A Facile and Efficient Procedure for the Synthesis of New Benzimidazole-2-thione Derivatives
Abstract
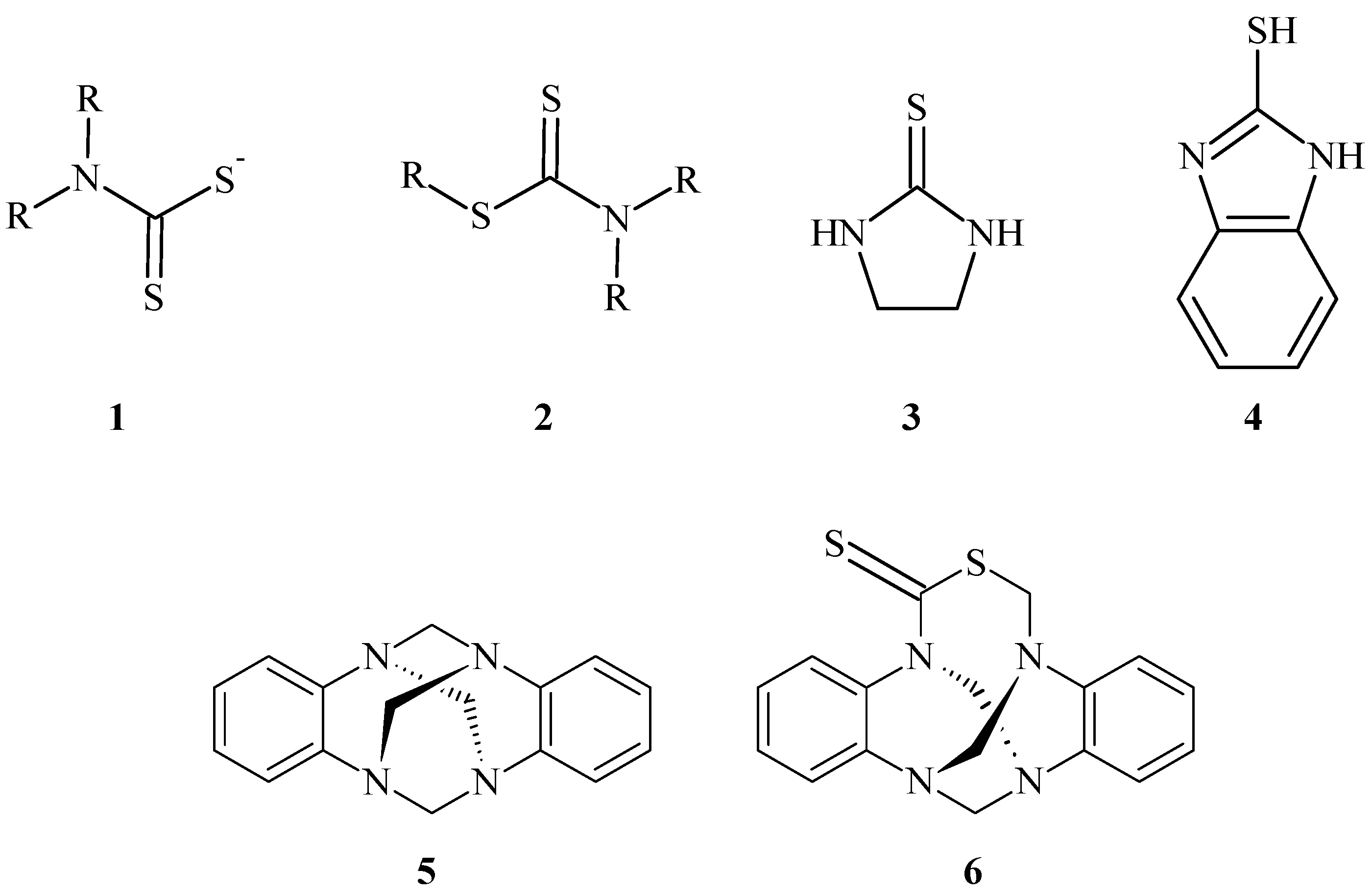
:1. Introduction


2. Results and Discussion
| Entry | NuH | 7 (%) | 8 (%) | t (h) |
|---|---|---|---|---|
| a | MeOH | 48.5 | 51.4 | 24 |
| b | EtOH | 30.1 | 32.3 | 30 |
| c | n-PrOH | 23.3 | 24.5 | 34 |
| d | n-BuOH | 15.0 | 16.7 | 40 |
| e | HCN | 25.3 | 26.0 | 24 |
| f | BtH | 35.2 | 36.7 | 24 |

3. Experimental
3.1. General
3.2. Physical and Spectral Data
4. Conclusions
Acknowledgments
References
- Hofmann, A.W. Noch einige Bemerkungen über Senföle. Ber. Dtsch. Chem. Ges. 1875, 8, 105–109. [Google Scholar] [CrossRef]
- Wolf-Dieter, R. Reactions of carbon disulfide with Nnucleophiles. J. Sulfur Chem. 2007, 28, 295–339. [Google Scholar] [CrossRef]
- Johnson, T.B.; Edens, C.O. Complex Formations between iodine and μ-mercapto-dihydroglyoxalines. J. Am. Chem. Soc. 1942, 64, 2706–2708. [Google Scholar] [CrossRef]
- Wang, M.-L.; Liu, B.-L. Reaction of carbon disulfide and o-phenylenediamine catalyzed by tertiary amine in a homogeneous solution. Ind. Eng. Chem. Res. 1995, 34, 3688–3695. [Google Scholar] [CrossRef]
- Wang, M.-L.; Liu, B.-L. Homogeneous catalyzed reaction of carbon disulfide and o-phenylenediamine by tetrabutylammonium hydroxide in the presence of potassium hydroxide. J. Chin. Inst. Chem. Eng. 2007, 38, 85–90. [Google Scholar] [CrossRef]
- Xue, G.; Huang, X.-Y.; Dong, J.; Zhang, J. The formation of an effective anti-corrosion film on copper surfaces from 2-mercaptobenzimidazole solution. J. Electroanal. Chem. Interfacial Electrochem. 1991, 310, 139–148. [Google Scholar] [CrossRef]
- Perrin, F.X.; Pagetti, J. Characterization and mechanism of direct film formation on a Cu electrode through electro-oxidation of 1-mercaptobenzimidazole. Corros. Sci. 1998, 40, 1647–1662. [Google Scholar] [CrossRef]
- Zhang, J.; Liu, W.; Xue, Q. Tribological study of a Mannich compound of 2-mercaptobenzimidazole in liquid paraffin. Tribol. Int. 1998, 31, 767–770. [Google Scholar]
- Zhang, J.; Liu, W.; Xue, Q. The effect of molecular structure of heterocyclic compounds containing N, O and S on their tribological performance. Wear 1999, 231, 65–70. [Google Scholar] [CrossRef]
