell, D.G.; Kuang, S.M.; Fanwick, P.E.; McMillin, D.R.; Walton, R.A. Simple Cu(I) Complexes with Unprecedented Excited-State Lifetimes. J. Am. Chem. Soc. 2002, 124, 6–7. [Google Scholar]
  50. Kuang, S.M.; Cuttell, D.G.; McMillin, D.R.; Fanwick, P.E.; Walton, R.A. Synthesis and Structural Characterization of Cu(I) and Ni(II) Complexes that Contain the Bis[2-(diphenylphosphino)phenyl]ether Ligand. Novel Emission Properties for the Cu(I) Species. Inorg. Chem. 2002, 41, 3313–3322. [Google Scholar] [CrossRef]
  51. Vorontsov, I.I.; Graber, T.; Kovalevsky, A.Y.; Novozhilova, I.V.; Gembicky, M.; Chen, Y.-S.; Coppens, P. Capturing and Analyzing the Excited-State Structure of a Cu(I) Phenanthroline Complex by Time-Resolved Diffraction and Theoretical Calculations. J. Am. Chem. Soc. 2009, 131, 6566–6573. [Google Scholar] [CrossRef]
  52. Siddique, Z.A.; Yamamoto, Y.; Ohno, T.; Nozaki, K. Structure-Dependent Photophysical Properties of Singlet and Triplet Metal-to-Ligand Charge Transfer States in Copper(I) Bis(diimine) Compounds. Inorg. Chem. 2003, 42, 6366–6378. [Google Scholar] [CrossRef]
  53. Schmittel, M.; Ganz, A. Stable mixed phenanthroline copper(i) complexes. Key buildingblocks for supramolecular coordination chemistry. Chem. Commun. 1997, 999–1000. [Google Scholar] [CrossRef]
  54. Schmittel, M.; Michel, C.; Liu, S.-X.; Schildbach, D.; Fenske, D. New Sterically Encumbered 2,9-Diarylphenanthrolines for the Selective Formation of Heteroleptic Bis(phenanthroline)copper(I) Complexes. Eur. J. Inorg. Chem. 2001, 1155–1166. [Google Scholar]
  55. Schmittel, M.; Lüning, U.; Meder, M.; Ganz, A.; Michel, C.; Herderich, M. Synthesis of Sterically Encumbered 2,9-Diaryl Substituted Phenantrolines. Key Building Blocks for the Preparation of Mixed (Bis-Heteroleptic) Phenanthroline Copper(I) Complexes. Heterocycl. Commun. 1997, 3, 493–498. [Google Scholar]
  56. Bard, A.J.; Faulkner, L.R. Electrochemical Methods, Fundamentals and Applications, 2nd ed.; Wiley: New York, NY, USA, 2001. [Google Scholar]
  57. Jacq, J. Schema carre: Etablissement et Discussion de L'equation Generale de la Courbe Intensite-Potentiel en Regime Stationnaire et Diffusion Convective. J. Electroanal. Chem. 1971, 29, 149–180. [Google Scholar] [CrossRef]
  58. Carano, M.; Echegoyen, L. Mechanisms of Electrochemically-Induced Retro-Cyclopropanation Reactions of Fullerene Derivatives Using Digital Simulations. Chem. Eur. J. 2003, 9, 1974–1981. [Google Scholar] [CrossRef]
  59. Lerke, S.A.; Evans, D.H.; Feldberg, S.W. Digital simulation of the square scheme in cyclic voltammetry: A comparison of methods. J. Electroanal. Chem. 1990, 296, 299–315. [Google Scholar] [CrossRef]
  60. Juris, A.; Balzani, V.; Barigelletti, F.; Campagna, S.; Belser, P.; von Zelewsky, A. Ru(II) polypyridine complexes: photophysics, photochemistry, eletrochemistry, and chemiluminescence. Coord. Chem. Rev. 1988, 84, 85–277. [Google Scholar] [CrossRef]
