Next Article in Journal
Synthesis and Structural Characterization of Fluorinated Thiosemicarbazones
Previous Article in Journal
Synthesis of Laboratory Ultrasound Contrast Agents
 
 
Font Type:
Arial Georgia Verdana
Font Size:
Aa Aa Aa
Line Spacing:
Column Width:
Background:
Article

Non-Classical Transformation of Benzendiazonium Hydrogen Sulfates. Access to 1,3-Dimethylisochromeno[4,3-c]pyrazol-5(1H)-one, a Potential Benzodiazepine Receptor Ligand

Dipartimento di Scienze e Tecnologie Biologiche Chimiche e Farmaceutiche, Università degli Studi di Palermo, Via Archirafi, 32, 90123-Palermo, Italy
*
Author to whom correspondence should be addressed.
Molecules 2013, 18(10), 13096-13110; https://doi.org/10.3390/molecules181013096
Submission received: 13 September 2013 / Revised: 12 October 2013 / Accepted: 15 October 2013 / Published: 22 October 2013
(This article belongs to the Section Organic Chemistry)

Abstract

:
The compound 2-((1,3-dimethyl-1H-pyrazol-5-yl)(methyl)carbamoyl)benzene-diazonium hydrogen sulfate (10) was reacted with copper sulfate and sodium chloride, in the presence of ascorbic acid as reducing agent, to afford a mixture of the chlorinated epimers 4′-chloro-2,2′,5′-trimethyl-2′,4′-dihydrospiro[isoindoline-1,3′-pyrazol]-3-one (18) and (19), the epimers 4′-hydroxy-2,2′,5′-trimethyl-2′,4′-dihydrospiro[isoindoline-1,3′-pyrazol]-3-one (20) and (21), and N-(1,3-dimethyl-1H-pyrazol-5-yl)benzamide (22). Under the foregoing conditions, diazonium salt 10 affords neither the 2-chloro-N-(1,3-dimethyl-1H-pyrazol-5-yl)-N-methylbenzamide (23) nor the tricyclic derivative 24, the classical products of the Sandmeyer and Pschorr reactions, respectively. Finally, by heating 20 at 210 °C the compound 1,3-dimethylisochromeno[4,3-c]pyrazol-5(1H)-one (24) was obtained. The transformation under the above conditions of 2-((4-chloro-3-methyl-1-phenyl-1H-pyrazol-5-yl)(methyl)carbamoyl)benzendiazonium hydrogen sulphate (11) afforded 4′,4′-dichloro-2,5′-dimethyl-2′-phenyl-2′,4′-dihydrospiro[isoindoline-1,3′-pyrazol]-3-one (29) as the sole reaction product.

Graphical Abstract

1. Introduction

Previously we reported the transformation of diazonium hydrogen sulphate 2 derived from 2-amino-N-methyl-N-(3-methyl-1-phenyl-1H-pyrazol-5-yl)benzamide (1). This reaction was carried out with CuSO4 and NaCl, in the presence of ascorbic acid as a reducing agent [1] (Scheme 1). The above mixture was used earlier by Hanson and co-workers [2] to perform the Sandmeyer reaction on 4-chlorobenzendiazonium chloride in a homogeneous aqueous phase. Ascorbic acid reduces Cu(II) to Cu(I) which, in turn, reduces the diazonium ion to a diazenyl radical. The latter intermediate decomposes to dinitrogen and the phenyl radical. Copper(II) ions form complexes with chloride ions which are able to transfer a chloro radical to the 4-chlorophenyl by a ligand transfer process to afford 1,4-dichlorobenzene [2]. The diazonium hydrogen sulfate 2 afforded neither the chloro derivative 3, the product of the classical Sandmeyer reaction, nor the tricyclic derivative 9, the expected product of the competitive Pschorr ring closure, and instead we obtained epimers 7 and 8 [1].
Scheme 1. Transformation of the diazonium salt 2 by reaction with CuSO4/NaCl/ascorbic acid.
Scheme 1. Transformation of the diazonium salt 2 by reaction with CuSO4/NaCl/ascorbic acid.
Molecules 18 13096 g002
Recently a re-investigation of the transformation reaction of diazonium salt 2 in the presence of CuSO4/NaCl/ascorbic acid has allowed to establish that a demethylation process also takes place to give N-(3-methyl-1-phenyl-1H-pyrazol-5-yl)benzamide 4 (for the mechanism see Scheme 5, below). Moreover, trace amounts of the hydroxy spiro derivatives 5 and 6 [1] were detected by TLC analysis. In our continuing research on this reaction [1,3,4,5], we became interested in investigating the behaviour of substrates possessing an alkyl group, such as methyl, in lieu of the pyrazole N-phenyl, as well as a substituent at the 4-position of the pyrazole nucleus, in order to verify whether such modifications are able to influence the course of the reaction. In fact, phenyl and methyl groups exert different electronic as well as steric effects on the pyrazole ring. Moreover, electronic and steric effects engendered by the substituent at the 4-position of the pyrazole nucleus could also affect the reaction outcome. Here, we describe the CuSO4/ascorbic acid-catalyzed decomposition in the presence of NaCl of the diazonium hydrogen sulfates 10 and 11 (Figure 1). These intermediates bear a methyl group or a chloro atom on the pyrazole nucleus, at positions 1 or 4, respectively.
Figure 1. Diazonium hydrogen sulfates 2, 10 and 11.
Figure 1. Diazonium hydrogen sulfates 2, 10 and 11.
Molecules 18 13096 g001

