Abstract
The first total synthesis of laetispicine (1a), an amide alkaloid isolated from the stems of Piper laetispicum C.DC (Piperaceae), and the synthesis of some of its derivatives were described. Based on the evaluation of antidepressant activities in the forced swimming test, compounds 1h and 1i were identified as potent and safe antidepressant lead compounds.
1. Introduction
Natural products have traditionally played an important role in drug discovery and are the basis of many important therapeutics that have found broad use in the clinic [1]. Extensive studies to search among natural products for new antidepressants that possess both high efficacy and safety have been carried out [2,3]. Laetispicine (Figure 1) was first isolated in 2002 by Pan and co-workers from Piper laetispicum C.DC., a herb growing in China and parts of southeast Asia [4,5]. Piper laetispicum C.DC. is one of the species in pepper family and had been used for invigorating circulation and reducing stasis, detumescence and as an analgesic agent in China for a long time [5]. Pan et al. reported that laetispicine was effective in producing antidepressant and antinociceptive effects and hypothesized that laetispicine was possibly acting on the monoaminergic neurotransmission system to mediate the antidepressant and antinociceptive disorders [6].
Figure 1.
Structure of laetispicine.
Figure 1.
Structure of laetispicine.

The structure of laetispicine is unique. Unlike other antidepressants, laetispicine does not contain an acyclic or aromatic amine. Moreover, it contains an unconjugated allylbenzene motif that has little precedent in natural products. However, molecules containing 1,3-benzodioxole have been shown to induce oxidative damage in vivo [7]. To better understand the SAR of laetispicine and explore the potential of laetispicine derivatives as new potent and safe antidepressants, we developed a synthetic approach that would facilitate the synthesis of laetispicine analogues. By using this strategy, laetispicine and eight of its derivatives were synthesized efficiently. Here, we first report the synthesis of laetispicine and several derivatives and their preliminary antidepressant activities evaluated in a forced swimming test.
2. Results and Discussion
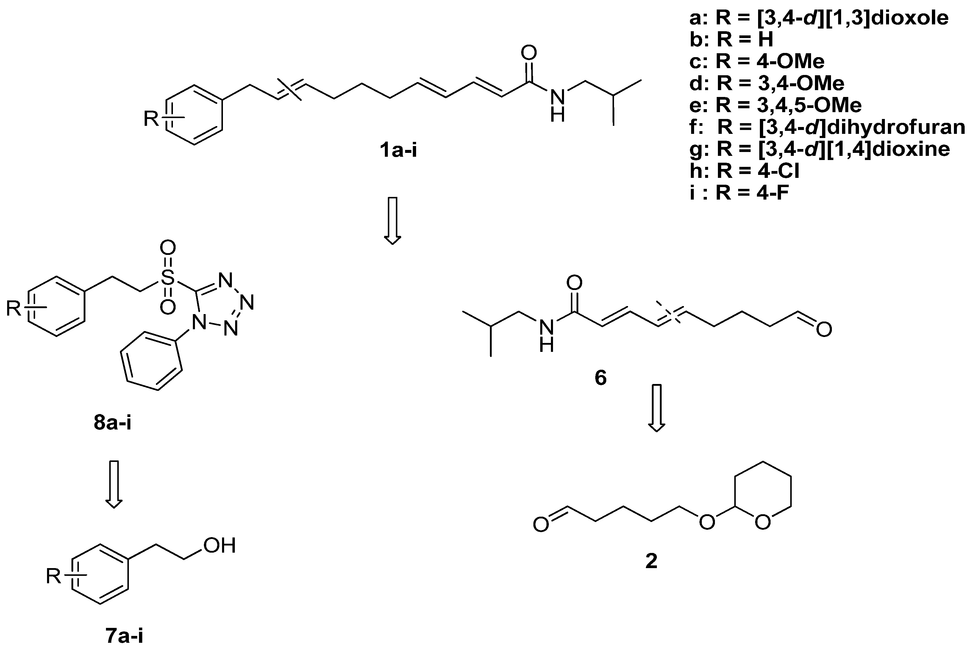
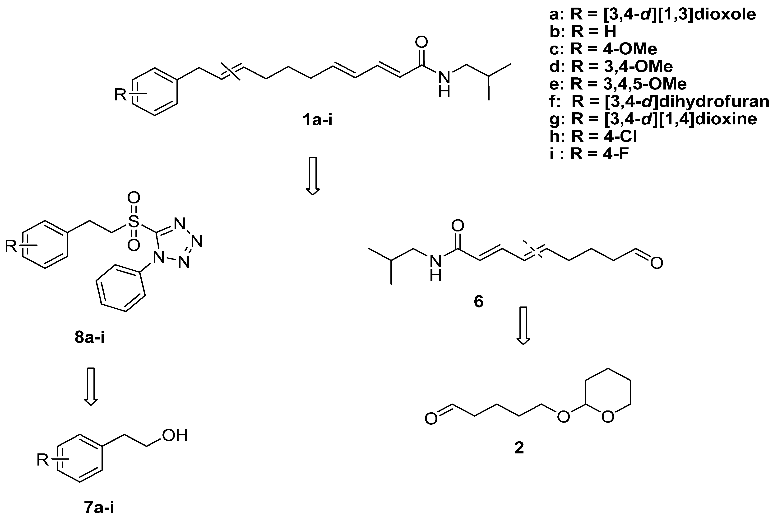
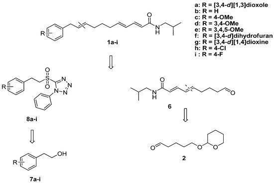
As shown in Scheme 1, our approach to the synthesis of laetispicine and its derivatives involves the modified Julia-Kocienski olefination as the key step. By varying the combination of different fragments 8a–i, laetispicine and eight of its analogues were obtained. Our SAR study was mainly focused on replacing the 1,3-benzodioxole ring with halogen and alkoxy groups.
