Ultrasound-Promoted One-Pot, Three-Component Synthesis of Spiro[indoline-3,1'-pyrazolo[1,2-b]phthalazine] Derivatives
Abstract
:1. Introduction

2. Results and Discussion
| Entry | Solvent | Time (h) | Yield b (%) |
|---|---|---|---|
| 1 | Methanol | 1.5 | 84 |
| 2 | Ethanol | 0.5 | 91 |
| 3 | Water | 2 | 68 |
| 4 | Acetonitrile | 2 | 65 |
| 5 | THF | 3 | 70 |
| Entry | Catalyst | Concentration (mol %) | Time (h) | Yield b (%) |
|---|---|---|---|---|
| 1 | No cat. | 0 | >3 | 0 |
| 2 | C2H5ONa | 10 | 3 | 72 |
| 3 | NaOH | 10 | 3 | 67 |
| 4 | Na2CO3 | 10 | 2 | 65 |
| 5 | KOH | 10 | 3 | 55 |
| 6 | Piperidine | 10 | 2 | 73 |
| 7 | Piperidine | 15 | 1.5 | 84 |
| 8 | Piperidine | 20 | 0.5 | 91 |
| 9 | Piperidine | 25 | 0.5 | 90 |
| 10 | Piperidine | 30 | 0.5 | 90 |
| Entry | Frequency (kHz) | Temperature (°C) | Time (h) | Yield b (%) |
|---|---|---|---|---|
| 1 | 25 | r.t. | 0.5 | 91 |
| 2 | 25 | 40 | 0.5 | 90 |
| 3 | 25 | 50 | 0.5 | 88 |
| 4 | 40 | r.t. | 0.5 | 90 |
| Entry | Product | X | R1 | R2 | Method A b | Method B c | ||
|---|---|---|---|---|---|---|---|---|
| Time (h) | Yield d (%) | Time (h) | Yield d (%) | |||||
| 1 | 4a | CN | H | 5-CH3 | 4 | 80 | 1 | 90 |
| 2 | 4b | CN | H | H | 4 | 76 | 0.5 | 91 |
| 3 | 4c | CN | H | 5-Br | 4 | 80 | 1 | 92 |
| 4 | 4d | CN | H | 5-Cl | 5 | 72 | 1 | 77 |
| 5 | 4e | CN | H | 5-F | 4 | 80 | 0.5 | 93 |
| 6 | 4f | CN | CH3 | H | 4 | 79 | 1 | 93 |
| 7 | 4g | CO2Et | H | 5-CH3 | 8 | 70 | 1 | 82 |
| 8 | 4h | CO2Et | H | H | 8.5 | 81 | 1.5 | 90 |
| 9 | 4i | CO2Et | H | 5-Br | 8.5 | 60 | 1.5 | 73 |
| 10 | 4j | CO2Et | H | 5-Cl | 7 | 61 | 1 | 80 |
| 11 | 4k | CO2Et | H | 5-F | 7.5 | 69 | 1 | 76 |
| 12 | 4l | CO2Et | CH3 | H | 8 | 68 | 1.5 | 84 |
| 13 | 4m | CO2Et | H | 4-Cl | 9.5 | 42 | 2 | 72 |
| 14 | 4n | CO2Et | H | 6-Br | 9 | 58 | 1.5 | 69 |

3. Experimental
3.1. General
3.2. General Procedure under Conventional Conditions (Method A)
3.3. General Procedure Under Sonochemical Conditions (Method B)
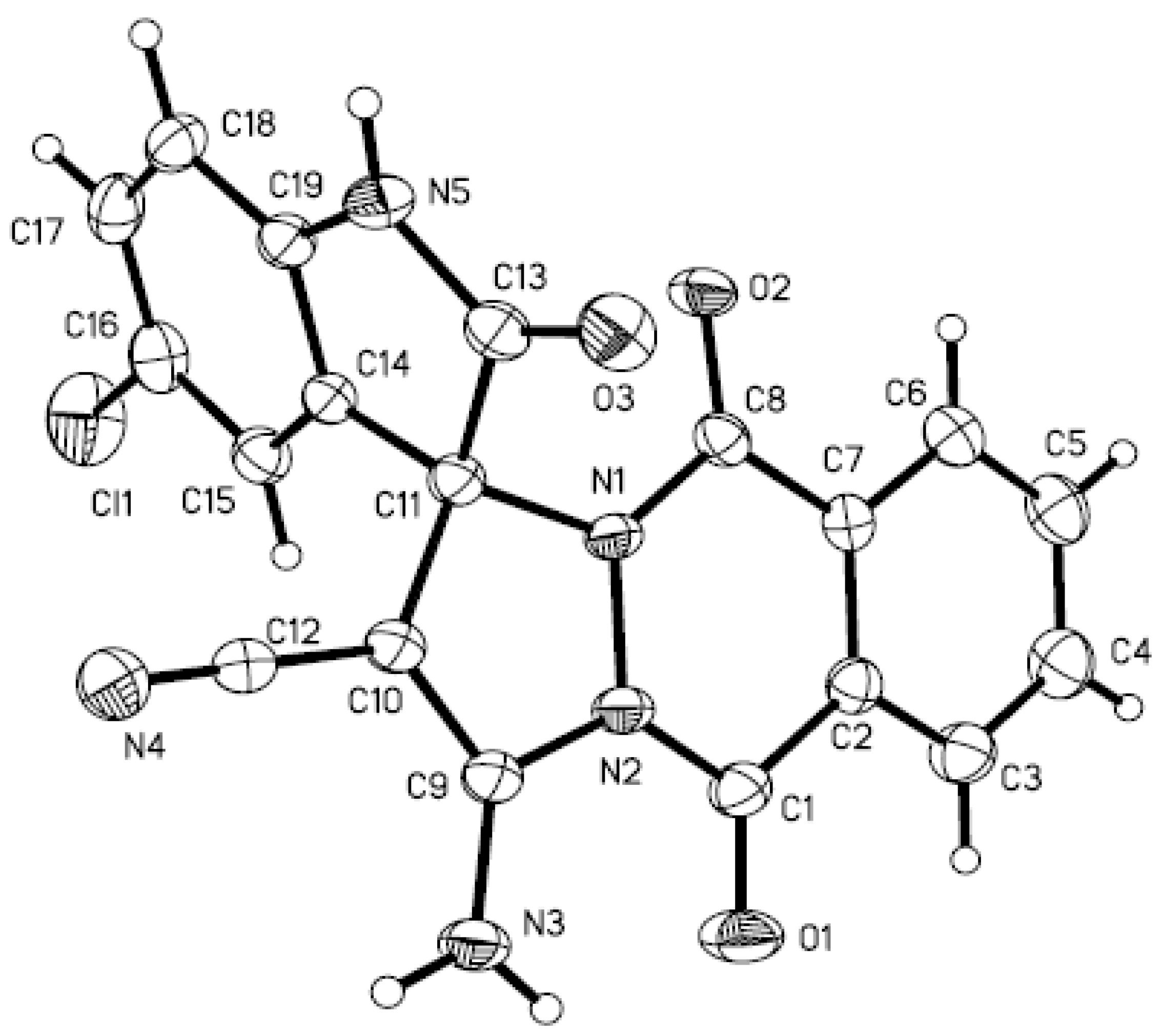
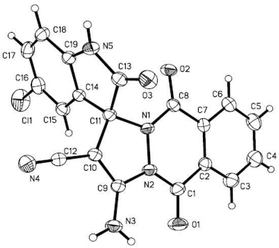
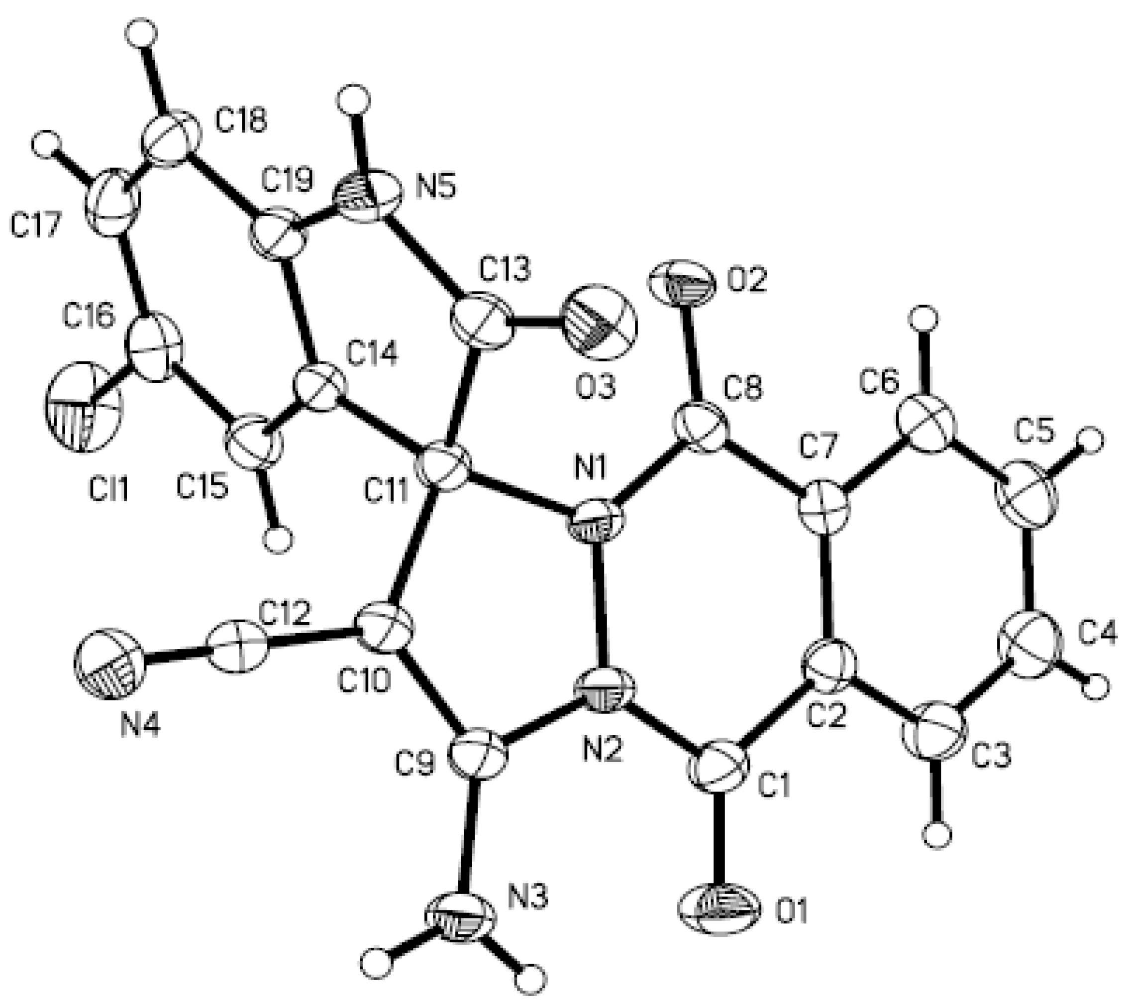
3.3. X-ray Crystallography [46]
