Abstract
Efficient syntheses of four aminocyclitols are reported. Each synthesis is accomplished in eight steps starting from D-(−)-quinic acid. The key step involves a highly regioselective ring opening of epoxides by sodium azide.
1. Introduction
Aminocyclitols, also known as aminocarbasugars [1], contain at least one amino or substituted amino moiety in the cyclitols (polyhydroxylated cycloalkanes) [2]. Many natural and synthetic products containing aminocyclitol scaffolds have shown a variety of biological activities [3,4], such as, valienamine [5], pancratistatin [6], oseltamivir [7], and voglibose [4] (Figure 1). The synthesis of biological active aminocyclitols and assessment of their structure and activity relationship have generated considerable interest in recent years [4,8,9,10,11,12,13,14,15,16,17].
Previously, we have synthesized three aminocyclitols from D-(−)-quinic acid in nine to ten steps via stereoselective dihydroxylation as a key step [18] (Figure 2). These quercitol-like structures of aminocyclitols are also called as deoxyinosamines [4]. We described herein an alternative synthesis of two known aminocyclitols 5 and 6 along with two new aminocyclitols 10 and 11. The synthesis was accomplished in eight steps via a regioselective ring opening reaction of epoxides.
Figure 1.
Representative natural or synthetic products containing aminocyclitol moiety.
Figure 1.
Representative natural or synthetic products containing aminocyclitol moiety.

Figure 2.
The previously synthesized aminocyclitols.
Figure 2.
The previously synthesized aminocyclitols.

2. Results and Discussion
Unlike the strategy we previously used in the synthesis of aminocyclitols (Figure 2), we started from the epoxides 1, 2 and 7, which were prepared from D-(−)-quinic acid in six steps, respectively [19]. When compounds 1 and 2 were treated with sodium azide in DMF under reflux conditions, they underwent a highly regioselective opening at the C4 position to afford 3 and 4, respectively (Scheme 1).
Scheme 1.
Synthesis of aminocyclitols 5, 6, 10 and 11.
Scheme 1.
Synthesis of aminocyclitols 5, 6, 10 and 11.

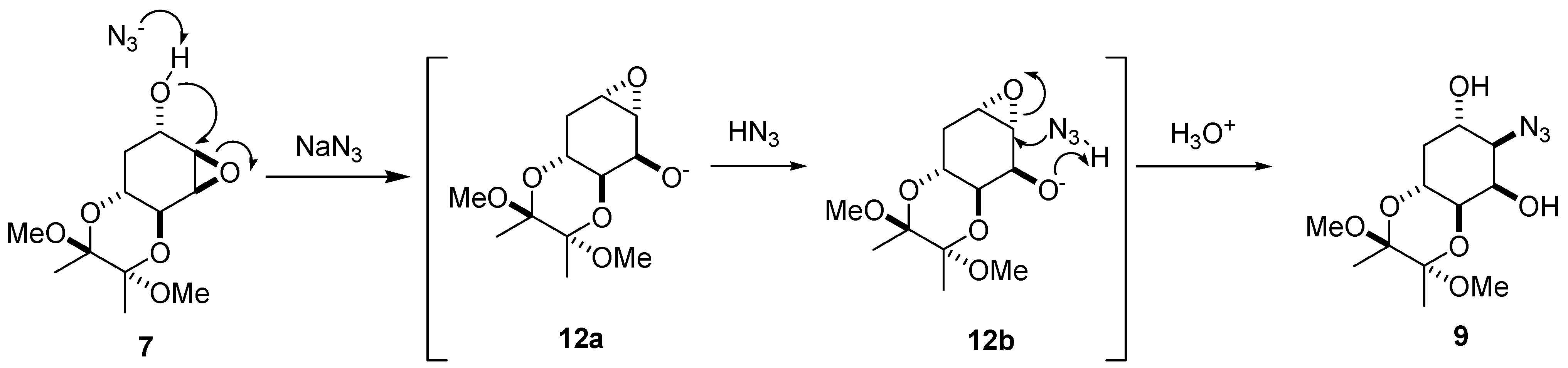
The yields were mediocre but no other regioisomers were detected by TLC or isolated from column purification [20]. Interestingly, the TMB-protected compound 7 was treated with NaN3 to afford 8 in 71% yield and its epimer 9 in 14% yield. The azide directly attacked the least hindered side of 7 at the C4 position to give 8. However, a plausible mechanism for the formation of the minor component 9 results from the C5 hydroxide group of 7 being attacked at the C4 position to give intermediate 12a (Figure 3).