Scheme 1.
Retro-synthetic analysis of laetispicine and its derivatives.
Scheme 1.
Retro-synthetic analysis of laetispicine and its derivatives.

The synthesis of the key intermediate 6 started from compound 2 [8,9] which reacted with the Hornor-Wadsworth-Emmons reagent to afford the 2E,4E-diene 3. No double-bond isomerization was observed [10,11]. Hydrolysis of ester 3 with 1N LiOH gave the corresponding acid, which was condensed with isobutylamine using 1-ethyl-3-(3-dimethylaminopropyl)carbodiimide (EDCI) and hydroxybenzotriazole (HOBt) to give amide 4. The protecting group of 4 was removed by pyridinium p-toluenesulfonate (PPTS) to give 5, and oxidation of 5 using Dess-Martin periodinane led to the key intermediate aldehyde 6 (Scheme 2).
Scheme 2.
Synthesis of compound 6.
Scheme 2.
Synthesis of compound 6.

As shown in Scheme 3, Mitsunobu reaction of commercially available 7a–i with 1-phenyl-5-thiotetrazole by treating with diisopropyl azodicarboxylate (DIAD) afforded the corresponding thioethers, which were then oxidized with hexaammonium heptamolybdate in H2O2 to give the key intermediates 8a–i [12,13].
Scheme 3.
Synthesis of compounds 8a–i.
Scheme 3.
Synthesis of compounds 8a–i.

Compared with the Wittig reaction and Julia-Lythgeo reaction, the modified Julia-Kocienski olefination can afford much higher stereoselectivity in the formation of E unconjugated couples [12,13]. Comparing different bases [lithium diisopropylamide (LDA), potassium bis(trimethylsilyl)amide (KHMDS), lithium bis(trimethylsilyl)amide (LHMDS)] and solvents (THF, DME), we found that the reaction of 8a with 6 by treating with KHMDS in DME furnished laetispicine (1a) in good yield (58.2%). Overall, the synthesis of the laetispicine (1a) was accomplished in seven steps and 22.1% overall yield with high E/Z stereoselectivity (HPLC indicated that E:Z ratio > 14:1). Synthetic laetispicine was identical in all respects (IR, 1H-NMR, 13C-NMR, EI, HRMS) with natural laetispicine isolated from Piper laetispicum C.DC. [4]. Eight laetispicine derivatives 1b–i were obtained in the same manner (Scheme 4).
Scheme 4.
Synthesis of compounds 1a–i.
Scheme 4.
Synthesis of compounds 1a–i.

Laetispicine (1a) and its analogues 1b–i were evaluated for their antidepressant activities in forced swimming test in mice [6,14]. The immobility time of forced swimming mice exposed to 1b–i (10 mg/Kg each) are shown in Table 1. Among the eight derivatives tested, the compounds containing alkoxybenzene moieties showed less antidepressant activities than laetispicine (1e, 1g vs.1a, Table 1), or even lost their antidepressant activities entirely (1c, 1d, 1f vs. 1a, Table 1). Compound 1b with no substituent showed similar antidepressant activities as laetispicine. These results suggested that the 1,3-benzodioxole moiety was replaceable, and it was interesting to note that by introducing the halogen atom in the phenyl ring better antidepressant activities than that of laetispicine were achieved (1h, 1i vs. 1a, Table 1). Furthermore, these two compounds with potent antidepressant activities were tested in patch clamp assay to measure their potential to block hERG potassium channel (Table 2). The results showed that 1h and 1i had weak inhibition on hERG current (IC50 > 100 μM) when compared to the positive reference compound cisapride.
Table 1.
Effects of compound 1b–i on the forced swimming test in mice (means ± SEM of eight animals).
| Compound | R | Immobility Time (s) | Reduction (%) |
|---|---|---|---|
| Control | 156.0 ± 6.1 | ||
| Fluoxetine | 161.3 ± 8.1 | 0 | |
| Laetispicine ( 1a) | ![]() | 105.2 ± 8.1 | 33 |
| 1b | ![]() | 95.6 ± 7.1 *** | 39 |
| 1c | ![]() | 149.2 ± 11.9 | 5 |
| 1d | ![]() | 146.1 ± 10.7 | 6 |
| 1e | ![]() | 113.4 ± 10.4 ** | 27 |
| 1f | ![]() | 147.5 ± 11.4 | 5 |
| 1g | ![]() | 111.2 ± 12.6 ** | 29 |
| 1h | ![]() | 74.6 ± 15.6 *** | 52 |
| 1i | ![]() | 88.5 ± 18.5 *** | 43 |
* p < 0.05; ** p < 0.01; *** p < 0.001 vs. control; N = 8 ; AVONA followed by LSD.
Table 2.
hERG channel binding assay.
| Compound | Inhibition % at 1 μM | Inhibition % at 10 μM | Inhibition % at 100 μM |
|---|---|---|---|
| Cisapride | 97.9 ± 0.5% | ||
| 1h | 8.0 ± 2.3% | 13.9 ± 2.0% | 24.2 ± 4.9% |
| 1i | 7.1 ± 0.7% | 10.7 ± 0.1% | 17.7 ± 1.5% |
3. Experimental
3.1. General
IR spectra were recorded on a Nicolet Magna-FTIR-750 spectrophotometer. 1H- and 13C-NMR spectra were recorded in CDCl3 on Varian Mercury-300 or Varian Mercury-400 instruments. The ESI-MS were carried out on Thermo Finnigan LCQDECAXP and the low-resolution EI-MS was measured on a MAT-95 spectrometer and HREI-MS on a MAT-77 spectrometer. Purity was recorded on Gilson high-performance liquid chromatography (HPLC) (306 pump, UV/Vis-156 Detector, 215 liquid handle). TLC was carried out with glass pre-coated silica gel GF254 plates. Spots were visualized under UV light. All the solvents and reagents were used directly as obtained commercially unless otherwise noted.
