Next Article in Journal
An Efficient Solvent-Free Synthesis of 2-Hydroxy-2-(trifluoromethyl)-2H-chromenes Using Silica-Immobilized L-Proline
Next Article in Special Issue
Identification of New Natural DNA G-Quadruplex Binders Selected by a Structure-Based Virtual Screening Approach
Previous Article in Journal
Measuring Dynamic and Kinetic Information in the Previously Inaccessible Supra-tc Window of Nanoseconds to Microseconds by Solution NMR Spectroscopy
Previous Article in Special Issue
A Highly Sensitive Telomerase Activity Assay that Eliminates False-Negative Results Caused by PCR Inhibitors
 
 
Font Type:
Arial Georgia Verdana
Font Size:
Aa Aa Aa
Line Spacing:
Column Width:
Background:
Article

Macrocyclic Pyridyl Polyoxazoles: Structure-Activity Studies of the Aminoalkyl Side-Chain on G-Quadruplex Stabilization and Cytotoxic Activity

1
Department of Medicinal Chemistry, Ernest Mario School of Pharmacy, Rutgers–The State University of New Jersey, 160 Frelinghuysen Road, Piscataway, NJ 08854, USA
2
Department of Pharmacology, Rutgers Robert Wood Johnson Medical School, Piscataway, NJ 08854, USA
3
The Cancer Institute of New Jersey, Rutgers–The State University of New Jersey, New Brunswick, NJ 08901, USA
*
Author to whom correspondence should be addressed.
Current Address: Department of Chemistry, the Scripps Research Institute, 130 Scripps Way, Jupiter, FL 33458, USA
Molecules 2013, 18(10), 11938-11963; https://doi.org/10.3390/molecules181011938
Submission received: 22 August 2013 / Revised: 10 September 2013 / Accepted: 17 September 2013 / Published: 26 September 2013
(This article belongs to the Special Issue G-Quadruplexes & i-Motif DNA)

Abstract

:
Pyridyl polyoxazoles are 24-membered macrocyclic lactams comprised of a pyridine, four oxazoles and a phenyl ring. A derivative having a 2-(dimethylamino)ethyl chain attached to the 5-position of the phenyl ring was recently identified as a selective G-quadruplex stabilizer with excellent cytotoxic activity, and good in vivo anticancer activity against a human breast cancer xenograft in mice. Here we detail the synthesis of eight new dimethylamino-substituted pyridyl polyoxazoles in which the point of attachment to the macrocycle, as well as the distance between the amine and the macrocycle are varied. Each compound was evaluated for selective G-quadruplex stabilization and cytotoxic activity. The more active analogs have the amine either directly attached to, or separated from the phenyl ring by two methylene groups. There is a correlation between those macrocycles that are effective ligands for the stabilization of G-quadruplex DNA (ΔTtran 15.5–24.6 °C) and cytotoxicity as observed in the human tumor cell lines, RPMI 8402 (IC50 0.06–0.50 μM) and KB3-1 (IC50 0.03–0.07 μM). These are highly selective G-quadruplex stabilizers, which should prove especially useful for evaluating both in vitro and in vivo mechanism(s) of biological activity associated with G-quaqdruplex ligands.

Graphical Abstract

1. Introduction

Regions of DNA and RNA that are rich in guanosine are known to fold into G-quadruplexes [1]. A G-quadruplex is formed when several G-tetrads (square-planar arrays of four guanines (G-tetrads) held together by hydrogen bonds) are stacked one upon another. Such arrangements are stabilized by π-stacking interactions between the purines as well as by monovalent metal cations (usually K+ or Na+) sandwiched between the G-tetrads [2]. G-Quadruplexes have been identified in vitro in telomeres, in the promoter regions of several oncogenes, and in mRNA [3,4,5,6,7,8,9,10]. The identification of several helicases and resolvases from nuclei, that efficiently unwind G-quadruplex DNA, lends support to the idea that the formation and resolution of G-quadruplexes in vivo play a vital role in subcellular processes [3,11]. It has been suggested that G-quadruplexes might play a role in a number of human diseases [12]. As a result considerable effort has already been expended on the development of potential therapeutic agents that function by targeting G-quadruplex formation [13,14].
The development of G-quadruplex stabilizers as a potential new class of anticancer agents hinges on the ability to design compounds that stabilize only G-quadruplexes and not other nucleic acid structures such as duplex or triplex DNA [15]. While a diverse array of compounds have been reported to stabilize G-quadruplex DNA [1], most also have some ability to stabilize duplex DNA. The natural product telomestatin for example, is reported to stabilize G-quadruplex DNA with 70:1 selectivity over duplex DNA [16,17]. In contrast, the synthetic macrocyclic hexaoxazole HXDV (Figure 1) demonstrates no affinity for stabilizing single-stranded, duplex, or triplex DNA while strongly stabilizing G-quadruplex DNA [18,19]. HXDV induces apoptosis in both telomerase positive and negative cells, induces M-phase cell cycle arrest, reduces the expression of the M-phase checkpoint regulator Aurora A, and is moderately cytotoxic towards several tumor cell lines with an average IC50 value of 0.5 μM [18,20]. Unfortunately, the physicochemical properties of HXDV render it a poor candidate for in vivo evaluation. An extensive search for related compounds that retain exquisite selectivity for G-quadruplexes while displaying enhanced cytotoxic activity with improved solubility profiles led to the design and synthesis of a series of 24-membered macrocyclic pyridyl polyoxazoles (PyPX) [21]. Within this series compounds having a 1,3-bis(aminomethyl)phenyl group linking the ends of a pyridyl tetraoxazole dicarboxylate array were observed to be most cytotoxic when a 5-(2-aminoethyl)- (1, Figure 1) or a 5-(2-dimethylaminoethyl)- (2, Figure 1) substituent was attached to the phenyl ring. These analogs had IC50 values of 30-40 nM when assayed against KB3-1 cells and 90–180 nM against RPMI 8402 cells and strongly stabilize G-quadruplex DNA with no observable stabilization of duplex DNA. Compound 2 was selected for in vivo evaluation against a human breast cancer xenograft (MDA-MB-435) in athymic nude mice. Results from this assay indicated that mice treated with the pyridyl polyoxazole macrocycle had a %T/C value (average tumor volumes of treated/control animals) of 27.7% which clearly demonstrated in vivo efficacy against this breast cancer xenograft.
Figure 1. Structures of HXDV and pyridyl polyoxazole (PyPX) macrocycles 1 and 2.
Figure 1. Structures of HXDV and pyridyl polyoxazole (PyPX) macrocycles 1 and 2.
Molecules 18 11938 g001
The initial structure-activity investigation as reported for the pyridy polyoxazole macrocycles suggests that a basic side-chain on the phenyl ring enhances cytotoxic activity and greatly improves the water-solubility of the macrocycle, allowing for easier formulation for in vivo evaluation [21]. In that report a 2-(N,N-dimethylamino)ethyl group was selected as the basic side-chain based on SAR obtained from the HX series of compounds [22]. The 5-position of the phenyl ring was chosen as the site of attachment based on the ease of synthesis. Herein we report the synthesis of analogs that have the side-chain attached to either the 4- or 5-position of the phenyl ring and that vary with respect to the number of spacer methylene groups connecting the tertiary amine to the ring. In addition, the preparation of analogs in which either one or two 2-(N,N-dimethylamino)ethyl groups are attached to the oxazole(s) that are more distant from the pyridine ring is also described. The effect of each of these structural changes on G-quadruplex selectivity and stabilization as well as on cytotoxic activity has been evaluated and is reported below.

2. Results and Discussion

2.1. Synthesis of Linkers Having a Basic Side-Chain at the 4-Position

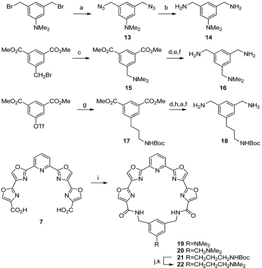
The synthesis of diamine linkers having side-chains emanating from the 4-position of the phenyl ring is shown in Scheme 1. Those analogs having the N,N-dimethylamino group separated from the phenyl ring by two or three aliphatic carbons were prepared starting from dimethyl 4-bromoisophthalate [23]. The 2-aminoethyl analog was prepared by Suzuki reaction with potassium 2-[(tert-butoxycarbonylamino)ethyl]trifluoroborate [24] followed by lithium borohydride reduction to give diol 3a in 56% yield. For the 3-aminopropyl analog hydroboration of N-Boc allylamine with 9-borobicyclo[3.3.1]nonane (9-BBN) followed by Suzuki coupling [25,26] of the derived borane with dimethyl 4-bromoisophthalate gave, after LiBH4 reduction, the three-carbon analog 3b in 71% yield. Both diols were converted to their diazides with diphenyl phosphorylazide (DPPA), followed by reduction of the azide groups with polymer-supported triphenylphosphine to afford the bis(aminomethyl) derivatives 4a and 4b in good overall yield. The synthesis of a 4-(N,N-dimethylamino)methyl analog however proved challenging and despite much effort was not successful. An analog having a N,N-dimethylamino group directly attached to the phenyl ring at the 4-position was prepared started from the known dimethyl 4-(N,N-dimethylamino)isophthalate 5 [27]. The ester groups were reduced and the diol was converted into 1,3-bis(aminomethyl) derivative 6 as described above. Macrocyclization of the 4-substituted linkers was achieved by condensation of pentacyclic diacid 7 [21] in the presence of EDC and HOBt. The bis(lactams) 810 were prepared in yields ranging from 17%–18%. The N-Boc protected 2-aminoethyl and 3-aminopropyl compounds were deprotected using HCl and then converted to the N,N-dimethylamines 11 and 12 by reductive amination using formaldehyde and sodium triacetoxyborohydride.
Scheme 1. Synthesis of macrocycles having a basic side-chain at the 4-position.
Scheme 1. Synthesis of macrocycles having a basic side-chain at the 4-position.
Molecules 18 11938 g002
Reagents and conditions: (a) KF3BCH2CH2NHBoc, PdCl2(dppf)CH2Cl2, 68%; (b) H2C=CHCH2NHBoc, 9-BBN, THF then PdCl2(dppf)CH2Cl2, Ph3As, CsCO3, DMF, 71%; (c) LiBH4, THF/EtOH, 87%–96%; (d) DPPA, DBU, THF, 44%–65%; (e) PS-PPh3, THF/H2O, 72%–95%; (f) 4a, 4b, or 6, EDC, HOBt, DMF; (g) 20% HCl, MeOH/CH2Cl2, 100%; (h) HCHO (aq), NaBH(OAc)3, 23%–61%.

2.2. Synthesis of Linkers Having a Basic Side-Chain at the 5-Position

Scheme 2 depicts the synthesis of macrocycles having a basic side-chain attached to the 5-position of the phenyl ring. For the synthesis of a linker molecule having a tertiary amine directly attached to the phenyl ring N,N-dimethyl 3,5-bis(bromomethyl)aniline [28] was treated with sodium azide to give a bis(azidomethyl) derivative 13 that was then reduced to diamine 14 using triphenylphosphine in aqueous THF. Synthesis of the 5-(N,N-dimethylaminomethyl) analog began by displacement of dimethyl 5-bromomethylisophthalate [29] by dimethylamine to afford 15 in 97% yield. The ester groups were then reduced with LiBH4, converted into the diazide derivative and reduced with triphenylphosphine to give the 1,3-bis(aminomethyl) derivative 16.
Scheme 2. Synthesis of macrocycles having a basic side-chain at the 5-position.
Scheme 2. Synthesis of macrocycles having a basic side-chain at the 5-position.
Molecules 18 11938 g003
Reagents and conditions: (a) NaN3, DMF, 90 °C, 73%; (b) PPh3, THF/H2O, 53%; (c) Me2NH, THF, 97%; (d) LiBH4, THF/EtOH, 62%; (e) DPPA, DBU, THF, 33%; (f) PS-PPh3, THF/H2O, 90%; (g) KF3BCH2CH2CH2NHBoc, RuPhos, Pd(OAc)2, Cs2CO3, THF, 95 °C, 71%; (h) MsCl, Et3N, CH2Cl2, 25%; (i) 14, 16, or 18, EDC, HOBt, DMF; (j) TFA, CH2Cl2, 93%; (k) HCHO (aq), NaBH(OAc)3, MeOH/H2O, 48%.
Analog 2 possessing a 5-[2-(N,N-dimethylamino)ethyl] side chain has been synthesized previously [21]. Preparation of the 3-aminopropyl analog began with synthesis of potassium [3-(tert-butoxycarbonyl)amino)propyl]trifluoroborate, which was prepared in quantitative yield from N-Boc allylamine using the procedure detailed by Molander for the ethyl derivatives [24]. This was coupled with dimethyl 5-[(trifluoromethanesulfonyl)oxy]isophthalate [30] in the presence of palladium acetate, RuPhos, and cesium carbonate to give the N-Boc 3-aminopropyl derivative 17 in 71% yield. The conversion of 17 into diamine 18 was achieved by first reducing the ester groups to alcohols. The subsequent reaction with DPPA was not clean and therefore the diol was converted instead into a dimesylate derivative. Displacement with sodium azide afforded the diazide that was then reduced to give 18. Macrocyclization of 14, 16, and 18 was performed by condensation with pentacyclic diacid 7 in the presence of EDC and HOBt to afford bis(lactams) 19, 20, and 21 in yields of 10%, 4%, and 43%. Compound 21 was treated with TFA to remove the Boc protecting group and the resulting amine was subjected to reductive amination as described above to give analog 22.