- Moreira, J.C.; Pavan, L.C.; Gushikem, Y. Adsorption of Cu(II), Zn(II), Cd(II), Hg(II) and Pb(II) from aqueous solutions on a 2-mercaptobenzimidazole-modified silica gel. Microchim. Acta 1990, 102, 107–115. [Google Scholar] [CrossRef]
- Dalal, D.S.; Pawar, N.S.; Mahulikar, P.P. Synthesis of 2-mercaptobenzothiazole and of 2-mercaptobenzimidazole derivatives using polymer-supported anions. Org. Prep. Proced. Int. 2005, 37, 539–545. [Google Scholar] [CrossRef]
- Bell, S.C.; Wei, P.H. Synthesis of heterocyclic fused thiazole acetic acids 2. J. Med. Chem. 1976, 19, 524–530. [Google Scholar] [CrossRef]
- Lin, S.; Lombardo, M.; Malkani, S.; Hale, J.J.; Mills, S.G.; Chapman, K.; Thompson, J.E.; Zhang, W.-X.; Wang, R.; Cubbon, R.M. Novel 1-(2-aminopyrazin-3-yl)methyl-2-thioureas as potent inhibitors of mitogen-activated protein kinase-activated protein kinase 2 (MK-2). Bioorg. Med. Chem. Lett. 2009, 19, 3238–3242. [Google Scholar]
- De Almeida, M.V.; Cardoso, S.H.; De Assis, J.V.; De Souza, M.V.N. Synthesis of 2-mercaptobenzothiazole and 2-mercaptobenzimidazole derivatives condensed with carbohydrates as a potential antimicrobial agents. J. Sulfur Chem. 2007, 28, 17–22. [Google Scholar] [CrossRef]
- Desai, K.G.; Desai, K.R. Green route for the heterocyclization of 2-mercaptobenzimidazole into β-lactum segment derivatives containing -CONH-bridge with benzimidazole: Screening in vitro antimicrobial activity with various microorganisms. Bioorg. Med. Chem. 2006, 14, 8271–8279. [Google Scholar] [CrossRef]
- Proksa, B.; Turdiková, M.; Ertík, M.; Miroslav, K.; Preizingerová, T.; Fuska, J. Effects of derivatives of 2-mercaptobenzimidazole on polyketide biosynthesis in Penicillium frequentans. Biotechnol. Appl. Biochem. 1997, 25, 169–172. [Google Scholar]
- Lobana, T.S.; Sharma, R.; Hundal, G.; Butcher, R.J. Synthesis of 1D {Cu6(μ3-SC3H6N2)4(μ-SC3H6N2)2(mu-I)2I4}n and 3D {Cu2(μ-SC3H6N2)2(μ-SCN)2}n polymers with 1,3-imidazolidine-2-thione: Bond isomerism in polymers. Inorg. Chem. 2006, 45, 9402–9409. [Google Scholar] [CrossRef]
