Flow Injection Spectrophotometric Determination of N-Acetyl-L-cysteine as a Complex with Palladium(II)
Abstract
:1. Introduction
2. Results and Discussion
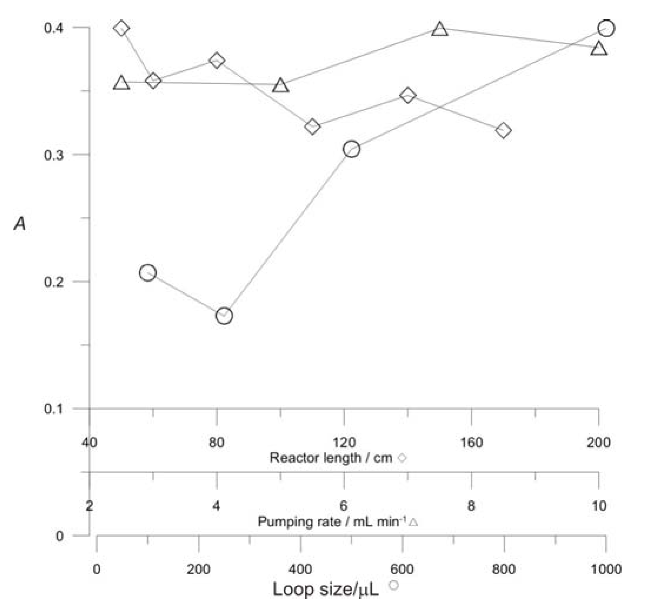
2.1. Flow-Injection Analysis
3. Experimental
3.1. Apparatus
3.2. Reagents
4. Conclusions
References and Notes
- Komljenović, J.; Radić, Nj. Potentiometric determination of N-acetylcysteine based on its reduction action on Fe(III). Acta Pharm. 1993, 43, 99–106. [Google Scholar]
- Jovanović, T.; Stanković, B.; Stefanović, A. Determination of N-acetyl-l-cysteine by potentiometric titration. Pharmazie 1987, 42, 136–137. [Google Scholar] [PubMed]
- Kolar, M.; Dobcnik, D. Chemically prepared silver electrode for determination of N-acetyl-l-cysteine by flow-injection potentiometry. Pharmazie 2003, 58, 25–28. [Google Scholar] [PubMed]
- Martinovic, A.; Radic, Nj. Kinetic Potentiometric Determination of some Thiols with Iodide Ion-Sensitive Electrode. Anal. Lett. 2003, 40, 2851–2859. [Google Scholar] [CrossRef]
- Martinovic, A.; Radic, Nj. Kinetic Potentiometric Determination of Penicillamine and N-acetyl-l-cysteine Based on Reaction with Iodate. Acta Chim. Slov. 2009, 56, 503–506. [Google Scholar]
- Radić, Nj.; Komljenović, J. Determination of N-acetyl-l-cysteine by flow-injection potentiometry. Fresenius J. Anal. Chem. 1998, 360, 675–678. [Google Scholar] [CrossRef]
- Vieira, H.J.; Fatibello-Filho, O. Indirect flow injection determination of N-acetyl-l-cysteine using cerium(IV) and ferroin. Quim. Nova 2005, 28, 797–800. [Google Scholar] [CrossRef]
- Vinas, P.; Lopez Garcia, L.; Martinez Gil, J.A. Determination of thiol-containing drugs by chemiluminescence-flow injection analysis. J. Pharm. Biomed. Anal. 1993, 11, 15–21. [Google Scholar] [CrossRef]
- Maher, A.E. Spectrophotometric determination of cysteine and N-acetylcysteine in pharmaceutical preparations. Mikrochim. Acta 1998, 129, 91–95. [Google Scholar]
- Garcia Alvarez-Coque, M.C.; Medina Hernandez, M.J.; Villanueva Camañas, R.M.; Mongay Fernendez, C. Spectrophotometric determination of N-acetylcysteine in drug formulations with o-phtalaldehyde and isoleucine. Analyst 1989, 114, 975–977. [Google Scholar] [CrossRef]
- Jovanović, T.; Stanković, B. Use of palladium(II) chloride as a color-forming reagent for the determination of N.acetyl-l-cysteine in water and Fluimukan injections. Analyst 1989, 114, 401–403. [Google Scholar] [CrossRef] [PubMed]
- Garcia, M.S.; Sanchez-Pedreño, C.; Albero, M.I.; Rodenas, V. Determination of penicillamine or tiopronin in pharmaceutical preparations by flow injection analyses. J. Pharm. Biom. Anal. 1993, 11, 633–638. [Google Scholar] [CrossRef]