Figure 3.
Plausible mechanism for the formation of 9.
Figure 3.
Plausible mechanism for the formation of 9.

Instead of attack at the least hindered side at the C5 position of 12a by azide, known as the Payne rearrangement [21], the hydroxide group at C3 of 12a internally removed the proton of HN3 (intermediate 12b). That allowed the resulting azide to attack the vicinal C4 position of 12b to give 9. This resulted in the retention of configuration of epoxide 7. This observation was very unusual and in contrast to the results that occurred in the 2,3-epoxy rearrangement [22]. Based on the Chem3D simulation, the cyclohexane core of 7 was in a boat-like conformation (Figure 4). The trans-diaxial attack at C4 in 7 by azide leading to 8 as the major compound was energetically favorable. However, we could not rule out the possibility in formation of 12a which was derived from the trans-axial attack of the epoxide by C5-OH in 7. The lower yield of 9 was probably due to the half-chair like structure 12a that was less favorable than 7 for allowing by azide attack (Figure 4).
Figure 4.
Three-dimensional representations of structures 7 and 12a.
Figure 4.
Three-dimensional representations of structures 7 and 12a.

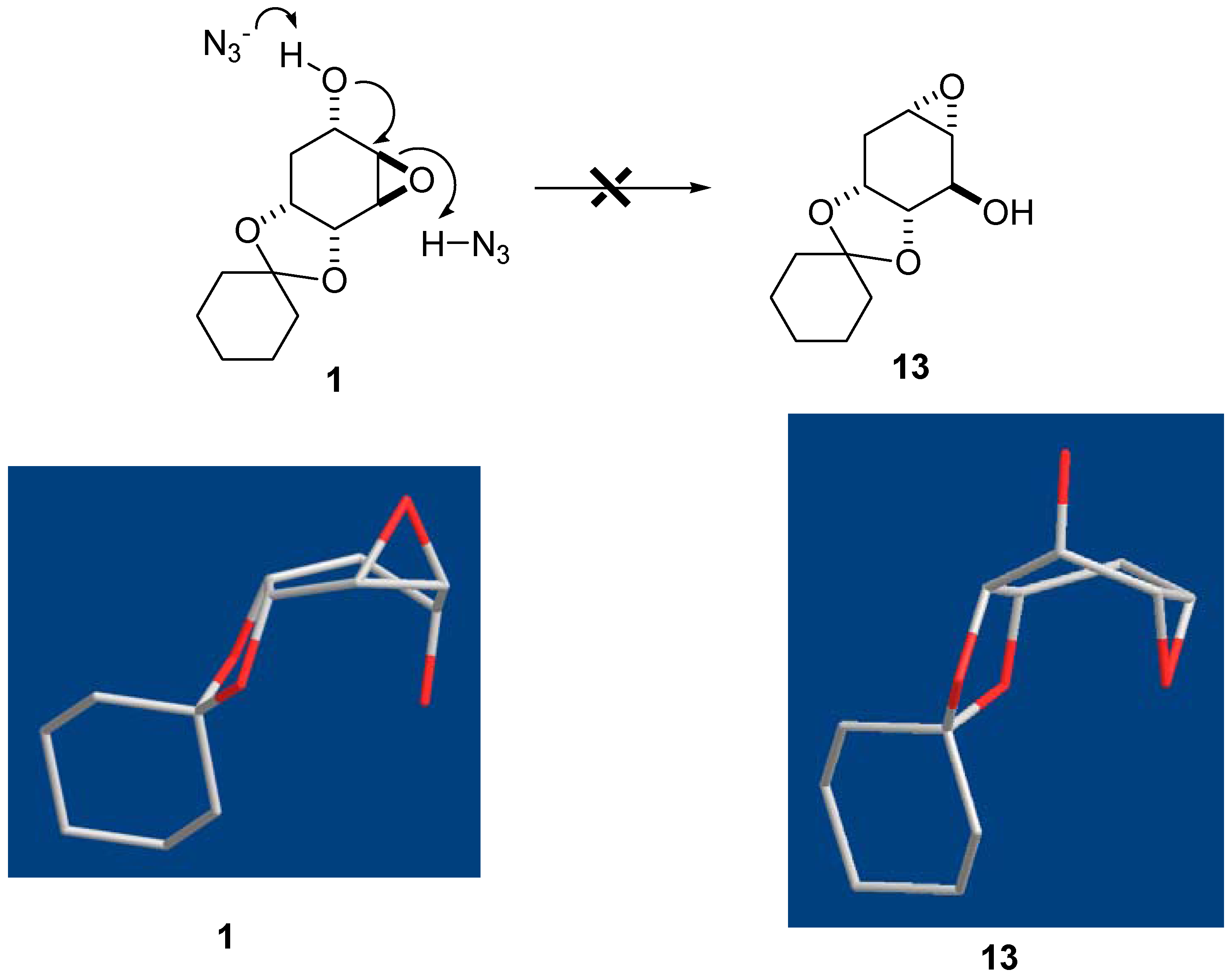
The Payne rearrangement of epoxide 7 intrigued us as an interesting issue when no rearrangement product 13 was found when compound 1 was treated with NaN3 (Figure 5). According to the Chem3D simulation, the conformation of cyclohexane core of 1 is a slightly twisted boat form. However, compound 13 was in a boat conformation if the Payne rearrangement occurred. The reason was probably due to the steric congestion in the formation of 13 because the distance between epoxide and the C2 acetal oxygen atom of 13 is around 3.054 Å. On the contrary, the distance between the C5-OH and C2 oxygen atom of 1 is about 3.328 Å. Therefore, the trans-diaxial attack at C4 of 1 by azide might be kinetically or sterically controlled to lead to the major component 3.