Ethyl 9-(tetrahydropyran-2-yloxy)-2E,4E-nonadienoate (3). To a solution of triethyl 4-phosphono-2E-crotonate (4.3 mL, 19.4 mmol) in anhydrous THF (50 mL) at −78 °C under Ar was added n-BuLi (12.1 mL of a 1.6 M solution in hexane, 19.4 mmol). The reaction mixture was stirred at this temperature for 30 min, and then 2 [8,9] (3.0 g, 16.1 mmol) in anhydrous THF (20 mL) was added at −78 °C. The reaction mixture was stirred for an additional 1 h at this temperature, then stirred for 1 h at room temperature. The reaction was quenched with saturated NH4Cl (30 mL). Then the mixture was extracted with CH2Cl2 (3 × 30 mL). The combined organic phases were washed with brine (2 × 50 mL), dried (Na2SO4), and evaporated. The residue was flash chromatographed (10:1 petroleum ether-EtOAc) to afford 3 as a colorless liquid (2.3 g, 50.7%): 1H-NMR (CDCl3) δ 1.27 (t, 3H, J = 7.1 Hz), 1.48–1.81 (m, 10H), 2.18 (m, 2H), 3.34–3.49 (m, 2H), 3.70–3.84 (m, 2H), 4.17 (m, 2H, J = 7.1 Hz), 4.55 (m, 1H), 5.75 (d, 1H, J = 15.3 Hz), 6.15 (m, 2H), 7.24 (dd, 1H, J = 15.4 Hz, J = 14.0 Hz); 13C-NMR (CDCl3) δ 14.2, 19.6, 25.4, 29.2, 30.7, 32.7, 60.1, 62.3, 67.2, 98.8, 119.2, 128.5, 144.2, 144.9, 167.2; IR (KBr) vmax 3117, 2941, 1714, 1643, 1618, 1404, 1259, 1138, 1034, 870 cm−1.
N-Isobutyl-9-(tetrahydropyran-2-yloxy)-2E,4E-nonadienamide (4). To an ice-cooled solution of 3 (1.0 g, 3.55 mmol) in EtOH (20 mL) was added 1 N LiOH (17.8 mL, 17.8 mmol) and the solution was stirred at room temperature for 12 h. The reaction mixture was diluted with H2O (20 mL) and washed with EtOAc (2 × 20 mL). The aqueous layer was acidified (pH 2.0) with 2 N HCl and extracted with EtOAc (3 × 20 mL). The combined organic phases were washed with brine (2 × 50 mL), dried (Na2SO4), and evaporated to give 9-(tetrahydropyran-2-yloxy)-2E,4E-nonadienoic acid as a yellow solid. The acid was used directly in the next step. The acid, EDCI (1.1 g, 5.68 mmol), HOBt (0.77 g, 5.68 mmol) and isobutylamine (0.56 mL, 5.68 mmol) were dissolved in anhydrous THF (30 mL), and the reaction mixture was stirred at room temperature for 12 h. The reaction mixture was diluted with H2O (30 mL) and extracted with CH2Cl2 (2 × 30 mL). The combined organic phases were washed with brine (2 × 50 mL), dried (Na2SO4), and evaporated. The residue was flash chromatographed (5:1 petroleum ether-EtOAc) to afford 4 as a colorless oil (0.95 g, two step total yield 86.6%); 1H-NMR (CDCl3) δ 0.92 (d, 6H, J = 6.7 Hz), 1.51–1.84 (m, 11H), 2.18 (m, 2H), 3.16 (t, 2H, J = 6.5 Hz), 3.47 (m, 2H), 3.75 (m, 2H), 4.56 (m, 1H), 5.53 (brs, 1H), 5.74 (d, 1H, J = 14.9 Hz), 6.09 (m, 2H), 7.19 (dd, 1H, J = 14.8 Hz, J = 14.8 Hz); 13C-NMR (CDCl3) δ 19.6, 20.1, 25.4, 25.4, 28.5, 29.2, 30.7, 32.7, 46.8, 62.3, 67.2, 98.8, 121.9, 128.4, 141.0, 142.5, 166.3; IR (KBr) vmax 3282, 2953, 2870, 1659, 1630, 1551, 1352, 1261, 1121, 1034, 999 cm−1; ESIMS m/z 332 [M + Na]+, 310 [M + H]+; HREIMS: calcd for C18H31NO3Na [M + Na]+, 332.2202; found, 332.2201.
N-Isobutyl-9-hydroxy-2E,4E-nonadienamide (5). To a solution of 4 (0.60 g, 1.94 mmol) in MeOH (20 mL) was added PPTS (0.1 g), and the reaction mixture was stirred at room temperature for 3 h. The solvent was evaporated and then H2O (20 mL) and CH2Cl2 (20 mL) were added. The phases were separated, and the aqueous layer was extracted with CH2Cl2 (2 × 30 mL). The combined organic phases were washed with brine (50 mL), dried (Na2SO4), and evaporated to give 5 as a colorless oil (0.40 g, 91.6%); 1H-NMR (CDCl3) δ 0.92 (d, 6H, J = 6.6 Hz), 1.47–1.63 (m, 4H), 1.77 (m, 1H), 2.18 (m, 2H), 3.16 (m, 2H), 3.65 (t, 2H, J = 6.3 Hz), 5.54 (brs, 1H), 5.74 (d, 1H, J = 14.9 Hz), 6.09 (m, 2H), 7.22 (dd, 1H, J = 14.8 Hz, J = 14.9 Hz); 13C-NMR (CDCl3) δ 20.1, 24.9, 28.5, 32.1, 32.6, 46.9, 62.5, 122.0, 128.5, 141.0, 142.4, 166.5; IR (KBr) vmax 3290, 2931, 2870, 1659, 1630, 1551, 1404, 1265, 1161, 1061, 999 cm−1; ESIMS m/z 451 [2M + H]+, 226 [M + H]+; HREIMS: calcd for C13H23NO2Na [M + Na]+, 248.1626; found, 248.1624.