2.3. Synthesis of Macrocycles Having the Basic Side-Chain(s) Located on Oxazole(s)

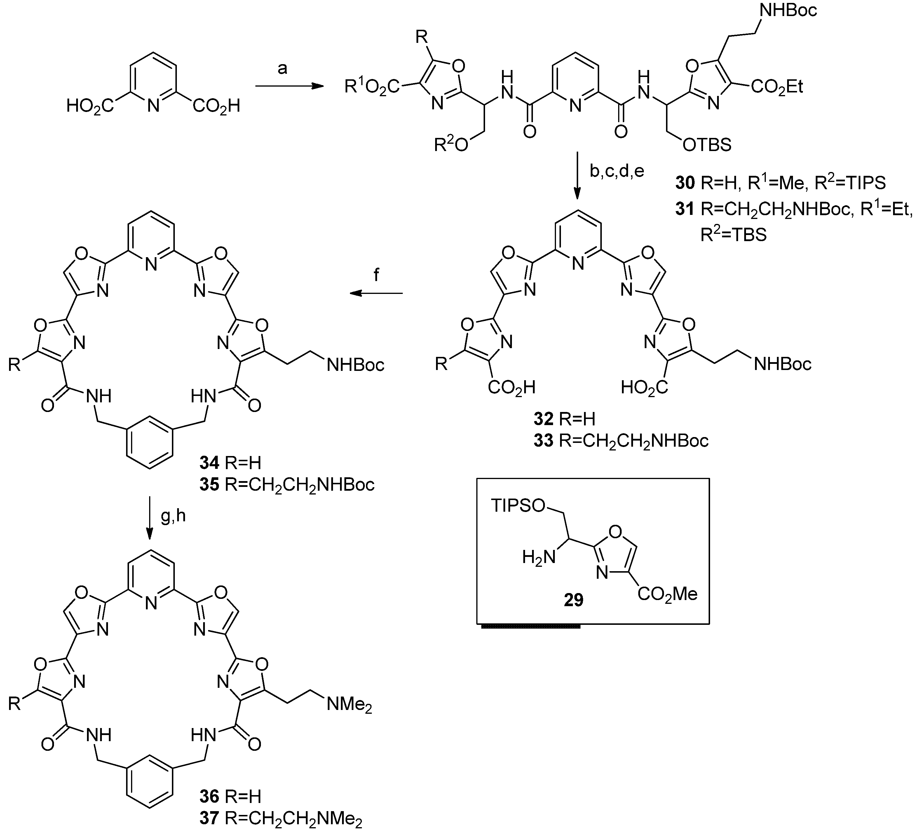
The synthesis of PyPX analogs having either a single or two 2-(N,N-dimethylamino)ethyl side chains on the oxazoles closer to the phenyl linker required the preparation of a suitable 5-substituted oxazole building block. This is detailed in Scheme 3 shown below. Starting from N-Cbz-β-alanine, treatment with oxalyl chloride gave the acid chloride which was reacted with ethyl isocyanoacetate in the presence of DBU to give oxazole 23 [31]. At this point a change in amine protecting group was deemed prudent, due to the difficulty in removing Cbz groups from intact macrocycles that we have observed in the PyPX series of compounds. Hydrogenolysis of the Cbz group in the presence of di-tert-butyl dicarbonate afforded the corresponding Boc-protected amine in high yield. Deprotonation of the remaining oxazole proton with LiHMDS, transmetallation to the zinc derivative and treatment with iodine occurred in one pot to give 2-iodooxazole 24 in 95% yield. Stille coupling with tributyl(vinyl)tin yielded the 2-vinyloxazole 25, which was dihydroxylated using AD-mix-β [32]. The stereochemistry of the secondary alcohol is irrelevant since this stereocenter eventually becomes part of an oxazole ring, but the AD-mix procedure was more convenient and higher yielding than simple treatment with OsO4. The primary alcohol was selectively protected as TBS ether 26 and the remaining alcohol was converted into mesylate 27 in quantitative yield. Displacement of the mesylate with azide and reduction with polymer-supported triphenylphosphine completed the synthesis of alkylaminooxazole 28.
Scheme 3. Synthesis of an oxazole intermediate having an aminoethyl side chain.
Scheme 3. Synthesis of an oxazole intermediate having an aminoethyl side chain.
Molecules 18 11938 g004
Reagents and conditions: (a) (COCl)2; (b) CNCH2CO2Et, DBU, 65% (2 steps); (c) H2, Pd/C, Boc2O, 88%; (d) i. LiHMDS, THF, −42 °C; ii. ZnCl2, 0 °C; iii. I2, rt, 95%; (e) Bu3SnCH=CH2, Pd(PPh3)2Cl2, dioxane, 105 °C, 79%; (f) AD-mix-β, CH3SO2NH2, t-BuOH/H2O, rt, 61%; (g) TBSCl, imidazole, DMF, 0 °C, 79%; (h) MsCl, Et3N, CH2Cl2, 0 °C, 100%; (i) NaN3, DMF, rt, 100%; (j) PS-PPh3, THF/H2O, rt, 66%.
Elaboration of aminoalkyloxazole 28 into pyridyl tetraoxazole dicarboxylic acids having either one or two 2-(N,N-dimethylamino)ethyl side chains is outlined in Scheme 4. For the analog having a single aminoethyl side-chain pyridine-2,6-dicarboxylic acid was condensed with 0.6 equivalents of aminooxazole 29 [18] to limit the amount of diamide formed. The remaining carboxylic acid group was then condensed under the same conditions with 1 equivalent of aminooxazole 28 to give unsymmetrical diamide 30. For the analog having two side-chains the pyridine dicarboxylic acid was condensed with 2 equivalents of oxazole 28 to give the symmetrical diamide 31. In both cases the silyl ethers were removed by treatment with pyridine-HF complex and the resulting alcohols were treated with DAST and then BrCCl3 [33,34] to give the pyridyl tetraoxazoles 32 and 33 which were then hydrolyzed and macrocyclized with 1,3-bis(aminomethyl)benzene in the presence of MnSO4 to give 34 and 35. We had found MnSO4 to sometimes have a beneficial templating effect on such macrocyclizations, although in this case the yields were in the 20%–28% range. The macrocycles were treated with TFA to remove the Boc protecting groups and the resulting amines were subjected to reductive amination to give the corresponding N,N-dimethyl amines 36 and 37.
Scheme 4. Synthesis of macrocycles having one or two aminoethyl side chains.
Scheme 4. Synthesis of macrocycles having one or two aminoethyl side chains.
Molecules 18 11938 g005
Reagents and conditions: (a) for 30: EDC, HOBt, 2,6-lutidine, 29 (0.6 equiv.), 27%, then 28, 66%; for 31: EDC, HOBt, 2,6-lutidine, 28 (2 equiv), 85%; (b) HF-pyridine, THF, rt, 89%–100%; (c) DAST, CH2Cl2, −78 °C, then K2CO3, 91%–93%; (d) BrCCl3, DBU, CH3CN, 0 °C, 50%–60%; (e) LiOH, THF/H2O, 65%–67%; (f) 1,3-bis(aminomethyl)benzene, EDC, HOBt, 2,6-lutidine, MnSO4, DMF, rt, 2 d, 20%–28%; (g) TFA, CH2Cl2, 0 °C, 100%; (h) HCHO (aq), NaBH(OAc)3, MeOH/CH2Cl2, 100%.

2.4. Evaluation of G-Quadruplex Stabilization and Selectivity

Each compound was evaluated for its ability to selectively bind and stabilize G-quadruplex DNA in the presence of K+ ions (150 mM). Salmon testes (ST) DNA was employed as a model of duplex DNA and the human telomeric sequence d[T2G3(T2AG3)3A], denoted as hTel, was used as a model of quadruplex DNA. This sequence has been shown by Patel and co-workers, to exist as an intramolecular (3 + 1) G-quadruplex in which three strands are oriented in one direction and the fourth is oriented in the opposite direction in K+ solution [35]. The first-derivative forms of the UV melting profiles for ST DNA and hTel DNA were recorded in the absence and presence of the various macrocycles. The ligand-induced changes, if any, in the transition temperature (Ttran) corresponding to the maxima (for quadruplex DNA) or minima (for duplex DNA) of these first-derivative melting profiles are listed in Table 1 for each macrocycle. With the exception of 8 which has a slight (<1 °C) destabilizing effect, none of the other macrocycles alters the thermal stability of ST duplex DNA to any significant extent and any observed changes in Ttran are within the experimental uncertainty. This observation is consistent with little or no duplex DNA binding by these macrocycles. Similar behavior has been observed for other macrocyclic pyridyl polyoxazoles [21].
The results observed with the hTel quadruplex DNA however, stand in stark contrast with the ST duplex DNA results. In the series of three 4-phenyl substituted analogs compound 8 and 11 strongly stabilize G-quadruplex DNA by 20.5 and 24.6 °C respectively. Compound 8 has the tertiary amine directly connected to the phenyl while in 11 the amine is separated from the phenyl ring by two methylene groups. In contrast, the 3-dimethylaminopropyl analog 12 stabilizes G-quadruplex DNA to a much lesser extent. When the side-chain is attached to the 5-position of the phenyl ring the results are quite dramatic with the arylamine 19, the previously-reported 2-(dimethylamino)ethyl analog 2 [21], and the propyl analog 22 all displaying strong stabilization of G-quadruplex DNA with ΔTtran values of 15.5, 20.5 and 28.6 °C respectively. In striking contrast however is the dimethylaminomethyl analog 20 which has no significant stabilization (ΔTtran = 0.1 °C) of G-quadruplex DNA. Quadruplex stabilization is also considerably less efficient when the side chain(s) are moved away from the phenyl ring and onto one or two of the oxazole rings. A 2-(dimethylamino)ethyl chain attached to one oxazole ring provides for weak G-quadruplex stabilization (ΔTtran = 4.6 °C) while two such side-chains result in an even lower degree of stabilization (ΔTtran = 1.6 °C). Most of these 4- and 5-phenyl substituted macrocyclic pyridyl polyoxazole analogs are stronger G-quadruplex stabilizers than HXDV (ΔTtran = 11.5 °C) [21].
Table 1. Effect of various pyridyl polyoxazoles on the thermal stabilities of duplex and quadruplex DNA.
Table 1. Effect of various pyridyl polyoxazoles on the thermal stabilities of duplex and quadruplex DNA.
hTel -Quadruplex DNASalmon Testes Duplex DNA
Compound# CH2 Spacer UnitsAttach. Pos.Ttran (°C)ΔTtran (°C)aTtran (°C)ΔTtran (°C) a
Nonenana64.6--86.6--
80485.120.585.7−0.9
11 2489.224.686.2−0.4
123471.77.186.2−0.4
190580.115.586.1−0.5
201564.70.186.2−0.4
Compound# CH2 Spacer UnitsAttach. Pos.Ttran (°C)ΔTtran (°C)Ttran (°C)ΔTtran (°C)
225--20.5 b--0 b
22 3593.228.686.2−0.4
362oxazole69.24.686.2−0.4
372oxazole (x2)66.21.686.2−0.4
HXDVnana--11.5 b--0 b
Notes: a ΔTtran reflects the change in transition temperature (Ttran) of the target nucleic acid induced by the presence of the substrate. Values of Ttran were determined from the maxima or minima of first-derivative UV melting profiles. The uncertainty in the ΔTtran values is ± 0.5 °C. b Values from ref. [21]. na = not applicable.

2.5. Evaluation of Cytotoxic Activity

Each N,N-dimethylamino-substituted macrocycle was also evaluated for cytotoxic activity against a human lymphoblastoma RPMI 8402 and a human epidermoid carcinoma KB3-1 cell line (Table 2). The results from these assays are informative about the relationship of structure to cytotoxic activity among the PyPX macrocyclic G-quadruplex stabilizers. Of greatest significance, especially from a synthetic viewpoint, is that for any given side-chain (8 vs. 19 and 11 vs. 2) attachment at the 5-position of the phenyl ring provides superior cytotoxic activity than attachment at the 4-position. An explanation for this observation is not clear at this time. The three-carbon analogs 12 and 22 have nearly equivalent activity at both positions, but these longer-chain analogs are generally lower in activity than the two-carbon analogs. Attachment of the dimethylamino group directly to the phenyl ring (8 and 19) leads to compounds having the greatest cytotoxic potency at their respective points of attachment. Unfortunately, these compounds are significantly less water-soluble than those analogs in which the amine is separated from the phenyl ring by one or more methylene groups. In general analogs that have an even number (0 or 2) of methylene spacer groups are more cytotoxic than those with an odd number. The one-carbon analog at the 5-position (20), displays especially poor cytotoxic potency. Moving the side-chain away from the phenyl ring and onto an oxazole ring also fails to improve cytotoxic activity. As we have noted previously, a compound having a single water-solubilizing 2-(dimethylamino)ethyl chain 36 is superior to an analog having two such substituents 37 [22,36]. While 36 has reasonable cytotoxic potency and good water-solubility, the synthesis of this analog was considerably more involved than compound 2.
The results from these assays suggest that for the macrocyclic pyridyl polyoxazoles those compounds that are inefficient at stabilizing G-quadruplex DNA are in general the least cytotoxic against KB3-1 and RPMI 8402 cells. These results are consistent with those recently reported for a series of 24-membered oxazole-containing macrocycles with a biphenyl scaffold [37]. With the exception of 22 those analogs that strongly stabilize G-quadruplex DNA exhibit cytotoxic activity against KB3-1 cells with IC50 values ≤ 70 nM while their activity against RPMI 8402 is also good, but more variable. An earlier investigation of the effect of side-chain length on quadruplex stabilization and cytotoxic activity among hexaoxazole (HX) analogs showed a similar pattern of results. While the propyl (n = 3) analog was a slightly more efficient G-quadruplex stabilizer than the ethyl analog, the 2-(dimethylamino)ethyl analog was more cytotoxic. A lysinyl (n = 4) analog was neither stabilizing towards G-quadruplexes not cytotoxic (IC50 > 3 μM) [22]. The aryl amine analogs 8 and 19 and the 2-(dimethylamino)ethyl analogs 11 and 2 are strongly cytotoxic with excellent G-quadruplex stabilization. The lower water-solubility of the aryl amines however, makes them less suitable than the 2-(dimethylamino)ethyl analogs for possible in vivo evaluation.
Table 2. Relative cytotoxic activities. IC50 values (μM) a.
Table 2. Relative cytotoxic activities. IC50 values (μM) a.
Compound# CH2 Spacer UnitsAttach. Pos.RPMI 8402KB3-1 wt.
8040.12 b0.03 ± 0.00
11 240.5 ± 0.40.07 ± 0.07
12340.4 ± 0.00.25 ± 0.07
19050.06 ± 0.010.03 ± 0.00
20157.0 ± 4.25.5 ± 0.7
2250.18 c0.04 c
22 350.5 ± 0.10.22 ± 0.13
362oxazole0.28 ± 0.040.14 ± 0.02
372oxazole (x2)1.5 ± 0.00.4 ± 0.1
HXDVnana0.54 ± 0.120.35 ± 0.08
Notes: a Values are the means of at least two determinations ± standard deviation; b Single determination; c Values from ref. [21]; na = not applicable.

