Synthesis of Some Novel Biologically Active Disperse Dyes Derived from 4-Methyl-2,6-dioxo-1-propyl-1,2,5,6-tetrahydro-pyridine-3-carbonitrile as Coupling Component and Their Colour Assessment on Polyester Fabrics
Abstract
:1. Introduction
2. Results and Discussion
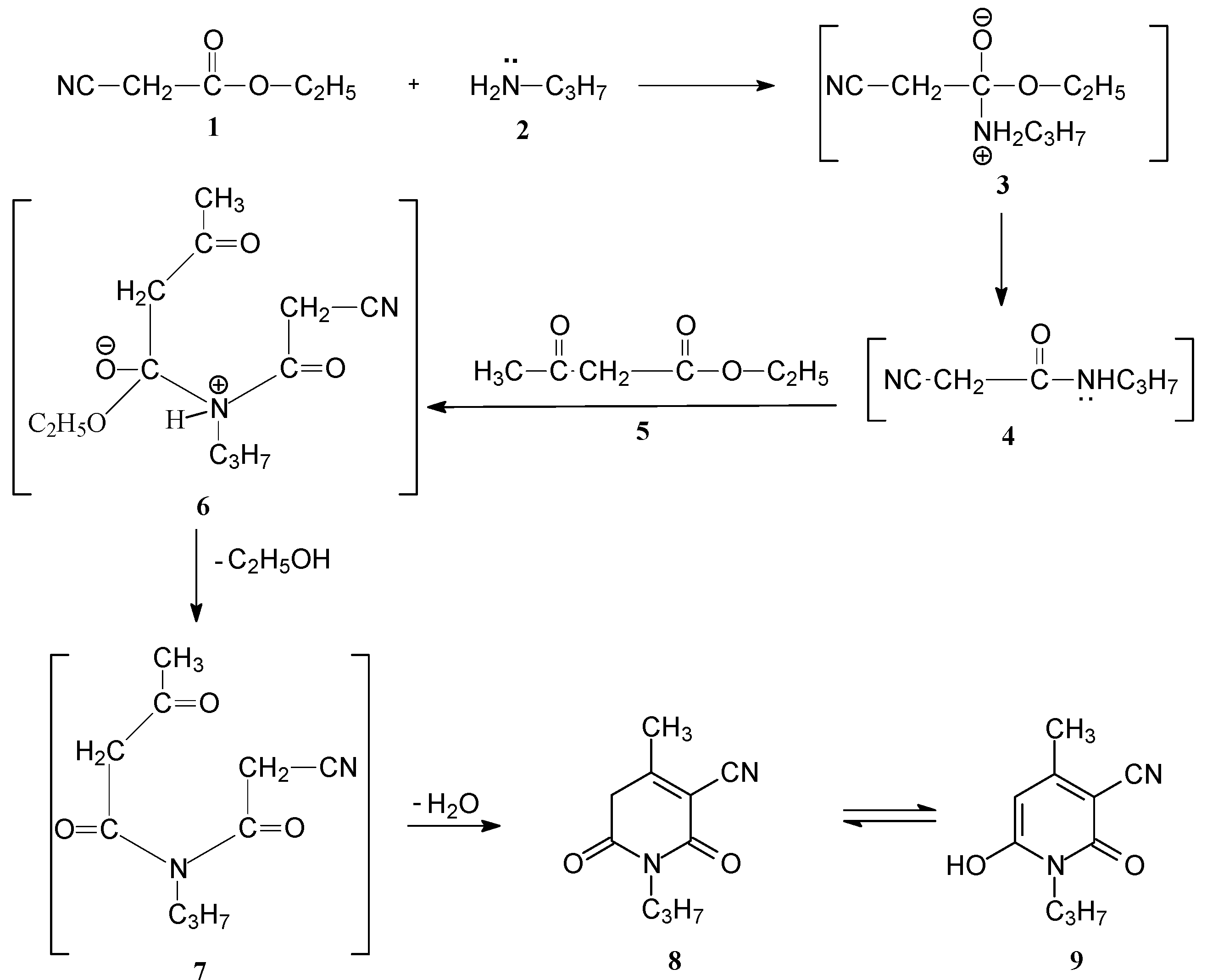
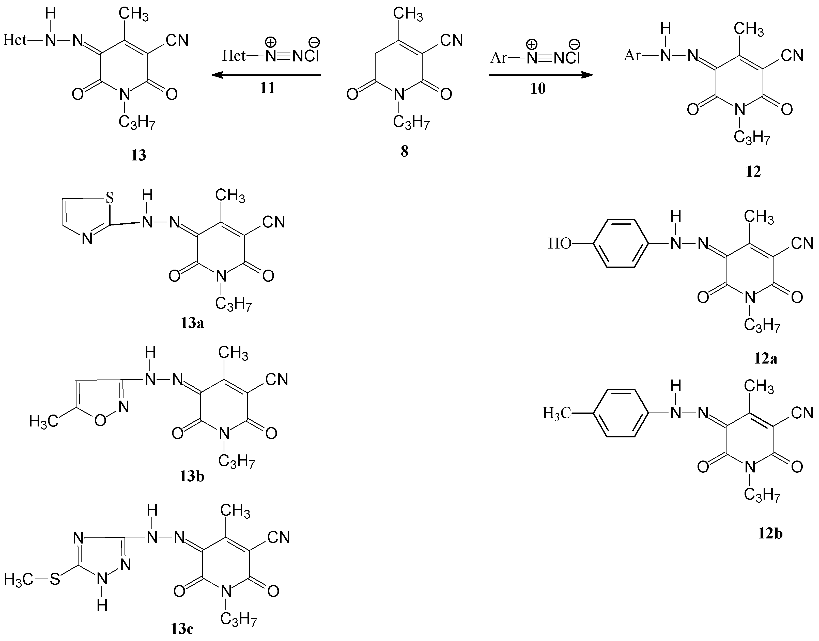
2.1. Synthesis and Characteristics


2.2. Dyeing and Fastness Properties
| Dye No. | DL* | Da* | Db* | DC* | Dh* | CMC dE | 
|---|---|---|---|---|---|---|
| 12a | −25.66 | 40.68 | 84.09 | 92.89 | −9.82 | 126.14 | 
| 12b | −14.95 | 7.24 | 97.52 | 97.63 | −5.52 | 131.81 | 
| 13a | −22.16 | 18.14 | 83.08 | 84.77 | −6.75 | 114.79 | 
| 13b | −13.22 | −8.06 | 42.03 | 36.13 | −0.37 | 48.89 | 
| Dye No. | Color shade on polyester | Wash fastness * | Light fastness | ||
|---|---|---|---|---|---|
| Washes | Change in colour | SC | |||
| 12a | Dark orange | 1 | 4–5 | 5 | 7–8 | 
| 2 | 3–4 | 4 | |||
| 3 | 3–4 | 4 | |||
| 4 | 3–4 | 4 | |||
| 5 | 3–4 | 4 | |||
| 12b | Yellow | 1 | 4–5 | 5 | 7 | 
| 2 | 4–5 | 4–5 | |||
| 3 | 4 | 4-5 | |||
| 4 | 4 | 4–5 | |||
| 5 | 4 | 4–5 | |||
| 13a | Orange | 1 | 4–5 | 5 | 5–6 | 
| 2 | 4–5 | 4–5 | |||
| 3 | 4 | 4–5 | |||
| 4 | 4 | 4–5 | |||
| 5 | 4 | 4-5 | |||
| 13b | Light green | 1 | 4–5 | 5 | 6–7 | 
| 2 | 4 | 4 | |||
| 3 | 4 | 4 | |||
| 4 | 4 | 4 | |||
| 5 | 4 | 4 | |||
2.3. Antimicrobial Activities
| Dye No. | Conc. % of Dye | Inhibition zone diameter (Nearest mm) | ||||
|---|---|---|---|---|---|---|
| Gram positive bacteria | Gram negative bacteria | |||||
| S. aureus | B. subtilus | E. coli | K. pneumoniae | P. aeruginosa | ||
| 12a | 0.25 mg/mL | - | - | - | - | - | 
| 12b | - | - | - | - | - | |
| 13a | - | - | - | - | - | |
| 13b | - | - | - | - | - | |
| 13c | - | - | - | - | - | |
| 12a | 0.50 mg/mL | - | - | - | - | - | 
| 12b | - | - | - | - | - | |
| 13a | 16 | 16 | - | - | - | |
| 13b | - | - | - | - | - | |
| 13c | - | - | - | - | - | |
| 12a | 1.00 mg/mL | 18 | 13 | - | - | - | 
| 12b | - | - | - | - | - | |
| 13a | 20 | 19 | - | - | - | |
| 13b | - | 14 | - | - | - | |
| 13c | 10 | 10 | - | - | - | |
| 12a | 2.00 mg/mL | 21 | 18 | - | - | - | 
| 12b | - | - | - | - | - | |
| 13a | 24 | 20 | - | - | - | |
| 13b | - | 15 | - | - | - | |
| 13c | 12 | 12 | - | - | - | |
| 12a | 3.00 mg/mL | 25 | 22 | - | - | - | 
