Next Article in Journal
Populene D Analogues: Design, Concise Synthesis and Antiproliferative Activity
Next Article in Special Issue
Synthesis of Disaccharides Containing 6-Deoxy-a-L-talose as Potential Heparan Sulfate Mimetics
Previous Article in Journal
In Vitro and in Vivo Antitumor Effect of Trachylobane-360, a Diterpene from Xylopia langsdorffiana
Previous Article in Special Issue
Accumulation of Unusual Gangliosides GQ3 and GP3 in Breast Cancer Cells Expressing the GD3 Synthase
 
 
Font Type:
Arial Georgia Verdana
Font Size:
Aa Aa Aa
Line Spacing:
Column Width:
Background:
Article

Design and Synthesis of a Novel Ganglioside Ligand for Influenza A Viruses

1
Department of Applied Bioorganic Chemistry, Gifu University, 1-1 Yanagido, Gifu-shi, Gifu 501-1193, Japan
2
Institute for Integrated Cell-Material Sciences, Kyoto University, 69 Konoe-cho, Yoshida, Sakyo-ku, Kyoto 606-8501, Japan
3
Department of Biochemistry, School of Pharmaceutical Sciences, University of Shizuoka, 52-1 Yada, Suruga-ku, Shizuoka-shi, Shizuoka 422-8526, Japan
*
Authors to whom correspondence should be addressed.
Synthetic studies on sialoglycoconjugates, Part 157.
Molecules 2012, 17(8), 9590-9620; https://doi.org/10.3390/molecules17089590
Submission received: 9 July 2012 / Revised: 6 August 2012 / Accepted: 8 August 2012 / Published: 10 August 2012
(This article belongs to the Special Issue Advances in Carbohydrate Chemistry 2012)

Abstract

:
A novel ganglioside bearing Neuα2-3Gal and Neuα2-6Gal structures as distal sequences was designed as a ligand for influenza A viruses. The efficient synthesis of the designed ganglioside was accomplished by employing the cassette coupling approach as a key reaction, which was executed between the non-reducing end of the oligosaccharide and the cyclic glucosylceramide moiety. Examination of its binding activity to influenza A viruses revealed that the new ligand is recognized by Neuα2-3 and 2-6 type viruses.

Graphical Abstract

1. Introduction

Influenza viruses cause a substantial number of deaths during annual epidemics and occasional pandemics [1,2]. Based on the antigenicity of their internal proteins the viruses are divided into three types, A, B, and C, of which either type A or B viruses cause seasonal influenza in humans. When the viruses bind to the host cell, hemagglutinin (HA) on their cell surface plays a significant role in the infection process. The HA protein recognizes sialoglycoconjugates expressed on the plasma membrane of the host cell, for example, sialoglycoproteins and gangliosides (sialoglycosphingolipids), as cellular ligands. Furthermore, HA can also recognize specific linkages between sialic acid (Neu5Ac/Gc) and lactosamine (LacNAc: Galβ1-4GlcNAc) residues, which are found at the terminal end of glycoconjugates [3,4]. The structure and distribution of sialoglycans are crucial for viruses to determine their host animals, and two major linkage types, that is, Neu5Acα2-3LacNAc and Neu5Acα2-6LacNAc, are essential for viral transmission. Human and swine viruses predominantly recognize the Neu5Acα2-6LacNAc sequence, while avian and equine viruses bind preferentially to the Neu5Acα2-3Gal (including Neu5Acα2-3LacNAc) moiety. Swine are considered as intermediate hosts between humans and birds since they possess an abundance of both Neu5Acα2-3LacNAc and Neu5Acα2-6LacNAc structures as receptor carbohydrate determinants. The simultaneous infection of an intermediate host, such as swine, with avian and human viruses could lead to genetic recombination between the viruses, resulting in the generation of a new pathogenic virus that could potentially cause severe pandemics. However, the exact natural ligand for influenza A viruses in an intermediate host, such as pigs, remains unclear. Therefore, in this study, we focused on identifying a new carbohydrate ligand that was not only highly recognized by influenza A viruses but also functions as a natural receptor for viral HA. For this purpose, a ganglioside bearing both the Neu5Acα2-3 and Neu5Acα2-6LacNAc sequences was designed (Figure 1). It was hypothesized that the designed ganglioside 1 could be recognized by human- and avian-derived viruses because it contains two types of sialoglycan in a single molecule. We report the chemical synthesis of ganglioside 1 and its binding activity to influenza A viruses.

2. Results and Discussion

2.1. Chemical Synthesis

It was envisaged that the efficient synthesis of 1 could be achieved using the cassette approach between the non-reducing end of the oligosaccharide and the glucosylceramide, which was recently developed by our group [5,6,7,8,9,10]. Furthermore, it was thought that the construction of the non-reducing end of the heptasaccharide moiety, which includes two types of sialoside, Neu5Acα2-3/2-6Gal, should be executed through a convergent synthetic approach. For the convergent synthesis of a relatively large oligosaccharide such as 1, the design of the building blocks often affects the efficiency of the total synthesis as well as the overall yield. Our preliminary experiment on the synthesis of a ganglioside similar to 1 gave a significant finding that monosaccharyl (GlcN) units are more useful as glycosyl donors than oligosaccharyl (Neu5Acα2-3/2-6Galβ1-4GlcN) donors for the formation of branched structure at the 3- and 6-positions of the inner galactose residue (data not shown). Therefore, target 1 was divided into four major components, from which each building block (Units AD) was designed (Figure 1).
Figure 1. Structures of the target ganglioside 1 and the designed building blocks (Units AD).
Figure 1. Structures of the target ganglioside 1 and the designed building blocks (Units AD).
Molecules 17 09590 g001
The synthetic method for the terminal Neu5Acα2-3Gal unit A has been already established by our group. The coupling of the 5-N-Troc-protected sialyl donor 2 and galactosyl acceptor 3, carrying a p-methoxyphenyl (MP) group at the anomeric position, generated the Neu5Trocα2-3Gal disaccharide in good yield. The isolation of α-sialoside from the reaction mixture was easily accomplished by recrystallization [11]. The obtained disaccharide was readily converted into the corresponding trichloroacetimidate donor as Unit A [12]. Similarly, the other terminal Neu5Acα2-6Gal unit (B) was prepared efficiently according to the synthetic procedure for Unit A (Scheme 1). The sialylation of the diol galactosyl acceptor 5 was performed in the presence of NIS and TfOH [13,14] in a mixed solvent system, propionitrile–dichloromethane (5:1), at −30 °C [15,16]. This mixed solvent system was used because of the poor solubility of the acceptor 5 in acetonitrile. In addition, temperatures lower than −30 °C led to a significant decrease in the yield, possibly because of the observed precipitation of 5 during the reaction. As a result of optimization, the desired α-glycoside 6 was obtained in 69% yield along with a 14% yield of the β-isomer. Purification of the α-glycoside 6 by silica gel column chromatography was troublesome compared with that of the regioisomer, Neu5Trocα2-3GalMP, which has benzyl groups on the O-2 and O-6 positions of its galactose residue, which can be isolated easily by recrystallization from an EtOAc/n-hexane system [12]. The selective deprotection of the Troc group with Zn–Cu [17] (giving 7) and the subsequent concomitant acetylation of the liberated amine and the hydroxyl group at the C-4 position of the galactose residue afforded compound 8 in excellent yield. Hydrogenolysis of the benzyl groups over Pearlman’s catalyst in 1,4-dioxane followed by benzoylation generated compound 10 in 94% yield over two steps. The exposure of 10 to CAN and H2O [18] (giving 11) and the subsequent introduction of a trichloroacetimidate group [19] afforded the Neu5Acα2-6Gal donor 12 (Unit B) in 63% yield over two steps.
Scheme 1. Efficient synthesis of Units A and B from the N-Troc-protected sialyl donor 2.
Scheme 1. Efficient synthesis of Units A and B from the N-Troc-protected sialyl donor 2.
Molecules 17 09590 g004
The inner core trisaccharide structure, Unit C, was prepared starting from the 2-N-Troc protected glucosamine derivative 13 (Scheme 2 and Scheme 3). First, the glucosaminyl donors 16 and 17 were prepared as shown in Scheme 2. Removal of the acetyl groups from 13 and the subsequent formation of cyclic benzylidene acetal between O-4 and O-6 afforded 14 in good yield. The following benzylation step in the presence of a Troc group was conducted under reductive conditions. Optimization of this reductive benzylation with benzaldehyde, TESOTf, and triethylsilane [20] revealed that the use of toluene as a solvent could increase the yield. The successive reductive opening of the benzylidene group by treatment with BF3 etherate and triethylsilane [21] gave 15 in 78% yield over two steps from 14. The obtained alcohol 15 was transformed into two types of glucosaminyl donors, namely, 16 and 17, via the introduction of a levulinoyl (Lev) and monochloroacetyl (ClAc) group to the hydroxyl group at C-4, respectively.
Scheme 2. Preparation of glucosaminyl donors 16 and 17 towards Unit C.
Scheme 2. Preparation of glucosaminyl donors 16 and 17 towards Unit C.
Molecules 17 09590 g005
Scheme 3. Assembly of the inner core fragment, Unit C.
Scheme 3. Assembly of the inner core fragment, Unit C.
Molecules 17 09590 g006
The glucosaminyl donors 16 and 17 were then incorporated into the galactosyl acceptor 21, which was prepared readily from the known galactose derivative 18 [22] via three steps. Selective protection of the hydroxyl group at C-3 by the Troc group was carried out under basic conditions with TrocCl at a low temperature (−40 °C) to afford 19 in 81% yield. Benzoylation under standard conditions (giving 20) and the selective removal of the Troc group with Zn–Cu furnished the galactosyl acceptor 21 in good yield. The obtained 21 was then subjected to glycosylation with donor 16 in the presence of NIS and TfOH in CH2Cl2 at 0 °C, affording the disaccharide 22 in 81% yield. The stereochemical assignment was confirmed by 1H-NMR, where the J1,2 value of 7.6 Hz for H-1 indicated the β-configuration of the glucosamine residue. Next, hydrolysis of the benzylidene group with 80% AcOH aq at 50 °C afforded the diol 23 at an almost quantitative yield. A second round of glucosaminidation was conducted between 17 and 23 under the same conditions as those of the initial glucosaminidation between 16 and 21. As a result, the desired trisaccharide 24 was obtained as Unit C in a moderate yield of 49%. In this reaction, a non-negligible amount of the tetrasaccharide 25, in which both hydroxyl groups were glucosaminylated, was observed as a byproduct (Figure 2). An attempt at using a lower temperature to increase the selectivity failed due to the poor solubility of acceptor 23 in CH2Cl2. Furthermore, changing the other factors for glycosylation, for example, the leaving group (using trichloroacetimidate) and how the donor was added, did not improve the yield of 24. It is of importance that the generation of the tetrasaccharide 25 during the reaction was faster than the complete consumption of the acceptor 23. In addition, the trisaccharide 26, which was glucosaminylated at C-4 of the galactose residue, was not detected among the by-products. These findings suggested that the newly formed trisaccharyl alcohol 24 was preferred to the disaccharyl acceptor 23 as a glycosyl acceptor. This phenomenon might be explained by the poor solubility of the disaccharyl alcohol 23 in CH2Cl2 compared with the trisaccharyl alcohol 24 (Figure 2). Next, the acetylation of 24 with acetic anhydride and DMAP in THF [23] was carried out to protect the free hydroxyl group, affording 27 in 96% yield (Scheme 3). The monochloroacetyl group on 27 was then unblocked using DABCO in ethanol [24] with an excellent yield, providing the inner core trisaccharide acceptor 28, which was ready for the next glycosylation step.
Figure 2. Explanation for the poor regioselectivity observed during glucosaminylation.
Figure 2. Explanation for the poor regioselectivity observed during glucosaminylation.
Molecules 17 09590 g002
As depicted in Scheme 4, the coupling of the trisaccharide acceptor 28 with the Neu5Acα2-6Gal donor 12 promoted by TMSOTf was conducted in CH2Cl2 at room temperature, affording the pentasaccharide 29 in 74% yield. During this glycosylation step, the generation of several by-products containing trichloroacetamide glycoside, which is occasionally formed as a by-product during glycosylation using trichloroacetimidate donors, made the purification process an arduous task. Column chromatography on silica gel followed by gel filtration was found to be useful for purification. Next, the conversion of the Troc carbamate at C-2 of both glucosamine residues into acetamide was achieved by treatment of alloyed zinc with copper in AcOH and followed by acetylation, giving the acetamide compound 31 in 61% yield over two steps. Finally, cleavage of the levulinoyl group by using hydrazine monoacetate in THF [25] released the 4-OH to provide the pentasaccharide acceptor 32 in 92% yield.
Scheme 4. Coupling of Units A and C followed by transformation of the corresponding acceptor.
Scheme 4. Coupling of Units A and C followed by transformation of the corresponding acceptor.
Molecules 17 09590 g007
Scheme 5 shows the assembly of the non-reducing end heptasaccharide moiety. The Neu5Acα2-3Gal donor 4 was coupled with 32 in the presence of TMSOTf in CH2Cl2 at room temperature to provide the heptasaccharide 33 in 62% yield. During this glycosylation step, the generation of the trichloroacetamide glycoside and the dimer of donor 4, which was formed by the nucleophilic attack of the hydrolyzed donor on the oxocarbenium species derived from the donor, as by-products, made the purification of the desired product 33 laborious. The structure of isolated 33 was elucidated based on its MS, 1H, and 13C-NMR spectra. For instance, the β-configuration of the newly formed glycosidic linkage was evident from the coupling constant of the anomeric proton at δ 5.01 (J1,2 = 7.5 Hz). Next, cleavage of the benzyl groups by hydrogenolysis (giving 34) followed by acetylation with conventional conditions afforded 35 in 89% yield over two steps. Selective exposure of the anomeric hydroxyl group was easily achieved by treatment with trifluoroacetic acid in CH2Cl2 to yield 36. This was then converted to the corresponding trichloroacetimidate donor 37 in 95% yield over two steps from 35, which was then ready for cassette coupling with the glucosylceramide block 38 (Unit D).
Scheme 5. Synthesis of the non-reducing end heptasaccharide part.
Scheme 5. Synthesis of the non-reducing end heptasaccharide part.
Molecules 17 09590 g008
We previously addressed the development of the cassette coupling approach between a non-reducing end oligosaccharide and a glucosylceramide (GlcCer) moiety for the synthesis of various glycolipids, particularly gangliosides [5,6,7,8,9,10]. This approach resulted in a solution to the inevitable low yield of sugar and ceramide fragments. Hitherto, we developed two types of GlcCer units: one is a cyclic type GlcCer tethered by succinic ester between the sugar and lipid portions [5,7,8], while the other is an acyclic type GlcCer [6,9,10]. In this study, we chose the cyclic type due to its ease of preparation. The reported cyclic GlcCer acceptor 38 [7] was subjected to glycosylation with the oligosaccharide donor 37 in the presence of TMSOTf in CHCl3 at room temperature, affording the fully protected ganglioside 39 in a moderate yield of 49%. In this reaction, chloroform was employed as solvent instead of the conventional dichloromethane because of the somewhat poor solubility of 38 in CH2Cl2. Following the same protocol as that used for the other glycosylation reactions, the structure of 39 was elucidated. Next, cleavage of the p-methoxybenzyl (PMB) group by TFA in CH2Cl2 at 0 °C provided 40 in 90% yield. Finally, global deprotection under Zemplén conditions followed by saponification generated the target ganglioside 1 in good yield (Scheme 6).
Scheme 6. Final coupling by the cassette approach followed by global deprotection.
Scheme 6. Final coupling by the cassette approach followed by global deprotection.
Molecules 17 09590 g009