3. Experimental

3.1. General

All reactions were conducted under an atmosphere of dry nitrogen in oven-dried glassware unless otherwise noted. THF was dried by distillation from sodium-benzophenone. Toluene, CH2Cl2, 2,6-lutidine, Et3N, pyridine, DBU, and CH3CN were freshly distilled from CaH2. Anhydrous DMF was obtained by stirring overnight over anhydrous CuSO4 followed by distillation under reduced pressure. All starting materials and reagents were commercially available and were used as received with the exception of 5, 7, and 29 which were prepared as described previously [18,21,27]. Flash chromatography was conducted using 230–400 mesh silica gel obtained from Dynamic Adsorbents, Inc. Melting points were obtained on a Thomas-Hoover apparatus and are uncorrected. Proton (400 MHz) and carbon (125 MHz) NMR spectra were recorded on a Bruker Avance III spectrometer in CDCl3 unless otherwise noted. Chemical shifts are reported as δ units relative to internal tetramethylsilane. IR spectra were recorded on a Thermo-Nicolet Avatar 360 FT instrument as thin films on NaCl unless otherwise noted. High resolution mass spectra were provided by the Washington University Mass Spectrometry Resource, St. Louis, MO.
1,3-Bis(hydroxymethyl)-4-[2-[(tert-butoxycarbonyl)amino]ethyl]benzene (3a). Step A. A mixture of dimethyl 4-bromoisophthalate (273 mg, 1 mmol), potassium 2-(tert-butoxycarbonylamino)ethyl trifluoroborate (301 mg, 1.2 mmol), Cs2CO3 (1.08 g, 3.3 mmol), and PdCl2(dppf).CH2Cl2 (49 mg, 0.06 mmol) in toluene 3 mL and water 1 mL was heated overnight at 80 °C under N2 in a sealed tube. The reaction mixture was then cooled to room temperature and saturated aqueous NH4Cl was added. The mixture was extracted with CH2Cl2 and the organic layer was dried over MgSO4 and then the solvent was evaporated under reduced pressure. The crude product was purified by flash chromatography eluting with 0%–20% ethyl acetate in hexane to give 229 mg of a colorless oil that proved to be an inseparable mixture of the desired product and 2,2',4,4'-tetra(carbomethoxy)biphenyl. This mixture was carried on to the next step. Step B. The mixture from above was dissolved in anhydrous THF (10 mL) and cooled to 0 °C under N2 and treated with LiBH4 (80 mg, 6 mmol) followed by EtOH (1 mL). The reaction was allowed to warm to room temperature. After 24 h the reaction mixture was poured into water and extracted with EtOAc. The organic layer was washed with brine, dried over Na2SO4 and concentrated. Purification was effected by flash chromatography eluting with 0%–5% MeOH/CH2Cl2 to give 3a as a colorless oil; 157 mg, 56% (two steps); 1H-NMR δ 7.14 (s, 1H), 7.02 (d, 1H, J = 8), 6.97 (d, 1H, J = 8), 5.18 (br s, 1H), 4.43 (s, 2H), 4.36 (s, 2H), 3.11 (m, 2H), 2.66 (t, 2H, J = 8), 1.30 (s, 9H); 13C-NMR δ 156.5, 139.4, 139.2, 136.2, 129.9, 127.5, 126.5, 79.4, 64.3, 62.4, 41.6, 32.4, 28.2.
1,3-Bis(hydroxymethyl)-4-[3-[(tert-butoxycarbonyl)amino]propyl]benzene (3b). Step A. A solution of N-Boc allylamine (432 mg, 2.75 mmol) in THF (5 mL) was flushed with nitrogen, treated with 9-BBN (358 mg, 2.75 mmol) and stirred at room temperature for 2 h. Degassed water (0.14 mL) was added and the mixture was then added via cannula to a flask containing dimethyl 4-bromoisophthalate (500 mg, 1.83 mmol), PdCl2(dppf).CH2Cl2 (75 mg, 0.09 mmol), Ph3As (28 mg, 0.09 mmol), Cs2CO3 (1.79 g, 5.49 mmol) and DMF (5 mL) under nitrogen. The reaction was stirred at 60 °C overnight and then the solvents were removed under reduced pressure. The residue was poured into brine and extracted several times with ether. The organic layers were combined, washed with brine, and dried over Na2SO4, filtered, and evaporated. The residue was purified by flash chromatography eluting with 0%–50% EtOAc/hexanes to give a yellow oil; 457 mg, 71%; 1H-NMR δ 8.49 (s, 1H), 8.01 (d, 1H, J = 8), 7.30 (d, 1H, J = 8), 4.90 (s, 1H), 3.86 (s, 6H), 3.13 (m, 2H), 2.99 (t, 2H, J = 8), 1.77 (m, 2H), 1.40 (s, 9H); 13C-NMR δ 166.9, 166.1, 156.0, 148.9, 132.7, 132.6, 131.1, 129.5, 128.1, 78.9, 52.1, 52.0, 40.2, 31.6, 31.5, 28.4; Step B. Prepared using the procedure detailed above for 3a, StepB. Purification was effected by flash chromatography eluting with 0%–5% MeOH/CH2Cl2 to obtain 3b as a colorless oil; 259 mg, 88%; 1H-NMR δ 7.26 (s, 1H), 7.11 (d, 1H, J = 8), 7.07 (d, 1H, J = 8), 5.07 (br s, 1H), 4.52 (s, 2H), 4.47 (s, 2H), ), 4.12 (br s, 2H), 3.05 (t, 2H, J = 4), 2.57, (t, 2H, J = 8), 1.67(m, 2H), 1.42 (s, 9H); 13C-NMR δ 156.4, 138.9, 138.7, 138.6, 129.1, 127.1, 126.4, 79.2, 64.4, 62.2, 40.2, 31.1, 28.9, 28.4.
1,3-Bis(aminomethyl)-4-[2-[(tert-butoxycarbonyl)amino]ethyl]benzene (4a). Step A. A solution of 3a (150 mg, 0.56 mmol) in THF (7.5 mL) was cooled to 0 °C under N2 and treated dropwise with diphenyl phosphorylazide (DPPA) (0.36 mL, 1.68 mmol) followed by 1,8-diazabicyclo[5.4.0]undec-7-ene (DBU) (0.25 mL, 1.68 mmol). Stirring continued at 0 °C for 4 h and the reaction was then allowed to warm overnight to room temperature. The solution was poured into 5% HCl and extracted with EtOAc. The organic layer was separated, washed with brine, dried over Na2SO4, filtered, and evaporated to a brown oil. Purification by flash chromatography eluting with 5%–10% EtOAc/hexane afforded the diazide as a colorless oil; 112 mg, 62%; 1H-NMR δ 7.24 (m, 3H), 4.60 (br s, 1H), 4.35 (s, 2H), 4.27 (s, 2H), 3.29 (m, 2H), 2.80 (t, 2H, J = 8), 1.37 (s, 9); 13C-NMR δ 155.8, 137.1, 134.3, 134.2, 130.8, 129.6, 128.5, 79.4, 54.3, 52.4, 41.4, 32.7, 28.4. Step B. The diazide (90 mg, 0.27 mmol) was dissolved in a mixture of THF and water (5:2) and polymer-supported triphenylphosphine (PS-PPh3) (227 mg, 3 mmol/g) was added. The mixture was stirred at room temperature overnight and then filtered and concentrated. The crude product was re-dissolved in toluene and evaporated several times to give 4a as a yellow oil; 54 mg, 71%; 1H-NMR δ 7.10 (m, 3H), 5.56 (br s, 1H), 3.83 (s, 2H), 3.77 (s, 2H), 3.30 (m, 2H), 2.78 (t, 2H, J = 8), 1.35 (s, 9H); 13C-NMR δ 156.1, 141.7, 135.9, 130.1, 127.4, 126.1, 125.5, 78.9, 46.2, 43.7, 31.9, 30.3, 28.4.
1,3-Bis(aminomethyl)-4-[3-[(tert-butoxycarbonyl)amino]propyl]benzene (4b). Step A. Prepared using the procedure detailed above for 4a, Step A. Purification was achieved by flash chromatography eluting with 0%–15% EtOAc/hexanes. A colorless oil was obtained; 113 mg, 65%; 1H-NMR δ 7.17 (m, 3H), 4.58 (br s, 1H), 4.30 (s, 2H), 4.26 (s, 2H), 3.12 (m, 2H), 2.61 (t, 2H, J = 8), 1.72 (m, 2H), 1.38 (s, 9H); 13C-NMR δ 155.9, 140.4, 133.7, 133.6, 130.1, 129.5, 128.5, 79.2, 54.3, 52.5, 40.3, 31.2, 29.3, 28.4. Step B. Prepared using the procedure detailed above for 4a, Step B. The filtrate was azeotroped with toluene to obtain 4b as a yellow oil; 73 mg, 96%; 1H NMR (CD3OD) δ 7.05 (m, 3H), 3.72 (s, 2H), 3.66 (s, 2H), 2.97 (m, 2H), 2.54 (t, 2H, J = 8), 1.61 (m, 2H), 1.32 (s, 9H); 13C-NMR δ 158.5, 140.8, 140.7, 139.5, 130.6, 128.4, 127.4, 79.9, 46.2, 43.3, 31.0, 30.2, 28.9.
N,N-Dimethyl-2,4-bis(aminomethyl)aniline (6). Step A. Prepared from 5 [27] using the procedure detailed above for 3a, Step B. Flash chromatography eluting with 0%–4% MeOH/CH2Cl2 gave the diol as a yellow oil; 1.18 g, 90%; 1H-NMR δ 7.17 (dd, 1H, J = 1,8), 7.12 (d, 1H, J = 1), 7.09 (d, 1H, J = 8), 4.70 (s, 2H), 4.51 (s, 2H), 2.65 (s, 2H); 13C NMR δ 150.6, 137.5, 135.0, 127.3, 126.9, 120.1, 64.5, 64.3, 44.8. Step B. Prepared using the procedure detailed above for 4a, StepA. Flash chromatography eluting with 0-4% EtOAc/hexane gave the diazide as a colorless oil; 287 mg, 44%; 1H-NMR δ 7.32 (d, 1H, J = 2), 7.28 (dd, 1H, J = 2,7), 7.18 (d, 1H, J = 7), 4.52 (s, 2H), 4.34 (s, 2H), 2.73 (s, 6H); 13C-NMR δ 152.9, 130.6, 130.4, 129.9, 128.9, 120.1, 54.3, 50.6, 45.1. Step C. Prepared using the procedure detailed above for 4a, Step B. The residue was re-dissolved in toluene and evaporated several times to give 6 as a yellow oil; 161 mg, 83%; 1H-NMR δ 7.18 (d, 1H, J = 1.6), 7.07 (dd, 1H, J = 1.6, 8), 6.99 (d, 1H, J = 8), 3.82 (s, 2H), 3.72 (s, 2H), 2.59 (s, 6H); 13C-NMR δ 150.1, 137.2, 136.2, 126.4, 125.2, 118.6, 44.9, 44.1, 42.1.
Pyridyl tetraoxazole macrocycle with a 4-(N,N-dimethylamino) group on the phenyl ring (8). Diacid 7 [21] (121 mg, 0.28 mmol) was suspended in DMF (120 mL) and MnSO4•H2O (95 mg, 0.56 mmol) was added. The solution was warmed to 65 °C under N2 for 20 min and then cooled back to room temperature. EDC (213 mg, 1.1 mmol), HOBt (150 mg, 1.1 mmol), and 2,6-lutidine (239 mg, 2.3 mmol) were added followed by the slow drop-wise addition of a solution of 9 (50 mg, 0.28 mmol) in DMF (5 mL). The solution was stirred at room temperature for 48 h and then the white precipitate was filtered off and purified by flash chromatography eluting with 0%–10% MeOH/CH2Cl2 to give macrocycle 8 as a white solid; 27 mg, 17%; mp 268–270 °C; 1H-NMR (CDCl3 + CD3OD) δ 8.21 (s, 1H), 8.19 (s, 2H), 8.16 (s, 1H), 7.99 (m, 3H), 7.62 (m, 1H), 7.27 (m, 3H), 7.07 (d, 1H, J = 8), 4.63 (d, 2H, J = 4), 4.47 (d, 2H, J = 4 ), 2.61 (s, 6H); 13C-NMR (CDCl3 + CD3OD) δ 160.5, 160.4, 160.1, 159.5, 154.3, 154.2, 153.7, 145.5, 145.4, 140.7, 140.4, 139.2, 138.8, 138.5, 137.5, 137.5, 132.5, 132.1, 131.94, 131.8, 131.1, 130.5, 122.7, 122.6, 121.1, 45.1, 42.9, 40.4; HRMS (ESI) m/z calcd for C29H22N8O6 (M+H): 579.1735; found: 579.1737.
Pyridyl tetraoxazole macrocycle with a 4-[2-[(tert-butoxycarbonyl)amino]ethyl]group on the phenyl ring (9). Prepared using the procedure detailed above for 8. White solid; 18 mg, 18%; mp 198–200 °C; 1H-NMR δ 8.32 (s, 2H), 8.27 (s, 2H), 8.05 (m, 3H), 7.41 (s, 1H), 7.25 (d, 1H, J = 8), 7.22 (d, 1H, J = 8), 5.42 (br s, 1H), 4.59 (s, 2H), 4.49 (s, 2H), 3.17 (m, 2H), 2.78 (t, 2H, J = 8), 1.32 (s, 9H); 13C-NMR δ 160.7, 159.9, 154.3, 144.9, 141.5, 141.46, 139.5, 138.9, 138.0, 137.2, 135.3, 132.4, 131.5, 130.9, 130.85, 129.6, 122.8, 79.1, 43.6, 41.2, 38.7, 32.5, 28.9; HRMS (ESI) m/z calcd for C34H30N8O8 (M+Na): 701.2084; found: 701.2075.
Pyridyl tetraoxazole macrocycle with a 4-[3-[(tert-butoxycarbonyl)amino]propyl]group on the phenyl ring (10). Prepared using the procedure detailed above for 8. Off-white solid; 21.2 mg, 18%; mp 190–192 °C; 1H-NMR δ 8.39 (d, 2H, J = 8), 8.20 (m, 4H), 8.01 (m, 3H), 7.30 (s, 1H), 7.23 (d, 1H, J = 8), 7.16 (d, 1H, J = 8), 4.81 (br s, 1H), 4.59 (s, 2H), 4.48 (s, 2H), 3.07(m, 2H), 2.61 (m, 2H), 1.68 (m, 2H), 1.36 (s, 9H); 13C-NMR δ 160.5, 159.7, 159.4, 156.0, 154.2, 145.3, 140.9, 140.7, 139.0, 138.4, 137.5, 137.2, 135.2, 132.0, 131.9, 131.8, 130.0, 122.8, 122.7, 79.1, 43.7, 41.5, 31.9, 29.6, 29.2, 28.4; HRMS (ESI) m/z C35H32N8O8 (M+H): 693.2425; found: 693.2416.
Pyridyl tetraoxazole macrocycle with a 4-[2-(N,N-dimethylamino)ethyl] group on the phenyl ring (11). Step A. N-Boc derivative 9 (7 mg, 0.0103 mmol) was suspended in 20% HCl (1 mL) and stirred at room temperature for 2 h. The solution was evaporated under reduced pressure to give the amine salt that was used directly for the next step. Step B. The salt from Step A (7 mg, 0.01 mmol) was suspended in 20% MeOH/CH2Cl2 (3 mL) and treated with 37% aqueous formaldehyde (0.5 mL). After stirring for 5 min at room temperature sodium triacetoxyborohydride (24 mg, 0.114 mmol) was added in one portion and stirring was continued overnight. The reaction mixture was partitioned between saturated NaHCO3 and CH2Cl2, and the organic extract was dried over Na2SO4, filtered and evaporated to a solid. Purification was performed by Chromatotron (SiO2, 1 mm rotor) eluting with 1%–20% MeOH/CH2Cl2 + 1% NH4OH to give compound 11 as a pale yellow solid; 1.5 mg, 23%; mp 278–280 °C (dec.); 1H-NMR δ 8.25 (m, 4H), 8.02 (m, 3H), 7.39 (s, 1H), 7.24 (d, 1H, J = 8), 7.19 (d, 1H, J = 8), 4.60 (s, 2H), 4.50 (s, 2H), 2.87 (t, 2H, J = 8), 2.57 (t, 2H, J = 8), 2.23(s, 6H); 13C-NMR δ 160.6, 159.9, 159.6, 154.2, 154.1, 145.1, 141.2, 139.2, 138.9, 138.7, 137.6, 137.5, 135.1, 132.4, 131.7, 130.7, 129.7, 122.7, 60.8, 44.7, 43.6, 41.32, 29.7; HRMS (ESI) m/z calcd for C31H26N8O6 (M+H): 607.2040; found: 607.2048.