4. Conclusions

Acknowledgments
References
- Wender, P.A.; Handy, S.T.; Wright, D.L. Towards the ideal synthesis. Chem. Ind. 1997, 19, 765–768. [Google Scholar]
- Dömling, A.; Ugi, I. Multicomponent Reactions with Isocyanides. Angew. Chem. Int. Ed. Engl. 2000, 39, 3168–3210. [Google Scholar] [CrossRef]
- Dömling, A. Recent Developments in Isocyanide Based Multicomponent Reactions in Applied Chemistry. Chem. Rev. 2006, 106, 17–89. [Google Scholar] [CrossRef]
- Zhu, J.; Bienaymé, H. Multicomponent Reactions; Wiley-VCH: Weinheim, Germany, 2005; pp. 33–75. [Google Scholar]
- Dou, G.L.; Shi, C.L.; Shi, D.Q. Highly Regioselective Synthesis Of Polysubstituted Pyrroles Through Three-Component Reaction Induced By Low-Valent Titanium Reagent. J. Comb. Chem. 2008, 10, 810–813. [Google Scholar] [CrossRef]
- Wu, H.; Lin, W.; Wan, Y.; Xin, H.Q.; Shi, D.Q.; Shi, Y.H.; Yuan, R.; Bo, R.C.; Yin, W. Silica gel-catalyzed one-pot syntheses in water and fluorescence properties studies of 5-amino-2-aryl-3H-chromeno[4,3,2-de][1,6]naphthyridine-4-carbonitriles and 5-amino-2-aryl-3H-quinolino[4,3,2-de][1,6]naphthyridine-4-carbonitriles. J. Comb. Chem. 2010, 12, 31–34. [Google Scholar]
- Li, Y.L.; Chen, H.; Shi, C.L.; Shi, D.Q.; Ji, S.J. Efficient One-Pot Synthesis of Spirooxindole Derivatives Catalyzed By L-Proline In Aqueous Medium. J. Comb. Chem. 2010, 12, 231–237. [Google Scholar]
- Sundberg, R.J. The Chemistry of Indoles; Academic press: New York, NY, USA, 1996; p. 113. [Google Scholar]
- Joshi, K.C.; Chand, P. Biologically active indole derivatives. Pharmazie 1982, 37, 1–12. [Google Scholar]
- Da-Silva, J.F.M.; Garden, S.J.; Pinto, A.C. The chemistry of isatins: A review from 1975 to 1999. J. Braz. Chem. Soc. 2001, 12, 273–324. [Google Scholar] [CrossRef]
- Abdel-Rahman, A.H.; Keshk, E.M.; Hanna, M.A.; El-Bady, S.M. Synthesis and evaluation of some new spiro indoline-based heterocycles as potentially active antimicrobial agents. Bioorg. Med. Chem. 2004, 12, 2483–2488. [Google Scholar]
