Next Article in Journal
Efficacy of Carbazole Alkaloids, Essential Oil and Extract of Murraya koenigii in Enhancing Subcutaneous Wound Healing in Rats
Previous Article in Journal
Antifungal Activity of Thymus vulgaris L. Essential Oil and Its Constituent Phytochemicals against Rhizopus oryzae: Interaction with Ergosterol
 
 
Font Type:
Arial Georgia Verdana
Font Size:
Aa Aa Aa
Line Spacing:
Column Width:
Background:
Article

Synthesis and Microbiological Evaluation of New 2- and 2,3-Diphenoxysubstituted Naphthalene-1,4-diones with 5-Oxopyrrolidine Moieties

by
Aušra Voskienė
1,
Birutė Sapijanskaitė
1,
Vytautas Mickevičius
1,
Ilona Jonuškienė
1,*,
Maryna Stasevych
2,
Olena Komarovska-Porokhnyavets
2,
Rostyslav Musyanovych
2 and
Volodymyr Novikov
2
1
Department of Organic Chemistry, Kaunas University of Technology, Radvilėnų pl. 19, LT-50254 Kaunas, Lithuania
2
Department of Technology of Biologically Active Substances, Pharmacy Biotechnology, National University “Lviv Politechnic” Bandera str. 12, 79013, Lviv-13, Ukraine
*
Author to whom correspondence should be addressed.
Molecules 2012, 17(12), 14434-14448; https://doi.org/10.3390/molecules171214434
Submission received: 9 October 2012 / Revised: 26 November 2012 / Accepted: 3 December 2012 / Published: 5 December 2012
(This article belongs to the Section Organic Chemistry)

Abstract

:
New 3-substituted 1-(3-hydroxyphenyl)-5-oxopyrrolidine derivatives containing hydrazone, azole, diazole, oxadiazole fragments, as well as 2-phenoxy- and 2,3-diphenoxy-1,4-naphthoquinone derivatives were synthesized. The structure of all compounds has been confirmed by NMR, IR, mass spectra, and elemental analysis data. Methyl 1-{3-[(3-chloro-1,4-dioxo-1,4-dihydro-2-naphthalenyl)oxy]phenyl}-5-oxo-3-pyrrolidinecarboxylate demonstrated potential antibacterial and antifungal activities as determined by diffusion and serial dilution methods, while N'-[(4-bromophenyl)methylidene]-1-{3-[(3-chloro-1,4-dioxo-1,4-dihydro-2-naphthalenyl)oxy]phenyl}-5-oxo-3-pyrrolidinecarbohydrazide and 2-{3-[4-(1,2,3-oxadiazol-5-yl)-2-oxo-1-pyrrolidinyl]phenoxy}-3-{3-[4-(1,3,4-oxadiazol-2-yl)-2-oxo-1-pyrrolidinyl]phenoxy}naphthoquinone showed antifungal activity against Candida tenuis and Aspergillus niger at low concentrations, as determined by the serial dilution method. The substitution of the methoxy fragment by N-containing substituents in monophenoxy substituted naphthoquinones was found to decrease their activity against Mycobacterium luteum. Besides, introduction of the second phenoxy substituted fragment increased the antifungal activity against Candida tenuis and Aspergillus niger at lower concentrations.

1. Introduction

Quinones are important compounds widely spread in Nature. Compounds containing 1,4-naphthoquinone moiety exhibit a broad spectrum of biological activities such as cytotoxic [1,2] antiviral [3,4] anti-inflammatory [5,6] antimalarial [7], antibacterial [8,9], antifungal [10] and antiproliferative properties [11]. Naphthoquinones are particularly important in dye chemistry, and recently they have been used for new infrared dyes in optical recording media [12,13,14]. The aim of this research was to synthesize some new 2,3-disubstituted 1,4-naphthoquinone derivatives and to screen their antibacterial and antifungal activity.
The incidence of fungal and bacterial infections has increased dramatically in recent years. The widespread use of antifungal and antibacterial drugs and the development of resistance against them of fungal and bacterial infections has led to serious health hazards. The resistance against wide spectrum antifungal and antibacterial agents has prompted the discovery of new antifungal and antibacterial drugs. The amino and thioether derivatives of 1,4-naphthoquinones have extremely rich biological activities because of their redox potentials [15]. The recent pharmacophore modelling approach and three dimensional quantitative structure-activity (3D-QSAR)/comparative molecular similarity indices analysis (CoMSIA) methods applied to 2,3-disubstituted-1,4-naphthoquinones and heterocyclic 1,4-naphthoquinones in human promyelocytic leukemia HL-60 cell line have explained the pronounced cytotoxic activity of these derivatives [11]. The natural naphthoquinone products alkannin and shikonin and their derivatives are active against Gram-positive bacteria such as Staphylococcus aureus, Enterococcus faecium and Bacillus subtilis. 2,3-Diamino-1,4-naphthoquinone itself was found to act as an antibacterial agent against Staphylococcus aureus, with IC50 values ranging from 30 to 125 µg/mL [16]. The prevalence of strains of Staphylococcus aureus resistant to conventional antibiotics has increased to high levels in some hospitals. The biological activity of several well-known and widely used anthracycline antibiotics such as daunomycin and doxorubicin is thought to be associated to the hydroxyquinone structure. Moreover, equivalent active sites are also present in the tetracycline antibiotics as well as in myxopyronin. The antibacterial effect is also related to naphthoquinones from vegetal origin and isoxazolyl-naphthoquinones. In addition, the fungitoxic effect of 1,4-naphto-quinones and the antiviral activity of some hydroxyquinones have been described [17].
Various 2,3-disubstituted 1,4-naphthoquinone derivatives can be prepared from 2,3-dichloro-1,4-naphthoquinone by its reactions with amino- and hydroxy substituted compounds. In our previous study [18], a series 2- and 2,3-disubstituted [2,4-dioxotetrahydropyrimidin-1(2H)-yl)phenoxy]-naphthalene-1,4-diones were synthesized, and some of them exhibited antimicrobial activity against Staphylococcus aureus, Mycobacterium luteum, Candida tenuis and Aspergillus niger.

