Abstract
The synthesis and structure of palladium complexes of trisubstituted PTA derivatives, PTAR3, are described. Water-soluble phosphine ligands 1,3,5-triaza-7-phosphaadmantane (PTA), tris(aminomethyl)phosphine trihydrobromide, tri(aminomethyl) phosphine, 3,7-dimethyl-1,5,7-triaza-3-phosphabicyclo[3,3,1]nonane (RO-PTA), 3,7-diacetyl-1,3,7-triaza-5-phosphabicyclo[3.3.1]nonane (DAPTA), lithium 1,3,5-triaza-7-phosphaadamantane-6-carboxylate (PTA-CO2Li), 2,4,6-triphenyl-1,3,5-triaza-7-phosphatricyclo[3.3.1.1]decane, and 2,4,6-triphenyl-1,3,5-triaza-7-phosphatricyclo[3.3.1.1]decane were used as ligands for palladium catalyzed Suzuki reactions in aqueous media. RO-PTA in combination with palladium acetate or palladium chloride was the most active catalyst for Suzuki cross coupling of aryl bromides and phenylboronic acid at 80 °C in 1:1 water:acetonitrile. The activity of Pd(II) complexes of RO-PTA is comparable to PPh2(m-C6H4SO3Na) (TPPMS) and P(m-C6H4SO3Na)3 (TPPTS) and less active than tri(4,6-dimethyl-3-sulfonatophenyl)phosphine trisodium salt (TXPTS). Activated, deactivated, and sterically hindered aryl bromides were examined, with yields ranging from 50% to 90% in 6 h with 5% palladium precatalyst loading. X-ray crystal structures of (RO-PTA)PdCl2, (PTAR3)2PdCl2 (R = Ph, p-tert-butylC6H5), and PTAR3 (R = p-tert-butylC6H5) are reported.
1. Introduction
Transition metal catalyzed C–C bond formations are one of the most important transformations in organic synthesis [1]. Pd-catalyzed coupling reactions are among the most efficient methods to construct carbon-carbon and carbon-heteroatom bonds [2,3,4,5,6,7,8,9,10]. Heck [2,3], Suzuki [2,4], Stille [5,6], Sonogashira [7,8], and Buchwald-Hartwig [9,10] couplings are widely used to synthesize natural products, materials, and polymers. Since Casalnuovo’s initial report of palladium-catalyzed cross-coupling reactions in aqueous solvents using TPPMS/Pd(OAc)2 [11], a variety of catalytic systems in aqueous media have been developed and used for cross-coupling reactions [12,13,14,15,16,17,18,19,20,21,22,23,24,25,26,27]. Some recent examples of aqueous phase Suzuki reactions involve sterically demanding ligands [12,22,23], ligand free palladium catalysts [14,24], palladium nanoparticles on ionic liquids co-polymerized with styrene [15], and ZrO2 impregnated with palladium nanoparticles [17].