N-Isobutyl-9-oxo-2E,4E-nonadienamide (6). Compound 5 (0.40 g, 1.78 mmol) in CH2Cl2 (10 mL) was added to the solution of Dess-Martin periodinane (0.90 g, 2.13 mmol) in CH2Cl2 (20 mL) at 0 °C, and the mixture was stirred at room temperature for 2 h. Saturated Na2S2O3 aqueous solution (20 mL) and CH2Cl2 (20 mL) were added. The phases were separated, and the aqueous layer was extracted with CH2Cl2 (2 × 30 mL). The combined organic phases were washed with brine (50 mL), dried (Na2SO4), and evaporated to give 6 as a yellow solid. The crude aldehyde was used directly in the next step.
5-(2-(3,4-Methylenedioxyphenyl)ethylsulfonyl)-1-phenyltetrazole (8a). To an ice-cooled solution of 7a (2.2 g, 13.3 mmol), 1-phenyl-5-thioltetrazole (2.6 g, 14.6 mmol) and triphenylphosphine (3.8 g, 15 mmol) in anhydrous THF (150 mL) under Ar was added DIAD (2.9 mL, 14.6 mmol) in anhydrous THF (30 mL) over 20 min. The reaction mixture was stirred at room temperature for 1 h and the solvent was evaporated. H2O (50 mL) and Et2O (50 mL) were added to the residue. The phases were separated and the aqueous layer was extracted with Et2O (2 × 30 mL). The combined organic phases were washed with brine (50 mL), dried (Na2SO4), and evaporated. The residue was flash chromatographed (5:1 petroleum ether-EtOAc) to afford crude 5-(2-(3,4-methylenedioxyphenyl)-ethylthio)-1-phenyltetrazole as a white solid.
To an ice-cooled solution of the thioether (4.1 g, 12.6 mmol) in EtOH (15 mL) under Ar was added hexaammonium heptamolybdate tetrahydrate (4.7 g, 3.8 mmol) in H2O2 (5 mL) over 10 min. The reaction mixture was stirred at room temperature for 48 h. H2O (50 mL) and Et2O (50 mL) were added to the mixture. The phases were separated and the aqueous layer was extracted with Et2O (2 × 30 mL). The combined organic phases were washed with brine (50 mL), dried (Na2SO4), and evaporated. The residue was flash chromatographed (5:1 petroleum ether-EtOAc) to afford 8a as a white solid (4.1 g, 94.6%); m.p. 95–97 °C; 1H-NMR (CDCl3) δ 3.19 (t, 2H, J = 8.1 Hz), 3.96 (t, 2H, J = 8.1 Hz), 5.96 (s, 2H), 6.72–6.75 (m, 3H), 7.61–7.71 (m, 5H); 13C-NMR (CDCl3) δ 28.3, 57.4, 101.1, 108.6, 108.8, 121.6, 125.0, 129.7, 129.8, 131.5, 132.9, 146.8, 148.0, 153.3; IR (KBr) vmax 2926, 1593, 1504, 1450, 1354, 1248, 1148, 1038, 918, 766, 642, 523 cm−1; EIMS m/z 358 [M]+, 148 (100%); HREIMS: calcd for C16H14N4O4S, 358.0736; found, 358.0742.
Laetispicine (1a). To a solution of 8a (0.87 g, 2.44 mmol) in anhydrous DME (30 mL) at −60 °C under Ar was added KHMDS (2.7 mL of a 1 M solution in hexane, 2.70 mmol). The reaction mixture was stirred at this temperature for 1 h, and then 6 (0.50 g, 2.22 mmol) in anhydrous DME (10 mL) was added at −60 °C. The reaction mixture was stirred for an additional 2 h at this temperature, then stirred for 30 min at room temperature. The reaction was quenched with saturated NH4Cl (30 mL). Then the mixture was extracted with Et2O (3 × 30 mL). The combined organic phases were washed with brine (2 × 50 mL), dried (Na2SO4), and evaporated. The residue was flash chromatographed (3:1 petroleum ether-EtOAc) to afford 1a as a white solid (0.46 g, two step total yield 58.2%); m.p. 95–96 °C (lit. [4] 93–94 °C); 1H-NMR (400 MHz, CDCl3) δ 0.92 (d, 6H, J = 6.6 Hz), 1.50 (m, 2H), 1.81 (m, 1H), 2.03 (m, 2H), 2.15 (m, 2H), 3.15 (t, 2H, J = 6.3 Hz), 3.23 (d, 2H, J = 5.7 Hz), 5.52 (m, 2H, J = 15.0 Hz, J = 15.4 Hz), 5.74 (d, 1H, J = 14.7 Hz), 5.91 (s, 2H), 6.06 (m, 2H, J = 15.0 Hz, J = 15.0 Hz), 6.60–6.74 (m, 3H), 7.17 (dd, 1H, J = 15.0 Hz, J = 9.9 Hz); 13C-NMR (CDCl3) δ 20.1, 28.4, 28.6, 31.8, 32.3, 38.7, 46.9, 100.7, 108.1, 108.9, 121.1, 121.9, 128.5, 129.6, 131.1, 134.7, 141.1, 142.5, 145.6, 147.5, 166.3; IR (KBr) vmax 3425, 3302, 2955, 2922, 1655, 1628, 1614, 1551, 1506, 1487, 1250, 1001, 968 cm−1; EIMS m/z 355 [M]+, 220 (100%); HREIMS: calcd for C22H29NO3, 355.2147; found, 355.2155.