2.2. Binding Assay

The synthesized ganglioside 1 (termed GSC-734) was then assessed for its binding activity to influenza viruses (Figure 3). The binding assay showed that GSC-734 was recognized by Neu5Acα2-3 and 2-6 type viruses. Moreover, the binding activity of the Neu5Acα2-6 type virus (H3N2) was almost identical to that of the previously reported α2-6 sialylparagloboside [26]. This observation suggests that the branched structure of the sugar part does not potently influence its binding activity to the viruses.
Figure 3. Binding activity of the synthetic ligand (GSC-734) for influenza A viruses.
Figure 3. Binding activity of the synthetic ligand (GSC-734) for influenza A viruses.
Molecules 17 09590 g003

3. Experimental

3.1. General Methods for Chemical Synthesis

All reactions were carried out under a positive pressure of argon, unless otherwise noted. All chemicals were purchased from commercial suppliers and used without further purification, unless otherwise noted. Molecular sieves were purchased from Wako Chemicals Inc. (Osaka, Japan) and dried at 300 °C for 2 h in a muffle furnace prior to use. Solvents as reaction media were dried over molecular sieves and used without purification. TLC analysis was performed on Merck TLC (silica gel 60F254 on glass plate, Darmstadt, Germany). Compound detection was either by exposure to UV light (2536 Å) or by soak in a solution of 10% H2SO4 in ethanol followed by heating. Silica gel (80 mesh and 300 mesh) manufactured by Fuji Silysia Co. (Kasugai, Japan) was used for flash column chromatography. Quantity of silica gel was usually estimated as 100 to 150-fold weight of sample to be charged. Solvent systems in chromatography were specified in v/v. Evaporation and concentration were carried out in vacuo. 1H-NMR and 13C-NMR spectra were recorded with JEOL ECA 400/500/600 spectrometers. Chemical shifts in 1H-NMR spectra are expressed in ppm (δ) relative to the signal of Me4Si, adjusted to δ 0.00 ppm. Data are presented as follow: Chemical shift, multiplicity (s = singlet, d = doublet, t = triplet, dd = double of doublet, dt = double of triplet, m = multiplet and/or multiple resonances), integration, coupling constant in Hertz (Hz), position of the corresponding proton. COSY methods were used to confirm the NMR peak assignments. MALDI-TOF mass spectra were run in a Bruker Autoflex (Billerica, MA, USA) and CHCA was used as the matrix. High-resolution mass (ESI-TOF MS) spectra were run in a Bruker micrOTOF. Optical rotations were measured with a ‘Horiba SEPA-300’ high-sensitive polarimeter (Kyoto, Japan).
Molecules 17 09590 i001
4-Methoxyphenyl (methyl 4,7,8,9-tetra-O-acetyl-3,5-dideoxy-5-(2,2,2-trichloroethoxycarbamoyl)-D-glycero-α-D-galacto-2-nonulopyranosylonate)-(2→6)-2,3-di-O-benzyl-β-D-galactopyranoside (6). To a mixture of 2 (691 mg, 0.964 mmol) and 5 (300 mg, 0.643 mmol) in EtCN/CH2Cl2 (5:1, 9.6 mL) was added 3 Å molecular sieves (991 mg) at r.t. After stirring for 1 h and then cooling to −30 °C, NIS (324 mg, 1.44 mmol) and TfOH (12.7 μL, 0.144 mmol) were added to the mixture. After stirring for 45 min at the same temperature as the reaction was monitored by TLC (1:3 EtOAc–toluene, twice development), the reaction was quenched by the addition of triethylamine. The precipitate was filtered through Celite. The filtrate was evaporated to remove EtCN and then diluted with CHCl3, washed with satd aq Na2S2O3 and brine. The organic layer was subsequently dried over Na2SO4, concentrated and the residue was purified by silica gel column chromatography (1:5 EtOAc–toluene) to give 6 (473 mg, 69%) along with its β-isomer (96 mg, 14%). [α]D −13.9° (c 0.4, CHCl3); 1H-NMR (500 MHz, CDCl3) δ 7.38–6.80 (m, 14 H, Ar), 5.39 (m, 1 H, H-8b), 5.36 (dd, 1 H, J6,7 = 1.7 Hz, H-7b), 5.00 (d, 1 H, Jgem = 10.2 Hz, OCH2), 4.99 (m, 1 H, H-4b), 4.89 (d, 1 H, Jgem = 12.2 Hz, OCH2), 4.86 (d, 1 H, J5,NH = 9.7 Hz, NH), 4.84 (d, 1 H, J1,2 = 8.0 Hz, H-1a), 4.83 (d, 1 H, Jgem = 10.2 Hz, OCH2), 4.76 (2 d, 2 H, Jgem = 12.0 Hz, OCH2), 4.47 (d, 1 H, Jgem = 12.2 Hz, OCH2), 4.32 (dd, 1 H, H-9b), 4.19 (dd, 1 H, J6,7 = 1.7 Hz, H-6b), 4.10 (dd, 1 H, H-9'b), 4.07 (near d, 1 H, H-4a), 3.94–3.89 (m, 2 H, H-2a, H-5a), 3.81–3.75 (m, 7 H, H-6a, 2 OMe), 3.65–3.61 (m, 2 H, H-6'a, H-5b), 3.57 (dd, 1 H, H-3a), 2.67–2.63 (m, 2 H, H-3beq, OH), 2.12–1.99 (m, 12 H, 4 Ac), 1.91 (t, 1 H, H-3bax); 13C-NMR (100 MHz, CDCl3) δ 193.2, 191.4, 170.7, 170.3, 170.1, 169.9, 167.9, 155.2, 154.0, 151.7, 138.4, 137.9, 129.0, 128.4, 128.3, 128.2, 128.1, 127.8, 127.7, 127.6, 125.3, 118.6, 114.4, 102.9, 98.7, 95.3, 80.6, 78.7, 77.2, 75.3, 74.5, 72.6, 72.3, 72.2, 68.6, 68.4, 67.5, 66.0, 63.1, 62.3, 55.6, 53.0, 51.6, 37.5, 29.7, 29.5, 21.4, 21.0, 20.8, 20.7. m/z (MALDI): found [M+Na]+ 1094.32, C48H56Cl3NO20calcd for [M+Na]+ 1094.32.
Molecules 17 09590 i002
4-Methoxyphenyl (methyl 5-acetamido-4,7,8,9-tetra-O-acetyl-3,5-dideoxy-D-glycero-α-D-galacto-2-nonulopyranosylonate)-(2→6)-4-O-acetyl-2,3-di-O-benzyl-β-D-galactopyranoside (8). To a solution of 6 (3.77 g, 3.51 μmol) in AcOH/CH2Cl2 (3:2, 70 mL) was added Zn/Cu couple (18.9 g) at r.t. The reaction mixture was heated to 40 °C and was stirred for 45 min at the same temperature as the reaction was monitored by TLC (4:1 toluene–EtOAc). The precipitate was filtered through Celite and the filtrate was co-evaporated with toluene. The obtained residue was exposed to high vacuum for 6 h. The crude residue was dissolved in pyridine (35 mL) and acetic anhydride (1.32 μL, 14.0 mmol), DMAP (4.3 mg, 35.1 μmol) were then added to the mixture at 0 °C. After stirring for 3 d at r.t as the reaction was monitored by TLC (2:1 toluene–EtOAc), the reaction mixture was evaporated. The residue was diluted with CHCl3, washed with 2 M HCl, H2O, satd aq NaHCO3 and brine, dried over Na2SO4, and concentrated. The obtained residue was purified by silica gel column chromatography (4:1 toluene–EtOAc) to give 8 (3.35 g, 97%). [α]D −11.3° (c 1.0, CHCl3); 1H-NMR (500 MHz, CDCl3) δ 7.37–7.24 (m, 10 H, 2 Ph), 6.97 (2 d, 4 H, Ar), 5.95 (d, 1 H, JNH,5 = 6.3 Hz, NH), 5.62 (d, 1 H, J3,4 = 2.3 Hz, H-4a), 5.41 (m, 1 H, H-8b), 5.32 (d, 1 H, H-7b), 4.96–4.81 (m, 5 H, H-1a, H-4b, 3OCH2), 4.68 (d, 1 H, OCH2), 4.34 (d, 1 H, H-9b), 4.14–4.05 (m, 3 H, H-5b, H-6b, H-9'b), 3.90–3.69 (m, 11 H, H-2a, H-3a, H-5a, H-6a, H-6'a, 2 OMe), 2.62 (m, 1 H, Jgem = 11.5 Hz, H-3beq), 2.16–1.87 (m, 19 H, 6 Ac, H-3bax); 13C-NMR (100 MHz, CDCl3) δ 170.4, 170.2, 170.0, 169.8, 169.7, 169.5, 167.7, 154.9, 151.2, 138.2, 137.5, 128.7, 128.0, 127.9, 127.7, 127.3, 127.2, 118.0, 114.1, 102.2, 98.4, 79.1, 78.3, 75.0, 72.4, 71.8, 71.3, 68.7, 68.3, 67.0, 65.9, 62.7, 62.3, 55.2, 52.5, 48.6, 37.5, 22.7, 20.7, 20.5, 20.4, 20.4, 20.3. m/z (MALDI): found [M+Na]+ 1004.17, C49H59NO20 calcd for [M+Na]+ 1004.35.
Molecules 17 09590 i003
4-Methoxyphenyl (methyl 5-acetamido-4,7,8,9-tetra-O-acetyl-3,5-dideoxy-D-glycero-α-D-galacto-2-nonulopyranosylonate)-(2→6)-4-O-acetyl-2,3-di-O-benzoyl-β-D-galactopyranoside (10). To a solution of 8 (3.34 g, 3.41 μmol) in 1,4-dioxane (34 mL) was added Pd(OH)2/C (3.34 g). After stirring for 45 min at r.t. under a hydrogen atmosphere as the reaction was monitored by TLC (15:1 CHCl3–MeOH), the mixture was filtered through Celite. The filtrate was concentrated and the obtained crude residue was roughly purified by silica gel column chromatography. The obtained product was exposed to high vacuum for 24 h. The residue was then dissolved in pyridine (34 mL). Benzoic anhydride (3.09 g, 13.6 mmol) and DMAP (20.8 mg, 0.171 μmol) were added to the mixture at 0 °C. After stirring for 9 h at r.t. as the reaction was monitored by TLC (15:1 CHCl3–MeOH), the reaction was quenched by the addition of MeOH at 0 °C. The mixture was co-evaporated with toluene and the residue was then diluted with CHCl3, and washed with 2 M HCl, H2O, satd aq NaHCO3 and brine. The organic layer was subsequently dried over Na2SO4, and concentrated. The resulting residue was purified by silica gel column chromatography (1:1 toluene–EtOAc) to give 10 (3.22 g, 94%). [α]D +40.3° (c 1.0, CHCl3); 1H-NMR (500 MHz, CDCl3) δ 8.00–7.37 (m, 10 H, 2 Ph), 7.06–6.76 (2 d, Ar), 5.91 (near t, 1 H, J1,2 = 7.8 Hz, J2,3 = 10.6 Hz, H-2a), 5.78 (d, 1 H, J3,4 = 3.4 Hz, H-4a), 5.60 (dd, 1 H, H-3a), 5.50 (m, 1 H, J7,8 = 6.8 Hz, H-8b), 5.33–5.27 (m, 2 H, H-1a, H-7b), 5.15 (d, 1 H, NH), 4.87 (m, 1 H, J3eq,4 = 4.6 Hz, H-4b), 4.41 (dd, 1 H, Jgem = 12.4 Hz, H-9), 4.30 (near t, 1 H, J5,6 = 6.9 Hz, H-5a), 4.17–4.02 (m, 3 H, H-5b, H-6b, H-9'b), 3.89–3.73 (m, 7 H, 2 OMe, H-6a), 3.58 (near t, 1 H, Jgem = 10.1 Hz, H-6'a), 2.55 (dd, 1 H, Jgem = 12.4 Hz, H-3beq), 2.25–1.89 (m, 19 H, 6 Ac, H-3bax); 13C-NMR (100 MHz, CDCl3) δ 170.5, 170.4, 170.0, 169.7, 169.5, 167.7, 165.1, 165.0, 155.1, 151.0, 133.0, 129.4, 129.3, 129.1, 128.8, 128.1, 128.1, 118.2, 114.1, 100.1, 98.9, 72.5, 71.7, 71.6, 69.4, 68.6, 67.9, 67.0, 62.9, 55.2, 52.7, 48.7, 37.6, 22.8, 20.8, 20.5, 20.4, 20.3. m/z (MALDI): found [M+Na]+ 1032.21, C49H55NO22 calcd for [M+Na]+ 1032.31.
Molecules 17 09590 i004