2. Results and Discussion

2.1. Synthesis and Structural Peculiarities of New Compounds

In this work, we describe the synthesis of new 2- and 2,3-diphenoxy-substituted 1,4-naphthquinone derivatives containing hydrazone, azole, diazole and oxadiazole fragments, and investigation their microbiological activity. The target compounds 211 were synthesized as illustrated in Scheme 1 and Scheme 2. Methyl 1-(3-hydroxyphenyl)-5-oxo-3-pyrrolidinecarboxylate (2) was synthesized by esterification of 1-(3-hydroxyphenyl)-5-oxo-3-pyrrolidine carboxylic acid (1) with an excess of methanol under reflux in the presence of a catalytic amount of sulphuric acid (Scheme 1). Reaction of ester 2 with hydrazine hydrate in 2-propanol under reflux gave 1-(3-hydroxyphenyl)-5-oxo-3-pyrrolidine-carbohydrazide 3, which crystallized from the reaction mixture after cooling. Condensation of compound 3 with aromatic aldehydes and acetone gave hydrazone-type derivatives – 1-(3-hydroxyphenyl)-5-oxo-N'-(phenylmethylidene)-3-pyrrolidinecarbohydrazides 4ac and 1-(3-hydroxy- phenyl)-N'-(1-methylethylidene)-5-oxo-3-pyrrolidinecarbohydrazide (5). Then diketones – 2,4-pentanedione and 2,5-hexanedione – were used in condensation reaction with carbohydrazide 3, dimethylpyrazole, and dimethylpyrrole derivatives 6,7 were thus obtained. The reactions were carried out in 2-propanol in the presence of acetic or hydrochloric acids as catalysts. The formation of heterocyclic systems in compounds 6 and 7 has been confirmed by the characteristic 1H-NMR peak signals at 6.23 ppm and 5.65 ppm, attributed to the CH group proton in the dimethylpyrazole moiety and two protons of CH groups in the dimethylpyrrole one, respectively.
Scheme 1. Synthesis of 3-substituted 1-(3-hydroxyphenyl)-5-oxopyrrolidines.
Scheme 1. Synthesis of 3-substituted 1-(3-hydroxyphenyl)-5-oxopyrrolidines.
Molecules 17 14434 g001
Compounds 4ac, containing amide and azomethine groups, theoretically can exist as an inseparable mixture of four isomers. The amide group determines the splitting of resonances in 1H- and 13C-NMR spectra due to the restricted rotation around the (E/Z) amide bond. The lone pair of the nitrogen atom in the azomethine group affects the neighbouring atoms and causes formation of geometrical isomers (cis/trans) [19,20,21]. The 13C-NMR spectra of 4ac exhibited a double set of resonances of CO, N=CH, pyrrolidinone ring carbons and even some of the benzene ring ones. The data presented above allow us to conclude that the cis/trans geometrical isomers of the azomethine group are not observed. The E/Z ratio of amide conformers can be easily quantified by NMR spectroscopy, and it is about 40/60 for compounds 4ac. Geometrical isomers are not formed in the case of compound 5, since two identical terminal methyl substituents are positioned at the double bond; therefore, only a mixture of s-cis and s-trans rotamers is observed in the 1H-NMR spectrum.
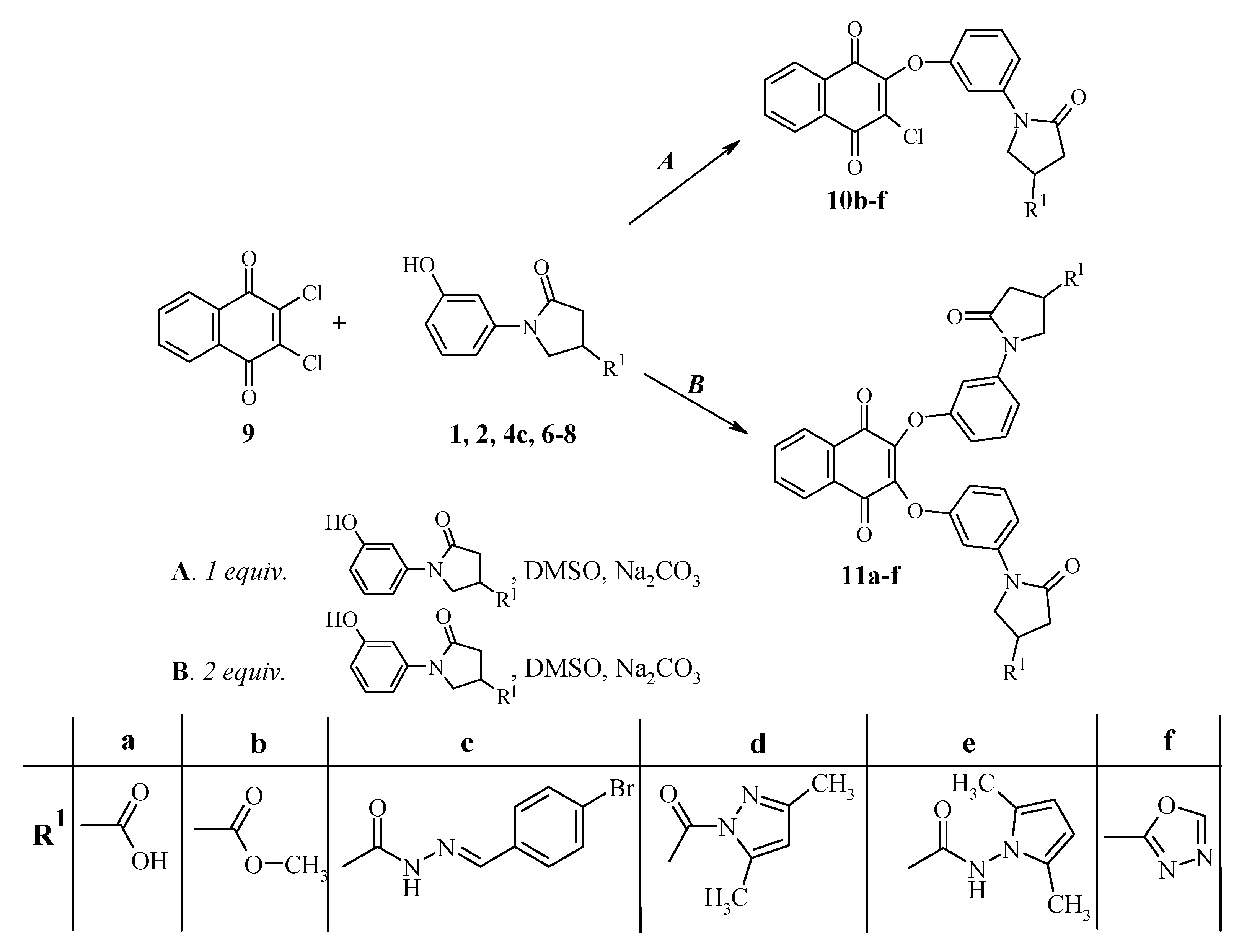
The monophenoxy- and diphenoxy substituted naphthoquinone derivatives 10, 11, containing different substituents in pyrrolidinone moiety, were synthesized by reactions of 1-(3-hydroxyphenyl)-5-oxopyrrolidine-3-carboxylic acid and their derivatives 1, 2, 4c, 68 with 2,3-dichloro-1,4-naphtho-quinone (9).
3-Substituted 1-[3-(3-chloro-1,4-dioxo-1,4-dihydro-naphthalene-2-yloxy)phenyl]-5-oxopyrrolidine derivatives 10bf were obtained by stirring the mixture of the respective 1-(3-hydroxyphenyl)-5-oxopyrrolidine-3-carboxylic derivatives 2, 4c, 68, 2,3-dichloro-1,4-naphthoquinone (9), and sodium carbonate in dimethyl sulfoxide for 24 hours at room temperature (Scheme 2). The reaction was finished by diluting the reaction mixture with water, causing the products to precipitate. It was noticed that, along with the target products, small amounts of 2,3-disubstituted derivatives 11 were formed. Therefore, reactions of 2,3-dichloro-1,4-naphthoquinone (9) with an excess of hydroxyl-substituted compounds 1, 2, 4c, 68 were carried out, affording 1-[3-({3-[3-(4-carboxy-2-oxo-1-pyrrolidinyl)-phenoxy]-1,4-dioxo-1,4-dihydro-2-naphthalenyl}oxy)phenyl]-5-oxo-3-pyrrolidinecarboxylic acid and its derivatives 11af.
Scheme 2. Synthesis of phenoxy-substituted 1,4-naphthoquinone derivatives.
Scheme 2. Synthesis of phenoxy-substituted 1,4-naphthoquinone derivatives.
Molecules 17 14434 g002
The structures of all synthesized compounds were confirmed by mass spectrometry, IR, 1H-, and 13C-NMR spectroscopy data. A comparison of the 1H-NMR spectra of 10 and 11 revealed the integral intensities of the proton signals to confirm the formation of monosubstituted naphthoquinone in the first and disubstituted derivative in the second case. These spectra showed identical signals for the functional group protons.