- Viñas, P.; Hernandez-Cordoba, M.; Sanchez-Pedreño, C. Catalytic titration of N-penicillamine, N-acetilcysteine, cysteine and 2-mercaptopropionylglycine. Analyst 1990, 115, 757–760. [Google Scholar] [CrossRef]
- Lopez-Garcia, I.; Viñas, P.; Martinez Gil, J.A. FIA titrations of sulphide, cysteine and thiol-containing drugs with chemiluminescent detection. Fresenius J. Anal. Chem. 1993, 345, 723–726. [Google Scholar] [CrossRef]
- Ogwu, V.; Cohen, G. A simple colorimetric method for the simultaneous determination of N-acetylcysteine and cysteine. Free Rad. Biol. Med. 1998, 25, 362–364. [Google Scholar] [CrossRef]
- Toussaint, B.; Pitti, Ch.; Streel-Ceccato, B.; Hubert, A.Ph.; Crommen, J. Quantitative analysis of N-acetylcysteine and its pharmacopeial impurities in a pharmaceutical formulation by liquid chromatography-UV detection-mass spectrometry. J. Chromatogr. A 2000, 896, 191–199. [Google Scholar] [CrossRef]
- Harada, D.; Naito, S.; Kawauchi, Y.; Ishikawa, K.; Koshitani, O.; Hiraoka, I.; Otagiri, M. Determination of Reduced, Protein-Unbound, and Total Concentrations of N-Acetyl-l-cysteine and l-Cysteine in Rat Plasma by Postcolumn Ligand Substitution High-Performance Liquid Chromatography. Anal. Biochem. 2001, 290, 251–259. [Google Scholar] [CrossRef] [PubMed]
- Stanek, W.; Krenmayr, P.; Scherer, G.; Schmid, E.R. Quantitative determination of N-acetyl(-l-)cysteine derivatives in human urine by tandem mass spectrometry. Biol. Mass Spectrom. 1993, 22, 133–142. [Google Scholar] [CrossRef] [PubMed]
- Celma, C.; Allué, J.A.; Pruñonosa, J.; Peraire, C.; Obach, R. Determination of N-acetyl-l-cysteine in human plasma by liquid chromatography coupled to tandem mass spectrometry. J. Chromatogr. A 2000, 870, 13–22. [Google Scholar] [CrossRef]
- Valcarcel, M.; Luque de Castro, M.D. Flow-Injection Analyses—Principals and Applications; Ellis Horwood Limited: Chichester, UK, 1987. [Google Scholar]
- Long, L.G.; Winefordner, J.D. Limit of detection, a closer look at the IUPAC definition. Anal. Chem. 1983, 55, 712A–724A. [Google Scholar]
- Güzeloglu, S.; Yalçin, G.; Pekin, M. The determination of stability constants of N-acetyl-l-cysteine chrome, nickel, cobalt and iron complexes by potenciometric method. J. Organometal. Chem. 1998, 568, 143–147. [Google Scholar] [CrossRef]
- Sanchez-Pedreño, C.; Albero, M.I.; Garcia, M.S.; Rodenas, V. Determination of N-Acetylcysteine in Pharmaceutical Samples by Flow Injection. Analyst 1992, 117, 925–928. [Google Scholar] [CrossRef]
Sample Availability: Not available. |









| log = logβ2 | Method |
| 9.01 | 1 |
| 8.13 | 2 |