2. Results and Discussion

Benzendiazonium hydrogen sulfates derivatives 10 and 11 were prepared following Scheme 2 and Scheme 3.
Scheme 2. Preparation of the amino derivative 17 and its transformation.
Scheme 2. Preparation of the amino derivative 17 and its transformation.
Molecules 18 13096 g003
Scheme 3. Preparation of the amino derivative 28 and its transformation.
Scheme 3. Preparation of the amino derivative 28 and its transformation.
Molecules 18 13096 g004
The amine 12 was reacted with acetic anhydride to give the acetamide derivative 13 which, in turn, was methylated with methyl iodide (Scheme 2). The obtained di-substituted acetamide derivative 14 was hydrolyzed with a potassium hydroxide ethanol-water solution to give the pyrazol-5-amine 15.
Condensation of 15 with 2-nitrobenzoyl chloride afforded the 2-nitrobenzamide derivative 16 which was reduced with hydrogen in the presence of palladium/activated charcoal catalyst to give the 2-amino-N-methylbenzamide derivative 17, diazotization of which produced the diazonium hydrogen sulfate 10. Exposure of 10 to CuSO4/NaCl/ascorbic acid, as seen earlier for 2, afforded a mixture of the chlorinated epimers (1S,4′R)- (or (1S,4′S)-) and (1S,4′S)- (or (1S,4′R)-) 18 and 19, respectively, and the hydroxyl epimers (1S,4′R)- (or (1S,4′S)-) and (1S,4′S)- (or (1S,4′R)-) 20 and 21, together obviously with the related enantiomers (not represented in the Schemes), and the benzamide derivative 22. Finally, no evidence was obtained for the formation of the chloro derivative 23, the product of the classical Sandmeyer reaction, as well as of 1,3,4-trimethylpyrazole[3,4-c]isoquinoline-5(4H)-one (24), the expected product of a possible competing Pschorr ring closure.
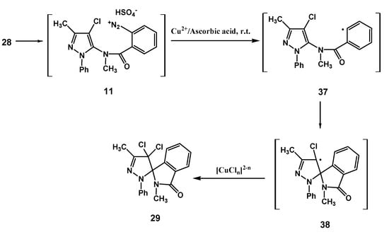
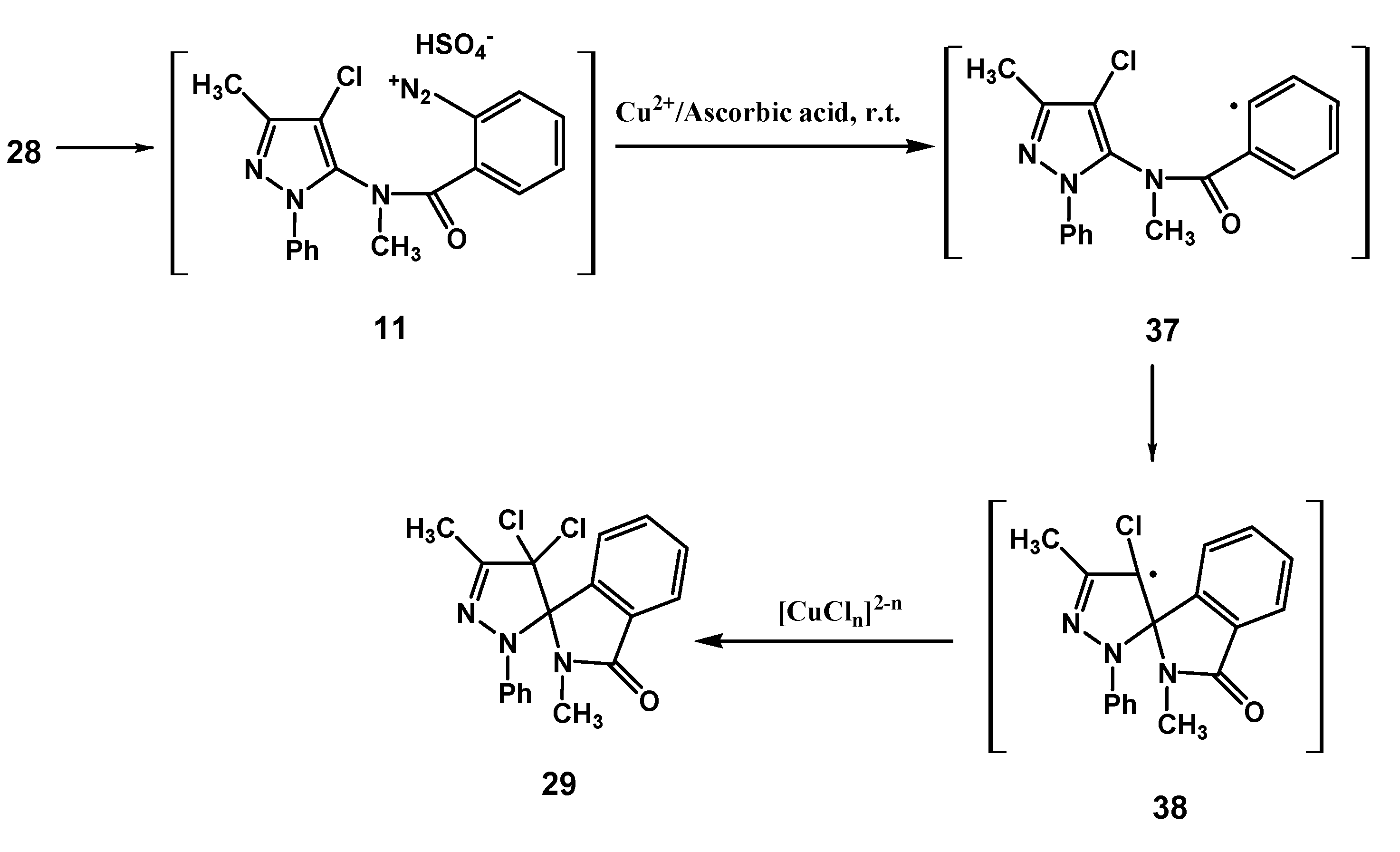
The preparation of substrate 11 started with the reaction of the 2-nitrobenzamide derivative 25 with a seven-fold excess of nitrous acid in acetic acid, resulting in the direct introduction of a diazo group at the 4-position of the pyrazole nucleus [6,7] (Scheme 3). The transformation in situ of the diazonium salt 26 into the chloro derivative 27 was performed with CuSO4, NaCl and ascorbic acid [1,2]. Compound 27 was then reduced with iron in acetic acid, and the aniline derivative 28 thus obtained was diazotized to furnish 11.
The reaction of this diazonium salt under the same conditions employed earlier for 2 and 10 afforded the dichloro spiro derivative 29, as the sole product of reaction (Scheme 3). Compound 29 was then converted into dione derivative 31, possibly via intermediate 30, upon refluxing in water. The new compounds were characterized by means of analytical and spectral data. The relative configuration of the pyrazoline C(4′)-atom of the spiro-compounds 1821 were not determined. The work up of the reaction mixture obtained by transformation of 10 did not allow us to isolate the epimers 18 and 19. The 1H-NMR spectrum of the obtained mixture showed singlets at 2.05, 2.07, 2.37, 2.44, 2.79 and 2.81 ppm, as well as at 5.54 and 5.83 ppm (ratio 1:2.25), consistent with the methyls and the pyrazoline H-4 of both epimers. On the contrary, epimers 20 and 21 were obtained as single compounds. The 1H-NMR spectrum of 20 showed three singlets at 1.94, 2.34 and 2.78 ppm, attributable to three methyls, and two doublets centered at 5.11 and 6.12 ppm for the pyrazoline H-4 and OH-4, respectively. Upon D2O exchange the OH signal in the the spectrum disappeared, and the H-4 doublet collapsed to a singlet. The IR spectrum confirmed the presence of the pyrazoline hydroxyl by the absorption band at 3,263 cm−1. The epimer 21 produced very similar IR and 1H-NMR spectra. The analogous compounds 22 and 4 were identified by comparison of their physical and spectroscopic data with authentic specimens (see the Experimental Section).
As regards 29, the 1H-NMR spectrum showed signals at 2.38 and 2.66 ppm for two methyls, as well as those in the range 6.70–7.96 ppm for nine aromatic protons. The assigned structure of compound 29 was confirmed by its 13C-NMR spectrum and by its chemical modification. In fact, the action of water on compound 29 afforded a product which was identical in all respects (mixed melting point, TLC, MS, IR) to dione derivative 31 [1].
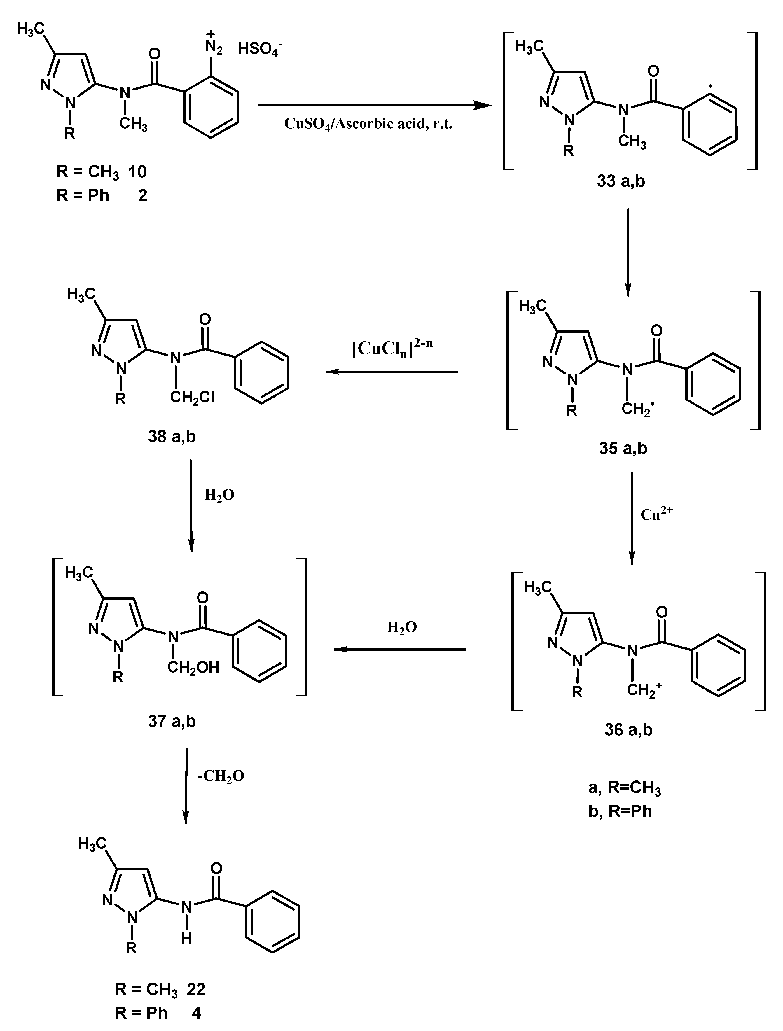
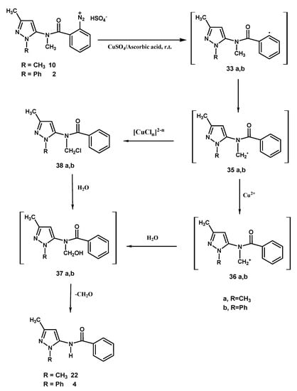
