Radical Scavenging Capacity of Methanolic Phillyrea latifolia L. Extract: Anthocyanin and Phenolic Acids Composition of Fruits
Abstract
:1. Introduction
2. Results and Discussion
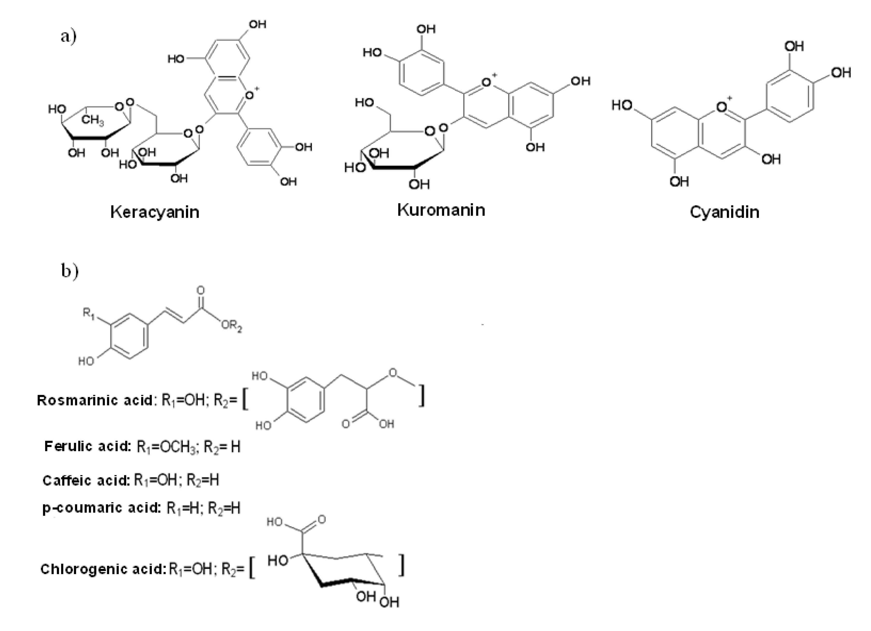
2.1. Anthocyanin and Free Phenolic Acid Analysis



| Analyte | Amount in the fruits a (mg/100 g FW) | Equation (y = mx); R2 | Correlation coefficient bbetween DPPH• and ABTS•+assays | %Recovery c |
|---|---|---|---|---|
| Kuromanin | 90.4 ± 0.1E | y = 8.9628x; | 0.9878 ± 0.0024 | n.a. |
| 0.9902 ± 0.0007 | ||||
| Keracyanin | 289.1 ± 3.4A | y = 2.0798x; | 0.9753 ± 0.0116 | n.a. |
| 0.9922 ± 0.0017 | ||||
| Cyanidin | 191.4 ± 2.2C | y = 3.1801x; | 0.9801 ± 0.0015 | n.a. |
| 0.9933 ± 0.0014 | ||||
| Chlorogenic acid d | 74.4 ± 1.7F | y = 17.515x; | 0.9983 ± 0.0007 | 63.2 |
| 0.9996 ± 0.0001 | ||||
| Caffeic acid d | 221.2 ± 2.8B | y = 27.366x; | 0.9996 ± 0.0047 | 70.6 |
| 0.9999 ± 0.0001 | ||||
| p-coumaric acid d | 112.7 ± 1.5D | y = 26.614x; | 0.7684 ± 0.0125 | 71.3 |
| 1.0000 ± 0.0000 | ||||
| Ferulic acid d | 225.2 ± 2.6B | y = 27.178x; | 0.9974 ± 0.0022 | 75.7 |
| 0.9999 ± 0.0001 | ||||
| Rosmarinic acid d | 190.1 ± 2.1C | y = 15.155x; | 0.9608 ± 0.0248 | 67.8 |
| 0.9996 ± 0.0000 | ||||
| P. latifolia extract | 0.9730 ± 0.0036 | |||
| Quercetin e | 0.8863 ± 0.0219 | 78.4 |
2.2. Radical Scavenging Capacity
| Sample | TEAC b (mM TE/g FW of fruits or standard) | IC50 (µg/mL) |
|---|---|---|
| P. latifolia L. extract | 1.8 ± 0.1 D | 69.4 ± 5.8 B |
| Keracyanin chloride | 1.7 ± 0.1 D | 31.3 ± 3.4 D |
| Kuromanin chloride | 3.9 ± 0.1 B | 11.6 ± 2.1 E |
| Cyanidin chloride | 4.1 ± 0.1 B | 6.7 ± 0.7 F |
| Chlorogenic acid c | 0.9 ± 0.1 E | 35.6 ± 2.1 D |
| Caffeic acid c | 3.9 ± 0.5 B | 12.4 ± 0.7 E |
| p-coumaric acidc | 1.9 ± 0.1 D | 105.3 ± 4.3 A |
| Ferulic acid c | 3.0 ± 0.2 C | 49.6 ± 2.3 C |
| Rosmarinic acid c | 3.2 ± 0.4 C | 12.4 ± 0.8 E |
| Quercetin c,d | 4.8 ± 0.3 A | 12.9 ± 1.8 E |
3. Experimental
3.1. Materials
3.2. Preparation, Acid Hydrolysis and Analysis of Methanolic Fruit Extract from P. latifolia L.
3.3. Recovery of Acid-Hydrolysis Step
3.4. DPPH• Radical Scavenging Assay
3.5. ABTS•+ Radical Scavenging Assay
3.6. Total Phenolic Content (TPC)
3.7. Statistical Analysis
4. Conclusions
Acknowledgments
Conflicts of Interest
- Samples Availability: Samples of the plant species are available from the authors.