Figure 5.
Three-dimensional representations of structures 1 and 13.
Figure 5.
Three-dimensional representations of structures 1 and 13.

In order to obtain better yields of final products 5, 6, 10, and 11, we determined that azido compounds 3, 4, 8, and 9 should be hydrogenated first over Pd/C, followed by deprotection under acidic conditions. The one pot reaction conditions (H2/Pd/C/HCl) afforded low yields of target compounds accompanied by a more complicated mixture. It is worth noting that our strategy was much shorter than the reported method in the syntheses of molecules 5 and 6 which involved sixteen steps starting from D-mannitol [23]. The structure determinations were based on a series of NMR experiments (COSY, 2D-NOESY, HMBC, HMQC, and HRMS) and the selected NMR data were listed on Table 1 and Table 2.
Table 1.
Selected 1H (600 MHz) and 13C (150 MHz) NMR data for 3, 4, 8, and 9 in CD3OD.
| Compound | H1 ( J)/C1 | H2 ( J)/C2 | H3 ( J)/C3 | H4 ( J)/C4 | H5 ( J)/C5 | H6 ( J)/C6 |
|---|---|---|---|---|---|---|
| 3 | 4.33–4.30 (m) 74.7 | 3.92 (dd, 7.0, 5.3) 81.4 | 4.04–4.01 (m) 69.3 | 3.21 (dd, 10.0, 2.7) 86.8 | 4.07–4.04 (m) 71.9 | 2.25 (dt, 15.7, 3.6) 1.93 (ddd, 15.7, 7.1, 3.7) 32.1 |
| 4 | 4.30 (dt, 6.5, 2.3) 74.1 | 3.89 (dd, 7.6, 5.2) 81.0 | 3.38 (dd, 10.4, 7.6) 76.1 | 3.04 (t, 10.2) 71.5 | 3.62 (td, 11.2, 4.9) 68.6 | 2.34 (ddd, 14.9, 4.9, 2.2) 1.75 (ddd, 14.9, 11.5, 4.1) 34.1 |
| 8 | 3.88 (ddd, 11.6, 10.1, 4.7) 65.3 | 3.95 (dd, 10.0, 3.4) 71.1 | 3.85 (t, 3.5) 64.5 | 3.79 (t, 3.0) 72.5 | 3.74 (ddd, 11.6, 5.2, 3.0) 67.6 | 1.79–1.74 (m) 1.71 (t, 11.6) 32.8 |
| 9 | 3.51–3.40 (m) 66.1 | 3.78 (tm, 9.5, 0.8) 75.0 | 3.32 (td, 9.4, 0.8) 72.3 | 3.13 (td, 9.5, 1.7) 73.0 | 3.45–3.42 (m) 69.7 | 2.01 (dt, 12.1, 4.6) 1.51 (ddd, 13.3, 12.3, 1.4) 36.3 |
Table 2.