Rationalization of the formation of 18, 19, 20, 21 and 4, 22 is outlined in the Scheme 4 and Scheme 5. Formation of the chloro epimers 18 and 19 from 10 takes place via the intermediates 33 and 34 (Scheme 4). The latter transforms to 18 and 19 by a chloro transfer process from copper(II)-chloro complexes [1,2]. As regards the hydroxy spiro epimers 20 and 21, they might be afforded by two different mechanisms: by transfer of H2O+ from the hydratation shell of the aqueous copper(II)-complex [8] to radical spiro intermediate 34, or by nucleophilic replacement of the chloro atom in 18 and 19 by attack of a molecule of water. We noted that the chloro epimers 7, 8 (Scheme 1) and 18, 19 (Scheme 2) were obtained as precipitates from the solutions of diazonium salts 2 and 10 respectively, being the yield for 7, 8 [1] quite higher than that of 18, 19 (45% versus 8%). Moreover, extraction of the mother liquors of the above reaction mixtures of 2 and 10 allowed us to obtain hydroxy spiro epimers only in the case of 10 (that is 20 and 21, yield 7%). Instead, only trace amounts of the hydroxy spiro epimers 5, 6 could be detected by TLC in the crude mixture of 7, 8. We also observed that the mixture of 18 and 19 could be transformed in 20 and 21 when it was reacted with cold (5 °C) 0.09 M sulfuric acid solution, where 18, 19 slowly dissolved, allowing the mixture to stand at r.t. for 1 h, mimicking thus the pH conditions of the reaction medium in which 10 transformed. When the same experiment was performed with the mixture of 7 and 8 no dissolution of the epimers in the acidic medium was observed. The suspension was extracted with ethyl acetate, and TLC of the extract did not reveal any transformation to give 5 and 6. At this point we realized that the low yield for 18, 19 is due to their solubility in the reaction medium, where they undergo a nucleophilic substitution by attack of a molecule of water to afford the hydroxy spiro epimers 20 and 21. Nevertheless, a radical transfer process of H2O+ to the spiro intermediate 34 to give 20, 21 can’t be ruled out (Scheme 4).
Scheme 4. Suggested mechanism for the transformation of 10.
Scheme 4. Suggested mechanism for the transformation of 10.
Molecules 18 13096 g005
The latter process can be invoked for the formation of the trace amounts of 5 and 6. Lastly, compounds 4 and 22 (Scheme 5) could be justified by considering a 1,5-hydrogen atom transfer process affording the radical intermediates 35a,b which possibly undergo oxidation by cupric ions [9] to give carbocations 36a,b. The oxidation process would probably be favoured by the resonance stability of 36a,b, but the direct ligand radical transfer route from 35a,b to 38a,b cannot be ruled out. Intermediates 36a,b and 38a,b react with water affording the unstable compounds 37a,b which by loss of formaldehyde transform into benzamide derivatives 22 and 4, respectively.
Considering all the above data we concluded that the apparent different chemical behaviour between diazonium salts 2 and 10 is due to different solubilities of phenyl- and methyl-substituted chloro epimers, rather than to any electronic and steric effects of the N-phenyl- or N-methyl-pyrazole substituents.
As regards the transformation of the diazonium salt 11, performed under the identical conditions followed for the chemical analogues 10 and 2, the production of the dichloro spiro compound 29 was observed, which demonstrates that substitution at the 4-position of the pyrazoline nucleus does not hinder the ligand radical transfer process from the copper(II)-chloro complex to radical species 38 (Scheme 6).
Scheme 5. 1,5-hydrogen atom transfer by -reaction in the transformation of diazonium salts 10, 2.
Scheme 5. 1,5-hydrogen atom transfer by -reaction in the transformation of diazonium salts 10, 2.
Molecules 18 13096 g006
Scheme 6. Suggested mechanism for the transformation of 11.
Scheme 6. Suggested mechanism for the transformation of 11.
Molecules 18 13096 g007
The spiro compound 20 proved to be a useful intermediate since it was transformed by heating at 210 °C into 1,3-dimethylisochromeno[4,3-c]pyrazol-5(1H)-one (39) (Scheme 7). The latter compound has the potential as a benzodiazepine receptor ligand. In fact, this compound shows two hydrogen bond acceptor atoms at the distance of about 3.5 Å, that is the isochromene oxygen and the nitrogen at position 2 of the pyrazole nucleus, which are mandatory in the molecule for a good affinity at the benzodiazepine binding site [10].
Scheme 7. Transformation of 20 by fusion.
Scheme 7. Transformation of 20 by fusion.
Molecules 18 13096 g008

