Next Article in Journal
Wild Argentinian Amaryllidaceae, a New Renewable Source of the Acetylcholinesterase Inhibitor Galanthamine and Other Alkaloids
Previous Article in Journal
New Triterpenes from Maytenus robusta: Structural Elucidation Based on NMR Experimental Data and Theoretical Calculations
 
 
Font Type:
Arial Georgia Verdana
Font Size:
Aa Aa Aa
Line Spacing:
Column Width:
Background:
Article

Antioxidant Ability and Mechanism of Rhizoma Atractylodes macrocephala

1
School of Chinese Herbal Medicine, Guangzhou University of Chinese Medicine, Guangzhou 510006, China
2
School of Basic Medicine, Guangzhou University of Chinese Medicine, Guangzhou 510006, China
*
Authors to whom correspondence should be addressed.
These authors contributed equally to this work.
Molecules 2012, 17(11), 13457-13472; https://doi.org/10.3390/molecules171113457
Submission received: 18 October 2012 / Revised: 7 November 2012 / Accepted: 8 November 2012 / Published: 13 November 2012
(This article belongs to the Section Medicinal Chemistry)

Abstract

:
Rhizoma Atractylodes macrocephala (AM) has been used in Traditional Chinese Medicine (TCM) for about 2,000 years. In the study, we firstly determined the antioxidant levels of five AM extracts by •OH-scavenging, •O2-scavenging, Fe2+-chelating, Cu2+-chelating, DPPH·-scavenging, and ABTS+·-scavenging assays. After measurement of the chemical contents in five AM extracts, we quantitatively analyzed the correlations between antioxidant levels and chemical contents. It was observed that total phenolics and total flavonoids had significant positive correlations with antioxidant levels (R = 0.685 and 0.479, respectively). In contrast, total sugars and total saponins presented lower correlations with antioxidant levels (R = −0.272 and 0.244, respectively). It means that antioxidant activity of AM should be attributed to total phenolics (including phenolic acids and flavonoids), and not total sugars and total saponins. Further analysis indicated that phenolic acids exhibited higher R values with radical-scavenging assays (R = 0.32–1.00), while flavonoids showed higher R values with metal-chelating assays (R= 0.86 and 0.90). In conclusion, AM exerts its antioxidant effect through metal-chelating, and radical-scavenging which is via donating hydrogen atom and donating electron. Its metal-chelating may result from flavonoids, while its radical-scavenging can be attributed to phenolic acids, especially caffeic acid, ferulic acid, and protocatechuic acid.

Graphical Abstract

1. Introduction

It is well known that excessive ROS (reactive oxygen species) can oxidatively damage cellular structures, lead to deleterious biological consequences, including mutation [1], cell death [2], carcinogenesis [2], and aging [2]. Over the past decades, an intensive search for potential therapeutic agents for oxidative damage has been carried out in medicinal plants [3], especially Chinese medicinal herbals.
As a typical Chinese herbal medicine for replenishing qi, Rhizoma Atractylodes macrocephala (AM, baizhu in Chinese) has been used in traditional Chinese medicine (TCM) for about 2,000 years [4,5]. Modern medicine has indicated that it possesses various pharmacological effects involving antioxidant ability, such as anti-mutation [6], anti-tumor [7], anti-aging [8], promotion of cellular growth and differentiation [9], upregulation of the expression of SOD (superxide dismutase) & GSH-PX (glutathione peroxidase) of mouse [10,11], and so on, but no study of the antioxidant properties of AM has been reported so far. Therefore, the aim of this study was to systematically investigate the antioxidant ability of AM, then further discuss the antioxidant mechanism.