(Methyl 5-acetamido-4,7,8,9-tetra-O-acetyl-3,5-dideoxy-D-glycero-α-D-galacto-2-nonulopyranosylonate)-(2→6)-4-O-acetyl-2,3-di-O-benzoyl-D-galactopyranosyl trichloroacetimidate (12). To a solution of 10 (3.22 g, 3.19 mmol) in MeCN/PhMe/H2O (32 mL, 6:5:3) was added diammonium cerium (IV) nitrate (CAN; 17.5 g, 31.9 mmol) at r.t. The mixture was stirred for 2 h at r.t., as the proceeding of the reaction was monitored by TLC (10:1 CHCl3–MeOH). The reaction mixture was diluted with CHCl3 and washed with H2O, satd aq NaHCO3 and brine. The organic layer was subsequently dried over Na2SO4 and concentrated. The resulting residue was purified by silica gel column chromatography (70:1 CHCl3–MeOH) to give 11. The obtained hemiacetal compound 11 (2.27 g, 2.51 mmol) was dissolved in CH2Cl2 (50 mL). To the mixture was added CCl3CN (2.5 mL, 25.1 mmol), DBU (449 μL, 3.01 mmol) at 0 °C. After stirring for 6 h at 0 °C as the reaction was monitored by TLC (15:1 CHCl3–MeOH), the reaction mixture was evaporated. The crude residue was purified by silica gel column chromatography (70:1 CHCl3–MeOH) to give 12 (2.10 g, 63% over 2 steps). 12α: 1H-NMR (500 MHz, CDCl3) δ 8.61 (s, 1 H, C=NH), 7.95–7.28 (m, 10 H, 2 Ph), 6.80 (d, 1 H, J1,2 = 3.4 Hz, H-1a), 5.90–5.82 (m, 2 H, H-2a, H-3a), 5.79 (m, 1 H, J3,4 = 2.8 Hz, H-4a), 5.38–5.30 (m, 3 H, H-7b, H-8b, NHb), 4.87–4.86 (m, 1 H, H-4b), 4.51 (br t, 1 H, H-5a), 4.28 (dd, 1 H, Jgem = 12.6 Hz, J8,9 = 2.9 Hz, H-9b), 4.11 (dd, 1 H, J8,9´ = 5.9 Hz, H-9'b), 4.06–3.97 (m, 3 H, H-6a, H-5b, H-6b), 3.78 (s, 3 H, COOMe), 3.42 (dd, 1 H, J5,6' = 2.6 Hz, Jgem = 10.6 Hz, H-6'a), 3.55 (dd, 1 H, Jgem = 11.6 Hz, J3eq,4 = 3.6 Hz, H-3beq), 2.35–1.87 (m, 19 H, 6 Ac, H-3bax).
Molecules 17 09590 i005
Phenyl 4,6-O-benzylidene-2-deoxy-1-thio-2-(2,2,2-trichloroethoxycarbamoyl)-β-D-glucopyranoside (14). To a solution of 13 (8.43 g, 14.7 mmol) in MeOH (84 mL) was added NaOMe (28% solution in MeOH, 39.7 mg, 0.735 mmol) at 0 °C. After stirring for 2.5 h at room temperature as the reaction was monitored by TLC (10:1 CHCl3–MeOH), the reaction was neutralized with Dowex (H+) resin. The resin was filtered through cotton and the filtrate was then evaporated. The residue was exposed to high vacuum for 12 h. The obtained crude mixture was then dissolved in THF/MeCN (1:4, 135 mL). To the mixture were added benzaldehyde dimethyl acetal (4.39 mL, 29.4 mmol) and (±)-camphor-10-sulfonic acid (CSA) (512 mg, 2.21 mmol) at 0 °C. After stirring for 1 h at room temperature as the reaction was monitored by TLC (20:1 CHCl3–MeOH), the reaction was quenched by the addition of triethylamine. The reaction mixture was concentrated and then subjected to crystallization from hot acetone/n-hexane to give 14 (6.27 g, 80%) as a white crystal. The physical data of 14 was identical to those reported in the literature [27].
Molecules 17 09590 i006
Phenyl 3,6-di-O-benzyl-2-deoxy-1-thio-2-(2,2,2-trichloroethoxycarbamoyl)-β-D-glucopyranoside (15). To a solution of 14 (4.89 g, 9.15 mmol) in THF/toluene (1:4, 9.0 mL) was added TESOTf (4.1 mL, 18.3 mmol) at −20 °C. After stirring for 45 min at −20 °C, benzaldehyde (4.7 mL, 45.7 mmol) and triethylsilane (2.2 mL, 13.7 mmol) were added to the mixture. After stirring for 2 h at −20 °C as the reaction was monitored by TLC (1:4 EtOAc–toluene), the reaction was quenched by satd aq Na2CO3. Dilution of the mixture with EtOAc provided a solution, which was then washed with satd aq Na2CO3 and brine. The organic layer was subsequently dried over Na2SO4 and concentrated. The obtained residue was exposed to high vacuum for 24 h. The resulting residue was dissolved in CH2Cl2 (183 mL) and cooled to 0 °C. BF3·OEt2 (4.7 mL, 18.3 mmol) and triethylsilane (14.6 mL, 91.5 mmol) were added to the solution at 0 °C and the mixture was then stirred for 1 h at 0 °C as the reaction was monitored by TLC (1:4 EtOAc–toluene). The reaction was quenched by the addition of satd aq Na2CO3 at 0 °C and then diluted with CHCl3, and washed with satd aq Na2CO3 and brine. The organic layer was subsequently dried over Na2SO4 and concentrated. The resulting residue was purified by silica gel column chromatography (200:1 CHCl3–MeOH) to give 15 (4.50 g, 78%). [α]D −24.2° (c 0.3, CHCl3); 1H-NMR (400 MHz, CDCl3) δ 7.49–7.21 (m, 15 H, 3 Ph), 5.17 (d, 1 H, J2,NH = 8.2 Hz, NH), 4.91 (d, 1 H, , J1,2 = 10.1 Hz, H-1), 4.75 (s, 4 H, 2 OCH2), 4.56 (2 d, 2 H, OCH2), 3.77–3.67 (m, 4 H, H-3, H-5, H-6, H-6'), 3.52–3.42 (m, 2 H, H-2, H-4), 2.85 (s, 1 H, OH); 13C-NMR (100 MHz, CDCl3) δ 153.8, 137.9, 137.7, 132.7, 132.3, 128.9, 128.5, 128.4, 128.1, 128.0, 127.8, 127.7, 95.4, 86.0, 81.9, 78.0, 74.5, 74.4, 73.7, 72.6, 70.4, 56.0. m/z (MALDI): found [M+Na]+ 648.05, C29H30Cl3NO6S calcd for [M+Na]+ 648.08.
Molecules 17 09590 i007
Phenyl 3,6-di-O-benzyl -2-deoxy-4-O-levulinoyl-1-thio-2-(2,2,2-trichloroethoxycarbamoyl)-β-D-glucopyranoside (16). To a solution of 15 (200 mg, 0.314 mmol) in CH2Cl2 (3.1 mL) were added levulinic acid (55 mg, 0.472 mmol), EDC·HCl (90 mg, 0.472 mmol), and DMAP (4.2 mg, 3.44 μmol). After stirring for 4 h at r.t. as the reaction was monitored by TLC (2:3 EtOAc–n-hexane), the reaction mixture was diluted with CHCl3, and washed with 2 M HCl and brine. The organic layer was subsequently dried over Na2SO4, and concentrated, and the obtained residue was purified by silica gel column chromatography (1:4 EtOAc–n-hexane) to give 16 (215 mg, 93%). [α]D +3.7° (c 0.9, CHCl3); 1H-NMR (600 MHz, acetone-d6) δ 7.53–7.24 (m, 16 H, 3 Ph, NH), 5.06 (d, 1 H, J1,2 = 10.3 Hz, H-1), 5.03 (t, 1 H, J3,4 = 9.6 Hz, J4,5 = 9.7 Hz, H-4), 4.83 (2 d, 2 H, Jgem = 12.4 Hz, OCH2), 4.72 (2 d, 2 H, Jgem = 11.0 Hz, OCH2), 4.52 (2 d, 2 H, Jgem = 11.7 Hz, OCH2), 3.99 (t, 1 H, J2,3 = 9.7 Hz, H-3), 3.79–3.75 (m, 2 H, H-2, H-5), 3.65 (dd, 1 H, Jgem = 11.0 Hz, J5,6 = 2.8 Hz, H-6), 3.65 (dd, 1 H, J5,6' = 6.9 Hz, H-6'), 2.73–2.40 (m, 4 H, CH2CH2C(=O)O), 2.09 (s, 3 H, C(=O)CH3); 13C-NMR (150 MHz, CDCl3) δ 166.1, 153.7, 137.6, 137.5, 132.6, 132.1, 129.0, 128.5, 128.3, 128.0, 128.0, 127.9, 127.7, 95.4, 85.2, 79.0, 76.8, 74.5, 74.4, 73.6, 73.2, 69.5, 56.7, 40.5. m/z (MALDI): found [M+Na]+ 746.09, C34H36Cl3NO8S calcd for [M+Na]+ 746.11.
Molecules 17 09590 i008
Phenyl 3,6-di-O-benzyl-4-O-chloroacetyl-2-deoxy-1-thio-2-(2,2,2-trichloroethoxycarbamoyl)-β-D-glucopyranoside (17). To a solution of 15 (200 mg, 0.314 mmol) in THF (3.1 mL) were added monochloroacetic anhydride (81 mg, 0.472 mmol) and DMAP (0.5 mg, 4.09 μmol) at 0 °C. After stirring for 7 h at r.t. as the reaction was monitored by TLC (2:3 EtOAc–n-hexane), THF was evaporated and the residue was then diluted with CHCl3, and washed with 2 M HCl, H2O, satd aq NaHCO3, and brine. The organic layer was subsequently dried over Na2SO4, and concentrated. The residue was purified by silica gel column chromatography (1:8 EtOAc–n-hexane) to give 17 (200 mg, 90%). [α]D −2.6° (c 1.0, CHCl3); 1H-NMR (600 MHz, CDCl3) δ 7.51–7.21 (m, 15 H, 3 Ph), 5.37 (d, 1 H, JNH,2 = 8.2 Hz, NH), 5.12 (d, 1 H, J1,2 = 10.3 Hz, H-1), 5.07 (near t, 1 H, J3,4 = 8.9 Hz, J4,5 = 9.6 Hz, H-4), 4.75 (2 d, 2 H, Jgem = 11.8 Hz, OCH2), 4.61 (2 d, 2 H, Jgem =11.7 Hz, OCH2), 4.48 (m, 2 H, Jgem = 11.7 Hz, OCH2), 4.11 (near t, 1 H, J2,3 = 9.6 Hz, J3,4 = 8.9 Hz, H-3), 3.68–3.55 (m, 5 H, H-5, H-6, H-6', CH2Cl), 3.36 (br dd, 1 H, J2,3 = 9.6 Hz, H-2); 13C-NMR (125 MHz, CDCl3) δ 166.1, 153.7, 137.7, 137.6, 132.8, 132.0, 129.1, 128.5, 128.4, 128.2, 128.0, 127.9, 127.8, 95.4, 85.2, 79.0, 77.6, 74.7, 74.5, 73.7, 73.4, 69.7, 56.9, 40.5. m/z (MALDI): found [M+Na]+ 724.05, C31H31Cl4NO7S calcd for [M+Na]+ 724.05.
Molecules 17 09590 i009
2-(Trimethylsilyl)ethyl 4,6-O-benzylidene-3-O-(2,2,2-trichloroethoxycarbonyl)-β-D-galactopyranoside (19). To a solution of 18 (49.5 mg, 0.134 mmol) in pyridine/CH2Cl2 (1:4, 1.3 mL) was added trichloroethyl chloroformate (20 μL, 0.148 mmol) at −40 °C. After stirring for 3 h at the same temperature as the reaction was monitored by TLC (30:1 CHCl3–MeOH), solvents were removed by co-evaporation with toluene, and then the residue was diluted with CHCl3, washed with 2 M HCl, H2O, satd aq NaHCO3, and brine. The organic layer was subsequently dried over Na2SO4, and concentrated. The resulting residue was purified by silica gel column chromatography (1:5 EtOAc–n-hexane) to give 19 (59.1 mg, 81%). [α]D +41.7° (c 1.0, CHCl3); 1H-NMR (400 MHz, CDCl3) δ 7.48–7.30 (m, 5 H, Ph), 5.49 (s, 1 H, PhCH<), 4.82–4.72 (m, 3 H, H-3, OCH2CCl3), 4.45 (d, 1 H, J3,4 = 3.7 Hz, H-4), 4.34 (d, 1 H, J1,2 = 7.7 Hz, H-1), 4.33 (d, 1 H, Jgem = 13.8 Hz, H-6), 4.08–4.01 (m, 3 H, H-2, H-6', OCH2CH2SiMe3), 3.60–3.53 (m, 1 H, OCH2CH2SiMe3), 3.48 (s, 1 H, H-5), 2.51 (br s, 1 H, OH), 1.03–0.97 (m, 2 H, OCH2CH2SiMe3), 0.00 (s, 9 H, OCH2CH2SiMe3); 13C-NMR (100 MHz, CDCl3) δ 153.6, 137.3, 129.0, 128.1, 126.2, 102.3, 100.9, 94.2, 78.2, 77.2, 76.9, 73.0, 69.0, 68.5, 67.5, 66.2, 18.1, −1.4. m/z (MALDI): found [M+Na]+ 565.11, C16H16Cl3O7 calcd for [M+Na]+ 565.06.
Molecules 17 09590 i010
2-(Trimethylsilyl)ethyl 2-O-benzoyl-4,6-O-benzylidene-3-O-(2,2,2-trichloroethoxycarbonyl)-β-D-galactopyranoside (20). To a solution of 19 (2.39 g, 4.39 mmol) in THF (1.3 mL) were added benzoic anhydride (1.49 g, 6.59 mmol) and DMAP (268 mg, 2.20 μmol) at 0 °C. After stirring for 8.5 h at r.t. as the reaction was monitored by TLC (30:1 CHCl3–MeOH), THF was evaporated and the residue was then diluted with CHCl3, washed with 2 M HCl, H2O, satd aq NaHCO3, and brine. The organic layer was subsequently dried over Na2SO4, concentrated. The residue was purified by silica gel column chromatography (20:1 toluene–EtOAc) to give 20 (2.90 g, quant.). [α]D +38.8° (c 1.2, CHCl3); 1H-NMR (400 MHz, CDCl3) δ 8.11–7.43 (m, 10 H, 2 Ph), 5.79–7.75 (near t, 1 H, J2,3 = 10.6 Hz, J1,2 = 7.8 Hz, H-2), 5.64 (s, 1 H, PhCH<), 5.22 (dd, 1 H, J3,4 = 3.7 Hz, H-3), 4.81–4.78 (2 d, 2 H, OCH2CCl3, H-1), 4.68 (d, 1 H, Jgem = 11.9 Hz, OCH2CCl3), 4.58 (d, 1 H, H-4), 4.67–4.50 (dd, 1 H, Jgem = 12.4 Hz, J5,6 = 1.8 Hz, H-6), 4.23–4.19 (dd, 1 H, J5,6´ = 1.8 Hz, H-6'), 4.15–4.08 (m, 1 H, OCH2CH2SiMe3), 3.68–3.62 (m, 2 H, H-5, OCH2CH2SiMe3), 1.03–0.91 (m, 2 H, OCH2CH2SiMe3), 0.00 (s, 9 H, OCH2CH2SiMe3); 13C-NMR (100 MHz, CDCl3) δ 164.8, 153.7, 137.2, 133.1, 129.8, 129.7, 129.1, 128.3, 128.2, 126.4, 101.1, 100.5, 94.1, 76.8, 76.6, 73.4, 69.2, 68.9, 67.0, 66.2, 17.9, −1.5. m/z (MALDI): found [M+Na]+ 669.09, C28H33Cl3O9Si calcd for [M+Na]+ 669.09.
