Supercritical Fluid Extraction and Ultra Performance Liquid Chromatography of Respiratory Quinones for Microbial Community Analysis in Environmental and Biological Samples
Abstract
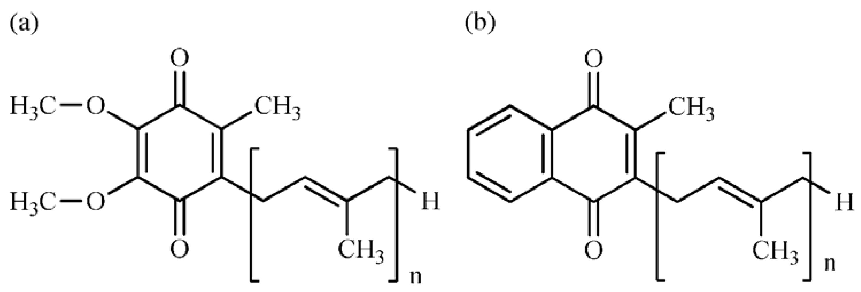
:1. Introduction

2. Results and Discussion
2.1. Comparison of HPLC and UPLC on the Analysis of UQs and MKs
| Quinone Homolog | HPLC (µmol/kg-dry) | UPLC (µmol/kg-dry) | ||||
|---|---|---|---|---|---|---|
| Fractionated | Fractionation | Un-fractionated | ||||
| UQ-7 | 0.00 ± 0.00 | 4.45 ± 0.47 | 5.94 ± 0.58 | |||
| UQ-8 | 54.10 ± 4.78 | 43.60 ± 2.36 | 44.14 ± 3.71 | |||
| UQ-9 | 27.25 ± 1.72 | 28.89 ± 2.32 | 30.63 ± 2.12 | |||
| UQ-10 | 83.99 ± 2.62 | 71.24 ± 4.63 | 70.49 ± 2.13 | |||
| MK-6 | 11.27 ± 0.43 | 10.25 ± 0.38 | 8.86 ± 0.19 | |||
| MK-7 | 26.71 ± 2.00 | 49.55 ± 2.35 | 46.03 ± 3.30 | |||
| MK-8 | 7.03 ± 0.33 | 7.39 ± 0.15 | 8.19 ± 0.55 | |||
| MK-9 | 7.55 ± 2.04 | 9.31 ± 0.35 | 10.23 ± 0.28 | |||
| MK-9(H2) | 3.43 ± 0.09 | 4.32 ± 0.19 | 5.26 ± 0.29 | |||
| MK-8(H4) | 5.26 ± 0.97 | 7.13 ± 0.59 | 8.87 ± 0.22 | |||
| MK-9(H4) | 3.10 ± 1.21 | 3.53 ± 0.72 | 3.28 ± 1.07 | |||
| MK-10(H4) | 20.43 ± 2.35 | 22.80 ± 0.96 | 21.30 ± 0.48 | |||
| Total | 250.15 ± 3.51 | 262.55 ± 12.69 | 263.19 ± 9.50 | |||
, where
and
are molar fractions of a quinones species k in communities i and j, respectively. Both analysis methods could be considered different when the dissimilarity index is greater than or equal to 0.1 [24]. Compared to the HPLC method, the values of the dissimilarity index of the quinone profiles by the UPLC methods were 0.04 and 0.07, respectively. These values mean that the quinone profiles of HPLC and UPLC methods were similar. 2.2. Optimization of the SFE Methods


2.3. Validity of the Developed Method

2.4. Comparison of Supercritical CO2 Extraction with Organic Solvent Extraction for Various Environmental and Biological Samples

3. Experimental
3.1. Standard Solutions and Reagents
3.2. Sample Preparation
3.3. Analytical Strategies for Bacterial RQ Analysis

