Abstract
Indole alkaloids are the chemotaxonomic markers of the Aspidosperma genera. Those that have the simplest plumeran skeleton are classified as the precursors of biosynthetic routes and the intermediates for several synthetic reactions. This work aims to review the 1H and 13C-NMR data, up to 2011, describing the skeleton of 35 different plumeran indole alkaloids, from a group of 46 of them, and highlight the main spectral differences amongst them.
1. Introduction
The Apocynaceae family consists of 424 genera, divided into 17 tribes that are subdivided under five subfamilies: Rauwolfioideae, Apocynoideae, Asclepioideae, Periplocoideae and Secamonioideae [1]. About 400 species of Apocynaceae have been identified and grouped into 41 genera in Brazil, 78% of which are found only in the Amazonia region [2]. Several Apocynaceae are used for landscaping. These include the arboreal Tabernaemontana and Plumeria, the climbing Alamanda and Mandevilla, and the shrubby Catharanthus and Nerium [3]. The wood of some species is of particular commercial importance for local development. Species such as the popularly named “peroba” and “guatambu” are useful for making furniture and buildings [4].
The Aspidosperma genus is included in the Rauwolfioideae subfamily, Alstoniae tribe. The genus includes about 57 species, divided according to their chemotaxonomy into eight series—Rigida, Nitida, Quebranchines, Polyneura, Pyricolla, Nobile, Macrocarpa and Tomentosa, all of which are restricted to the American tropical and subtropical regions [5,6]. Aspidosperma is another genus of Apocynaceae of high commercial value due the good quality of its wood.
Some species are also used in folk medicine; the infusion of its stem barks is used to treat a number of diseases [7]. For example, the extracts of the Aspidosperma stem bark, are characterized by the presence of indole alkaloids with high structural diversity. These alkaloids are responsible for the many pharmacological effects known for the plant [8]. The experimental assays [9,10,11,12,13] involving A. ramiflorum Müll. Arg., A. pyrifolium Mart., A. megalocarpon Müll. Arg., A. macrocarpon Mart. and A. quebracho-blanco Schltdl. species, attest to their popular use as an antileishmanial and an antimalarial. Alkaloids found in root bark of A. ulei Markgr. were used to evaluate and prove pro-erectile effects [14,15]. A. subincanum Mart., used in folk medicine to treat Diabetes mellitus and hypercholesterolemia [16], was proven to have a low acute toxicity in in vivo tests, resulting in its characterization as a non-toxic treatment [17]. A. ramiflorum Müll. Arg. exhibited antibacterial activity against the standard strains of Gram-positive (Bacillus subtilis and Staphylococcus aureus) and Gram-negative (Escherichia coli and Pseudomonas aeruginosa) [18] bacteria. The extracts of several different parts of A. polyneuron Müll. Arg. were tested against a wide range of fungi; only the ethanolic extract of the stem was able to inhibit the growth of Cladosporium herbarum [19].
The structural diversity of the indole alkaloids can be classified by examining their biosynthetic origins. The occurrence of complex alkaloids containing indole moieties is restricted to a few families; the best sources appear in the Apocynaceae, Loganiaceae and Rubiaceae families [20]. The indole alkaloids are N-methyl derivatives of tryptophan, which has a terpenic unit that originates from the mevalonic acid pathway. The metabolic origins of the remaining portion consist of a chain of ten carbon atoms, the sub-architecture of which is useful for dividing indole alkaloids into three classes: Iboga, Corynanthe and Aspidosperma. Usually, the C9 or the C10 chain units are shown to be of a terpenoid origin and are identified as secologanins (secoiridoids) [20,21].
Each of the three classes mentioned can be subdivided again, giving rise to nine other subclasses (Figure 1), according to Danieli and Palmisano [22]. Vincadifformine (1), as well as tabersonine (which presents a double bond between C-14 and C-15) are of Aspidosperma type. However, the loss of the carbon atom linked to C-16 (indicated by a circle and corresponding to the carboxylate function of secologanin) by hydrolysis/decarboxylation, originates most of the plumeran indole alkaloids [21].
The alkaloids isolated from Aspidosperma species have been exhaustively studied through phytochemical prospection, synthesis and semi-synthesis [23,24,25,26], as well the expression of secondary metabolites in cell cultures [27].
This work presents a review of the literature describing the 1H and 13C-NMR data of 35 alkaloids with a simplest plumeran skeleton. This alkaloid subclass was chosen for their structural diversity (the basic ring skeleton is representative of a large number of natural compounds) and the review of Pereira et al. (2007) [2] was adopted as a guideline. In this referred work, the criterion of classification is the same as that adopted by Manske [28]. Some structures (nomenclature and structure) were adjusted based on the literature.
Figure 1.
Subclasses of indole alkaloids.
Figure 1.
Subclasses of indole alkaloids.

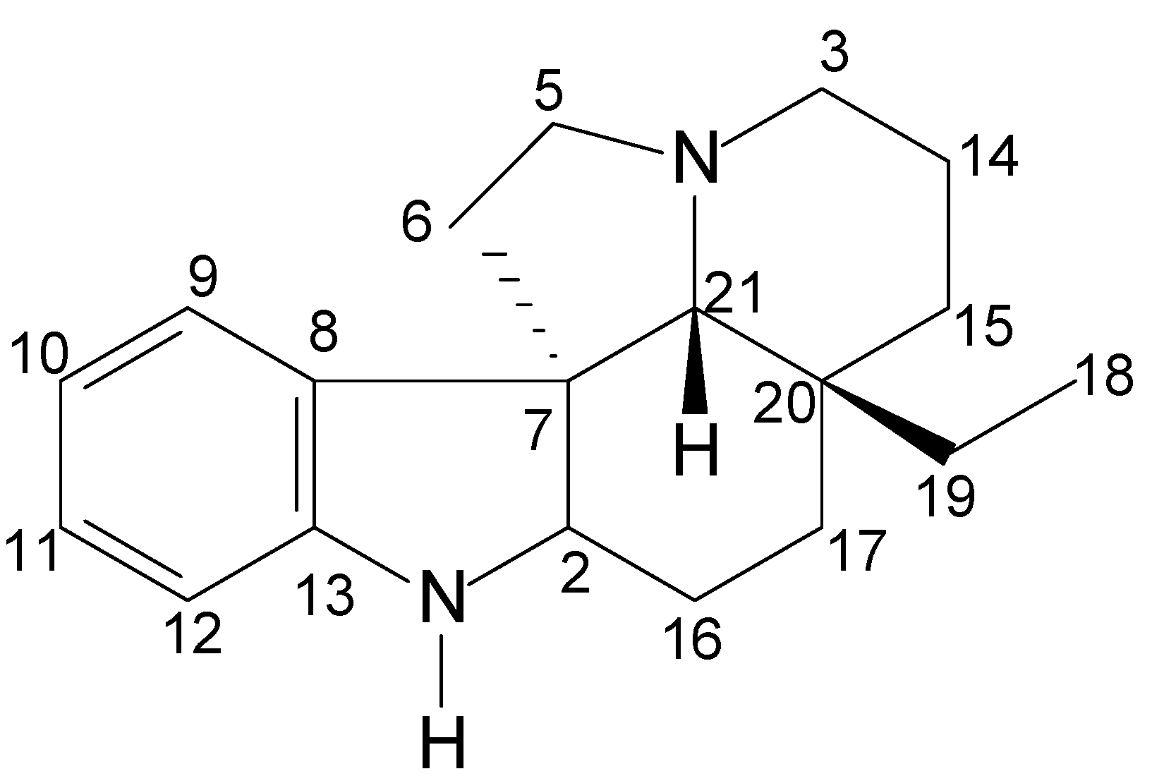
The numbering of the structures in this work followed the method proposed by Le Men and Taylor (Figure 2) [20]. In many cases, it was not possible to obtain the NMR data, because the compounds’ structures were elucidated by other techniques (Infrared—IR, Ultraviolet—UV, Mass Spectrometry—MS).
Figure 2.
Numbering of the structure proposed by Le Men and Taylor [20].
Figure 2.
Numbering of the structure proposed by Le Men and Taylor [20].

Table 1 lists the alkaloids, the respective plant origin and the spectral data available for each. The alkaloids listed are shown in Figure 3, Figure 4 and Figure 5.
Table 1.