3. Experimental

3.1. General

Reaction progress was monitored by TLC on silica gel plates (Merck 60, F254, 0.2 mm). Organic solutions were dried over Na2SO4. Evaporation refers to the removal of solvent on a rotary evaporator under reduced pressure. All melting points were determined on a Büchi 530 capillary melting point apparatus and are uncorrected. IR spectra were recorded with a Perkin Elmer Spectrum RXI FT-IR System spectrophotometer as solid in KBr disc. 1H-NMR and 13C-NMR spectra were obtained in CDCl3 or DMSO-d6 at 300.13 and 75.47 MHz respectively, using a Bruker AC series 300 MHz spectrometer (tetramethylsilane as an internal standard): chemical shifts are expressed in ppm values. Mass spectra at 70 eV were obtained using an Autospec Ultima Ortogonal T.O.F.T. (Micromass) spectrometer. Merck silica gel (Kiesegel 60/230-400 mesh) was used for flash chromatography columns. Microanalyses data (C, H, N) were obtained by an Elemental Vario EL. III apparatus and are within ±0.4% of the theoretical values. Yields refer to products after one crystallization. The names of the compounds were obtained using the Chem Draw 9.0.1 software of Cambridge Soft (Cambridge MA, USA).

3.2. Preparation of N-(1,3-Dimethyl-1H-pyrazol-5-yl)acetamide (13)

This compound was prepared following a literature method [11] modified by us: 1,3-dimethyl-1H-pyrazol-5-amine (12, 11.4 g, 0.102 mol) was reacted under stirring at r.t. with acetic anhydride (45 mL) for 24 h. After this time the solution was evaporated to give an oily residue which solidified when treated with triturated ice (20 g) and scraped. After filtration the material was air dried and crystallized from ethyl acetate/petroleum ether (b.p. 40–70 °C) to give 13 in 70% yield; mp: 43–45 °C; IR (KBr, cm−1): 3,123 (broad, NH), 1,667 (CO); 1H-NMR (DMSO-d6, ppm): 2.04 (3H, s, CH3); 2.07 (3H, s, CH3); 3.55 (3H, s, CH3); 5.95 (1H, s, pyrazole H-4); 9.84 (1H, s, exchangeable with D2O, NH); Anal. Calcd. for C7H11N3O (153.18) : C, 54.89%; H, 7.24%; N, 27.43%. Found: C, 54.51%; H, 6.86%; N, 27.28%.

3.3. Preparation of N-(1,3-Dimehyl-1H-pyrazol-5-yl)-N-methylacetamide (14)

To a solution of N-(1,3-dimethyl-1H-pyrazol-5-yl)acetamide (13, 1 g, 6.5 mmol) in hot acetone (26 mL) was added KOH (1.58 g), and the mixture was refluxed for 10 min. After this time CH3I (0.67 mL, 10 mmol) in acetone (4 mL) was added and reflux was continued for one hour. The mixture was filtered, and evaporation of the filtrate afforded a residue which was treated with water (20 mL) and extracted with diethyl ether (4 × 20 mL). The combined ether extracts were evaporated to give a solid residue which was crystallized from ethyl acetate affording compound 14 as colorless crystals in 46% yield, mp: 128–130 °C. MS (m/z): 167 (M+); IR (KBr, cm−1): 1,681 (CO); 1H-NMR (DMSO-d6, ppm): 1.75 (3H, s, CH3); 2.12 (3H, s, CH3); 3.03 (3H, s, CH3); 3.57 (3H, s, CH3); 6.04 (1H, s, pyrazole H-4). 13C-NMR (DMSO-d6) (ppm): 13.79 (CH3), 21.39 (CH3), 34.54 (CH3), 35.39 (CH3), 101.50 (CH), 141.83 (C), 146.30 (C), 169.82 (CO); Anal. Calcd. for C8H13N3O (167.21) : C, 57.46%; H, 7.84%; N, 25.13%. Found: C, 57.21%; H, 7.90%; N, 24.76%.

