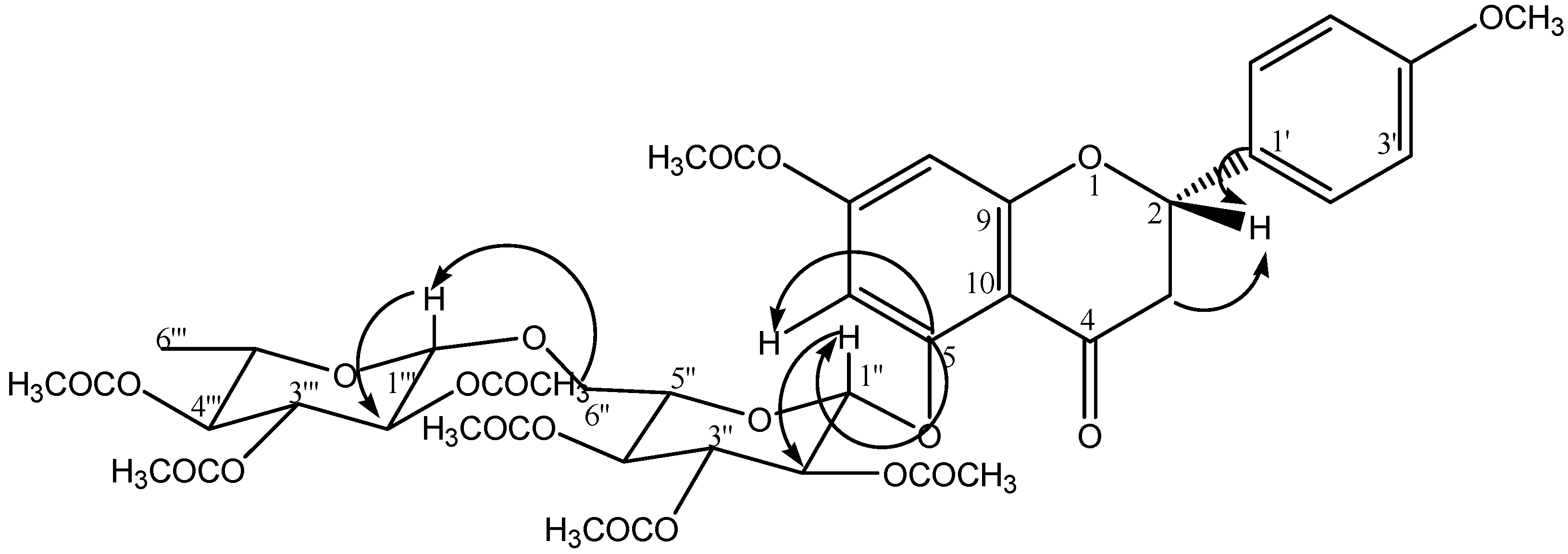
Isosakuranetin-5-O-rutinoside: A New Flavanone with Antidepressant Activity Isolated from Salvia elegans Vahl.
- Supplementary File 1:
Supplementary Materials (PDF, 471 KiB)
González-Cortazar, M.; Maldonado-Abarca, A.M.; Jiménez-Ferrer, E.; Marquina, S.; Ventura-Zapata, E.; Zamilpa, A.; Tortoriello, J.; Herrera-Ruiz, M. Isosakuranetin-5-O-rutinoside: A New Flavanone with Antidepressant Activity Isolated from Salvia elegans Vahl. Molecules 2013, 18, 13260-13270. https://doi.org/10.3390/molecules181113260
González-Cortazar M, Maldonado-Abarca AM, Jiménez-Ferrer E, Marquina S, Ventura-Zapata E, Zamilpa A, Tortoriello J, Herrera-Ruiz M. Isosakuranetin-5-O-rutinoside: A New Flavanone with Antidepressant Activity Isolated from Salvia elegans Vahl. Molecules. 2013; 18(11):13260-13270. https://doi.org/10.3390/molecules181113260
Chicago/Turabian StyleGonzález-Cortazar, Manáses, Ana M. Maldonado-Abarca, Enrique Jiménez-Ferrer, Silvia Marquina, Elsa Ventura-Zapata, Alejandro Zamilpa, Jaime Tortoriello, and Maribel Herrera-Ruiz. 2013. "Isosakuranetin-5-O-rutinoside: A New Flavanone with Antidepressant Activity Isolated from Salvia elegans Vahl." Molecules 18, no. 11: 13260-13270. https://doi.org/10.3390/molecules181113260