2.2. Antimicrobial Evaluation of Synthesized Compounds

The synthesized 2,3-disubstituted naphthalene-1,4-diones 10bf and 11bf were evaluated for their antibacterial and antifungal activity against Escherichia coli В-906, Staphylococcus aureus 209-Р, Mycobacterium luteum В-917 (as nonpathogenic test bacteria culture representative of the genus Mycobacterium, which are classified as acid resistant Gram-positive bacteria, because they have no outer cell membrane in their cell walls), Candida tenuis VCM Y-70, and Aspergillus niger VCM F-1119 strains by the diffusion [22] and serial dilution techniques [23] (determination of minimal inhibition concentrations, MIC). Their activity was compared with that of the known antibacterial agent vancomycin and the antifungal agent nystatin.
As one can see from the data presented in Table 1, S. aureus was low-sensitive to monophenoxy-substituted compounds 10b and 10f and not sensitive to other mono- and disubstituted naphthoquinones at the investigated concentrations (diffusion method). The bacterial strain Mycobacterium luteum was low-sensitive to naphthoquinones 10b and 11b, for which the diameter of the inhibition zones at 0.5% concentration was 11.4–12.0 mm. Test-culture E. coli B-906 appeared not to be sensitive to the monophenoxy- and diphenoxy-substituted naphthoquinones investigated by the diffusion method. For all compounds 10bf and 11bf the growth of bacteria E. coli and S. aureus was observed at the study concentrations, indicating the absence of biocidic activity of these compounds against the studied bacteria.
Table 1. Bactericidal and fungicidal activities of 10bf and 11bf determined by diffusion method.
Table 1. Bactericidal and fungicidal activities of 10bf and 11bf determined by diffusion method.
CompoundConcentration, %Inhibition diameter of microorganism growth, mm
S. aureusM. luteumC. tenuisA. niger
10b0.58.011.415.015.0
0.17.08.713.014.0
10c0.50007.0
10f0.58.0014.417.4
0.16.0010.014.4
11b0.5012.006.0
0.107.000
11c0.50007.0
11d0.50007.0
11e0.50007.0
11f0.50009.0
C *0.115.018.019.020.0
* Vancomycin was used as a control in the tests of antibacterial activity of the synthesized compounds and Nystatin was used in the tests of antifungal action.
The evaluation of antifungal activity (diffusion method) has revealed the monophenoxy-substituted naphthoquinones 10b, 10f to show a moderate fungicidal effect against C. tenuis and A. niger at 0.5% concentration (the inhibition zone diameter for strain C. tenuis was 15.0 and 14.4 mm and for the one for A. niger was 15.0 and 17.4 mm, respectively).
Evaluation by the serial dilution method of compounds 10b, 10d and 11f showed a minimal inhibition action against the M. luteum bacterial strain at concentrations of 62.5, 250 and 125 μg/mL, respectively (Table 2). Compounds 10b11f didn’t show antibacterial activity against E. coli and S. aureus by the serial dilution method.
Table 2. Bactericidal and fungicidal activity of 10bf and 11bf determined by the serial dilution method.
Table 2. Bactericidal and fungicidal activity of 10bf and 11bf determined by the serial dilution method.
CompoundMIC, μg/mL
M. luteumC. tenuisA. niger
10b62.562.57.8
10c+1.93.9
10d250.0++
10e+++
10f+31.262.5
11b+31.2+
11c+250+
11d+62.5+
11e+15.6+
11f125.03.97.8
+ – growth of microorganisms.
Evaluation by the serial dilution method revealed the MIC for substances 10b,f,c to be 1.9–62.5 μg/mL against C. tenuis, and for the one for 10b,f,c and 11f to be 3.9–62.5 μg/mL against A. niger.
Thus, some promising compounds, especially 10c and 11f, with antifungal activity against Candida tenuis and Aspergillus niger fungi at low concentrations were identified among the synthesized compounds by the serial dilution method. Compounds with antibacterial activity against gram-positive bacteria M. luteum at concentrations 62.5–250 μg/mL were identified. The compound 10b had antibacterial and antifungal activities as determined by diffusion and serial dilution methods.
The substitution of the methoxy fragment by N-containing substituents in monophenoxysubstituted naphthoquinones decreased antibacterial activity against Mycobacterium luteum. Besides, introduction of the second phenoxy substituted fragment increased the antifungal activity against Candida tenuis and Aspergillus niger at lower concentrations. Based on these data, the following correlation between structure and antibacterial and antifungal activities of the investigated naphthoquinones was made (diffusion method). For S. aureus:
Molecules 17 14434 i001
For A. niger:
Molecules 17 14434 i002
The antimicrobial activity of the tested compounds correlates with their structure. It has been observed that synthesized naphthoquinones containing chlorine atoms in the 2,3-disubstituted naphthoquinone moiety show more significant antibacterial and antifungal activities in comparison with 2,3-diphenoxy-substituted naphthoquinone derivatives. 2,3-Disubstituted derivatives 10b and 11b containing methyl carboxylate groups in the pyrrolidinone ring exhibited the highest biological activity. Transformation of this group to hydrazone, dimethylpyrrole, dimethylpyrazole or oxazole substituents decreased the biological activity.

3. Experimental

3.1. General

The 1H- and 13C-NMR spectra were recorded on Varian Unity Inova (300 MHz, 75 MHz) spectrometer operating on Fourier transform mode, using DMSO-d6 and CDCl3 as solvents and TMS as an internal standart (chemical shifts in δ, ppm). IR spectra (ν, cm−1) were recorded on a Perkin Elmer Spectrum BX FT–IR spectrometer, KBr tablets. Mass spectra were obtained on Waters ZQ 2000 spectrometer using the atmospheric pressure chemical ionization (APCI) mode and operating at 25 V. Elemental analyses were performed on CE-440 elemental analyzer. Melting points were determined on automatic APA1 melting point apparatus and are uncorrected. TLC was performed on Merck, Silica gel 60 F254 (Kieselgel 60 F254) silica gel plates.
Methyl 1-(3-hydroxyphenyl)-5-oxopyrrolidine-3-carboxylate (2). A mixture of 5-oxopyrrolidine 1 (17.7 g, 0.08 mol), methanol (100 mL) and catalytic amount of conc. H2SO4 was refluxed for 5 h. Then the solvent was evaporated. The precipitated product was neutralized with 5% sodium bicarbonate solution and filtered off, washed with 2-propanol. The crude product was recrystallized from 2-propanol. White crystals, (15.9 g, 85%), m.p. 188–189 °C; νmax/cm−1 1660 and 1740 (C=O) and 3159 (OH). 1H-NMR (DMSO-d6): δH 2.65–2.86 (2H, m, CH2CO), 3.38–3.49 (1H, m, CH), 3.67 (3H, s, CH3), 3.88–4.06 (2H, m, NCH2), 6.52–7.28 (4H, m, HAr), 9.50 (1H, s, OH). 13C-NMR (DMSO-d6) δC 34.8 (CH), 35.1 (CH2CO), 49.8 (CH2N), 52.1 (CH3), 106.7, 109.8, 111.3, 129.4, 140.0, 157.5 (CAr), 171.4, 173.1 (C=O). MS, m/z, (%) = 258 ([M+Na]+ 100); Anal. Calcd for C12H13NO4 (235.24): C, 61.27; H, 5.57; N, 5.95. Found: C, 61.34; H, 5.51; N, 5.89.
1-(3-Hydroxyphenyl)-5-oxopyrrolidine-3-carbohydrazide (3). A mixture of ester 2 (11.0 g, 0.047 mol), 2-propanol (100 mL) and 98% hydrazine hydrate (8.0 g, 0.16 mol) was refluxed for 5 h. The reaction mixture was cooled, the precipitate was filtered off, washed with 2-propanol and purified by recrystallization from water. White crystals, (10.1 g, 92%), m.p. 208–209 °C; νmax/cm−1 1697 and 1660 (C=O), 3131 (OH), 3314 and 3253 (NH, NH2). 1H-NMR (DMSO-d6): δH 2.55–2.75 (2H, m, CH2CO), 3.07–3.19 (1H, m, CH), 3.74–3.98 (2H, m, NCH2), 4.29 (2H, br. s, NH2), 6.52–7.26 (4H, m, HAr), 9.27 (1H, s, NH), 9.48 (1H, s, OH). 13C-NMR (DMSO-d6) δC 33.9 (CH), 35.8 (CH2CO), 50.7 (CH2N), 106.6, 109.7, 111.2, 129.4, 140.2, 157.5 (CAr), 171.6, 171.9 (C=O). MS, m/z, (%) = 258 ([M+Na]+ 100); Anal. Calcd for C11H13N3O3 (235.24): C, 56.16; H, 5.57; N, 17.86. Found: C, 56.22; H, 5.32; N, 17.84.