- Kang, T.H.; Matsumoto, K.; Tohda, M.; Murakami, Y.; Takayama, H.; Kitajima, M. Pteropodine and isopteropodine positively modulate the function of rat muscarinic M1 and 5-HT2 receptors in Xenopus oocyte. Eur. J. Pharmacol. 2002, 444, 39–45. [Google Scholar]
- Ma, J.; Hecht, S.M. Javaniside, a novel DNA cleavage agent from Alangium javanicum having an unusual oxindole skeleton. Chem. Commun. 2004, 1190–1191. [Google Scholar]
- Usui, T.; Kondoh, M.; Cui, C.B.; Mayumi, T.; Osada, H. Tryprostatin A, a specific and novel inhibitor of microtubule assembly. Biochem. J. 1998, 333, 543–548. [Google Scholar]
- Khafagy, M.M.; El-Wahas, A.H.F.A.; Eid, F.A.; El-Agrody, A.M. Synthesis of halogen derivatives of benzo[h]chromene and benzo[a]anthracene with promising antimicrobial activities. Farmaco 2002, 57, 715–722. [Google Scholar] [CrossRef]
- Ghahremanzadeh, R.; Sayyafi, M.; Ahadi, S.; Bazgir, A. One-Pot, Pseudo four-component synthesis of a spiro[diindeno[1,2-b:2′,1′-e]pyridine-11,3′-indoline]-trione library. J. Comb. Chem. 2010, 12, 191–194. [Google Scholar] [CrossRef]
- Vaughan, W.R. The Chemistry of the Phthalazines. Chem. Rev. 1948, 43, 447–508. [Google Scholar] [CrossRef]
- Indelicato, J.M.; Pasini, C.E. The Acylating Potential of γ-Lactam Antibacterials: Base Hydrolysis of Bicyclic Pyrazolidinones. J. Med. Chem. 1988, 31, 1227–1230. [Google Scholar]
- Heine, H.W. Diaziridines. III. Reactions of some 1-alkyl- and 1,1-dialkyl-1H-diazirino[1,2-b]phthalazine-3,8-diones. J. Org. Chem. 1974, 39, 3187–3191. [Google Scholar]
- Schwesinger, R.; Prinzbach, H. Chemie des cis-Trioxa-tris-σ-homobenzoles. Eine einfche Totalsynthese des Streptamines. Angew. Chem. 1975, 87, 625–626. [Google Scholar] [CrossRef]
- Gillis, B.T.; Valentour, J.C. The syntheses of pyridazino[1,2-a] pyridazine derivatives of furan, Pyridazine and pyrrole by Diels-Alder reactions. J. Heterocycl. Chem. 1971, 8, 13–17. [Google Scholar]
- Song, J.G.; Hesse, M. Synthesis of (±)tetrahydromyricoidine. Tetrahedron 2008, 49, 6797–6799. [Google Scholar] [CrossRef]
- Csampai, A.; Körmendy, K.; Ruff, F. Chain length dependent reactivity of 2-(ω-hydroxyalkyl)-4-(ω-hydroxyalkylamino)phthalazin-1(2H)-ones in azeotropic hydrobromic acid. Tetrahedron 1991, 47, 4457–4464. [Google Scholar] [CrossRef]