2. Results and Discussion

As an important form of ROS, hydroxyl radical (•OH), is generated in the human body via the Fenton reaction (Equation 1):
Molecules 17 13457 i001
Since •OH radicals are extremele reactive, they can easily damage proteins, lipids, sugars and DNA. For example, •OH attacks deoxyribose, which is the backbone of DNA, to generate malondialdehyde (MDA) (Equation 2). MDA then combines 2-thiobarbituric acid (TBA) to yield TBARS (thiobarbituric acid reactive substances) which presents a maximum absorbance at 530 nm (Equation 3) [12].
Molecules 17 13457 i002
Molecules 17 13457 i003
Hence, the value of A532nm can reflect the amount of •OH radicals. If an antioxidant sample is added, A532nm value will decrease, suggesting that some •OH radicals are scavenged by the antioxidant. This is the principle of deoxyribose degradation assay used in the study. Using this deoxyribose degradation assay, we measured the •OH radical-scavenging ability of AM. As shown in Figure 1A five AM extracts scavenged •OH radicals in a dose-dependent manner.
Figure 1. The dose response curves of five extracts in the antioxidant assays: (A) •OH scavenging; (B) •O2 scavenging; (C) Fe2+-chelating; (D) Cu2+-chelating; (E) DPPH• scavenging; (F) ABTS+• scavenging; (G) Fe3+-reducing; (H) Cu2+-reducing. 1—Trolox; 1'—Sodium citrate; 2—BHA (butylated hydroxyanisole); 2'—GSH (glutathione); 3—PEAM (petroleum ether extract of Rhizoma Atractylodes macrocephala); 4—EAAM (ethyl acetate extract of Rhizoma Atractylodes macrocephala); 5—AEAM (absolute ethanol extract of Rhizoma Atractylodes macrocephala); 6—95EAM (95% ethanol extract of Rhizoma Atractylodes macrocephala); 7—WAM (water extract of Rhizoma Atractylodes macrocephala).
Figure 1. The dose response curves of five extracts in the antioxidant assays: (A) •OH scavenging; (B) •O2 scavenging; (C) Fe2+-chelating; (D) Cu2+-chelating; (E) DPPH• scavenging; (F) ABTS+• scavenging; (G) Fe3+-reducing; (H) Cu2+-reducing. 1—Trolox; 1'—Sodium citrate; 2—BHA (butylated hydroxyanisole); 2'—GSH (glutathione); 3—PEAM (petroleum ether extract of Rhizoma Atractylodes macrocephala); 4—EAAM (ethyl acetate extract of Rhizoma Atractylodes macrocephala); 5—AEAM (absolute ethanol extract of Rhizoma Atractylodes macrocephala); 6—95EAM (95% ethanol extract of Rhizoma Atractylodes macrocephala); 7—WAM (water extract of Rhizoma Atractylodes macrocephala).
Molecules 17 13457 g001
Besides •OH, superoxide anion (•O2) is also regarded as an important form of ROS in living cells. Although •O2 is much weaker than •OH, however, it is able to directly attack DNA and lipids [13], or transform into •OH via the Haber-Weiss reaction (Equation 4), to damage biomolecules [14]:
Molecules 17 13457 i004
In the study, the •O2 -scavenging ability of AM was determined at physiological pH 7.4 [15]. Figure 1B shows that the •O2-scavenging percentages of the five AM extracts increased in a concentration-dependent manner.
As indicated in Equations 1 and 4, transition metals (especially Fe and Cu) can catalyze the generation of •O2 and •OH radicals. The metal-chelating ability of AM was therefore explored in the study. The dose-response curves (Figure 1C,D) confirmed that the five AM extracts presented effective metal chelating abilities. The fact that AM can bind the Fe2+ and Cu2+, suggests that metal-chelating may be one of mechanisms used to scavenge •OH or •O2.
In order to confirm whether AM can directly scavenge radicals, the five AM extracts were further determined using the DPPH and ABTS assays. As seen in Figure 1E,F, the five extracts can effectively eliminate DPPH• and ABTS•+ radicals. Since the generation of both these radicals don’t involve the transition metal catalysis, direct radical-scavenging can be considered as another mechanism for AM to scavenge •OH or •O2.
The previous studies have demonstrated that DPPH· may be scavenged by an antioxidant through donation of a hydrogen atom (H•) to form a stable DPPH-H molecule [16,17,18]. For example, the mechanism of DPPH• scavenging by ferulic acid can be proposed to occur as shown in Equation 5:
Molecules 17 13457 i005
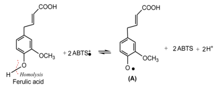
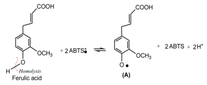
Unlike DPPH• scavenging, ABTS•+ scavenging is considered an electron (e) transfer reaction [19]. For example, the proposed reaction of ferulic acid and ABTS·+ can be briefly illustrated by Equation 6:
Molecules 17 13457 i006
In a word, the five AM extracts can effectively scavenge DPPH• and ABTS+• radicals, suggesting that AM exerts radical-scavenging action by donating hydrogen atoms (H•) and electrons (e).
Phytochemical studies indicated that AM mainly contained volatile oil, polysaccharides, flavonoids, saponins, and total phenolics [20,21]. From its volatile oil, atractylenolide I, II, and III could be obtained by eluting with petroleum ether-diethyl ether [22,23]. From the hot aqueous or alcoholic extracts of AM, various sugars and glycosides were isolated, such as saponins, mannose, fructose, and inulin [20,24]. Flavonoids, however, could be extracted from AM by ethanol [25]. Taken together, the volatile oil and atractylenolides mainly exist in petroleum ether (non or lower polar solvent) extracts, while sugars and glycosides generally occur in water or hot alcohol extracts, and flavonoids could be enriched by ethanol extraction.
As shown in Figure 1, the results of •O2 assay, Fe2+-chelating, Cu2+-chelating, DPPH• assay, ABTS+• assay, Fe3+-reducing, and Cu2+-reducing assay were generally similar. According to the IC50 values (Table 1), the order of antioxidant levels of the five AM extracts was EAAM > AEAM ≈ 95EAM > PEAM > WAM in the five assays. This is because the bioactive components relevant to antioxidant possess mild polarity, so they can be easily extract by mild polarity ethyl acetate. These bioactive components mainly included phenolic acids and flavonoids. In the water extract, the enriched components were saccharides and saponins which possess weak antioxidant properties. Therefore, EAAM exhibited the strongest abilities and WAM presented the weakest abilities in the five antioxidant assays.
Unlike the five antioxidant assays above, the •OH assay did not present so significant differences between the antioxidant levels of the AM extracts (Figure 1A). In fact, •OH has extremely high reactivity and can react with any substance. Hence, the hydroxyl-scavenging abilities cannot be greatly affected by the types or contents of components, and the difference between the antioxidant levels of the AM extracts was the smallest.