Pyridyl tetraoxazole macrocycle with a 4-[3-(N,N-dimethylamino)propyl] group on the phenyl ring (12). Step A. Prepared from 10 using the procedure detailed above for 11, Step A. The product from this reaction was taken directly to the next step without purification. Step B. Prepared using the procedure detailed above for 11, Step B. Off-white solid; 4.8 mg, 61%; mp 202–205 °C; 1H-NMR δ 8.40 (d, 2H, J = 8), 8.22 (m, 4H), 8.01 (m, 3H), 7.33 (s, 1H), 7.25 (d, 1H, J = 8), 7.15 (d, 1H, J = 8), 4.59 (s, 2H), 4.49 (s, 2H), 2.60 (m, 2H) 2.31 (m, 2H), 2.20 (s, 6H), 1.7 (m, 2H); 13C-NMR δ 160.5, 159.6, 159.3, 154.2, 145.4, 140.6, 139.0, 138.4, 137.5, 137.3, 135.0, 131.9, 131.8, 130.7, 130.0, 122.7, 58.9, 44.8, 43.6, 41.5, 30.1, 29.3; HRMS (ESI) calculated for C32H26N8O6 (M+H): 621.2209; found: 621.2204.
N,N-Dimethyl-3,5-bis(azidomethyl)aniline (13). N,N-Dimethyl-3,5-bis(bromomethyl)aniline [28] (100 mg, 0.33 mmol) was dissolved in anhydrous DMF (10 mL) and sodium azide (128 mg, 1.97 mmol) was added. The reaction mixture was placed under argon and heated to 90 °C overnight. After cooling to room temperature, the reaction was poured into water and extracted with CH2Cl2. The combined organic extracts were dried with Na2SO4 and evaporated under reduced pressure to give diazide 13 as a pale orange oil; 71 mg, 73%; 1H-NMR δ 6.59 (s, 3H), 4.29 (s, 4H), 2.98 (s, 6H); 13C-NMR δ 151.2, 136.9, 115.7, 111.7, 55.2, 40.4; IR 3346, 2876, 2813, 2479, 2098, 1604, 1493, 1443, 1372, 1254, 1165, 1063, 1030, 986, 829, 724 cm−1.
N,N-Dimethyl-3,5-bis(aminomethyl)aniline (14). Prepared using the procedure detailed above for 4a, Step B. The solvent was removed under reduced pressure to afford 14 as a colorless oil; 30 mg, 53%; 1H-NMR δ 6.57 (s, 3H), 3.81 (s, 4H), 2.96 (s, 6H); 13C-NMR δ 151.2, 144.7, 114.4, 110.2, 47.0, 40.7; IR 3355, 2914, 2360, 1601, 1488, 1442, 1361, 1317, 1230, 1165, 1132, 1061, 995, 834, 700 cm−1; HRMS (ESI) m/z calcd for C10H18N3 (M+H): 180.1501; found: 180.1502.
Dimethyl 5-(N,N-Dimethyl)aminoisophthalate (15). A solution of dimethyl 5-(bromomethyl)iso­phthalate [29] (890 mg, 3.11 mmol) in anhydrous THF (15 mL) was treated at room temperature with dimethylamine (10 mL, 20 mmol, 2M in THF). This was stirred for 30 min during which time a white solid precipitated. The mixture was poured into 1N NaOH and extracted with EtOAc. The organic layer were washed with brine and dried over Na2SO4. Concentration under reduced pressure gave 15 as a yellow oil; 761 mg, 97%; 1H-NMR δ 8.59 (s, 1H), 8.19 (s, 2H), 3.95 (s, 6H), 3.51 (s, 2H), 2.26 (s, 6H); 13C-NMR δ 166.3, 140.2, 134.4, 134.3, 130.7, 129.6, 128.8, 63.5, 52.3, 45.4; IR 3434, 2951, 2856, 2820, 2776, 2256, 1728, 1640, 1606, 1456, 1435, 1366, 1329, 1244, 1205, 1148, 1122, 1107, 1043, 1008, 913, 873, 842, 790, 755, 733, 647 cm−1; HRMS (ESI) m/z calcd for C13H17NO4 (M+H): 252.1230; found: 252.1237.
1,3-Bis(aminomethyl)-5-(N,N-dimethylamino)methylbenzene (16). Step A. Prepared using the procedure detailed above for 3a, Step B. Concentration gave a yellow oil that was purified by flash chromatography eluting with 1%–20% MeOH/CH2Cl2. The diol was isolated as a white solid; 222 mg, 38%; mp 94–95 °C; 1H-NMR δ 7.42 (s, 1H), 7.27 (s, 2H), 4.75 (s, 4H), 3.99 (s, 2H), 2.53 (s, 6H); 13C-NMR δ 141.6, 132.0, 129.9, 126.0, 67.5, 64.8, 50.0; IR 3396, 3004, 2950, 2370, 2271, 1644, 1525, 1468, 1368, 1168, 1018, 873, 847, 821 cm−1; HRMS (ESI) m/z calcd for C11H17NO2 (M+H): 196.1332; found: 196.1331. Step B. Prepared using the procedure detailed above for 4a, Step A. Purification by flash chromatography eluting with 10%–30% EtOAc/hexane afforded the diazide as a colorless oil; 200 mg, 72%; 1H-NMR δ 7.30 (m, 3H), 4.43 (s, 4H), 4.01 (s, 2H), 2.56 (s, 6H); 13C-NMR δ 136.6, 132.7, 131.7, 125.6, 67.1, 54.1, 50.1; IR 2950, 2372, 2272, 2097, 1693, 1464, 1345, 1246, 1169, 1017, 842, 819 cm−1; HRMS (ESI) m/z calcd for C11H15N7 (M+H): 246.1462; found: 246.1460. Step C. Prepared using the procedure detailed above for 4a, Step B. 16 was obtained as a colorless oil; 77 mg, 100%; 1H-NMR δ 7.37 (s, 1H), 7.22 (s, 2H), 3.82 (m, 6H), 2.49 (s, 6H); 13C-NMR δ 143.6, 130.6, 129.8, 120.1, 67.4, 66.2, 49.7; IR 3314, 2945, 2369, 2318, 2271, 1666, 1605, 1467, 1169, 1017, 819 cm−1; HRMS (ESI) m/z calcd for C11H19N3 (M+H): 194.1652; found: 194.1649.
Dimethyl 5-[3-[(tert-Butoxycarbonyl)amino]propyl]isophthalate (17). A reusable sealed-tube was equipped with a magnetic stirrer and charged with dimethyl 5-(trifluoromethanesulfonyl­oxy)isophthalate [30] (342 mg, 1 mmol), potassium 3-(tert-butoxycarbonylamino)propyltrifluoroborate (265 mg, 1 mmol), RuPhos (46.7 mg, 0.1 mmol), Cs2CO3 (977 mg, 3 mmol), Pd(OAc)2 (11.2 mg, 0.05 mmol), toluene (3 mL), and water (1 mL) and was sparged with nitrogen for a few minutes and then tightly sealed. The tube was placed into a pre-heated oil bath at 95 °C for 23 h. The tube was allowed to come to room temperature, sat. NH4Cl (16 mL) was added, and the mixture was extracted with CH2Cl2 (3 × 20 mL). The combined extracts were dried over Na2SO4, filtered and evaporated under reduced pressure to give the crude product as a yellow oil. Purification by flash chromatography on silica gel eluting with 25% EtOAc/hexanes afforded 17 as a colorless oil; 250 mg, 71%; 1H-NMR δ 8.49 (s, 1H), 8.03 (s, 2H), 4.59 (br s, 1H), 3.92 (s, 6H), 3.14 (t, 2H, J = 7), 2.73 (t, 2H, J = 7), 1.83 (tt, 2H, J = 7,7), 1.42 (s, 9H); 13C-NMR δ 166.3, 155.9, 142.5, 133.7, 130.7, 128.5, 79.3, 52.3, 40.1, 32.7, 31.6, 28.4.
1,3-Bis(aminomethyl)-5-[3-[(tert-butoxycarbonyl)amino]propyl]benzene (18). Step A. Prepared using the procedure detailed above for 3a, Step B. The diol was obtained as a colorless oil; 800 mg, 98%; 1H-NMR δ 7.09 (s, 1H), 7.02 (s, 2H), 4.75 (br s, 1H), 4.53 (s, 4H), 3.47 (br s, 2H), 3.04 (t, 2H, J = 7), 2.57 (t, 2H, J = 7), 1.73 (m, 2H), 1.42 (s, 9H); 13C-NMR δ 156.2, 141.9, 141.4, 126.1, 123.1, 79.4, 64.8, 40.2, 32.8, 31.4, 28.4. Step B. The diol (710 mg, 2.4 mmol) was dissolved in CH2Cl2 (24 mL), treated with Et3N (1.1 mL, 8 mmol), and cooled to 0 °C under a drying tube. Methanesulfonyl chloride (0.62 mL, 8 mmol) was added and the solution was stirred for 5.5 h and then poured into water (25 mL). The organic layer was separated and washed with water (10 mL) and then dried over Na2SO4, filtered and evaporated to give a pale-yellow oil. Flash chromatography on silica gel eluting with 2:1 EtOAc/hexanes afforded the dimesylate as a colorless oil; 270 mg, 25%; 1H-NMR δ 7.30 (s, 1H), 7.27 (s, 2H), 5.22 (s, 4H), 4.66 (br s, 1H), 3.14 (t, 2H, J = 7), 2.99 (s, 6H), 2.67 (t, 2H, J = 7), 1.82 (tt, 2H, J = 7,7), 1.45 (s, 9H); 13C-NMR δ 156.0, 143.4, 134.5, 129.5, 126.4, 79.3, 70.7, 40.0, 38.2, 32.7, 31.6, 28.4. Step C. Prepared using the procedure detailed above for 13. The diazide was obtained as a colorless oil; 180 mg, 87%; 1H-NMR δ 7.11 (s, 3H), 4.56 (br s, 1H), 4.34 (s, 4H), 3.16 (t, 2H, J = 7), 2.68 (t, 2H, J = 7), 1.83 (m, 2H), 1.46 (s, 9H); 13C-NMR δ 156.0, 143.1, 136.3, 128.1, 125.6, 77.3, 54.6, 40.3, 32.9, 31.7, 28.4. Step D. Prepared using the procedure detailed above for 4a, Step B. Diamine 18 is a pale-yellow oil; 140 mg, 90%; 1H NMR δ 7.09 (s, 1H), 7.00 (s, 2H), 4.58 (br s, 1H), 3.83 (s, 4H), 3.13 (m, 2H), 2.62 (t, 2H, J = 7), 1.80 (m, 6H (H2' + 2NH2)), 1.44 (s, 9H); 13C-NMR δ 156.0, 143.6, 142.2, 125.7, 123.6, 79.1, 46.4, 40.2, 33.0, 31.7, 28.4.
Pyridyl tetraoxazole macrocycle with a 5-N,N-dimethylamino group on the phenyl ring (19). Prepared using the procedure detailed above for 8. White solid; 9 mg, 10%; mp 275–280 °C (dec.); 1H-NMR δ 8.32 (m, 6H), 8.10 (m, 3H), 6.90 (s, 1H), 6.71 (s, 2H), 4.56 (s, 4H), 2.93 (s, 6H); 13C-NMR δ 160.8, 160.3, 154.3, 151.7, 145.2, 141.4, 139.4, 138.9, 138.4, 137.7, 131.8, 122.8, 118.3, 113.3, 44.0, 40.6; IR 3417, 1644, 1605, 1439, 1370, 1172, 1112, 926 cm−1; HRMS (ESI) m/z calcd for C29H23N8O6 (M+H): 579.1735; found: 579.1727.
Pyridyl tetraoxazole macrocycle with a 5-(N,N-dimethylaminomethyl) group on the phenyl ring (20). Prepared using the procedure detailed above for 8. White solid; 5 mg, 4%; mp > 300 °C; 1H-NMR δ 8.58 (s, 2H), 8.44 (m, 4H), 8.63 (s, 2H), 8.07 (m, 2H), 3.97 (m, 6H), 3.46 (s, 3H), 3.12 (s, 3H); HRMS (ESI) m/z calcd for C30H24N8O6 (M+H) 593.1892; found: 593.1885.
Pyridyl tetraoxazole macrocycle with a 5-[3-[(tert-butoxycarbonyl)amino]propyl] group on the phenyl ring (21). Prepared using the procedure detailed above for 8. White solid; 40 mg, 43%; 1H-NMR δ 8.27 (s, 2H, H5 oxazole), 8.25 (s, 2H, H5 oxazole), 8.06 (m, 3H, H3-5 pyr), 7.52 (t, 2H, J = 5, lactam NH), 7.23 (s, 1H, H2 phenyl), 7.15 (s, 2H, H4,6 phenyl), 4.59 (br s, 1H, Boc NH), 4.55 (d, 4H, J = 5, CH2NHC=O), 3.10 (m, 2H, H3'), 2.60 (t, 2H, J = 7, H1'), 1.78 (m, 2H, H2'), 1.39 (s, 9H, Me3); 13C-NMR δ 160.5 (C=O lactam), 159.7 (C2,6 pyridine), 156.0 (C=O carbamate), 154.2 (C2 distal oxazole), 145.4 (C2 proximal oxazole), 143.6 (C1,3 phenyl), 142.7 (C5 phenyl), 140.6 (C5 prox. oxazole), 139.1 (C5 distal oxazole), 138.5 (C4 pyr), 137.7 (C4 distal oxazole), 131.8 (C4 (proximal oxazole), 129.5 (C4,6 phenyl), 127.8 (C2 phenyl), 122.7 (C3,5 pyr), 79.1 (CMe3), 43.8 (CH2NHC=O), 40.2 (C3'), 32.8 (C1'), 31.7 (C2'), 28.4 (Me3).
Pyridyl tetraoxazole macrocycle with a 5-[3-(N,N-dimethylamino)propyl] group on the phenyl ring (22). Step A. Prepared from 21 using the procedure detailed above for 11, Step A, but substituting 1:1 TFA/CH2Cl2 for 20% HCl. The trifluoroacetate salt is a white solid; 38 mg, 93%. Step B. The salt was converted into 22 using the procedure detailed above for 11 Step B. White solid; 16 mg, 48%; 1H-NMR δ 8.28 (s, 2H, H5 distal oxazole), 8.19 (s, 2H, H5 proximal oxazole), 7.98 (s, 3H, H3-5 pyridine), 7.21(s, 1H, H2 phenyl), 7.03 (s, 2H, H4,6 phenyl), 4.42 (s, 4H, CH2 macrocycle), 2.49 (t, 2H, J = 7, H1'), 2.41 (t, 2H, J = 7, H3'), 2.24 (s, 6H, Me2N), 1.74 (m, 2H, H2'); 13C-NMR δ 160.6 (C=O), 160.2 (C2,6 pyr), 154.4 (C2 dist. oxaz.), 145.0 (C2 prox. oxaz.), 141.2 (C5 prox. oxaz.), 139.6 (C5 dist. oxaz.), 138.7 (C4 pyr), 137.7 (C4 dist. oxaz.), 131.3 (C4 prox. oxaz.), 129.0 (C4,6 phen), 127.6 (C2 phen), 122.8 (C3,5 pyr.), 58.4 (C3'), 43.9 (Me2N), 43.5 (CH2 macrocycle), 32.8 (C1'), 27.4 (C2'); HRMS (ESI) m/z calcd for C32H28N8O6 (M+H) 621.2210; found: 621.2205.
Ethyl 5-[2-[[(Benzyloxy)carbonyl]amino]ethyl]oxazole-4-carboxylate (23). Cbz-β-alanine (6.41 g, 28.7 mmol) was dissolved in anhydrous CH2Cl2 (20 mL) and cooled to 0 °C in an ice bath. It was then treated with oxalyl chloride (5 mL) and stirred at 0 °C for 30 min. The reaction was next warmed to room temperature and stirred for 2.5 h. Removal of solvents in vacuo gave the acid chloride as a colorless oil. This was dissolved in anhydrous DMF (15 mL) and added to a solution of ethyl isocyanoacetate (2.4 mL, 22.1 mmol) and DBU (5 mL, 33.2 mmol) in anhydrous DMF (15 mL) under argon. The dark brown solution was heated to 80 °C for 4.5 h and was then poured into saturated NaHCO3. This was extracted with EtOAc and the combined organic layers were washed with 5% HCl, and brine. After concentration, the resulting brown oil was flash chromatographed on SiO2 with 15%–40% EtOAc in hexane. Oxazole 23 was isolated as a pale orange oil; 3.01 g, 43%; 1H-NMR δ 7.75 (s, 1H), 7.32 (m, 5H), 5.11 (m, 3H), 4.36 (q, 2H, J = 8), 3.55 (m, 2H), 3.28 (t, 2H, J = 8), 1.37 (t, 3H, J = 8); 13C-NMR δ 162.0, 157.0, 156.2, 149.4, 136.5, 128.7, 128.5, 128.4, 128.1, 128.0, 66.7, 61.2, 39.2, 26.6, 14.1; IR 3338, 3131, 3065, 3033, 2982, 2942, 2248, 1716, 1612, 1525, 1455, 1399, 1379, 1349, 1313, 1254, 1184, 1103, 1073, 1038, 912, 840, 788, 776, 736, 699, 647 cm−1; HRMS (ESI) m/z calcd for C16H19N2O5 (M+H): 318.6252; found: 318.6247.
