An Efficient Approach to the Synthesis of Highly Congested 9,10-Dihydrophenanthrene-2,4-dicarbonitriles and Their Biological Evaluation as Antimicrobial Agents
Abstract
:1. Introduction
2. Results and Discussion
2.1. Chemistry


| Compd. | R | Yield | m.p. | Mol. Formula | Calc. % | Found % | ||||
|---|---|---|---|---|---|---|---|---|---|---|
| (%) | (°C) | C | H | N | C | H | N | |||
| 1 | 4-BrC₆H₄ | 76 | 244–246 | C22H14BrN3 | 66.01 | 3.53 | 10.50 | 65.98 | 3.64 | 10.45 |
| 2 | 4-CH3OC₆H₄ | 82 | 214–216 | C23H17N3O | 78.61 | 4.88 | 11.96 | 78.48 | 4.68 | 11.89 |
| 3 | 3,4-(CH3O)2C₆H3 | 78 | 266–268 | C24H19N3O2 | 75.57 | 5.02 | 11.02 | 75.62 | 5.16 | 10.87 |
| 4 | 3,4-(OCH2O) C₆H3 | 84 | 276–278 | C23H15N3O2 | 75.60 | 4.14 | 11.50 | 75.52 | 4.20 | 11.42 |
| 5 | 2-Thienyl | 72 | 220–222 | C20H13N3S | 73.37 | 4.00 | 12.83 | 73.42 | 3.89 | 12.72 |
| 6 | C6H5 | 32 | 340–343 | C22H15 N3 | 82.22 | 4.70 | 13.08 | 82.34 | 4.65 | 13.12 |
| 7 | 4-ClC₆H₄ | 49 | 238–240 | C22H14Cl N3 | 74.26 | 3.97 | 11.81 | 74.41 | 4.02 | 11.68 |
| 8 | C6H5 | 50 | 290–293 | C20H15 N3 | 80.78 | 5.08 | 14.13 | 80.82 | 5.11 | 14.23 |
| 9 | 4-ClC₆H₄ | 12 | 222–225 | C20H14Cl N3 | 72.40 | 4.25 | 12.66 | 72.36 | 4.32 | 12.61 |
| 10 | 4-BrC₆H₄ | 82 | 275–277 | C22H14BrN3 | 66.01 | 3.53 | 10.50 | 66.12 | 3.51 | 10.75 |
| 11 | 4-CH3OC₆H₄ | 80 | 344–346 | C27H21N3O3 | 74.47 | 4.86 | 9.65 | 74.61 | 4.68 | 9.55 |
| 12 | 3,4-(OCH2O) C₆H3 | 77 | 265–267 | C27H19N3O4 | 72.15 | 4.26 | 9.35 | 72.23 | 4.08 | 9.19 |
| 13 | 2-Thienyl | 76 | 355–357 | C24H17N3O2S | 70.05 | 4.16 | 10.21 | 70.12 | 4.22 | 10.31 |



2.2. Biological Evaluation
2.2.1. In Vitro Antibacterial and Antifungal Activities
| Compound | Zone of Inhibition in mm | Zone of Inhibition in mm | ||
|---|---|---|---|---|
| Escherichia coli | Staphylococcus aureus | Aspergillus niger | Candida albicans | |
| 1 | 25 | 24 | 18 | 21 |
| 2 | 21 | 20 | 15 | 18 |
| 3 | 20 | 21 | 14 | 16 |
| 4 | 23 | 20 | 13 | 18 |
| 5 | 25 | 22 | 16 | 20 |
| 6 | 16 | 15 | 12 | 13 |
| 7 | 18 | 17 | 14 | 15 |
| 8 | 12 | 13 | 10 | 13 |
| 9 | 14 | 15 | 12 | 15 |
| 10 | 30 | 28 | 20 | 22 |
| 11 | 28 | 26 | 17 | 19 |
| 12 | 26 | 25 | 19 | 20 |
| 13 | 29 | 29 | 21 | 22 |
| Ampicillin | 30 | 29 | - | - |
| Clotrimazole | - | - | 33 | 32 |