3.2. General Synthetic Procedure for the Synthesis of Hydrazones 4a–c

A mixture of hydrazide 3 (3.5 g, 0.015mol), the corresponding aldehyde (0.016 mol) and 2-propanol (30 mL) was refluxed for 3 h. The reaction mixture was cooled, the precipitate was filtered off and washed with 2-propanol.
1-(3-Hydroxyphenyl)-5-oxo-N'-(phenylmethylene)pyrrolidine-3-carbohydrazide (4a). White crystals, (4.36 g, 91%), m.p. 194–195 °C; νmax/ cm−1 1590 (C=N), 1664 and 1693 (C=O), 3225 (OH) and 3334 (NH). 1H-NMR (DMSO-d6): δH (E/Z, 40/60) 2.68–2.89 (2H, m, CH2CO), 3.27–3.38 (1H, m, CH), 3.89–4.14 (2H, m, NCH2), 6.52–7.77 (9H, m, HAr), 8.04, 8.22 (1H, 2s, NCH), 9.47 (1H, s, OH), 11.57, 11.63 (1H, 2s, NH). 13C-NMR (DMSO-d6) δC 32.7, 34.7, 35.0, 32.7 (CH, CH2CO), 50.1, 50.5 (CH2N), 106.6, 109.8, 111.1, 126.8, 126.9, 128.8, 129.3, 129.8, 130.0, 134.0, 140.1, 140.2, 143.6, 146.9, 157.5, 168.6, (CAr, NCH), 171.7, 171.9, 173.5 (C=O). MS, m/z, (%) = 346 ([M+Na]+ 100); Anal. Calcd for C18H17N3O3 (323.35): C, 66.86; H, 5.30; N, 13.00. Found: C, 66.75; H, 5.24; N, 13.08.
1-(3-Hydroxyphenyl)-N'-[(4-methoxyphenyl)methylene]-5-oxopyrrolidine-3-carbohydrazide (4b). White crystals, (4.68 g, 89%), m.p. 200–201 °C (from dioxane); νmax/cm−1 1600 (C=N), 1609 and 1661, (C=O), 3088 (OH) and 3231 (NH). 1H-NMR (DMSO-d6): δH (E/Z, 40/60) 2.65–2.85 (2H, m, CH2CO), 3.24–3.37 (1H, m, CH), 3.85–4.14 (2H, m, NCH2), 6.51–7.69 (8H, m, HAr), 7.98, 8.16 (1H, 2s, NCH), 9.47 (1H, s, OH), 11.44, 11.50 (1H, 2s, NH). 13C-NMR (DMSO-d6) δC 32.7, 34.7, 35.0, 35.8 (CH, CH2CO), 50.1, 50.6 (CH2N), 55.2 (OCH3), 106.6, 109.8, 111.1, 114.3, 126.7, 128.4, 128.6, 129.3, 140.2, 143.4, 146.8, 157.5, 160.6, 160.8, 168.4 (CAr, N=CH), 171.8, 171.9, 173.2 (C=O). MS, m/z, (%) = 376,6 ([M+Na]+ 100); Anal. Calcd for C19H19N3O4 (353.38): C, 64.58; H, 5.42; N, 11.89. Found: C, 64.42; H, 5.39; N, 11.79.
1-(3-Hydroxyphenyl)-N'-[(4-bromophenyl)methylene]-5-oxopyrrolidine-3-carbohydrazide (4c). White crystals, (5.27 g, 88%), m.p. 255–256 °C (from dioxane); νmax/cm−1 1599 (C=N), 1663 and 1698 (C=O), 2973 (OH) and 3172 (NH). 1H-NMR (DMSO-d6): δH (E/Z, 40/60) 2.64–2.89 (2H, m, CH2CO), 3.26–3.40 (1H, m, CH), 3.85–4.18 (2H, m, NCH2), 6.49–7.70 (8H, m, HAr), 8.01, 8.19 (1H, 2s, NCH), 9.47 (1H, s, OH), 11.63, 11.71 (1H, 2s, NH). 13C-NMR (DMSO-d6) δC 32.7, 34.7, 34.9, 35.7 (CH, CH2CO), 50.0, 50.5 (CH2N), 106.6, 109.8, 111.1, 123.0, 123.3, 128.7, 128.9, 129.3, 131.7, 133.4, 140.1, 140.2, 142.4, 145.7, 157.5 (CAr), 171.6, 171.9 173.6 (C=O). MS, m/z, (%) = 403 ([M+H]+ 95), 405 ([M+H+2]+ 100). Anal. Calcd for C18H16BrN3O3 (402.25): C, 53.75; H, 4.01; N, 10.45. Found: C, 53.31; H, 4.19; N, 10.71.
1-(3-Hydroxyphenyl)-N'-isopropylidene-5-oxopyrrolidine-3-carbohydrazide (5). A mixture of compound 3 (1.0 g 4.3 mmol) and dry 2-propanone (30 mL) was refluxed for 4 h. The solvent was evaporated under vacuum, and the precipitated product was filtered off, washed with ethyl ether and purified by recrystallization from 2-propanol. White crystals, (0.8 g, 68%), m.p. 185–186 °C; IR νmax/cm−1 1597 (C=N), 1675, 1659 (C=O), 3180 (OH) and 3235 (NH). 1H-NMR (DMSO-d6): δH (E/Z, 55/45)1.87, 1.88 (3H, 2s, CH3), 1.93 (3H, s, CH3), 2.59–2.80 (2H, m, CH2CO), 3.34–3,47 (1H, m, CH), 3.77–4.06 (2H, m, NCH2), 6.51–7.29 (4H, m, HAr), 9.46 (1H, s, OH), 10.21, 10.30 (1H, 2s, NH). 13C-NMR (DMSO-d6) δC 17.1, 17.6, 24.9, 25.2 (2CH3), 32.8, 34.2, 35.1, 35.9 (CH, CH2CO), 50.2, 50.9 (CH2N), 106.6, 106.6, 109.7, 109.8, 111.1, 129.3, 140.2, 140.3, 151.2, 156.1, 157.4, 168.6 (CAr), 171.9, 172.0, 173.6 (C=O). MS, m/z, (%) = 298.6 ([M+Na]+ 100); Anal. Calcd for C14H17N3O3 (275.31): C, 61.08; H, 6.22; N, 15.26. Found: C, 60.98; H, 6.31; N, 15.30.
N-(2,5-Dimethyl-1H-pyrrol-1-yl)-1-(3-hydroxyphenyl)-5-oxopyrrolidine-3-carboxamide (6). To a solution of hydrazide 3 (3.0 g, 0.013 mol) in 2-propanol (40 mL) 2,5-hexanedione (4.6 g, 0.04 mol) and glacial acetic acid (3 mL) were added. The reaction mixture was stirred and refluxed for 6 h. Then it was cooled to room temperature. The precipitated product was filtered off, washed with ethyl ether and recrystallized from 2-propanol. White crystals, (2.8 g, 70%), m.p. 170–171 °C; νmax/cm−1 1603, 1676 (C=O), 3046 (OH) and 3247 (NH). 1H-NMR (DMSO-d6): δH 1.99 (6H, s, 2CH3), 2.67–2.94 (2H, m, COCH2), 3.39–3.51 (1H, m, CH), 3.88–4.15 (2H, m, NCH2), 5.65 (2H, 2, 2CH), 6.53–7.28 (m, 4H, HAr), 9.51 (1H, s, OH), 10.92 (1H, s, NH). 13C-NMR (DMSO-d6) δC 10.8 (2CH3), 33.9 (CH), 35.7 (CH2CO), 50.4 (CH2N), 103.0, 106.7, 109.9, 111.3, 126.7, 129.4, 140.1, 157.5 (Cpyrrole, CAr), 171.4, 171.8 (2C=O). MS, m/z, (%) = 336 ([M+Na]+ 100); Anal. Calcd for C17H19N3O3 (313.36): C, 65.16; H, 6.11; N, 13.41. Found: C, 65.22; H, 6.06; N, 13.45.
4-[(3,5-Dimethyl-1H-pyrazol-1-yl)carbonyl]-1-(3-hydroxyphenyl)pyrrolidin-2-one (7). A mixture of hydrazide 3 (3.0 g, 0.013 mol), 2,4-pentanedione (4.0 g, 0.04 mol), 2-propanol (30 mL) and a catalytic amount of hydrochloric acid was refluxed for 6 h. The solvent was evaporated under vacuum to dryness, and the oily product was triturated with ethyl ether. The obtained solid was filtered off and washed with ethyl ether. The crude product was purified by recrystallization from 2-propanol. White crystals, (2.0 g, 53%), m.p. 165–166 °C; νmax/cm−1 1601 (C=N), 1663, 1722, (C=O) and 3148 (OH). 1H-NMR (DMSO-d6): δH 2.21, (3H, s, CH3), 2.48 (3H, s, CH3), 2.76–2.94 (2H, m, COCH2), 3.94–4.20 (2H, m, NCH2), 4.39–4.51 (1H, m, CH), 6.23(1H, s, CH), 6.52–7.25 (4H, m, HAr), 9.49 (1H, s, OH). 13C-NMR (DMSO-d6) δC 13.5, 13.9 (2CH3), 35.2 (CH), 35.2 (CH2CO), 50.1 (CH2N), 106.7, 109.9, 111.2, 111.5, 129.3, 139.9, 143.8, 152.0, 157.4 (Cpyrazole, CAr), 171.4, 171.5 (C=O). MS, m/z, (%) = 322 ([M+Na]+ 100); Anal. Calcd for C16H17N3O3 (299.34): C, 64.20; H, 5.72; N, 14.04. Found: C, 64.31; H, 5.75; N, 14.08.
1-(3-Hydroxyphenyl)-4-[1,3,4]oxadiazol-2-yl-pyrrolidin-2-one (8). A mixture of compound 3 (7.0 g, 0.03 mol), triethyl orthoformate (35.6 g, 0.24 mol) and p-toluenesulfonic acid (1.14 g, 6 mmol) was refluxed for 8 h. After cooling, the precipitate was filtered off, washed with ethyl ether and purified by recrystallization from 2-propanol. White crystals, (3.32 g, 46%), m.p. 181–182 °C; νmax/cm−1 1600 (C=N), 1679 (C=O) and 3184 (OH). 1H-NMR (DMSO-d6): δH 2.81–3.12 (2H, m, CH2CO), 4.02–4.31 (3H, m, NCH2, CH), 6.52–7.27 (4H, m, HAr), 9.22 (1H, s, N=CH), 9.48 (1H, s, OH); 13C-NMR (DMSO-d6) δC 27.5 (CH), 35.9 (CH2CO), 50.6 (CH2N), 106.9, 109.9, 111.4, 129.3, 139.8, 154.7, 157.4, 166.4 (Coxadiazole, CAr), 170.9 (C=O); MS, m/z, (%) = 268 ([M+Na]+ 100); Anal. Calcd for C12H11N3O3 (245.24): C, 58.77; H, 4.52; N, 17.13. Found: C, 58.59; H, 4.41; N, 17.19.