Selected 1H (600 MHz) and 13C (150 MHz) NMR data for 5, 6, 10, and 11 in D2O.
| Compound | H1 ( J)/C1 | H2 ( J)/C2 | H3 ( J)/C3 | H4 ( J)/C4 | H5 ( J)/C5 | H6 ( J)/C6 |
|---|---|---|---|---|---|---|
| 5 | 4.03 (dd, 6.3, 3.1) 70.0 | 3.45 (dd, 9.4, 2.8) 73.8 | 3.90 (t, 9.8) 67.2 | 3.12 (d, 10.3, 3.2) 56.7 | 4.09 (dd, 6.5, 3.2) 66.9 | 2.08 (dt, 15.6, 3.5) 1.70 (dt, 15.6, 2.9) 32.6 |
| 6 | 3.96–3.94 (m) 68.3 | 3.41–3.34 (m)a 73.9 | 3.41–3.34 (m)a 71.7 | 2.53 (t, 9.8) 59.4 | 3.59 (ddd, 14.5, 10.0, 4.6) 67.6 | 1.98 (dt, 14.0, 4.2) 1.47 (td, 14.0, 2.5) 36.3 |
| 10 | 3.91 (dt, 9.1, 3.5) 67.0 | 3.75–3.65 (m)a 68.3 | 3.75–3.65 (m)a 67.2 | 3.12 (t, 4.0) 52.6 | 3.75–3.65 (m)a 72.1 | 1.85 (td, 13.1, 4.1) 1.75–1.62 (m) 32.9 |
| 11 | 3.39 (ddd, 11.9, 9.4, 4.6) 68.6 | 3.15 (t, 9.3) 77.0 | 2.99 (t, 9.6) 74.0 | 2.49 (d, 9.8) 58.8 | 3.30 (td, 11.4, 4.4) 68.7 | 2.06 (dt, 12.2, 4.5) 1.35 (dd, 11.9, 11.9) 68.6 |
a Assignments were not well resolved due to signal overlaps.
3. Experimental
3.1. General Methods
1H (600 MHz) and 13C-NMR (150 MHz) spectra were recorded on a Bruker 600 MHz instrument. The chemical shifts were reported in ppm and relative to the residual of d-solvents: CD3OD (1H, 4.78 ppm; 13C, 49.0 ppm); D2O (4.69 ppm). Optical rotations were measured with a HORIBA SEPA-300 instrument. HRMS were measured by a Finnigan MAT 95S spectrometer.
3.2. General Procedure of Ring Opening
Compound 1 (0.838 g, 4.0 mmol), for example, was dissolved in DMF (30 mL). To this mixture was added NaN3 (2.3 g, 36.0 mmol) and a catalytic amount of 15-crown-5 and heated under reflux for 5−6 h. At the end of the reaction time, the mixture was diluted with H2O (100 mL) and extracted with Et2O (2x100 mL). The organic layer was dried (MgSO4) and purified by column chromatography.
3.3. General Procedures of Hydrogenation and Deprotection
Compound 3 (0.079 g, 0.29 mmol) for example, was dissolved in MeOH (2 mL). To this mixture was added 10% Pd/C (10 mol%) and it was hydrogenated under one atmosphere at ambient temperature for 2 h. The resulting mixture was filtrated through a pad of Celite and washed with MeOH. The organic layer was concentrated and 80% TFA was added (2 mL), then stirred for 1−1.5 h, at the end of which time, the solvent was evaporated and the residue purified by column chromatography.