5-(Phenethylsulfonyl)-1-phenyltetrazole (8b). Mitsunobu reaction of 7b (5.0 g, 0.041 mol) and then oxidation under similar conditions to those applied for 8a to afford 8b as a white solid (8.8 g, 68.3%): m.p. 90–92 °C; 1H-NMR (300 MHz, CDCl3): δ 3.27 (m, 2H), 4.01 (m, 2H), 7.25–7.34 (m, 5H), 7.61–7.72 (m, 5H); ESIMS m/z 315 [M + H]+.
5-(4-Methoxyphenethylsulfonyl)-1-phenyltetrazole (8c). Mitsunobu reaction of 7c (3.9 g, 0.026 mol) and then oxidation under similar conditions to those applied for 8a to afford 8c as a white solid (5.9 g, 67.3%); m.p. 99–101 °C; 1H-NMR (300 MHz, CDCl3) δ 3.21 (m, 2H), 3.80 (s, 3H), 3.97 (m, 2H), 6.86 (d, 2H, J = 8.4 Hz), 7.17 (d, 2H, J = 8.4 Hz), 7.61–7.69 (m, 5H); EIMS m/z 344 [M]+, 134 (100%).
5-(3,4-Dimethoxyphenethylsulfonyl)-1-phenyltetrazole (8d). Mitsunobu reaction of 7d (4.5 g, 0.025 mol) and then oxidation under similar conditions to those applied for 8a to afford 8d as a white solid (6.9 g, 75.1%); m.p. 155–157 °C; 1H-NMR (300 MHz, CDCl3) δ 3.21 (m, 2H), 3.87 (s, 3H), 3.88 (s, 3H), 3.98 (m, 2H), 6.75–6.81 (m, 3H), 7.60–7.71 (m, 5H); ESIMS m/z 375 [M + H]+.
5-(3,4,5-Trimethoxyphenethylsulfonyl)-1-phenyltetrazole (8e). Mitsunobu reaction of 7e (4.1 g, 0.019 mol) and then oxidation under similar conditions to those applied for 8a to afford 8e as a white solid (5.7 g, 72.6%); m.p. 133–135 °C; 1H-NMR (300 MHz, CDCl3) δ 3.21 (m, 2H), 3.83 (s, 3H), 3.86 (s, 6H), 4.00 (m, 2H), 6.45 (s, 2H), 7.61–7.71 (m, 5H); EIMS m/z 404 [M]+, 194 (100%).
5-(2-(2,3-Dihydrobenzofuran-5-yl)ethylsulfonyl)-1-phenyltetrazole (8f). Mitsunobu reaction of 7f (4.6 g, 0.028 mol) and then oxidation under similar conditions to those applied for 8a to afford 8f as a white solid (7.1 g, 71.5%); m.p. 114–115 °C; 1H-NMR (300 MHz, CDCl3) δ 3.17–3.22 (m, 4H), 3.95 (m, 2H), 4.57 (t, 2H, J = 6.6 Hz), 6.72 (d, 1H, J = 6.0 Hz), 6.97 (m, 1H), 7.09 (s, 1H), 7.58–7.70 (m, 5H); EIMS m/z 356 [M]+, 146 (100%).
5-(2-(2,3-Dihydrobenzo [1,4] dioxin-6-yl)ethylsulfonyl)-1-phenyltetrazole (8g). Mitsunobu reaction of 7g (4.0 g, 0.022 mol) and then oxidation under similar conditions to those applied for 8a to afford 8g as a white solid (6.0 g, 72.3%); m.p. 113–115 °C; 1H-NMR (300 MHz, CDCl3) δ 3.15 (m, 2H), 3.95 (m, 2H), 4.24 (s, 4H), 6.69–6.83 (m, 3H), 7.60–7.71 (m, 5H); EIMS m/z 372 [M]+, 162 (100%).
5-(4-Chlorophenethylsulfonyl)-1-phenyltetrazole (8h). Mitsunobu reaction of 7h (4.5 g, 0.029 mol) and then oxidation under similar conditions to those applied for 8a to afford 8h as a white solid (7.5 g, 74.5%): m.p. 95–97 °C; 1H-NMR (300 MHz, CDCl3) δ 3.26 (m, 2H), 3.98 (m, 2H), 7.19–7.33 (m, 4H), 7.61–7.71 (m, 5H); EIMS m/z 349 [M]+, 138 (100%).
5-(4-Fluorophenethylsulfonyl)-1-phenyltetrazole (8i). Mitsunobu reaction of 7i (4.7 g, 0.034 mol) and then oxidation under similar conditions to those applied for 8a to afford 8i as a white solid (7.6 g, 67.3%); m.p. 99–100 °C; 1H-NMR (400 MHz, CDCl3) δ 3.25 (m, 2H), 3.99 (m, 2H), 7.02 (m, 2H), 7.24 (m, 2H), 7.59–7.70 (m, 5H); ESIMS m/z 333 [M + H]+.