Plumeran indole alkaloids isolated from Aspidosperma.
| Alkaloid | Species [2] | Data |
|---|---|---|
| (−)-Vincadifformine (1) | A. macrocarpon, A. pyrifolium | 1H-NMR [29], 13C-NMR [30] |
| Fendlispermine (2) | A. fendleri | * |
| Spegazzinine (3) | A. chakensis | 1H-NMR [31] |
| Spegazzinidine (4) | A. chakensis | 1H-NMR [31] |
| 1,2-Dehydroaspidospermidine (5) | A. neblinae, A. quebracho-blanco | 1H-NMR, 13C-NMR [32] |
| 1,2-Dehydro- N-deacetyl-aspidospermin (6) | A. neblinae | IR, UV, MS [33] |
| (+)-Pyrifolidine (7) | A. cylindrocarpon, A. neblinae, A. pyrifolium,A. refractum, A. quebracho-blanco | 1H-NMR, 13C-NMR [32] |
| (+)-Aspidospermine (8) | A. album, A. australe, A. exalatum, A. peroba,A. polyneuron, A. pyricollum, A. pyrifolium,A. quebracho-blanco, A. quirandy, A. sessiflorum, A. rhombeosignatum | 1H-NMR, 13C-NMR [34,35] |
| 15-Methoxyaspidospermine (9) | A. pyrifolium | 1H-NMR, 13C-NMR [32] |
| Aspidospermidine (10) | A. neblinae, A. quebracho-blanco, A. pyrifolium, A. rhombeosignatum | GC/MS [36,37] |
| Deacetylaspidospermine (11) | A. neblinae, A. polyneuron, A. pyrifolium,A. quebracho-blanco | 1H-NMR [38] |
| (+)- O-Demethylaspidospermine (12) | A. discolor, A. eburneum, A. excelsum,A. neblinae, A. pyricollum | 1H-NMR [39] |
| N-Methyl-deacetylaspidospermine (13) | A. quebracho-blanco | MS [40] |
| Demethoxyaspidospermine (14) | A. discolor, A. macgravianum, A. neblinae, A. pyrifolium | 1H-NMR [39] |
| Aspidosine (15) | A. quebracho-blanco | IR, MS [41] |
| 10-Methoxy-aspidospermidine (16) | A. pyrifolium | 1H-NMR, 13C-NMR [42] |
| Demethoxypalosine (17) | A. discolor, A. exalatum, A. limae,A. rhombeosignatum | MS [39] |
| Palosine (18) | A. polyneuron, A. pyrifolium | 1H-NMR, 13C-NMR [42] |
| O-Demethylpalosine (19) | A. exalatum, A. limae, A. pyrifolium | 1H-NMR [43] |
| Aspidocarpine (20) | A. album, A. formosanum, A. limae,A. marcgravianum,A.megalocarpon | 1H-NMR, 13C-NMR [44] |
| O-Demethylaspidocarpine (21) | A. album, A. cuspa, A. melanocalyx | 1H-NMR [45] |
| Deacetylpyrifolidine (22) | A. neblinae, A. quebracho-blanco | GC/MS [46] |
| 15-Methoxypyrifolidine (23) | A. pyrifolium | 1H-NMR, 13C-NMR [32] |
| Aspidolimine (24) | A. limae, A. obscurinervium | 1H-NMR [47] |
| N-Propionyl-16,17-dihydroxyaspidospermidine (25) | A. melanocalyx | GC/MS [48] |
| N-formyl-aspidospermidine (26) | A. pyrifolium | ** [49] |
| N-Methylaspidospermidine (27) | A. quebracho-blanco | 1H-NMR, 13C-NMR [50] |
| Limaspermine (28) | A. limae | 1H-NMR [51] |
| 11-Methoxylimaspermine (29) | A. album | 1H-NMR [52] |
| Limaspermidine (30) | A. rhombeosignatum | MS [53] |
| Limapodine (31) | A. album, A. limae, A. marcgravianum | 1H-NMR [52] |
| 11-Methoxylimapodine (32) | A. limae | 1H-NMR [52] |
| Cylindrocarpinol (33) | A. cylindrocarpon | IR, MS [54] |
| N-Formylcilindrocarpinol (34) | A. cylindrocarpon | 1H-NMR [55] |
| N-Acetylcylindrocarpinol (35) | A. cylindrocarpon | 1H-NMR [25] |
| Cylindrocarine (36) | A. cylindrocarpon | 1H-NMR[23,25], 13C-NMR [23] |
| 19-Hidroxycylindrocarine (37) | A. cylindrocarpon | 1H-NMR [54] |
| Cylindrocarpidine (38) | A. cylindrocarpon | 1H-NMR [25], 13C-NMR [32] |
| Cylindrocarpine (39) | A. cylindrocarpon | 1H-NMR [56] |
| N-Methyl-cylindrocarine (40) | A. cylindrocarpon | 1H-NMR [55] |
| N-Formyl-cylindrocarine (41) | A. cylindrocarpon | 1H-NMR, 13C-NMR [23] |
| N-Benzoylcylindrocarine (42) | A. cylindrocarpon | 1H-NMR [55] |
| 12-Demethoxy- N-acetylcylindrocarine (43) | A. cylindrocarpon | 1H-NMR, 13C-NMR [23] |
| N-Dihydrocinamoil-19-hydroxy-cylindrocarine (44) | A. cylindrocarpon | 1H-NMR [55] |
| N-Formyl-19-hydroxycylindrocarine (45) | A. cylindrocarpon | 1H-NMR [23] |
| N-Cinnamoyl-19-hidroxycylindrocarine (46) | A. cylindrocarpon | 1H-NMR [23] |
* Data not found; ** The alkaloid was identified by comparison, after the acetylation of aspidospermidine.
Figure 3.
Plumeran indole alkaloids: methyl-β-anilineacrylate (1), fendlispermine (2), spegazzinine (3 and 4), aspidospermidine (5 and 6) and pyrifolidine (7 to 9) skeletons [28].
Figure 3.
Plumeran indole alkaloids: methyl-β-anilineacrylate (1), fendlispermine (2), spegazzinine (3 and 4), aspidospermidine (5 and 6) and pyrifolidine (7 to 9) skeletons [28].

Figure 4.
Plumeran indole alkaloids: Aspidospermine (10 to 19) and Aspidoscarpine (20 to 27) types [28].
Figure 4.
Plumeran indole alkaloids: Aspidospermine (10 to 19) and Aspidoscarpine (20 to 27) types [28].

Figure 5.
Plumeran indole alkaloids: Limaspermine (28 to 35) and Cylindrocarine (36 to 46) skeletons [28].
Figure 5.
Plumeran indole alkaloids: Limaspermine (28 to 35) and Cylindrocarine (36 to 46) skeletons [28].

Table 2 shows the 1H-NMR data of some alkaloids. The remarkable feature is the typical aspidospermine signals of hydrogen linked to CH-2, whose chemical shift remains at δH 4.5. The multiplicity of this signal, a double-doublet, reveals the spin coupling of H-2 with the two hydrogen atoms at CH2-16 unsubstituted. This pattern is present in almost all alkaloids, except for those substituted in C-16vincadifformine (1, with double bond between C-2 and C-16) [30], spegazzinine (3) and spegazzinidine (4) [31], and also 1,2-dehydroaspidospermidine (5) and 1,2-dehydro-N-deacetyl-aspidospermin (6), although the NMR data for the latter is not available.
Table 2.