3.4. Synthesis of the Key Intermediates and the Target Molecules
3.4.1. (1R,2R,3R,4S,5S)-4-Azido-1,2-O-cyclohexylidene-cyclohexane-1,2,3,5-tetraol (3)
Purification by flash column chromatography (230–400 mesh SiO2, EtOAc/hex = 1/8−1/2) afforded a white solid. Yield = 67%. MP = 122−128 °C. [α]D25 +36.2 (c 0.31, MeOH). 1H-NMR (CD3OD)δ 4.56 (s, 2H, -OH), 4.33−4.30 (m, 1H), 4.07−4.04 (m, 1H), 4.04−4.01 (m, 1H), 3.92 (dd, J = 7.0, 5.3 Hz, 1H), 3.21 (dd, J = 10.0, 2.7 Hz, 1H), 2.25 (dt, J = 15.7, 3.6 Hz, 1H), 1.93 (ddd, J = 15.7, 7.1, 3.7 Hz, 1H), 1.72−1.54 (m, 8H), 1.48−1.42 (m, 2H). 13C-NMR (CDCl3) δ 110.7, 81.4, 74.7, 71.9, 69.3, 66.8, 39.4, 36.2, 32.1, 26.2, 25.1, 24.8. HRMS (ESI) calcd for C12H19N3O4 (M+) 269.1376. Found: 269.1371.
3.4.2. (1R,2R,3R,4S,5R)-4-Azido-1,2-O-cyclohexylidene-cyclohexane-1,2,3,5-tetraol (4)
Purification by flash column chromatography (230−400 mesh SiO2, EtOAc/hex = 1/8−1/2) afforded a white solid. Yield = 69%. Mp = 125−130 °C. [α]D25−146.6 (c 0.45, MeOH). 1H-NMR (CD3OD) δ 4.57 (s, 2H, -OH), 4.30 (dt, J = 6.5, 2.3 Hz,1H), 3.89 (dd, J = 7.6, 5.2 Hz, 1H), 3.62 (td, J = 11.2, 4.9 Hz, 1H), 3.38 (dd, J = 10.4, 7.6 Hz, 1H), 3.04 (t, J = 10.2 Hz, 1H), 2.34 (ddd, J = 14.9, 4.9, 2.2 Hz, 1H), 1.75 (ddd, J = 14.9, 11.5, 4.1 Hz, 1H), 1.70−1.52 (m, 8H), 1.44−1.40 (m, 1H), 1.39−1.30 (m, 1H).13C-NMR (CD3OD) δ 110.8, 81.0, 76.1, 74.1, 71.5, 68.6, 39.3, 36.2, 34.1, 26.1, 25.0, 24.8. HRMS (ESI) calcd for C12H19N3O4 (M+) 269.1376. Found: 269.1377.
3.4.3. (1R,2S,3R,4S,5S)-4-Azido-1,2-[(2S,3S)-2,3-dimethoxybutan-2,3-dioxy]-cyclohexane-1,2,3,5-tetraol (8)
Purification by flash column chromatography (230–400 mesh SiO2, EtOAc/hex = 1/15−1/2) afforded a white solid. Yield = 71%. MP = 178−182 °C. [α]D25 +157.4 (c 0.19, MeOH). 1H-NMR (CD3OD) δ 3.95 (dd, J = 10.0, 3.4 Hz, 1H), 3.88 (ddd, J = 11.6, 10.1, 4.7 Hz, 1H), 3.85 (t, J = 3.5 Hz, 1H), 3.79 (t, J = 3.0 Hz, 1H), 3.74 (ddd, J = 11.6, 5.2, 3.0 Hz, 1H), 3.24 (s, 6H), 1.79−1.74 (m, 1H), 1.71 (t, J = 11.6 Hz, 1H), 1.28 (s, 3H), 1.24 (s, 3H). 13C-NMR (CD3OD) δ 101.4, 100.6, 72.5, 71.1, 67.6, 65.3, 64.5, 48.2, 48.1, 32.8, 18.0, 17.9. HRMS (ESI) calcd for C12H21N3NaO6 [M+Na]+ 326.1328. Found: 326.1308.