3.3. General Synthetic Procedure for the Synthesis of Compounds 10b–f

A mixture of 2,3-dichloro-1,4-naphthoquinone 9 (0.88 g 3.9 mmol), the corresponding 1-(3-hydroxyphenyl)-5-oxopyrrolidine derivative 2, 4c, 68 (3.9 mmol), sodium carbonate (1.0 g) in dimethyl sulfoxide (15 mL) was stirred at room temperature for 24 h. The reaction mixture was diluted with water (70 mL), the precipitate was filtered off and washed with water.
Methyl 1-{3-[(3-chloro-1,4-dioxo-1,4-dihydro-2-naphthalenyl)oxy]phenyl}-5-oxo-3-pyrrolidinecarboxylate (10b). The crude product was purified by chromatography on a silica gel 60 column (2-propanone-hexane, 1:1), Rf 0.56. Yellow crystals, (1.0 g, 61%), m.p. 144–145 °C; νmax/cm−1 1663, 1679, 1692 and 1736 (C=O). 1H-NMR (DMSO-d6): δH 2.66–2.86 (2H, m, COCH2), 3.38–3.50 (1H, m, CH), 3.66 (3H, s, CH3), 3.91–4.11 (2H, m, NCH2), 6.92–8.15 (8H, m, HAr). 13C-NMR (DMSO-d6) δC 34.8 (CH), 35.1 (CH2CO), 49.7 (CH2N), 52.1 (OCH3), 107.3, 111.6, 114.3, 126.5, 126.6, 129.7, 130.5, 131.3, 133.5, 134.4, 134.6, 140.3, 152.3, 156.3 (CAr), 171.8, 172.9, 177.7, 178.1 (C=O). MS, m/z, (%) = 449 ([M+Na]+ 100), 451 ([M+Na+2]+ 35); Anal. Calcd for C22H16ClNO6 (425.83): C, 62.05; H, 3.79; N, 3.29. Found: C, 62.10; H, 3.88; N, 3.18.
N'-[(4-Bromophenyl)methylidene]-1-{3-[(3-chloro-1,4-dioxo-1,4-dihydro-2-naphthalenyl)oxy]phenyl}-5-oxo-3-pyrrolidinecarbohydrazide (10c). The crude product was purified by chromatography on a silica gel 60 column (ethyl acetate–hexane, 1:1), Rf 0.63. Yellow crystals, (2.1 g, 90%), m.p. 185–186 °C; νmax/cm−1 1594 (C=N), 1630, 1676, 1690, 1725 (C=O) and 3215 (NH). 1H-NMR (DMSO-d6): δH (E/Z, 40/60) 2.68–2.91 (2H, m, COCH2), 3.30–3.39 (1H, m, CH), 3.93–4.17 (2H, m, NCH2), 6.93–8.20 (13H, m, N=CH, HAr), 11.65, 11.71 (1H, 2s, NH). 13C-NMR (DMSO-d6) δC 32.7, 34.7, 35.0, 35.7 (CH, CH2CO), 49.9, 50.4 (CH2N), 107.2, 107.4, 111.5, 114.2, 114.3, 123.0, 123.3, 126.4, 126,.6, 128.7, 128.8, 129.7, 130.5, 131.2, 131.7, 133.3, 133.4, 134.4, 134.5, 140.4, 142.4, 145.8, 152.3, 156.3, 168.6 (CAr), 172.1, 172.3, 173.4, 177.7, 178.0 (C=O). Anal. Calcd for C28H19BrClN3O5 (592.82): C, 56.73; H, 3.23; N, 7.09. Found: C, 56.85; H, 3.36; N, 6.98.
2-Chloro-3-{3-[4-(3,5-dimethylpyrazole-1-carbonyl)-2-oxopyrrolidin-1-yl]phenoxy}-[1,4]naphthoquinone (10d). The crude product was recrystallized from ethanol. Yellow crystals, (1.4 g, 72%), m.p. 130–131 °C; νmax/cm−1 1572 (C=N), 1667, 1673, 1698 and 1735 (C=O). 1H-NMR (DMSO-d6): δH 2.19 (3H, s, CH3), 2.47 (3H, s, CH3), 2.77–2.96 (2H, m, COCH2), 3.97–4.24 (2H, m, NCH2), 4.40–4.52 (1H, m, CH), 6.21, 6.22 (1H, 2s, C=CH), 6.94–8.15 (8H, m, HAr). 13C-NMR (DMSO-d6) δC 13.5, 14.0 (2CH3), 35.2 (CH), 35.5 (CH2CO), 50.2 (CH2N), 107.4, 111.6, 114.4, 126.5, 126.6, 129.7, 130.5, 131.3, 133.4, 134.4, 134.6, 140.3, 143.8, 152.1, 152.3, 156.3 (Cpyrazole, CAr), 171.8, 172.5, 177.7, 178.1 (C=O). MS, m/z, (%) = 513 ([M+Na]+ 100); 515 ([M+Na+2]+ 35) Anal. Calcd for C26H20ClN3O5 (489.92): C, 63.74; H, 4.11; N, 8.58. Found: C, 63.65; H, 3.98; N, 8.49.
1-{3-[(3-Chloro-1,4-dioxo-1,4-dihydro-2-naphthalenyl)oxy]phenyl}-N-(2,5-dimethyl-1H-pyrrol-1-yl)-5-oxo-3-pyrrolidinecarboxamide (10e). The crude product was recrystallized from ethanol. Yellow crystals, (1.8 g, 90%), m.p. 181–182 °C; νmax/cm−1 1578 (C=N), 1650, 1676, 1696, 1710 (C=O) and 3313 (NH). 1H-NMR (DMSO-d6): δH 1.97 (3H, s, CH3), 1.99 (3H, s, CH3), 2.68–2.96 (2H, m, COCH2), 3.40–3.52 (1H, m, CH), 3.94–4.17 (2H, m, NCH2), 5.64 (2H, s, 2CH), 6.94–8.16 (8H, m, HAr), 10.88 (1H, s, NH); 13C-NMR (DMSO-d6) δC 10.8 (2CH3), 33.8 (CH), 35.7 (CH2CO), 50.2 (CH2N), 102.9, 107.4, 111.6, 114.2, 126.4, 126.6, 129.7, 130.5, 131.2, 133.3, 134.4, 134.5, 140.3, 152.3, 156.2 (Cpyrrole, CAr), 171.6, 171.7, 177.6, 177.9 (C=O). MS, m/z, (%) = 527 ([M+Na]+ 100); 529 ([M+Na+2]+ 35)Anal. Calcd for C27H22ClN3O5 (503.95): C, 64.35; H, 4.40; N, 8.34. Found: C, 64.22; H, 4.39; N, 8.40.
2-Chloro-3-[3-(4-[1,3,4]oxadiazol-2-yl-2-oxopyrrolidin-1-yl)phenoxy]-[1,4]naphthoquinone (10f). The crude product was purified by chromatography on a silica gel 60 column (2-propanone-hexane, 1:1), Rf 0.29. Yellow crystals, (1.4 g, 82%), m.p. 195–196 °C; νmax/cm−1 1576, 1597 (C=N), 1678, 1698 and 1743 (C=O). 1H-NMR (DMSO-d6): δH 2.84–3.12 (2H, m, COCH2), 4.06–4.34 (3H, m, CH, NCH2), 6.96–8.15 (8H, m, HAr), 9.23 (1H, s, N=CH). 13C-NMR (DMSO-d6) δC 27.5 (CH), 36.0 (CH2CO), 50.6 (CH2N), 107.4, 111.7, 114.5, 126.5, 126.6, 129.8, 130.5, 131.3, 133.5, 134.4, 134.6, 140.2, 152.3, 154.9, 156.3, 166.3 (CAr, Coxadiazole), 171.4, 177.7, 178.1 (C=O). MS, m/z, (%) = 459 ([M+Na]+ 100); 461 ([M+Na+2]+ 35) Anal. Calcd for C22H14ClN3O5 (435.83): C, 60.63; H, 3.24; N, 9.64. Found: C, 60.51; H, 3.31; N, 9.69.