1H-NMR data (in CDCl3) for the plumeran indole alkaloids from Aspidosperma species. (Multiplicities, J, in parenthesis).
| Hydrogens | Compound/ δH (ppm), JH (Hz) | ||||
|---|---|---|---|---|---|
| 1 | 3 | 4 | 5 | 7 | |
| 2 | - | 4.05 ( d, 8.0) | 4.05 ( d, 8.0) | - | 4.60 (1H, s) |
| 3 | 3.18 (1H, m)2.48 (1H, dd, 13.2; 3.3) | 3.02 (1H, d, 11.0)1.96 (1H, m) | |||
| 5 | 3.20 (1H, m)2.80 (ddd, 10.2; 3.3) | 3.10 (1H, dt, 8.0)2.20 (1H, m) | |||
| 6 | 2.18 (1H, m)1.56 (1H, m) | 2.00 (1H, m)1.56 (1H, m) | |||
| 9 | 6.74–7.5 (4H, m) | 6.57 (2H, m) | ≈7.0 (3H, m) | 7.35 (1H, d, 8.0) | 6.83 (1H, d, 8.6) |
| 10 | 6.74–7.5 (4H, m) | 6.57 (2H, m) | ≈7.0 (3H, m) | 7.25–7.30 (1H, m) | 6.64 (1H, d) |
| 11 | 6.74–7.5 (4H, m) | ≈7.0 (3H, m) | 7.25–7.30 (1H, m) | ||
| 12 | 6.74–7.5 (4H, m) | 7.53 (1H,d, 8.0) | |||
| 14 | 1.86 (2H, dq, 12.9)1.52 (1H, m) | 1.73 (1H, 4.0)1.51 (1H, m) | |||
| 15 | 1.58 (1H, m)1.0 (1H, dt, 13.5; 2.7) | 1.64 (1H, m)1.08 (1H, m) | |||
| 16 | 2.60 (1H, m)3.1 (1H, ddd) | 1.54 (1H, m)1.80 (1H, m) | |||
| 17 | 1.28 (1H, m)1.47 (1H, m) | 1.08 (1H, m)2.02 (1H, m) | |||
| 18 | 0.75 (3H, t) | 0.75 (3H, t) | 0.50 (3H, t, 6.9) | 0.63 (3H, t, 7.3) | |
| 19 | 0.65 (2H, q, 6.9) | 0.81 (1H, q, 6.9)1.25 (1H, m) | |||
| 21 | 8.96 (1H, br s) | 2.42 (1H, s) | 2.18 (1H, s) | ||
| 11-OCH3 | 3.98 (3H, s) | ||||
| 12-OCH3 | 3.78 (3H, s) | ||||
| 15-OCH3 | |||||
| COCH3 | 2.48 (3H, s) | 2.48 (3H, s) | 2.15 (3H, s) | ||
| COOCH3 | 3.76 (3H, s) | ||||
| OH (C11) | - | 5.84 (1H, m) | |||
| OH (C12) | 11.1 (1H, s) | 11.1 (1H, s) | |||
| OH (C16) | 7.3 (1H, s) | 7.3 (1H, s) | |||
| 1.6–3.6 (18H, complex m) | |||||
| Hydrogens | Compound/ δH (ppm), JH (Hz) | ||||||
|---|---|---|---|---|---|---|---|
| 8 | 9 | 11 | 12 | 14 | 16 | 18 | |
| 2 | 4,5 (1H, m) | 4.70 (1H, q) | 3.48 ( q, 6; 10) | 4.07 ( q, 6; 10) | 4.08 (1H, q, 6, 10) | 3.6 ( dd, 6.2, 11) | 4.5 ( m) |
| 3 | 3.0 ( brd, 10.7) 1.9 (m) | 3.28 (1H, m) 2.22 (1H) | 3.0 ( dt, 13.1, 4.1) 1.95 (dd, 2.9, 10.7) | 3.0 ( brd, 10.7) 2.05–1.9 (m) | |||
| 5 | 3.11 ( td, 9, 3.2) 2.25 (m) | 3.48 (1H, m) 2.40 (m, 13.8) | 3.1 ( td, 7.6, 2.8) 2.3 (m) | 3.1 ( td, 9, 3.2) 2.25 (m) | |||
| 6 | 2.05 ( m) 1.55 (m) | 2.20 (1H, m) 1.80 (1H, m) | 2.4 ( m) 1.5 (m) | 2.05–1.9 ( m) 1.6–1.35 (m) | |||
| 9 | 6.83 ( d, 8.7) | 6.82 (2H, 8.0) | 6.56 (3H, m) | 6.9 (3H, m) | 7.17 (3H, m) | 6.75 ( d, 1.7) | 6.83 ( d, 8.7) |
| 10 | 7.07 ( t, 8.7) | 7.08 (1H, d, 8.0) | 6.56 (3H, m) | 6.9 (3H, m) | 7.17 (3H, m) | 7.07 ( t, 8.7) | |
| 11 | 6.8 ( d, 8.7) | 6.82 (2H, 8.0) | 6.56 (3H, m) | 6.9 (3H, m) | 7.17 (3H, m) | 6.6 ( dd, 1.7, 7) | 6.8 ( d, 8.7) |
| 12 | 8.13 (1H, ) | 6.7 ( d, 7) | |||||
| 14 | 1.73 ( qt, 13.4) 1.5 (brd, 13) | 2.0 (1H) 1.60 (1H, m) | 1.8 ( qt, 13.1, 4.0) 1.5 (m) | 1.7 ( qt, 13, 4) 1.6–1.35 (m) | |||
| 15 | 1.6 ( m) 1.05 (m) | 3.22 ( m, 14.5, 7.0) | 1.6 ( m) 1.2 (dd, 4.5, 13.4) | 1.6–1.35 ( m) 1.3–1.05 (m) | |||
| 16 | 1.95 ( m) 1.35 (m) | 1.30 (1H, m) 2.04 (1H, m) | 1.6 ( m) 1.4 (dt, 14.0, 3.4) | 2.05–1.9 ( m) 1.6–1.35 (m) | |||
| 17 | 2.0 ( m) 1.1 (m) | 1.10 (1H, dq, 14.7) 2.18 (1H, m) | 2.0 ( dd, 2.6, 12.3) 1.1 (dt, 12.6, 2.5) | 2.05–1.9 ( m) 1.3–1.05 (m) | |||
| 18 | 0.6 ( t, 7.1) | 0.63 (3H, t, 6.9) | 0.6 (3H, t, 6) | 0.72 (3H, t) | 0.73 (3H, t) | 0.7 ( t, 7.3) | 0.6 ( t, 7) |
| 19 | 1.2 ( dq, 14, 7.1) 0.8 (dq, 14, 7.1) | 0.75 (1H, q, 6.9) 1.22 (1H, m) | 1.5 ( m) 0.9 (dq, 14.3, 7.3) | 1.3–1.05 ( m) 0.8 (dq, 14, 7) | |||
| 21 | 2.23 (1H, s) | 2.20 (1H, s) | 2.16 (1H, s) | 2.28 (1H, s) | 2.2 (1H, s) | 2.2 ( s) | |
| 10-OCH3 | 3.8 (3H, s) | ||||||
| 12-OCH3 | 3.87 (3H, s) | 3.90 (3H, s) | 3.78 (3H, s) | 3.87 ( s) | |||
| 15-OCH3 | 3.33 (3H, s) | ||||||
| COCH3 | 2.2 (3H, s) | 2.22 (3H, s) | - | 2.32 (3H, s) | 2.27 (3H, s) | ||
| COCH2CH3 | 2.6 ( dq, 13, 6.5) 2.4 (m) | ||||||
| COCH2CH3 | 1.3 ( t, 6.5) | ||||||
| OH | 10.83 ( s) | ||||||
| NH | 3.35 (1H, s) | ||||||
| Hydrogens | Compound/ δH (ppm), JH (Hz) | ||||||
|---|---|---|---|---|---|---|---|
| 19 | 20 | 21 | 23 | 24 | 27 | 28 | |
| 2 | 4.07 ( q, 6, 10) | 4.07 ( dd, 11, 6) | 4.0 (1H, q, 5) | 4.71 (1H, q) | 4.12 (1H, q) | 3.4 ( dd, 5.5, 9) | 4.12 (1H, q) |
| 3 | 1.98 ( td, 12, 4) 3.04 (dm, 12) | 3.26 (1H, m) 2.20 (1H) | 3.1–3.05 ( m) 1.8–2.0 (m) | ||||
| 5 | 2.27 ( m), 3.12 (m) | 3.48 (1H, m) 2.40 (m, 13.8) | 3.1–3.05 ( m) 2.3 (m) | ||||
| 6 | 1.57 ( m), 2.04 (m) | 2.20 (1H, m) 1.80 (1H, m) | 2.3 ( m) 1.4–1.55 (m) | ||||
| 9 | 6.78 ( m, 8) | 6.61 ( d, 8) | 6.36 ( s) | 6.65 (1H, d, 8.0) | 6.65 (2H, q, 8) | 7.0 ( d, 7.5) | 6.92 (3H, m) |
| 10 | 6.77 ( m, 7) | 6.69 ( d, 8) | 6.36 ( s) | 6.82 (1H, d, 8.0) | 6.65 (2H, q, 8) | 6.6 ( dt, 1, 7.5) | 6.92 (3H, m) |