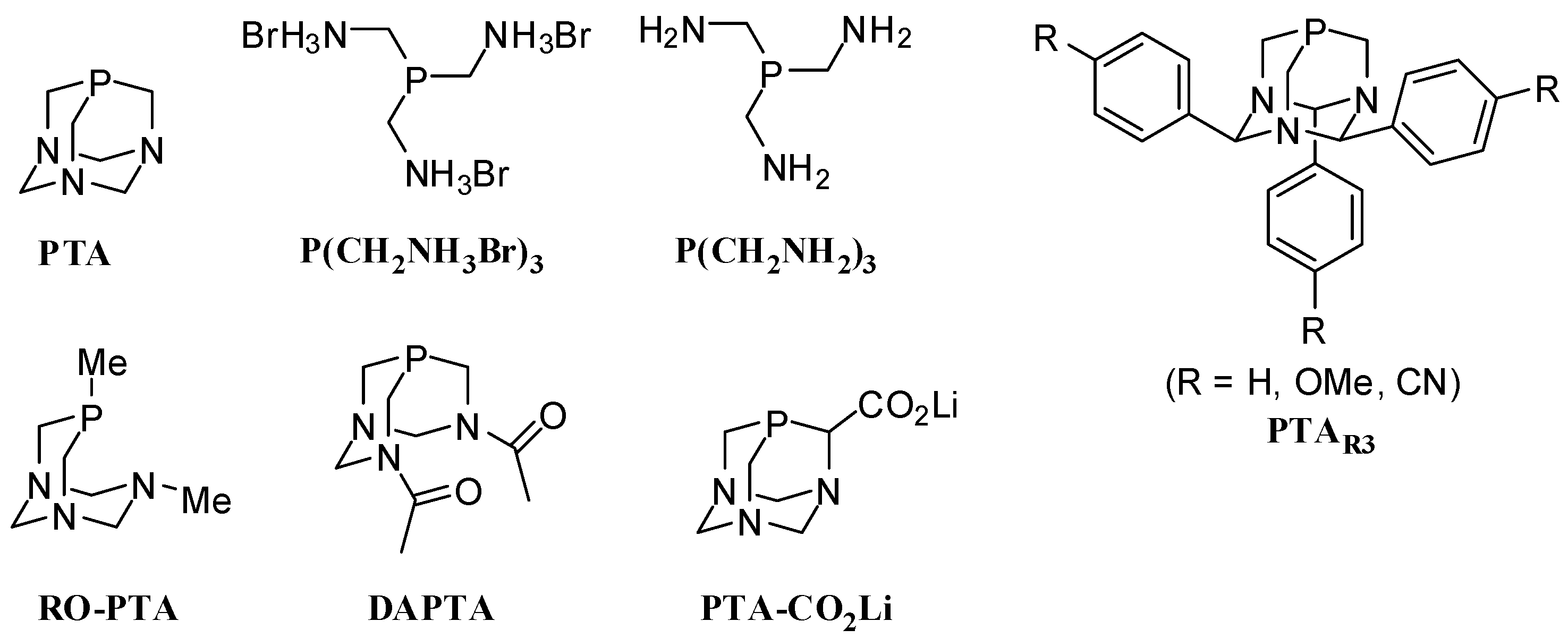
We have been interested in the chemistry of the neutral, air-stable and water soluble 1,3,5-triaza-7-phosphaadmantane (PTA) [28,29,30,31,32,33,34]. Several PTA derivatives have been published in the literature including ring-opened PTA (RO-PTA) [35,36], DAPTA [28,36,37], PTA-CO2Li [33], P(CH2NH3Br)3 [38], P(CH2NH2)3 [30], and PTAR3 (R = Ph, p-PhOCH3, p-PhCN) [30] (Figure 1). Due to the excellent donating properties and water solubility of PTA Joó, Darensbourg, and others introduced PTA to aqueous phase catalysis [39,40,41,42,43,44,45]. PTA and complexes of PTA have been utilized as catalysts for other reactions including but not limited to aqueous or aqueous biphasic hydrogenation of alkenes and aldehydes [41,42,43], hydroamination [46], the Baylis-Hillman reaction [47,48], Sonagashira coupling [49], Huisgen cycloadditions of azides and terminal alkynes [50], and allylation of acetylacetone by allylic carbonates [51]. PTA has also been used as a ligand in regioselective Suzuki reactions of dihaloimidazoles and dihalooxazoles [52].
Figure 1.
PTA and derivatives of PTA.
Figure 1.
PTA and derivatives of PTA.

2. Results and Discussion
Palladium complex 1 was obtained as a yellow solid in 78% yield by reacting RO-PTA and PdCl2(COD) in methylene chloride at room temperature for one hour (Scheme 1). Compound 1 is slightly soluble in organic solvents and soluble in water; however, aqueous solutions of 1 form black precipitates over several hours indicating decomposition. The square planar palladium center of 1, Figure 2, contains similar bond lengths and bond angles as the analogous palladium acetate derivative synthesized by Peruzzini and coworkers [53]. The 31P-NMR spectrum of 1 contains a singlet at −26.6 ppm in D2O, downfield from the cis-palladium acetate derivative (−46.6 ppm) in CD2Cl2 [53]. Peruzzini and coworkers obtained the 31P-NMR spectrum of trans-PdCl2{κ1-P-(RO-PTA)}2 which exhibits a singlet at −49.0 ppm in CD2Cl2 and −31.2 ppm in D2O showing that the NMR resonances can shift significantly downfield upon changing the solvent from CD2Cl2 to D2O [53].