References
- Halliwell, B. Free radicals, antioxidants and human disease: Curiosity, cause or consequence. Lancet 1994, 344, 721–724. [Google Scholar] [CrossRef]
- Hung, H.C.; Joshipura, K.J.; Jiang, R.; Hu, F.B.; Hunter, D.; Smith-Warner, S.A.; Colditz, G.A.; Rosner, B.; Spiegelman, D.; Willett, W.C. Fruit and vegetable intake and risk of major chronic disease. J. Natl. Cancer Inst. 2004, 92, 1577–1584. [Google Scholar]
- Harborne, J.B. Nature, Distribution and Function of Plant Flavonoids. In Plant Flavonoids Biology and Medicine; Cody, B., Middleton, E., Harborne, J.B., Eds.; Alan Liss: New York, NY, USA, 1986; pp. 15–24. [Google Scholar]
- Shahidi, F.; Wanasundara, P.K.J. Phenolic antioxidants. Crit. Rev. Food Sci. Nutr. 1992, 32, 67–103. [Google Scholar]
- Espin, J.C.; Soler-Rivas, C.; Wichers, H.J.; Garcia-Viguera, C. Anthocyanin-based natural colorants: A new source of antiradical activity for foodstuff. J. Agric. Food Chem. 2000, 48, 1588–1592. [Google Scholar] [CrossRef]
- Kahkonen, M.P.; Heinonen, M. Antioxidant activity of anthocyanins and their aglycons. J. Agric. Food Chem. 2003, 51, 628–633. [Google Scholar] [CrossRef]
- Shirahigue, L.D.; Plata-Oviedo, M.; de Alencar, S.M.; D’Arce, M.A.B.R.; Vieira, T.M.F.D.; Oldoni, T.L.C.; Contreras-Castillo, C.J. Wine industry residue as antioxidant in cooked chicken meat. Int. J. Food Sci. Technol. 2010, 45, 863–870. [Google Scholar]
- Marczylo, T.H.; Cooke, D.; Brown, K.; Steward, W.P.; Gescher, A.J. Pharmacokinetics and metabolism of the putative cancer chemopreventive agent cyanidin-3-glycoside in mice. Cancer Chemother. Pharmacol. 2009, 64, 1261–1268. [Google Scholar]
- Longo, L.; Scardino, A.; Vasapollo, G. Identification and quantification of anthocyanins in the berries of Pistacia lentincus L., Phillyrea latifolia L. and Rubia peregrina L. Innov. Food Sci. Emerg. Technol. 2007, 8, 360–364. [Google Scholar]
- Longo, L.; Platini, F.; Scardino, A.; Alabiso, A.; Vasapollo, G.; Tessitore, L. Autophagy inhibition enhances anthocyanin-induced apoptosis in hepatocellular carcinoma. Mol. Cancer Ther. 2008, 7, 2476–2485. [Google Scholar] [CrossRef]
- Diaz, A.; Abad, M.; Fernandez, L.; Recuero, C.; Villaescusa, L.; Silvan, A.; Bermejo, P. Lignan and phenylpropanoid glycosides from Phillyrea latifolia and their in vitro anti-inflammatory activity. Planta Med. 2001, 67, 219–223. [Google Scholar] [CrossRef]
- Agati, G.; Galardi, C.; Gravano, E.; Romani, A.; Tattini, M. Flavonoid distribution in tissues of Phillyrea latifolia L. leaves as estimated by microspectrofluorometry and multispectral fluorescence microimaging. Photochem. Photobiol. 2002, 76, 350–360. [Google Scholar]
- Janakat, S.; Al-Merie, H. Evaluation of hepatoprotective effect of Pistacia lentiscus, Phillyrea latifolia and Nicotiana glauca. J. Ethnopharmacol. 2002, 83, 135–138. [Google Scholar] [CrossRef]
- Erkan, N.; Cetin, H.; Ayranci, E. Antioxidant activities of Sideritis congesta Davis et Huber-Morath and Sideritis arguta Boiss et Heldr: Identification of free flavonoids and cinnamic acid derivatives. Food Res. Int. 2011, 44, 297–303. [Google Scholar]
- Nuutila, A.M.; Kammiovirta, K.; Oksman-Caldentey, K.-M. Comparison of methods for the hydrolysis of flavonoids and phenolic acids from onion and spinach for HPLC analysis. Food Chem. 2002, 76, 519–525. [Google Scholar] [CrossRef]
- Skerget, M.; Kotnik, P.; Hadolin, M.; Hras, A.R.; Simonic, M.; Knez, Z. Phenols, proanthocyanidins, flavones and flavonols in some plant materials and their antioxidant activities. Food Chem. 2005, 89, 191–198. [Google Scholar] [CrossRef]