| 11 | 7.02 ( m, 1.5) | 7.05 ( dt, 1, 7.5) | 6.92 (3H, m) | ||||
| 12 | 6.35 ( d, 7.5) | ||||||
| 14 | 1.72 ( tm, 12) 1.53 (dm, 12) | 2.10 (1H) 1.52 (1H, m) | 1.75 ( m) 1.4–1.55 (m) | ||||
| 15 | 1.11 ( td, 12, 4) 1.65 (dt, 12, 4) | 3.22 ( m, 14, 7) | 1.65 ( m) 1.1–1.2 (m) | ||||
| 16 | 1.86 ( m) 1.52 (m) | 1.25 (1H, m) 2.0 (1H, m) | 1.75 ( m) 1.25 (m) | ||||
| 17 | 2.00 ( td, 12, 14) 1.15 (dm, 12) | 1.00 ( dq, 14.7) 2.15 (1H, m) | 1.8-2.0 ( m) 1.1–1.2 (m) | ||||
| 18 | 0.59 ( t, 14) | 0.63 ( t, 7.5) | 0.7 ( t, 4) | 0.63 (3H, t) | 0.62 (3H, t, 6) | 0.6 ( t, 7.5) | 3.52 ( t, 2H, 7) |
| 19 | 0.93 ( m), 1.44 (m) | 0.76 (1H, q, 7.2) 1.30 (1H, m) | 0.85 ( dq, 14.5, 7.5) 1.4–1.55 (m) | ||||
| 21 | 2.25 ( s) | 2.28 (1H, s) | 2.2 ( s) | ||||
| 11-OCH3 | 3.88 ( s) | 3.90 (6H, s) | 3.88 (3H, s) | ||||
| 12-OCH3 | 3.90 (6H, s) | ||||||
| 15-OCH3 | 3.22 (3H, s) | ||||||
| COCH3 | 2.33 ( s) | 2.25 ( s) | 2.25 (3H, s) | ||||
| COCH2CH3 | 2.53 ( q, 14) | 2.57 (2H, q, 7) | 2.57 (2H, q, 7.5) | ||||
| COCH2CH3 | 1.24 ( t, 14.2) | 1.25 (3H, t, 7) | |||||
| Ph-OH | 10.86 ( s) | 10.98 ( s) | 10.85 (1H, s) | 10.98 (1H, s) | 10.88 (1H, s) | ||
| N-CH3 | 2.75 ( s) | ||||||
| 0.3–3.2 (17 hydrogens) | |||||||
| Hydrogens | Compound/ δH (ppm), JH (Hz) | |||||||
|---|---|---|---|---|---|---|---|---|
| 29 | 31 | 32 | 34 | 35 ** | 36 ** | 37 | 38 ** | |
| 2 | 4.1 ( q) | 4.1 (1H, q) | 4.07 ( q) | * | 5.5 (1H, bq, 5) | 6.7–6.95 ( m) | 3.60 (1H, m) | 5.4 (1H, m) |
| 3 | ||||||||
| 5 | 6.8–7.1 (2H, m) | 6.7–6.95 ( m) | 6.5–7.0 (2H, m) | |||||
| 6 | ||||||||
| 9 | 6.5–6.9 (2H, q, 8) | 6.58–7.25 (3H, m) | 6.5–6.9 (2H, q, 8) | 6.6–7.1 (3H, m) | 7.75 (3H, m) | 6.8–6.61 (3H, m) | 6.55–6.93 (3H, m) | 7.57 (3H, m) |
| 10 | 6.5–6.9 (2H, q, 8) | 6.58–7.25 (3H, m) | 6.5–6.9 (2H, q, 8) | 6.6–7.1 (3H, m) | 7.75 (3H, m) | 6.8–6.61 (3H, m) | 6.55–6.93 (3H, m) | 7.57 (3H, m) |
| 11 | 6.58–7.25 (3H, m) | 6.6–7.1 (3H, m) | 7.75 (3H, m) | 6.8–6.61 (3H, m) | 6.55–6.93 (3H, m) | 7.57 (3H, m) | ||
| 12 | ||||||||
| 14 | ||||||||
| 15 | ||||||||
| 16 | ||||||||
| 17 | ||||||||
| 18 | 3.55 (2H, t, 7) | 3.53 (2H, t, 7) | 3.53 (2H, t, 7) | |||||
| 19 | 6.47 (2H, bt, 7) | 4.31 (1H, d, 6) | ||||||
| 21 | 2.5 ( s) | * | * | 2.85–3.3 (1H, s) | 3.2–3.4 | 2.93 (1H, s) | 2.8–3.2 (1H, s) | |
| 11-OCH3 | 3.87 ( s) | 3.87 ( s) | ||||||
| 12-OCH3 | 2.30 (3H, s) | 6.15 (3H, s) | 6.18 (3H, s) | 3.79 (3H, s) | 6.13 (3H, s) | |||
| 18-OCH3 | 3.88 (3H, s) | |||||||
| N-COCH3 | 2.32 ( s) | 2.32 ( s) | 7.84 (3H, s) | 7.80 (3H, s) | ||||
| N-COCH2CH3 | 2.57 ( q, 7.5) | |||||||
| N-COCH2CH3 | 1.27 ( t, 7.5) | |||||||
| N-COOCH3 | 6.44 (3H, s) | 6.44 (3H, s) | ||||||
| N-CHO | 9.3 (1H, s) | |||||||
| Ph-OH | 10.95 (1H, s) | 10.87 (1H, s) | 10.95 (1H, s) | |||||
| C-19-OH | 2.74 (1H, d, 6) | |||||||
| 7.6–9.2 (15H, m) | 7.4–8.9 (14H, m) | 7.5–9.1 (14H, m) | ||||||
| Hydrogens | Compound/ δH (ppm), JH (Hz) | |||||||
|---|---|---|---|---|---|---|---|---|
| 39 | 40 | 41 | 42 | 43 | 44 | 45 | 46 | |
| 2 | 4.50 (1H, m) | 3.9–4.1 (1H, q) | 4.54 (1H, dd, 10.5, 6.1) | 4.24–4.44 (1H, q) | 4.04 (1H, dd, 10.8, 8) | 4.35–4.6 (1H, q) | * | 4.50–4.70 (1H, q) |
| 3 | ||||||||
| 5 | 3.07 (2H, m) | 3.3-2.95 (2H, m) | ||||||
| 6 | ||||||||
| 9 | 6.56–6.75 (3H, m) | 7.1–6.72 (3H, m) | 6.6–7.6 (8H, m) | 7.3–6.9 (3H, m) | 6.7–7.2 (8H, m) | 6.6–7.3 (3H, m) | 6.8–7.6 (8H, m) | |
| 10 | 6.56–6.75 (3H, m) | 7.1–6.72 (3H, m) | 6.6–7.6 (8H, m) | 7.3–6.9 (3H, m) | 6.7–7.2 (8H, m) | 6.6–7.3 (3H, m) | 6.8–7.6 (8H, m) | |
| 11 | 6.56–6.75 (3H, m) | 7.1–6.72 (3H, m) | 6.6–7.6 (8H, m) | 7.3–6.9 (3H, m) | 6.7–7.2 (8H, m) | 6.6–7.3 (3H, m) | 6.8–7.6 (8H, m) | |
| 12 | 8.12 (1H, m) | |||||||
| 14 | ||||||||
| 15 | ||||||||
| 16 | ||||||||
| 17 | ||||||||
| 18 | ||||||||
| 19 | 3.98 (1H, s) | 4.19 (1H, s) | 4.06 (1H, s) | |||||
| 21 | 2.48 (1H, s) | 2.46 (1H, s) | 2.50 (1H, s) | 2.53 (1H, s) | 2.99 (1H, s) | 3.00 (1H, s) | ||
| 12-OCH3 | 3.89 (3H, s) | 3.53 (3H, s) | 3.56 (3H, s) | 3.37 (3H, s) | 2.26 (3H, s) | 3.80 (3H, s) | 3.86 (3H, s) | 3.79 (3H, s) |
| COOCH3 | 3.89 (3H, s) | 3.75 (3H, s) | 3.88 (3H, s) | 3.56 (3H, s) | 3.57 (3H, s) | 3.86 (3H, s) | 3.89 (3H, s) | 3.89 (3H, s) |
| C-19-OH | ||||||||
| N-Me | 3.04 (3H, s) | |||||||
| N-CHO | 9.30 (1H, s) | |||||||
| CH=CHPh | 7.85 (1H, d) | 7.70 (1H, d, 16) | ||||||
| CH=CHPh | 6.88 (1H, d) | 6.74 (1H, d, 16) | ||||||
| 2.4–1.2 (15H, m) | 2.5–1.2 (14H, m) | |||||||
* Data not provided; ** The data of the chemical shifts amongst the CH-21 and the aromatic hydrogens were originally exchanged, and were corrected.