3.4.4. (1R,2S,3R,4R,5S)-4-Azido-1,2-[(2S,3S)-2,3-dimethoxybutan-2,3-dioxy]-cyclohexane-1,2,3,5-tetraol (9)
Purification by flash column chromatography (230–400 mesh SiO2, EtOAc/hex = 1/15−1/2) afforded a white solid. Mp = 179−185 °C. Yield = 14%. [α]D25 +164.3 (c 0.28, MeOH). 1H-NMR (CD3OD) δ 3.78 (td, J = 9.5, 0.8 Hz, 1H), 3.51−3.40 (m, 2H), 3.32 (td, J = 9.4, 0.8 Hz, 1H), 3.27 (s, 3H), 3.21 (s, 3H), 3.13 (td, J = 9.5, 1.7 Hz, 1H), 2.01 (dt, J = 12.1, 4.6 Hz, 1H), 1.51 (ddd, J = 13.3, 12.3, 1.4 Hz, 1H), 1.27 (s, 3H), 1.24 (s, 3H). 13C-NMR (CD3OD) δ 100.7 (×2), 75.0, 73.2, 72.3, 69.7, 66.1, 48.3, 48.2, 36.3, 17.9 (x2). HRMS (ESI) calcd for C12H21N3NaO6 [M+Na]+ 326.1328. Found: 326.1328.
3.4.5. (1R,2R,3R,4S,5S)-4-Aminocyclohexane-1,2,3,5-tetraol (5)
Purification by flash column chromatography (230–400 mesh SiO2, MeOH/CH2Cl2/5%NH4OH = 1/10−1/1) afforded a pale yellow syrup. Yield = 70%. [α]D25−76.7 (c 0.21, H2O). 1H-NMR (D2O) δ 4.09 (dd, J = 6.5, 3.2 Hz, 1H), 4.03 (dd, J = 6.3, 3.1 Hz, 1H), 3.90 (t, J = 9.8 Hz, 1H), 3.45 (dd, J = 9.4, 2.8 Hz, 1H), 3.12 (dd, J = 10.3, 3.2 Hz, 1H), 2.08 (dt, J = 15.6, 3.5 Hz, 1H), 1.70 (dt, J = 15.6, 2.9 Hz, 1H). 13C-NMR (D2O) δ 73.8, 70.0, 67.2, 66.9, 56.7, 32.6. HRMS (ESI) calcd for C6H14NO4 [M+H]+ 164.0923. Found: 164.0919.
3.4.6. (1R,2R,3R,4S,5R)-4-Aminocyclohexane-1,2,3,5-tetraol (6)
Purification by flash column chromatography (230–400 mesh SiO2, MeOH/CH2Cl2/5%NH4OH = 1/10−1/1) afforded a pale yellow syrup. Yield = 71%. [α]D25−19.4 (c 0.33, H2O). 1H-NMR (D2O) δ 3.96−3.94 (m, 1H), 3.59 (ddd, J = 14.5, 10.0, 4.6 Hz, 1H), 3.41−3.34 (m, 2H), 2.53 (t, J = 9.8 Hz, 1H), 1.98 (dt, J = 14.0, 4.2 Hz, 1H), 1.47 (td, J = 14.0, 2.5 Hz, 1H). 13C-NMR (D2O) δ 73.9, 71.7, 68.3, 67.6, 59.4, 36.3. HRMS (ESI) calcd for C6H13NO4 (M+) 163.0845. Found: 163.0835.
3.4.7. (1R,2S,3R,4S,5S)-4-Aminocyclohexane-1,2,3,5-tetraol (10)
Purification by flash column chromatography (230–400 mesh SiO2, MeOH/CH2Cl2/5%NH4OH = 1/10−1/1) afforded a pale yellow syrup. Yield = 73%. [α]D25−48.2 (c 0.19, H2O). 1H-NMR (D2O) δ 3.91 (dt, J = 9.1, 3.5 Hz, 1H), 3.75−3.65 (m, 3H), 3.12 (t, J = 4.0 Hz, 1H), 1.85 (dt, J = 13.1, 4.1 Hz, 1H), 1.75−1.62 (m, 1H). 13C-NMR (D2O) δ 72.1, 68.3, 67.2, 67.0, 52.6, 32.9. HRMS (ESI) calcd for C6H14NO4 [M+H]+ 164.0923. Found: 164.0920.
