Bioactive Phenolic Amides from Celtis africana
Abstract
:1. Introduction

2. Results and Discussion
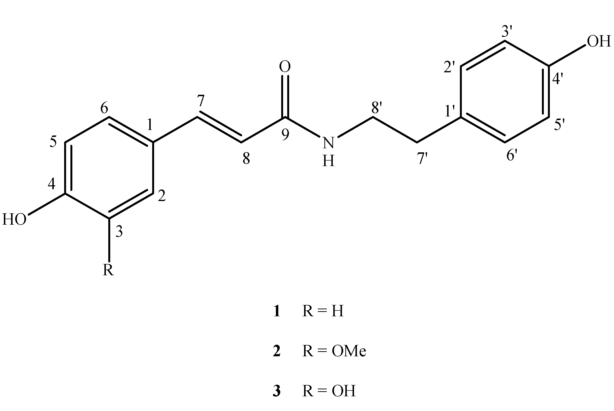
2.1. Structure Elucidation and Biological Assay of Compounds 1–3
| Compounds | DPPH Scavenging Activity IC50a [μM] |
|---|---|
| 1 | 62.0 ± 0.15 |
| 2 | 33.2 ± 0.14 |
| 3 | 26.3 ± 0.32 |
| BHAb | 44.3 ± 0.09 |
| Group (3 rats in each) | Treatment10 mg/kg | Edema Volume(Vc = Vf − V0) | Percent Inhibition(%) |
|---|---|---|---|
| 1 | Cage-1 control | 0 | |
| 2 | Diclofenic Sodium | 0.22 ± 0.05 | 57.6 |
| 3 | 1 | 0.26 ± 0.24 | 48.3 |
| 4 | 2 | 0.35 ± 0.22 | 32.6 |
| 5 | 3 | 0.28 ± 0.11 | 25.5 |
| Compounds | AChE IC50a [μM] |
|---|---|
| 1 | 98.3 ± 0.21 |
| 2 | 86.0 ± 0.34 |
| 3 | 84.3 ± 0.32 |
| Galanthamine | 32.3 ± 2.3 |
3. Experimental
3.1. General
3.2. Plant Material
3.3. Extraction and Isolation
3.4. Biological Bioassay
3.4.1. Antioxidant Assay
3.4.2. In Vivo Anti-Inflammatory Assay
3.4.3.In Vitro Acetylcholinesterase Inhibition Assay
3.4.4. Estimation of IC50 Values
3.5. Spectral Data
4. Conclusions
Acknowledgements
Conflict of Interest
- Samples Availability: Not available.
References
- Krief, S.; Hladik, C.M.; Haxaire, C. Ethnomedicinal and bioactive properties of plants ingested by wild chimpanzees in Uganda. J. Ethnopharmacol. 2005, 101, 1–15. [Google Scholar] [CrossRef]
- Koduru, S.; Grierson, D.S.; Afolayan, A.J. Ethnobotanical information of medicinal plants used for treatment of cancer in the Eastern Cape Province, South Africa. Curr. Sci. 2007, 92, 906. [Google Scholar]
- Shagufta, P.; Azza, M.S.; Areej, M.T.; Ghada, A.F.; Abdul, M.; Nighat, A.; Mehreen, L.; Lubna, I. Antioxidant and urease inhibitory C-glycosylflavonoids from Celtis africana. J. Asian Nat. Prod. Res. 2011, 13, 799–804. [Google Scholar] [CrossRef]
- Adeolu, A.A.; Florence, O.J.; Anthony, J.A.; Patrick, J.M. Antioxidant properties of the methanol extracts of the leaves and stems of Celtis africana. Rec. Nat. Prod. 2009, 3, 23–31. [Google Scholar]
- Nishioka, T.; Watanabe, J.; Kawabata, J.; Niki, R. Isolation and activity of N-p-coumaroyltyramine, an α-glucosidase inhibitor in welsh onion (Allium fistulosum). Biosci. Biotechnol. Biochem. 1997, 61, 1138–1141. [Google Scholar] [CrossRef]
- Jae, B.P. Isolation and characterization of N-feruloyltyramine as the P-selectin expression suppressor from garlic (Allium sativum). J. Agric. Food Chem. 2009, 57, 8868–8872. [Google Scholar] [CrossRef]
- Wu, Y.-C.; Chang, G.-Y.; Ko, F.-N.; Teng, C.-M. Bioactive constitutents from the stems of Annona montana. Planta Med. 1995, 61, 146–149. [Google Scholar] [CrossRef]