Table 3.
13C-NMR data (in CDCl3) for the plumeran indole alkaloids from Aspidosperma species.
| Carbons | Compound/ δC (ppm) | |||||||||||||
|---|---|---|---|---|---|---|---|---|---|---|---|---|---|---|
| 1 | 5 | 7 | 8 | 9 | 16 | 18 | 20 | 23 | 27 | 36 | 38 | 41 | 43 | |
| 2 | 167.8 | 193.0 | 69.6 | 64.0 | 66.0 | 66.0 | 69.4 | 70.3 | 69.6 | 71.6 | 65.4 | 68.7 | 63.6 | 67.6 |
| 3 | 51.7 | 51.8 | 53.5 | 53.5 | 52.8 | 53.7 | 53.6 | 53.7 | 52.9 | 53.7 | 53.6 | 53.2 | 52.8 | 53.0 |
| 5 | 50.7 | 54.4 | 52.6 | 52.4 | 52.8 | 53.0 | 52.5 | 52.4 | 52.8 | 52.9 | 52.7 | 52.0 | 52.1 | 52.2 |
| 6 | 44.3 | 34.9 | 38.2 | 38.0 | 37.1 | 38.4 | 37.9 | 39.4 | 38.4 | 38.9 | 37.9 | 37.4 | 39.4 | 39.3 |
| 7 | 55.0 | 58.1 | 52.6 | 52.4 | 53.7 | 54.1 | 52.5 | 52.2 | 52.6 | 52.4 | 54.3 | 53.2 | 53.4 | 53.5 |
| 8 | 138.0 | 147.2 | 143.4 | 128.0 | 143.3 | 136.6 | 125.9 | 133.1 | 143.4 | 137.0 | 138.9 | 142.0 | 140.3 | 137.4 |
| 9 | 121.0 | 121.7 | 117.7 | 115.4 | 115.3 | 115.3 | 115.4 | 112.4 | 117.7 | 122.0 | 115.4 | 115.2 | 115.9 | 124.3 |
| 10 | 120.5 | 125.3 | 108.8 | 125.9 | 126.2 | 146.0 | 125.9 | 110.0 | 108.8 | 117.0 | 197.8 | 126.3 | 124.8 | 122.3 |
| 11 | 127.4 | 127.6 | 152.7 | 110.0 | 111.8 | 108.8 | 111.2 | 149.4 | 152.7 | 127.2 | 109.6 | 115.5 | 111.0 | 127.9 |
| 12 | 109.3 | 120.2 | 152.7 | 148.0 | 149.5 | 119.5 | * | 137.5 | 152.7 | 106.4 | 146.2 | 149.0 | 148.6 | 118.6 |
| 13 | 143.4 | 154.5 | 141.0 | 130.1 | 138.3 | * | 127.5 | 129.5 | 150.5 | 135.5 | 129.4 | 127.8 | 141.1 | |
| 14 | 22.2 | 21.7 | 21.3 | 21.5 | 24.0 | 21.8 | 21.6 | 21.5 | 24.4 | 21.9 | 21.8 | 21.3 | 21.6 | 21.6 |
| 15 | 32.9 | 32.9 | 34.6 | 34.1 | 75.5 | 34.5 | 34.2 | 34.0 | 75.5 | 34.4 | 35.3 | 42.3 | 35.1 | 34.8 |
| 16 | 92.8 | 27.0 | 24.6 | 24.7 | 24.5 | 28.2 | 24.4 | 25.1 | 25.0 | 21.6 | 28.4 | 24.8 | 24.8 | 29.7 |
| 17 | 25.6 | 23.4 | 22.8 | 23.0 | 22.5 | 23.2 | 23.1 | 22.9 | 24.4 | 28.8 | 24.3 | 34.6 | 24.3 | 24.6 |
| 18 | 7.3 | 6.9 | 5.6 | 6.7 | 6.57 | 6.8 | 6.6 | 6.8 | 6.90 | 6.7 | 172.3 | 175.7 | 172.0 | 171.8 |
| 19 | 29.3 | 29.5 | 29.8 | 29.9 | 29.9 | 29.9 | 30.1 | 30.0 | 30.0 | 30.0 | 42.5 | 45.0 | 42.4 | 42.4 |
| 20 | 38.2 | 36.2 | 35.3 | 35.4 | 35.6 | 35.6 | 35.5 | 35.5 | 35.7 | 35.5 | 36.2 | 35.8 | 36.1 | 36.0 |
| 21 | 72.7 | 69.0 | 71.1 | 71.0 | 71.6 | 71.3 | 71.1 | 70.6 | 71.5 | 71.1 | 70.1 | 69.5 | 69.4 | 69.9 |
| N-COCH3 | 160.0 | 171.2 | 161.4 | 169.3 | 171.2 | 172.0 | 168.3 | |||||||
| N-COCH3 | 22.9 | 23.0 | 22.7 | 23.1 | 23.3 | 23.2 | ||||||||
| 11-OMe | 56.0 | 56.4 | 56.2 | |||||||||||
| 12-OMe | 56.0 | 55.3 | 53.5 | 55.2 | 55.6 | 56.2 | 55.4 | 55.4 | 55.6 | |||||
| 15-OMe | 56.3 | 56.4 | ||||||||||||
| COCH2CH3 | 28.1 | |||||||||||||
| COCH2CH3 | 10.1 | |||||||||||||
| N-CH3 | 31.4 | |||||||||||||
| N-CHO | 161.4 | |||||||||||||
| COOCH3 | 50.9 | 50.9 | 51.1 | 51.0 | 51.0 | |||||||||
| COOCH3 | 169.2 | |||||||||||||
* Data not provided.
2. Discussion
The structure of the alkaloid aspidospermine (8) has the basic ring skeleton typical of a large number of natural alkaloids. In addition to the characteristic signals for the aromatic methoxyl function, the 1H-NMR spectrum shows a very common pattern amongst the indole alkaloidsthe N-acetyl group, the C-20 ethyl side chain, and the lone hydrogen atom attached to CH-21, which is not split by any neighboring hydrogen [56].
Thus, the 1H and 13C-NMR spectra of the alkaloids with the plumeran skeleton present key characteristic signals of the typical aspidospermine pattern. The hydrogen linked at CH-2 shows a signal with a double-doublet multiplicity (due the low sensibility of the 1960’s NMR spectrometers, it was originally characterized as a quartet). This feature indicates that CH-2 hydrogen couples its spin with the two hydrogen atoms at C-16 [56]. The values for chemical shifts of the H-2 vary towards δH 4.5 in the 1H-NMR and the CH-2 appears as δC 66 in the 13C-NMR spectra.
For the main consulting reference molecule aspidospermine (8), the data relative to the hydrogen attached to CH-2 was missing [34] and did not appear on the spectra. Its presence was deduced by the signal of a methine carbon at δC 64 in the 13C spectrum. This information was then supplied by another source [35], to the best of our knowledge.
Note that for the alkaloids that present a substituent in C-16, there is a striking difference. Vincadifformine (1) is presented here as a precursor of the plumeran skeleton, by the loss of the carbon linked to C16, by a hydrolysis/decarboxylation reaction [21]. For this molecule, the presence of a double bond between C-2 and C-16 justify the absence of the signal of H-2 in the 1H-NMR. In the 13C-NMR, the chemical shift for C-2 appears at δC 167.8, what may be explained by the presence of the nitrogenous atom and by its conjugation with the carbonyl group, which is also the reason for the chemical shifts of the of the carbomethoxy at δC 169 and the carbon atom C-16 at δC 92.8, which is very characteristic of vincadifformine [30].