  61. Durr, H. Photochromism: Molecules and Systems; Elsevier: Amsterdam, The Netherlands, 1990. [Google Scholar]
  62. Fischer, H.; Orth, H. Die Chemie des Pyrrols; Akademische Verlagsgesellschaft: Leipzig, Germany, 1937. [Google Scholar]
  63. Wood, T.E.; Thompson, A. Advances in the Chemistry of Dipyrrins and Their Complexes. Chem. Rev. 2007, 107, 1831–1861. [Google Scholar] [CrossRef]
  64. Treibs, A.; Kreuzer, F.-H. Difluorboryl-Komplexe von Di- und Tripyrrylmethenen. Justus Liebigs Ann. Chem. 1968, 718, 208–223. [Google Scholar] [CrossRef]
  65. Shah, M.; Thangaraj, K.; Soong, M.L.; Wolford, L.; Boyer, J.H.; Politzer, I.R.; Pavlopoulos, T.G. Pyrromethene–BF2 complexes as laser dyes:1. Heteroat. Chem. 1990, 1, 389–399. [Google Scholar] [CrossRef]
  66. Boyer, J.H.; Haag, A.M.; Sathyamoorthi, G.; Soong, M.L.; Thangaraj, K.; Pavlopoulos, T.G. Pyrromethene–BF2 complexes as laser dyes: 2. Heteroat. Chem. 1993, 4, 39–49. [Google Scholar] [CrossRef]
  67. Hermes, R.E.; Allik, T.H.; Chandra, S.; Hutchinson, J.A. High – efficiency pyrromethene doped solid – state dye lasers. Appl. Phys. Lett. 1993, 63, 877–879. [Google Scholar] [CrossRef]
  68. Coskun, A.; Akkaya, E.U. Ion Sensing Coupled to Resonance Energy Transfer: A Highly Selective and Sensitive Ratiometric Fluorescent Chemosensor for Ag(I) by a Modular Approach. J. Am. Chem. Soc. 2005, 127, 10464–10465. [Google Scholar] [CrossRef]
  69. Coskun, A.; Akkaya, E.U. Signal Ratio Amplification via Modulation of Resonance Energy Transfer: Proof of Principle in an Emission Ratiometric Hg(II) Sensor. J. Am. Chem. Soc. 2006, 128, 14474–14475. [Google Scholar] [CrossRef]
  70. Yuan, M.; Li, Y.; Li, J.; Li, C.; Liu, X.; Lv, J.; Xu, J.; Liu, H.; Wang, S.; Zhu, D. A Colorimetric and Fluorometric Dual-Modal Assay for Mercury Ion by a Molecule. Org. Lett. 2007, 9, 2313–2316. [Google Scholar] [CrossRef]
  71. Ekmekci, Z.; Ylimaz, M.D.; Akkaya, E.U. A Monostyryl-boradiazaindacene (BODIPY) Derivative as Colorimetric and Fluorescent Probe for Cyanide Ions. Org. Lett. 2008, 10, 461–464. [Google Scholar] [CrossRef]
  72. Gabe, Y.; Urano, Y.; Kikuchi, K.; Kojima, H.; Nagano, T. Highly Sensitive Fluorescence Probes for Nitric Oxide Based on Boron Dipyrromethene ChromophoreRational Design of Potentially Useful Bioimaging Fluorescence Probe. J. Am. Chem. Soc. 2004, 126, 3357–3367. [Google Scholar] [CrossRef]
  73. Wu, Y.; Peng, X.; Guo, B.; Fan, J.; Zhang, Z.; Wang, J.; Cui, A.; Gao, Y. Boron dipyrromethene fluorophore based fluorescence sensor for the selective imaging of Zn(II) in living cells. Org. Biomol. Chem. 2005, 3, 1387–1392. [Google Scholar] [CrossRef]
  74. Verdoes, M.; Florea, B.I.; Menendez-Benito, V.; Maynard, C.J.; Witte, M.D.; van der Linden, W.A.; van den Nieuwendijk, A.M.C.H.; Hofmann, T.; Berkers, C.R.; van Leeuwen, F.W.B.; et al. A Fluorescent Broad-Spectrum Proteasome Inhibitor for Labeling Proteasomes in vitro and in vivo. Chem. Biol. 2006, 13, 1217–1226. [Google Scholar] [CrossRef]