3.4. Preparation of N,1,3-Trimethyl-1H-pyrazol-5-amine (15) [12]

To a solution of N-(1,3-dimethyl-1H-pyrazol-5-yl)-N-methylacetamide (14, 7.16 g, 42 mmol) in ethanol (69 mL) was added a 5 N aqueous solution of KOH (40 mL), and the mixture was refluxed for 10 h. After this time the reaction mixture was first filtered and then evaporated under vacuum to give a residue which was extracted with diethyl ether (4 × 90 mL). The combined extracts were evaporated under reduced pressure and the obtained residue was processed by flash chromatography [13]: column external diameter 4 cm, silica gel 0.040–0.063 mm, ethyl acetate/acetone (1:1 v/v ) as eluent (1.5 L), fractions each 50 mL. The first ten fractions were discarded, and fractions 11-25 were evaporated affording pure 15 as a pale yellow oil in 70% yield. IR (KBr, cm−1): 3,228 (NH); 1H-NMR (CDCl3, ppm): 2.18 (3H, s, CH3), 2.80 (3H, s, CH3), 3.53 (4H, s, CH3, NH; 3H after exchange with D2O), 5.27 (1H, s, pyrazole H-4); Anal. Calcd. for C6H11N3 (125.17) : C, 57.57%; H, 8.86%; N, 33.57%. Found: C, 57.21%; H, 8.86%; N, 33.53%.

3.5. Preparation of N-(1,3-dimethyl-1H-pyrazol-5-yl)-N-methyl-2-nitrobenzamide (16)

A solution containing equimolar amounts (6.16 mmol) of N,1,3-trimethyl-1H-pyrazol-5-amine (15) and 2-nitrobenzoyl chloride in dry chloroform (29 mL) was refluxed for 5 h. After the first hour triethylamine (0.86 mL) was added in four portions (0.43 mL; 0.21 mL; 2 × 0.11 mL respectively, with intervals of 1 h between additions). The solution was evaporated under reduced pressure, the residue washed with cold water and extracted with dichloromethane (3 × 50 mL). The combined extracts were dried (sodium sulfate) and the solid residue afforded by evaporation was crystallized from ethyl acetate to give 16, as colorless crystals, in 64% yield, mp 132–133 °C; MS (m/z) 274 (M+); IR (KBr, cm−1): 1,671 (CO); 1H-NMR (CDCl3, ppm): 2.03 (3H, s, CH3), 3.40 (3H, s, CH3), 3.63 (3H, s, CH3), 5.70 (1H, s, pyrazole H-4), 7.29–8.30 (4H, a set of signals, C6H4); 13C-NMR (DMSO-d6, ppm): 13.92 (CH3), 35.35 (CH3), 36.36 (CH3), 102.44 (CH), 124.80 (CH), 128.67 (CH), 131.09 (CH), 132.34 (C), 134.96 (CH), 140.62 (C), 145.49 (C), 146.50 (C), 167.31 (CO); Anal. Calcd. for C13H14N4O3 (274.28) : C, 56.93%; H, 5.14%; N, 20.43%. Found: C, 56.75%; H, 5.13%; N, 20.62%.

3.6. Preparation of 2-Amino-N-(1,3-Dimethyl-1H-pyrazol-5-yl)-N-methylbenzamide (17)

To a solution of N-(1,3-dimethyl-1H-pyrazol-5-yl)-N-methyl-2-nitrobenzamide (16, 3.84 g, 14 mmol) in ethanol (150 mL) was added 10% palladium on activated charcoal catalyst (380 mg). The mixture was reacted with hydrogen in a Parr apparatus at 50 psi for 20 h. After this time the reaction mixture was filtered, and the filtrate was evaporated under vacuum to give an oily residue which was processed by Flash chromatography [13]: column external diameter 4.5 cm, silica gel (0.040-0.063 mm), ethyl acetate as eluent (1.8 L), fractions each 50 mL. The first 17 fractions were discarded. Fractions 18–21 were collected and evaporated under vacuum to afford 17 as a pale yellow pure oil in 44% yield; MS (m/z): 244 (M+); IR (KBr) (cm−1): 3490–3200 (multiple bands, NH2), 1638 (CO); 1H-NMR (CDCl3, ppm): 2.16 (3H, s, CH3), 3.34 (3H, s, CH3), 3.44 (3H, s, CH3), 4.81 (2H, s, NH2, exchangeable with D2O), 5.87 (1H, s, pyrazole H-4), 6.40–7.07 (4H, a set of signals, C6H4); Anal. Calcd. for C13H16N4O (244.29) : C, 63.91%; H, 6.60%; N, 22.93%. Found: C, 64.18%; H, 6.63%; N, 22.67%.

3.7. Preparation of 2-((1,3-Dimethyl-1H-pyrazol-5-yl)(methyl)carbamoyl)benzendiazonium hydrogen sulfate (10)

The pulverized amine 17 (2.07 g, 8.48 mmol) was dissolved in cooled (0–5 °C) aqueous sulfuric acid (5 N) (17 mL), and aqueous sodium nitrite (2.5 M) (3.5 mL) was added dropwise to the stirred solution. The solution was stirred for a further 15 min in the ice bath and was then checked for excess nitrous acid with potassium iodide starch paper; the eventual excess can be destroyed by addition of urea. This solution was utilized in the next step.