Spegazzinine (3) and spegazzinidine (4) are also substituted in C-16. The signal of H-2 in the 1H-NMR spectra appears as a doublet, due to the coupling of the hydrogen attached to CH-2 with the only hydrogen atom in CH-16. The assignments in the 1H-NMR spectrum for spegazzinine showed signals for three aromatic hydrogen atoms, an N-acetyl function and a C-ethyl group. The consulted bibliography did not provide detailed information regarding the orientation of the aromatic hydrogen atoms [31]. However, the nature of these hydrogens is better known today due to the modern techniques available, and it is now known that there are two doublets attributed to H-9 and H-11, thus revealing ortho interactions and one triplet corresponding to H-10. The 1H-NMR spectrum of spegazzinidine demonstrated a significant difference only in the region corresponding to aromatic hydrogens; the two aromatic hydrogens have an ortho interaction.
The relative configuration of the additional asymmetric center, C-16, in spegazzinine and spegazzinidine was defined because of the constant coupling (J = 8.0 Hz), a value typical of axial-axial hydrogens at CH-2 and CH-16 [31].
For 1,2-dehydroaspidospermidine (5), the presence of a non-substituted carbon at δC 193.0, assigned as C-2, linked to the indolic nitrogenous atom by a double bond, characterizes it as an indolenine system. As is the case of vincadifformine (1), the presence of a double bond between C-2 and N justify the absence of the signal of H-2 in the 1H-NMR. The aromatic hydrogens have the expected couplings for a non-substituted indolenine system: a doublet attributed to H-9 with chemical shift of δH 7.53, two multiplets attributed to H-10 and H-11 (each with a chemical shifts of δH 7.25), and a triplet attributed to C-12 with δH 6.17.
Another important feature is the displacement of the chemical shift of the H-12 at non-substituted aromatic ring, as was evident for the demethoxyaspidospermidine (14) and 12-demethoxy-N-acetylcylindrocarine (43). The displacement occurs due to the attenuation of the mesomeric effect of the nitrogenous atom by the presence of an acyl group. This, in addition to the anisotropic effect of the carbonyl group at CH-12 results in the deshielding of the hydrogens at CH-10 and CH-12.
The compounds 9 and 23, isolated and characterized by Oliveira [32] as new alkaloids, were not reported in the guideline literature [2]. For these two alkaloids, the presence of the methoxy group at CH-15 is deduced by the presence of chemical shifts at δH 3.22 (MeO-15) and at δC 75.5. This is a new substitution pattern observed among the Aspidosperma alkaloids.
Hitherto, all the structures have the same ethyl feature at the C-20 side chain. Due to the optical rotation [α]D, one- (1H-NMR, 13C-NMR-{1H}and 13C-NMR-DEPT or APT) and two-dimensional (homonuclear 1H-1H-COSY, and 1H-1H-NOESY; heteronuclear HMQC or HSQC-1JHC and HMBC-nJHC, n = 2 and 3) NMR experiments, the stereochemistry of this group and the absolute configuration of each of these molecules was well established.
Nevertheless, limaspermine (28) and related alkaloids 29 to 35 reveal the oxidative biotransformation of the methyl group present in the carbon atom C-20-ethyl substituent (C-20-CH2CH3) to yield C-20-CH2CH2OH, presenting an expressive difference at the lateral chain at C-20 [23,53]. The presence of these moieties in such structures may be recognized by a comparative analysis of the 1H-NMR spectra: –CH2CH3 deduced by triplet signal at δH 0.6 is attributed to the hydrogens of the methyl group (3H-18) and –CH2CH2OH is characterized by a triplet signal at δH 3.5 corresponding to the carbinolic hydrogens of the methylene CH2OH (2H-18). The 13C-NMR data for these compounds are not available, so the expected differences of the C-18 and the C-19 in the 13C-NMR spectrum can only be predicted, by considering the displacement that occurs to deshielded fields.
In the alkaloids 36 to 46 (Figure 5) the carbon atom C-20 sustains a –CH2COOMe containing a carbomethoxy group (COOMe), which may be explained by the additional oxidative biotransformation of CH2CH2OH to CH2COOH, which is then followed by a methylation reaction. The presence of the C-20-CH2COOMe can be recognized by 1H and 13C-NMR spectra as the anticipated modifications of the 1H and 13C chemical shifts. The singlet signal corresponding to the hydrogen of the methine carbon CH-21 demonstrates the influence induced by the proximity of the carbonyl group at C-20. This contributes to the signal displacement of the CH-21 hydrogen to δH 2.4 (s), which is different from the observed value of δH 2.23, found for aspidospermine [55]. The most impressive result involves the modifications observed by carbon atoms C-18 and CH2-19 in the 13C-NMR spectra: δC 171.0 and δC 42.0, respectively.
Data analysis suggests that for the alkaloids 35, 36 and 38, the values attributed to aromatics and the CH-21 hydrogens were exchanged. The chemical shifts for the aromatics remain towards δH 6.5–7.0 and for the hydrogen attached at CH-21 remains towards δH 2.2, in accordance with all the other compounds for the same series (36 to 46).
In regards to the aromatic hydrogens, it is important to notice that for the structures 42, 44, and 46, the aromatic signals are concerning 8 hydrogens—3 being part of the monosubstituted A ring and the other 5 of a benzyl substituent.
The expected differences associated with the N-acyl substituent also appear in the cylindrocarpidine (39) and its cynnamoyl derivative N-cynnamoyl-19-hydroxycylindrocarine (46). They exhibit the absence of the acetyl group and the appearance of lines relative to cynnamoyl system [55]. The coupling constant value (J = 16 Hz) observed in the olefinic signals of the 1H-NMR spectra was used to confirm the trans configuration of the double bond present in the cynnamoyl moiety [50].
3. Conclusions
The initial purpose of this work was to emphasize a review of the 1H and 13C-NMR spectral data for a small group of alkaloids in a discussion that would highlight the spectral differences amongst them. However, we observed that most of the literature data were reported in the 1960’s and the NMR data were incomplete or even unavailable. At that time, the structures of some alkaloids were elucidated on the basis on IR (Infrared) and/or UV (Ultraviolet) and/or MS (Mass Spectrometry) techniques, involving also chemical transformations, before the development of the NMR. Even in the beginning, the NMR spectra presented low sensitivity due to the limited equipment accuracy (frequently about 60 MHz).
Through the modern comparative analysis of 13C-NMR-{1H}- and DEPT- or APT-13C-NMR spectra, it becomes easier to differentiate, classify, and count the signals corresponding to quaternary, methane, methylene and methyl carbon atoms. The DEPTQ (Q = quaternary), appears as a new variation of DEPT for the inclusion of signals corresponding to quaternary carbon atoms. The basic skeleton of the plumeran alkaloids (non-substituted molecules) reveals the presence of four non-hydrogenated (two sp2 and two sp3), six methine (four sp2 aromatics and two sp3), eight methylene (all sp3) and one methyl carbon atoms, which may be recognized through this comparative analysis. Obviously, the modification of the numbers of CH, CH2 and CH3 by presence and type of substituent may be characterized with relative facility. This analysis in collaboration with high resolution mass spectrometry significantly contributes to the deduction of a molecular formula. And so, it is possible to classify an unknown alkaloidic molecule in terms of carbon patterns, which would to facilitate the elucidation of its molecular form. Also, the 2D NMR experiments (1H-1H-COSY, 1H-1H-NOESY, HMQC or HSQC and HMBC) are especially helpful to solve structural problems, allowing especially assignments of methylene groups that frequently appear in region revealing superimpose [34].
So, this work proposes that not only the chemical shifts for the CH-2 hydrogen (absent in the presence of a double bond between this carbon and the N-1δC 193.0 for C-2 as reveled by alkaloid 5), but also the assignments for the CH-21 and the ethyl group (and its biosynthetic derivatives) sustained by C-20, are the main spectrometric features that characterize the presence of the plumeran alkaloidic skeleton.
Acknowledgements
The authors are grateful to Fundação de Amparo à Pesquisa do Estado do Rio de Janeiro (FAPERJ) for grants and a research fellowship, to Conselho Nacional de Desenvolvimento Científico e Tecnológico (CNPq) and Coordenação de Apefeiçoamento de Pessoal de Ensino Superior (CAPES) for research fellowships. Also thanks to Mss. Shaadee Ahmadnia for the orthographic revising.