3.4.8. (1R,2S,3R,4R,5S)-4-Aminocyclohexane-1,2,3,5-tetraol (11)
Purification by flash column chromatography (230–400 mesh SiO2, MeOH/CH2Cl2/5%NH4OH = 1/10−1/1) afforded a pale yellow syrup. Yield = 68%. [α]D25−69.4 (c 0.18, H2O). 1H-NMR (D2O) δ 3.39 (ddd, J = 11.9, 9.4, 4.6 Hz, 1H), 3.30 (td, J = 11.4, 4.4 Hz, 1H), 3.15 (t, J = 9.3 Hz, 1H), 2.99 (t, J = 9.6 Hz, 1H), 2.49 (t, J = 9.8 Hz, 1H), 2.06 (dt, J = 12.2, 4.5 Hz, 1H), 1.35 (dd, J = 11.9, 11.9 Hz, 1H). 13C-NMR (D2O) δ 77.3, 74.0, 68.7, 68.6, 58.8, 38.0. HRMS (ESI) calcd for C6H14NO4 [M+H]+ 164.0923. Found: 164.0918.
4. Conclusions
In conclusion, aminocyclitols are a very important class of aminocarbasugars. We have synthesized two known and two new aminocyclitols in an efficient manner from D-(−)-quinic acid. Especially, our method provided a short alternative in syntheses of 5 and 6 than the literature. The ring opening of epoxide in 1, 2 and 7 by sodium azide to provide moderate to good yields of 3, 4, and 8, respectively, was highly regioselective owing to the steric effect. The studies of the biological activities of these compounds are currently ongoing and will be reported in due course.
Acknowledgments
The National Science Council (NSC98-2119-M-032-004-MY3) and Tamkang University are gratefully acknowledged for the financial support of this research. Authors also thank the National Center for High-Performing Computing for assistance.
Conflicts of Interest
The authors declare no conflicts of interest.
References and Notes
- Arjona, O.; Gomez, A.M.; Lopez, J.C.; Plumet, J. Synthesis and Conformational and Biological Aspects of Carbasugars. Chem. Rev. 2007, 107, 1919–2036. [Google Scholar]
- Nomenclature of Cyclitols. Available online: http://www.chem.qmul.ac.uk/iupac/cyclitol (accessed on 15 April 2012).
- Duchek, J.; Adams, D.R.; Hudlicky, T. Chemoenzymatic synthesis of inositol, conduritols, and cyclitol analogues. Chem. Rev. 2011, 111, 4223–4258. [Google Scholar] [CrossRef]
- Delgado, A. Recent advances in the chemistry of aminocyclitols. Eur. J. Org. Chem. 2008, 2008, 3893–3906, and references cited therein.. [Google Scholar] [CrossRef]
- Mahmud, T. The C7N aminocyclitol family of natural products. Nat. Prod. Rep. 2003, 20, 137–166. [Google Scholar]
- Dam, J.H.; Madsen, R. Convergent synthesis of pancratistatin from piperonal and xylose. Eur. J. Org. Chem. 2009, 2009, 4666–4673, references cited therein.. [Google Scholar] [CrossRef]
- Sullivan, B.; Carrera, I.; Drouin, M.; Hudlicky, T. Symmetry-based design for the chemoenzymatic synthesis of oseltamivir (Tamiflu) from ethyl benzoate. Angew.Chem. Int. Ed. 2009, 48, 4229–4231. [Google Scholar]
- Gupta, P.; Pal, A.P.J.; Reddy, Y.S.; Vankar, Y.D. Synthesis of aminocyclitols and trihydroxylated indolizidinone from a D-mannitol-derived common building block. Eur. J. Org. Chem. 2011, 2011, 1166–1175. [Google Scholar]
- Ahmad, S.; Thomas, L.H.; Sutherland, A. Stereoselective synthesis of polyhydroxylated aminocyclohexanes. Org. Biomol. Chem. 2011, 9, 2801–2808. [Google Scholar]
- Harrak, Y.; Barra, C.M.; Delgado, A.; Castaña, A.R.; Llebaria, A. Galacto-configured aminocyclitol phytoceramides are potent in vivo invariant natural killer T cell stimulators. J. Am. Chem. Soc. 2011, 133, 12079–12084. [Google Scholar]