3. Experimental
3.1. General Methods
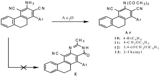
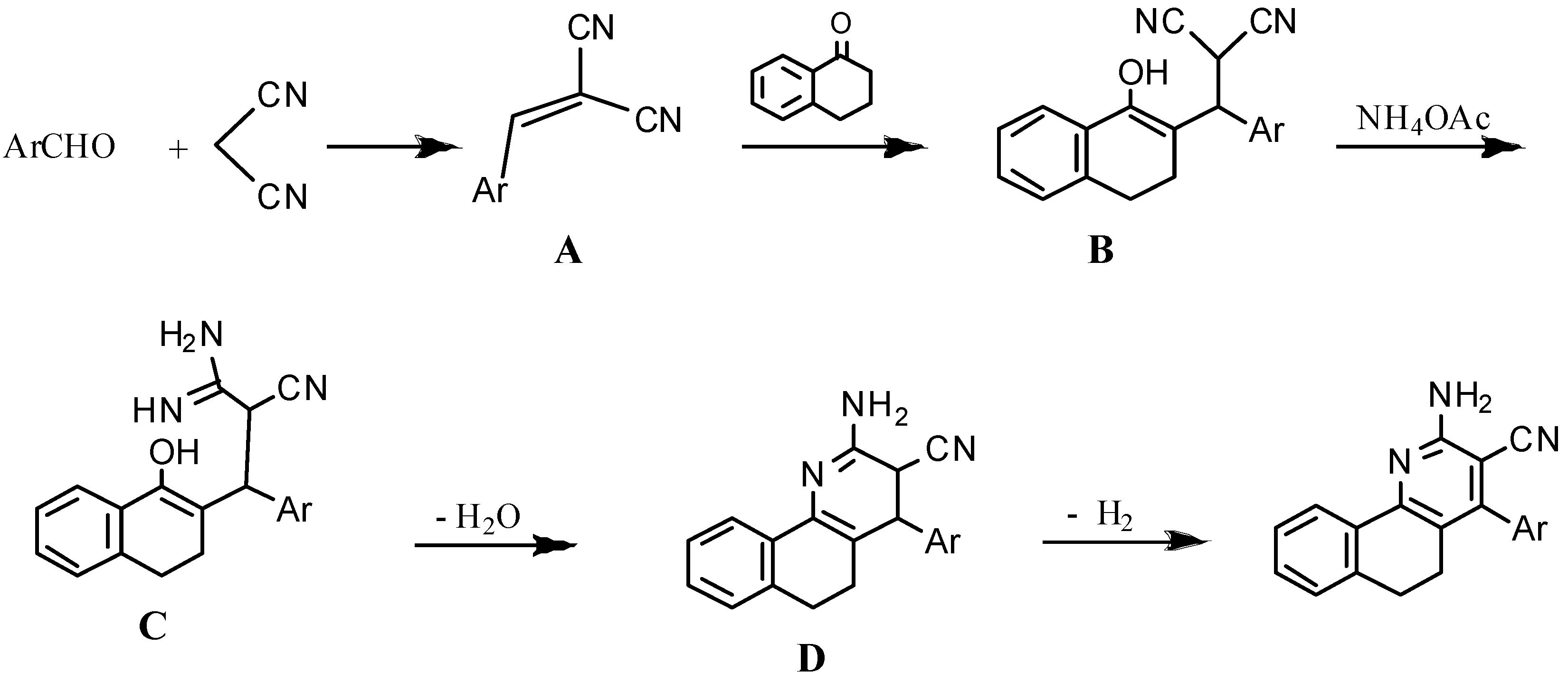
3.1.1. 3-Amino-1-substituted-9,10-dihydrophenanthrene-2,4-dicarbonitriles 1–5
3.1.2. 3-Amino-1-substituted-9,10-dihydrophenanthrene-2,4-dicarbonitriles 6 and 7 and 2-Amino-4- substituted-5,6-dihydrobenzo[h]quinoline-3-carbonitriles 8 and 9
3.1.3. 3-(N,N-Diacetylamino)-1-(4-bromophenyl)-9,10-dihydrophenanthrene-2,4-dicarbonitriles 10–13
3.2. Biological Activity Evaluation
3.2.1. Anti-Microbial Activity Procedure
4. Conclusions
Acknowledgments
Conflicts of Interest
References
- Huffmann, C.W.; Traxler, J.T.; Krbechek, L.; Riter, R.R.; Wagner, R.G. Syntheses of halogenated phenanthrene amino alcohols as antimalarials. J. Med. Chem. 1971, 14, 90–94. [Google Scholar] [CrossRef]
- Wilson, S.; Ruenitz, P.C. Structural characterization and biological effects of photocyclized products of tamoxifen irradiation. J. Pharm. Sci. 1993, 82, 571–574. [Google Scholar] [CrossRef]
- Fisch, M.H.; Flick, B.H.; Arditti, J. Structure and antifungal activity of hircinol, loroglossol and orchinol. Phytochemistry 1973, 12, 437–441. [Google Scholar] [CrossRef]
- Kelly, T.R.; Li, Q.; Bhushan, V. Intramolecular biaryl coupling: Asymmetric synthesis of the chiral b-ring diol unit of pradimicinone. Tetrahedron Lett. 1990, 31, 161–164. [Google Scholar] [CrossRef]
- Hoshino, H.; Seki, J.-I.; Takeuchi, T. New Antifungal Antibiotics, benanomocins A and B inhibit infection of T-cell with human immunodeficiency virus (HIV) and syncytium formation by HIV. J. Antibiot. 1989, 42, 344–346. [Google Scholar] [CrossRef]
- Cannon, J.G.; Khonje, P.R.; Long, J.P. Centrally acting emetics. 9. Hofmann and Emde degradation products of nuciferine. J. Med. Chem. 1975, 18, 110–112. [Google Scholar] [CrossRef]
- Wang, K.; Hu, Y.; Liu, Y.; Mi, N.; Fan, Z.; Liu, Y.; Wang, Q. Design, synthesis, and antiviral evaluation of phenanthrene-based tylophorine derivatives as potential antiviral agents. J. Agric. Food Chem. 2010, 58, 12337–12342. [Google Scholar] [CrossRef]
- Bordat, P.; Tarroux, R.; Charveron, M.; David, B. Phenanthrene Derivatives, Their Synthesis, Anti-Inflammatory Activity, and Use in Treating Inflammatory Skin Diseases. France Demande WO Patent 2006089881, 2006. [Google Scholar]