References and Notes
- Endress, M.E.; Bruyns, P.V. A revised classification of the Apocynaceae s.l. Bot. Rev. 2000, 66, 1–56. [Google Scholar] [CrossRef]
- Pereira, M.M.; Jácome, R.L.R.P.; Alcântara, A.F.C.; Alves, R.B.; Raslan, D.S. Alcalóides Indólicos Isolados de Espécies do Gênero Aspidosperma (APOCYNACEAE). Quim. Nova 2007, 30, 970–983. (in Portuguese). [Google Scholar] [CrossRef]
- CEAP Design. Apocynaceae. Available online: http://www.ceapdesign.com.br/familias_botanicas/ apocynaceae.html (accessed on 20 January 2010).
- UFRRJ—Universidade Federal Rural do Rio de Janeiro. Xiloteca. Available online: http://www.if.ufrrj.br/npqm/xiloteca/index.php (accessed on 20 January 2010).
- Bolzani, V.S.; Serur, L.M.; Matos, F.J.A.; Gottlieb, O.R. Indole alkaloids evolution in Aspidosperma. Biochem. Syst. Ecol. 1987, 15, 187–200. [Google Scholar] [CrossRef]
- Garcia, M.; Ruben, F.; Brown, K.S. Alkaloids of three Aspidosperma species. Phytochemistry 1976, 15, 1093–1095. [Google Scholar] [CrossRef]
- Oliveira, V.B.; Freitas, M.S.M.; Mathias, L.; Braz-Filho, R.; Vieira, I.J.C. Atividade Biológica e Alcalóides Indólicos de Gênero Aspidosperma (Apocynaceae): uma revisão. Rev. Bras. Pl. Med. 2009, 11, 92–99. (in Portuguese). [Google Scholar]
- Bourdy, G.; Oporto, P.; Gimenez, A.; Deharo, E. A search for bioactive compounds in Bolivia through a multidisciplinary approach. Part VI. Evaluation of the antimalarial activity of plants used by Isoceño-Guaraní Indians. J. Ethnopharmacol. 2004, 93, 269–277. [Google Scholar] [CrossRef]
- Ferreira, I.C.P.; Lonardoni, M.V.C.; Machado, G.M.C.; Leon, L.L.; Gobbi Filho, L.; Pinto, L.H.B.; Oliveira, A.J.B. Anti-leishmanial activity of alkaloidal extract from Aspidosperma ramiflorum. Mem. Inst. Oswaldo Cruz 2004, 99, 325–327. [Google Scholar] [CrossRef]
- Mitaine-Offer, A.C.; Sauvain, M.; Valentin, A.; Callapa, J.; Mallié, M.; Zèches-Hanrot, M. Antiplasmodial activity of Aspidosperma indole alkaloids. Phytochemistry 2002, 9, 1442–145. [Google Scholar]
- Mesquita, M.L.; Grellier, P.; Mambu, L.; Paula, J.E.; Espindola, L.S. In vitro antiplasmodial activity of Brazilian Cerrado plants used as traditional remedies. J. Etnopharmacol. 2007, 110, 165–170. [Google Scholar] [CrossRef]
- Weniger, B.; Robledo, S.; Arango, G.J.; Deharo, E.; Aragón, R.; Muñoz, V.; Callapa, J.; Lobstein, A.; Anton, R. Antiprotozoal activities of Colombian plants. J. Ethnopharmacol. 2001, 78, 193–200. [Google Scholar] [CrossRef]
- Bourdy, G.; Oporto, P.; Gimenez, A.; Deharo, E. A search for bioactive compounds in Bolivia through a multidisciplinary approach. Part VI. Evaluation of the antimalarial activity of plants used by Isoceño-Guaraní Indians. J. Ethnopharmacol. 2004, 93, 269–277. [Google Scholar] [CrossRef]
- Campos, A.R.; Lima, R.C.P., Jr.; Uchoa, D.E.A.; Silveira, E.R.; Santos, F.A.; Rao, V.S.N. Pro-erectile effects of an alkaloid rich fraction from Aspidosperma ulei root bark in mice. J. Ethnopharmacol. 2006, 104, 240–244. [Google Scholar] [CrossRef]
- Campos, A.R.; Cunha, K.M.A.; Santos, F.A.; Silveira, E.R.; Uchoa, D.E.A.; Nascimento, N.R.F.; RAO, V.S.N. Relaxant effects of an alkaloid-rich fraction from Aspidosperma ulei root bark on isolated rabbit corpus cavernosum. Int. J. Impot. Res. 2008, 20, 225–263. [Google Scholar]
- Souza, L.G.; Alves, N.M.; Paula, J.R.; Valadares, M.C.; Bara, M.T.F.; Cunha, L.C.; Garrote, C.F.D. Estudo Farmacognóstico de Aspidosperma subicanum Mart., Apocynaceae. Rev. Eletr. Farm 2005, 2, 210–213. (in Portuguese). [Google Scholar]
- Goloni, R.; Alves, N.M.; Garrote, C.F.D.; Paula, J.R.; Valadares, M.C.; Bara, M.T.F.; Cunha, L.C. Estudo da Toxicidade Aguda do Aspidosperma subcanium Martius. Rev. Eletr. Farm 2005, 2, 89–91. (in Portuguese). [Google Scholar]
- Tanaka, J.C.A.; Silva, C.C.; Oliveira, A.I.B.; Nakamura, C.V.; Dias Filho, B.P. Antibacterial activity of indole alkaloids from Aspidosperma ramiflorum. Braz. J. Med. Biol. Res. 2006, 39, 387–391. [Google Scholar] [CrossRef]
- Ferreira, D.T.; Silva, J.V., Jr.; Soeira, L.S.; Filho, L.A.Z.; Ishikawa, N.K.; Barbosa, A.M.; Yassumoto, L. Avaliação da atividade antifúngica dos extratos etanólicos de raiz, caule e folhas de Aspidosperma polyneuron. In XI Encontro de Química da Região Sul; SBQSUL: Pelotas, Rio Grande do Sul, Brazil, 2003. (in Portuguese) [Google Scholar]
- Le Men, J.; Taylor, W.I. A uniform numbering system for indole alkaloids. Experientia 1965, 21, 508–510. [Google Scholar]
- Dewick, P.M. Medicinal Natural Products: A Biosynthetic Approach,3rd ed.; John Wiley & Sons: Chippenham City, UK, 2009. [Google Scholar]
- Danieli, B.; Palmisano, G. Alkaloids from Tabernaemontana. In The Alkaloids; Brossi, A., Ed.; Academic Press: New York, NY, USA, 1986; pp. 1–130. [Google Scholar]
- Brennan, J.P.; Saxton, J.E. A new synthesis of the cylindrocarine group of alkaloids. Tetrahedron 1986, 42, 6719–6734. [Google Scholar] [CrossRef]
- Saxton, J.E.; Smith, A.J.; Lawton, G. Aspidosperma alkaloids: The total synthesis of (±)-N,O-diacetylcylindrocarpinol, (±)-cylindrocarine, (±)-cylindrocarpine, and (±)-cylindrocarpidine. Tetrahedron Lett. 1975, 47, 4161–4164. [Google Scholar]
- Lawton, G.; Saxton, J.E.; Smith, A.J. The synthesis of aspidosperma alkaloids containing a functional group at C-18; The total synthesis of (±)-N,O-diacetylcylindrocarpinol, (±)-cylindrocarine, (±)-cylindrocarpine, (±)cylindrocarpidine, and (±)-20-allyl-20-desethyl-20-epiaspidospermine. Tetrahedron 1977, 33, 1641–1653. [Google Scholar] [CrossRef]
- Hugel, G.; Royer, D.; Sigaut, F.; Lévy, J. Flow thermolysis rearrangements in the indole alkaloid series: 1,2-Dehydroaspidospermidine. J. Org. Chem. 1991, 56, 4631–4636. [Google Scholar] [CrossRef]
- Fumagali, E.; Gonçalves, R.A.C.; Machado, M.F.P.S.; Vidoti, G.J.; Oliveira, A.J.B. Produção de metabólitos secundários em cultura de células e tecidos de plantas: O exemplo dos gêneros Tabernaemontana e Aspidosperma. Rev. Bras. Farmacog. 2008, 18, 627–641. (in Portuguese). [Google Scholar] [CrossRef]