In order to further confirm which chemical component could be responsible for the antioxidant of AM, we quantitatively analyzed the correlations (R values) between antioxidant levels and chemical contents in AM extracts. In the study, a spectrophotometric method was used to measure the relevant chemical contents in the five AM extracts, including total phenolics, total saponins and total sugars (Table 2 & Supplementary Information Part 2). On the other hand, since the 1/IC50 value (not IC50 value) showed a parallelism with antioxidant activity, 1/IC50 values were then used for evaluating antioxidant levels in the study (Supplementary Information Part 3). On this basis, the correlation graphs were plotted (Supplementary Information Part 6) and the R values were calculated (Table 3). The results suggested that total phenolics had significant positive correlations between antioxidant levels (R = 0.45~0.90, the average R value was 0.685), while total sugars and total saponins possessed lower or negative correlations (the average values of R were −0.272 and 0.244, respectively). This implies that the antioxidant activity of AM should be attributed to the presence of total phenolics, not of total sugars and total saponins.
Earlier studies have shown that AM polysaccharides also exhibited antioxidant ability [26,27]. However, the IC50 values of polysaccharides in DPPH assay (>8 mg/mL) [27] far exceeded those of total phenolics (239.42–1444.26 μg/mL, Table 1), suggesting the antioxidant activity of polysaccharides was actually much weaker than total phenolics. It can be inferred that polysaccharides don’t effectively exert the antioxidant action when they are used along with phenolics in AM or AM extracts.
Table 1. The IC50 values of five extracts from Rhizoma Atractylodes macrocephala (µg/mL).
Table 1. The IC50 values of five extracts from Rhizoma Atractylodes macrocephala (µg/mL).
PEAMEAAMAEAM95EAMWAMPositive controls
TroloxBHA
•OH scavenging 419.62 ± 9.48 g140.39 ± 1.26 d104.97 ± 2.64c193.70 ± 4.71 e357.52 ± 4.31 f36.67 ± 0.67 b27.95 ± 0.39 a
•O2 scavenging1227.26 ± 41.27 b699.29 ± 6.30 a1115.68 ± 170.20 b1079.10 ± 26.79 b2191.70 ± 58.08 c2118.20 ± 30.01 c2178.82 ± 18.02 c
Fe2+-chelating142.70 ± 1.92 b303.70 ± 4.86 c543.86 ± 17.94 d305.87 ± 1.33 c697.69 ± 36.96 e26.32 ± 2.72 *,aND
Cu2+-chelating 134.91 ± 3.92 b255.94 ± 1.04 c1025.38 ± 75.44 e507.61 ± 1.98 d7047.13 ± 895.31 f116.77 ± 1.58 *,aND
DPPH• scavenging1444.26 ± 68.47 g239.42 ± 0.64 c347.72 ± 0.60 d446.84 ± 11.42 e1077.70 ± 19.35 f4.10 ± 0.21 a11.98 ± 0.49 b
ABTS+• scavenging534.68 ± 11.30 f78.25 ± 0.30 c140.00 ± 0.16 e122.34 ± 0.83 d471.41 ± 36.91 f8.84 ± 0.14 b6.99 ± 0.05 a
Fe3+-reducing442.25 ± 10.15 c197.41 ± 1.53 b411.19 ± 9.11 c420.12 ± 2.63 c667.04 ± 20.58 d51.84 ± 0.99 **,aND
Fe3+-reducing137.59 ± 2.18 d83.24 ± 0.59 c160.86 ± 8.42 e133.75 ± 0.28 d277.42 ± 19.97 f12.44 ± 0.17 b6.54 ± 0.25 a
IC50 value is defined as the concentration of 50% effect percentage and expressed as Mean ± SD (n = 3). Means values with different superscripts in the same row are significantly different (p < 0.05), while with same superscripts are not signifiacntly different (p < 0.05). * The positive control is sodium citrate. ** The positive control is GSH (glutathione). BHA, butylated hydroxyanisole. PEAM, petroleum ether extract of Rhizoma Atractylodes macrocephala. EAAM, ethyl acetate extract of Rhizoma Atractylodes macrocephala. AEAM, absolute ethanol extract of Rhizoma Atractylodes macrocephala. 95EAM, 95% ethanol extract of Rhizoma Atractylodes macrocephala. WAM, water extract of Rhizoma Atractylodes macrocephala. ND, cannot be detected.
Table 2. The chemical contents of five extracts from Rhizoma Atractylodes macrocephala.
Table 2. The chemical contents of five extracts from Rhizoma Atractylodes macrocephala.
PEAMEAAMAEAM95EAMWAM
Total phenolics (mg Pyr./g)15.32 ± 0.00 d21.03 ± 0.052 e13.61 ± 0.052 c10.01 ± 0.026 b2.43 ± 0.045 a
Total flavonoids (mg rutin/g)3.36 ± 0.0064 d2.88 ± 0.011 c0.50 ± 0.00 b2.09 ± 0.00 c0.026 ± 0.064 a
Total sugar (mg glucose/g)1.10 ± 0.016 a1.54 ± 0.0090 a4.97 ± 0.00 c4.99 ± 0.016 c3.56 ± 0.0066 b
Total saponin (mg Ole./g)14.98 ± 0.021 d6.08 ± 0.11 c5.08 ± 0.20 c2.48 ± 0.19 b0.026 ± 0.064 a
Caffeic acid (peak area)5530.33 ± 684.22 b15863.98 ± 1254.02 d6466.64 ± 655.75 c5990.33 ± 94.99 b4333.34 ± 194.72 a
Ferulic acid (peak area)7768.53 ± 584.85 b22358.69 ± 2001.20 d8878.73 ± 784.7 c7968.53 ± 324.90 b5013.33 ± 424.87 a
Protocatechuic aicd (peak area)0.00 a463523 ± 44277.3 c0.00 a51570.5 ± 714.89 b0.00 a
Each value is expressed as Mean ± SD (n = 3). Means values with different superscripts in the same row are significantly different (p < 0.05), while with same superscripts are not signifiacntly different (p < 0.05). PEAM, petroleum ether extract of Rhizoma Atractylodes macrocephala. EAAM, ethyl acetate extract of Rhizoma Atractylodes macrocephala. AEAM, absolute ethanol extract of Rhizoma Atractylodes macrocephala. 95EAM, 95% ethanol extract of Rhizoma Atractylodes macrocephala. WAM, water extract of Rhizoma Atractylodes macrocephala. Ole., oleanolic. Pyr., pryrogallol.
It was reported that total phenolics in AM generally include flavonoids [28] and phenolic acids [29]. Therefore, we estimated the total flavonoids of the five AM extracts. Similarly, the correlation graphs (Supplementary Information Part 6) between total flavonoids and 1/IC50 values were drawn to calculate the R values. The average R value (0.479) in Table 3 revealed that flavonoids might also be the relevant antioxidant components of AM. However, the individual R values varied with the antioxidant assays. In general, the R values in radical-scavenging assays (R = −0.21–0.74) were much lower than those in the chelating assays (R = 0.86 and 0.90). This means that flavonoids may be responsible for the chelating abilities of AM. Despite the fact individual flavonoids have not been isolated from AM so far, however, we believe that these flavonoids may contain ortho-dihydroxyl groups in their molecules, because chelating ability in antioxidant molecules usually results from the presence of such ortho-dihydroxyls [30].
Table 3. The R (correlation coefficient) values between chemical contents and antioxidant levels.
Table 3. The R (correlation coefficient) values between chemical contents and antioxidant levels.
Total phenolicsTotal flavonoidsTotal sugarsTotal saponinsCaffeic acidFerulic acidPCA
•OH assay0.45−0.210.43−0.210.440.450.32
•O2 assay0.900.60−0.310.220.920.930.87
Fe2+-chelating0.460.86−0.680.920.000920.040−0.023
Cu2+-chelating0.620.90−0.810.940.220.260.18
DPPH· assay0.660.140.066−0.200.850.850.80
ABTS+• assay0.650.260.055−0.210.850.850.82
Fe3+-reducing0.840.54−0.450.160.991.000.97
Cu2+-reducing0.900.74−0.480.330.920.930.88
Average0.6850.479−0.2720.2440.6490.6640.602
PCA, protocatechuic acid.
As for another type of total phenolics, phenolic acidd were also analyzed in the study. The HPLC analysis identified three phenolic acids in AM extracts, including caffeic acid, ferulic acid and protocatechuic acid. Further analysis indicated that three phenolic acids were of higher average R values (0.649, 0.664, and 0.602, respectively) with antioxidant levels, so these three phenolic acids can also be regarded as relevant antioxidant components of AM. However, contrary to the flavonoids, phenolic acids exhibited higher R values with radical-scavenging assays (R = 0.32–1.00), but lower R values with chelating assays (R = −0.023–0.26) (Table 3). This means that three phenolic acids may act as radical-scavengers and not metal-chelators in AM.