- Kupchan, S.M.; Wormser, H.C. Tumor inhibitors. X. Photochemical synthesis of phenanthrenes. Synthesis of aristolochic acid and related compounds. J. Org. Chem. 1965, 30, 3792–3800. [Google Scholar] [CrossRef]
- Kovacs, A.; Forgo, P.; Zupko, I.; Rethy, B.; Falkay, G.; Szabo, P.; Hohmann, J. Phenanthrenes and a dihydrophenanthrene from Tamus communisand their cytotoxic activity. Phytochemistry 2007, 68, 687–691. [Google Scholar] [CrossRef]
- Dellagreca, M.; Fiorentinob, A.; Isidorib, M.; Lavorgna, M.; Monaco, P.; Previtera, L.; Zarrelli, A. Phenanthrenoids from the wetland Juncus acutus. Phytochemistry 2002, 60, 633–638. [Google Scholar] [CrossRef]
- Boger, D.L.; Mullican, M.D. Regiospecific total synthesis of juncusol. J. Org. Chem. 1984, 49, 4045–4050. [Google Scholar] [CrossRef]
- Floyd, A.J.; Dyke, S.F.; Ward, S.E. The synthesis of phenanthrenes. Chem. Rev. 1976, 76, 509–562. [Google Scholar] [CrossRef]
- Orchin, M.; Woolfolk, E.O. Aromatic cyclodehydrogenation. I. 4-Methylfluorene from 2,2'-Dimethylbiphenyl. J. Am. Chem. Soc. 1945, 67, 122–124. [Google Scholar] [CrossRef]
- Ram, V.J.; Goel, A. An Expeditious synthesis of 9,10-Dihydrophenanthrene by condensation of 2H-Pyran-2-ones with α-Tetralone. J. Chem. Res. (S) 1997. [Google Scholar] [CrossRef]
- Erdman, H.; Ronlan, A. Phenol dehydrogenation. Part 11. Intramolecular oxidative coupling of dihydropiceatannol. Acta Chem. Scand. 1969, 23, 249–254. [Google Scholar] [CrossRef]
- Gilchrist, T.L.; Summersell, R.J. Synthesis of chrysenes and other a-fused phenanthrenes by a palladium(0) coupling—Electrocyclic ring closure sequence. J. Chem. Soc. Perkin Trans. 1988, 1, 2595–2601. [Google Scholar] [CrossRef]
- Rabideau, P.W.; Marcinow, Z. Silicon modified reduction and reductive alkylation-application to the phenanthrene system. Tetrahedron Lett. 1988, 29, 3761–3764. [Google Scholar] [CrossRef]
- Bowden, B.F.; Read, R.W.; Ritchie, E.; Taylor, W.C. Synthesis of 9,10-dihydrophenanthrenes including orchinol methyl ether. Aust. J. Chem. 1975, 28, 65–80. [Google Scholar] [CrossRef]
- Pratap, R.; Ram, V.J. An efficient de novo synthesis of partially reduced phenanthrenes through C−C insertion. J. Org. Chem. 2007, 72, 7402–7405. [Google Scholar] [CrossRef]