Scheme 1.
Synthesis of (RO-PTA)PdCl2 (1).
Scheme 1.
Synthesis of (RO-PTA)PdCl2 (1).

Figure 2.
Thermal ellipsoid plot (50% probability) of 1. Hydrogen atoms have been omitted for clarity. Selected bond lengths (Å) and angles (deg.): Pd1-N1 = 2.131(3), Pd1-P1 = 2.1884(12), Pd1-Cl1 = 2.3007(11), Pd1-Cl2 = 2.4074(11), N1-Pd1-P1 = 85.42(8), N1-Pd1-Cl1 = 173.12(9), P1-Pd1-Cl2 = 177.82(4), P1-Pd1-Cl1 = 89.94(4).
Figure 2.
Thermal ellipsoid plot (50% probability) of 1. Hydrogen atoms have been omitted for clarity. Selected bond lengths (Å) and angles (deg.): Pd1-N1 = 2.131(3), Pd1-P1 = 2.1884(12), Pd1-Cl1 = 2.3007(11), Pd1-Cl2 = 2.4074(11), N1-Pd1-P1 = 85.42(8), N1-Pd1-Cl1 = 173.12(9), P1-Pd1-Cl2 = 177.82(4), P1-Pd1-Cl1 = 89.94(4).

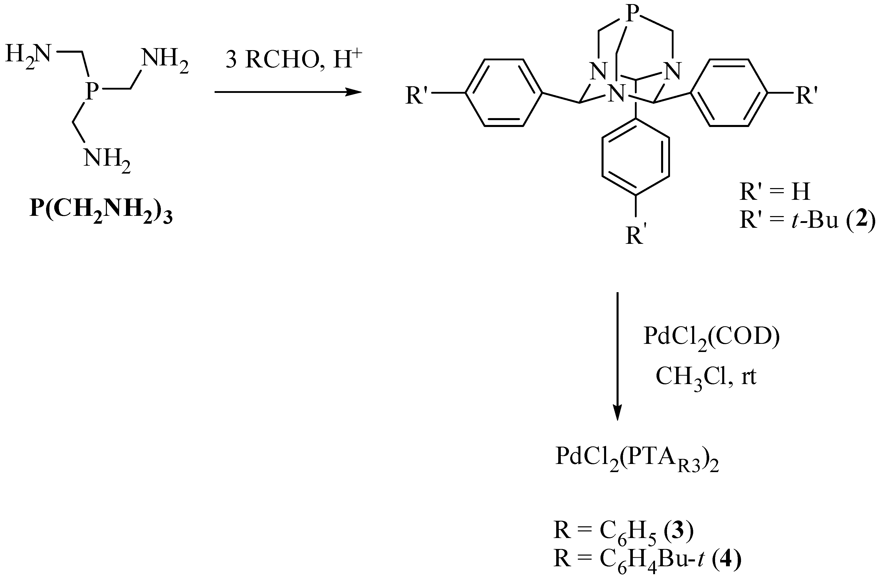
The PTAR3 ligands were synthesized by the reaction of P(CH2NH2)3 and either benzaldehyde or p-tertbutylbenzylaldehyde under acidic conditions (Scheme 2). X-ray quality crystals of 2 were grown by slow diffusion of diethyl ether into a methylene chloride solution of 2, Figure 3. Palladium complexes of the PTAR3 ligands were prepared by stirring two equivalents of PTAR3 and PdCl2(COD) in chloroform at room temperature overnight (Scheme 2). The products were obtained as yellow powders in 78% yield for 3 and 83% yield for 4. The 31P-NMR spectrum of 4 contained the expected singlet resonance at −51.4 ppm in CDCl3. Compound 3 was obtained as a mixture of cis and trans isomers as seen by 31P-NMR spectroscopy which contained a resonance at −51.5 for the trans isomer and one at −34.0 ppm for the cis isomer in CDCl3. X-ray quality crystals of the trans isomers of 3 and 4 were obtained and the structures (Figure 4 and Figure 5) are similar to the previously reported trans-PdCl2(PTAPhOMe3)2 [30].
Scheme 2.
Synthesis of PTAR3 and palladium complexes.
Scheme 2.