| 12b | - | - | - | - | - | |
| 13a | 30 | 22 | - | - | - | |
| 13b | - | 17 | - | - | - | |
| 13c | 16 | 16 | - | - | - | |
3. Experimental
3.1. General
3.2. Synthesis of 4-Methyl-2,6-dioxo-1-propyl-1,2,5,6-tetrahydropyridine-3-carbonitrile (8)
3.3. General Procedure for the Synthesis of Azo Disperse Dyes
3.4. High Temperature Dyeing Method (HT)
3.4.1. Materials
3.4.2. Dyeing
3.4.3. Color Assessment
3.5. Fastness Testing
3.6. Antimicrobial Activities Test
4. Conclusions
References
- Al-Zaydi, K.M.; Borik, R.M.; Elnagdi, M.H. Studies with arylhydrazonopyridinones: Synthesis of new arylhydrazono thieno[3,4-c]pyridinones as novel D2T2 dye class; classical verse green methodologies. Ultrason. Sonochem. 2009, 16, 660–668. [Google Scholar] [CrossRef]
 - Helal, M.H. Synthesis and characterisation of a new series of pyridinone azo dyes for dyeing of synthetic fibers. Pigm. Resin Technol. 2004, 33, 165–171. [Google Scholar] [CrossRef]
 - Desai, V.R.; Patel, D.; Desai, C.M.; Joshi, H.D. Sulphaphenazolamino-anthraquinone acid, reactive and substituted pyridone disperse dyes-part I. J. Inst. Chem. (India) 2000, 72, 228–229. [Google Scholar]
 - Bach, V.; Hansen, G.; Lamm, G.; Sens, R. [(Acylphenyl)azo]pyridone disperse dyes and their use. Eur. Pat. 1991. Appl. 413229.. [Google Scholar]
 - Sakoma, K.J.; Bello, K.A.; Yakubu, M.K. Synthesis of Some Azo Disperse Dyes from 1-Substituted 2-Hydroxy-6-pyridone Derivatives and Their Colour Assessment on Polyester Fabric. Open J. Appl. Sci. 2012, 2, 54–59. [Google Scholar] [CrossRef]
 - Bello, K.A. Methine and Azomethine Dyes Derived from 2-Pyridone. Dyes Pigments 1995, 28, 83–90. [Google Scholar] [CrossRef]
 - Chien, C.C.; Wang, I.J. Synthesis of Some Pyridone Azo Dyes from 1-Substituted 2-Hydroxy-6-pyridone Derivatives and Their Colour Assessment. Dyes Pigments 1991, 15, 69–82. [Google Scholar]
 - Ertan, N.; Gurkan, P. Synthesis and Properties of Some Azo Pyridone Dyes and Their Cu(II) Complexes. Dyes Pigments 1997, 33, 137–147. [Google Scholar]
 - El-Bayouki, M.; Abdel Hameed, K.; Asyouni, W.M.; Mohamed, Y.A.; Aly, M.M.; Abbas, S.Y. Novel 4(3H)-quinazolinones containing biologically active thiazole, pyridinone and chromene of expected antitumor and antifungal activities. Eur. J. Chem. 2011, 2, 455–462. [Google Scholar] [CrossRef]