N-Isobutyl-11-phenylundeca-2E,4E,9E-trienamide (1b). Julia reaction of 8b (0.15 g, 0.49 mmol) under similar conditions to those applied for latispicine (1a) afforded 1b as a white solid (72 mg, 51.2%); m.p. 80–82 °C; 1H-NMR (300 MHz, CDCl3) δ 0.92 (d, 6H, J = 6.6 Hz), 1.51 (m, 2H), 1.80 (m, 1H), 2.03 (m, 2H), 2.16 (m, 2H), 3.16 (t, 2H, J = 6.3 Hz), 3.33 (d, 2H, J = 6.0 Hz), 5.52 (m, 2H), 5.72 (d, 1H, J = 15.0 Hz), 6.08 (m, 2H), 7.14–7.31 (m, 6H); 13C-NMR (CDCl3) δ 20.1, 28.5, 28.6, 31.9, 32.4, 39.1, 47.0, 121.8, 125.9, 128.4, 128.5, 128.5, 129.5, 131.2, 140.9, 141.3, 142.7, 166.4; EIMS m/z 311 [M]+, 91 (100%); HREIMS: calcd for C21H29NO, 311.2249; found, 311.2258.
N-Isobutyl-11-(4-methoxyphenyl)undeca-2E,4E,9E-trienamide (1c). Julia reaction of 8c (0.20 g, 0.58 mmol) under similar conditions to those applied for latispicine (1a) afforded 1c as a white solid (90 mg, 50.1%); m.p. 65–67 °C; 1H-NMR (300 MHz, CDCl3) δ 0.92 (d, 6H, J = 6.6 Hz), 1.50 (m, 2H), 1.80 (m, 1H), 2.01 (m, 2H), 2.15 (m, 2H), 3.16 (t, 2H, J = 6.6 Hz), 3.26 (d, 2H, J = 6.3 Hz), 3.79 (s, 3H), 5.45–5.54 (m, 2H), 5.72 (d, 1H, J = 15.0 Hz), 6.04–6.10 (m, 2H), 6.83 (d, 2H, J = 8.7 Hz), 7.08 (d, 2H, J = 8.4 Hz), 7.18 (m, 1H); 13C-NMR (CDCl3) δ 20.2, 28.5, 28.6, 31.9, 32.3, 38.1, 46.9, 55.3, 113.8, 122.0, 128.5, 129.4, 129.9, 130.8, 133.0, 141.1, 142.6, 157.8, 166.4; EIMS m/z 341 [M]+, 121 (100%); HREIMS: calcd for C22H31NO2, 341.2355; found, 341.2360.
N-Isobutyl-11-(3,4-dimethoxyphenyl)undeca-2E,4E,9E-trienamide (1d). Julia reaction of 8d (0.19 g, 0.51 mmol) under similar conditions to those applied for latispicine (1a) afforded 1d as a white solid (85 mg, 49.4%); m.p. 61–63 °C; 1H-NMR (300 MHz, CDCl3) δ 0.92 (d, 6H, J = 6.9 Hz), 1.50 (m, 2H), 1.78 (m, 1H), 2.03 (m, 2H), 2.16 (m, 2H), 3.16 (t, 2H, J = 6.3 Hz), 3.26 (d, 2H, J = 6.3 Hz), 3.86 (s, 3H), 3.86 (s, 3H), 5.47–5.53 (m, 2H), 5.70 (d, 1H, J = 14.7 Hz), 6.06–6.09 (m, 2H), 6.70–6.81 (m, 3H), 7.18 (m, 1H); 13C-NMR (100 MHz, CDCl3) δ 20.1, 28.5, 28.6, 31.9, 32.3, 38.6, 46.9, 55.8, 56.0, 111.2, 111.8, 120.2, 121.9, 128.6, 129.8, 131.0, 133.6, 141.1, 142.5, 147.2, 148.8, 166.3; EIMS m/z 371 [M]+, 151 (100%); HREIMS: calcd for C23H33NO3, 371.2460; found, 371.2463.
N-Isobutyl-11-(3,4,5-trimethoxyphenyl)undeca-2E,4E,9E-trienamide (1e). Julia reaction of 8e (0.20 g, 0.50 mmol) under similar conditions to those applied for latispicine (1a) afforded 1e as a white solid (92 mg, 50.5%); m.p. 72–73 °C; 1H-NMR (300 MHz, CDCl3) δ 0.92 (d, 6H, J = 6.6 Hz), 1.52 (m, 2H), 1.79 (m, 1H), 2.05 (m, 2H), 2.17 (m, 2H), 3.16 (t, 2H, J = 6.6 Hz), 3.26 (d, 2H, J = 5.4 Hz), 3.82 (s, 3H), 3.84 (s, 6H), 5.52 (m, 2H), 5.68 (d, 1H, J = 14.7 Hz), 6.06 (m, 2H), 6.40 (s, 2H), 7.17 (m, 1H); 13C-NMR (CDCl3) δ 20.1, 28.4, 28.6, 31.8, 32.3, 39.4, 46.9, 56.0, 60.9, 105.3, 122.0, 128.7, 129.5, 131.3, 135.9, 136.8, 141.1, 142.4, 153.1, 166.4; EIMS m/z 401 [M]+, 181 (100%); HREIMS: calcd for C24H35NO4, 401.2566; found, 401.2567.
N-Isobutyl-11-(2,3-dihydrobenzofuran-5-yl)undeca-2E,4E,9E-trienamide (1f). Julia reaction of 8f (0.18 g, 0.51 mmol) under similar conditions to those applied for latispicine (1a) afforded 1f as a white solid (89 mg, 54.4%); m.p. 70–72 °C; 1H-NMR (300 MHz, CDCl3) δ 0.92 (d, 6H, J = 6.3 Hz), 1.50 (m, 2H), 1.79 (m, 1H), 2.02 (m, 2H), 2.15 (m, 2H), 3.14–3.25 (m, 6H), 4.54 (t, 2H, J = 8.7 Hz), 5.47–5.53 (m, 2H), 5.72 (d, 1H, J = 14.7 Hz), 6.08 (m, 2H), 6.70 (d, 1H, J = 8.1 Hz), 6.90 (d, 1H, J = 8.4 Hz), 7.00 (s, 1H), 7.17 (m, 1H); 13C-NMR (CDCl3)δ 20.1, 28.5, 28.6, 29.8, 31.9, 32.4, 38.5, 46.9, 71.2, 109.0, 121.9, 125.0, 127.0, 127.8, 128.5, 130.2, 130.7, 132.9, 141.2, 142.7, 158.3, 166.3; EIMS m/z 353 [M]+, 133 (100%); HREIMS: calcd for C23H31NO2, 353.2355; found, 353.2362.
