A New Hydroxychavicol Dimer from the Roots of Piper betle
Abstract
:1. Introduction

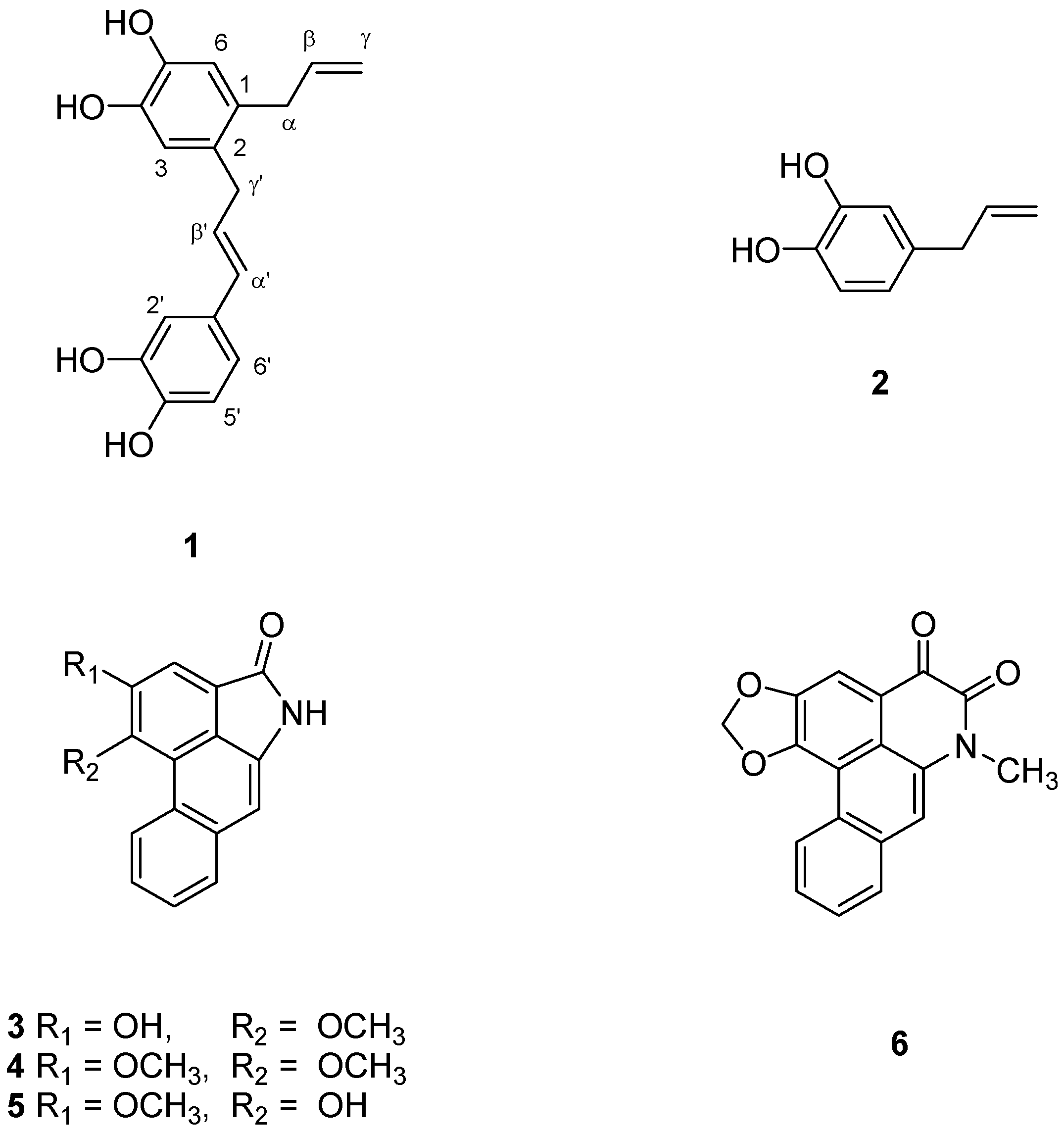
2. Results and Discussion
| No. | δC | δH | Key HMBC (H to C) |
|---|---|---|---|
| 1 | 129.79 | ||
| 2 | 130.46 | ||
| 3 | 117.33 | 6.68 (1H, s) | C-1, C-γ' |
| 4 | 144.06 | ||
| 5 | 144.06 | ||
| 6 | 117.46 | 6.65 (1H, s) | C-2, C-5, C-α |
| α | 37.05 | 3.27 (2H, dd, J = 1.2, 6.6 Hz) | C-2, C-6, C-γ |
| β | 138.85 | 5.92 (1H, m) | C-1 |
| γ | 115.23 | 4.96 (1H, dd, J = 2.4, 4.2 Hz) | C-α, C-β |
| 4.99 (1H, m) | |||
| 1' | 130.98 | ||
| 2' | 113.35 | 6.90 (1H, d, J = 2.4 Hz) | C-α', C-6', C-4' |
| 3' | 145.87 | ||
| 4' | 145.29 | ||
| 5' | 116.00 | 6.74 (1H, d, J = 8.4 Hz) | C-1', C-3' |
| 6' | 119.05 | 6.70 (1H, dd, J = 2.4, 8.4 Hz) | C-2', C-4', C-α' |
| α' | 131.05 | 6.24 (1H, bd, J = 15.6 Hz) | C-2', C-6', C-γ' |
| β' | 127.35 | 6.09 (1H, td, J =6.6, 15.6 Hz) | C-2, C-1' |
| γ' | 35.98 | 3.34 (2H, dd, J = 1.2, 6.6 Hz) | C-1, C-3, C-α' |

| Compound | Superoxide anion | Elastase release | ||
|---|---|---|---|---|
| IC50 (μM) | Inh % a | IC50 (μM) | Inh % a | |
| 1 | 8.59 ± 2.30 | 94.85 ± 6.14 *** | 13.14 ± 7.05 | 60.24 ± 3.82 *** |
| 2 | 0.27 ± 0.09 | 107.12 ± 1.36 *** | 5.78 ± 1.56 | 94.42 ± 6.49 *** |
| 3 | >30 | 4.15 ± 2.07 | >30 | 19.36 ± 4.27 * |
| 4 | >30 | 28.96 ± 4.05 ** | >30 | 13.65 ± 3.67 * |
| 5 | >30 | 41.06 ± 1.71 *** | >30 | 48.92 ± 5.32 *** |
| 6 | >30 | 43.63 ± 1.05 *** | 19.19 ± 3.91 | 58.43 ± 2.31 *** |
| Sorafenib b | 3.01 ± 0.25 | 2.25 ± 0.36 | ||


3. Experimental
3.1. General
3.2. Plant Material
3.3. Extraction and Isolation
3.4. Anti-Inflammatory Activity
4. Conclusions
Supplementary Materials
Acknowledgments
References
- Ali, I.; Khan, F.G.; Suri, K.A.; Gupta, B.D.; Satti, N.K.; Dutt, P.; Afrin, F.; Qazi, G.N.; Khan, I.A. In vitro antifungal activity of hydroxychavicol isolated from Piper betle L. Ann. Clin. Microbiol. Antimicrob. 2010, 9, 1–9. [Google Scholar] [CrossRef]
- Rai, M.P.; Thilakchand, K.R.; Palatty, P.L.; Rao, P.; Rao, S.; Bhat, H.P.; Baliga, M.S. Piper betel Linn (betel vine), the maligned Southeast Asian medicinal plant possesses cancer preventive effects: Time to reconsider the wronged opinion. Asian Pac. J. Cancer Prev. 2011, 12, 2149–2156. [Google Scholar]
- Ramji, N.; Ramji, N.; Iyer, R.; Chandrasekaran, S. Phenolicantibacterials from Piper betle in the prevention of halitosis. J. Ethnopharmacol. 2002, 83, 149–152. [Google Scholar] [CrossRef]