3.8. Transformation of the Diazonium Hydrogen Sulphate (10)

To a cold (0–5 °C) solution. (400 mL) of CuSO4·5 H2O (0.3 M) and NaCl (0.75 M), first the soln. of 10, obtained from the previous procedure, and then ascorbic acid (370 mg, 2.11 mmol) were added under stirring. The mixture was stirred for 1 h at r.t. and then filtered. The solid product obtained was washed with cold water, dried in desiccator (anhydrous CaCl2, 24 h) and then crystallized from diethyl ether to give the epimeric mixture of (1S,4′R)- (or (1S,4′S)-) and (1S,4′S)- (or (1S,4′R)-)4′-chloro-2,2′,5′-trimethy-2′,4′-dihydrospiro[isoindoline-1,3′-pyrazol]-3-one (18) and 19, respectively in 8% overall yield; GLC-MS: two peaks, 228 (m/z) for each, (M+-Cl); IR (KBr, cm−1): 1,710 (CO); 1H-NMR (DMSO-d6, ppm): 2.05 (3H, s, CH3), 2.07 (3H, s, CH3), 2.37 (3H, s, CH3), 2.44 (3H, s, CH3), 2.79 (3H, s, CH3), 2.81 (3H, s, CH3), 5.54 (1H, s, pyrazoline H-4); 5.83 (1H, s, pyrazoline H-4); 7.59–7.77 (2 × 4H, a set of signals, 2 × C6H4); Anal. Calcd. for C13H14ClN3O (263.72) : C, 59.21%; H, 5.35%; N, 15.93%. Found: C, 59.28%; H, 5.33%; N, 15.93%.
The mother liquors were saturated with NaCl and extracted with diethyl ether (3 × 100 mL). The combined extracts were dried (Na2SO4) and evaporated under reduced pressure. The oily residue (850 mg) was chromatographed following the flash procedure [13]: external diameter of the column 4.5 cm, silica gel (0.040–0.063 mm), ethyl acetate as eluent (2L), fractions each 50 mL. The initial seven fractions were discarded. Fractions 8 and 9 were evaporated under vacuum to give 130 mg (7%) of pure (1S,4′R)- (or (1S,4′S)-)4′-hydroxy-2,2′,5′-trimethyl-2′,4′-dihydrospiro[isoindole-1,3′-pyrazol]-3(2H)-one (20) as a colourless solid, mp 160–163 °C (ethyl acetate); MS (m/z): 245 (M+), 214 (M+-CH3NH2); IR(KBr, cm−1): 3,263 (OH), 1,671 (CO); 1H-NMR (DMSO-d6, ppm): 1.94 (3H, s, CH3), 2.34 (3H, s, CH3), 2.78 (3H, s, CH3), 5.11 (1H, d, J = 6.3 Hz, pyrazoline H-4), 6.12 (1H, d, J = 6.3 Hz, OH, exchangeable with D2O), 7.52-7.70 (4H, a set of signals, C6H4); Anal. Calcd. for C13H15N3O2 (245.28): C, 63.66%; H, 6.16%; N, 17.13%. Found: C, 63.42%; H, 6.55%; N, 17.02%.
The combined fractions 11–14 when evaporated gave a residue (170 mg) which was chromatographed by preparative TLC on silica gel (20 × 20 cm, thickness 2 mm; ethyl acetate/chloroform 1:1 as eluent). The plate showed three bands (U.V. light at 254 nm) among which the intermediate one underwent extraction with ethyl acetate. The extract was evaporated under vacuum and the residue obtained was crystallized to give a compound which was identical in all respects (mp, mixed mp, Rf, IR, 1H-NMR) with an authentic specimen of N-(1,3-dimethyl-1H-pyrazol-5-yl)benzamide (22) [7], 2% yield. The mother liquors from the crystallization of 22 were evaporated under vacuum, and the residue was processed by preparative TLC: 20 × 20 cm, thickness 2 mm, ethyl acetate/chloroform 1:1 as eluent. The crude product obtained underwent the same procedure to give 10 mg of pure (1S,4′S)- (or (1S,4′R)-)4′-hydroxy-2,2′,5′-trimethy-2′,4′-dihydrospiro[isoindoline-1,3′-pyrazol]-3-one (21), as a colorless solid, mp 177–180 °C; MS (m/z): 245 (M+), 214 (M+-CH3NH2); 1H-NMR (DMSO-d6, ppm): 1.97 (3H, s, CH3), 2.22 (3H, s, CH3), 2.85 (3H, s, CH3), 4.92 (1H, d, J =5.7 Hz, pyrazoline H-4), 5.85 (1H, d, J = 6.3 Hz, pyrazoline OH-4, exchangeable with D2O), 7.43-7.70 (4H, a set of signals, C6H4); 13C-NMR (DMSO-d6, ppm): 12.75 (CH3), 24.74 (CH3), 34.02 (CH3), 77.76 (CH), 91.86 (C), 111.21 (C), 122.10 (CH), 124.65 (CH), 128.83 (CH), 130.45 (CH), 131.52 (C), 139.47 (C), 152.38 (C), 166.02 (CO); Anal. Calcd. for C13H15N3O2 (245.28) : C, 63.66%; H, 6.16%; N, 17.13%. Found: C, 63.45%; H, 6.17%; N, 17.20%.

3.9. Preparation of 1,3-Dimethylisochromeno[4,3-c]pyrazol-5(1H)-one (39)

Compound 20 (30 mg) was melted at 210 °C for 10 min. The obtained material was crystallized from ethanol to give 39, as colorless solid, in 69% yield, mp 237–239 °C; MS (m/z): 214 (M+); IR (KBr, cm−1): 1715 (CO); 1H-NMR (CDCl3, ppm): 2.37 (3H, s, CH3), 4.23 (3H, s, CH3), 7.55–8.46 (4H, a set of signals, C6H4); 13C-NMR (CDCl3, ppm): 9.96 (CH3), 40.07 (CH3), 119.86 (C), 120.47 (CH), 122.41 (C), 128.10 (CH), 128.58 (C), 132.47 (CH), 132.91 (C), 134.97 (CH), 136.95 (C), 162.08 (CO); Anal. Calcd. for C12H10N2O2 (214.22) : C, 67.28%; H, 4.71%; N, 13.08%. Found: C, 67.56%; H, 4.87%; N, 13.09%.

3.10. Preparation of N-(3-Methyl-1-phenyl-1H-pyrazol-5-yl)benzamide (4)

From the transformation of the diazonium salt 2 by the CuSO4/NaCl/ascorbic acid reagent combination: the diazonium hydrogen sulfate 2 derived from compound 1 [1] (5.9 mmol) was decomposed following the procedure used for 10. The suspension obtained was filtered, and the solid was crystallized from ethanol (95% V/V) to give epimers 7, 8. The mother liquors when evaporated leave a residue (350 mg) which was processed by preparative TLC (two plates, 20 × 20 cm, thickness 2 mm, ethyl acetate/petroleum ether 3:7 as eluent). Work up allowed us to obtain a product (140 mg) which was identical in all respects (mp, mixed mp, IR, 1H-NMR) to an authentic specimen of compound 4 [7].The aqueous mother liquors were saturated with sodium chloride and extracted with ethyl acetate (4 × 150 mL). The combined extracts were evaporated to give a residue (70 mg) which was processed by preparative TLC. More of compound 4 (20 mg) was obtained following the above procedure, overall yield 10%.