Molecules 17 09590 i011
2-(Trimethylsilyl)ethyl 2-O-benzoyl-4,6-O-benzylidene-β-D-galactopyranoside (21). To a solution of 20 (2.18 g, 3.36 μmol) in AcOH/CH2Cl2 (3:2, 33.6 mL) was added Zn/Cu couple (6.00 g) at r.t. The reaction mixture was stirred for 1 h at r.t. as the reaction was monitored by TLC (30:1 CHCl3–MeOH). The precipitate was filtered through Celite and the filtrate was co-evaporated with toluene. The residue was diluted with CHCl3 and washed with satd aq NaHCO3 and brine, dried over Na2SO4, and concentrated. The obtained residue was purified by silica gel column chromatography (4:1 EtOAc–n-hexane) to give 21 (1.33 g, 84%). [α]D −3.8° (c 1.1, CHCl3); 1H-NMR (400 MHz, CDCl3) δ 8.15–7.45 (m, 10 H, 2 Ph), 5.65 (s, 1 H, PhCH<), 5.43 (near t, 1 H, J2,3 = 10.3 Hz, J1,2 = 8.3 Hz, H-2), 4.68 (d, 1 H, J1,2 = 8.3 Hz, H-1), 4.45 (d, 1 H, Jgem = 12.3 Hz, H-6), 4.33 (d, 1 H, J3,4 = 4.2 Hz, H-4), 4.18 (dd, 1 H, Jgem = 12.4 Hz, H-6'), 4.12 (m, 1 H, OCH2CH2SiMe3), 3.97 (m, 1 H, J3,OH = 11.0 Hz, J2,3 = 10.3 Hz, H-3), 3.68–3.60 (m, 2 H, H-5, OCH2CH2SiMe3), 2.72 (d, 1 H, OH), 0.98 (m, 2 H, CH2CH2SiMe3), 0.00 (s, 3 H, CH2CH2SiMe3); 13C-NMR (100 MHz, CDCl3) δ 166.2, 137.4, 132.9, 130.0, 129.8, 129.2, 128.2, 126.4, 101.4, 100.3, 75.6, 72.9, 71.9, 69.0, 67.0, 66.5, 17.9, −1.5. m/z (MALDI): found [M+Na]+ 495.12, C25H32O7Si calcd for [M+Na]+ 495.18.
Molecules 17 09590 i012
2-(Trimethylsilyl)ethyl 3,6-di-O-benzyl-2-deoxy-4-O-levulinoyl-2-(2,2,2-trichloroethoxycarbamoyl)-β-D-glucopyranosyl-(1→3)-2-O-benzoyl-4,6-O-benzylidene-β-D-galactopyranoside (22). To a mixture of 16 (230 mg, 0.317 mmol) and 21 (100 mg, 0.212 mmol) in CH2Cl2 (3.2 mL) was added 4 Å molecular sieves AW-300 (400 mg) at r.t. After stirring for 1 h, the mixture was cooled to 0 °C. NIS (143 mg, 0.636 mmol) and TfOH (2.8 μL, 31.7 μmol) were then added to the mixture at 0 °C. After stirring for 2 h at the same temperature as the reaction was monitored by TLC (1:4 EtOAc–toluene), the reaction was quenched by the addition of triethylamine. The solution was diluted with CHCl3 and filtered through Celite. The filtrate was then washed with satd aq Na2S2O3 and brine. The organic layer was subsequently dried over Na2SO4, and concentrated. The resulting residue was purified by silica gel column chromatography (1:4 EtOAc–toluene, then 200:1 CHCl3–MeOH) to give 22 (186 mg, 81%). [α]D +17.4° (c 0.8, CHCl3); 1H-NMR (600 MHz, CDCl3) δ 8.07–7.13 (m, 20 H, 4 Ph), 5.55 (near t, 1 H, J2,3 = 10.3 Hz, J1,2 = 7.6 Hz, H-2a), 5.49 (s, 1 H, PhCH<), 5.26 (d, 1 H, JNH,2 = 6.2 Hz, NH), 5.08 (d, 1 H, J1,2 = 7.6 Hz, H-1b), 4.92 (near t, 1 H, J3,4 = 9.9 Hz, J4,5 = 9.4 Hz, H-4b), 4.53 (d, 1 H, H-1a), 4.55–4.51 (m, 2 H, 2 OCH2), 4.46–4.41 (m, 3 H, 3 OCH2), 4.40 (d, 1 H, J3,4 = 3.4 Hz, H-4a), 4.26 (d, 1 H, Jgem = 12.4 Hz, H-6'a), 4.15 (t, 1 H, J3,4 = 9.9 Hz, H-3b), 4.00–3.95 (m, 2 H, H-3a, OCH2CH2SiMe3), 3.83 (d, 1 H, Jgem = 12.4 Hz, H-6a), 3.66 (br m, 1 H, H-5b), 3.55 (m, 3 H, H-6b, H-6'b, OCH2CH2SiMe3), 3.35 (s, 1 H, H-5a), 3.28 (br d, 1 H, OCH2), 3.17 (br dd, 1 H, H-2b), 2.61–2.36 (m, 4 H, CH2CH2C(=O)O), 2.10 (s, 3 H, C(=O)CH3), 0.86–0.76 (m, 2 H, CH2CH2SiMe3), −0.12 (m, 9 H, CH2CH2SiMe3); 13C-NMR (125 MHz, CDCl3) δ 206.2, 171.6, 164.9, 153.4, 138.1, 138.0, 137.8, 133.0, 130.2, 129.9, 128.9, 128.4, 128.3, 128.3, 128.1, 127.7, 127.6, 127.6, 127.5, 126.5, 101.1, 100.8, 100.2, 95.4, 78.7, 77.5, 76.2, 74.2, 73.4, 73.3, 73.2, 71.6, 70.5, 69.9, 68.8, 66.7, 66.6, 58.2, 37.7, 29.7, 27.8, 17.9, −1.6. m/z (MALDI): found [M+Na]+ 1108.51, C53H62Cl3NO15Si calcd for [M+Na]+ 1108.29.
Molecules 17 09590 i013
2-(Trimethylsilyl)ethyl 3,6-di-O-benzyl-2-deoxy-4-O-levulinoyl-2-(2,2,2-trichloroethoxycarbamoyl)-β-D-glucopyranosyl-(1→3)-2-O-benzoyl-β-D-galactopyranoside (23). Compound 22 (42 mg, 38.3 μmol) was dissolved in 80% AcOH aq (1.5 mL) and the solution was stirred for 4 h at 50 °C as the reaction was monitored by TLC (15:1 CHCl3–MeOH). After the reaction mixture was co-evaporated with toluene, the crude residue was purified by silica gel column chromatography (50:1 CHCl3–MeOH) to give 23 (38 mg, 99%). [α]D −1.43° (c 0.7, CHCl3); 1H-NMR (400 MHz, acetone-d6) δ 8.34–7.32 (m, 15 H, 3 Ph), 7.03 (d, 1 H, JNH,2 = 9.2 Hz, NH), 5.60 (near t, 1 H, J2,3 = 9.7 Hz, J1,2 = 8.0 Hz, H-2a), 5.13 (d, 1 H, J1,2 = 8.6 Hz, H-1b), 5.09 (near t, J3,4 = 9.9 Hz, J4,5 = 8.3 Hz, H-4b), 4.77–4.64 (m, 5 H, H-1a, 4 OCH2), 4.48 (d, 1 H, J3,4 = 3.4 Hz, H-4a), 4.51 (d, 1 H, OCH2), 4.23 (dd, 1 H, H-3a), 4.13–4.08 (m, 2 H, H-3b, OCH2), 3.96–3.63 (m, 9 H, 2 OCH2, H-2b, H-5b, H-6b, H-6'b, H-5a, H-6a, H-6'a), 2.98 (s, 2 H, 2 OH), 2.80–2.49 (m, 4 H, CH2CH2C(=O)O), 2.20 (s, 3 H, C(=O)CH3), 1.01–0.83 (m, 2 H, CH2CH2SiMe3), 0.00 (s, 9 H, CH2CH2SiMe3); 13C-NMR (100 MHz, acetone-d6) δ 206.5, 172.5, 165.6, 154.8, 139.5, 133.7, 131.7, 130.7, 129.2, 129.0, 128.8, 128.4, 128.3, 128.2, 128.0, 102.7, 101.7, 96.8, 82.4, 80.2, 75.9, 74.6, 74.1, 74.0, 73.9, 72.1, 72.0, 70.4, 69.5, 67.0, 62.6, 58.3, 38.1, 29.6, 28.6, 18.6, −1.4. m/z (MALDI): found [M+Na]+ 1020.26, C46H58Cl3NO15Si calcd for [M+Na]+ 1020.25.
Molecules 17 09590 i014
2-(Trimethylsilyl)ethyl 3,6-di-O-benzyl-2-deoxy-4-O-levulinoyl-2-(2,2,2-trichloroethoxycarbamoyl)-β-D-glucopyranosyl-(1→3)-[3,6-di-O-benzyl-4-O-chloroacetyl-2-deoxy-2-(2,2,2-trichloroethoxycarbamoyl)-β-D-glucopyranosyl-(1→6)]-2-O-benzoyl-β-D-galactopyranoside (24). To a mixture of 17 (694 mg, 0.987 mmol) and 23 (658 mg, 0.658 mmol) in CH2Cl2 (6.6 mL) was added 4 Å molecular sieves (1.40 g) at r.t. After stirring for 1 h, the mixture was cooled to 0 °C. NIS (296 mg, 1.32 mmol) and TfOH (8.7 μL, 98.7 μmol) were then added to the mixture at 0 °C. After stirring for 2 h at r.t. as the reaction was monitored by TLC (30:1 CHCl3–MeOH), the reaction was quenched by the addition of triethylamine. The solution was diluted with CHCl3 and filtered through Celite. The filtrate was then washed with satd aq Na2S2O3 and brine. The organic layer was subsequently dried over Na2SO4, and concentrated. The residue was purified by silica gel column chromatography (100:1 CHCl3–MeOH) to give 24 (511 mg, 49%). [α]D −19.4° (c 1.8, CHCl3); 1H-NMR (400 MHz, DMSO-d6) δ 8.20–7.32 (m, 27 H, 5 Ph, NHb, NHc), 5.38 (t, 1 H, J2,3 = 8.3 Hz, J1,2 = 8.7 Hz, H-2a), 5.14 (t, 1 H, J4,5 = 9.6 Hz, H-4c), 5.06 (d, 1 H, Jgem = 12.4 Hz, OCH2), 5.01 (t, 1 H, J3,4 = 9.6 Hz, J4,5 = 9.1 Hz, H-4b), 4.90 (d, 1 H, J1,2 = 8.2 Hz, H-1c), 4.75 (d, 1 H, J1,2 = 8.3 Hz, H-1b), 4.66 (d, 1 H, H-1a), 4.91–4.61 (m, 10 H, OH, 9 OCH2), 4.49 (2 d, 2 H, OCH2), 4.24 (br s, 1 H, H-4a), 4.04–3.52 (m, 18 H, H-3a, H-5a, H-6a, H-6'a, H-2b, H-3b, H-5b, H-6b, H-6'b, H-2c, H-3c, H-5c, H-6c, H-6'c, OCH2CH2SiMe3, CH2Cl), 2.83–2.80 (m, 2 H, CH2CH2C(=O)O), 2.56 (m, 2 H, CH2CH2C(=O)O), 2.26 (s, 3 H, C(=O)CH3), 0.93–0.78 (m, 2 H, CH2CH2SiMe3), 0.00 (s, 9 H, CH2CH2SiMe3); 13C-NMR (100 MHz, DMSO-d6) δ 206.8, 171.5, 166.5, 164.7, 154.4, 153.8, 138.4, 138.3, 138.2, 133.2, 130.3, 129.6, 128.6, 128.4, 128.3, 128.2, 127.7, 127.7, 127.6, 101.9, 101.1, 100.2, 96.4, 96.0, 80.7, 79.4, 78.9, 73.7, 73.6, 73.3, 72.8, 72.7, 72.6, 72.5, 72.2, 72.0, 70.9, 70.7, 69.6, 69.0, 68.7, 68.6, 66.1, 57.0, 41.1, 37.4, 29.7, 27.8, 17.6, −1.3. m/z (MALDI): found [M+Na]+ 1611.27, C71H83Cl7N2O22Si calcd for [M+Na]+ 1611.29.
Molecules 17 09590 i015
2-(Trimethylsilyl)ethyl 3,6-di-O-benzyl-2-deoxy-4-O-levulinoyl-2-(2,2,2-trichloroethoxycarbamoyl)-β-D-glucopyranosyl-(1→3)-[3,6-di-O-benzyl-4-O-chloroacetyl-2-deoxy-2-(2,2,2-trichloroethoxycarbamoyl)-β-D-glucopyranosyl-(1→6)]-4-O-acetyl-2-O-benzoyl-β-D-galactopyranoside (27). To a solution of 24 (759 mg, 0.476 mmol) in THF (4.8 mL) were added acetic anhydride (94 μL, 0.956 mmol) and DMAP (5.8 mg, 47.6 μmol) at 0 °C. The reaction mixture was stirred for 1.5 h at r.t. as the reaction was monitored by TLC (15:1 CHCl3–MeOH). After THF was evaporated, the obtained crude residue was purified by silica gel column chromatography (100:1 CHCl3–MeOH) to give 27 (745 mg, 96%). [α]D −5.5° (c 1.8, CHCl3); 1H-NMR (400 MHz, DMSO-d6) δ 8.20–7.32 (m, 27 H, 5 Ph, NHb, NHc), 5.58 (br s, 1 H, H-4a), 5.34 (near t, 1 H, J2,3 = 9.7 Hz, J1,2 = 8.2 Hz, H-2a), 5.16–5.07 (m, 3 H, H-4c, H-4b, OCH2), 4.86–4.61 (m, 10 H, H-1b, H-1c, H-1a, 7 OCH2), 4.58–4.39 (m, 3 H, 3 OCH2), 4.31 (br dd, 1 H, H-3a), 4.18 (br dd, 1 H, H-6a), 4.06–3.48 (m, 17 H, H-5a, H-6'a, H-2b, H-3b, H-5b, H-6b, H-6'b, H-2c, H-3c, H-5c, H-6c, H-6'c, OCH2, OCH2CH2SiMe3, CH2Cl), 2.80 (m, 2 H, CH2CH2C(=O)O), 2.54 (m, 2 H, CH2CH2C(=O)O), 2.25–2.22 (2 s, 6 H, 2 C(=O)CH3), 0.96–0.79 (m, 2 H, CH2CH2SiMe3), 0.00 (s, 9 H, CH2CH2SiMe3); 13C-NMR (100 MHz, DMSO-d6) δ 206.7, 179.5, 171.3, 170.0, 166.5, 164.5, 154.4, 153.8, 138.5, 138.3, 138.3, 138.2, 133.3, 130.1, 129.6, 128.7, 128.4, 128.3, 128.3, 128.1, 127.7, 127.6, 127.6, 127.5, 127.2, 101.3, 100.9, 100.0, 96.3, 96.0, 79.3, 79.0, 77.6, 73.6, 73.1, 72.7, 72.4, 72.3, 72.0, 71.1, 70.3, 70.2, 69.0, 68.8, 68.4, 66.4, 57.0, 41.1, 37.4, 29.7, 27.8, 20.8, 17.6, −1.3. m/z (MALDI): found [M+Na]+ 1653.57, C73H85Cl7N2O23Si calcd for [M+Na]+ 1653.30.
Molecules 17 09590 i016