- Catellani, M.; Motti, E.; Baratta, S. A novel palladium-catalyzed synthesis of phenanthrenes from ortho-Substituted Aryl Iodides and Diphenyl- or Alkylphenylacetylenes. Org. Lett. 2001, 3, 3611–3614. [Google Scholar] [CrossRef]
- Paredes, E.; Biolatto, B.; Kneetmann, M.; Mancini, P. One-step synthesis of 2,9-disubstituted phenanthrenes via Diels-Alder reactions using 1,4-disubstituted naphthalenes as dienophiles. Tetrahedron Lett. 2002, 43, 4601–4603. [Google Scholar] [CrossRef]
- Almedida, J.F.; Castedo, L.; Fernandez, D.; Neo, A.G.; Romero, V.; Tojo, G. Base-induced photocyclization of 1,2-Diaryl-1-tosylethenes. A mechanistically novel approach to phenanthrenes and phenanthrenoids. Org. Lett. 2003, 5, 4939–4941. [Google Scholar] [CrossRef]
- Katz, T.J.; Sivavec, T.M. Metal-catalyzed rearrangement of alkene-alkynes and the stereochemistry of metallacyclobutene ring opening. J. Am. Chem. Soc. 1985, 107, 737–738. [Google Scholar] [CrossRef]
- Furstner, A.; Mamane, V. Flexible synthesis of phenanthrenes by a PtCl2-Catalyzed cycloisomerization reaction. J. Org. Chem. 2002, 67, 6264–6267. [Google Scholar] [CrossRef]
- Ram, V.J.; Nath, M.; Srivastava, P.; Sharkhel, S.; Maulik, P.R. A facile access to the synthesis of functionalised unsymmetrical biaryls from 2H-pyran-2-ones through carbanion induced C–C bond formation. J. Chem. Soc. Perkin Trans. 2000, 1, 3719–3723. [Google Scholar]
- Aly, A.S.; El-Ezabawy, S.R.; Abdel-Fattah, A.M. Reactions with α-substituted cinnamonitriles: Synthesis of benzo[h]quinolines and naphtho[1,2, b] pyrans. Egypt. J. Pharm. Sci. 1991, 32, 827–834. [Google Scholar]
- Al-Mutairi, T.M.; Al-Hazimi, H.M.; El-Baih, F.E.M. One-pot multicomponent synthesis of some 5,6-dihydro-benzo[h]quinoline derivatives. J. Saudi Chem. Soc. 2009, 13, 199–207. [Google Scholar] [CrossRef]
- Asiri, A.M.; Faidallah, H.M.; Al-Youbi, A.O.; Ng, S.W. 3-Amino-1-(4-bromophenyl)-9,10-dihydrophenanthrene-2,4-dicarbonitrile. Acta Crystallogr. Sect. E Struct. Rep. Online 2011, E67, o2745. [Google Scholar]
- Asiri, A.M.; Al-Youbi, A.O.; Faidallah, H.M.; Ng, S.W.; Tiekink, E.R.T. 3-Amino-1-(4-methoxyphenyl)-9,10-dihydrophenanthrene-2,4-dicarbonitrile. Acta Crystallogr. Sect. E Struct. Rep. Online 2011, E67, o2449. [Google Scholar]