- Huang, X.Z.; Yin, Y.; Dai, J.H.; Liang, H.; Dai, Y.; Lian, B. Two new ceramides from the stems of Piper betle L. Chin. Chem. Lett. 2010, 21, 433–436. [Google Scholar] [CrossRef]
- Evans, P.H.; Bowers, W.S.; Funk, E.J. Identification of fungicidal and nematocidal components in the Leaves of Piper betle (Piperaceae). J. Agric. Food Chem. 1984, 32, 1254–1256. [Google Scholar] [CrossRef]
- Parmar, V.S.; Jain, S.C.; Gupta, S.; Talwar, S.; Rajwanshi, V.K.; Kumar, R.; Azim, A.; Malhotra, S.; Kumar, N.; Jain, R.; et al. Polyphenols and alkaloids from piper species. Phytochemistry 1998, 49, 1069–1078. [Google Scholar] [CrossRef]
- Saeed, S.A.; Farnaz, S.; Simjee, R.U.; Malik, A. Triterpenes and β-sitosterol from Piper betle: Isolation, antiplatelet and anti-inflammatory effects. Biochem. Soc. Trans. 1993, 21, 462S. [Google Scholar]
- Ghosh, K.; Bhattacharya, T.K. Chemical Constituents of Piper betle Linn. (Piperaceae) roots. Molecules 2005, 10, 798–802. [Google Scholar]
- Pouységu, L.; Sylla, T.; Garnier, T.; Rojas, L.B.; Charris, J.; Deffieux, D.; Quideau, S. Hypervalent iodine-mediated oxygenative phenol dearomatization reactions. Tetrahedron 2010, 66, 5908–5917. [Google Scholar]
- Shimoni, E.; Baasov, T.; Ravid, U.; Shoham, Y. Biotransformations of propenylbenzenes by an Arthrobacter sp. and its t-anethole blocked mutants. J. Biotechnol. 2003, 105, 61–70. [Google Scholar]
- Rao, K.V.; Reddy, G.C. Chemistry of Saururus cernuus, V. sauristolactam and other nitrogenous constituents. J. Nat. Prod. 1990, 53, 309–312. [Google Scholar] [CrossRef]
- Desai, S.J.; Prabhu, B.R.; Mulchandant, N.B. Aristolactams and 4,5-dioxoaporphines from Piper longum. Phytochemistry 1988, 27, 1511–1515. [Google Scholar] [CrossRef]
- Ee, G.C.L.; Lim, S.K.; Dzulkefly, K. Alkaloids and carboxylic acids from Piper nigrum. Asian J. Chem. 2008, 20, 5931–5940. [Google Scholar]
- Arazna, M.; Pruchniak, M.P.; Zycinska, K.; Demkow, U. Neutrophil extracellular trap in human diseases. Adv. Exp. Med. Biol. 2013, 756, 1–8. [Google Scholar] [CrossRef]
- Smith, J.A. Neutrophils, host defense, and inflammation: A double-edged sword. J. Leukoc. Biol. 1994, 56, 672–686. [Google Scholar]
- Nadel, J.A. Role of neutrophil elastase in hypersecretion during COPD exacerbations, and proposed therapies. Chest 2000, 117, 386S–389S. [Google Scholar] [CrossRef]