- Díaz, L.; Casas, J.; Bujons, J.; Llebaria, A.; Delgado, A. New glucocerebrosidase inhibitors by exploration of chemical diversity of N-substituted aminocyclitols using click chemistry and in situ screening. J. Med. Chem. 2011, 54, 2069–2079. [Google Scholar]
- Díaz, L.; Bujons, J.; Casas, J.; Llebaria, A.; Delgado, A. Click chemistry approach to new N-substituted aminocyclitols as potential pharmacological chaperones for gaucher disease. J. Med. Chem. 2010, 53, 5248–5255. [Google Scholar]
- Kurbanoğlu, N.I.; Celik, M.; Kilic, H.; Alp, C.; Sahin, E.; Balci, M. Stereospecific synthesis of a DL-gala-aminoquercitol derivative. Tetrahedron 2010, 66, 3485–3489. [Google Scholar]
- Pandey, G.; Tiwari, K.N.; Puranik, V.G. Use of enantiomerically Pure 7-azabicyclo[2.2.1]heptan-2-ol as a chiral template for the synthesis of aminocyclitols. Org. Lett. 2008, 10, 3611–3614. [Google Scholar] [CrossRef]
- Hu, F.; Zhang, Y.-H.; Yao, Z.-J. Parallel synthesis of individual shikimic acid-like molecules using a mixture-operation strategy and ring-closing enyne metathesis. Tetrahedron Lett. 2007, 48, 3511–3515. [Google Scholar]
- Alegret, C.; Benet-Buchholz, J.; Riera, A. Stereodivergent syntheses of conduramines and aminocyclitols. Org. Lett. 2006, 8, 3069–3072. [Google Scholar]
- Donohoe, T.; Johnson, P.D.; Pye, R.J.; Keenan, M. Concise and enantioselective synthesis of the aminocyclitol core of hygromycin A. Org. Lett. 2005, 7, 1275–1277. [Google Scholar]
- Shih, T.-L.; Li, H.-Y.; Ke, M.-S.; Kuo, W.-S. Synthesis of a new family of aminocyclitols from D-(−)-quinic acid. Synth.Commun. 2008, 38, 4139–4149. [Google Scholar]
- Shih, T.-L.; Lin, Y.-L. Epoxidation of Protected (1,4,5)-cyclohex-2-ene-triols and their acid hydrolysis to synthesize quercitols from D-(−)-quinic acid. Synth.Commun. 2005, 35, 1809–1817. [Google Scholar]
- The crude mixture in reaction of molecule 1 by NaN3 was measured by NMR spectra. An unidentified molecule with approximated 1.6% amount of 3 was detected. We suspected it was the other regioisomer but we failed to isolate it from column chromatography. On the other hand, we did not detect other isomers in reaction of molecule 2. The moderate yields obtained of 3 and 4 from 1 and 2, respectively, were due to their slight decomposition during reactions.
- Payne, G.B. Epoxide migrations with a,β-epoxy alcohols. J. Org. Chem. 1962, 27, 3819–3822. [Google Scholar] [CrossRef]
- Behrens, C.H.; Sharpless, K.B. New transformations of 2,3-epoxy alcohols and related derivatives Easy routes to homochiral substances. Aldrichim. Acta 1983, 16, 67–79. [Google Scholar]
- The NMR data and optical rotation values of compounds 5 and 6 were reported to be dissolved in CDCl3 and MeOH, respectively (see reference 8). But, in general, these compounds and other related analogues are more soluble in D2O or CD3OD than in CDCl3. The NMR data and HRMS are satisfied for molecules 5 and 6.
- Sample Availability: Samples of the compounds 1−11 are available from the authors.
© 2012 by the authors; licensee MDPI, Basel, Switzerland. This article is an open-access article distributed under the terms and conditions of the Creative Commons Attribution license (http://creativecommons.org/licenses/by/3.0/).