Ethyl 5-[2-[(tert-Butoxycarbonyl)amino]ethyl]-2-iodooxazole-4-carboxylate (24). Step A. Compound 23 (3 g, 9.43 mmol) was dissolved in EtOAc (50 mL) and di-tert-butyl dicarbonate (3.09 g, 14.2 mmol) and 10% Pd/C (300 mg) were added. This was stirred under 1 atm of H2 overnight. The reaction mixture was filtered through Celite while washing with ethyl acetate. This was concentrated in vacuo to give a yellow oil which was flash chromatographed on SiO2 with 10%-40% EtOAc in hexane. The NHBoc product was isolated as a yellow oil; 1.94 g, 72%; 1H-NMR δ 7.82 (s, 1H), 4.92 (br s, 1H), 4.40 (q, 2H, J = 8), 3.48 (m, 2H), 3.27 (t, 2H, J = 8), 1.41 (t, 3H, J = 8); 13C-NMR δ 162.0, 157.3, 155.8, 149.4, 128.3, 79.4, 61.2, 33.7, 28.4, 26.8, 14.3; IR 3366, 3125, 2979, 2936, 2360, 1716, 1612, 1522, 1455, 1393, 1380, 1367, 1349, 1314, 1278, 1252, 1172, 1103, 1074, 1042, 1026, 957, 869, 841, 789, 648 cm−1; HRMS (ESI) m/z calcd for C13H21N2O5 (M+H): 284.6409; found: 284.6407. Step B. The product from the previous reaction (1.94 g, 6.83 mmol) was dissolved in anhydrous THF (10 mL) and placed under argon. The solution was cooled to −42 °C and treated with freshly prepared LiHMDS (19 mL, 15.03 mmol, 0.8 M in THF). The solution became dark yellow in color and was stirred for 20 min. Then a solution of ZnCl2 (30 mL, 15.03 mmol, 0.5 M in THF) was added and a white precipitate formed. The reaction was warmed to 0 °C for 45 min and the solution became clear. Then solid iodine (2.25 g, 8.9 mmol) was added and the reaction stirred for 1 h at room temperature. The reaction mixture was poured into saturated sodium thiosulfate solution to which 25% NH4OH solution had been added. This was extracted with EtOAc and the combined organic layers were dried with brine and Na2SO4. Removal of the solvent in vacuo gave the iodooxazole 24 as an orange oil; 2.5 g, 89%; 1H-NMR δ 4.77 (br s, 1H), 4.38 (q, 2H, J = 8), 3.46 (m, 2H), 3.26 (t, 2H, J = 8), 1.41 (s, 9H); 13C-NMR δ 162.6, 160.9, 155.6, 131.9, 99.9, 79.6, 61.4, 38.7, 28.3, 26.9, 14.3; IR 3367, 2978, 2934, 1698, 1614, 1518, 1494, 1455, 1393, 1367, 1323, 1281, 1250, 1172, 1123, 1076, 1042, 1028, 843, 785, 733 cm−1; HRMS (ESI) m/z calcd for C13H20N2O5I (M+H): 411.0411; found: 411.0412.
Ethyl 5-[2-[(tert-Butoxycarbonyl)amino]ethyl]-2-vinyloxazole-4-carboxylate (25). Oxazole 24 (2.5 g, 6.1 mmol) and tributyl(vinyl)tin (2.7 mL, 9.15 mmol) were dissolved in anhydrous dioxane (20 mL) and placed under argon. Then bis(triphenylphosphine)palladium(II) dichloride (214 mg, 0.31 mmol) was added and the reaction mixture was heated for 4 h at 105 °C. After cooling the solvent was removed in vacuo and the resulting brown oil was flash chromatographed on SiO2 with 10%–30% EtOAc in hexane. Olefin 25 was isolated as a yellow oil; 1.49 g, 79%; 1H-NMR δ 6.59 (dd, 1H, J = 12,16), 6.21 (d, 1H, J = 16), 5.70 (dd, 1H, J = 12), 4.86 (br s, 1H), 4.40 (q, 2H, J = 8), 3.48 (m, 2H), 3.26 (t, 2H, J = 8), 1.41 (s, 9H); 13C NMR δ 162.2, 159.3, 156.8, 155.7, 129.4, 123.2, 122.8, 79.4, 61.1, 38.3, 28.3, 26.8, 14.2; IR 3357, 2978, 2935, 1714, 1607, 1520, 1453, 1393, 1380, 1366, 1326, 1278, 1250, 1176, 1097, 1046, 983, 952, 852, 769, 732 cm−1; HRMS (ESI) m/z calcd for C15H23N2O5 (M+H): 311.1601; found: 311.1600.
Ethyl 5-[2-[(tert-Butoxycarbonyl)amino]ethyl]-2-[[(tert-butyldimethylsilyl)oxy]-1-hydroxyethyl]oxazole-4-carboxylate (26). Step A. AD-mix-β (17 g) and methanesulfonamide (458 mg, 4.81 mmol) were dissolved in a mixture of t-BuOH (150 mL) and water (150 mL) and stirred at room temperature until clear. Then a solution of 25 (1.49 g, 4.81 mmol) in t-BuOH (25 mL) was added. The reaction stirred at room temperature for 16 h and then additional AD-mix-β (3 g) and methanesulfonamide (458 mg, 4.81 mmol) were added and the reaction stirred at room temperature for another 24 h. Then Na2SO3 (22 g) was added and the reaction stirred for 30 minutes. It was next poured into a separatory funnel and the layers were separated. The aqueous layer was extracted with EtOAc and the combined aqueous layers were dried with Na2SO4. The solvent was removed in vacuo to give a pale yellow oil which was purified by flash chromatography eluting with 2%–4% MeOH in CH2Cl2. The diol was obtained as a colorless oil; 901 mg, 55%; 1H-NMR δ 4.84 (m, 2H), 4.38 (q, 2H, J = 8), 4.01 (m, 2H), 3.64 (br s, 1H), 3.47 (m, 3H), 3.21 (m, 2H), 1.37 (m, 12H); 13C-NMR δ 162.4, 162.2, 157.3, 156.0, 129.0, 79.9, 68.4, 65.0, 61.2, 38.7, 28.3, 27.4, 14.4; IR 3406, 2979, 1693, 1520, 1368, 1252, 1168, 1093, 1046 cm−1; HRMS (ESI) m/z calcd for C15H24N2O7Na (M+Na): 367.1476; found: 367.1476. Step B. The diol (900 mg, 2.62 mmol) and imidazole (356 mg, 5.23 mmol) were dissolved in anhydrous DMF (10 mL) and placed under argon. The reaction mixture was cooled to 0 °C and a solution of tert-butyldimethylsilyl chloride (434 mg, 2.88 mmol) in DMF (2 mL) was added dropwise. This was allowed to slowly warm to room temperature and stirred for 24 h. Additional tert-butyldimethylsilyl chloride (120 mg, 0.8 mmol) was added and the reaction stirred at room temperature for 6 h. This was then poured into 5% HCl and extracted with CH2Cl2. The organic extracts were dried with Na2SO4 and concentrated in vacuo to give a colorless oil. This was flash chromatographed on SiO2 with 20%–40% EtOAc in hexane and product 26 was isolated as a colorless oil; 942 mg, 79%; 1H-NMR δ 4.82 (m, 1H), 4.80 (br s, 1H), 4.35 (q, 2H, J = 8), 3.93 (m, 2H), 3.42 (m, 2H), 3.20 (t, 2H, J = 8), 3.12 (d, 1H, J = 4), 1.35 (m, 12H), 0.82 (s, 9H), 0.01 (d, 6H, J = 4); 13C-NMR δ 162.1, 161.2, 157.4, 155.7, 128.7, 79.5, 68.5, 65.3, 61.2, 38.8, 28.4, 25.8, 18.2, 14.2, −5.43; IR 3365, 2955, 2931, 2858, 1717, 1614, 1518, 1463, 1392, 1367, 1326, 1252, 1176, 1127, 1096, 1046, 839, 780 cm−1; HRMS (ESI) m/z calcd for C21H38N2O7SiNa (M+Na): 481.2340; found: 481.2336.
Ethyl 5-[2-[(tert-Butoxycarbonyl)amino]ethyl]-2-[[(tert-butyldimethylsilyl)oxy]-1-(methanesulfonyl­oxy)ethyl]oxazole-4-carboxylate (27). Prepared using the procedure detailed above for 18, Step B. Concentration in vacuo afforded product 27 as a colorless oil; 958 mg, 97%; 1H-NMR δ 5.58 (dd, 1H, J = 4,8), 4.79 (br s, 1H), 4.32 (q, 2H, J = 8), 4.08 (m, 2H), 3.38 (m, 2H), 3.17 (m, 2H), 3.02 (m, 4H), 1.32 (m, 12H), 0.80 (s, 9H), 0.01 (d, 6H, J = 4); 13C-NMR δ 161.7, 158.3, 156.7, 155.7, 129.2, 79.5, 75.2, 63.3, 61.4, 45.9, 38.8, 28.3, 27.1, 25.7, 18.2, 14.3, −5.38; IR 3407, 2933, 2858, 2251, 1716, 1611, 1513, 1473, 1366, 1253, 1175, 1133, 1094, 1031, 971, 918, 839, 782, 735, 668, 647 cm−1; HRMS (ESI) m/z calcd for C22H41N2O6SiS (M+H): 537.2297; found: 537.2281.
Ethyl 2-[1-Amino-2-[(tert-butyldimethylsilyl)oxy]ethyl]-5-[2-[(tert-butoxycarbonyl)amino]ethyl]oxazole-4-carboxylate (28). Step A. Prepared using the procedure detailed above for 13. Concentration in vacuo afforded the azide as a colorless oil; 813 mg, 94%; 1H-NMR δ 4.76 (br s, 1H), 4.57 (m, 1H), 4.30 (q, 2H, J = 8), 4.01 (m, 2H), 3.38 (m, 2H), 3.16 (t, 2H, J = 8), 1.31 (m, 12H), 0.80 (s, 9H), 0.00 (d, 6H, J = 4); 13C-NMR δ 160.8, 157.1, 156.8, 154.7, 127.9, 78.4, 63.5, 60.3, 58.7, 37.7, 27.3, 25.9, 24.6, 17.1, 13.3, −6.53; IR 3372, 2932, 2858, 2107, 1716, 1613, 1514, 1464, 1366, 1323, 1253, 1175, 1096, 1031, 839, 780, 733 cm−1; HRMS (ESI) m/z calcd for C21H38N5O6Si (M+H): 484.2586; found: 484.2578. Step B. Prepared using the procedure detailed above for 4a, Step B. Product 28 was obtained as a pale yellow oil; 510 mg, 66%; 1H-NMR δ 4.78 (br s, 1H), 4.36 (q, 2H, J = 8), 4.13 (m, 1H), 3.90 (m, 2H), 3.42 (m, 2H), 3.18 (t, 2H, J = 8), 2.29 (br s, 2H), 1.36 (m, 12H), 0.82 (s, 9H), −0.01 (d, 6H, J = 4); 13C-NMR δ 162.3, 157.0, 156.5, 155.7, 128.6, 79.4, 65.9, 61.2, 52.1, 39.9, 28.4, 26.8, 25.8, 18.2, 14.4, −5.44; IR 3379, 2931, 2857, 1716, 1615, 1518, 1463, 1366, 1252, 1174, 1095, 838, 779 cm−1; HRMS (ESI) m/z calcd for C21H40N3O6Si (M+H): 458.2681; found: 458.2671.
Ethyl 5-[2-[(tert-butoxycarbonyl)amino]ethyl]-2-[2-[(tert-Butyldimethylsilyl)oxy]-1-[[6-[[1-(4-methoxycarbonyl)oxazol-2-yl]-2-[(triiso-propylsilyl)oxy]ethyl]carbamoyl]picolinamido]ethyl]oxazole-4-carboxylate (30). Step A. 2,6-Pyridinedicarboxylate (366 mg, 2.2 mmol) and oxazole 29 [17] (500 mg, 1.46 mmol) were dissolved in anhydrous DMF (5 mL) and placed under argon. The solution was cooled to 0 °C and treated dropwise with a solution of EDC (288 mg, 1.46 mmol), HOBt (197 mg, 1.46 mmol) and 2,6-lutidine (0.34 mL, 2.92 mmol) in DMF (5 mL). The reaction was kept at low temperature for 4 h and then warmed to room temperature and stirred overnight. This was then poured into brine and extracted with EtOAc. The combined organic extracts were washed sequentially with 10% sodium bicarbonate, 5% HCl, water and brine. This was dried with Na2SO4 and the solvent was removed under reduced pressure to give a colorless oil. The residue was flash chromatographed on SiO2 eluting with 15%–50% EtOAc/hexane to give 196 mg of the amide as a colorless oil, 27%; 1H-NMR δ 9.28 (d, 1H, J = 12), 8.37 (d, 1H, J = 8), 8.31 (d, 1H, J = 8), 8.15 (s, 1H), 8.00 (m, 1H), 5.60 (m, 1H), 4.20 (m, 2H), 3.80 (s, 3H), 0.88 (m, 21H); 13C-NMR δ 165.6, 164.1, 163.4, 161.1, 149.1, 146.1, 144.0, 139.1, 133.3, 127.5, 126.4, 64.4, 52.1, 49.7, 17.7, 11.7; IR 3316, 2945, 2867, 1748, 1685, 1584, 1525, 1456, 1345, 1252, 1203, 1114, 1072, 1000, 918, 882, 848, 801, 734, 684, 642 cm1; HRMS (ESI) m/z calcd. for C23H34N3O7Si (M+H): 492.2161; found: 492.2145. Step B. The amide from above (196 mg, 0.4 mmol) and oxazole 28 (182 mg, 0.4 mmol) were treated as detailed above in stepA. Flash chromtography on SiO2 eluting with 10%–40% EtOAc/hexane gave the product 30 as a colorless oil, 245 mg, 66%; 1H-NMR δ 8.37 (d, 1H, J = 4), 8.35 (m, 3H), 8.25 (s, 1H), 8.21 (s, 1H), 8.01 (m, 1H), 5.60 (m, 1H), 5.47 (m, 1H), 4.84 (m, 1H), 4.35 (q, 2H, J = 8), 4.25 (m, 2H), 4.13 (m, 2H), 3.81 (s, 3H), 3.31 (m, 2H), 3.15 (m, 2H), 1.22 (m, 12H), 0.99 (m, 21H), 0.78 (s, 9H), −0.01 (m, 6H); 13C-NMR δ 171.1, 163.6, 163.4, 163.0, 162.9, 161.9, 161.3, 160.4, 157.2, 155.8, 148.5, 144.2, 138.9, 133.4, 129.0, 125.7, 79.3, 64.2, 63.6, 60.3, 52.1, 50.2, 49.9, 38.7, 28.2, 25.6, 21.0, 17.8, 14.2, 11.8, −5.50; IR 3337, 2945, 2866, 1719, 1683, 1583, 1524, 1464, 1444, 1366, 1324, 1252, 1172, 1115, 1000, 919, 882, 840, 780, 733, 646 cm1; HRMS (ESI) m/z calcd for C44H70N6O12Si2Na (M+Na): 953.4482; found: 953.4459.
Diethyl 2,2'-[[(Pyridine-2,6-dicarbonyl)bis(azanediyl)]bis[2-[(triisopropylsilyl)oxy]ethane-1,1-diyl]]­bis[5-[2-[(tert-butoxycarbonyl)amino]ethyl]oxazole-4-carboxylate] (31). 2,6-Pyridinedicarboxylic acid (37 mg, 0.22 mmol), amine 28 (200 mg, 0.44 mmol) were treated as detailed above for 30, Step A. Product 31 was obtained as a colorless oil; 195 mg, 85%; 1H-NMR δ 8.36 (m, 2H), 8.02 (m, 1H), 5.52 (m, 1H), 4.36 (m, 4H), 4.13 (m, 2H), 3.42 (m, 2H), 3.17 (m, 2H), 1.30 (m, 24H), 0.80 (s, 18H), 0.00 (s, 12H); 13C-NMR δ 163.2, 160.8, 157.1, 156.0, 148.6, 138.9, 127.1, 125.7, 79.4, 63.6, 61.0, 49.8, 38.7, 28.3, 26.9, 25.6, 21.3, 18.0, -5.2; IR 3343, 2931, 2858, 1716, 1615, 1525, 1463, 1392, 1367, 1348, 1325, 1253, 1175, 1122, 1094, 1032, 1003, 919, 840, 780, 735 cm−1; HRMS (ESI) m/z calcd for C49H79N7O14Si2Na (M+Na): 1068.5116; found: 1068.5117.