2-(Trimethylsilyl)ethyl 3,6-di-O-benzyl-2-deoxy-4-O-levulinoyl-2-(2,2,2-trichloroethoxycarbamoyl)-β-D-glucopyranosyl-(1→3)-[3,6-di-O-benzyl-2-deoxy-2-(2,2,2-trichloroethoxycarbamoyl)-β-D-glucopyranosyl-(1→6)]-4-O-acetyl-2-O-benzoyl-β-D-galactopyranoside (28). To a solution of 27 (712 mg, 0.435 mmol) in EtOH (4.4 mL) was added DABCO (732 mg, 6.52 mmol) at 0 °C. After stirring for 1 h at 50 °C as the reaction was monitored by TLC (30:1 CHCl3–MeOH), EtOH was evaporated. The obtained crude residue was purified by silica gel column chromatography (100:1 CHCl3–MeOH) to give 28 (665 mg, 98%). [α]D −1.8° (c 1.5, CHCl3); 1H-NMR (500 MHz, CDCl3) δ 8.19–7.27 (m, 25 H, 5 Ph), 5.63 (d, 1 H, J3,4 = 3.4 Hz, H-4a), 5.52 (near t, 1 H, J2,3 = 10.3 Hz, J1,2 = 8.0 Hz, H-2a), 5.32 (br d, 1 H, NHb), 5.18 (d, 1 H, JNH,2 = 6.9 Hz, NHc), 5.07 (d, 1 H, J1,2 = 9.2 Hz, H-1c), 5.05 (near t, 1 H, J3,4 = 9.2 Hz, H-4c), 4.85 (d, 1 H, J1,2 = 8.6 Hz, H-1b), 4.91–4.80 (m, 3 H, 3 OCH2), 4.71 (d, 1 H, OCH2), 4.63 (d, 1 H, H-1a), 4.69–4.59 (m, 6 H, 6 OCH2), 4.50 (d, 1 H, OCH2), 4.16 (br t, 1 H, J2,3 = 10.3 Hz, H-3c), 4.09 (m, 1 H, OCH2CH2SiMe3), 4.07 (dd, 1 H, H-3a), 4.01 (dd, 1 H, J5,6 = 4.1 Hz, Jgem = 12.8 Hz, H-6a), 3.89–3.56 (m, 11 H, H-5a, H-6'a, H-3b, H-5b, H-6b, H-6'b, H-5c, H-6c, H-6'c, OCH2, OCH2CH2SiMe3), 3.44 (br dd, 1 H, H-2b), 3.23 (br dd, 1 H, H-2c), 2.96 (s, 1 H, OH), 2.72–2.37 (m, 4 H, CH2CH2C(=O)O), 2.22 (m, 6 H, 2 C(=O)CH3), 1.01–0.86 (m, 2 H, CH2CH2SiMe3), 0.00 (s, 9 H, CH2CH2SiMe3); 13C-NMR (100 MHz, CDCl3) δ 206.1, 171.4, 169.9, 164.8, 154.0, 153.3, 138.2, 138.1, 137.7, 137.5, 133.2, 129.9, 128.5, 128.4, 128.3, 128.0, 127.9, 127.8, 127.7, 127.6, 127.6, 100.7, 100.2, 95.6, 95.4, 80.5, 77.5, 74.3, 74.3, 73.9, 73.7, 73.4, 73.4, 73.2, 73.1, 71.5, 71.4, 70.5, 70.1, 69.6, 67.4, 57.9, 57.3, 37.6, 29.6, 27.8, 20.8, 17.9, −1.5. m/z (MALDI): found [M+Na]+ 1577.28, C71H84Cl6N2O22Si calcd for [M+Na]+ 1577.33.
Molecules 17 09590 i017
2-(Trimethylsilyl)ethyl (methyl 5-acetamido-4,7,8,9-tetra-O-acetyl-3,5-dideoxy-D-glycero-α-D-galacto-2-nonulopyranosylonate)-(2→6)-4-O-acetyl-2,3-di-O-benzoyl-β-D-galactopyranosyl-(1→4)-3,6-di-O-benzyl-2-deoxy-2-(2,2,2-trichloroethoxycarbamoyl)-β-D-glucopyranosyl-(1→6)-[3,6-di-O-benzyl-2-deoxy-4-O-levulinoyl-2-(2,2,2-trichloroethoxycarbamoyl)-α-D-glucopyranosyl-(1→3)]-4-O-acetyl-2-O-benzoyl-β-D-galactopyranoside (29). To a mixture of 12 (80 mg, 76.5 μmol) and 28 (70 mg, 45.0 μmol) in CH2Cl2 (0.9 mL) was added 3 Å molecular sieves (250 mg) at r.t. After stirring for 1 h, the mixture was cooled to 0 °C. TMSOTf (1.4 μL, 7.65 μmol) was then added to the mixture at 0 °C. After stirring for 25 h at r.t., TMSOTf (1.4 μL, 7.65 μmol) was added to the mixture. After the stirring was continued for 3 h at r.t. as the reaction was monitored by TLC (30:1 CHCl3–MeOH), the reaction was quenched by the addition of triethylamine. The mixture was diluted with CHCl3 and filtered through Celite. The filtrate was then washed with satd aq NaHCO3 and brine. The organic layer was subsequently dried over Na2SO4, and concentrated. The resulting residue was purified by silica gel column chromatography (90:1 CHCl3–MeOH) followed by gel filtration column chromatography (LH-20) using MeOH as eluent, giving 29 (81 mg, 74%). [α]D −2.9° (c 1.4, CHCl3); 1H-NMR (600 MHz, CDCl3) δ 8.05–7.14 (m, 35 H, 7 Ph), 5.61 (d, 1 H, J3,4 = 3.3 Hz, H-4d), 5.59 (near t, 1 H, J1,2 = 8.3 Hz, H-2d), 5.45 (d, 1 H, J3,4 = 3.4 Hz, H-4a), 5.40–5.36 (m, 1 H, H-8e), 5.36 (t, 1 H, J1,2 = 8.2 Hz, H-2a), 5.34 (m, 1 H, H-7e), 5.30 (dd, 1 H, J2,3 = 10.2 Hz, H-3d), 5.23 (2 br d, 2 H, NHe, NHb), 5.02 (d, 1 H, J2,NH = 6.9 Hz, NHc), 5.12 (d, 1 H, Jgem = 11.0 Hz, OCH2), 4.94 (d, 1 H, H-1d), 4.94–4.86 (m, 2 H, H-1c, H-4c), 4.84 (m, 1 H, J3eq,4 = 4.2 Hz, H-4e), 4.73–4.68 (m, 3 H, 3 OCH2), 4.58–4.30 (m, 10 H, H-1a, H-1b, H-9e, 7 OCH2), 4.14–3.71 (m, 15 H, H-3a, H-6'a, H-3b, H-4b, H-3c, H-4c, H-5d, H-6d, H-6'd, H-5e, H-6e, OCH2, OCH3), 3.58–3.37 (m, 10 H, H-6a, H-2b, H-5b, H-6b, H-6'b, H-5c, H-6c, H-6'c, 2 OCH2), 3.28–3.26 (m, 1 H, H-5a), 3.08 (br dd, 1 H, H-2c), 2.60–2.51 (m, 3 H, H-3eeq, CH2CH2C(=O)O), 2.38–2.24 (m, 2 H, CH2CH2C(=O)O), 2.16–1.91 (m, 25 H, 8 C(=O)CH3, H-3eax), 0.85–0.69 (m, 2 H, CH2CH2SiMe3), −0.14 (s, 9 H, CH2CH2SiMe3); 13C-NMR (100 MHz, CDCl3) δ 206.0, 171.4, 170.9, 170.7, 170.3, 170.1, 169.8, 169.6, 167.8, 165.3, 165.2, 164.8, 153.9, 153.3, 138.6, 138.1, 138.0, 137.7, 133.3, 133.1, 129.8, 129.6, 129.5, 129.1, 128.5, 128.4, 128.4, 128.3, 128.3, 128.2, 127.9, 127.8, 127.7, 127.6, 127.6, 127.4, 100.6, 100.1, 99.8, 99.0, 95.4, 77.4, 76.8, 76.1, 74.4, 74.3, 73.9, 73.7, 73.3, 73.3, 73.1, 72.8, 71.7, 71.5, 71.4, 70.2, 70.1, 69.6, 68.7, 68.4, 68.1, 67.3, 62.4, 57.9, 57.0, 52.9, 49.4, 37.7, 37.6, 29.6, 27.8, 23.1, 21.0, 20.8, 20.5, 17.8, −1.5. m/z (MALDI): found [M+Na]+ 2463.09, C113H131Cl6N3O42Si calcd for [M+Na]+ 2462.60.
Molecules 17 09590 i018
2-(Trimethylsilyl)ethyl (methyl 5-acetamido-4,7,8,9-tetra-O-acetyl-3,5-dideoxy-D-glycero-α-D-galacto-2-nonulopyranosylonate)-(2→6)-4-O-acetyl-2,3-di-O-benzoyl-β-D-galactopyranosyl-(1→4)-2-acetamido-3,6-di-O-benzyl-2-deoxy-β-D-glucopyranosyl-(1→6)-[2-acetamido-3,6-di-O-benzyl-2-deoxy-4-O-levulinoyl-β-D-glucopyranosyl-(1→3)]-4-O-acetyl-2-O-benzoyl-β-D-galactopyranoside (31). To a solution of 29 (220 mg, 89.9 μmol) in CH2Cl2/AcOH (2:3, 3.5 mL) was added Zn/Cu couple (2.20 g) at r.t. The reaction mixture was heated to 50 °C and was stirred for 2.5 h at the same temperature as the reaction was monitored by TLC (15:1 CHCl3–MeOH). The precipitate was filtered through Celite and the filtrate was co-evaporated with toluene. The obtained residue was exposed to high vacuum for 6 h. The crude residue was dissolved in pyridine (3.6 mL) and acetic anhydride (68 μL, 0.719 mmol), DMAP (2.5 mg, 47.6 μmol) were then added to the mixture at 0 °C. After stirring for 12 h at r.t as the reaction was monitored by TLC (15:1 CHCl3–MeOH), the reaction mixture was evaporated. The obtained residue was diluted with CHCl3 and washed with 2 M HCl, satd aq NaHCO3, and brine, dried over Na2SO4, and concentrated. The resulting residue was purified by silica gel column chromatography (40:1 CHCl3–MeOH) to give 31 (120 mg, 61%). [α]D −1.9° (c 0.5, CHCl3); 1H-NMR (600 MHz, CDCl3) δ 8.02–7.13 (m, 35 H, 7 Ph), 5.93 (d, 1 H, J2,NH = 8.3 Hz, NHb), 5.63 (d, 1 H, J3,4 = 3.4 Hz, H-4d), 5.56 (near t, 1 H, J1,2 = 7.5 Hz, J2,3 = 8.2 Hz, H-2d), 5.41–5.31 (m, 5 H, H-2a, H-4a, H-3d, H-7e, H-8e), 5.26 (d, 1 H, J2,NH = 7.6 Hz, NHc), 5.13 (d, 1 H, J5,NH = 7.5 Hz, NHe), 4.95 (d, 1 H, J1,2 = 8.2 Hz, H-1c), 4.90–4.83 (m, 4 H, H-4c, H-1d, H-4e, OCH2), 4.70 (d, 1 H, Jgem = 11.7 Hz, OCH2), 4.58 (d, 1 H, J1,2 = 6.9 Hz, H-1c), 4.44 (d, 1 H, J1,2 = 8.3 Hz, H-1a), 4.54–4.31 (m, 7 H, H-9e, 3 OCH2), 4.13 (t, 1 H, J2,3 = 9.6 Hz, H-3c), 4.10–4.02 (m, 4 H, H-6a, H-4b, H-5e, H-9e), 3.97–3.75 (m, 9 H, H-3a, H-6'a, H-3b, H-6d, H-6e, OCH2CH2SiMe3, OCH3), 3.67–3.35 (m, 11 H, H-5a, H-2b, H-5b, H-6b, H-6'b, H-5c, H-6c, H-6'c, H-5d, H-6'd, OCH2CH2SiMe3), 3.07 (dd, 1 H, H-2c), 2.54–2.51 (m, 3 H, H-3eeq, CH2CH2C(=O)O), 2.35–2.27 (m, 2 H, CH2CH2C(=O)O), 2.15–1.89 (m, 28 H, 9 C(=O)CH3, H-3eax), 0.88–0.69 (m, 2 H, OCH2CH2SiMe3), −0.16 (s, 9 H, OCH2CH2SiMe3); 13C (125 MHz, CDCl3) δ 206.1, 171.5, 170.9, 170.7, 170.5, 170.3, 170.1, 169.9, 169.7, 167.8, 165.3, 165.1, 138.9, 138.2, 138.1, 133.4, 133.3, 133.2, 129.8, 129.7, 129.6, 129.1, 128.6, 128.5, 128.5, 128.4, 128.3, 127.9, 127.9, 127.8, 127.7, 127.6, 127.5, 127.4, 100.6, 100.2, 99.9, 99.7, 99.0, 78.0, 77.4, 74.6, 73.6, 73.4, 73.3, 73.2, 73.1, 72.7, 71.8, 71.8, 71.6, 71.5, 70.2, 70.1, 69.7, 68.8, 68.8, 68.1, 67.6, 67.4, 67.2, 62.7, 62.5, 57.6, 52.9, 49.5, 37.8, 37.7, 29.7, 27.9, 23.4, 23.2, 22.7, 21.0, 20.8, 20.7, 20.6, 17.8, −1.5. m/z (MALDI): found [M+Na]+ 2198.83, C111H133N3O40Si calcd for [M+Na]+ 2198.81.
Molecules 17 09590 i019
2-(Trimethylsilyl)ethyl (methyl 5-acetamido-4,7,8,9-tetra-O-acetyl-3,5-dideoxy-D-glycero-α-D-galacto-2-nonulopyranosylonate)-(2→6)-4-O-acetyl-2,3-di-O-benzoyl-β-D-galactopyranosyl-(1→4)-2-acetamido-3,6-di-O-benzyl-2-deoxy-β-D-glucopyranosyl-(1→6)-[2-acetamido-3,6-di-O-benzyl-2-deoxy-β-D-glucopyranosyl-(1→3)]-4-O-acetyl-2-O-benzoyl-β-D-galactopyranoside (32). To a solution of 31 (119 mg, 54.7 μmol) in THF (2.0 mL) was added hydrazine monoacetate (4.9 mg, 54.7 μmol) at 0 °C. After stirring for 1 h at r.t. as the reaction was monitored by TLC (30:1 CHCl3–MeOH), THF was evaporated. The residue was diluted with CHCl3 and washed with 2 M HCl, satd aq NaHCO3, and brine, dried over Na2SO4, and concentrated. The obtained residue was purified by silica gel column chromatography (40:1 CHCl3–MeOH) to give 32 (104 mg, 92%). [α]D −5.2° (c 1.9, CHCl3); 1H-NMR (500 MHz, CDCl3) δ 8.02–7.20 (m, 35 H, 7 Ph), 6.01 (d, 1 H, JNH,2 = 8.6 Hz, NHb), 5.64 (d, 1 H, J3,4 = 3.5 Hz, H-4d), 5.58 (near t, 1 H, J1,2 = 8.0 Hz, J2,3 = 10.3 Hz, H-2d), 5.43–5.32 (m, 6 H, H-2a, H-4a, H-3d, H-7e, H-8e, NHc), 5.21 (d, 1 H, JNH,5 = 7.4 Hz, NHe), 4.89–4.81 (m, 3 H, H-1d, H-4e, OCH2), 4.82 (d, 1 H, J1,2 = 9.7 Hz, H-1c), 4.72–4.65 (2 d, 2 H, Jgem = 11.5 Hz, 2 OCH2), 4.60–4.45 (m, 5 H, H-1b, 4 OCH2), 4.44 (d, 1 H, J1,2 = 8.0 Hz, H-1a), 4.37–4.32 (m, 2 H, OCH2, H-9e), 4.12–4.04 (m, 4 H, H-6a, H-6d, H-6e, H-9'e), 3.98–3.62 (m, 14 H, H-3a, H-5a, H-6'a, H-2b, H-3b, H-6b, H-6'b, H-3c, H-5d, H-6'd, OCH3, OCH2CH2SiMe3), 3.54 (t, 1 H, J3,4 = J4,5 = 12.0 Hz, H-4c), 3.49–3.36 (m, 6 H, H-5c, H-6c, H-6'c, H-4b, H-5b, OCH2CH2SiMe3), 3.16 (dd, 1 H, H-2c), 2.96 (s, 1 H, OH), 2.53 (dd, 1 H, Jgem = 12.4 Hz, J3eq,4 = 4.6 Hz, H-3eeq), 2.18–1.87 (m, 25 H, 8 C(=O)CH3, H-3eax), 0.88–0.69 (m, 2 H, OCH2CH2SiMe3), −0.16 (s, 9 H, OCH2CH2SiMe3); 13C-NMR (125 MHz, CDCl3) δ 170.8, 170.6, 170.4, 170.2, 170.1, 169.9, 169.6, 169.5, 167.7, 165.6, 165.2, 165.0, 138.7, 138.4, 138.0, 137.7, 133.4, 133.2, 133.1, 129.7, 129.7, 129.6, 129.5, 129.0, 128.4, 128.4, 128.3, 128.3, 128.2, 127.8, 127.8, 127.7, 127.6, 127.5, 127.3, 100.4, 100.2, 100.1, 99.6, 98.9, 79.8, 77.9, 75.2, 74.5, 73.8, 73.5, 73.5, 73.2, 73.1, 73.0, 72.8, 72.6, 71.7, 71.6, 71.4, 70.7, 70.1, 70.0, 68.7, 68.1, 67.5, 67.3, 67.2, 62.5, 62.4, 56.4, 54.0, 52.8, 49.2, 37.7, 29.6, 23.3, 23.1, 22.8, 20.9, 20.7, 20.6, 20.5, 17.7, −1.6. m/z (MALDI): found [M+Na]+ 2100.96, C106H127N3O38Si calcd for [M+Na]+ 2100.78.