- Lobana, T.S.; Sharma, R.; Sharma, R.; Mehra, S.; Castineiras, A.; Turner, P. Versatility of heterocyclic thioamides in the construction of a trinuclear cluster [Cu3I3(dppe)3 (SC5H4NH)] and Cu(I) linear polymers {Cu6(SC5H4NH)6I6}nx2nCH3CN and {Cu(I)6 (SC3H6N2)6X6}n (X = Br, I). Inorg. Chem. 2005, 44, 1914–1921. [Google Scholar]
- Beheshti, A.; Clegg, W.; Dale, S.H.; Hyvadi, R. Synthesis, crystal structures, and spectroscopic characterization of the neutral monomeric tetrahedral [M(Diap)2(OAc)2]H2O complexes (M = Zn, Cd; Diap = 1,3-diazepane-2-thione; OAc = acetate) with N-H…O and O-H…O intra- and intermolecular hydrogen bonding interactions. Inorg. Chim. Acta 2007, 360, 2967–2972. [Google Scholar] [CrossRef]
- Rivera, A.; Maldonado, M.; Núñez, M.; Joseph-Nathan, P. Nucleophilic substitution at the aminalic carbon of some macrocyclic polyaminals. Heterocycl. Commun. 2004, 10, 77–80. [Google Scholar] [CrossRef]
- Rivera, A.; Maldonado, M. Unexpected behavior of 6H,13H-5:12,7:14-dimethane-dibenzo[d,i][1,3,6,8]tetraazecine (DMDBTA) toward phenols. Tetrahedron Lett. 2006, 47, 7467–7471. [Google Scholar] [CrossRef]
- Rivera, A.; Navarro, M.; Rios-Motta, J. Solvent-Free Synthesis of 2-(1H-benzimidazol-1-yl-methyl)-4-substituted-1-hydroxyaryl by the two component Mannich reaction between 6H,13H-5:12,7:14-Dimethanedibenzo[d,i][1,3,6,8]tetraazecine (DMDBTA) and phenols. Heterocycles 2008, 75, 1651–1658. [Google Scholar]
- Rivera, A.; Moyano, D.; Maldonado, M.; Ríos-Motta, J.; Reyes, A. FT-IR and DFT studies of the proton affinity of small aminal cages. Spectrochim. Acta A 2009, 74, 588–590. [Google Scholar] [CrossRef]
- Rivera, A.; Maldonado, M.; Ríos-Motta, J.; Navarro, M.; González-Salas, D. Novel access to 1-substituted-benzimidazoles via benzotriazole-mediated synthesis. Tetrahedron Lett. 2010, 51, 102–104. [Google Scholar]
- Donia, R.A.; Shotton, J.A.; Bentz, L.O.; Smith, G.E.P., Jr. Reactions of mono- and di-amines with carbon disulphide. II. Methylenediamine and imidazolidine-carbon disulphide reactions. J. Org. Chem. 1949, 14, 952–961. [Google Scholar] [CrossRef]
- Mohamed, T.A.; Mustafa, A.M.; Zoghaib, W.M.; Afifi, M.S.; Farag, R.S.; Badr, Y. Infrared, Raman and temperature-dependent NMR spectra, vibrational assignments, normal coordinate analysis, and DFT calculations of benzoxazoline-2-thione. Vib. Spectrosc. 2010, 52, 128–136. [Google Scholar] [CrossRef]