3.11. Preparation of N-(4-Chloro-3-methyl-1-phenyl-1H-pyrazol-5-yl)-N-methyl-2-nitrobenzamide (27)

This compound was prepared by modifying the procedure reported in reference [14]. Compound 25 [15] (2 g, 5.95 mmol) was dissolved in acetic acid (57 mL) and then concentrated hydrochloric acid (36.5% w/w, 4.3 mL) was added. To the stirred solution a potassium nitrite aqueous solution (3.5 g of KNO2 in 1.8 mL of H2O) was added dropwise and stirring was continued for a further 24 h. The obtained suspension was filtered and the filtrate was treated first with an aqueous solution (300 mL) of hydrochloric acid (0.24 M), copper sulphate pentahydrate (0.3 M) and sodium chloride (0.75 M) and then with ascorbic acid (260 mg, 1.48 mmol). The mixture was stirred for 1 h at r.t. and then filtered. The solid product obtained was crystallized from ethanol (95% V/V) to give 27 (yield 60%) identical in all respects (mixed melting point, TLC, MS, IR) to an authentic specimen of compound 27 [14].

3.12. Preparation of 2-Amino-N-(4-chloro-3-methyl-1-phenyl-1H-pyrazol-5-yl)-N-methylbenzamide (28)

A suspension of Fe filings (12.41 g) in 5% (V/V) aqueous AcOH (16 mL) was heated at about 100 °C under stirring on the water bath of a rotavapor until H2 evolution ceased. The nitro derivative 27 (6.9 g, 18.5 mmol) was added in four portions, with intervals of 20 min. between additions. After the last addition, stirring was continued at 100 °C for 1 h, then the mixture was cooled to r.t. The pH of the suspension was adjusted to 7–8 with a saturated NaHCO3 solution. The solid was separated by filtration, air dried overnight, and then extracted with boiling CHCl3 (3 × 30 mL). The combined extracts were evaporated under vacuum, leaving an residue which was crystallized from ethyl acetate to give 28 in 80% yield, mp 165–166 °C; MS (m/z): 342 (M+); IR (cm−1): 3485, 3358 (NH2), 1640 (CO); 1H-NMR (ppm): 2.26 (3H, s, Me), 3.40 (3H, s, Me); 4.33 (2H, s, exchangeable with D2O, NH2), 6.40–7.35 (9H, m, C6H5 and C6H4); Anal. Calcd. for C18H17ClN4O (340.81) : C, 63.44%; H, 5.03%; N, 16.44%. Found: C, 63.35%; H, 5.21%; N, 16.56%.

3.13. Preparation of 2-((4-Chloro-3-methyl-1-phenyl-1H-pyrazol-5-yl)(methyl)carbamoyl)benzendiazonium Hydrogen sulphate (11)

The pulverized amine 28 (1.5 g, 4.41 mmol) was dissolved in cooled (0–5 °C) aqueous sulfuric acid (10 M) (17.6 mL) and aqueous sodium nitrite (2.5 M) (1.82 mL) was added drop-wise to the stirred solution. The solution was stirred for a further 15 min in the ice bath and was then checked for excess nitrous acid with potassium iodide starch paper. The eventual excess can be destroyed by addition of urea.

3.14. Decomposition of the Diazonium Hydrogen Sulphate 11

To a cold (0–5 °C) soln. (220 mL) of CuSO4·5H2O (0.3 M) and NaCl (0.75M), first the soln. of 11 obtained from the previous procedure, and then ascorbic acid (195 mg, 1.11 mmol) were added under stirring. The mixture was stirred for 1 h at r.t. and then filtered. The solid product obtained was dried in desiccator (anhydrous CaCl2) for 24 h and then crystallized from ethyl acetate to give compound 29 in 80% yield, mp 202–203 °C; MS (m/z): 359 (M+); IR (cm−1):1713 (CO); 1H-NMR (CDCl3, ppm): 2.38 (3H, s, Me), 2.66 (3H, s, Me), 6.70–7.96 (9H, m, C6H5 and C6H4); 13C-NMR (CDCl3, ppm): 11.13 (CH3), 26.64 (CH3), 96.61 (C), 93.23 (C), 115.59 (2xCH), 122.45 (CH), 124.30 (CH), 127.21 (CH), 129.05 (2xCH), 130.98 (CH), 131.62 (CH), 132,66 (C), 139.08 (C), 142.21 (C), 147 (C), 167 (CO); Anal. Calcd. for C18H15Cl2N3O (359.06) : C, 60.01%; H, 4.20%; N, 11.66%. Found: C, 60.20%; H, 4.58%; N, 11.69%.

3.15. Reaction of 4′,4′-Dichloro-2,5′-dimethyl-2′-phenyl-2′,4′-dihydrospiro[isoindoline-1,3′-pyrazol]-3-one (29) with Water

To a solution of 29 (10 mg) in acetonitrile (1 mL) was added water (1 mL) and the mixture was refluxed for 30 min. The solution was evaporated under vacuum to give a pure residue which was identical in all respects to an authentic specimen of compound 31 [1].

4. Conclusions

The diazonium salts 2 and 10 show as unique structural diversity the different substituent at the 1-position of the pyrazole nucleus, that is phenyl or methyl. The above diversity does not lead to a different chemical reactivity of these diazonium salts when they are reacted with the reagents copper sulphate/ascorbic acid/sodium chloride. In fact, the observed difference in the composition of the reaction mixtures of 10 and 2 is not due to different electronic and/or steric effects of the pyrazole substituents at 1-position, but rather to a remarkable differential solubility between the pairs of epimers 18, 19 and 7, 8. Epimers 18, 19 partially dissolve in the reaction mixture and undergo nucleophilic replacement of the chloro atom to give the hydroxy spiro derivatives 20, 21, whereas epimers 7, 8 do not follow this pathway. As regards diazonium salt 11, the presence of a substituent at the 4-position of the pyrazole moiety does not hinder this position, and a dichloro spiro derivative 29 is obtained.

Supplementary Materials

1H-NMR and 13C-NMR of compounds 17, 18, 19 (mixture), 20, 21, 28, 29 and 39. These materials can be accessed at: https://www.mdpi.com/1420-3049/18/10/13096/s1.

Acknowledgments

Financial support from “Fondo di Finanziamento della Ricerca dell′Ateneo di Palermo (ex 60%)” is gratefully acknowledged.

Conflicts of Interest

The authors declare no conflict of interest.