Molecules 17 09590 i020
2-(Trimethylsilyl)ethyl (methyl 5-acetamido-4,7,8,9-tetra-O-acetyl-3,5-dideoxy-D-glycero-α-D-galacto-2-nonulopyranosylonate)-(2→3)-4-O-acetyl-2,6-di-O-benzoyl-β-D-galactopyranosyl-(1→4)-2-acetamido-3,6-di-O-benzyl-2-deoxy-β-D-glucopyranosyl-(1→3)-[(methyl 5-acetamido-4,7,8,9-tetra-O-acetyl-3,5-dideoxy-D-glycero-α-D-galacto-2-nonulopyranosylonate)-(2→6)-4-O-acetyl-2,3-di-O-benzoyl-β-D-galactopyranosyl-(1→4)-2-acetamido-3,6-di-O-benzyl-2-deoxy-β-D-glucopyranosyl-(1→6)]-4-O-acetyl-2-O-benzoyl-β-D-galactopyranoside (33). To a mixture of 4 (103 mg, 98.7 μmol) and 32 (93 mg, 44.5 μmol) in CH2Cl2 (1.8 mL) was added 3 Å molecular sieves (300 mg) at r.t. After stirring for 1 h, the mixture was cooled to 0 °C. TMSOTf (1.8 μL, 9.94 μmol) was then added to the mixture at 0 °C. The reaction was stirred for 2 h at r.t. as the reaction was monitored by TLC (15:1:1 CHCl3–MeOH–EtOAc). Another portion of TMSOTf (1.8 μL, 9.94 μmol) was added to the mixture at 0 °C. After the stirring was continued for 4 h at r.t, the reaction was quenched by the addition of triethylamine. The reaction mixture was diluted with CHCl3 and filtered through Celite. The filtrate was then washed with satd aq NaHCO3 and brine. The organic layer was subsequently dried over Na2SO4, and concentrated. The resulting residue was purified by silica gel column chromatography (40:1 CHCl3–MeOH) to give 33 (82 mg, 62%). [α]D −5.1° (c 0.8, CHCl3); 1H-NMR (600 MHz, CDCl3) δ 8.22–7.12 (m, 45 H, 9 Ph), 5.92 (d, 1 H, NHb), 5.65 (m, 1 H, H-4g), 5.63 (d, 1 H, J3,4 = 3.4 Hz, H-4d), 5.55 (near t, 1 H, J1,2 = 8.2 Hz, J2,3 = 10.2 Hz, H-2d), 5.40 (m, 1 H, H-8e), 5.37 (dd, 1 H, H-3d), 5.33–5.13 (m, 7 H, H-2a, H-4a, H-7e, H-2f, H-7g, NHc, NHe), 5.06 (d, 1 H, J3,4 = 3.4 Hz, H-4f), 5.01 (d, 1 H, J1,2 = 7.5 Hz, H-1f), 5.00 (d, 1 H, J5,NH = 7.5 Hz, NHg), 4.87–4.82 (m, 5 H, H-1d, H-4e, H-4g, 2 OCH2), 4.75 (dd, 1 H, J2,3 = 10.2 Hz, H-3f), 4.71 (d, 1 H, Jgem = 11.6 Hz, OCH2), 4.68 (d, 1 H, J1,2 = 7.5 Hz, H-1c), 4.68–4.47 (m, 4 H, H-1b, 3 OCH2), 4.42 (d, 1 H, J1,2 = 10.7 Hz, H-1a), 4.28 (m, 4 H, H-9e, H-9g, 2 OCH2), 4.11–4.00 (m, 7 H, H-4b, H-4c, H-6c, H-6'c, H-5e, H-6e, H-9'e), 3.97–3.55 (m, 23 H, H-3a, H-5a, H-6a, H-6'a, H-2b, H-3b, H-6b, H-6'b, H-3c, H-6d, H-6'd, H-6f, H-6'f, H-5g, H-6g, H-9'g, 2 OCH3, OCH2CH2SiMe3), 3.49–3.40 (m, 3 H, H-5b, H-5c, OCH2CH2SiMe3), 3.31–3.28 (m, 2 H, H-5c, H-5f), 3.14 (br dd, 1 H, H-2c), 2.53 (dd, 1 H, Jgem = 11.3 Hz, J3eq,4 = 4.8 Hz, H-3geq), 2.49 (m, 1 H, Jgem = 11.7 Hz, J3eq,4 = 4.8 Hz, H-3eeq), 2.15–1.74 (m, 43 H, 14 Ac, H-3eax), 1.70 (t, 1 H, H-3gax), 1.51 (s, 3 H, Ac), 0.88–0.68 (m, 2 H, OCH2CH2SiMe3), −0.17 (s, 9 H, OCH2CH2SiMe3); 13C-NMR (150 MHz, CDCl3) δ 170.9, 170.7, 170.7, 170.3, 170.2, 170.1, 170.1, 170.0, 169.8, 169.7, 169.6, 168.0, 167.8, 165.7, 165.5, 165.3, 165.2, 164.9, 138.8, 138.8, 138.7, 138.1, 133.4, 133.3, 133.2, 133.1, 133.0, 130.3, 129.9, 129.8, 129.7, 129.7, 129.6, 129.5, 129.0, 128.6, 128.5, 128.4, 128.2, 128.1, 128.0, 127.9, 129.6, 129.5, 129.0, 128.6, 128.5, 128.4, 128.2, 128.1, 128.0, 127.9, 127.8, 127.5, 127.4, 127.2, 127.2, 127.0, 100.5, 100.3, 99.6, 99.5, 99.0, 96.8, 78.1, 77.6, 77.5, 75.2, 75.0, 74.6, 74.5, 73.6, 73.3, 73.0, 72.7, 72.6, 71.8, 71.7, 71.4, 71.3, 70.4, 70.2, 70.1, 69.4, 68.7, 68.1, 68.0, 67.5, 67.3, 67.2, 67.1, 66.6, 62.4, 61.3, 53.0, 52.9, 49.4, 48.8, 37.8, 37.3, 29.7, 23.3, 23.2, 23.1, 22.6, 21.3, 21.0, 20.8, 20.8, 20.7, 20.6, 20.6, 20.3, 17.7, −1.5. m/z (MALDI): found [M+Na]+ 2986.28, C148H174N4O58Si calcd for [M+Na]+ 2986.05.
Molecules 17 09590 i021
2-(Trimethylsilyl)ethyl (methyl 5-acetamido-4,7,8,9-tetra-O-acetyl-3,5-dideoxy-D-glycero-α-D-galacto-2-nonulopyranosylonate)-(2→3)-4-O-acetyl-2,6-di-O-benzoyl-β-D-galactopyranosyl-(1→4)-2-acetamido-3,6-di-O-acetyl-2-deoxy-β-D-glucopyranosyl-(1→3)-[(methyl 5-acetamido-4,7,8,9-tetra-O-acetyl-3,5-dideoxy-D-glycero-α-D-galacto-2-nonulopyranosylonate)-(2→6)-4-O-acetyl-2,3-di-O-benzoyl-β-D-galactopyranosyl-(1→4)-2-acetamido-3,6-di-O-acetyl-2-deoxy-β-D-glucopyranosyl-(1→6)]-4-O-acetyl-2-O-benzoyl-β-D-galactopyranoside (35). To a solution of 33 (42.0 mg, 14.2 μmol) in 1,4-dioxane (0.6 mL) was added Pd(OH)2/C (210 mg). After stirring for 4 h at r.t. under a hydrogen atmosphere as the reaction was monitored by TLC (10:1 CHCl3–MeOH), the mixture was filtered through Celite. The filtrate was concentrated and the obtained crude residue was roughly purified by silica gel column chromatography (10:1 CHCl3–MeOH). The obtained product was exposed to high vacuum for 24 h. The residue was then dissolved in pyridine (1.4 mL). Acetic anhydride (11 μL, 0.114 mmol) and DMAP (1.0 mg, 8.18 μmol) were added to the mixture at 0 °C. After stirring for 72 h at r.t. as the reaction was monitored by TLC (10:1 CHCl3–MeOH), the reaction was quenched by the addition of MeOH at 0 °C. The mixture was co-evaporated with toluene and the residue was then diluted with CHCl3, and washed with 2 M HCl, H2O, satd aq NaHCO3 and brine. The organic layer was subsequently dried over Na2SO4, and concentrated. The resulting residue was purified by silica gel column chromatography (40:1 CHCl3–MeOH) to give 35 (35 mg, 89%). [α]D +5.1° (c 0.7, CHCl3); 1H-NMR (500 MHz, CDCl3) δ 8.17–7.27 (m, 25 H, 5 Ph), 5.92 (d, 1 H, JNH,2 = 9.2 Hz, NHb), 5.68 (d, 1 H, J3,4 = 3.5 Hz, H-4d), 5.77 (m, 1 H, H-8g), 5.55 (near t, 2 H, J1,2 = 8.0 Hz, J2,3 = 10.3 Hz, H-2d), 5.44 (m, 1 H, H-3d), 5.38 (m, 1 H, H-8e), 5.32–5.16 (m, 7 H, H-2a, H-3a, H-3b, H-7e, H-2f, H-7g, NHe), 5.09 (d, 1 H, J3,4 = 2.8 Hz, H-4f), 4.96 (d, 1 H, JNH,5 = 9.8 Hz, NHg), 4.91–4.80 (m, 6 H, NHc, H-3c, H-1d, H-4e, H-1f, H-4g), 4.74–4.71 (dd, 1 H, J2,3 = 9.7 Hz, H-3f), 4.47 (d, 1 H, J1,2 = 8.0 Hz, H-1b), 4.43 (d, 1 H, J1,2 = 8.0 Hz, H-1a), 4.41–4.28 (m, 6 H, H-6a, H-1c, H-6d, H-9e, H-6f, H-9g), 4.17–3.93 (m, 10 H, H-6'a, H-6b, H-6'b, H-6'd, H-5e, H-6e, H-9'e, H-6'f, H-9'g, OCH2CH2SiMe3), 3.88–3.68 (m, 15 H, H-3a, H-2b, H-4b, H-5b, H-2c, H-4c, H-6c, H-6'c, H-5g, 2 OCH3), 3.55–3.53 (m, 2 H, H-5d, H-6g), 3.48–3.42 (m, 3 H, H-5a, H-5f, OCH2CH2SiMe3), 3.27–3.25 (m, 1 H, J5,4 = 9.7 Hz, H-5c), 2.55 (dd, 1 H, Jgem = 12.6 Hz, J3eq,4 = 4.6 Hz, H-3geq), 2.51 (dd, 1 H, Jgem = 12.6 Hz, J3eq,4 = 4.6 Hz, H-3eeq), 2.20–1.78 (m, 52 H, 17 Ac, H-3eax), 1.62 (t, 1 H, H-3gax), 1.54 (s, 6 H, 2 Ac), 0.88–0.72 (m, 2 H, OCH2CH2SiMe3), −0.15 (s, 9 H, OCH2CH2SiMe3); 13C-NMR (150 MHz, CDCl3) δ 170.9, 170.7, 170.7, 170.5, 170.4, 170.4, 170.2, 170.1, 170.1, 170.0, 169.8, 169.8, 169.7, 168.0, 167.7, 165.6, 165.3, 165.0, 164.9, 164.8, 133.5, 133.3, 133.2, 130.3, 129.8, 129.7, 129.5, 129.0, 128.9, 128.7, 128.5, 128.5, 128.4, 128.4, 101.2, 100.7, 100.6, 100.5, 100.4, 99.2, 96.8, 75.6, 74.6, 72.9, 72.7, 72.5, 72.4, 71.9, 71.7, 71.1, 70.9, 70.0, 69.8, 69.6, 69.4, 68.6, 67.8, 67.4, 67.1, 66.2, 62.9, 62.4, 62.2, 62.0, 61.0, 60.9, 53.9, 53.0, 49.4, 48.8, 37.8, 37.2, 23.2, 23.1, 22.7, 21.3, 21.0, 20.9, 20.8, 20.7, 20.6, 20.5, 20.4, 17.8, −1.5. m/z (MALDI): found [M+Na]+ 2793.65, C128H158N4O62Si calcd for [M+Na]+ 2793.90.
Molecules 17 09590 i022
(Methyl 5-acetamido-4,7,8,9-tetra-O-acetyl-3,5-dideoxy-D-glycero-α-D-galacto-2-nonulopyranosylonate)-(2→3)-4-O-acetyl-2,6-di-O-benzoyl-β-D-galactopyranosyl-(1→4)-2-acetamido-3,6-di-O-acetyl-2-deoxy-β-D-glucopyranosyl-(1→3)-[(methyl 5-acetamido-4,7,8,9-tetra-O-acetyl-3,5-dideoxy-D-glycero-α-D-galacto-2-nonulopyranosylonate)-(2→6)-4-O-acetyl-2,3-di-O-benzoyl-β-D-galactopyranosyl-(1→4)-2-acetamido-3,6-di-O-acetyl-2-deoxy-β-D-glucopyranosyl-(1→6)]-4-O-acetyl-2-O-benzoyl-D-galactopyranosyl trichloroacetimidate (37). To a solution of 35 (28 mg, 10.2 μmol) in CH2Cl2 (0.75 mL) was added TFA (0.25 mL) at 0 °C. After stirring for 2 h at 0 °C as the reaction was monitored by TLC (15:1:1 CHCl3–MeOH–EtOAc), the reaction mixture was co-evaporated with toluene and then roughly purified by silica gel column chromatography (20:1 CHCl3–MeOH). The obtained product was exposed to high vacuum for 24 h and then dissolved in CH2Cl2 (1.0 mL). CCl3CN (10.2 μL, 0.102 mmol) and DBU (1.8 μL, 12.2 μmol) were added to the mixture at 0 °C. After stirring for 45 min at 0 °C as the reaction was monitored by TLC (10:1 CHCl3–MeOH), the reaction mixture was evaporated. The obtained crude residue was purified by silica gel column chromatography (30:1 CHCl3–MeOH) to give 37 (27 mg, 95%, α:β = 3:1). 37α: 1H-NMR (600 MHz, CDCl3) δ 8.60 (s, 1 H, C(=NH)), 8.19–7.27 (m, 25 H, 5 Ph), 6.48 (d, 1 H, J1,2 = 4.1 Hz, H-1a), 5.81 (d, 1 H, JNH,2 = 9.0 Hz, NHc), 5.68 (d, 1 H, J3,4 = 3.5 Hz, H-4d), 5.60 (m, 1 H, H-8g), 5.55 (near t, 1 H, J1,2 = 8.3 Hz, J2,3 = 10.3 Hz, H-2d), 5.48 (dd, 1 H, J2,3 = 10.3 Hz, H-2a), 5.43–5.42 (m, 2 H, H-3a, H-4a), 5.38 (m, 1 H, H-8e), 5.32 (dd, 1 H, H-7e), 5.24 (m, 2 H, H-3a, H-7g), 5.20 (near t, 1 H, J1,2 = 8.3 Hz, J2,3 = 9.6 Hz, H-2f), 5.16 (t, 1 H, J2,3 = J3,4 = 9.0 Hz, H-3b), 5.13 (d, 1 H, J5,NH = 9.6 Hz, NHe), 4.92 (d, 1 H, J3,4 = 2.3 Hz, H-4f), 4.90–4.80 (m, 8 H, H-3c, H-1d, H-4e, H-1f, H-3d, H-4g, NHc, NHg), 4.73 (dd, 1 H, H-3f), 4.55 (d, 1 H, J1,2 = 7.6 Hz, H-1b), 4.45 (d, 1 H, J1,2 = 7.4 Hz, H-1c), 4.41–4.01 (m, 13 H, H-3a, H-6a, H-6'a, H-5e, H-6e, H-9e, H-9'e, H-6d, H-6'd, H-6f, H-6'f, H-9g, H-9'g), 3.88–3.70 (m, 15 H, H-2b, H-4b, H-6b, H-6'b, H-2c, H-4c, H-6c, H-6'c, H-5e, 2 OCH3), 3.55–3.36 (m, 5 H, H-5a, H-5b, H-5c, H-5d, H-5f), 2.55 (dd, 1 H, Jgem = 13.1 Hz, J3eq,4 = 4.8 Hz, H-3eeq ), 2.51 (dd, 1 H, Jgem = 11.6 Hz, J3eq,4 = 4.8 Hz, H-3geq), 2.20–1.78 (m, 52 H, 17 Ac, H-3eax), 1.63–1.39 (m, 7 H, 2 Ac, H-3gax).