3. Experimental

3.1. Plant Material

Rhizoma Atractylodes macrocephala was purchased from Yanghe Pharmacy of Guangzhou University of Chinese Medicine (Guangzhou, China), and authenticated by Professor Shuhui Tan. A voucher specimen was deposited in our laboratory.

3.2. Chemicals

Trolox (±-6-hydroxyl-2,5,7,8-tetramethlyhromane-2-carboxylic acid), ferrozin [3-(2-pyridyl)-5,6-bis(4-phenylsulfonic acid)-1,2,4-triazine], BHA (butylated hydroxyanisole), DPPH• (1,1-diphenyl-2-picrylhydrazyl radical), neocuproine (2,9-dimethyl-1,10-phenanthroline), pyrogallol, murexide (5,5′-nitrilodibarbituric acid monoammonium salt), and protocatechuic acid were purchased from Sigma Aldrich Trading Co. (Shanghai, China); ABTS diammonium salt [2,2′-azino-bis(3-ethyl-benzothiazoline-6-sulfonic acid diammonium salt)], D-2-deoxyribose, and GSH (glutathione) were obtained from Amresco Co. (Solon, OH, USA); Ferulic acid and caffeic acid were purchased from National Institute for the Control of Pharmaceutical and Biological Products (Beijing, China). Acetonitrile, methanol and water were of HPLC grade. All other chemicals used were analytical grade.

3.3. Preparation of Five AM Extracts

The dried Rhizoma Atractylodes macrocephala was ground to a coarse powder then extracted in sequence with petroleum ether (60–90), ethyl acetate, ethanol, 95% ethanol and water by Soxhlet extractor for 12 h (Figure 2). Extracts were filtered using a Büchner funnel and Xinhua No. 1 filter paper. Each filtrate was concentrated to dryness under reduced pressure at 60 °C using a rotary evaporator.
Figure 2. The preparation of five extracts from Rhizoma Atractylodes macrocephala.
Figure 2. The preparation of five extracts from Rhizoma Atractylodes macrocephala.
Molecules 17 13457 g002

3.4. Hydroxyl (•OH) Radical-Scavenging Assay

The scavenging activity on the hydroxyl radical was investigated by the deoxyribose method [30], with some modifications. Our preliminary experiments demonstrated that most organic solvents especially alcohol can promote the inhibition percentage value. Hence, the inhibition of the hydroxyl radical was evaluated as follows: all test samples were first dissolved in methanol at 4 mg/mL. An aliquot of sample solution (12–48 μL) was brought to a tube, then the sample solution in tube was evaporated to dryness (water bath, 60 °C). The sample residue was mixed with 400 μL phosphate buffer (0.2 mol/L, pH 7.4). Subsequently, 50 μL deoxyribose (50 mmol/L), 50 μL H2O2 (50 mmol/L), 50 μL FeCl3 (3.2 mmol/L) and 50 μL Na2EDTA (1 mmol/L) were added. The reaction was initiated by mixing 50 μL ascorbic acid (1.8 mmol/L) and the total volume of the reaction mixture was adjusted to 800 μL with buffer. After incubation at 50 °C for 20 min, the reaction was terminated by 250 μL trichloroacetic acid (10%, w/w).
The color was then developed by addition of 150 μL TBA (1g/20 mL, in 1.25% NaOH aqueous solution) and heated in an oven at 105 °C for 15 min. The mixture was cooled and absorbance was measured at 530 nm against the buffer (as blank). The inhibition percentage for ·OH is expressed as follows:
Molecules 17 13457 i007
where, A0 is the A532nm of mixture without sample, and A is the A532nm of the mixture with sample.

3.5. Superoxide Anion (•O2) Radical-Scavenging Assay

Measurement of superoxide anion (•O2) scavenging activity was based on our method [15]. Briefly, the sample was dissolved in ethanol at 8 mg/mL. The sample solution (x μL, where x = 0, 100, 150, 200, 250, and 300 μL) was mixed with 2920-x μL Tris-HCl buffer (0.05mol/L, pH 7.4) containing EDTA (1 mmol/L). When 80 μL pyrogallol (60 mmol/L in 1 mmol/L HCl) was added, the mixture was shaken at room temperature immediately. The absorbance at 325 nm of the mixture was measured (Unico 2100, Shanghai, China) against the Tris-HCl buffer as blank every 30 s for 5 min. The •O2 scavenging ability was calculated as:
Molecules 17 13457 i008
where, ΔA325nm, control is the increase in A325nm of the mixture without the sample and ΔA325nm, sample is that with the sample; T = 5 min. The experiment temperature was 37 °C.