Synthesis of PTAR3 and palladium complexes.

Figure 3.
Thermal ellipsoid plot (50% probability) of 2. Hydrogen atoms have been omitted for clarity. Selected bond lengths (Å) and angles (deg.): P1-Cave = 1.858(4), N-Cave = 1.481(4), C4-C7 = 1.516(5), C5-C17 = 1.520(5), C6-C27 = 1.515(5), C-P1-Cave = 95.65(18).
Figure 3.
Thermal ellipsoid plot (50% probability) of 2. Hydrogen atoms have been omitted for clarity. Selected bond lengths (Å) and angles (deg.): P1-Cave = 1.858(4), N-Cave = 1.481(4), C4-C7 = 1.516(5), C5-C17 = 1.520(5), C6-C27 = 1.515(5), C-P1-Cave = 95.65(18).

Figure 4.
Thermal ellipsoid plot (50% probability) of 3. Hydrogen atoms have been omitted for clarity. Selected bond lengths (Å) and angles (deg.): Pd1-Cl1 = 2.2930(7), Pd1-P1 = 2.2895(7), P-Pd-P1 = 180.00(6), Cl-Pd1-Cl1 = 180.00(5), Cl1-Pd1-P1 = 87.78(3).
Figure 4.
Thermal ellipsoid plot (50% probability) of 3. Hydrogen atoms have been omitted for clarity. Selected bond lengths (Å) and angles (deg.): Pd1-Cl1 = 2.2930(7), Pd1-P1 = 2.2895(7), P-Pd-P1 = 180.00(6), Cl-Pd1-Cl1 = 180.00(5), Cl1-Pd1-P1 = 87.78(3).

Figure 5.
Thermal ellipsoid plot (50% probability) of 4. Hydrogen atoms have been omitted for clarity. Selected bond lengths (Å) and angles (deg.): Pd1-Cl1 = 2.2911(17), Pd1-P1 = 2.2959(13), P-Pd-P1 = 180.0, Cl-Pd1-Cl1 = 180.0, Cl1-Pd1-P1 = 91.87(5).
Figure 5.
Thermal ellipsoid plot (50% probability) of 4. Hydrogen atoms have been omitted for clarity. Selected bond lengths (Å) and angles (deg.): Pd1-Cl1 = 2.2911(17), Pd1-P1 = 2.2959(13), P-Pd-P1 = 180.0, Cl-Pd1-Cl1 = 180.0, Cl1-Pd1-P1 = 91.87(5).

2.1. Suzuki-Miyaura Coupling
Initial studies on the catalytic activity of Pd(II) complexes of the water soluble ligands described were performed using phenylboronic acid and bromobenzene in 1:1 H2O:CH3CN with sodium carbonate as a base and 5% Pd(OAc)2 loading. The combination of PTA and Pd(OAc)2 produced a modestly active catalyst at 80 °C over 72 h (66%, Table 1, entry 3). No product was observed at room temperature or at 50 °C. The catalyst decomposed quickly to a black precipitate. Formation of black precipitate is not surprising because PTA, with a cone angle of 103°, is not large enough to support the coordinatively unsaturated active catalyst. The addition of mercury to the reactions essentially shut down catalysis (Table 1, entries 4, 5, 7), indicating that colloidal palladium likely was involved.
Table 1.
Suzuki Coupling catalyzed by Pd(II) and PTA with and without Hg.
| Entry | Catalyst | Time (h) | % Yield a |
|---|---|---|---|
| 1 | Pd(OAc)2PTA2 | 24 | 36.3 |
| 2 | Pd(OAc)2PTA2 | 48 | 63.3 |
| 3 | Pd(OAc)2PTA2 | 72 | 66 |
| 4 b | Pd(OAc)2PTA2 | 24 | 3.0 |
| 5 b | Pd(OAc)2PTA2 | 48 | 4.9 |
| 6 | PdCl2PTA2 | 48 | 51.5 |
| 7 b | PdCl2PTA2 | 48 | 5.0 |
a Isolated yield after column chromatography; b ~0.5 mL Hg added.
PTA derivatives were then employed as ligands in the palladium catalyzed Suzuki coupling (Table 2). All the PTA derivatives explored here resulted in higher yields, 40%–91% than PTA in less time.