- Teimouri, M.B. One-pot three-component reaction of isocyanides, Dialkyl acetylenedicarboxylates and phthalhydrazide: Synthesis of highly functionalized 1H-pyrazolo[1,2-b]phthalazine-5,10-diones. Tetrahedron 2006, 62, 10849–10853. [Google Scholar] [CrossRef]
- Shanthi, G.; Perumal, P.T. An Efficient one-pot synthesis of novel pyrazolophthalazinyl spirooxindoles. J. Chem. Sci. 2010, 122, 415–421. [Google Scholar] [CrossRef]
- Zhang, X.; Li, Y.; Zhang, Z. Nickel chloride-catalyzed one-pot three-component synthesis of pyrazolophthalalzinyl spirooxindoles. Tetrahedron 2011, 67, 7426–7430. [Google Scholar] [CrossRef]
- Zou, Y.; Wu, H.; Hu, Y.; Liu, H.; Zhao, X.; Ji, H.L.; Shi, D.Q. A novel and environment-friendly method for preparing dihydropyrano[2,3-c]pyrazoles in water under ultrasound irradiation. Ultrason. Sonochem. 2011, 18, 708–712. [Google Scholar]
- Li, J.T.; Han, J.F.; Yang, J.H.; Li, T.S. An efficient synthesis of 3,4-dihydropyrimidin-2-ones catalyzed by NH2SO3H under ultrasound irradiation. Ultrason. Sonochem. 2003, 10, 199–122. [Google Scholar]
- McNulty, J.; Steere, J.A.; Wolf, S. The Ultrasound Promoted Knoevenagel Condensation of Aromatic Aldehydes. Tetrahedron Lett. 1998, 39, 8013–8016. [Google Scholar] [CrossRef]
- Lindley, J.; Lorimer, J.P.; Mason, T.J. Enhancement of an Ullmann coupling reaction induced by ultrasound. Ultrasonics 1986, 24, 292–293. [Google Scholar] [CrossRef]
- Heymann, D.; Cataldo, F. Effects of intense ultrasound treatment of C-60 solutions. Fullerene Sci. Technol. 1999, 7, 725–732. [Google Scholar] [CrossRef]
- Wang, S.X.; Li, J.T.; Yang, W.Z.; Li, T.S. Synthesis of ethyl α-cyanocinnamates catalyzed by KF–Al2O3 under ultrasound irradiation. Ultrason. Sonochem. 2002, 9, 159–161. [Google Scholar] [CrossRef]
- Cintas, P.; Luche, J.L. Green chemistry. The sonochemical approach. Green Chem. 1999, 1, 115–125. [Google Scholar] [CrossRef]
- Mahdavinia, G.H.; Rostamizadeh, S.; Amani, A.M.; Emdadi, Z. Ultrasound-promoted greener synthesis of aryl-14-H-dibenzo[a,j]xanthenes catalyzed by NH4H2PO4/SiO2 in water. Ultrason. Sonochem. 2009, 16, 7–10. [Google Scholar]