3.4. General Synthetic Procedure for the Synthesis of Compounds 11a–f

A mixture of 2,3-dichloro-1,4-naphthoquinone 9 (3.3 mmol, 0.75 g), the corresponding 1-(3-hydroxyphenyl)-5-oxopyrrolidine derivative 1, 2, 57, 8c (6.6 mmol), sodium carbonate (2.0 g) and dimethyl sulfoxide (15 mL) was stirred at room temperature for 24 h. The reaction mixture was diluted with water (70 mL), the precipitate was filtered off and washed with water.
1-[3-({3-[3-(4-Carboxy-2-oxo-1-pyrrolidinyl)phenoxy]-1,4-dioxo-1,4-dihydro-2-naphthalenyl}oxy)phenyl]-5-oxo-3-pyrrolidinecarboxylic acid (11a). The crude product was purified by dissolving them in sodium hydroxide solution (5%), filtering the solution, and acidifying the filtrate with acetic acid up to pH 6. Orange crystals, (1.4 g, 72%), m.p. 170–171 °C; νmax/cm−1 1671, 1700, 1730, (C=O) and 3072 (OH). 1H-NMR (DMSO-d6): δH 2.58–2.76 (4H, m, 2COCH2), 3.10–3.23 (2H, m, 2CH), 3.80–3.97 (4H, m, 2NCH2), 6.84–8.07 (12H, m, HAr). 13C-NMR (DMSO-d6) δC 35.7 (CH), 35.9 (CH2CO), 50.7 (CH2N), 107.1, 107.3, 111.7, 113.9, 126.0, 129.3, 130.8, 134.3, 140.2, 145.3, 145.4, 156.4, 156.4 (CAr), 172.6, 174.8, 179.9 (C=O). MS, m/z, (%) = 619 ([M+Na]+ 100); Anal. Calcd for C32H24N2O10 (596.56): C, 64.43; H, 4.06; N, 4.70. Found: C, 64.39; H, 3.98; N, 4.66.
Methyl 1-{3-[(3-{3-[4-(methoxycarbonyl)-2-oxo-1-pyrrolidinyl]phenoxy}-1,4-dioxo-1,4-dihydro-2-naphthalenyl)oxy]phenyl}-5-oxo-3-pyrrolidinecarboxylate (11b). The crude product was chromatographed over a silica gel 60 column (2-propanone-hexane, 1:1), Rf 0.29. Orange crystals, (0.9 g, 45%), m.p. 90–91 °C; νmax/cm−1 1676, 1703 and 1737 (C=O). 1H-NMR (DMSO-d6): δH 2.64–2.83 (4H, m, 2COCH2), 3.35–3.48 (2H, m, 2CH), 3.66 (6H, s, 2CH3), 3.84–4.04 (4H, m, 2NCH2), 6.88–8.07 (12H, m, HAr). 13C-NMR (DMSO-d6) δC 34.7 (2CH), 34.9 (2CH2CO), 49.7 (2CH2N), 52.1 (2OCH3), 107.3, 111.8, 113.9, 126.0, 129.4, 130.8, 134.3, 139.9, 145.6, 156.6 (CAr), 171.6, 172.9, 179.9 (C=O). MS, m/z, (%) = 647 ([M+Na]+ 100); Anal. Calcd for C34H28N2O10 (624.61): C, 65.38; H, 4.52; N, 4.48. Found: C, 65.44; H, 4.49; N, 4.52.
N'-[(4-Bromophenyl)methylidene]-1-{3-[(3-{3-[4-({2-[(4-bromophenyl)methylidene]hydrazino}carbonyl)-2-oxo-1-pyrrolidinyl]phenoxy}-1,4-dioxo-1,4-dihydro-2-naphthalenyl)oxy]phenyl}-5-oxo-3-pyrrolid-inecarbohydrazide (11c). The crude product was chromatographed over a silica gel 60 column (ethyl acetate–methanol, 11:1), Rf 0.58. Yellow crystals, (1.2 g, 38%), m.p. 189–190 °C; νmax/cm−1 1591 (C=N), 1678, 1693, 1731 (CO) and 3209 (NH). 1H-NMR (DMSO-d6): δH (E/Z, 40/60) 2.69–2.83 (4H, m, 2COCH2), 3.23–3.39 (2H, m, 2CH), 3.84–4.11 (4H, m, 2NCH2), 6.86–8.19 (22H, m, 2N=CH, HAr), 11.63, 11.69 (2H, 2s, 2NH). 13C-NMR (DMSO-d6) δC 32.6, 34.6, 35.0, 35.7, (2CH, 2CH2CO), 49.9, 50.4 (2CH2N), 107.3, 111.6, 114.0, 123.0, 123.2, 126.0, 128.7, 128.8, 129.3, 130.8, 131.7, 133.3, 134.3, 140.1, 142.4, 145.7, 156.6 (2N=CH, CAr), 172.1, 173.4, 179.9 (C=O). Anal. Calcd for C46H34Br2N6O8 (958.63): C, 57.64; H, 3.58; N, 8.77. Found: C, 57.51; H, 3.39; N, 8.69.
2,3-Bis(3-{4-[(3,5-dimethyl-1H-pyrazol-1-yl)carbonyl]-2-oxo-1-pyrrolidinyl}phenoxy)naphthoquinone (11d). The crude product was chromatographed over a silica gel 60 column (2-propanone-hexane, 1:1), Rf 0.72. Yellow crystals, (1.1 g, 43%), m.p. 136–137 °C; νmax/cm−1 1587 (C=N), 1677, 1706 and 1723 (C=O). 1H-NMR (DMSO-d6): δH 2.19, (6H, s, 2CH3), 2.46 (6H, s, 2CH3), 2.75–2.92 (4H, m, 2COCH2), 3.89–4.16 (4H, m, 2NCH2), 4.37–4.49 (2H, m, 2CH), 6.22 (2H, s, 2C=CH), 6.88–8.05 (12H, m, HAr). 13C-NMR (DMSO-d6) δC 13.2, 13.7 (CH3), 34.8 (CH), 34.9 (CH2CO), 49.8 (CH2N), 107.2, 111.3, 111.5, 113.9, 125.8, 129.1, 130.5, 134.1, 139.7, 143.6, 145.3, 151.8, 156.3, (Cpyrrazole, CAr), 171.4, 172.2, 179.7 (C=O). MS, m/z, (%) = 775 ([M+Na]+ 100); Anal. Calcd for C42H36N6O8 (752.79): C, 67.01; H, 4.82; N, 11.16. Found: C, 67.19; H, 4.91; N, 11.20.
N-(2,5-Dimethyl-1H-pyrrol-1-yl)-1-[3-({3-[3-(4-{[(2,5-dimethyl-1H-pyrrol-1-yl)amino]carbonyl}-2-oxo-1-pyrrolidinyl)phenoxy]-1,4-dioxo-1,4-dihydro-2-naphthalenyl}oxy)phenyl]-5-oxo-3-pyrrolid-inecarboxamide (11e). The crude product was chromatographed over a silica gel 60 column (2-propanone-hexane, 1:1), Rf 0.33. Orange crystals, (0.6 g, 23%), m.p. 193–194 °C; νmax/cm−1 1649, 1676, 1693, 1715 (C=O) and 3252 (NH). 1H-NMR (DMSO-d6): δH 1.97 (6H, s, 2CH3), 1.98 (6H, s, 2CH3), 2.65–2.93 (4H, m, 2COCH2), 3.37–3.49 (2H, m, 2CH), 3.87–4.11 (4H, m, 2NCH2), 5.64 (4H, s, 4CH), 6.90–8.07 (12H, m, HAr), 10.90 (2H, s, 2NH). 13C-NMR (DMSO-d6) δC 10.6 (4CH3), 33.6 (2CH), 35.5 (2CH2CO), 49.9 (2CH2N), 102.7, 107.1, 111.4, 113.7, 125.8, 126.4, 129.2, 130.5, 134.1, 139.8, 145.4, 156.4 (Cpyrrole, CAr), 171.4, 179.6 (C=O). MS, m/z, (%) = 803 ([M+Na]+ 100); Anal. Calcd for C44H40N6O8 (780.84): C, 67.68; H, 5.16; N, 10.76. Found: C, 67.59; H, 5.21; N, 10.79.
2-{3-[4-(1,2,3-Oxadiazol-5-yl)-2-oxo-1-pyrrolidinyl]phenoxy}-3-{3-[4-(1,3,4-oxadiazol-2-yl)-2-oxo-1-pyrrolidinyl]phenoxy}naphthoquinone (11f). The crude product was chromatographed over a silica gel 60 column (2-propanone-hexane, 5:1), Rf 0.23. Orange crystals, (0.52 g, 49%), m.p. 150–151 °C; νmax/cm−1 1578, 1604 (C=N), 1677 and 1705 (C=O). 1H-NMR (DMSO-d6): δH 2.82–3.08 (4H, m, 2COCH2), 3.99–4.26 (6H, m, CH, NCH2), 6.90–8.07 (12H, m, HAr), 9.21 (2H, s, 2N=CH). 13C-NMR (DMSO-d6) δC 27.4 (2CH), 35.9 (2CH2CO), 50.5 (2CH2N), 107.4, 111.9, 114.2, 126.0, 129.4, 130.8, 134.3, 139.9, 145.6, 154.8, 156.6, 166.2 (CAr, Coxadiazole), 171.2, 179.9 (C=O). MS, m/z, (%) = 667 ([M+Na]+ 100); Anal. Calcd for C34H24N6O8 (644.41): C, 63.35; H, 3.75; N, 13.04. Found: C, 63.22; H, 3.80; N, 12.97.