5-[2-[(tert-Butoxycarbonyl)amino]ethyl]-2'-[6-[4-carboxy-[2,4'-bioxazol]-2'-yl]pyridine-2-yl]-[2,4'-bioxazole]-4-carboxylic acid (32). Step A. 30 (245 mg, 0.26 mmol) was dissolved in anhydrous THF (10 mL) and pyridine (1 mL) and HF-pyridine complex (0.3 mL) was added. The reaction was stirred at room temperature overnight and was then poured into saturated sodium bicarbonate solution. This was extracted with CH2Cl2 and dried with Na2SO4. Removal of solvent under vacuum gave 174 mg of the diol as a colorless oil, 100%; 1H-NMR δ 8.17 (m, 4H), 7.78 (m, 1H), 5.58 (m, 2H), 5.12 (s, 1H), 4.27 (m, 6H), 3.83 (s, 3H), 3.44 (m, 2H), 3.21 (t, 2H, J = 8), 1.36 (s, 9H), 1.08 (t, 3H, J = 8); 13C-NMR δ 161.2, 161.7, 161.4, 160.9, 160.2, 158.6, 157.7, 155.9, 149.5, 148.1, 144.4, 138.5, 136.2, 132.8, 128.1, 125.3, 79.4, 70.3, 62.0, 52.1, 38.4, 29.2, 28.3, 25.0, 22.6, 17.1; IR 3333 (br), 2954, 2250, 1720, 1678, 1617, 1582, 1530, 1442, 1367, 1347, 1324, 1275, 2248, 1174, 1114, 1000, 963, 915, 846, 805, 774, 734, 705, 646 cm1; HRMS (ESI) m/z calcd for C29H36N6O12Na (M+Na): 683.2283; found: 683.2262. Step B. The diol (174 mg, 0.26 mmol) was dissolved in anhydrous CH2Cl2 (7 mL) and placed under argon. The flask was cooled to −78 °C and the solution was treated with DAST (87 μL, 0.66 mmol). The reaction stirred at low temperature for 4 h and then solid K2CO3 (81 mg, 0.66 mmol) was added. The reaction was warmed to room temperature and poured into saturated sodium bicarbonate solution. This was extracted with CH2Cl2 and the combined organic extracts were dried with Na2SO4. The solvent was removed in vacuo to give the bis(oxazoline) 153 mg as a yellow oil, 93%; 1H-NMR δ 8.26 (m, 3H), 7.94 (t, 1H, J = 8), 5.63 (m, 2H), 4.92 (m, 5H), 4.38 (m, 2H), 3.92 (s, 3H), 3.46 (m, 2H), 3.24 (t, 2H, J = 8), 1.41 (s, 9H); 13C-NMR δ 165.1, 164.9, 163.0, 161.9, 161.3, 160.6, 158.1, 155.7, 146.3, 146.1, 144.8, 137.6, 133.4, 128.9, 126.8, 126.7, 79.3, 71.3, 68.4, 64.0, 61.2, 52.2, 42.1, 38.7, 29.6, 28.3, 14.3; IR 3381, 2977, 2931, 1716, 1639, 1582, 1518, 1460, 1366, 1345, 1322, 1249, 1176, 1144, 1112, 1033, 978, 918, 833, 804, 734 cm1; HRMS (ESI) m/z calcd for C29H32N6O10Na (M+Na): 647.2072; found: 647.2054. Step C. The bis(oxazoline) (153 mg, 0.25 mmol) was dissolved in anhydrous CH3CN and placed under argon. The flask was cooled to 0 °C and the solution was treated drop-wise sequentially with DBU (156 μL 1.04 mmol) and BrCCl3 (123 μL, 1.25 mmol). The reaction was gradually warmed to room temperature and stirred overnight. A white solid precipitated and was filtered and washed with CH3CN. The solid was dried to give 91 mg of the tetraoxazole diester as a white solid, 60%; mp 222 °C (dec); 1H-NMR δ 8.42 (s, 1H), 8.37 (s, 1H), 8.31 (m, 3H), 8.07 (t, 1H, J = 8), 4.85 (s, 1H), 4.42 (m, 2H), 5.31 (s, 3H), 3.56 (m, 2H), 3.35 (m, 2H), 1.42 (s, 9H); 13C NMR δ 162.0, 161.3, 160.8, 160.5, 157.3, 155.4, 153.3, 145.6, 145.5, 144.0, 141.1, 138.5, 134.5, 131.5, 131.3, 129.9, 124.4, 124.2 79.5, 61.4, 54.4, 38.9, 28.4, 27.0, 14.4; IR 3356, 3111, 2978, 1719, 1574, 1523, 1453, 1367, 1325, 1253, 1158, 1098, 1045, 998, 971, 926, 824, 780, 734, 712 cm1. Step D. The diester (71 mg, 0.13 mmol) was suspended in a mixture of THF (30 mL) and water (3 mL) and lithium hydroxide (12 mg, 0.29 mmol) was added. The reaction was refluxed for 30 min and then stirred at room temperature overnight. THF was removed under vacuum and 5% HCl was added to the remaining solution. A white solid precipitated and was filtered and washed with water. The solid was dried by azeotroping with toluene 3 times to give 50 mg of diacid 32, as a white solid, 67%; mp 225–226 °C; HRMS (ESI) m/z calcd for C26H22N6O10Na (M+Na): 601.1290; found: 601.1284.
2,2'-(Pyridine-2,6-diyl)bis[5-[(tert-butoxycarbonyl)amino]ethyl]-[2,4'-bioxazole]-4-carboxylic acid (33). Step A. Prepared using the procedure detailed above for 32 Step A. The diol was obtained as a yellow oil, 134 mg, 89%; 1H-NMR δ 8.60 (s, 2H), 7.67 (m, 1H), 5.50 (m, 1H), 4.23 (m, 4H), 3.45 (m, 2H), 3.15 (m, 2H), 1.36 (m, 24H); 13C-NMR δ 163.6, 161.9, 157.8, 156.0, 155.9, 148.5, 125.3, 123.8, 79.5, 62.9, 61.2, 53.5, 37.7, 28.3, 27.1, 14.2; IR 3339, 2978, 2934, 2248, 1716, 1616, 1529, 1445, 1367, 1347, 1325, 1281, 1250, 1174, 1092, 1047, 1000, 917, 846, 788, 733, 706 cm−1; HRMS (ESI) m/z calcd for C37H51N7O14Na (M+Na): 840.3386; found: 840.3383. Step B. Prepared using the procedure detailed above for 32 Step B. The bis(oxazoline) was obtained as an orange oil; 116 mg, 91%; 1H-NMR δ 8.25 (d, 2H, J = 8), 7.93 (t, 1H, J = 8), 5.61 (t, 2H, J = 8), 4.91 (m, 6H), 4.39 (q, 4H, J = 8), 3.46 (m, 4H), 3.24 (t, 4H, J = 8), 1.41 (m, 24H); 13C-NMR δ 164.9, 162.0, 160.6, 158.1, 155.7, 146.2, 137.6, 128.9, 126.8, 79.5, 71.3, 64.0, 61.2, 38.7, 28.3, 18.9; IR 3364, 2977, 1713, 1520, 1458, 1366, 1250, 1175, 1093, 1031, 921, 844, 733 cm−1; HRMS (ESI) m/z calcd for C37H47N7O12Na (M+Na): 804.3175; found: 804.3167. Step C. Prepared using the procedure detailed above for 32 Step C. This was purified by flash chromatography eluting with 1%–4% MeOH/CH2Cl2. The tetra-oxazole diester was isolated as a white solid; 58 mg, 50%; mp 245–247 °C; 1H-NMR (CDCl3 + CD3OD) δ 8.55 (s, 2H), 8.43 (d, 2H, J = 4), 8.08 (t, 1H, J = 8), 5.13 (br s, 2H), 4.44 (d, 4H, J = 8), 3.56 (m, 4H), 3.36 (m, 4H), 1.42 (m, 24H); 13C-NMR (CDCl3 + CD3OD) δ 161.8, 160.4, 157.3, 155.7, 153.2, 145.5, 140.6, 138.4, 131.4, 129.7, 124.2, 79.3, 61.3, 38.1, 28.3, 27.0, 14.3; IR 3355, 2978, 1710, 1639, 1524, 1452, 1367, 1250, 1171, 1089, 1048, 926, 733 cm−1; HRMS (ESI) m/z calcd for C37H43N7O12Na (M+Na): 800.2862; found: 800.2853. Step D. Prepared using the procedure detailed above for 32 Step D. Diacid 33 was obtained as a white solid; 35 mg, 65%; mp 250–252 °C (dec.); 1H-NMR (CDCl3 + CD3OD) δ 8.28 (s, 2H), 8.11 (d, 2H, J = 4), 7.82 (t, 1H, J = 8), 5.44 (br s, 2H), 3.22 (m, 4H), 3.05 (m, 4H), 1.13 (s, 18H); 13C-NMR (CDCl3 + CD3OD) δ 168.2, 165.1, 161.9, 157.8, 157.7, 150.3, 145.3, 143.3, 136.4, 134.8, 128.9, 83.6, 43.6, 35.1, 19.1; IR 3439, 2977, 2253, 2127, 1702, 1525, 1453, 1392, 1366, 1342, 1281, 1250, 1173, 1026, 926, 824, 762, 710 cm−1; HRMS (ESI) m/z calcd for C33H35N7O12Na (M+Na): 744.2236; found: 744.2229.
Pyridyl tetraoxazole macrocycle with a single 2-[[(tert-butoxy)carbonyl]amino]ethyl side chain (34). Prepared from 32 using the procedure detailed above for 8. Flash chromatography on SiO2 eluting with 1%–6% MeOH/CH2Cl2 gave macrocycle 34 as a white solid, 8 mg, 20%; mp 144–145 °C; 1H-NMR δ 8.45 (m, 3H), 8.27 (m, 3H), 8.08 (m, 2H), 7.49 (m, 5H), 5.29 (s, 1H), 4.58 (m, 4H), 3.55 (m, 2H), 3.37 (t, 2H, J = 8), 1.43 (s, 9H); 13C-NMR δ 161.0, 160.5, 160.3, 159.7, 156.1, 154.3, 145.6, 145.5, 140.5, 139.0, 138.4, 138.5, 137.7, 123.5, 131.9, 130.9, 129.9, 129.6, 129.5, 128.8, 122.6, 79.5, 43.8, 39.2, 29.0, 28.4; IR 3390, 2959, 2929, 2859, 1727, 1666, 1594, 1516, 1463, 1366, 1274, 1170, 1122, 1073, 991, 777, 738, 709 cm−1; HRMS (ESI) m/z calcd for C34H30N8O8Na (M+Na): 701.2079; found: 701.2069.
Pyridyl tetraoxazole macrocycle with two 2-[[(tert-butoxy)carbonyl]amino]ethyl side chains (35). Prepared from 33 using the procedure detailed above for 8. Flash chromatography eluting with 1–5% MeOH/CH2Cl2 to give macrocycle 35 as a white solid; 11 mg, 28%; mp 170–173 °C; 1H-NMR δ 8.24 (s, 2H), 8.06 (d, 2H, J = 8), 7.58 (s, 1H), 7.37 (m, 4H), 5.26 (s, 2H), 4.57 (d, 4H, J = 4), 3.55 (m, 4H), 3.37 (t, 4H, J = 8), 1.43 (s, 18H); 13C-NMR δ 161.1, 160.4, 156.1, 153.7, 152.2, 145.5, 138.8, 138.4, 137.9, 131.9, 131.5, 129.8, 129.4, 122.7, 79.3, 43.8, 39.2, 28.4, 26.4; IR 3322, 2976, 1695, 1646, 1525, 1440, 1366, 1284, 1250, 1170, 1093, 1047, 992, 926, 780, 734, 707 cm−1; HRMS (ESI) m/z calcd for C41H43N9O10Na (M+Na): 844.3025; found: 844.3024.
Pyridyl tetraoxazole macrocycle with a single 2-(N,N-dimethylamino)ethyl side chain (36). Step A. Prepared from 34 using the procedure detailed above for 22 Step A. The crude product was washed with hexane and dried to give 6 mg of the salt as a white solid, 100%; mp 170 °C (dec); 1H-NMR (DMSO-d6) δ 9.17 (s, 1H), 9.06 (s, 1H), 8.85 (s, 1H), 8.26 (m, 4H), 7.93 (m, 3H), 7.36 (m, 3H), 4.49 (m, 4H), 3.46 (m, 2H), 3.25 (m, 2H); IR 2958, 2918, 2855, 2351, 1726, 1671, 1650, 1595, 1540, 1507, 1441, 1266, 1178, 1111, 986, 915, 833, 800, 707 cm1; HRMS (free-base form) (ESI) m/z calcd for C29H22N8O6Na (M+H): 579.1735; found: 579.1758. Step B. Prepared using the procedure detailed above for 11 Step B. Product 36 was obtained as a white solid; 4 mg, 100%; mp 150–155 °C; 1H NMR (CDCl3 + CD3OD) δ 8.36 (s, 1H), 8.35 (s, 1H), 8.33 (s, 1H), 8.11 (m, 3H), 7.37 (m, 4H), 4.60 (m, 4H), 3.40 (m, 2H), 2.46 (s, 6H); 13C-NMR (CDCl3 + CD3OD) δ 161.0, 141.5, 139.3, 137.8, 129.5, 129.2, 129.1, 123.0, 122.9, 57.0, 44.9, 43.6, 23.9; IR 3395, 2964, 2918, 2849, 2351, 1732, 1661, 1655, 1595, 1545, 1514, 1463, 1447, 1370, 1321, 1266, 1173, 1108, 992, 926, 921, 822, 734, 722 cm1; HRMS (ESI) m/z calcd for C31H26N8O6 607.2048; found: 607.2069.
Pyridyl tetraoxazole macrocycle with two 2-(N,N-dimethylamino)ethyl side chains (37). Step A. Prepared from 35 using the procedure detailed above for 22 Step A. The bis(trifluoroacetate) salt was obtained as a white solid; 11 mg, 100%; mp 260 °C (dec.); 1H-NMR (CD3OD) δ 8.63 (s, 2H), 8.57 (s, 4H), 7.53 (s, 1H), 7.30 (s, 4H), 4.48 (s, 4H), 3.42 (s, 4H); IR 3405, 2964, 2926, 2855, 1653, 1529, 1452, 1266, 1025, 992, 827, 800 cm−1; HRMS (ESI) m/z calcd for C31H28N9O6 (M+H): 622.2142; found: 622.2140. Step B. Prepared using the procedure detailed above for 11 Step B. Bis(dimethylamino) product 37 was obtained as a white solid; 6 mg, 100%; mp 180–184 °C; 1H-NMR (CDCl3 + CD3OD) δ 8.31 (s, 2H), 8.08 (s, 3H), 7.52 (s, 1H), 7.35 (s, 3H), 5.32 (s, 4H), 2.80 (t, 4H, J = 8), 2.39 (m, 16H); 13C-NMR (CDCl3 + CD3OD) δ 162.5, 160.9, 145.4, 139.0, 129.4, 129.1, 122.8, 64.5, 44.9, 43.7, 23.9; HRMS (ESI) m/z calcd for C35H36N9O6 (M+H): 678.2789; found: 678.2793.
Temperature-Dependent Spectrophotometry. Temperature-dependent absorption experiments were conducted on an AVIV Model 14DS Spectrophotometer (Aviv Biomedical, Lakewood, NJ, USA) equipped with a thermoelectrically controlled cell holder. Quartz cells with a path length of 1.0 cm were used for all the absorbance studies. Temperature-dependent absorption profiles were acquired at either 260 nm (for ST duplex DNA) or 295 nm (for hTel quadruplex DNA) with a 5 s averaging time. The temperature was raised in 0.5 °C increments, and the samples were allowed to equilibrate for 1 min at each temperature setting. In the quadruplex melting studies, the hTel concentration was 5 µM in strand (120 μM in nucleotide). When present in these quadruplex studies, the drug concentrations were 20 µM. In the duplex melting studies the ST DNA concentrations were 15 µM base pair (30 μM in nucleotide) and, when present, the drug concentrations were 15 µM. The buffer for all the UV melting experiments contained 10 mM potassium phosphate (pH 7.5) and sufficient KCl (132 mM) to bring the total K+ concentration to 150 mM. Prior to their use in the UV melting experiments, all nucleic acid solutions were preheated at 90 °C for 5 min and slowly cooled to room temperature over a period of 4 hr.