3.6. Fe2+-Chelating Assay

The Fe2+ chelating activities of five AM extracts were estimated by the method as described by Li [31]. Briefly, x μL sample solutions (2 mg/mL, x = 0, 30, 60, 90, 120, and 150) were added to 100 μL FeCl2 aqueous solutions (250 μmol/L). The reaction was initiated by the addition of 150 μL ferrozine aqueous solutions (500 μmol/L) and the total volume of the reaction mixture was adjusted to 1,000 μL with methanol. Then, the mixture was shaken vigorously and stood at room temperature for 10 min. Absorbance of the solution was measured spectrophotometrically at 562 nm (Unico 2100). The percentage of chelating effect on Fe2+ was calculated by the following formula:
Molecules 17 13457 i007
where A0 is the absorbance without sample, and A is the absorbance with sample.

3.7. Cu2+-Chelating Assay

The Cu2+-chelating activities of the five AM extracts were measured by a complexometric method using murexide [31]. Briefly, murexide solution (1.2 mL, 0.25 mmol/L) and CuSO4 aqueous solution (60 μL, 20 mmol/L) were added to hexamine HCl buffer (pH 5.0, 30 mmol/L) containing 30 mmol/L KCl. After incubation for 1 min at room temperature, 40–200 μL sample solutions (2 mg/mL in methanol) were added. The final volume was adjusted to 1,500 μL with methanol. Then, the mixture was shaken vigorously and left at room temperature for 10 min. Absorbance of the solution was then measured spectrophotometrically at 485 nm and 520 nm (Unico 2100). The absorbance ratio (A485/A520) reflected the free Cu2+ content. Therefore, the percentage of cupric chelating effect was calculated by the following formula:
Molecules 17 13457 i009
where Molecules 17 13457 i010 is the absorbance ratio of the sample, while Molecules 17 13457 i011 is the maximum absorbance ratio and Molecules 17 13457 i012 is the minimum absorbance ratio in the test.

3.8. DPPH• Radical-Scavenging Assay

DPPH• radical-scavenging activity was determined as described [32]. Briefly, 1 mL DPPH• ethanolic solutions (0.1 mmol/L) were mixed with 0.5 mL sample alcoholic solutions (0.18–0.96 mg/mL). The mixtures were kept at room temperature for 30 min, and then measured with a spectrophotometer (Unico 2100, Shanghai, China) at 519 nm. The DPPH• inhibition percentages were calculated:
Molecules 17 13457 i007
where A is the absorbance with samples, while A0 is the absorbance without samples. Trolox and BHA were used as the positive controls.

3.9. ABTS+• Radical-Scavenging Assay

ABTS+• scavenging activity was measured as described [32] with some modifications. The ABTS+• was produced by mixing 0.2 mL ABTS diammonium salt aqueous solution (7.4 mmol/L) with 0.2 mL K2S2O8 aqueous solution (2.6 mmol/L). The mixture was kept in the dark at room temperature for 12 h to allow completion of ABTS+• generation. Before usage, it was diluted with 95% ethanol (about 1:50) so that its absorbance at 734 nm was 0.70 ± 0.02. Then, 1.2 mL diluted ABTS+• reagents were brought to 0.3 mL sample ethanolic solutions (0.2–0.8 mg/mL). After incubation for 6 min, the absorbance at 734 nm was read on a spectrophotometer (Unico 2100, Shanghai, China). The percentage inhibition was calculated as:
Molecules 17 13457 i007
where A0 is the absorbance of the mixture without sample, A is the absorbance of the mixture with sample (or positive control).

3.10. Fe3+-Reducing Power Assay

Ferric cyanide (Fe3+) reducing power was determined according to the method of Oyaizu [33] as described by Li et al. [32]. In brief, x μL sample methanolic solution (4 mg/mL, x = 0, 20, 40, 60, 80, and 100) was mixed with (500 − x) μL Na2HPO4/KH2PO4 buffer (0.2 mol/L, pH 6.6) and 250 μL K3Fe(CN)6 aqueous solution (1 g/100 mL). After the mixture was incubated at 50 °C for 20 min, it was added by 250 μL trichloroacetic acid (10 g/100 mL in distilled water) then centrifuged at 3500 rpm for 10 min. As soon as 400 μL supernatant was mixed with 400 μL FeCl3 (0.1 g/100 mL in distilled water), the timer was started. At 90 s, absorbance of the mixture was read at 700 nm (Unico 2100, Shanghai, China). Samples were analyzed in groups of three, and when the analysis of one group has finished, the next group of three samples were mixed with FeCl3 to avoid oxidization by air. The relative reducing ability of the sample was calculated by using the formula:
Molecules 17 13457 i013
Here, Amax is the maximum absorbance and Amin is the minimum absorbance in the test. A is the absorbance of sample.

3.11. Cu2+-Reducing Power Assay

The cupric ions (Cu2+) reducing capacity was determined by the method [34], with minor modifications. Briefly, CuSO4 aqueous solution (125 μL, 0.01 mol/L), neocuproine ethanolic solution (125 μL, 7.5 mmol/L) and (750 − x) μL CH3COONH4 buffer solution (0.1 mol/L, pH 7.5) were brought to test tubes with different volumes of samples (1 mg/mL, x = 30–150 μL). Then, the total volume was adjusted to 1,000 μL with the buffer and mixed vigorously. Absorbance against a buffer blank was measured at 450 nm after 30 min (Unico 2100). The relative reducing power of the sample as compared with the maximum absorbance, was calculated by the formula:
Molecules 17 13457 i013
where, Amax is the maximum absorbance at 450 nm and Amin is the minimum absorbance in the test. A is the absorbance of sample.