3.4. Conventional Organic Solvent Extractions
3.5. Supercritical Fluid Extractions

3.6. HPLC and UPLC Analysis
4. Conclusions
Conflict of Interest
Acknowledgements
References
- Narihiro, T.; Sekiguchi, Y. Microbial communities in anaerobic digestion processes for waste and wastewater treatment: A microbiological update. Curr. Opin. Biotechnol. 2007, 18, 273–278. [Google Scholar] [CrossRef]
- Sekiguchi, Y. Yet-to-be cultured microorganisms relevant to methane fermentation processes. Microbes Environ. 2006, 21, 1–15. [Google Scholar] [CrossRef]
- Forney, L.J.; Liu, W.T.; Guckert, J.B.; Kumagai, Y.; Namkung, E.; Nishihara, T.; Larson, R.J. Structure of microbial communities in activated sludge: Potential implications for assessing the biodegradability of chemicals. Ecotoxicol. Environ. Saf. 2001, 49, 40–53. [Google Scholar] [CrossRef]
- Huang, D.L.; Zeng, G.M.; Feng, C.L.; Hu, S.; Zhao, M.H.; Lai, C.; Su, F.F.; Tang, L.; Liu, H.L. Changes of microbial population structure related to lignin degradation during lignocellulosic waste composting. Bioresour. Technol. 2010, 101, 4062–4067. [Google Scholar]
- Desai, A.R.; Musil, K.M.; Carr, A.P.; Hill, J.E. Characterization and quantification of feline fecal microbiota using cpn60 sequence-based methods and investigation of animal-to-animal variation in microbial population structure. Vet. Microbiol. 2009, 137, 120–128. [Google Scholar] [CrossRef]
- Orin, C.S.; Catherine, A.K.; Shawn, A.; Michael, J.; Ryan, J.N.; Sandra, L.M.; Susan, M.H.; Mitchell, L.S. Community structures of fecal bacteria in cattle from different animal feeding operations. Appl.Environ. Microbiol. 2011, 77, 2992–3001. [Google Scholar]
- Collins, M.D. Analysis of isoprenoid quinones. Methods Microbiol. 1985, 18, 329–363. [Google Scholar] [CrossRef]
- Hiraishi, A.; Ueda, Y.; Ishihara, J. Quinone profiling of bacterial communities in natural and synthetic sewage activated sludge for enhanced phosphate removal. Appl. Environ. Microbiol. 1998, 64, 992–998. [Google Scholar]
- Hu, H.Y.; Fujie, K.; Urano, K. Development of a novel solid phase extraction method for the analysis of bacterial quinones in activated sludge with a higher reliability. J. Biosci. Bioeng. 1999, 87, 378–382. [Google Scholar] [CrossRef]
- Hedrick, D.B.; White, D.C. Microbial respiratory quinones in the environment: I. A sensitive lipid chromatographic method. J. Microbiol. Methods 1986, 5, 243–254. [Google Scholar] [CrossRef]
- Hiraishi, A. Respiratory quinone profiles as tools for identifying different bacterial populations in activated sludge. J. Gen. Appl. Microbiol. 1988, 34, 39–56. [Google Scholar] [CrossRef]
- Fujie, K.; Hu, H.K.; Tanaka, H.; Urano, K.; Saitou, K.; Katayama, A. Analysis of respiratory quinones in soil for characterization of microbiota. Soil Sci. Plant Nutr. 1998, 44, 393–404. [Google Scholar] [CrossRef]
- Collins, M.D.; Jones, D. Distribution of isoprenoid quinone structural types in bacteria and their taxonomic implication. Microbiol. Rev. 1981, 45, 316–354. [Google Scholar]
- Vandamme, P.; Pot, B.; Gillis, M.; de Vos, P.; Kersters, K.; Swings, J. Polyphasic taxonomy, a consensus approach to bacterial systematics. Microbiol. Rev. 1996, 60, 407–438. [Google Scholar]
- Collins, M.D.; Howarth, O.W.; Green, P.N. Isolation and structural determination of a novel coenzyme from a methane oxidizing bacterium. Arch. Microbiol. 1986, 146, 263–266. [Google Scholar] [CrossRef]
- Careri, M.; Furlattini, L.; Mangia, A.; Musci, M.; Anklam, E.; Theobald, A.; von Holst, C. Supercritical fluid extraction for liquid chromatographic determination of carotenoids in Spirulina Pacifica algae: A chemometric approach. J. Chromatogr. A 2001, 912, 61–71. [Google Scholar] [CrossRef]
- Starr, J.M.; Selim, M.I. Supercritical fluid extraction of aflatoxin B(1) from soil. J. Chromatogr. A 2008, 1209, 37–43. [Google Scholar] [CrossRef]
- Irvan; Atsuta, Y.; Saeki, T.; Daimon, H.; Fujie, K. Supercritical carbon dioxide extraction of ubiquinones and menaquinones from activated sludge. J. Chromatogr. A 2006, 1113, 14–19. [Google Scholar] [CrossRef]
- Irvan; Hasanudin, U.; Faisal, M.; Daimon, H.; Fujie, K. Application of modified supercritical carbon dioxide extraction to microbial quinone analysis. Appl. Microbiol. Biotechnol. 2006, 69, 506–509. [Google Scholar] [CrossRef]