  75. Sun, Z.N.; Wang, H.L.; Liu, F.Q.; Chen, Y.; Kwong, P.; Tam, H.; Yang, D. BODIPY-Based Fluorescent Probe for Peroxynitrite Detection and Imaging in Living Cells. Org. Lett. 2009, 11, 1887–1890. [Google Scholar] [CrossRef]
  76. Middleton, R.J.; Briddon, S.J.; Cordeaux, Y.; Yates, A.S.; Cale, C.L.; George, M.W.; Baker, J.G.; Hill, S.J.; Kellam, B. New Fluorescent Adenosine A1-Receptor Agonists That Allow Quantification of Ligand−Receptor Interactions in Microdomains of Single Living Cells. J. Med. Chem. 2007, 50, 782–793. [Google Scholar] [CrossRef]
  77. Erten-Ela, S.; Ylimaz, M.D.; Icil, B.; Dede, Y.; Icli, S.; Akkaya, E.U. A Panchromatic Boradiazaindacene (BODIPY) Sensitizer for Dye-Sensitized Solar Cells. Org. Lett. 2008, 10, 3299–3302. [Google Scholar] [CrossRef]
  78. Kumaresan, D.; Thummel, R.P.; Bura, T.; Ulrich, G.; Ziessel, R. Color Tuning in New Metal-Free Organic Sensitizers (Bodipys) for Dye-Sensitized Solar Cells. Chem. Eur. J. 2009, 15, 6335–6339. [Google Scholar] [CrossRef]
  79. Kolemen, S.; Cakmak, Y.; Erten-Ela, S.; Altay, Y.; Brendel, J.; Thelakkat, M.; Akkaya, E.U. Solid-State Dye-Sensitized Solar Cells Using Red and Near-IR Absorbing Bodipy Sensitizers. Org. Lett. 2010, 12, 3812–3815. [Google Scholar]
  80. Maeda, H.; Hasegawa, M.; Hashimoto, T.; Kakimoto, T.; Nishio, S.; Nakanishi, T. Nanoscale Spherical Architectures Fabricated by Metal Coordination of Multiple Dipyrrin Moieties. J. Am. Chem. Soc. 2006, 128, 10024–10025. [Google Scholar]
  81. Yu, L.; Muthukumaran, K.; Sazanovich, I.V.; Kirmaier, C.; Hindin, E.; Diers, J.R.; Boyle, P.D.; Bocian, D.F.; Holten, D.; Lindsey, J.S. Excited-State Energy-Transfer Dynamics in Self-Assembled Triads Composed of Two Porphyrins and an Intervening Bis(dipyrrinato)metal Complex. Inorg. Chem. 2003, 42, 6629–6647. [Google Scholar] [CrossRef]
  82. Rio, Y.; Sánchez-García, D.; Seitz, W.; Torres, T.; Sessler, J.L.; Guldi, D.M. A Bisfullerene–Bis(dipyrrinato)zinc Complex: Electronic Coupling and Charge Separation in an Easy-to-Assemble Synthetic System. Chem. Eur. J. 2009, 15, 3956–3959. [Google Scholar] [CrossRef]
  83. Sazanovich, I.V.; Kirmaier, C.; Hindin, E.; Yu, L.; Bocian, D.F.; Lindsey, J.S.; Holten, D. Structural Control of the Excited-State Dynamics of Bis(dipyrrinato)zinc Complexes: Self-Assembling Chromophores for Light-Harvesting Architectures. J. Am. Chem. Soc. 2004, 126, 2664–2665. [Google Scholar]
  84. Thoi, V.S.; Stork, J.R.; Magde, D.; Cohen, S.M. Luminescent Dipyrrinato Complexes of Trivalent Group 13 Metal Ions. Inorg. Chem. 2006, 45, 10688–10697. [Google Scholar] [CrossRef]
  85. Kobayashi, J.; Kushida, T.; Kawashima, T. Synthesis and Reversible Control of the Fluorescent Properties of a Divalent Tin Dipyrromethene. J. Am. Chem. Soc. 2009, 131, 10836–10837. [Google Scholar] [CrossRef]