3.12. Determination of Total Phenolics

The total phenolics contents of the five AM extracts were determined using a modified Folin-Ciocalteu colorimetric method [35]. Briefly, methanolic sample solution (0.5 mL, 1 mg/mL) was added to Folin-Ciocalteu reagent (0.5 mL, 0.25 mol/L). The mixture was left standing for 3 min, followed by the addition of Na2CO3 aqueous solution (1.0 mL, 15%, w/w). After incubation at ambient temperature for 30 min, the mixture was centrifuged at 3,500 rpm for 3 min. The supernatant was measured using a spectrophotometer (Unico 2100) at 760 nm. The standard curve was prepared using different concentrations of pyrogallol and the results were expressed as pyrogallol equivalents in milligrams per gram extract.

3.13. Determination of Total Flavonoids

Total flavonoids contents of the five AM extracts were measured using the NaNO2-Al(NO3)3 method with minor modifications [35]. In brief, methanolic sample solution (1 mL, 10 mg/mL) was mixed with NaNO2 aqueous solution (0.15 mL, 5%, w/w). The mixture stood at ambient temperature for 6 min, followed by the addition of Al(NO3)3 aqueous solution (0.15 mL, 10%, w/w). After incubation at ambient temperature for 6 min, NaOH aqueous solution (2 mL, 4%, w/w) was added to the mixture whicj was then adjusted to 5 mL with distilled water. The absorbance was read at 508 nm on a spectrophotometer (Unico 2100). The standard curve was prepared using different concentrations of quercetin and the results were also expressed as quercetin in milligrams per gram extract.

3.14. Determination of Total Sugars

The total sugars content was evaluated according to the phenol-sulfuric acid method [36]. An aliquot of sample solution (1 mL, 1 mg/mL) was placed in a test tube, and the volume was adjusted to 2 mL with distilled water. Then an aliquot of 5% phenol solution (1 mL) and concentrated sulfuric acid (5 mL) were added. After incubation for 20 min at room temperature, the reaction mixture was measured using a spectrophotometer (Unico 2100) at 490 nm. The standard curve was prepared using different concentrations of glucose and the results were expressed as glucose in milligrams per gram extract.

3.15. Determination of Total Saponins

The total saponins content was measured according to the method described in [36]. Methanolic sample solution (0.2 mL, 1 mg/mL) was taken in a test tube. After the methanol solvent was removed at 80 °C, an aliquot of vanillin-acetic acid solution (0.1 mL, 0.5%) and perchloric acid (0.4 mL) were added. The reaction mixture was incubated at 70 °C for 15 min, then cooled and diluted with acetic acid (1.25 mL). After 10 min, the absorbance of the diluted solution was measured at 540 nm (Unico 2100) against a blank control, which contained all reagents except for sample. Quantification was based on the standard curve for oleanolic acid (11–69 μg/mL). The results were expressed in milligrams of oleanolic acid equivalents per gram of extract.

3.16. HPLC Analysis

HPLC analysis was performed on a Syltech P510 system (Los Angeles, CA, USA), equipped with a Diamonsil C18 (250 mm × 4.6 mm, 5 μm) column (Dikma Co., Beijing, China). All samples were dissolved in methanol at 4 mg/mL and filtered using 0.45 μm filter.
In the analysis for caffeic acid and ferulic acid, the mobile phase was methanol/acetonitrile/5% acetate acid (24:6:70) and the flow rate was 0.5 mL/min, injection volume was 10 μL, detection wavelength was 325 nm. In the analysis for protocatechuic acid, the mobile phase was methanol/acetonitrile/5% acetate acid (12:3:10) and the flow rate was 1.0 mL/min, injection volume was 10 μL, detection wavelength was 260 nm. Caffeic acid, ferulic acid and protocatechuic acid in AM extracts were identified by the retention times and the peak areas were used to characterize the relative contents in the study (Figure 3 and Figure 4).
Figure 3. A typical HPLC profile of protocatechuic acid in the ethyl acetate extract of Rhizoma Atractylodes macrocephala. Syltech P510 system (Los Angeles, CA, USA), Dikma Diamonsil C18 (250 mm × 4.6 mm, 5 μm) column, 1.0 mL/min flow rate, methanol/acetonitrile/5% acetate acid (12:3:10), 10 μL injection, 60 nm wavelength.
Figure 3. A typical HPLC profile of protocatechuic acid in the ethyl acetate extract of Rhizoma Atractylodes macrocephala. Syltech P510 system (Los Angeles, CA, USA), Dikma Diamonsil C18 (250 mm × 4.6 mm, 5 μm) column, 1.0 mL/min flow rate, methanol/acetonitrile/5% acetate acid (12:3:10), 10 μL injection, 60 nm wavelength.
Molecules 17 13457 g003
Figure 4. A typical HPLC profile of caffeic acid and ferulic acid in ethyl acetate extract of Rhizoma Atractylodes macrocephala. Syltech P510 system (Los Angeles, CA, USA), Dikma Diamonsil C18 (250 mm × 4.6 mm, 5 μm) column, methanol/acetonitrile/5% acetate acid (24:6:70), 0.5 mL/min flow rate, 10 μL injection, 325 nm wavelength.
Figure 4. A typical HPLC profile of caffeic acid and ferulic acid in ethyl acetate extract of Rhizoma Atractylodes macrocephala. Syltech P510 system (Los Angeles, CA, USA), Dikma Diamonsil C18 (250 mm × 4.6 mm, 5 μm) column, methanol/acetonitrile/5% acetate acid (24:6:70), 0.5 mL/min flow rate, 10 μL injection, 325 nm wavelength.
Molecules 17 13457 g004

3.17. Statistical Analysis

Data are given as the mean ± SD of three measurements. The IC50 values were calculated by linear regression analysis. All linear regression in this paper was analyzed by Origin 6.0 professional software. Significant differences were performed using the T-test (p < 0.05). The analysis was performed using SPSS software (v.12, SPSS, Chicago, IL, USA).