- Gao, M.C.; Yang, M.; Hu, J.Y.; Shao, B.; Zhang, H.F.; Li, H.Y. Identification of ubiquinones and menaquinones in activated sludge by liquid chromatography-atmospheric pressure chemical ionization mass spectrometry. J. Chromatogr.A 2003, 1007, 31–37. [Google Scholar] [CrossRef]
- Gao, M.C.; Liu, H.J.; Yang, M.; Hu, J.Y.; Shao, B. Indirect identification of isoprenoid quinones in Escherichia coli by LC-MS with atmospheric pressure chemical ionization in negative mode. J. Basic Microbiol. 2004, 44, 424–429. [Google Scholar]
- Wren, S.A.C.; Tchelitcheff, P. Use of ultra-performance liquid chromatography in pharmaceutical development. J.Chromatogr. A 2006, 1119, 140–146. [Google Scholar] [CrossRef]
- Villiers, A.; Lestremau, F.; Szucs, R.; Gelebart, S.; David, F.; Sandra, P. Evaluation of ultra-performance liquid chromatography. Part I: Possibilities and limitations. J. Chromatogr. A 2006, 1127, 60–69. [Google Scholar] [CrossRef]
- Hu, H.Y.; Lim, B.R.; Goto, N.; Fujie, K. Analytical precision and repeatability of respiratory quinones for quantitative study of microbial community structure in environmental samples. J. Microbiol. Methods 2001, 47, 17–24. [Google Scholar]
- Hu, H.Y.; Fujie, K.; Nakagome, H.; Urano, K.; Katayama, A. Quantitative analyses of the change in microbial diversity in a bioreactor for wastewater treatment based on respiratory quinones. Water Res. 1999, 33, 3263–3270. [Google Scholar] [CrossRef]
- Hiraishi, A. Isoprenoid quinones as biomarkers of microbial populations in the environment. J.Biosci. Bioeng. 1999, 88, 449–460. [Google Scholar] [CrossRef]
- Hartmann, C.; Smeyers-Verbeke, J.; Massart, D.L.; McDowall, R.D. Validation of bioanalytical chromatographic methods. J. Pharm. Biomed. Anal. 1998, 17, 193–218. [Google Scholar] [CrossRef]
- Hiraishi, A.; Miyakoda, H.; Lim, B.R.; Hu, H.Y.; Fujie, K.; Suzuki, J. Toward the bioremediation of dioxin-polluted soil: Structural and functional analyses of in situ microbial populations by quinone profiling and culture-dependent methods. Appl. Microbiol. Biotechnol. 2001, 57, 248–256. [Google Scholar] [CrossRef]
- Katayama, A.; Funasaka, K.; Fujie, K. Changes in respiratory quinone profile of a soil applied with pesticides. Biol. Fertil. Soils 2001, 33, 454–459. [Google Scholar] [CrossRef]
- Hasanudin, U.; Fujita, M.; Kunihiro, T.; Fujie, K.; Suzuki, T. The effect of clams (Tapes philippinarum) on changes in microbial community structure in tidal flat sediment mesocosms based on quinone profiles. Ecol. Eng. 2004, 22, 185–196. [Google Scholar] [CrossRef]
- Kroger, A. Determination of contents and redox states of ubiquinone and menaquinone. Methods Enzymol. 1978, 53, 579–591. [Google Scholar] [CrossRef]
- IUPAC-IUB . Commission on Biochemical Nomenclature. The nomenclature of quinones with isoprenoid side-chains. Pure Appl. Chem. 1974, 38, 439–447. [CrossRef]
© 2012 by the authors; licensee MDPI, Basel, Switzerland. This article is an open-access article distributed under the terms and conditions of the Creative Commons Attribution license (http://creativecommons.org/licenses/by/3.0/).
Share and Cite
Hanif, M.; Atsuta, Y.; Fujie, K.; Daimon, H. Supercritical Fluid Extraction and Ultra Performance Liquid Chromatography of Respiratory Quinones for Microbial Community Analysis in Environmental and Biological Samples. Molecules 2012, 17, 2628-2642. https://doi.org/10.3390/molecules17032628
Hanif M, Atsuta Y, Fujie K, Daimon H. Supercritical Fluid Extraction and Ultra Performance Liquid Chromatography of Respiratory Quinones for Microbial Community Analysis in Environmental and Biological Samples. Molecules. 2012; 17(3):2628-2642. https://doi.org/10.3390/molecules17032628
Chicago/Turabian StyleHanif, Muhammad, Yoichi Atsuta, Koichi Fujie, and Hiroyuki Daimon. 2012. "Supercritical Fluid Extraction and Ultra Performance Liquid Chromatography of Respiratory Quinones for Microbial Community Analysis in Environmental and Biological Samples" Molecules 17, no. 3: 2628-2642. https://doi.org/10.3390/molecules17032628
APA StyleHanif, M., Atsuta, Y., Fujie, K., & Daimon, H. (2012). Supercritical Fluid Extraction and Ultra Performance Liquid Chromatography of Respiratory Quinones for Microbial Community Analysis in Environmental and Biological Samples. Molecules, 17(3), 2628-2642. https://doi.org/10.3390/molecules17032628