N-Isobutyl-11-(2,3-dihydrobenzo [1,4] dioxin-6-yl)undeca-2E,4E,9E-trienamide (1g). Julia reaction of 8g (0.15 g, 0.40 mmol) under similar conditions to those applied for latispicine (1a) afforded 1g as a white solid (75 mg, 55.9%); m.p. 69–72 °C; 1H-NMR (300 MHz, CDCl3) δ 0.92 (d, 6H, J = 6.6 Hz), 1.50 (m, 2H), 1.80 (m, 1H), 2.01 (m, 2H), 2.14 (m, 2H), 3.14–3.22 (m, 4H), 4.23 (s, 4H), 5.45–5.52 (m, 2H), 5.72 (d, 1H, J = 14.7 Hz), 6.07 (m, 2H), 6.62–6.79 (m, 3H), 7.18 (m, 1H); 13C-NMR (CDCl3) δ 20.1, 28.5, 28.6, 31.9, 32.4, 38.3, 46.9, 64.3, 64.4, 117.0, 117.1, 121.3, 121.8, 128.5, 129.6, 131.0, 134.3, 141.2, 141.7, 142.7, 143.3, 166.4; EIMS m/z 369 [M]+, 149 (100%); HREIMS: calcd for C23H31NO3, 369.2304; found, 369.2298.
N-Isobutyl-11-(4-chlorophenyl)undeca-2E,4E,9E-trienamide (1h). Julia reaction of 8h (0.17 g, 0.49 mmol) under similar conditions to those applied for latispicine (1a) afforded 1h as a white solid (82 mg, 52.8%); m.p. 70–73 °C; 1H-NMR (300 MHz, CDCl3) δ 0.93 (d, 6H, J = 6.6 Hz), 1.52 (m, 2H), 1.81 (m, 1H), 2.04 (m, 2H), 2.15 (m, 2H), 3.17 (t, 2H, J = 6.6 Hz), 3.30 (d, 2H, J = 5.7 Hz), 5.47–5.57 (m, 2H), 5.73 (d, 1H, J = 15.3 Hz), 6.08 (m, 2H), 7.10–7.28 (m, 5H); 13C-NMR (CDCl3) δ 20.1, 28.4, 28.6, 31.9, 32.3, 38.3, 46.9, 122.0, 128.4, 128.6, 129.0, 129.8, 131.6, 131.7, 139.4, 141.1, 142.5, 166.4; EIMS m/z 345 [M]+, 125 (100%); HREIMS: calcd for C21H28NOCl, 345.1859; found, 345.1856.
N-isobutyl-11-(4-fluorophenyl)undeca-2E,4E,9E-trienamide (1i). Julia reaction of 8i (0.19 g, 0.57 mmol) under similar conditions to those applied for latispicine (1a) afforded 1i as a white solid (98 mg, 57.5%); m.p. 75–77 °C; 1H-NMR (300 MHz, CDCl3) δ 0.92 (d, 6H, J = 6.8 Hz), 1.50 (m, 2H), 1.80 (m, 1H), 2.03 (m, 2H), 2.15 (m, 2H), 3.16 (t, 2H, J = 6.4 Hz), 3.29 (d, 2H, J = 6.4 Hz), 5.46–5.56 (m, 2H), 5.73 (d, 1H, J = 14.8 Hz), 6.08 (m, 2H), 6.95 (m, 2H), 7.10–7.26 (m, 3H); 13C-NMR (CDCl3) δ 20.1, 28.5, 28.6, 31.9, 32.4, 38.2, 46.9, 115.0, 115.2, 121.9, 128.5, 129.4, 129.8, 129.8, 131.4, 141.2, 142.6, 166.3; EIMS m/z 329 [M]+, 109 (100%); HREIMS: calcd for C21H28NOF, 329.2155; found, 329.2147.
3.2. Animals
KM mice (18–22 g) of either sex were obtained from Laboratory Animal Center of the College of Medicine, Fudan University. Animals were housed in standard environmental conditions with free access to food and water. The animals were used only once throughout the study. They were allowed to acclimatize to the laboratory seven days before pharmacological tests. The experiment procedures were conducted in compliance with the National Institutes of Health Guide for Care and Use of the laboratory Animals.
3.3. Forced Swimming Test
Tween 80 was purchased from Sinopharm Chemical Reagent Co., Ltd (Shanghai, China), fluoxetine from Shanghai Zhongxi Pharmaceutical Co., Ltd. All other reagents were of analytical grade. All drugs were dissolved in saline with 2% Tween 80. Drugs (10 mg/kg/2 mL) were administered by intragastric (i.g.) route 60 min before the forced swimming tests. The control group received only saline with 2% Tween 80 simultaneously.
The forced swimming test adopted here is a modification of the method described by Porsoltetal [14]. Briefly, mice were individually forced to swim for 15 min in glass cylinders (height: 20 cm, diameter: 14 cm), containing 10 cm of water at 25 °C, which is a pre-test, and then mice were removed and dried before being returned to cages. Twenty-four hours later, mice were placed in the cylinders again for a 6-min test in the same system depicted above. The duration of immobility was recorded during the last 4 min of the 6-min testing period.