Table 2.
Palladium catalyzed Suzuki coupling reactions in aqueous media utilizing water-soluble PTA derivatives.
| Entry | Precatalyst | Ligand | Pd:L | Yield (%) a |
|---|---|---|---|---|
| 1 | Pd(OAc)2 | DAPTA | 1:2 | 40 |
| 2 | Pd(OAc)2 | DAPTA | 1:3 | 42 |
| 3 | Pd(OAc)2 | PTAPh3 | 1:2 | 65 |
| 4 | Pd(OAc)2 | 2 | 1:2 | 56 |
| 5 | 3 | - | 1:2 | 58 |
| 6 | 4 | - | 1:2 | 60 |
| 7 | Pd(OAc)2 | PTA-CO2Li | 1:1 | 60 |
| 8 | Pd(OAc)2 | PTA-CO2Li | 1:2 | 76 |
| 9 | Pd(OAc)2 | PTA-CO2Li | 1:3 | 75 |
| 10 | Pd(OAc)2 | P(CH2NH3Br)3 | 1:1 | 74 |
| 11 | Pd(OAc)2 | P(CH2NH3Br)3 | 1:2 | 77 |
| 12 | Pd(OAc)2 | P(CH2NH3Br)3 | 1:3 | 78 |
| 13 | Pd(OAc)2 | P(CH2NH2)3 | 1:1 | 77 |
| 14 | Pd(OAc)2 | P(CH2NH2)3 | 1:2 | 80 |
| 15 | Pd(OAc)2 | RO-PTA | 1:2 | 86 |
| 16 | Pd(OAc)2 | RO-PTA | 1:3 | 82 |
| 17 b | Pd(OAc)2 | RO-PTA | 1:2 | 52 |
| 18 | PdCl2 | RO-PTA | 1:2 | 89 |
| 19 | PdCl2 | RO-PTA | 1:3 | 85 |
| 20 | 1 | - | 1:1 | 91 |
| 21 | Pd(OAc)2 | - | - | 88 |
| 22 | PdCl2 | - | - | 80 |
a Isolated yield after column chromatography; b ~0.5 mL Hg added.
The DAPTA/Pd(OAc)2 system provided only slightly better yields, 40%–42%, than PTA (Table 2, entries 1 and 2). Catalysts generated from PTAR3/Pd(OAc)2 provided the product in moderate yields, 56%–65% (Table 2, entries 3–6). The potentially chelating ligand PTA-CO2Li with Pd(OAc)2 was slightly more effective with 60%–76% yields depending on the number of equivalents of ligand added (Table 2, entries 7–9). Catalysts derived from P(CH2NH3Br)3 or P(CH2NH2)3 and Pd(OAc)2 were more active with yields ranging from 74%–80% (Table 2, entries 10–14). The most active system studied was RO-PTA with Pd(II) salts. The in situ catalyst (RO-PTA/Pd(II)) showed very good activity with yields between 82% to 89% depending on ration of ligand to Pd(II) (Table 2, entry 15,16,18,19). The preformed catalyst (1) was the most active with yields of 91% obtained for the Suzuki coupling of bromobenzene and phenylboronic acid (Table 2, entry 20).
The ratio of ligand to palladium also affected the amount of product produced. The largest change in yield was observed with PTA-CO2Li, as the L:Pd ratio increased from 1:1 to 2:1 the yield increased from 60 to 76%. Increasing the ratio to 3:1 ligand to palladium had little effect on catalysis (Table 2, entry 7–9). Increasing the L:Pd ratio for P(CH2NH3Br)3 (Table 2, entry 10–12) and P(CH2NH2)3 (Table 2, entry 13,14) from 1:1 to 2:1 resulted in only a small increased yield. Increasing the ratio of RO-PTA:Pd(II) from 1:2 to 1:3 resulted in a slight decrease in the coupling product (Table 2, entry 15,16,18,19). Changing the palladium source from Pd(OAc)2 to PdCl2 with RO-PTA resulted in a small difference in yield with PdCl2 being slightly more active (Table 2, entry 15,16,18,19). It is important to note that the reaction remained clear during catalysis for entries 7–16 and 18–19; unlike the PTA/Pd(OAc)2 system where palladium black was clearly visible. Addition of Hg to the reaction catalyzed by RO-PTA and Pd(OAc)2 resulted in a decrease in yield from 86 to 52% (Table 2, entry 17) indicating that the reaction is mainly homogeneous. RO-PTA and P(CH2NH2)3 ligand are potential (P, N) bidentate ligands and due to the hemilabile functionality [54] the catalyst can be stabilized, reducing the amount of palladium black formed. Ligand free coupling reactions with Pd(OAc)2 and PdCl2 were explored under the above conditions as a control (Table 2, entry 21–22). Not surprisingly under aqueous conditions Pd(OAc)2 and PdCl2 are very good catalysts with biphenyl yields of 88 and 80% respectively. This was not unexpected as palladium catalysts have been reported to be excellent heterogenous Suzuki coupling catalysts in aqueous media [4,24,55].