3.2. Cytotoxicity Assays

Cytotoxicity was determined using the MTT-microtiter plate tetrazolinium assay (MTA). The human lymphoblast RPMI 8402 cell line was provided by Dr. Toshiwo Andoh (Aichi Cancer Center Research Institute, Nagoya, Japan) [38]. The KB3-1 cell line was obtained from K.V. Chin (The Cancer Institute of New Jersey, New Brunswick, NJ, USA) [39]. The cytotoxicity assay was performed using 96-well microtiter plates. Cells were grown in suspension at 37 °C in 5% CO2 and maintained by regular passage in RPMI medium supplemented with 10% heat inactivated fetal bovine serum, l-glutamine (2 mM), penicillin (100 U/mL), and Streptomycin (0.1 mg/mL). For determination of IC50 values, cells were exposed continuously for four days to varying concentrations of drug, and MTT assays were performed at the end of the fourth day. Each assay was performed with a control that did not contain any drug. All assays were performed at least twice in six replicate wells.

4. Conclusions

The results from this structure-activity investigation of macrocyclic pyridyl polyoxazoles indicate that analogs that have either a dimethylamino group directly attached to, or separated from the phenyl ring at the 4- or 5-positions by two methylene groups strongly and selectively stabilize G-quadruplex DNA. These same analogs are also highly cytotoxic against KB3-1 cells with IC50 values ≤ 70 nM. A dimethylaminomethyl group at the 5-position of the phenyl is essentially devoid of G-quadruplex stabilizing and cytotoxic activity. Extending the side-chain by one methylene group to form a propyl chain at either the 4- or 5-position of the phenyl ring fails to improve cytotoxic activity over the corresponding ethyl analogs, although the 5-substituted analog does strongly stabilize G-quadruplex DNA. Attaching a 2-(dimethylamino)ethyl chain to an oxazole instead of the phenyl ring results in an analog with moderate cytotoxic activity but low G-quadruplex stabilizing capability. It is conceivable that this compound might have affinity for other types of G-quadruplexes, perhaps RNA, which might account for its modest cytotoxic activity. Upon attaching a second such side chain onto another oxazole ring quadruplex stabilization and cytotoxic activity are both diminshed. These studies suggest that when selective G-quadruplex stabilization, cytotoxic activity, water-solubility, and ease of synthesis are all taken into account, the previously-reported 5-[2-(dimethylamino)ethyl]phenyl analog 2 represents one of the better compounds for further development.