| 8.11 | 3 |
| 8.45 | 4 |
| 8.43, RSD = 4.98% | log |
| Parameter | Equilibrium method | FIA method |
|---|---|---|
| calibration range | 1 × 10−5 – 6 × 10−4 mol L−1 NAC | 1 × 10−5 – 6 × 10−4 mol L−1 NAC |
| Molar absorption coefficient, ε / L mol−1 cm−1 | Pd(NAC)2+: 1599.8 ± 36, n = 20 Pd(NAC)22+: 3875.6 ± 23, n = 20 | |
| coefficient of determination, R2 | 0.9980 | 0.9976 |
| PdCl2 concentration | 5.0 × 10−4 mol L−1 | 1.2 × 10−3 mol L−1 |
| sample throughput per hour | 30 | 70 |
| Metal | logK1 | logK2 | logβ2 |
|---|---|---|---|
| Cr3+ a | 8.26 | 6.74 | 15.00 |
| Co2+ a | 4.18 | 3.62 | 7.80 |
| Ni2+ a | 5.02 | 4.32 | 9.34 |
| Fe3+ a | 10.58 | 8.22 | 18.80 |
| Pd2+ b | 4.82 | 3.61 | 8.43 |
| Analytical parameters | Classic Spectrophotometric analysis [11] | FIA Spectrophotometric analysis [23] | FIA Spectrophotometric analysis a |
|---|---|---|---|
| Linear response range, mol L−1 NAC | 2.45 × 10−5 – 4 × 10−4 | 5 × 10−5 – 5 × 10−3 | 1 × 10−5 – 6 × 10−4 |
| Correlation factor (R) | 0.9970 | 0.9995 | 0.9980 |
| μ, mol L−1 | 0.2 | 1.0 | 0.4 |
| pH | 4.64 | 0 | 2 |
| LOD, mol L−1 | 2.0 × 10−5 | 1.6 × 10−5 | 5.84 × 10−6 |
| Reproducibility (RSD) / % | 0.63 – 1.92 | 1.4, n = 10 | 1.04 – 1.22, n = 10 |
| Recovery (RSD) / % | 0.70, n = 7 | N/A | 1.67 – 4.11, n = 3 |
| Labeled, mg | Found ±SD (%) (n = 5) | Recovery (%) | |
|---|---|---|---|
| Fluimukan® | 100 | 101.2 ± 4.11 | 101.23 |
| 200 | 203.2 ± 2.54 | 101.60 | |
| 600 | 603.3 ± 1.67 | 100.55 |
© 2011 by the authors; licensee MDPI, Basel, Switzerland. This article is an open access article distributed under the terms and conditions of the Creative Commons Attribution license (http://creativecommons.org/licenses/by/3.0/).
Share and Cite
Giljanović, J.; Brkljača, M.; Prkić, A. Flow Injection Spectrophotometric Determination of N-Acetyl-L-cysteine as a Complex with Palladium(II). Molecules 2011, 16, 7224-7236. https://doi.org/10.3390/molecules16097224
Giljanović J, Brkljača M, Prkić A. Flow Injection Spectrophotometric Determination of N-Acetyl-L-cysteine as a Complex with Palladium(II). Molecules. 2011; 16(9):7224-7236. https://doi.org/10.3390/molecules16097224
Chicago/Turabian StyleGiljanović, Josipa, Mia Brkljača, and Ante Prkić. 2011. "Flow Injection Spectrophotometric Determination of N-Acetyl-L-cysteine as a Complex with Palladium(II)" Molecules 16, no. 9: 7224-7236. https://doi.org/10.3390/molecules16097224
APA StyleGiljanović, J., Brkljača, M., & Prkić, A. (2011). Flow Injection Spectrophotometric Determination of N-Acetyl-L-cysteine as a Complex with Palladium(II). Molecules, 16(9), 7224-7236. https://doi.org/10.3390/molecules16097224

