Docking Studies and α-Substitution Effects on the Anti-Inflammatory Activity of β-Hydroxy-β-arylpropanoic Acids
Abstract
:1. Introduction
2. Results and Discussion
2.1. Anti-inflammatory activity: carragenan-induced paw-oedema
2.2. Gastric tolerability
2.3. Molecular docking computational experiments
2.4. Statistical analysis
3. Experimental
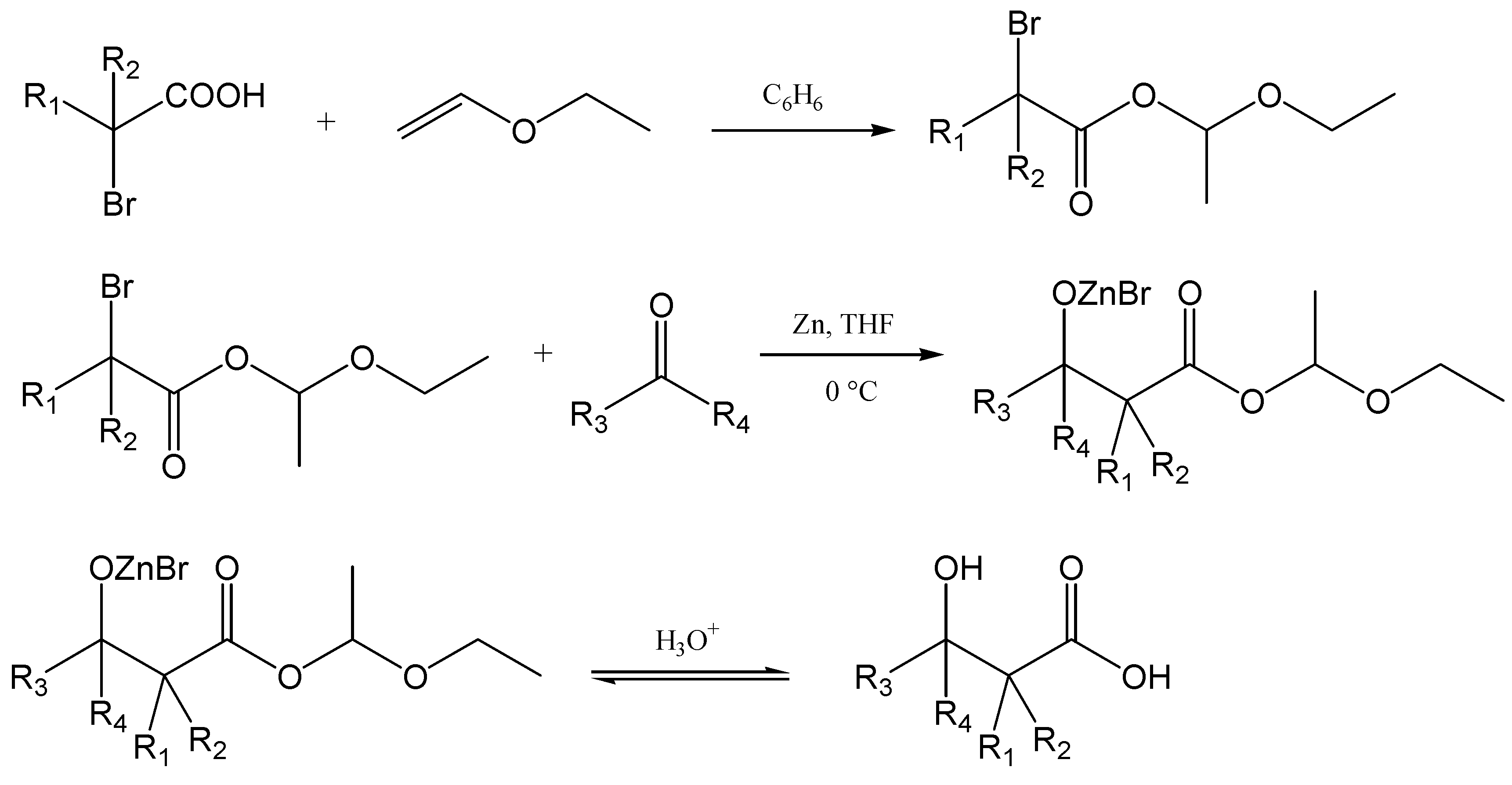
3.1. Chemistry
3.2. Animal studies
3.3. Anti-inflammatory activity: carrageenan-induced rat paw oedema test
3.4. Gastric tolerability test
3.5. Molecular docking experiments
4. Conclusions
Acknowledgments
Conflicts of Interest
References and Notes
- Botting, R.M. Cyclooxygenase. Past, Present and Future. J. Therm. Biol. 2006, 31, 208–219. [Google Scholar] [CrossRef]
- Kiefer, W.; Dannhardt, G. Novel Insights and Therapeutical Applications in the Field of Inhibitors of COX-2. Curr. Med. Chem. 2004, 11, 3147–3161. [Google Scholar] [CrossRef] [PubMed]
- Goodsell, D.S. The molecular Perspective: Cyclooxygenase-2. Oncologist 2000, 5, 169–171. [Google Scholar] [CrossRef] [PubMed]
- Dilber, S.P.; Žižak, Ž.S.; Stojković, T.P.; Juranić, Z.D.; Drakulić, B.J.; Juranić, I.O. Antiproliferative activity of β-hydroxy-β-arylalcanoic Acids. Int. J. Mol. Sci. 2007, 8, 214–228. [Google Scholar] [CrossRef]
- Dilber, S.P.; Dobrić, S.L.; Juranić, Z.D.; Marković, B.D.; Vladimirov, S.M.; Juranić, I.O. Docking studies and Anti-inflammatory Activity of β-hydroxy-β-arylpropanoic Acids. Molecules 2008, 13, 603–615. [Google Scholar] [CrossRef] [PubMed]
- Morris, G.M.; Goodsell, D.S.; Halliday, R.S.; Huey, R.; Hart, W.E.; Belew, R.K.; Olson, A.J. Automated docking using a Lamarckian genetic algorithm and an empirical binding free energy function. J. Comput. Chem. 1998, 19, 1639. [Google Scholar] [CrossRef]
- Selinsky, B.S.; Gupta, K.; Sharkey, K.; Loll, P.J. Structural Analysis of NSAID Binding by Prostaglandin H2 Synthase: Time Dependent and Time-Independent Inhibitors Elicit Identical Enzyme Conformations. Biochemistry-US 2001, 40, 5172–5180. [Google Scholar] [CrossRef]
- Oyanagui, Y.; Sato, S. Inhibition by nilvadipine of ischemic and carrageenan paw oedema as well as of superoxide radical production from neutrophilis and xanthine oxidase. Arzneimittel-Forsch 1991, 41, 5. [Google Scholar]
- Litchfield, J.T.; Wilcoxon, F.A. A simplified method of evaluating dose-effect experiments. J. Pharmacol. Exp. Ther. 1949, 96, 99. [Google Scholar] [PubMed]