3.5. Antimicrobial Activity

The synthesized compounds were tested for their in vitro antimicrobial and antifungal activity against bacteria Escherichia coli B-906, Staphylococcus aureus 209-P, Mycobacterium luteum B-917 and fungi Candida tenuis VCM Y-70, Aspergillus niger VCM F-1119 by the diffusion method in agar (method A) and by the serial dilution method (method B).
Method А. Determination of antimicrobial and antifungal activity by diffusion method in agar. Antimicrobial and antifungal activity has been tested by diffusion in agar on solid nutrient medium (beef-extract agar for bacteria, wort agar for fungi). Petri plates containing 20 mL of nutrient medium were used for all tested microorganisms. The inoculums (the microbial loading − 109 cells (spores)/1 mL) was spread on the surface of the solidified media and Whatman no.1 filter paper discs (6 mm in diameter) impregnated with the test compound solution (0.1% and 0.5%) were placed on the plates. The duration of bacteria incubation was 24 h at 35 °C and the one of fungi incubation was 48–72 h at 28–30 °C. The antimicrobial effect and degree of activity of the tested compounds were evaluated by measuring the zone diameters. The results were compared with well known drugs (Table 1). Every experiment was repeated three times.
Method B. Determination of minimal inhibitory (MIC), minimal bactericidal (MBC) and minimal fungicidal (MFC) concentrations using serial dilution method. The tested compounds were added to the nutrient medium (beef-extract broth for bacteria and wort for fungi) as solutions in dimethyl sulfoxide (DMSO) by ensuring needed concentration (0.9–500.0 μg/mL). Bacteria and fungi inoculum was inoculated into nutrient medium (the microbial loading was 106 cells (spores)/1 mL). The duration of bacteria incubation was 24 h at 35 °C and the one of fungi incubation was 48–72 h at 28–30 °C. The results were estimated by the microorganism growth measured by degree of microbial turbidity in nutrient medium. Minimal inhibitory concentration (MIC) of any compound is defined as the lowest concentration which completely inhibits visible growth (turbidity on liquid nutrient medium).
Determination of MBC and MFC. Visually transparent nutrient medium solutions were sowed on the sterile agar medium (beef-extract agar for bacteria, wort agar for fungi). The duration of bacteria incubation was 24 h at 35 °C and the one of fungi incubation was 48–72 h at 28–30 °C. In the absence of microorganism colony growth on the incubated Petri plate, minimal bactericidal (MBC) and minimal fungicidal (MFC) concentrations of the investigated compounds were identified. The test was repeated three times.

4. Conclusions

New 3-substituted 1-(3-hydroxyphenyl)-5-oxopyrrolidine derivatives contained hydrazone, azole, diazole, oxadiazole fragments, 2-phenoxy- and 2,3-diphenoxy-1,4-naphthoquinones were synthesized. Methyl 1-{3-[(3-chloro-1,4-dioxo-1,4-dihydro-2-naphthalenyl)oxy]phenyl}-5-oxo-3-pyrrolidinecarboxylate demonstrated potential antibacterial and antifungal activities, as determined by the diffusion and serial dilution methods. N'-[(4-bromophenyl)methylidene]-1-{3-[(3-chloro-1,4-dioxo-1,4-dihydro-2-naphthalenyl)oxy]phenyl}-5-oxo-3-pyrrolidinecarbohydrazide and 2-{3-[4-(1,2,3-oxadiazol-5-yl)-2-oxo-1-pyrrolidinyl]phenoxy}-3-{3-[4-(1,3,4-oxadiazol-2-yl)-2-oxo-1-pyrrolidinyl]phenoxy}naphthoquinone showed antifungal activity against Candida tenuis and Aspergillus niger at low concentrations as determined by the serial dilution method. The substitution of the methoxy fragment by N-containing substituents in monophenoxy substituted naphthoquinones was found to decrease their activity against Mycobacterium luteum. Besides, introduction of the second phenoxy substituted fragment increased the antifungal activity against Candida tenuis and Aspergillus niger at lower concentrations.