Acknowledgments

The Brucker Avance III 400 MHz NMR spectrometer used for this study was purchased with funds from NCRR Grant No. 1S10RR23698-1A1. Mass spectrometry was provided by the Washington University Mass Spectrometry Resource with support from the NIH National Center for Research Resources Grant No. 5P41RR000954-35 and NIH National Institute of General Medical Sciences Grant No, 8P41GM103422-35.

Conflicts of Interest

The authors declare no conflict of interest.

References

  1. Monchaud, D.; Teulade-Fichou, M.-P. A hitchhiker’s guide to G-quadruplex ligands. Org. Biomol. Chem. 2008, 6, 627–636. [Google Scholar] [CrossRef]
  2. Keniry, M.A. Quadruplex structures in nucleic acids. Biopolymers 2001, 56, 123–146. [Google Scholar] [CrossRef]
  3. Oganesian, L.; Bryan, T.M. Physiological relevance of telomeric G-quadruplex formation: a potential drug target. BioEssays 2007, 29, 155–165. [Google Scholar] [CrossRef]
  4. Simonsson, T.; Pecinka, P.; Kubista, M. DNA tetraplex formation in the control region of c-myc. Nucleic Acids Res. 1998, 26, 1167–1172. [Google Scholar] [CrossRef]
  5. Cogoi, S.; Xodo, L.E. G-Quadruplex formation within the promoter of the KRAS proto-oncogene and its effect on transcription. Nucleic Acids Res. 2006, 34, 2536–2549. [Google Scholar] [CrossRef]
  6. Dai, J.; Dexheimer, T.S.; Chen, D.; Carver, M.; Ambrus, A.; Jones, R.A.; Yang, D. An intramolecular G-quadruplex structure with mixed parallel/antiparallel G-strands formed in the human bcl-2 promoter region in solution. J. Am. Chem. Soc. 2006, 128, 1096–1098. [Google Scholar]
  7. Rankin, S.; Reszka, A.P.; Huppert, J.; Zloh, M.; Parkinson, G.N.; Todd, A.K.; Laname, S.; Balasubramanian, S.; Neidle, S. Putative DNA quadruplex formation within the human c-kit oncogene. J. Am. Chem. Soc. 2005, 127, 10584–10589. [Google Scholar] [CrossRef]
  8. Guo, K.; Pourpak, A.; Beetz-Rogers, K.; Gokhale, V.; Sun, D.; Hurley, L.H. Formation of pseudosymmetrical G-quadruplex and i-motif structures in the proximal promoter region of the RET oncogene. J. Am. Chem. Soc. 2007, 129, 10220–10228. [Google Scholar] [CrossRef]
  9. Hagihara, M.; Yoneda, K.; Yabuuchi, H.; Okuno, Y.; Nakatani, K. A reverse transcriptase stop assay revealed diverse quadruplex formations in UTRs in mRNA. Bioorg. Med. Chem. Lett. 2010, 20, 2350–2353. [Google Scholar] [CrossRef]
  10. Joachimi, A.; Benz, A.; Hartig, J.S. A comparison of DNA and RNA quadruplex structures and stabilities. Bioorg. Med. Chem. 2009, 17, 6811–6815. [Google Scholar] [CrossRef]
  11. Huppert, J.H. Four-stranded nucleic acids: Structure, function and targeting of G-quadruplexes. Chem. Soc. Rev. 2008, 37, 1375–1384. [Google Scholar] [CrossRef]
  12. Wu, Y.; Brosh, R.M., Jr. G-Quadruplex nucleic acids and human disease. FEBS J. 2010, 277, 3470–3488. [Google Scholar] [CrossRef]
  13. Hurley, L.H.; Wheelhouse, R.T.; Sun, D.; Kerwin, S.M.; Salazar, M.; Federoff, O.Y.; Han, F.X.; Han, H.; Izbicka, E.; Von Hoff, D.D. G-Quadruplexes as targets for drug design. Pharmacol. Ther. 2000, 85, 141–158. [Google Scholar] [CrossRef]
  14. Neidle, S.; Read, M.A. G-Quadruplexes as therapeutic targets. Biopolymers 2001, 56, 195–208. [Google Scholar] [CrossRef]
  15. Perry, P.J.; Jenkins, T.C. DNA tetraplex-binding drugs: Structure-selective targeting is critical for antitumour telomerase inhibition. Mini-Rev. Org. Chem. 2001, 1, 31–41. [Google Scholar] [CrossRef]
  16. Shin-ya, K.; Wierzba, K.; Matsuo, K.-I.; Ohtani, T.; Yamada, Y.; Furihata, K.; Hayakawa, Y.; Seto, H. Telomestatin, a novel telomerase inhibitor from Streptomyces anulatus. J. Am. Chem. Soc. 2001, 123, 1262–1263. [Google Scholar] [CrossRef]
  17. Kim, M.Y.; Gleason-Guzman, M.; Izbicka, E.; Nishioka, D.; Hurley, L.H. The different biological effects of telomestatin and TMPyP4 can be attributed to their selectivity for interaction with intramolecular or intermolecular G-quadruplex structures. Cancer Res. 2003, 63, 3247–3256. [Google Scholar]
  18. Minhas, G.S.; Pilch, D.S.; Kerrigan, J.E.; LaVoie, E.J.; Rice, J.E. Synthesis and G-quadruplex stabilizing properties of a series of oxazole-containing macrocycles. Bioorg. Med. Chem. Lett. 2006, 16, 3891–3895. [Google Scholar] [CrossRef]
  19. Barbieri, C.M.; Srinivasan, A.R.; Rzuczek, S.G.; Rice, J.E.; LaVoie, E.J.; Pilch, D.S. Defining the mode, energetics, and specificity with which a macrocyclic hexaoxazole binds to human telomeric G-quadruplex DNA. Nucleic Acids Res. 2007, 35, 3272–3286. [Google Scholar] [CrossRef]
  20. Tsai, Y.C.; Qi, H.; Lin, C.P.; Lin, R.K.; Kerrigan, J.E.; Rzuczek, S.G.; LaVoie, E.J.; Rice, J.E.; Pilch, D.S.; Lyu, Y.L.; Liu, L.F. A G-quadruplex stabilizer induces M phase cell cycle arrest. J. Biol. Chem. 2009, 284, 22535–22543. [Google Scholar] [CrossRef]
  21. Rzuczek, S.G.; Pilch, D.S.; Liu, A.; Liu, L.; LaVoie, E.J.; Rice, J.E. Macrocyclic pyridyl polyoxazoles: Selective RNA and DNA G-quadruplex ligands as antitumor agents. J. Med. Chem. 2010, 53, 3632–3644. [Google Scholar] [CrossRef]
  22. Satyanarayana, M.; Kim, Y.-A.; Rzuczek, S.G.; Pilch, D.S.; Liu, A.A.; Liu, L.F.; Rice, J.E.; LaVoie, E.J. Macrocyclic hexaoxazoles: Influence of aminoalkyl substituents on RNA and DNA G-quadruplex stabilization and cytotoxicity. Bioorg. Med. Chem. Lett. 2010, 20, 3150–3154. [Google Scholar] [CrossRef]
  23. Powell, M.T.; Porte, A.M.; Reibenspies, J.; Burgess, K. Optically active C3-symmetric triarylphosphines in asymmetric allylations. Tetrahedron 2001, 57, 5027–5038. [Google Scholar] [CrossRef]
  24. Molander, G.A.; Jean-Gérard, L. Scope of the Suzuki−Miyaura aminoethylation reaction using organotrifluoroborates. J. Org. Chem. 2007, 72, 8422–8426. [Google Scholar] [CrossRef]
  25. Ferreira, E.M.; Stoltz, B.M. The synthesis of C-3β functionalized indoles via a hydroboration/Suzuki–Miyaura coupling sequence. Tetrahedron Lett. 2006, 47, 8579–8582. [Google Scholar] [CrossRef]
  26. Miyaura, N.; Ishiyama, T.; Ishikawa, M.; Suzuki, A. Palladium-catalyzed cross-coupling reactions of B-alkyl-9-BBN or trialkylboranes with aryl and 1-alkenyl halides. Tetrahedron Lett. 1986, 27, 6369–6372. [Google Scholar] [CrossRef]
  27. Wegscheider, R.; Malle, H.; Ehrlich, A.; Skutesky, R. 4-Aminoisophthalic acid and its derivatives. Monatsch. Chem. 1918, 39, 375–417. [Google Scholar] [CrossRef]
  28. Huang, Z.; Brookhart, M.; Goldman, A.S.; Kundu, S.; Ray, A.; Scott, S.L.; Vicente, B.C. Highly active and recyclable heterogeneous iridium pincer catalysts for transfer dehydrogenation of alkanes. Adv. Synth. Catal. 2009, 351, 188–206. [Google Scholar] [CrossRef]
  29. Vögtle, F.; Groß, J.; Seel, C.; Nieger, M. C36H36—tetraedrische Verklammerung von vier Benzolringen in einem kugelförmigen Kohlenwasserstoffgerüst. Angew. Chem. 1992, 104, 1112–1113. [Google Scholar] [CrossRef]
  30. Sutton, A.E.; Clardy, J. The synthesis of potentially selective inhibitors of dihydroorotate dehydrogenase. The utilization of chemoselective Suzuki cross-coupling reactions in a parallel synthesis. Tetrahedron Lett. 2001, 42, 547–551. [Google Scholar] [CrossRef]
  31. Armarego, W.L.F.; Taguchi, H.; Cotton, R.G.H.; Battiston, S.; Leong, L. Lipophilic 5,6,7,8-tetrahydropterin substrates for phenylalanine hydroxylase (monkey brain), tryptophan hydroxylase (rat brain) and tyrosine hydroxylase (rat brain). Eur. J. Med. Chem. 1987, 22, 283–291. [Google Scholar] [CrossRef]
  32. Kolb, H.C.; Van Nieuwenhze, M.S.; Sharpless, K.B. Catalytic asymmetric dihydroxylation. Chem. Rev. 1994, 94, 2483–2547. [Google Scholar] [CrossRef]
  33. Philips, A.J.; Uto, Y.; Wipf, P.; Reno, M.J.; Williams, D.R. Synthesis of functionalized oxazolines and oxazoles with DAST and Deoxo-Fluor. Org. Lett. 2000, 2, 1165–1168. [Google Scholar] [CrossRef]
  34. Williams, D.R.; Lowder, P.D.; Gu, Y.-G.; Brooks, D.A. Studies of mild dehydrogenations in heterocyclic systems. Tetrahedron Lett. 1997, 38, 331–334. [Google Scholar] [CrossRef]
  35. Luu, K.N.; Phan, A.T.; Kuryavyi, V.; Lacroix, L.; Patel, D.J. Structure of the human telomere in K+ solution: An intramolecular (3 + 1) G-quadruplex scaffold. J. Am. Chem. Soc. 2006, 128, 9963–9970. [Google Scholar] [CrossRef]
  36. Rzuczek, S.G.; Pilch, D.S.; LaVoie, E.J.; Rice, J.E. Lysinyl macrocyclic hexaoxazoles: Synthesis and selective G-quadruplex stabilizing properties. Bioorg. Med. Chem. Lett. 2008, 18, 913–917. [Google Scholar] [CrossRef]
  37. Blankson, G.A.; Pilch, D.S.; Liu, A.A.; Liu, L.F.; Rice, J.E.; LaVoie, E.J. Macrocyclic biphenyl tetraoxazoles: Synthesis, evaluation as G-quadruplex stabilizers and cytotoxic activity. Bioorg. Med. Chem. 2013, 21, 4511–4520. [Google Scholar] [CrossRef]
  38. Andoh, T.; Ishii, K.; Suzuki, Y.; Ikegami, Y.; Kusunoki, Y.; Takemoto, Y.; Okada, K. Characterization of a mammalian mutant with a camptothecin-resistant DNA topoisomerase I. Proc. Nat. Acad. Sci. USA 1987, 84, 5565–5569. [Google Scholar] [CrossRef]
  39. Gervasoni, J.E., Jr.; Fields, S.Z.; Krishna, S.; Baker, M.A.; Rosado, M.; Thuraisamy, K.; Hindenburg, A.A.; Taub, R.N. Subcellular distribution of daunorubicin in p-glycoprotein-positive and negative drug-resistant cell lines using laser-assisted confocal microscopy. Cancer Res. 1991, 51, 4955–4963. [Google Scholar]
  • Sample Availability: Not available.

Share and Cite

MDPI and ACS Style

Blankson, G.; Rzuczek, S.G.; Bishop, C.; Pilch, D.S.; Liu, A.; Liu, L.; LaVoie, E.J.; Rice, J.E. Macrocyclic Pyridyl Polyoxazoles: Structure-Activity Studies of the Aminoalkyl Side-Chain on G-Quadruplex Stabilization and Cytotoxic Activity. Molecules 2013, 18, 11938-11963. https://doi.org/10.3390/molecules181011938

AMA Style

Blankson G, Rzuczek SG, Bishop C, Pilch DS, Liu A, Liu L, LaVoie EJ, Rice JE. Macrocyclic Pyridyl Polyoxazoles: Structure-Activity Studies of the Aminoalkyl Side-Chain on G-Quadruplex Stabilization and Cytotoxic Activity. Molecules. 2013; 18(10):11938-11963. https://doi.org/10.3390/molecules181011938

Chicago/Turabian Style

Blankson, Gifty, Suzanne G. Rzuczek, Cody Bishop, Daniel S. Pilch, Angela Liu, Leroy Liu, Edmond J. LaVoie, and Joseph E. Rice. 2013. "Macrocyclic Pyridyl Polyoxazoles: Structure-Activity Studies of the Aminoalkyl Side-Chain on G-Quadruplex Stabilization and Cytotoxic Activity" Molecules 18, no. 10: 11938-11963. https://doi.org/10.3390/molecules181011938

APA Style

Blankson, G., Rzuczek, S. G., Bishop, C., Pilch, D. S., Liu, A., Liu, L., LaVoie, E. J., & Rice, J. E. (2013). Macrocyclic Pyridyl Polyoxazoles: Structure-Activity Studies of the Aminoalkyl Side-Chain on G-Quadruplex Stabilization and Cytotoxic Activity. Molecules, 18(10), 11938-11963. https://doi.org/10.3390/molecules181011938

Article Metrics

Back to TopTop