- Masayuki, A.; Yoshihiko, I.; Asahi, S.; Satomi, O.; Hiroshi, N.; Shizuo, Y. Isolation and pharmacological characterization of fatty acids from saw palmetto extract. Anal. Sci. 2009, 25, 553. [Google Scholar] [CrossRef]
- Knothe, G.; Kenar, J. Dtermination of the fatty acid profile by 1H-NMR spectroscopy. Eur. J. Lipid Sci. Technol. 2004, 106, 88–96. [Google Scholar] [CrossRef]
- Shagufta, P.; Abdul, M. Phytochemical studies on Perovskia atriplicifolia. J. Chem. Soc. Pak. 2009, 31, 314–318. [Google Scholar]
- Gohari, A.R.; Saeidnia, S.; Hadjiakhoondi, A.; Abdoullahi, M.; Nezafati, M. Isolation and quantificative analysis of oleanolic acid from Satureja mutica Fisch & C. A. Mey. A. Mey. J. Med. Plants 2009, 8, 65–69. [Google Scholar]
- Kim, D.K.; Lee, K. Inhibitory effect of Trans-N-p-Coumaroyl tryamine from the twigs of Celtis chinensis on the acetylcholinesterase. Arch. Pharm. Res. 2003, 26, 735–738. [Google Scholar] [CrossRef]
- Gulcin, I.; Alici, H.A.; Cesur, M. Determination of in vitro antioxidant and radical scavenging activities of protocol. Chem. Pharm. Bull. 2005, 53, 281–285. [Google Scholar] [CrossRef]
- Morris, C.J. Carrageenan-induced paw edema in the rat and mouse. Methods Mol. Biol. 2003, 225, 115–121. [Google Scholar]
- Ellman, G.L.; Courtney, K.D.; Andres, V.; Featherstone, R.M. A new and rapid colorimetric determination of actetylcholinesterase activity. Biochem. Pharmacol. 1961, 7, 88–95. [Google Scholar] [CrossRef]
© 2012 by the authors; licensee MDPI, Basel, Switzerland. This article is an open-access article distributed under the terms and conditions of the Creative Commons Attribution license (http://creativecommons.org/licenses/by/3.0/).
Share and Cite
Al-Taweel, A.M.; Perveen, S.; El-Shafae, A.M.; Fawzy, G.A.; Malik, A.; Afza, N.; Iqbal, L.; Latif, M. Bioactive Phenolic Amides from Celtis africana. Molecules 2012, 17, 2675-2682. https://doi.org/10.3390/molecules17032675
Al-Taweel AM, Perveen S, El-Shafae AM, Fawzy GA, Malik A, Afza N, Iqbal L, Latif M. Bioactive Phenolic Amides from Celtis africana. Molecules. 2012; 17(3):2675-2682. https://doi.org/10.3390/molecules17032675
Chicago/Turabian StyleAl-Taweel, Areej Mohammad, Shagufta Perveen, Azza Muhammed El-Shafae, Ghada Ahmed Fawzy, Abdul Malik, Nighat Afza, Lubna Iqbal, and Mehreen Latif. 2012. "Bioactive Phenolic Amides from Celtis africana" Molecules 17, no. 3: 2675-2682. https://doi.org/10.3390/molecules17032675
APA StyleAl-Taweel, A. M., Perveen, S., El-Shafae, A. M., Fawzy, G. A., Malik, A., Afza, N., Iqbal, L., & Latif, M. (2012). Bioactive Phenolic Amides from Celtis africana. Molecules, 17(3), 2675-2682. https://doi.org/10.3390/molecules17032675