References

  1. Zakharova, O.A.; Goryunov, L.I.; Troshkova, N.M.; Ovchinnikova, L.P.; Shteingarts, V.D.; Nevinsky, G.A. Cytotoxicity of new n-butylamino and sulfur-containing derivatives of polyfluorinated 1,4-naphthoquinone. Eur. J. Med. Chem. 2010, 45, 270–274. [Google Scholar] [CrossRef]
  2. Khalifa, M.M.A.; Ismail, M.M.F.; Noaman, E. synthesis and in vitro cytotoxic activity of novel benzo[b]phenazine-6,11-dione and 1,4-naphthoquinone derivatives. Bull. Pharmaceut. Sci. 2008, 31, 69–80. [Google Scholar]
  3. Pérez Sacau, E.; Estévez-Braun, A.; Ravelo, A.G.; Ferro, E.A.; Tokuda, H.; Mukainaka, T.; Hoyoku, N. Inhibitory Effects of Lapachol Derivatives on Epstein-Barr Virus Activation. Bioorg. Med. Chem. 2003, 11, 483–488. [Google Scholar]
  4. Tandon, V.K.; Singh, R.V.; Yadav, D.B. Synthesis and Evaluation of Novel 1,4-Naphthoquinone Derivatives as Antiviral, Antifungal and Anticancer Agents. Bioorg. Med. Chem. Lett. 2004, 11, 2901–2904. [Google Scholar]
  5. Oku, H.; Ishiguro, K. Cyclooxygenase-2 inhibitory 1,4-naphthoquinones from Impatiens balsamina L. Biol. Pharmaceut. Bull. 2002, 25, 658–660. [Google Scholar] [CrossRef]
  6. Checker, R.; Sharma, D.; Sandur, S.K.; Khanam, S.; Poduval, T.B. Anti-inflammatory effects of plumbagin are mediated by inhibition of NF-kappaB activation in lymphocytes. Int. Immunopharm. 2009, 9, 949–958. [Google Scholar] [CrossRef]
  7. Fry, M.; Pudney, M. Site of action of the antimalarial hydroxynaphthoquinone 2-[trans-4-(4′-chlorophenyl) cyclohexyl]-3-hydroxy-1,4-naphthoquinone. Biochem. Pharmacol. 1992, 43, 1545–1553. [Google Scholar] [CrossRef]
  8. Ferreira, S.B.; da Silva, F.D.; Bezerra, F.A.F.M.; Lourenco, M.C.S.; Kaiser, C.R.; Pinto, A.C.; Ferreira, V.F. Synthesis of α- and β-Pyran Naphthoquinones as a New Classof Antitubercular Agents. Arch. Pharmazie. 2010, 343, 81–90. [Google Scholar]
  9. Kim, H.W.; Lee, C.H.; Lee, H.S.J. Antibacterial activities of persimmon roots-derivedmaterials and 1,4-naphthoquinone's derivatives against intestinal bacteria. Food Sci. Biotechnol. 2009, 18, 755–760. [Google Scholar]
  10. Santos, M.M.M.; Faria, N.; Iley, J.; Coles, S.J.; Hursthouse, M.B.; Martins, M.L.; Moreira, R. Reaction of Naphthoquinones with Substituted Nitromethanes. Facile Synthesis and Antifungal Activity of Naphtho[2,3-d]isoxazole-4,9-diones. Bioorg. Med. Chem. Lett. 2010, 20, 193–195. [Google Scholar]
  11. Tandon, V.K.; Maurya, H.K.; Tripathi, A.; ShivaKeshava, G.B.; Shukla, P.K.; Srivastava, P.; Panda, D. 2,3-Disubstituted-1,4-naphthoquinones, 12H-benzo[b]phenothiazine-6,11-diones and related compounds: Synthesis and biological evaluation as potential antiproliferative and antifungal agents. Eur. J. Med. Chem. 2009, 44, 1086–1092. [Google Scholar]
  12. Griffiths, J. Benzoquinone and Naphthoquinone Dyes. In Ullmann‘s Encyclopedia of Industrial Chemistry; Elvers, B., Ed.; Wiley-VCH Verlag GmbH & Co. KgaA: Weinheim, Germany, 2006. [Google Scholar]
  13. Hartmann, N.; Troll, T. Preparation of naphthoquinone imines as NIR dyes. Tetrahedron 1995, 51, 4655–4664. [Google Scholar] [CrossRef]
  14. Matsui, M.; Taniguichi, S.; Suzuki, M.; Wang, M.; Funabiki, K.; Shiozaki, H. Dyes produced bythe reaction of 1,2,3,4-tetrafluoro-9,10-anthraquinones with bifunctional nucleophiles. Dyes Pigm. 2005, 65, 211–220. [Google Scholar] [CrossRef]
  15. Tandom, V.K.; Maurya, H.K.; Mishra, N.N.; Shukla, P.K. Design, synthesis and biological evaluation of novel nitrogen and sulfur containing hetero-1,4-naphthoquinones as potent antifungal and antibacterial agents. Eur. J. Med. Chem. 2009, 44, 3130–3137. [Google Scholar] [CrossRef]
  16. Aly, A.A.; Ishak, E.A.; Alsharari, M.A.; Al-Muaikel, N.S.; Bedaira, T.M.I. Aminonaphthoquinones in Heterocyclization. J. Heterocyclic Chem. 2012, 49, 9–20. [Google Scholar] [CrossRef]
  17. Brandelli, A.; Bizani, D.; Martinelli, M.; Stefani, V.; Gerbase, A.E. Antimicrobial activity of 1,4-naphthoquinones by metal complexation. Braz. J. Pharm. Sci. 2004, 40, 247–253. [Google Scholar]
  18. Voskienė, A.; Sapijanskaitė, B.; Mickevičius, V.; Kantminienė, K.; Stasevych, M.; Komarovska-Porokhnyavets, O.; Musyanovych, R.; Novikov, V. Synthesis, chemical properties, and antimicrobial activity of 2- and 2,3-substituted [(tetrahydro-2,4-dioxopyrimidin-1(2H)-yl)phenoxy]naphthalene-1,4-diones. Monatsh. Chem. 2011, 142, 529–537. [Google Scholar] [CrossRef]
  19. Brokaitė, K.; Mickevičius, V.; Mikulskienė, G. Synthesis and structural investigation of some 1,4-disubstituted 2-pyrrolidinones. Arkivoc 2006, ii, 61–67. [Google Scholar]
  20. Mickevičius, V.; Vaickelionienė, R.; Jonuškienė, I.; Mikulskienė, G.; Kantminienė, K. Synthesis and properties of 1-(3-(fluoromethyl and trifluoromethyl)phenyl)-5-oxopyrrolidine-3-carboxylic acid derivatives. Monatsh. Chem. 2009, 140, 1513–1522. [Google Scholar] [CrossRef]
  21. Anusevičius, K.; Mickevičius, V.; Mikulskienė, G. Synthesis and structure of N-(4-bromophenyl)-N-carboxyethyl-beta-alanine derivatives. Chemija 2010, 21, 127–134. [Google Scholar]
  22. National Committee for Clinical Laboratory Standards (NCCLS), Performance Standards for Antimicrobial Disk Susceptibility Tests, 4th ed; NCCLS: Villanova, PA, USA, 1990; Approved Standards NCCLS Document M2-A4.
  23. National Committee for Clinical Laboratory Standard (NCCLS), Reference Method for Broth Dilution Antifungal Susceptibility Testing of Conidium Forming Filamentous Fungi: Proposed Standard, Document M38-P; NCCLS: Wayne, PA, USA, 1998.
  • Sample Availability: Samples of the compounds 3–8; 10b–f; 11a–f are available from the authors.

Share and Cite

MDPI and ACS Style

Voskienė, A.; Sapijanskaitė, B.; Mickevičius, V.; Jonuškienė, I.; Stasevych, M.; Komarovska-Porokhnyavets, O.; Musyanovych, R.; Novikov, V. Synthesis and Microbiological Evaluation of New 2- and 2,3-Diphenoxysubstituted Naphthalene-1,4-diones with 5-Oxopyrrolidine Moieties. Molecules 2012, 17, 14434-14448. https://doi.org/10.3390/molecules171214434

AMA Style

Voskienė A, Sapijanskaitė B, Mickevičius V, Jonuškienė I, Stasevych M, Komarovska-Porokhnyavets O, Musyanovych R, Novikov V. Synthesis and Microbiological Evaluation of New 2- and 2,3-Diphenoxysubstituted Naphthalene-1,4-diones with 5-Oxopyrrolidine Moieties. Molecules. 2012; 17(12):14434-14448. https://doi.org/10.3390/molecules171214434

Chicago/Turabian Style

Voskienė, Aušra, Birutė Sapijanskaitė, Vytautas Mickevičius, Ilona Jonuškienė, Maryna Stasevych, Olena Komarovska-Porokhnyavets, Rostyslav Musyanovych, and Volodymyr Novikov. 2012. "Synthesis and Microbiological Evaluation of New 2- and 2,3-Diphenoxysubstituted Naphthalene-1,4-diones with 5-Oxopyrrolidine Moieties" Molecules 17, no. 12: 14434-14448. https://doi.org/10.3390/molecules171214434

APA Style

Voskienė, A., Sapijanskaitė, B., Mickevičius, V., Jonuškienė, I., Stasevych, M., Komarovska-Porokhnyavets, O., Musyanovych, R., & Novikov, V. (2012). Synthesis and Microbiological Evaluation of New 2- and 2,3-Diphenoxysubstituted Naphthalene-1,4-diones with 5-Oxopyrrolidine Moieties. Molecules, 17(12), 14434-14448. https://doi.org/10.3390/molecules171214434

Article Metrics

Back to TopTop