Molecules 17 09590 i023
(2S,3R,4E)-1-O-({(Methyl 5-acetamido-4,7,8,9-tetra-O-acetyl-3,5-dideoxy-D-glycero-α-D-galacto-2-nonulopyranosylonate)-(2→3)-4-O-acetyl-2,6-di-O-benzoyl-β-D-galactopyranosyl-(1→4)-2-acetamido-3,6-di-O-acetyl-2-deoxy-β-D-glucopyranosyl-(1→3)-[(methyl 5-acetamido-4,7,8,9-tetra-O-acetyl-3,5-dideoxy-D-glycero-α-D-galacto-2-nonulopyranosylonate)-(2→6)-4-O-acetyl-2,3-di-O-benzoyl-β-D-galactopyranosyl-(1→4)-2-acetamido-3,6-di-O-acetyl-2-deoxy-β-D-glucopyranosyl-(1→6)]-4-O-acetyl-2-O-benzoyl-β-D-galactopyranosyl}-(1→4)-2-O-benzoyl-3-O-p-methoxybenzyl-β-D-glucopyranosyl)-2-octadecanamido-3,6´-succinyl-octadec-4-ene-1,3-diol (39). To a mixture of 37 (38 mg, 13.4 μmol) and 38 (14 mg, 13.4 μmol) in CH2Cl2 (1.3 mL) was added 5 Å molecular sieves (100 mg) at r.t. After stirring for 1 h, the mixture was cooled to 0 °C. TMSOTf (0.3 μL, 1.34 μmol) was then added to the mixture at 0 °C. After stirring for 1 h at r.t. as the reaction was monitored by TLC (15:1:5 CHCl3–MeOH–EtOAc), the reaction was quenched by the addition of triethylamine. The reaction mixture was diluted with CHCl3 and filtered through Celite. The filtrate was then washed with satd aq NaHCO3 and brine. The organic layer was subsequently dried over Na2SO4, and concentrated. The residue was purified by silica gel column chromatography (40:1:5 CHCl3–MeOH–EtOAc) to give 39 (24 mg, 49%). [α]D −10.3° (c 2.0, CHCl3); 1H-NMR (500 MHz, CD3CN) δ 8.13–7.39 (m, 30 H, 6 Ph), 7.04 (d, 2 H, Ar), 6.66 (d, 2 H, Ar), 6.14 (d, 1 H, J5,NH = 9.7 Hz, NHe), 6.09 (d, 1 H, J2,NH = 9.2 Hz, NHCer), 6.00 (d, 1 H, J5,NH = 9.7 Hz, NHg), 5.95 (d, 1 H, J2,NH = 9.1 Hz, NHb), 5.79 (d, 1 H, J2,NH = 9.8 Hz, NHc), 5.63 (dt, 1 H, J5,6 = 6.9 Hz, J = 14.9 Hz, J = 6.9 Hz, H-5Cer), 5.54 (d, 1 H, J3,4 = 3.5 Hz, H-4d), 5.47 (m, 3 H, H-3d, H-7e, H-8e), 5.37 (near t, 1 H, J1,2 = 7.5 Hz, J2,3 = 10.3 Hz, H-2d), 5.36 (m, 1 H, H-8g), 5.27 (d, 1 H, J3,4 = 3.5 Hz, H-4a), 5.25–5.17 (m, 4 H, H-2a, H-4f, H-7g, H-4Cer), 5.11 (br t, 1 H, J3,4 = J2,3 = 7.5 Hz, H-3Cer), 5.03 (near t, 1 H, J1,2 = 8.0 Hz, J2,3 = 10.3 Hz, H-2f), 4.94 (t, 1 H, J1,2 = J2,3 = 8.3 Hz, H-2h), 4.88 (t, 1 H, J2,3 = J3,4 = 9.3 Hz, H-3b), 4.76 (m, 8 H, H-1c, H-3c, H-1d, H-4e, H-1f, H-3f, H-4g, ArCH2), 4.68 (d, 1 H, J1,2 = 8.1 Hz, H-1a), 4.54 (d, 1 H, J1,2 = 8.5 Hz, H-1b), 4.47 (d, 1 H, H-1h), 4.46 (d, 1 H, Jgem = 10.9 Hz, ArCH2), 4.35 (dd, 1 H, J8,9 = 2.9 Hz, Jgem = 12.6 Hz, H-9e), 4.30–4.21 (m, 4 H, H-6b, H-6'b, H-6d, H-9g), 4.11–3.89 (m, 13 H, H-3a, H-6'a, H-6c, H-6'c, H-6'd, H-5e, H-6e, H-9'e, H-6f, H-9g, H-6h, H-6'h, H-2Cer), 3.78–3.53 (m, 21 H, H-5a, H-4b, H-2c, H-4c, H-5d, H-6'a, H-6'f, H-5g, H-6g, H-3h, H-4h, H-1Cer, 3 OCH3), 3.51 (m, 1 H, H-2b), 3.40–3.32 (m, 3 H, H-5b, H-5h, H-1'Cer), 3.18–3.12 (m, 2 H, H-5c, H-5f), 2.56 (dd, 1 H, J3eq,4 = 4.6 Hz, Jgem = 12.6 Hz, H-3eeq), 2.48–2.34 (m, 5 H, H-3geq, 2 C(=O)CH2), 2.21–1.61 (m, 62 H, H-3eax, H-6Cer, H-6'Cer, C(=O)CH2Cer, 19 Ac), 1.55–1.08 (m, 53 H, H-3gax, 26 –CH2–), 0.87 (t, 6 H, 2 –CH3Cer); 13C-NMR (150 MHz, CDCl3) δ 172.6, 171.0, 170.9, 170.8, 170.7, 170.6, 170.5, 170.4, 170.3, 170.2, 170.1, 170.0, 169.7, 169.7, 169.5, 168.0, 167.7, 165.6, 165.2, 165.2, 165.1, 165.0, 164.5, 159.1, 138.6, 133.8, 133.3, 133.1, 130.7, 130.3, 129.8, 129.7, 129.6, 129.5, 129.5, 129.5, 129.0, 128.9, 128.8, 128.6, 128.6, 128.5, 128.4, 128.3, 124.8, 113.9, 101.6, 101.3, 100.8, 100.6, 100.3, 99.7, 99.3, 96.8, 91.8, 80.8, 79.7, 76.3, 75.9, 74.7, 74.3, 73.2, 72.9, 72.7, 72.6, 72.5, 71.9, 71.8, 71.7, 71.7, 71.0, 70.9, 70.1, 69.8, 69.7, 69.4, 68.6, 67.8, 67.4, 67.1, 66.3, 63.2, 63.0, 62.6, 62.1, 61.9, 61.1, 60.9, 55.1, 53.6, 53.1, 53.0, 49.9, 49.4, 48.8, 37.9, 37.2, 37.1, 36.6, 32.7, 32.2, 31.9, 30.0, 29.7, 29.6, 29.5, 29.5, 29.3, 29.3, 29.2, 28.8, 27.1, 25.5, 23.6, 23.2, 23.1, 22.7, 21.3, 21.0, 20.9, 20.8, 20.7, 20.7, 20.6, 20.5, 20.5, 19.7, 14.1. m/z (MALDI): found [M+Na]+ 3709.15, C184H239N5O73 calcd for [M+Na]+ 3709.50.
Molecules 17 09590 i024
(2S,3R,4E)-1-O-({(Methyl 5-acetamido-4,7,8,9-tetra-O-acetyl-3,5-dideoxy-D-glycero-α-D-galacto-2-nonulopyranosylonate)-(2→3)-4-O-acetyl-2,6-di-O-benzoyl-β-D-galactopyranosyl-(1→4)-2-acetamido-3,6-di-O-acetyl-2-deoxy-β-D-glucopyranosyl-(1→3)-[(methyl 5-acetamido-4,7,8,9-tetra-O-acetyl-3,5-dideoxy-D-glycero-α-D-galacto-2-nonulopyranosylonate)-(2→6)-4-O-acetyl-2,3-di-O-benzoyl-β-D-galactopyranosyl-(1→4)-2-acetamido-3,6-di-O-acetyl-2-deoxy-β-D-glucopyranosyl-(1→6)]-4-O-acetyl-2-O-benzoyl-β-D-galactopyranosyl}-(1→4)-2-O-benzoyl-β-D-glucopyranosyl)-2-octadecanamido-3,6'-succinyl-octadec-4-ene-1,3-diol (40). To a solution of 39 (9.0 mg, 2.47 μmol) in CH2Cl2 (0.60 mL) was added TFA (0.30 mL) at 0 °C. After stirring for 30 min at 0 °C as the reaction was monitored by TLC (10:1 CHCl3–MeOH), the reaction was quenched by the addition of satd aq NaHCO3. The mixture was diluted with CHCl3 and washed with brine. The organic layer was subsequently dried over Na2SO4, and concentrated. The residue was purified by silica gel column chromatography (20:1 CHCl3–MeOH) to give 40 (8.0 mg, 91%). [α]D −6.3° (c 0.8, CHCl3); 1H-NMR (600 MHz, CDCl3) δ 8.17–7.27 (m, 30 H, 6 Ph), 6.68 (d, 1 H, J2,NH = 8.2 Hz, NHCer), 6.21 (d, 1 H, J2,NH = 9.0 Hz, NHb), 5.85 (near dt, 1 H, J5,6 = 6.9 Hz, J = 14.4 Hz, J = 7.5 Hz, H-5Cer), 5.70 (d, 1 H, J3,4 = 3.4 Hz, H-4d), 5.59 (m, 1 H, H-8g), 5.57 (near t, 1 H, J1,2 = 8.3 Hz, J2,3 = 10.3 Hz, H-2d), 5.45 (dd, 1 H, H-3d), 5.41–5.38 (m, 1 H, H-8e), 5.35–5.32 (m, 2 H, H-2a, H-7e), 5.27–5.17 (m, 7 H, H-4a, H-3b, H-2f, H-7g, NHe, H-3Cer, H-4Cer), 5.09 (d, 1 H, J3,4 = 2.7 Hz, H-4f), 5.06 (near t, 1 H, J1,2 = 4.8 Hz, J2,3 = 5.5 Hz, H-2h), 4.94 (d, 1 H, J5,NH =10.3 Hz, NHg), 4.91–4.81 (m, 5 H, H-3c, H-1d, H-4e, H-4g, NHc), 4.74–4.70 (m, 2 H, H-1a, H-3f), 4.62 (d, 1 H, H-1h), 4.45–4.34 (m, 6 H, H-1b, H-1c, H-9e, H-6f, H-9g, H-6h), 4.27–4.23 (m, 3 H, H-2cer, H-6a, H-6d), 4.17–3.98 (m, 11 H, H-6'a, H-6c, H-6'c, H-6d, H-5e, H-6e, H-9'e, H-9'g, H-5h, H-6h, H-6'h), 3.88–3.65 (m, 17 H, H-3a, H-2b, H-4b, H-6b, H-6'b, H-2c, H-4c, H-5g, H-3h, H-4h, H-1Cer, 2 OCH3), 3.60–3.53 (m, 3 H, H-5d, H-6g, H-1Cer), 3.50–3.44 (m, 2 H, H-5b, H-5f), 3.29–3.23 (m, 2 H, H-5a, H-5c), 2.56–2.39 (m, 6 H, H-3eeq, H-3geq, 2 C(=O)CH2), 2.20–1.78 (m, 56 H, 17 Ac, H-3eax, H-6Cer, H-6'Cer, C(=O)CH2Cer), 1.62 (t, 1 H, Jgem = J3ax,4 = 12.6 Hz, H-3gax), 1.54 (s, 3 H, Ac), 1.51–1.46 (m, 2 H, C(=O)CH2CH2), 1.42 (s, 3 H, Ac), 1.38–1.20 (m, 50 H, 25 –CH2–), 0.88 (m, 6 H, 2 –CH3Cer); 13C-NMR (150 MHz, CDCl3) δ 172.9, 171.0, 170.9, 170.8, 170.8, 170.7, 170.6, 170.5, 170.5, 170.3, 170.3, 170.3, 170.1, 170.1, 170.0, 169.9, 169.8, 169.7, 169.7, 168.0, 167.8, 165.7, 165.4, 165.3, 165.2, 165.0, 164.7, 138.5, 134.0, 133.5, 133.3, 133.2, 130.3, 129.8, 129.7, 129.7, 129.6, 129.5, 129.4, 129.0, 129.0, 128.7, 128.6, 128.5, 128.4, 128.4, 128.4, 125.0, 101.7, 101.2, 100.7, 99.8, 99.6, 99.3, 98.5, 96.8. 82.0, 77.5, 75.2, 74.5, 74.2, 73.8, 73.5, 72.9, 72.7, 72.6, 72.5, 72.0, 71.9, 71.7, 71.2, 71.0, 70.9, 70.7, 70.1, 69.9, 69.6, 69.4, 68.6, 67.8, 67.6, 67.4, 67.2, 67.1, 66.6, 66.3, 62.9, 69.4, 68.6, 67.8, 67.6, 67.4, 67.2, 67.1, 66.6, 66.3, 62.9, 62.5, 62.4, 62.0, 61.1, 60.9, 54.2, 53.9, 53.0, 53.0, 50.1, 49.5, 48.8, 37.8, 37.2, 36.4, 32.2, 31.9, 30.4, 29.7, 29.7, 29.7, 29.6, 29.5, 29.5, 29.3, 29.2, 28.8, 25.6, 23.6, 23.2, 23.1, 22.7, 22.5, 21.4, 21.1, 20.8, 20.8, 20.7, 20.6, 20.5, 20.4, 14.1. m/z (MALDI): found [M+Na]+ 3589.60, C176H231N5O72 calcd for [M+Na]+ 3589.45. HRMS (ESI): found [1/2M+Na]+ 1806.2182, C176H231N5O72 calcd for [1/2M+Na]+ 1806.2181.
Molecules 17 09590 i025
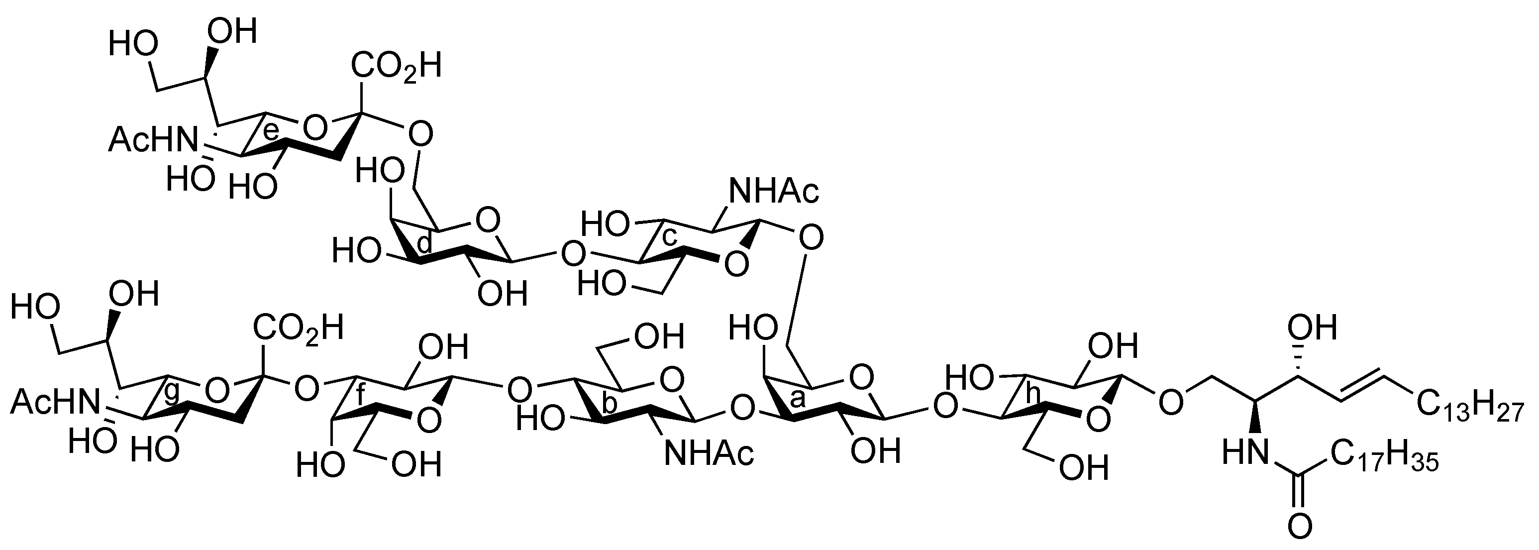
{3-O-[(5-Acetamido-3,5-dideoxy-D-glycero-α-D-galacto-2-nonulopyranosylonic acid)-β-D-galactopyranosyl-(1→4)-2-acetamido-2-deoxy-β-D-glucopyranosyl]-6-O-[(5-acetamido-3,5-dideoxy-D-glycero-α-D-galacto-2-nonulopyranosylonic acid)-β-D-galactopyranosyl-(1→4)-2-acetamido-2-deoxy-β-D-glucopyranosyl]-β-D-galactopyranosyl}-(1→4)-β-D-glucopyranosyl-(1→1)-(2S,3R,4E)-2-octadecanamido-4-octadecene-1,3-diol (1). To a solution of 40 (8.0 mg, 2.24 μmol) in MeOH/THF (1:1, 1.0 mL) was added NaOMe (28% solution in MeOH, 12.1 μg, 0.672 μmol) at 0 °C. After stirring for 7 d at 40 °C as the reaction was monitored by TLC (6:4:1 CHCl3–MeOH–0.2% aq CaCl2) and MALDI-TOF MS, water (0.1 mL) was added to the reaction mixture. After stirring for 2 d at 40 °C, the reaction was neutralized with Dowex (H+) resin. The resin was filtered through cotton and the filtrate was then evaporated. The residue was purified by gel filtration column chromatography (LH-20) using MeOH as eluent followed by silica gel column chromatography (6:4:1 CHCl3–MeOH–H2O) to give 1 (3.0 mg, 61%). [α]D −78.8° (c 0.4, MeOH); 1H-NMR (600 MHz, 1:1 CD3OD–D2O) δ 5.73 (m, 1 H, H-5Cer), 5.46 (m, 1 H, H-4Cer), 2.86 (dd, 1 H, H-3geq), 2.78 (dd, 1 H, H-3eeq), 2.20 (t, 2 H, NHCOCH2), 2.04 (s, 14 H, H-6Cer, H-6'Cer, 4 NAc), 1.73 (m, 2 H, H-3gax, H-3eax), 1.58 (m, 2 H, NHCOCH2CH2), 1.30 (m, 50 H, 25 –CH2–), 0.92 (t, 6 H, 2 –CH3); 13C-NMR (125 MHz, 5:6:0.5 CD3OD–D2O–CDCl3) δ 174.2, 174.1, 173.7, 173.3, 134.1, 128.6, 102.9, 102.3, 102.0, 101.8, 99.9, 79.9, 79.0, 77.8, 76.5, 75.1, 74.6, 74.1, 74.0, 73.5, 73.1, 72.5, 72.2, 72.0, 71.7, 71.6, 71.1, 70.9, 70.6, 70.2, 69.3, 68.7, 68.2, 67.9, 67.8, 67.5, 67.3, 66.8, 62.4, 62.2, 60.4, 59.7, 54.6, 54.5, 52.4, 51.6, 51.5, 48.1, 46.7, 39.7, 39.4, 35.6, 31.6, 31.1, 31.0, 29.0, 28.8, 28.7, 28.6, 28.6, 28.5, 28.4, 25.3, 21.8, 21.6, 21.4, 21.2, 21.1, 12.9. HRMS (ESI): found [M+Na] 2225.0943, C98H171N5O49 calcd for [M+Na] 2225.0940.