- Cho, H.Y.; Kleeberger, S.R. Genetic mechanisms of susceptibility to oxidative lung injury in mice. Free Radic. Biol. Med. 2007, 42, 433–445. [Google Scholar] [CrossRef]
- Cowburn, A.S.; Condliffe, A.M.; Farahi, N.; Summers, C.; Chilvers, E.R. Advances in neutrophil biology: Clinical implications. Chest 2008, 134, 606–612. [Google Scholar] [CrossRef]
- Hwang, T.L.; Wang, C.C.; Kuo, Y.H.; Huang, H.C.; Wu, Y.C.; Kuo, L.M.; Wu, Y.H. The hederagenin saponin SMG-1 is a natural FMLP receptor inhibitor that suppresses humanneutrophil activation. Biochem. Pharmacol. 2010, 80, 1190–1200. [Google Scholar] [CrossRef]
- Chang, H.L.; Chang, F.R.; Chen, J.S.; Wang, H.P.; Wu, Y.H.; Wang, C.C.; Wu, Y.C.; Hwang, T.L. Inhibitory effects of 16-hydroxycleroda-3,13(14)E-dien-15-oic acid on superoxide anion and elastase release in human neutrophils through multiple mechanisms. Eur. J. Pharmacol. 2008, 586, 332–339. [Google Scholar] [CrossRef]
- Lin, C.F.; Leu, Y.L.; Al-Suwayeh, S.A.; Ku, M.C.; Hwang, T.L.; Fang, J.Y. Anti-inflammatory activity and percutaneous absorption of quercetin and its polymethoxylated compound and glycosides: The relationships to chemical structures. Eur. J. Pharm. Sci. 2012, 47, 857–864. [Google Scholar]
- Sample Availability: Samples of the compounds 2–6 are available from the authors.
© 2013 by the authors; licensee MDPI, Basel, Switzerland. This article is an open access article distributed under the terms and conditions of the Creative Commons Attribution license (http://creativecommons.org/licenses/by/3.0/).
Share and Cite
Lin, C.-F.; Hwang, T.-L.; Chien, C.-C.; Tu, H.-Y.; Lay, H.-L. A New Hydroxychavicol Dimer from the Roots of Piper betle. Molecules 2013, 18, 2563-2570. https://doi.org/10.3390/molecules18032563
Lin C-F, Hwang T-L, Chien C-C, Tu H-Y, Lay H-L. A New Hydroxychavicol Dimer from the Roots of Piper betle. Molecules. 2013; 18(3):2563-2570. https://doi.org/10.3390/molecules18032563
Chicago/Turabian StyleLin, Chwan-Fwu, Tsong-Long Hwang, Chun-Chien Chien, Huei-Yu Tu, and Horng-Liang Lay. 2013. "A New Hydroxychavicol Dimer from the Roots of Piper betle" Molecules 18, no. 3: 2563-2570. https://doi.org/10.3390/molecules18032563
APA StyleLin, C.-F., Hwang, T.-L., Chien, C.-C., Tu, H.-Y., & Lay, H.-L. (2013). A New Hydroxychavicol Dimer from the Roots of Piper betle. Molecules, 18(3), 2563-2570. https://doi.org/10.3390/molecules18032563