- Asiri, A.M.; Al-Youbi, A.O.; Faidallah, H.M.; Ng, S.W.; Tiekink, E.R.T. 3-Amino-1-(2H-1,3-benzodioxol-5-yl)-9,10-dihydrophenanthrene-2,4-dicarbonitrile. Acta Crystallogr. Sect. E Struct. Rep. Online 2011, E67, o2438. [Google Scholar]
- Al-Youbi, A.O.; Asiri, A.M.; Faidallah, H.M.; Ng, S.W.; Tiekink, E.R.T. 3-Amino-1-(3,4-dimethoxyphenyl)-9,10-dihydrophenanthrene-2,4-dicarbonitrile. Acta Crystallogr. Sect. E Struct. Rep. Online 2012, E68, o1027–o1028. [Google Scholar]
- Asiri, A.M.; Faidallah, H.M.; Alamry, K.A.; Ng, S.W.; Tiekink, E.R.T. 3-Amino-1-(3,4-dimethoxyphenyl)-9,10-dihydrophenanthrene-2,4-dicarbonitrile. Acta Crystallogr. Sect. E Struct. Rep. Online 2012, E68, o1118–o1119. [Google Scholar]
- Asiri, A.M.; Al-Youbi, A.O.; Faidallah, H.M.; Ng, S.W. 2-Amino-4-(4-chlorophenyl)-5,6-dihydrobenzo[h]quinoline-3-carbonitrile–3-amino-1-(4-chlorophenyl)-9,10-dihydrophenanthrene-2,4-dicarbonitrile (1/4). Acta Crystallogr. Sect. E Struct. Rep. Online 2011, E67, o2874. [Google Scholar]
- Asiri, A.M.; Al-Youbi, A.O.; Faidallah, H.M.; Ng, S.W. 2-Amino-4-phenyl-5,6-dihydrobenzo-[h]quinoline-3-carbonitrile–3-amino-1-phenyl-9,10-dihydrophenanthrene-2,4-dicarbonitrile (5/3). Acta Crystallogr. Sect. E Struct. Rep. Online 2011, E67, o2872. [Google Scholar]
- Asiri, A.M.; Faidallah, H.M.; Al-Thabaiti, S.A.; Ng, S.W.; Tiekink, E.R.T. N-Acetyl-N-[2,4-dicyano-1-(4-methoxyphenyl)-9,10-dihydrophenanthren-3-yl]acetamide. Acta Crystallogr. Sect. E Struct. Rep. Online 2012, E68, o1177–o1178. [Google Scholar]
- El-Baih, F.E.M. Synthesis of some Naphtho[1,2-b]Pyran, Naphtho[1,2-d]Pyrimidine and Benzo[h]Quinoline derivatives. J. Saudi Chem. Soc. 2004, 8, 279–288. [Google Scholar]
- El-Baih, F.E.M.; Al-Rasheed, H.H.; Al-Hazimi, H.M. Synthesis of some pyridine and pyrimidine derivatives via michael-addition. J. Saudi Chem. Soc. 2006, 9, 575–596. [Google Scholar]
- Otto, H.H.; Schmelz, H. Reaktionen von arylidentetralonen mit cyanessigsäurederivaten. Monatsh. Chem. 1979, 110, 249–256. [Google Scholar] [CrossRef]
- Bedair, A.H.; El-Hady, N.A.; Abd El-Latif, M.S.; Fakery, A.H.; El-Agrody, A.M. 4-Hydroxycoumarin in heterocyclic synthesis: Part III. Synthesis of some new pyrano[2,3-d]pyrimidine, 2-substituted[1,2,4]triazolo[1,5-c]pyrimidine and pyrimido[1,6-b][1,2,4]triazine derivatives. Il Farmaco 2000, 55, 708–714. [Google Scholar] [CrossRef]