- Cravotto, G.; Cintas, P. Power ultrasound in organic synthesis: Moving cavitational chemistry from academia to innovative and large-scale applications. Chem. Soc. Rev. 2006, 35, 180–196. [Google Scholar]
- Ji, S.J.; Shen, Z.L.; Gu, D.G.; Huang, X.Y. Ultrasound-promoted alkynylation of ethynylbenzene to ketones under solvent-free condition. Ultrason. Sonochem. 2005, 12, 161–163. [Google Scholar]
- Li, J.T.; Yin, Y.; Li, L.; Sun, M.X. A convenient and efficient protocol for the synthesis of 5-aryl-1,3-diphenylpyrazole catalyzed by hydrochloric acid under ultrasound irradiation. Ultrason. Sonochem. 2010, 17, 11–13. [Google Scholar]
- Pizzuti, L.; Martins, P.L.G.; Ribeiro, B.A.; Quina, F.H.; Pinto, E.; Flores, A.F.C.; Venzke, D.; Pereira, C.M.P. Efficient sonochemical synthesis of novel 3,5-diaryl-4,5-dihydro-1H-pyrazole-1-carboximidamides. Ultrason. Sonochem. 2010, 17, 34–37. [Google Scholar]
- Mason, T.J. Sonochemistry and the environment—Providing a “green” link between chemistry, physics and engineering. Ultrason. Sonochem. 2007, 14, 476–483. [Google Scholar] [CrossRef]
- Martings, M.A.; Pereira, C.M.; Cunico, W. Moura, S.; Rosa, F.A.; Peres, R.L.; Machado, P.; Zanatta, N.; Bonacorso, H.G. Ultrasound promoted synthesis of 5-hydroxy-5-trihalomethyl-4,5-dihydroisoxazoles and beta-enamino trihalomethyl ketones in water. Ultrason. Sonochem. 2006, 13, 364–370. [Google Scholar]
- Ji, S.J.; Wang, S.Y. An expeditious synthesis of β-indolylketones catalyzed by p-toluenesulfonic acid (PTSA) using ultrasonic irradiation. Ultrason. Sonochem. 2005, 12, 339–343. [Google Scholar]
- Shen, Z.L.; Ji, S.J.; Wang, S.Y.; Zeng, X.F. A novel base-promoted synthesis of β-indolylketones via a three-component condensation under ultrasonic irradiation. Tetrahedron 2005, 61, 10552–10558. [Google Scholar]
- Capello, C.; Fischer, U.; Hungerbühler, K. What is a green solvent? A comprehensive framework for the environmental assessment of solvents. Green Chem. 2007, 9, 927–934. [Google Scholar] [CrossRef]