3.2. Materials and Methods for Binding Assay

3.2.1. Virus Preparation

A/Memphis/1/71 (H3N2) and A/Puerto Rico/8/34 (H1N1) were used in this study. The virus was propagated in 11 days old embryonated hen’s eggs. The virus was purified by ultra-centrifugation and stored at −80 °C before use.

3.2.2. Solid-Phase Binding Assay

Virus binding to sialylglycolipids was determined according to a method described previously [28]. Synthetic and authentic gangliosides were 2-fold serially diluted in 100% ethanol from 0.625 to 2.5 pmol/μL. Ten μL of each diluted ganglioside was placed into a well of a polystyrene Universal-BINDTM microplates (flat-bottom, Product# 2503, Corning, Tokyo, Japan) and incubated for approximately 1 h at 37 °C until the ethanol had completely evaporated. gangliosides were covalently immobilized on the surface of plates by exposure for 1 min under ultraviolet irradiation (254 nm) according to the manufacture’s instruction. Each well was blocked for 1 h at room temperature with PBS containing 2% bovine serum albumin. After 3 washes with PBS, the plates were incubated in solutions containing viruses in PBS (128 HA unit/50 μL/well) overnight at 4 °C. After 5 washes with ice-cold PBS, the plates were incubated in a substrate solution containing 40 µM 2'-(4-methylumbelliferyl)-α-D-N-acetylneuraminic acid in PBS (50 μL/well) at 37 °C for 60 min to detect virus neuraminidase (NA) activity associated with bound viruses. The reactions were terminated by addition of 500 mM carbonate buffer (pH 10.2) (50 μL/well). Fluorescence intensity of the 4-methylumbelliferone released by viral NAs was measured at 355 nm (excitation) and 460 nm (emission). Triplicate measurements were performed in each assay. The direct virus binding activity was calculated as follows: Virus-binding score = [(average of NA activity of triplicate ganglioside-immobilized wells) − (average of NA activity of triplicate ethanol-treated wells)]/[NA activity of applied virus (128 HA units/50 μL)]. The virus-binding score was expressed as mean score ± SD.

4. Conclusions

We efficiently synthesized a novel ganglioside designed as a ligand for influenza A viruses employing the cassette coupling approach between the heptasaccharyl sugar part and the cyclic glucosylceramide moiety. The present study revealed that the cassette approach can be applied to the synthesis of lacto-series gangliosides as well as ganglio-series gangliosides. This success will expand the applicability of the cassette approach to the synthesis of other glycolipids. In addition, we examined the binding activity of the synthesized ganglioside ligand to influenza A viruses. It was found that the synthetic ligand is recognized by Neuα2-3 and 2-6 type viruses, suggesting that a glycan structure containing both the Neuα2-3Gal and Neuα2-6Gal sequences in a single molecule could exist as a natural ligand for influenza A viruses. To identify an actual natural ligand for influenza viruses, the synthesis of a series of gangliosides with both the Neuα2-3Gal and Neuα2-6Gal sequences in a single molecule is currently underway.

Acknowledgments

This work was financially supported by the Ministry of Education, Culture, Sports, Sciences, and Technology (MEXT) of Japan (WPI program and Grant-in-Aid for Scientific Research to M.K., No.17101007 and 22380067).

References

  1. Kilbourne, E.D. Influenza pandemics of the 20th Century. Emerg. Infect. Dis. 2006, 12, 9–14. [Google Scholar] [CrossRef]
  2. Hashimoto, T.; Kawaoka, Y. Influenza: Lessons from past pandemics, warnings from current incidents. Nat. Rev. Microbiol. 2005, 3, 591–600. [Google Scholar] [CrossRef]
  3. Suzuki, Y. Sialobiology of influenza molecular mechanism of host range variation of influenza viruses. Biol. Pharm. Bull. 2005, 28, 399–408. [Google Scholar] [CrossRef]
  4. Wilks, S.; de Graaf, M.; Smith, D.J.; Burke, D.F. A review of influenza hemagglutinin receptor binding as it relates to pandemic properties. Vaccine 2012, 30, 4369–4376. [Google Scholar] [CrossRef]
  5. Fujikawa, K.; Imamura, A.; Ishida, H.; Kiso, M. Synthesis of a GM3 ganglioside analogue carrying a phytoceramide moiety by intramolecular glycosylation as a key step. Carbohydr. Res. 2008, 343, 2729–2734. [Google Scholar] [CrossRef]
  6. Imamura, A.; Ando, H.; Ishida, H.; Kiso, M. Ganglioside GQ1b: Efficient total synthesis and the expansion to synthetic derivatives to elucidate its biological roles. J. Org. Chem. 2009, 74, 3009–3023. [Google Scholar]
  7. Fujikawa, K.; Nohara, T.; Imamura, A.; Ando, H.; Ishida, H.; Kiso, M. A cyclic glucosyl ceramide acceptor as a versatile building block for complex ganglioside synthesis. Tetrahedron Lett. 2010, 51, 1126–1130. [Google Scholar]
  8. Fujikawa, K.; Nakashima, S.; Konishi, M.; Fuse, T.; Komura, N.; Ando, T.; Ando, H.; Yuki, N.; Ishida, H.; Kiso, M. The first total synthesis of ganglioside GalNAc-GD1a, a target molecule for autoantibodies in Guillain-Barré syndrome. Chem. Eur. J. 2011, 17, 5641–5651. [Google Scholar]
  9. Tamai, H.; Ando, H.; Tanaka, H.-N.; Hosoda-Yabe, R.; Yabe, T.; Ishida, H.; Kiso, M. The total synthesis of the neurogenic ganglioside LLG-3 isolated from the starfish Linckia laevigata. Angew. Chem. Int. Ed. 2011, 50, 2330–2333. [Google Scholar]
  10. Nakashima, S.; Ando, H.; Saito, R.; Tamai, H.; Ishida, H.; Kiso, M. Efficiently synthesizing lacto-ganglio-series gangliosides by using a glucosyl ceramide cassette approach: The total synthesis of ganglioside X2. Chem. Asian J. 2012, 7, 1041–1051, Part 156 of the synthetic studies on sialoglycoconjugates. [Google Scholar]
  11. Fuse, T.; Ando, H.; Imamura, A.; Sawada, N.; Ishida, H.; Kiso, M.; Ando, T.; Li, S.-C.; Li, Y.-T. Synthesis and enzymatic susceptibility of a series of novel GM2 analogs. Glycoconj. J. 2006, 23, 329–343. [Google Scholar] [CrossRef]
  12. Imamura, A.; Yoshikawa, T.; Komori, T.; Ando, M.; Ando, H.; Wakao, M.; Suda, Y.; Ishida, H.; Kiso, M. Design and synthesis of versatile ganglioside probes for carbohydrate microarrays. Glycoconj. J. 2008, 25, 269–278. [Google Scholar] [CrossRef]
  13. Veeneman, G.H.; van Leeuwen, S.H.; van Boom, J.H. Iodonium ion promoted reactions at the anomeric centre. II An efficient thioglycoside mediated approach toward the formation of 1,2-trans linked glycosides and glycosidic esters. Tetrahedron Lett. 1991, 31, 1331–1334. [Google Scholar]
  14. Konradosson, P.; Udodong, U.E.; Fraser-Reid, B. Iodonium promoted reactions of disarmed thioglycoside. Tetrahedron Lett. 1990, 31, 4313–4316. [Google Scholar] [CrossRef]
  15. Kanie, O.; Kiso, M.; Hasegawa, A. Glycosylation using methylthioglycosides of N-acetylneuraminic acid and dimethyl(methylthio)sulfonium triflate. J. Carbohydr. Chem. 1988, 7, 501–506. [Google Scholar] [CrossRef]
  16. Murase, T.; Kameyama, A.; Kartha, K.P.R.; Ishida, H.; Kiso, M.; Hasegawa, A. Synthetic studies on sialoglycoconjugates. 5: A facile, regio and stereoselective synthesis of ganglioside GM4 and its position isomer. J. Carbohydr. Chem. 1989, 8, 265–283. [Google Scholar]
  17. Cook, A.F. The use of β,β,β-tribromoethyl chloroformate for the protection of nucleoside hydroxyl groups. J. Org. Chem. 1968, 33, 3589–3593. [Google Scholar] [CrossRef]
  18. Matsuzaki, Y.; Ito, Y.; Nakahara, Y.; Ogawa, T. Synthesis of branched poly-N-acetyl-lactosamine type pentaantennary pentacosasaccharide: Glycan part of a glycosyl ceramide from rabbit erythrocyte membrane. Tetrahedron Lett. 1993, 34, 1061–1064. [Google Scholar]
  19. Schmidt, R.R. New methods for the synthesis of glycosides and oligosaccharides—Are there alternatives to the Koenigs-Knorr method? [new synthetic methods (56)]. Angew. Chem. Int. Ed. 1986, 25, 212–235. [Google Scholar] [CrossRef]
  20. Hatakeyama, S.; Mori, H.; Kitano, K.; Yamada, H.; Nishizawa, M. Efficient reductive etherification of carbonyl compounds with alkoxytrimethylsilanes. Tetrahedron Lett. 1994, 35, 4367–4370. [Google Scholar]
  21. Debenham, S.D.; Toone, E.J. Regioselective reduction of 4,6-O-benzylidenes using triethylsilane and BF3·Et2O. Tetrahedron: Asymmetry 2000, 11, 385–387. [Google Scholar]
  22. Jansson, K.; Ahlfors, S.; Frejd, T.; Kihlberg, J.; Magnusson, G.; Dahmen, J.; Noori, G.; Stenvall, K. 2-(Trimethylsilyl)ethyl glycosides. 3. Synthesis, anomeric deblocking, and transformation into 1,2-trans 1-O-acyl sugars. J. Org. Chem. 1988, 53, 5629–5647. [Google Scholar]
  23. Sakakura, A.; Kawajiri, K.; Ohkubo, T.; Kosugi, Y.; Ishihara, K. Widely useful DMAP-catalyzed esterification under auxiliary base- and solvent-free conditions. J. Am. Chem. Soc. 2007, 129, 14775–14779. [Google Scholar]
  24. Lefeber, D.J.; Kamerling, J.P.; Vliegenthart, J.F.G. The use of diazabicyclo[2.2.2]octane as a novel highly selective dechloroacetylation reagent. Org. Lett. 2000, 2, 701–703. [Google Scholar]
  25. Koeners, H.J.; Verhoeven, J.; van Boom, J.H. Application of levulinic acid ester as a protecting group in the synthesis of oligosaccharides. Rec. Trav. Chim. Pays-Bas. 1981, 100, 65–72. [Google Scholar]
  26. Fukunaga, K.; Toyoda, T.; Ishida, H.; Kiso, M. Synthesis of lacto- and neolacto-series ganglioside analogs containing N-glycolylneuraminic acid: Probes for investigation of specific receptor structures recognized by influenza A viruses. J. Carbohydr. Chem. 2003, 22, 919–937. [Google Scholar] [CrossRef]
  27. Benakli, K.; Zha, C.; Kerns, R.J. Oxazolidinone protected 2-amino-2-deoxy-D-glucose derivatives as versatile intermediates in stereoselective oligosaccharide synthesis and the formation of α-linked glycosides. J. Am. Chem. Soc. 2001, 123, 9461–9462. [Google Scholar] [CrossRef]
  28. Hidari, K.I.P.J.; Murata, T.; Yoshida, K.; Takahashi, Y.; Minamijima, Y.H.; Miwa, Y.; Adachi, S.; Ogata, M.; Usui, T.; Suzuki, Y.; et al. Chemoenzymatic synthesis, characterization, and application of glycopolymers carrying lactosamine repeats as entry inhibitors against influenza virus infection. Glycobiology 2008, 18, 779–788. [Google Scholar] [CrossRef]
  • Sample Availability: Not available.

Share and Cite

MDPI and ACS Style

Nohara, T.; Imamura, A.; Yamaguchi, M.; Hidari, K.I.P.J.; Suzuki, T.; Komori, T.; Ando, H.; Ishida, H.; Kiso, M. Design and Synthesis of a Novel Ganglioside Ligand for Influenza A Viruses . Molecules 2012, 17, 9590-9620. https://doi.org/10.3390/molecules17089590

AMA Style

Nohara T, Imamura A, Yamaguchi M, Hidari KIPJ, Suzuki T, Komori T, Ando H, Ishida H, Kiso M. Design and Synthesis of a Novel Ganglioside Ligand for Influenza A Viruses . Molecules. 2012; 17(8):9590-9620. https://doi.org/10.3390/molecules17089590

Chicago/Turabian Style

Nohara, Tomohiro, Akihiro Imamura, Maho Yamaguchi, Kazuya I. P. J. Hidari, Takashi Suzuki, Tatsuya Komori, Hiromune Ando, Hideharu Ishida, and Makoto Kiso. 2012. "Design and Synthesis of a Novel Ganglioside Ligand for Influenza A Viruses " Molecules 17, no. 8: 9590-9620. https://doi.org/10.3390/molecules17089590

APA Style

Nohara, T., Imamura, A., Yamaguchi, M., Hidari, K. I. P. J., Suzuki, T., Komori, T., Ando, H., Ishida, H., & Kiso, M. (2012). Design and Synthesis of a Novel Ganglioside Ligand for Influenza A Viruses . Molecules, 17(8), 9590-9620. https://doi.org/10.3390/molecules17089590

Article Metrics

Back to TopTop