- Erkan, N.; Ayranci, G.; Ayranci, E. Antioxidant activities of rosemary (Rosmarinus officinalis L.) extract, blackseed (Nigella sativa L.) essential oil, carnosic acid, rosmarinic acid and sesamol. Food Chem. 2008, 110, 76–82. [Google Scholar]
- Kim, J.-S.; Ahn, J.; Lee, S.-J.; Moon, B.; Ha, T.-Y.; Kim, S. Phytochemicals and Antioxidant Activity of Fruits and Leaves of Paprika (Capsicum Annuum L., var. Special) Cultivated in Korea. J. Food Sci. 2011, 76, C193–C198. [Google Scholar]
- Galvano, F.; Fauci, L.L.; Lazzarino, G.; Fogliano, V.; Ritieni, A.; Ciappellano, S.; Battistini, N.C.; Tavazzi, B.; Galvano, G. Cyanidins: Metabolism and biological properties. J. Nutr. Biochem. 2004, 15, 2–11. [Google Scholar]
- Noda, Y.; Kaneyuki, T.; Mori, A.; Packer, L. Antioxidant activities of Pomegranate fruit extract and its Anthocyanidins: Delphinidin, Cyanidin, and Pelargonidin. J. Agric. Food Chem. 2002, 50, 166–171. [Google Scholar] [CrossRef]
- Rivero-Perez, M.D.; Muniz, P.; Gonzalez-Sanjose, M.L. Contribution of anthocyanin fraction to the antioxidant properties of wine. Food Chem. Toxicol. 2008, 46, 2815–2822. [Google Scholar]
- Dragovic-Uzelac, V.; Savic, Z.; Brala, A.; Levaj, B.; Kovacevic, D.B.; Bisko, A. Evaluation of phenolic content and antioxidant capacity of blueberry cultivars (Vaccinium corymbosum L.) grown in the Northwest Croatia. Food Technol. Biotechnol. 2010, 48, 214–221. [Google Scholar]
- Garzon, G.A.; Narvaez, C.E.; Riedl, K.M.; Schwartz, S.J. Chemical composition, anthocyanins, non-anthocyanin phenolics and antioxidant activity of wild bilberry (Vaccinium meridionale Swartz) from Colombia. Food Chem. 2010, 122, 980–986. [Google Scholar]
- Erkan, N. Antioxidant activity and phenolic compounds of fractions from Portulaca oleracea L. Food Chem. 2012, 133, 775–781. [Google Scholar] [CrossRef]
- Blois, M.S. Antioxidant determinations by the use of a stable free radical. Nature 1958, 181, 1199–1200. [Google Scholar] [CrossRef]
- Re, R.; Pellegrini, N.; Proteggente, A.; Pannala, A.; Yang, M.; Rice-Evans, C. Antioxidant activity applying an improved ABTS radical cation decolorization assay. Free Radic. Biol. Med. 1999, 26, 1231–1237. [Google Scholar] [CrossRef]
- Singleton, V.L.; Orthofer, R.; Lamuela-Raventos, R.M. Analysis of total phenols and other oxidation substrates and antioxidants by means of Folin-Ciocalteu reagent. Meth. Enzymol. 1999, 299, 152–178. [Google Scholar] [CrossRef]
© 2013 by the authors; licensee MDPI, Basel, Switzerland. This article is an open-access article distributed under the terms and conditions of the Creative Commons Attribution license (http://creativecommons.org/licenses/by/3.0/).
Share and Cite
Ayranci, E.; Erkan, N. Radical Scavenging Capacity of Methanolic Phillyrea latifolia L. Extract: Anthocyanin and Phenolic Acids Composition of Fruits. Molecules 2013, 18, 1798-1810. https://doi.org/10.3390/molecules18021798
Ayranci E, Erkan N. Radical Scavenging Capacity of Methanolic Phillyrea latifolia L. Extract: Anthocyanin and Phenolic Acids Composition of Fruits. Molecules. 2013; 18(2):1798-1810. https://doi.org/10.3390/molecules18021798
Chicago/Turabian StyleAyranci, Erol, and Naciye Erkan. 2013. "Radical Scavenging Capacity of Methanolic Phillyrea latifolia L. Extract: Anthocyanin and Phenolic Acids Composition of Fruits" Molecules 18, no. 2: 1798-1810. https://doi.org/10.3390/molecules18021798
APA StyleAyranci, E., & Erkan, N. (2013). Radical Scavenging Capacity of Methanolic Phillyrea latifolia L. Extract: Anthocyanin and Phenolic Acids Composition of Fruits. Molecules, 18(2), 1798-1810. https://doi.org/10.3390/molecules18021798