  86. Crawford, S.M.; Ali, A.A.; Cameron, T.S.; Thompson, A. Synthesis and Characterization of Fluorescent Pyrrolyldipyrrinato Sn(IV) Complexes. Inorg. Chem. 2011, 50, 8207–8213. [Google Scholar] [CrossRef]
  87. Filatov, M.A.; Lebedev, A.Y.; Mukhin, S.N.; Vinogradov, S.A.; Cheprakov, A.V. π-Extended Dipyrrins Capable of Highly Fluorogenic Complexation with Metal Ions. J. Am. Chem. Soc. 2010, 132, 9552–9554. [Google Scholar] [CrossRef]
  88. Ikeda, C.; Ueda, S.; Nabeshima, T. Aluminium complexes of N2O2-type dipyrrins: the first hetero-multinuclear complexes of metallo-dipyrrins with high fluorescence quantum yields. Chem. Commun. 2009, 2544–2546. [Google Scholar] [CrossRef]
  89. Zander, M.; Rettig, W. Fluorescence studies on solvent-induced intramolecular charge separation in symmetric biaryls. Chem. Phys. Lett. 1984, 110, 602–608. [Google Scholar] [CrossRef]
  90. Kang, T.J.; Kahlow, M.A.; Giser, D.; Swallen, S.; Nargarajan, V.; Jarzeba, W.; Barbara, P.F. Dynamic solvent effects in the electron-transfer kinetics of S1 bianthryls. J. Phys. Chem. 1988, 92, 6800–6807. [Google Scholar] [CrossRef]
  91. Rettig, W. Charge Separation in Excited States of Decoupled Systems—TICT Compounds and Implications Regarding the Development of New Laser Dyes and the Primary Process of Vision and Photosynthesis. Angew. Chem. Int. Ed. Engl. 1986, 25, 971–988. [Google Scholar] [CrossRef]
  92. Vauthey, E. Photoinduced Symmetry-Breaking Charge Separation. ChemPhysChem 2012, 13, 2001–2011. [Google Scholar] [CrossRef]
  93. Giaimo, J.V.; Gusev, A.V.; Wasielewski, M.R. Excited-State Symmetry Breaking in Cofacial and Linear Dimers of a Green Perylenediimide Chlorophyll Analogue Leading to Ultrafast Charge Separation. J. Am. Chem. Soc. 2002, 124, 8530–8531. [Google Scholar] [CrossRef]
  94. Banerji, N.; Fürstenberg, A.; Bhosale, S.; Sisson, A.L.; Sakai, N.; Matile, S.; Vauthey, E. Ultrafast Photoinduced Charge Separation in Naphthalene Diimide Based Multichromophoric Systems in Liquid Solutions and in a Lipid Membrane. J. Phys. Chem. B 2008, 112, 8912–8922. [Google Scholar] [CrossRef]
  95. Kusaka, S.; Sakamoto, R.; Kitagawa, Y.; Okumura, M.; Nishihara, H. An Extremely Bright Heteroleptic Bis(dipyrrinato)zinc(II) Complex. Chem. Asian J. 2012, 7, 907–910. [Google Scholar] [CrossRef]
  96. Sheldrick, W.; Engel, J. X-Ray crystal structure of the zinc complex of 1,2,3,7,8,12,13,17,18,19-decamethylbiladiene-a,c. J. Chem. Soc. Chem. Commun. 1980, 5–6. [Google Scholar] [CrossRef]
  97. Pechmann, H.V. Ueber Condensationsprodukte zweibasischer Fettsäuren. Ber. Dtsch. Chem. Ges. 1882, 15, 881. [Google Scholar] [CrossRef]
  98. Silver, J.; Ahmet, M.T.; Bowden, K.; Miller, J.R.; Rahmat, S.; Reynolds, C.A.; Bashall, A.; McPathlkin, M.; Trotter, J. Electrochromic behaviour and X-ray structure analysis of a Pechmann dye, (E)-5,5′-diphenyl-3,3′-bifuranylidene-2,2′-dione. J. Mater. Chem. 1994, 4, 1201–1204. [Google Scholar] [CrossRef]