4. Conclusions

Rhizoma Atractylodes macrocephala has effective antioxidant ability which may be responsible for its various pharmacological effects. It exerts its antioxidant effect through metal-chelation and radical-scavenging actions which occur via donation of hydrogen atoms (H•) and electrons (e). Its metal-chelation may result from its flavonoids, while its radical-scavenging is attributed to the presence of phenolic acids, especially caffeic acid, ferulic acid, and protocatechuic acid.

Supplementary Materials

Supplementary materials can be accessed at: https://www.mdpi.com/1420-3049/17/11/13457/s1.

Acknowledgments

This work was supported by the National Nature Science Foundation of China (81273896) and National Key Technologies R&D Program of China (No. 2008BAI51B01).

Conflict of Interest

The authors declare no conflict of interest.

References

  1. Hashizume, O.; Shimizu, A.; Yokota, M.; Sugiyama, A.; Nakada, K.; Miyoshi, H.; Itami, M.; Ohira, M.; Nagase, H.; Takenaga, K.; et al. Specific mitochondrial DNA mutation in mice regulates diabetes and lymphoma development. Proc. Natl. Acad. Sci. USA 2012, 109, 10528–10533. [Google Scholar]
  2. Bhattacharjee, S.; Deterding, L.J.; Chatterjee, S.; Jiang, J.; Ehrenshaft, M.; Lardinois, O.; Ramirez, D.C.; Tomer, K.B.; Mason, R.P. Site-specific radical formation in DNA induced by Cu(II)-H2O2 oxidizing system, using ESR, immuno-spin trapping, LC-MS, and MS/MS. Free Radic. Biol. Med. 2011, 50, 1536–1545. [Google Scholar] [CrossRef]
  3. Scartezzini, P.; Speroni, E. Review on some plants of Indian traditional medicine with antioxidant activity. J. Ethnopharmacol. 2000, 71, 23–43. [Google Scholar] [CrossRef]
  4. China Pharmacopoeia Committee, Pharmacopoeia of the People’s Republic of China (Part 1); China Chemical Industry Press: Beijing, China, 2005; p. 58.
  5. Shan, Z.J. Check and Punctuate on Shennong’s Classic of Herbology; Wannan Medial College Press: Hefei, China, 1981; p. 48. [Google Scholar]
  6. Huang, Q.S.; Li, H.Z.; Zhang, Y.L.; Qiu, S.L. The research on the effect of abstraction of Atractylodes on the ability of resisting mutation of human peripheral blood lymphocytes for Cr6+. Prog. Mod. Biomed. 2006, 6, 20–21. [Google Scholar]
  7. Zhu, Q.J.; Zheng, G.J.; Zhang, D. Study on antitumor effect and mechanism of extract of largehead Atractylodes Rhizome. J. Shandong Univ. Tradit. Chin. Med. 2006, 30, 69–71. [Google Scholar]
  8. Lü, G.Y.; Li, W.L.; Liu, M.Z. Study on anti-aging effect of Atractylodes Rhizome. Chin. J. Mod. Appl. Pharm. 1996, 13, 26–29. [Google Scholar]
  9. Chen, W.W.; Zhang, Z.L.; Wang, J.H.; Shen, X.L.; Han, L.; Zhou, L.; Xu, Q. Effects of extracts from Codonopsis pilosula and Atractylodes macrocephala on growth and differentiation of IEC-6 cells. Chin. Pharmacol. Bull. 2002, 18, 444–447. [Google Scholar]
  10. Huang, L.Y. Experimental research on the effect of strengthening antioxidase of Atractylis Macrocephala injection. Lishizhen Med. Mater. Med. Res. 2006, 17, 758–759. [Google Scholar]
  11. Huang, L.Y. Experimental study and comparative analyses of anti-oxidase expression enhanced by Atractylis macrocephala Koidz and Ophiopogon japonicus (Thunb) Ker-Gawl. Shandong J. Tradit. Chin. Med. 2006, 25, 412–413. [Google Scholar]
  12. Cheeseman, K.H.; Beavis, A.; Esterbauer, H. Hydroxyl-radical-induced iron-catalysed degradation of 2-deoxyribose. Quantitative determination of malondialdehyde. Biochem. J. 1988, 252, 649–653. [Google Scholar]
  13. Keyer, K.; Imlay, J.A. Superoxide accelerates DNA damage by elevating free-iron levels. Proc. Natl. Acad. Sci. USA 1996, 93, 13635–13640. [Google Scholar] [CrossRef]
  14. Halliwell, B.; Gutteridge, J.M. Oxygen toxicity, oxygen radicals, transition metals and disease. Biochem. J. 1984, 219, 1–14. [Google Scholar]
  15. Li, X.C. Improved pyrogallol autoxidation method: A reliable and cheap superoxide-scavenging assay suitable for all antioxidants. J. Agric. Food Chem. 2012, 60, 6418–6424. [Google Scholar]
  16. Bondet, V.; Brand-Williams, W.; Berset, C. Kinetics and mechanisms of antioxidant activity using the DPPH• free radical method. LWT-Food Sci. Technol. 1997, 30, 609–615. [Google Scholar] [CrossRef]
  17. Brand-Williams, W.; Cuvelier, M.E.; Berset, C. Use of a free radical method to evaluate antioxidant activity. LWT-Food Sci. Technol. 1995, 28, 25–30. [Google Scholar] [CrossRef]
  18. Dimitrios, I.T.; Vassiliki, O. The contribution of flavonoid C-ring on the DPPH free radical scavenging efficiency. A kinetic approach for the 3',4'-hydroxy substituted members. Innov. Food Sci. Emerg. 2006, 7, 140–146. [Google Scholar] [CrossRef]
  19. Prior, R.L.; Cao, G. In vivo total antioxidant capacity: Comparison of different analytical methods. Free Radic. Biol. Med. 1999, 27, 1173–1181. [Google Scholar] [CrossRef]
  20. Liang, Z.H.; Guo, Z.X. Structure characteristics of water-soluble polysaccharide of Atractylodes macrocephala Koidz. J. Mol. Sci. 2007, 23, 185–188. [Google Scholar]
  21. Zhu, H.T.; Chen, J.Y.; Chen, L. Pharmacognosy studies on Atractylodes macrocephala Koidz. Lishizhen Med. Mater. Med. Res. 2006, 17, 1019–1020. [Google Scholar]
  22. Chen, Z.L. Chemical content II: The derivatives of á-methyl-butyrylation ofatractylentrid in Atractylodes macrocephala Koidz. Acta Chim. Sin. 1989, 47, 1022–1024. [Google Scholar]
  23. Liu, G.S. Chemical analysis of the essential oil from the rhizome of Atractylodes macrocephala Koidz. Acta Bot. Sin. 1980, 22, 395–396. [Google Scholar]
  24. Kitajima, J.; Kamoshita, A.; Ishikawa, T.; Takano, A.; Fukuda, T.; Isoda, S.; Ida, Y. Glycosides of Atractylodes ovata. Chm. Pharm. Bull. 2003, 51, 1106–1108. [Google Scholar] [CrossRef]
  25. Hu, K.Z.; Xiao, Z.; Quan, J. Economic Analysis on the Production of Atractylodes macrocephala Koidz. Chin. Agric. Sci. Bull. 2010, 26, 328–331. [Google Scholar]
  26. Zhou, J.R.; Tian, Y.B.; Hou, X. Isolation of Atractylodes macrocephala Koidz polysaccharides with ultrafiltration membrane and study of their antioxidant activity. J. Southwest Univ. (Nat. Sci.) 2009, 31, 79–82. [Google Scholar]
  27. Wang, Y.L.; Zhang, J.; Sun, R.G.; Dai, J.J. Effect of ultrasonic parameters on antioxidative activity of polysaccharides from Atractylodes. Chin. J. Bioprocess Eng. 2012, 10, 7–12. [Google Scholar]
  28. Yang, X.H.; Chen, W.; Jang, M.H.; Li, L.L.; Pan, Y.; Qiu, X.M. Study on the identification and determination of flavonoid from Atractylodes Macrocephala Koidz. J. Hunan Normal Univ. (Med. Sci.) 2008, 5, 16–19. [Google Scholar]
  29. Peng, W.; Han, T.; Liu, Q.C.; Qin, L.P. Chemical constituents from aerial part of Atractylodes macrocephala. Zhongguo Zhong Yao Za Zhi 2011, 36, 578–581. [Google Scholar]
  30. Li, X.C.; Wang, X.Z.; Chen, D.F.; Chen, S.Z. Antioxidant activity and mechanism of protocatechuic acid in vitro. Funct. Food Health Dis. 2011, 1, 232–244. [Google Scholar]
  31. Han, W.J.; Li, X.C. Antioxidant activity of aloeswood tea in vitro. Spatula DD 2012, 2, 43–50. [Google Scholar] [CrossRef]
  32. Wang, X.Z.; Li, X.C.; Chen, D.F. Evaluation of antioxdiant activity of isoferulic acid in vitro. Nat. Prod. Commun. 2011, 6, 1285–1288. [Google Scholar]
  33. Oyaizu, M. Studies on product of browning reaction prepared from glucoseamine. Jpn. J. Nutr. 1986, 44, 307–315. [Google Scholar] [CrossRef]
  34. Wang, L.; Li, X.C. Antioxidant activity of durian (Durio zibethinus Murr.) shell in vitro. Asian J. Pharmaceut. Biol. Res. 2011, 1, 542–551. [Google Scholar]
  35. Li, X.C.; Wu, X.T.; Huang, L. Correlation between Antioxidant Activities and Phenolic Contents of Radix Angelicae Sinensis (Danggui). Molecules 2009, 14, 5349–5361. [Google Scholar] [CrossRef]
  36. Li, X.C.; Chen, D.F.; Mai, Y.; Wen, B.; Wang, X.Z. Concordance between antioxidant activities in vitro and chemical components of Radix Astragali (Huangqi). Nat. Prod. Res. 2012, 26, 1050–1053. [Google Scholar] [CrossRef]
  • Sample Availability: Samples of the caffeic acid and ferulic acid are available from the authors.