3.4. Statistical Analyses
Data obtained were expressed as mean ± SEM and analyzed by analysis of variance (ANOVA) followed by Bonferroni’s test. p-values less than 0.05 (p < 0.05) were used as the significant level. The percent of inhibition was determined using the following formula:
Inhibition (%) = 100 × [(control − experiment) / control].
3.5. hERG Inhibition
A CHO cell line stably expressing hERG potassium channels were voltage clamped using automated QPatch electrophysiology system. Test items were dissolved in DMSO and diluted with external recording buffer. Cells were exposed to test concentration for approximately 5 min or till a steady state block was reached at 20–35 °C. Each cell acted as its own control. Cisapride (1 M) was used as an internal positive control to confirm the sensitivity of the test system to hERG inhibition. The extent of inhibition of channel was expressed as a percentage of the control response (minus the test compound).
4. Conclusions
In conclusion, we have synthesized laetispicine (1a) and eight of its derivatives. The synthetic route achieved a good yield and high E/Z stereoselectivity (7 steps, 22.1% overall yield and E:Z ratio > 14:1) for laetispicine (1a). This methodology may potentially be applicable to the synthesis of other analogues of this family and facilitate further SAR research on laetispicine derivatives. Based on the outcomes of a forced swimming test and hERG channel binding studies, compounds 1h and 1i were identified as potential new lead antidepressant compounds. Further studies based on this kind of scaffold are in progress and will be reported in due course.
Supplementary Materials
Supplementary materials can be accessed at: http://www.mdpi.com/1420-3049/17/2/1425/s1.
Acknowledgments
This work was supported by National Science & Technology Major Project “Key New Drug Creation and Manufacturing Program”, China (numbers: 2009ZX09301-001, 2009ZX09501-010 and 2009ZX09103-075).
References and Notes
- Mark, S.B. Natural products to drugs: Natural product derived compounds in clinical trials. Nat. Prod. Rep. 2005, 22, 162–195. [Google Scholar]
- Park, C.H.; Choi, S.H.; Seo, J.H.; Koo, J.W.; Seo, H.S.; Kim, H.S.; Jeong, S.J.; Suh, Y.H. Novel cognitive improving and neuroprotective activities of Polygala tenuifolia Willdenow extract. J. Neurosci. Res. 2002, 70, 484–492. [Google Scholar] [CrossRef]
- Mantle, D.; Pickering, A.T.; Perry, E.K. Medicinal plant extracts for the treatment of dementia: A review of their pharmacology, efficacy and tolerability. CNS Drugs 2000, 13, 201–213. [Google Scholar] [CrossRef]
- Pan, S.L.; Qian, F.G.; Wen, R.; Xie, J.; Wang, J.; Shao, Y.C.L. Laetispicine and laetispicine analogues, methods of use and preparation. U.S. Patent 6,858,648 B2.
- Pan, S.L.; Qian, F.G.; Wang, J.; Sun, F.Y.; Xie, J.; Shao, Y.C. The use of laetispicine for manufacture of pharmaceutical compounds. WO 2006000158. 2006.
- Yao, C.Y.; Wang, J.; Dong, D.; Qian, F.G.; Xie, J.; Pan, S.L. Laetispicine, an amide alkaloid from Piper laetispicum, presents antidepressant and antinociceptive effects in mice. Phytomedicine 2009, 16, 823–829. [Google Scholar]
- Liu, T.Y.; Chen, C.C.; Chen, C.L.; Chi, C.W. Safrole-induced oxidative damage in the liver of Sprague-Dawley rats. Food Chem. Toxicol. 1999, 37, 697–702. [Google Scholar]
- Qiu, Y.; Li, D. Bifunctional inhibitors of mevalonate kinase and mevalonate 5-diphosphate decarboxylase. Org. Lett. 2006, 8, 1013–1016. [Google Scholar] [CrossRef]
- Kinoshita, H.; Shinokubo, H.; Oshima, K. Synthesis of medium- and large-sized lactones in an aqueous-organic biphasic system. Angew. Chem. Int. Ed. 2005, 44, 2397–2400. [Google Scholar] [CrossRef]
- Wadsworth, W.S.; Emmons, W.D. The utility of phosphonate carbanions in olefin synthesis. J. Am. Chem. Soc. 1961, 83, 1733–1738. [Google Scholar] [CrossRef]
- Bennacer, B.; Trubuil, D.; Rivalle, C.; Grierson, D.S. The synthesis of two furan-based analogues of the α’, β’-epoxy ketone proteasome inhibitor eponemycin. Eur. J. Org. Chem. 2003, 4561–4568. [Google Scholar]
- Akita, H.; Sutou, N.; Sasaki, T.; Kato, K. Alternative synthesis of cystothiazole A. Tetrahedron 2006, 62, 11592–11598. [Google Scholar]
- Blakemore, P.R.; Cole, W.J.; Kocienski, P.J.; Morley, A. A stereoselective synthesis of trans-1,2-disubstituted alkenes based on the condensation of aldehydes with metallated 1-phenyl-1H-tetrazol-5-yl sulfones. Synlett 1998, 26–28. [Google Scholar]
- Porsolt, R.D.; Le Pichon, M.; Jalfre, M. Depression: A new animal model sensitive to antidepressant treatments. Nature 1977, 266, 730–732. [Google Scholar]
- Sample Availability: Samples of the compounds 1a–i are available from the authors.
© 2012 by the authors; licensee MDPI, Basel, Switzerland. This article is an open-access article distributed under the terms and conditions of the Creative Commons Attribution license (http://creativecommons.org/licenses/by/3.0/).