- Adami, E.; Marazzi-Uberti, E.; Turba, C. Pharmacological research on gefarnate, a new synthetic isoprenoid with an anti-ulcer action. Arch. Int. Pharmacodyn. Ther. 1964, 147, 113–145. [Google Scholar] [PubMed]
- CS ChemOffice Version 7.0 Ultra; Cambridge Soft Corporation, Software Publishers Association: Washington, DC, USA, 2002.
Sample Availability: Samples of the synthesised compounds are available from the authors. |






| Compound | Binding energy (kcal/mol) | ED50 | |||
|---|---|---|---|---|---|
| COX-1 | COX-2 | (μM/Kg) | |||
| Ibuprofen | R | –6.47 | R | –6.21 | 51.70* |
| S | –6.74 | S | –6.05 | ||
| Compound 1 | R | –8.21 | R | –8.31 | 52.71** |
| S | –8.16 | S | –8.15 | ||
| Compound 2 | 2R3R | –8.61 | 2R3R | –8.50 | 70.10* |
| 2R3S | –8.16 | 2R3S | –8.49 | ||
| 2S3R | –8.15 | 2S3R | –8.14 | ||
| 2S3S | –8.13 | 2S3S | –8.27 | ||
| Compound 3 | R | –8.18 | R | –8.25 | 126.82* |
| S | –8.13 | S | –8.21 | ||
| Compound 4 | -7.31 | –6.92 | 50.00 | ||
| Compound 5 | R | –7.20 | R | –7.33 | 14.79* |
| S | –6.78 | S | –7.14 | ||
| Compound 6 | –7.50 | –6.85 | 74.69 | ||
© 2011 by the authors; licensee MDPI, Basel, Switzerland. This article is an open access article distributed under the terms and conditions of the Creative Commons Attribution license (http://creativecommons.org/licenses/by/3.0/).
Share and Cite
Savić, J.S.; Dilber, S.P.; Marković, B.D.; Milenković, M.T.; Vladimirov, S.M.; Juranić, I.O. Docking Studies and α-Substitution Effects on the Anti-Inflammatory Activity of β-Hydroxy-β-arylpropanoic Acids. Molecules 2011, 16, 6645-6655. https://doi.org/10.3390/molecules16086645
Savić JS, Dilber SP, Marković BD, Milenković MT, Vladimirov SM, Juranić IO. Docking Studies and α-Substitution Effects on the Anti-Inflammatory Activity of β-Hydroxy-β-arylpropanoic Acids. Molecules. 2011; 16(8):6645-6655. https://doi.org/10.3390/molecules16086645
Chicago/Turabian StyleSavić, Jelena S., Sanda P. Dilber, Bojan D. Marković, Marina T. Milenković, Sote M. Vladimirov, and Ivan O. Juranić. 2011. "Docking Studies and α-Substitution Effects on the Anti-Inflammatory Activity of β-Hydroxy-β-arylpropanoic Acids" Molecules 16, no. 8: 6645-6655. https://doi.org/10.3390/molecules16086645
APA StyleSavić, J. S., Dilber, S. P., Marković, B. D., Milenković, M. T., Vladimirov, S. M., & Juranić, I. O. (2011). Docking Studies and α-Substitution Effects on the Anti-Inflammatory Activity of β-Hydroxy-β-arylpropanoic Acids. Molecules, 16(8), 6645-6655. https://doi.org/10.3390/molecules16086645