 - Afanas'Ev, I.I.; Korkina, L.G.; Kozlov, A.V.; Afanas'Ev, I.B. Spectrophotometric, electron spin resonance, polarographic, and chemiluminescent study of biologically active chelators: 1-Allyl-2-methyl-3-hydroxy-4-pyridinone, lipoic and dihydrolipoic acids. Phys. Chem. Biol. Med. 1996, 3, 25–30. [Google Scholar]
 - El-Dusouqui, O.M.E.; Abdelkhalik, M.M.; Al-Awadi, N.A.; Dib, H.H.; George, B.J.; Elnagdi, M.H. Chemistry of 2-arylhydrazonals: utility of substituted 2-arylhydrazono-3-oxoalkanals as precursors for 3-oxoalkanonitriles, 3-aminoisoxazole and 1,2,3- and 1,2,4-triazoles. J. Chem. Res. 2006, 5, 295–302. [Google Scholar]
 - Al-Etaibi, A.M.; El-Apasery, M.A.; Huda, H.M.; Al-Awadi, N.A. One-Pot Synthesis of Disperse Dyes Under Microwave Irradiation: Dyebath Reuse in Dyeing of Polyester Fabrics. Molecules 2012, 17, 4266–4280. [Google Scholar]
 - Al-Etaibi, A.M.; Al-Awadi, N.A.; El-Apasery, M.A.; Ibrahim, M.R. Synthesis of some novel pyrazolo[1,5-a]pyrimidine derivatives and their application as disperse dyes. Molecules 2011, 16, 5182–5193. [Google Scholar] [CrossRef]
 - Al-Etaibi, A.M.; Al-Awadi, N.A.; El-Apasery, M.A.; Ibrahim, M.R. A facile synthesis of new monoazo disperse dyes derived from 4-hydroxyphenylazopyrazole-5-amines: Evaluation of microwave assisted dyeing behavior. Color. Technol 2012. submitted for publication. [Google Scholar]
 - EI-Apasery, M.A.; Al-Mousawi, S.M.; Mahmoud, H.; Elnagdi, M.H. Novel routes to biologically active enaminones, dienoic acid amides, arylazonicotinates and dihydropyridazines under microwave irradiation. Int. Res. J. Pure Appl. Chem. 2011, 1, 69–83. [Google Scholar]
 - El-Apasery, M.A. Solvent-Free One-Pot Synthesis of Some Azo Disperse Dyes under Microwave Irradiation: Dyeing of Polyester Fabrics. J. Appl. Polym. Sci. 2008, 109, 695–699. [Google Scholar] [CrossRef]
 - El-Apasery, M.A. Synthesis of some azo disperse dyes by the use of focused microwave heating. Pol. J. Appl. Chem. 2006, 50, 75–81. [Google Scholar]
 - Elguero, J.; Marzin, C.; Katritzky, A.R.; Linda, P. The Tautomerism of Heterocyles. In Heterocyclic Chemistry; Academic Press: New York, NY, USA, 1976; pp. 106–109. [Google Scholar]
 - Balalaie, S.; Kowsari, E.; Hashtroudi, M.S. An Efficient Method for the Synthesis of 3-Cyano-6-hydroxy-2(1H)-pyridinones under Microwave Irradiation and Solvent-free Conditions. Chem. Mon. 2003, 134, 453–456. [Google Scholar] [CrossRef]