  99. Bergley, M.J.; Crombie, L.; Griffiths, G.L.; Jones, R.C.F.; Rahmani, M. Charge-transfer and non-charge-transfer crystal forms of (E)-5,5′-dimesitylbifuranylidenediones : an X-ray structural investigation. Chem. Commun. 1981, 823–825. [Google Scholar]
  100. Fang, C.S.; Bergmann, W. Pechmann's Dye and Related Compounds. J. Org. Chem. 1951, 16, 1231–1237. [Google Scholar] [CrossRef]
  101. Irikawa, H.; Adachi, N.; Muraoka, H. Preparation and Absorption Spectral Properties of the Nitrogen Analogs of a Pechmann Dye and Its Isomeric Pyrano[4,3-c]pyran-1,5-dione. Heterocycles 1998, 48, 1415–1422. [Google Scholar] [CrossRef]
  102. Bowden, K.; Etemadi, R.; Ranson, R.J. Reactions of carbonyl compounds in basic solutions. Part 17. The alkaline hydrolysis of substituted (E)-5,5-diphenylbifuranylidenediones and 3,7-diphenylpyrano[4,3-c]pyran-1,5-diones. J. Chem. Soc. Perkin Trans. 2 1991, 743–746. [Google Scholar] [CrossRef]
  103. Didier, P.; Ulrich, G.; Mely, Y.; Ziessel, R. Improved push-pull-push E-Bodipy fluorophores for two-photon cell-imaging. Org. Biomol. Chem. 2009, 7, 3639–3642. [Google Scholar] [CrossRef]
  104. Andrade, C.D.; Yanez, C.O.; Rodriguez, L.; Belfield, K.D. A Series of Fluorene-Based Two-Photon Absorbing Molecules: Synthesis, Linear and Nonlinear Characterization, and Bioimaging. J. Org. Chem. 2010, 75, 3975–3982. [Google Scholar] [CrossRef]
  105. Velusamy, M.; Shen, J.; Lin, J.; Lin, Y.; Hsieh, C.; Lai, C.; Lai, C.; Ho, M.; Chen, Y.; Chou, P.; Hisao, J. A New Series of Quadrupolar Type Two-Photon Absorption Chromophores Bearing 11, 12-Dibutoxydibenzo[a,c]-phenazine Bridged Amines; Their Applications in Two-Photon Fluorescence Imaging and Two-Photon Photodynamic Therapy. Adv. Funct. Mater. 2009, 19, 2388–2397. [Google Scholar] [CrossRef]
  106. Zhou, G.; Wong, W.-Y.; Poon, S.-Y.; Ye, C.; Lin, Z. Symmetric Versus Unsymmetric Platinum(II) Bis(aryleneethynylene)s with Distinct Electronic Structures for Optical Power Limiting/Optical Transparency Trade-off Optimization. Adv. Funct. Mater. 2009, 19, 531–544. [Google Scholar] [CrossRef]
  107. Charlot, M.; Izard, N.; Mongin, O.; Riehl, D.; Blanchard-Desce, M. Optical limiting with soluble two-photon absorbing quadrupoles: Structure–property relationships. Chem. Phys. Lett. 2006, 417, 297–302. [Google Scholar] [CrossRef]
  108. Yang, Y.; Farley, R.T.; Steckler, T.T.; Eom, S.-H.; Reynolds, J.R.; Schanze, K.S.; Xue, J. Near infrared organic light-emitting devices based on donor-acceptor-donor oligomers. Appl. Phy. Lett. 2008, 93, 163305–163307. [Google Scholar]
  109. Goudreault, T.; He, Z.; Guo, Y.; Ho, C.-L.; Zhan, H.; Wang, Q.; Ho, K.Y.-F.; Wong, K.-L.; Fortin, D.; Yao, B.; et al. Synthesis, Light-Emitting, and Two-Photon Absorption Properties of Platinum-Containing Poly(arylene-ethynylene)s Linked by 1,3,4-Oxadiazole Units. Macromolecules 2010, 43, 7936–7949. [Google Scholar] [CrossRef]