- Flint, E.B.; Suslick, K.S. The temperature of cavitation. Science 1991, 253, 1397–1399. [Google Scholar]
- Leighton, T.G. The Acoustic Bubble; Academic Press: London, UK, 1994; p. 531. [Google Scholar]
- Suslick, K.S.; Doktycz, S.J.; Flint, E.B. On the Origin of Sonoluminescene and Sonochemistry. Ultrasonics 1990, 28, 280–282. [Google Scholar] [CrossRef]
- Crystallographic data for 4d have been deposited at the Cambridge Crystallographic Data Centre with the deposition number CCDC 817577. Copies of these data can be obtained free of charge via www.ccdc.cam.ac.uk/conts/retrieving.html (or from the Cambridge Crystallographic Data Centre, 12 Union Road, Cambridge, CB2 1EZ, UK; Fax: +44-1223-336-033; or Email: deposit@ccdc.cam.ac.uk).
- Sample Availability: Samples of the compounds 4a–n are available from the authors.
© 2012 by the authors; licensee MDPI, Basel, Switzerland. This article is an open-access article distributed under the terms and conditions of the Creative Commons Attribution license (http://creativecommons.org/licenses/by/3.0/).
Share and Cite
Wang, J.; Bai, X.; Xu, C.; Wang, Y.; Lin, W.; Zou, Y.; Shi, D. Ultrasound-Promoted One-Pot, Three-Component Synthesis of Spiro[indoline-3,1'-pyrazolo[1,2-b]phthalazine] Derivatives. Molecules 2012, 17, 8674-8686. https://doi.org/10.3390/molecules17078674
Wang J, Bai X, Xu C, Wang Y, Lin W, Zou Y, Shi D. Ultrasound-Promoted One-Pot, Three-Component Synthesis of Spiro[indoline-3,1'-pyrazolo[1,2-b]phthalazine] Derivatives. Molecules. 2012; 17(7):8674-8686. https://doi.org/10.3390/molecules17078674
Chicago/Turabian StyleWang, Juxian, Xiaoguang Bai, Changliang Xu, Yucheng Wang, Wei Lin, Yi Zou, and Daqing Shi. 2012. "Ultrasound-Promoted One-Pot, Three-Component Synthesis of Spiro[indoline-3,1'-pyrazolo[1,2-b]phthalazine] Derivatives" Molecules 17, no. 7: 8674-8686. https://doi.org/10.3390/molecules17078674
APA StyleWang, J., Bai, X., Xu, C., Wang, Y., Lin, W., Zou, Y., & Shi, D. (2012). Ultrasound-Promoted One-Pot, Three-Component Synthesis of Spiro[indoline-3,1'-pyrazolo[1,2-b]phthalazine] Derivatives. Molecules, 17(7), 8674-8686. https://doi.org/10.3390/molecules17078674