Share and Cite

MDPI and ACS Style

Li, X.; Lin, J.; Han, W.; Mai, W.; Wang, L.; Li, Q.; Lin, M.; Bai, M.; Zhang, L.; Chen, D. Antioxidant Ability and Mechanism of Rhizoma Atractylodes macrocephala. Molecules 2012, 17, 13457-13472. https://doi.org/10.3390/molecules171113457

AMA Style

Li X, Lin J, Han W, Mai W, Wang L, Li Q, Lin M, Bai M, Zhang L, Chen D. Antioxidant Ability and Mechanism of Rhizoma Atractylodes macrocephala. Molecules. 2012; 17(11):13457-13472. https://doi.org/10.3390/molecules171113457

Chicago/Turabian Style

Li, Xican, Jian Lin, Weijuan Han, Wenqiong Mai, Li Wang, Qiang Li, Miaofang Lin, Mingsong Bai, Lishan Zhang, and Dongfeng Chen. 2012. "Antioxidant Ability and Mechanism of Rhizoma Atractylodes macrocephala" Molecules 17, no. 11: 13457-13472. https://doi.org/10.3390/molecules171113457

APA Style

Li, X., Lin, J., Han, W., Mai, W., Wang, L., Li, Q., Lin, M., Bai, M., Zhang, L., & Chen, D. (2012). Antioxidant Ability and Mechanism of Rhizoma Atractylodes macrocephala. Molecules, 17(11), 13457-13472. https://doi.org/10.3390/molecules171113457

Article Metrics

Back to TopTop