  110. Lincker, F.; Kreher, D.; Attias, A.; Do, J.; Kim, E.; Hapiot, P.; Lemaitre, N.; Gettroy, B.; Ulrich, G.; Ziessel, R. Rodlike Fluorescent π-Conjugated 3,3′-Bipyridazine Ligand: Optical, Electronic, and Complexation Properties. Inorg. Chem. 2010, 49, 3991–4001. [Google Scholar] [CrossRef]
  111. Huang, F.; Chem, K.; Yip, H.; Hau, S.K.; Acton, O.; Zhang, Y.; Luo, J.; Jen, A.K. -Y. Development of New Conjugated Polymers with Donor−π-Bridge−Acceptor Side Chains for High Performance Solar Cells. J. Am. Chem. Soc. 2009, 131, 13886–13887. [Google Scholar]
  112. Zou, Y.; Najari, A.; Berrouard, P.; Beaupre, S.; Aich, B.R.; Tao, Y.; Leclerc, M. A Thieno[3,4-c]pyrrole-4,6-dione-Based Copolymer for Efficient Solar Cells. J. Am. Chem. Soc. 2010, 132, 5330–5331. [Google Scholar] [CrossRef]
  113. Kono, T.; Kumaki, D.; Nishida, J.; Tokito, S.; Yamashita, Y. Dithienylbenzobis(thiadiazole) based organic semiconductors with low LUMO levels and narrow energy gaps. Chem. Commun. 2010, 46, 3265–3267. [Google Scholar] [CrossRef]
  114. Le, Y.; Nitani, M.; Kawahara, M.; Tada, H.; Aso, Y. Air-Stable n-Type Organic Field-Effect Transistors Based on Carbonyl-Bridged Bithiazole Derivatives. Adv. Funct. Mater. 2010, 20, 907–913. [Google Scholar] [CrossRef]
  115. Hayashi, M.; Toshimitsu, F.; Sakamoto, R.; Nishihara, H. Double Lactonization in Triarylamine-Conjugated Dimethyl Diethynylfumarate: Formation of Intensely Colored and Luminescent Quadrupolar Molecules Including a Missing Structural Isomer of Pechmann Dyes. J. Am. Chem. Soc. 2011, 133, 14518–14521. [Google Scholar] [CrossRef]
  116. Sakamoto, R.; Murata, M.; Nishihara, H. Visible-Light Photochromism of Bis(ferrocenylethynyl)ethenes Switches Electronic Communication between Ferrocene Sites. Angew. Chem. Int. Ed. Engl. 2006, 45, 4793–4795. [Google Scholar] [CrossRef]
  117. Sakamoto, R.; Kume, S.; Nishihara, H. Visible-Light Photochromism of Triarylamine- or Ferrocene-Bound Diethynylethenes that Switches Electronic Communication between Redox Sites and Luminescence. Chem. Eur. J. 2008, 14, 6978–6986. [Google Scholar] [CrossRef]
  118. Hayashi, M.; Sakamoto, R.; Nishihara, H. Extremely Efficient and Reversible Visible-Light Photochromism and Accompanying Switch of Electronic Communication in N-Phenylcarbazole-Appended Diethynylethene. Chem. Eur. J. 2012, 18, 8610–8613. [Google Scholar] [CrossRef]
  119. Uchiyama, M.; Ozawa, H.; Takuma, K.; Matsumoto, Y.; Yonehara, M.; Hiroya, K.; Sakamoto, T. Regiocontrolled Intramolecular Cyclizations of Carboxylic Acids to Carbon−Carbon Triple Bonds Promoted by Acid or Base Catalyst. Org. Lett. 2006, 8, 5517–5520. [Google Scholar] [CrossRef]
  120. Hellal, M.; Bourguignon, J.-J.; Bihel, F.J.-J. 6-endo-dig Cyclization of heteroarylesters to alkynes promoted by Lewis acid catalyst in the presence of Brønsted acid. Tetrahedron Lett. 2008, 49, 62–65. [Google Scholar] [CrossRef]

Article Metrics

Citations

Article Access Statistics

Multiple requests from the same IP address are counted as one view.