- Lin, S.; Yang, L. A simple and efficient procedure for the synthesis of benzimidazoles using air as the oxidant. Tetrah edron Lett. 2005, 46, 4315–4319. [Google Scholar] [CrossRef]
- Ivanova, N.V.; Sviridov, S.I.; Stepanov, A.E. Parallel solution-phase synthesis of substituted 2-(1,2,4-triazol-3-yl)benzimidazoles. Tetrahedron Lett. 2006, 47, 8025–8027. [Google Scholar] [CrossRef]
- Vojtech, M.; Petrušová, M.; Sláviková, E.; Bekešová, S.; Petruš, L. One-pot synthesis of 2-C-glycosylated benzimidazoles from the corresponding methanal dimethyl acetals. Carbohydr. Res. 2007, 342, 119–123. [Google Scholar] [CrossRef]
- Gallant, A.J.; Patrick, B.O.; MacLachlan, M.J. Mild and selective reduction of imines: Formation of an unsymmetrical macrocycle. J. Org. Chem. 2004, 69, 8739–8744. [Google Scholar]
- Rivera, A.; Mejia-Camacho, A.; Ríos-Motta, J.; Dušek, M.; Fejfarová, K. 1,3-bis(ethoxymethyl)-1H-benzimidazole-2(3H)-thione. Acta Cryst. 2010, E 66, o1135–o1136. [Google Scholar]
- Sample Availability: Samples of the compounds 7a–f are available from the authors.
© 2012 by the authors; licensee MDPI, Basel, Switzerland. This article is an open-access article distributed under the terms and conditions of the Creative Commons Attribution license (http://creativecommons.org/licenses/by/3.0/).
Share and Cite
Rivera, A.; Maldonado, M.; Ríos-Motta, J. A Facile and Efficient Procedure for the Synthesis of New Benzimidazole-2-thione Derivatives. Molecules 2012, 17, 8578-8586. https://doi.org/10.3390/molecules17078578
Rivera A, Maldonado M, Ríos-Motta J. A Facile and Efficient Procedure for the Synthesis of New Benzimidazole-2-thione Derivatives. Molecules. 2012; 17(7):8578-8586. https://doi.org/10.3390/molecules17078578
Chicago/Turabian StyleRivera, Augusto, Mauricio Maldonado, and Jaime Ríos-Motta. 2012. "A Facile and Efficient Procedure for the Synthesis of New Benzimidazole-2-thione Derivatives" Molecules 17, no. 7: 8578-8586. https://doi.org/10.3390/molecules17078578
APA StyleRivera, A., Maldonado, M., & Ríos-Motta, J. (2012). A Facile and Efficient Procedure for the Synthesis of New Benzimidazole-2-thione Derivatives. Molecules, 17(7), 8578-8586. https://doi.org/10.3390/molecules17078578