- Kirkpatrick, W.R.; Turner, T.M.; Fothergill, A.W.; McCarthy, D.I.; Redding, S.W.; Rinaldi, M.G.; Patterson, T.F. Fluconazole disk diffusion susceptibility testing of Candida species. J. Clin. Microbiol. 1998, 36, 3429–3432. [Google Scholar]
- Premkumar, T.; Govindarajan, S. Antimicrobial study of pyrazine, pyrazole and imidazole carboxylic acids and their hydrazinium salts. World J. Microbiol. Biotechnol. 2005, 21, 479–480. [Google Scholar] [CrossRef]
- Sample Availability: Samples of the compounds 1–13 are available from the authors.
© 2013 by the authors; licensee MDPI, Basel, Switzerland. This article is an open access article distributed under the terms and conditions of the Creative Commons Attribution license (http://creativecommons.org/licenses/by/3.0/).
Share and Cite
Faidallah, H.M.; Al-Shaikh, K.M.A.; Sobahi, T.R.; Khan, K.A.; Asiri, A.M. An Efficient Approach to the Synthesis of Highly Congested 9,10-Dihydrophenanthrene-2,4-dicarbonitriles and Their Biological Evaluation as Antimicrobial Agents. Molecules 2013, 18, 15704-15716. https://doi.org/10.3390/molecules181215704
Faidallah HM, Al-Shaikh KMA, Sobahi TR, Khan KA, Asiri AM. An Efficient Approach to the Synthesis of Highly Congested 9,10-Dihydrophenanthrene-2,4-dicarbonitriles and Their Biological Evaluation as Antimicrobial Agents. Molecules. 2013; 18(12):15704-15716. https://doi.org/10.3390/molecules181215704
Chicago/Turabian StyleFaidallah, Hassan M., Khalid M. A. Al-Shaikh, Tariq R. Sobahi, Khalid A. Khan, and Abdullah M. Asiri. 2013. "An Efficient Approach to the Synthesis of Highly Congested 9,10-Dihydrophenanthrene-2,4-dicarbonitriles and Their Biological Evaluation as Antimicrobial Agents" Molecules 18, no. 12: 15704-15716. https://doi.org/10.3390/molecules181215704
APA StyleFaidallah, H. M., Al-Shaikh, K. M. A., Sobahi, T. R., Khan, K. A., & Asiri, A. M. (2013). An Efficient Approach to the Synthesis of Highly Congested 9,10-Dihydrophenanthrene-2,4-dicarbonitriles and Their Biological Evaluation as Antimicrobial Agents. Molecules, 18(12), 15704-15716. https://doi.org/10.3390/molecules181215704