References

  1. Daidone, G.; Maggio, B.; Raffa, D.; Plescia, S.; Benetollo, F.; Bombieri, G. Consecutive Pschorr-Sandmeyer reactions in a pyrazole series. Part 2.1 Access to the [2]benzopyrano[4,3-c]pyrazole system of pharmaceutical interest. J. Chem. Soc. Perkin Trans. I 1998, 1988, 2891–2898. [Google Scholar]
  2. Hanson, P.; Jones, J.R.; Gilbert, B.C.; Timms, A.W. Sandmeyer reactions. Part 1. A comparative study of the transfer of halide and water ligands from complexes of CuII to aryl radicals. J. Chem. Soc. Perkin. Trans. II 1991, 1991, 1009–1017. [Google Scholar]
  3. Daidone, G.; Plescia, S.; Maggio, B.; Sprio, V.; Benetollo, F.; Bombieri, G. Modifications and extensions of the Pschorr reaction in pyrazole series. Access to the [2]benzopyrano[4,3-c]pyrazole system of pharmaceutical interest. J. Chem. Soc. Perkin Trans. I 1993, 1993, 285–291. [Google Scholar]
  4. Maggio, B.; Daidone, G.; Raffa, D.; Plescia, S.; Bombieri, G.; Meneghetti, F. Nonclassical Pschorr and Sandmeyer Reactions in Pyrazole Series. Helv. Chim. Acta 2005, 88, 2272–2281. [Google Scholar] [CrossRef]
  5. Maggio, B.; Raffa, D.; Raimondi, M.V.; Cascioferro, S.; Plescia, S.; Sabatino, M.A.; Bombieri, G.; Meneghetti, F.; Daidone, G. Comparative studies of the Pschorr reaction in the pyrazole series. Access to the new dibenzo[e,g]pyrazolo[1,5-a][1,3]diazocine system of pharmaceutical interest. Arkivoc 2008, 16, 130–143. [Google Scholar]
  6. Fusco, R. Heterocyclic Compounds: Pyrazoles, Pyrazolines, Pyrazolidines, and Condensed Rings; Wiley, R.H., Behr, L.C., Eds.; Interscience Publishers: New York, NY, USA, 1967; p. 105. [Google Scholar]
  7. Daidone, G.; Bajardi, M.L.; Plescia, S.; Raffa, D.; Schillaci, D.; Maggio, B.; Benetollo, F.; Bombieri, G. One-step synthesis, crystallographic studies and antimicrobial activity of new 4-diazopyrazole derivatives. Eur. J. Med. Chem. 1996, 31, 461–468. [Google Scholar] [CrossRef]
  8. Lewin, A.H.; Cohen, T. Mechanism of the copper induced Pschorr cyclization. New phenol synthesis involving hydroxylation of the intermediate radical by cupric ion. J. Org. Chem. 1967, 32, 3844–3850. [Google Scholar] [CrossRef]
  9. Lewin, A.H.; Dinwoodie, A.H.; Cohen, T. 1,5-hydrogen transfer during diazonium ion decomposition—IV: The copper catalyzed reaction. A Case of hydrogen atom or hydride ion transfer in the same system. Tetrahedron 1966, 22, 1527–1537. [Google Scholar] [CrossRef]
  10. Maggio, B.; Raffa, D.; Raimondi, M.V.; Plescia, F.; Trincavelli, M.L.; Martini, C.; Meneghetti, F.; Basile, L.; Guccione, S.; Daidone, G. Synthesis, benzodiazepine receptor binding and molecular modelling of isochromeno[4,3-c]pyrazol-5(1H)-one derivatives. Eur. J. Med. Chem. 2012, 54, 709–720. [Google Scholar] [CrossRef]
  11. Vicentini, C.B.; Veronese, A.C.; Giori, P.; Lumachi, B.; Guarneri, M. A new general and efficient synthesis of imidazo[4,5-c]pyrazole derivatives. Tetrahedron 1990, 46, 5777–5788. [Google Scholar] [CrossRef]
  12. Migliara, O.; Flugy, A.; Novara, V.; Gagliano, M. Synthesis and pharmacological evaluation of some pyrazolo[3,4-e][1,4] diazepin-4,7-diones. Farmaco 1992, 47, 111–119. [Google Scholar]
  13. Still, W.C.; Kahn, M.; Mitra, A. Rapid chromatographic technique for preparative separations with moderate resolution. J. Org. Chem. 1978, 43, 2923. [Google Scholar] [CrossRef]
  14. Daidone, G.; Plescia, S.; Raffa, D.; Maggio, B.; Schillaci, D. Synthesis and Evaluation of antimicrobial Activity of New 4-Nitroso and 4-Diazopyrazole Derivatives. Farmaco 1992, 47, 203–217. [Google Scholar]
  15. Plescia, S.; Daidone, G.; Sprio, V.; Aiello, E.; Dattolo, G.; Cirrincione, G. Studies on the synthesis of heterocyclic compounds. Part I. The pschorr reaction in the pyrazole series. J. Heterocycl. Chem. 1978, 15, 1287–1290. [Google Scholar] [CrossRef]
  • Sample Availability: Samples of the compounds 18, 19 (mixture), 20, 22, 39, 16, 17, 4 are available from the authors.

Share and Cite

MDPI and ACS Style

Maggio, B.; Raffa, D.; Raimondi, M.V.; Daidone, G. Non-Classical Transformation of Benzendiazonium Hydrogen Sulfates. Access to 1,3-Dimethylisochromeno[4,3-c]pyrazol-5(1H)-one, a Potential Benzodiazepine Receptor Ligand. Molecules 2013, 18, 13096-13110. https://doi.org/10.3390/molecules181013096

AMA Style

Maggio B, Raffa D, Raimondi MV, Daidone G. Non-Classical Transformation of Benzendiazonium Hydrogen Sulfates. Access to 1,3-Dimethylisochromeno[4,3-c]pyrazol-5(1H)-one, a Potential Benzodiazepine Receptor Ligand. Molecules. 2013; 18(10):13096-13110. https://doi.org/10.3390/molecules181013096

Chicago/Turabian Style

Maggio, Benedetta, Demetrio Raffa, Maria Valeria Raimondi, and Giuseppe Daidone. 2013. "Non-Classical Transformation of Benzendiazonium Hydrogen Sulfates. Access to 1,3-Dimethylisochromeno[4,3-c]pyrazol-5(1H)-one, a Potential Benzodiazepine Receptor Ligand" Molecules 18, no. 10: 13096-13110. https://doi.org/10.3390/molecules181013096

APA Style

Maggio, B., Raffa, D., Raimondi, M. V., & Daidone, G. (2013). Non-Classical Transformation of Benzendiazonium Hydrogen Sulfates. Access to 1,3-Dimethylisochromeno[4,3-c]pyrazol-5(1H)-one, a Potential Benzodiazepine Receptor Ligand. Molecules, 18(10), 13096-13110. https://doi.org/10.3390/molecules181013096

Article Metrics

Back to TopTop