- Manske, R.H.F.; Rodrigo, R. The Alkaloids; Academic Press: New York, NY, USA, 1965. [Google Scholar]
- Kuehne, M.E.; Roland, D.M.; Hafter, R. Studies in biomimetic alkaloid syntheses. 2. Synthesis of vincadifformine from tetrahydro-β-carboline through a secodine intermediate. J. Org. Chem. 1978, 43, 3705–3710. [Google Scholar] [CrossRef]
- Wenkert, E.; Cochran, D.W.; Hagaman, E.W.; Schell, F.M.; Neuss, N.; Katner, A.S.; Potire, P.; Kan, C.; Plat, M.; Koch, M.; et al. Carbon-13 nuclear magnetic resonance spectroscopy of naturally occurring substances. XIX. Aspidosperma alkaloids. J. Am. Chem. Soc. 1973, 95, 4990–4995. [Google Scholar]
- Djerassi, C.; Brewer, H.W.; Budzikiewicz, H.; Orazi, O.O.; Corral, R.A. The structures of the Aspidosperma alkaloids spegazzinine and spegazzinidine. J. Am. Chem. Soc. 1962, 84, 3480–3485. [Google Scholar]
- Oliveira, A.J.B. Estudo de seis Espécies do Gênero Aspidosperma Utilizando GC, GC/MS e HPLC: Análise Qualitativa e Quantitativa. Teste Bioautográfico; Cultura de Tecidos e Células Vegetais e Rota de Preparação dos Compostos Diméricos Ramiflorina A e Ramiflorina B. PhD Thesis. Universidade Estadual de Campinas, Campinas—SP. 1999. [Google Scholar]
- Djerassi, C.; Gilbert, B.; Schoolery, J.N.; Johnson, L.F.; Biermann, K. Alkaloid studies XXVI. The constitution of pyrifolidine. Experientia 1961, 17, 162–163. [Google Scholar]
- Zèches, M.; Mesbah, K.; Richard, B.; Moretti, C.; Nuzillard, J.M.; Le Men-Olivier, L. Alkaloids from leaves and stems of Vallesia glabra. Planta Med. 1995, 61, 89–91. [Google Scholar] [CrossRef]
- Craveiro, A.A.; Matos, F.J.A.; Serur, L.M. Alkaloids of Aspidosperma pyrifolium. Phytochemistry 1983, 22, 1526–1528. [Google Scholar] [CrossRef]
- Schnoes, H.K.; Burlingame, A.L.; Biemann, K. Application of mass spectrometry to structure problems: The occurrence of eburnamenine and related alkaloids in Rhazya stricta and Aspidosperma quebracho-blanco. Tetrahedron Lett. 1962, 22, 993–999. [Google Scholar]
- Biemann, K.; Friedmann-Spiteller, M.; Spiteller, G. An investigation by mass spectrometry of the alkaloids of Aspidosperma quebracho-blanco. Tetrahedron Lett. 1961, 14, 485–492. [Google Scholar]
- Walser, A.; Djerassi, C. Alkaloid-Studien LII [1]. Die Alkaloids aus Vallesia dichotoma RUIS et PAV. Helv. Chim. Acta 1965, 48, 391–403. (in German). [Google Scholar] [CrossRef]
- Ferreira, J.M.; Gilbert, B.; Owellen, R.J.; Djerassi, C. The alkaloids of Aspidosperma discolor A. DC. Experientia 1963, 15, 585–586. [Google Scholar]
- Witkop, B.; Patrik, J.B. Aspidospermine II. J. Am. Chem. Soc. 1954, 76, 5603–5608. [Google Scholar] [CrossRef]
- Conroy, H.; Brook, P.R.; Rout, M.K.; Silverman, N. Aspidospermine. II. Nuclear magnetic resonance spectra and classical degradations. J. Am. Chem. Soc. 1958, 80, 5178–5185. [Google Scholar]
- Mitaine, A.C.; Mesbah, K.; Richard, B.; Petermann, C.; Arrazola, S.; Moretti, C.; Zèches-Hanrot, M.; Le Men-Olivier, L. Alkaloids from Aspidosperma species from Bolivia. Planta Med. 1996, 62, 458–461. [Google Scholar] [CrossRef]
- Achenbach, H. O-Demethylpalosin, Ein Neues Alkaloid aus Tabernaemontana amygdalifolia. Tetrahedron Lett. 1966, 41, 507–5030. (in German). [Google Scholar]
- McLean, S.; Reynolds, W.F.; Zhu, X. Assignment of the 1H and 13C spectra of aspidocarpine and assignment of the structure and stereochemistry of the von Braun reaction product of aspidocarpine by 2D nmr spectroscopy. Can. J. Chem. 1987, 65, 200–204. [Google Scholar] [CrossRef]
- Burnell, R.H.; Medina, J.D. Alkaloids of Aspidosperma cuspa Blake. Phytochemistry 1968, 7, 2045–2051. [Google Scholar] [CrossRef]
- Djerassi, C.; Archer, A.A.P.G.; George, T.; Gilbert, B.; Antonaccio, L.D. Alkaloid Studies—XXX: Isolation and constitution of three new Aspidosperma alkaloids: Cylindrocarpine, cylindrocarpidine and pyrifolidine. Tetrahedron 1961, 16, 212–223. [Google Scholar] [CrossRef]
- Pinar, M.; Schmid, H. Aspidolimin. Helv. Chim. Acta 1962, 45, 1283–1286. [Google Scholar] [CrossRef]
- Miranda, E.C.; Gilbert, B. Alkaloids of Aspidosperma melanocalyx Muell-Arg. Experientia 1969, 15, 575–576. [Google Scholar] [CrossRef]
- Panas, J.-M.; Morfaux, A.-M.; Olivier, L.; Le Men, J. Alcaloïdes des feuilles de l’Amsonia Tabernaemontana Walt., Apocynacées. Ann. Pharmac. Fran. 1972, 30, 273–276. (in French). [Google Scholar]
- Zèches-Hanrot, M.; Nuzzilard, J.-M.; Richard, B.; Schaller, H.; Hadi, H.A.; Sévenet, T.; Le Men-Olivier, L. Alkaloids from leaves and stem bark of Ervatamia peduncularis. Phytochemistry 1995, 40, 587–591. [Google Scholar] [CrossRef]
- Pinar, M.; Von Philipsborn, W.; Vetter, W.; Schmid, H. Limaspermin. Helv. Chim. Acta 1962, 45, 2260–2265. [Google Scholar] [CrossRef]
- Pinar, M.; Schmid, H. 3'-Methoxy-Limaspermin, Limapodin, 3'-Methoxy-Limapodin Und Tubotaiwin Aus Aspidosperma limae Woodson. Liebigs Ann. Chem. 1963, 668, 97–104. [Google Scholar] [CrossRef]
- Medina, J.D.; Di Genova, L. Alkaloids of the bark of Aspidosperma rhombeosignatum. Planta Med. 1979, 37, 165–167. [Google Scholar] [CrossRef]
- Gebreyesus, T.; Djerassi, C. Alkaloid studies. Part LXVI. Reactions of some Aspidosperma alkaloids with m-chloroperbenzoic acid. Removal of the angular ethyl group of aspidospermine. J. Chem. Soc. Perkins Transactions 1. Org. Bio-Org. Chem 1972, 6, 849–860. [Google Scholar]
- Milborrow, B.V.; Djerassi, C. Alkaloid studies. Part LXI. The structure of twelve new alkaloids from Aspidosperma cylindrocarpon. J. Chem. Soc. (C) 1969, 417–424. [Google Scholar]
- Djerassi, C.; Archer, A.A.; George, T.; Gilbert, B.; Schoolery, J.N.; Johnson, L.F. Alkaloid studies XXV. The structures of the Aspidosperma alkaloids cylindrocarpine and cylindrocarpidine. Experientia 1960, 16, 532–534. [Google Scholar] [CrossRef]
© 2012 by the authors; licensee MDPI, Basel, Switzerland. This article is an open-access article distributed under the terms and conditions of the Creative Commons Attribution license (http://creativecommons.org/licenses/by/3.0/).