 - Maradiya, H.R. Synthesis Of azobenzo[b]thiophen derivatives and their dyeing performance on polyster fiber. Turk. J. Chem. 2001, 25, 441–450. [Google Scholar]
 - Chrysler, L.P. Methods of Test for Color Fastness of Textiles and Leather, 7th ed; Bradford: London, UK, 1990; pp. 89–94. [Google Scholar]
 - Dhingra, V.; Pakki, M.; Srinivas, R.; Narasu, L. Antimicrobial activity of artemisinin and its precursors. Curr. Sci. 2000, 78, 708–713. [Google Scholar]
 
- Sample Availability: Samples of the compounds 8, 12a,b and 13a–c are available from the authors.
 
© 2012 by the authors; licensee MDPI, Basel, Switzerland. This article is an open-access article distributed under the terms and conditions of the Creative Commons Attribution license (http://creativecommons.org/licenses/by/3.0/).
Share and Cite
Ashkar, S.M.; El-Apasery, M.A.; Touma, M.M.; Elnagdi, M.H. Synthesis of Some Novel Biologically Active Disperse Dyes Derived from 4-Methyl-2,6-dioxo-1-propyl-1,2,5,6-tetrahydro-pyridine-3-carbonitrile as Coupling Component and Their Colour Assessment on Polyester Fabrics. Molecules 2012, 17, 8822-8831. https://doi.org/10.3390/molecules17088822
Ashkar SM, El-Apasery MA, Touma MM, Elnagdi MH. Synthesis of Some Novel Biologically Active Disperse Dyes Derived from 4-Methyl-2,6-dioxo-1-propyl-1,2,5,6-tetrahydro-pyridine-3-carbonitrile as Coupling Component and Their Colour Assessment on Polyester Fabrics. Molecules. 2012; 17(8):8822-8831. https://doi.org/10.3390/molecules17088822
Chicago/Turabian StyleAshkar, Samar M., Morsy A. El-Apasery, Marwan M. Touma, and Mohamed H. Elnagdi. 2012. "Synthesis of Some Novel Biologically Active Disperse Dyes Derived from 4-Methyl-2,6-dioxo-1-propyl-1,2,5,6-tetrahydro-pyridine-3-carbonitrile as Coupling Component and Their Colour Assessment on Polyester Fabrics" Molecules 17, no. 8: 8822-8831. https://doi.org/10.3390/molecules17088822
APA StyleAshkar, S. M., El-Apasery, M. A., Touma, M. M., & Elnagdi, M. H. (2012). Synthesis of Some Novel Biologically Active Disperse Dyes Derived from 4-Methyl-2,6-dioxo-1-propyl-1,2,5,6-tetrahydro-pyridine-3-carbonitrile as Coupling Component and Their Colour Assessment on Polyester Fabrics. Molecules, 17(8), 8822-8831. https://doi.org/10.3390/molecules17088822
        