2.2 Catalyst Scope
Pd(OAc)2, RO-PTA, and sodium carbonate were used to study the catalyst scope under optimized reaction conditions. It is well-established that electron-deficient aryl bromides are good substrates in palladium catalyzed cross coupling reactions. With optimal reaction conditions in hand, the scope of the catalyst system was explored with a range of aryl bromides. Suzuki coupling yields were affected by the steric and electronic parameters of the aryl halides (Table 3). Electron neutral aryl bromides such as 4-bromotoluene (Table 3, entry 1) and electron deficient aryl bromides such as 4-bromo-benzonitrile (Table 3, entry 5) coupled well under the conditions described above. Electron donating aryl bromides such as 1-bromo-4-methoxybenzene (Table 3, entry 4) and sterically demanding aryl bromides such as 2-bromotoluene (Table 3, entry 2) resulted in decreased coupling. No catalytic turnover was observed with the sterically demanding 2-bromo-m-xylene (Table 3, entry 3). The sterically demanding election donating 2-bromoanisole resulted in a modest yield (Table 3, entry 6) comparable with electron donating aryl bromide 1-bromo-4-methoxybenzene (Table 3, entry 4). The sterically demanding electron withdrawing 1-bromo-2-nitrobenzene resulted in good but lower yield (Table 3, entry 7) than the electron withdrawing sterically unhindered 4-bromobenzonitrile (Table 3, entry 5). The catalytic activity of RO-PTA/Pd(OAc)2 is comparable to Suzuki coupling utilizing water soluble phosphines such as TPPMS and TPPTS [19,20,21]. When compared to water soluble TXPTS and palladacylces developed by Shaughnessy et al. [22,23,27] or water soluble diamine ligands [25,26] catalysis by RO-PTA was much less effective.
Table 3.
Coupling of aryl halides with phenylboronic acid catalyzed by RO-PTA/Pd(OAc)2.
| Entry b | Bromide | Precatalyst | Yield (%) a |
|---|---|---|---|
| 1 | ![]() | Pd(OAc)2 | 84 |
| 2 | ![]() | Pd(OAc)2 | 65 |
| 3 | ![]() | Pd(OAc)2 | <5 |
| 4 | ![]() | Pd(OAc)2 | 50 |
| 5 | ![]() | Pd(OAc)2 | 90 |
| 6 | ![]() | Pd(OAc)2 | 55 |
| 7 | ![]() | Pd(OAc)2 | 77 |
a Isolated yield after purification by column chromatography; b Reactions were run in 1:1 water: acetonitrile at 80 °C for 6 h
3. Experimental
3.1. General
Standard Schlenk and drybox techniques were used for all reactions unless noted. Prior to use, solvents were distilled under nitrogen from the appropriate drying agent (sodium/benzophenone for tetrahydrofuran, calcium hydride for hexanes; magnesium/iodine for methanol). Water (deionized) and acetonitrile were deoxygented by sparging with nitrogen. Deuterated NMR solvents were purchased from commercial sources and used as received. All NMR spectra were recorded on either a Varian NMR System 400 or Varian Unity Plus 500 FT-NMR spectrometer. 1H- and 13C-NMR spectra were referenced to a residual solvent relative to tetramethylsilane. Phosphorus chemical shifts are relative to an external reference of 85% phosphoric acid in D2O with positive values downfield of the reference. Tetrakis(hydroxymethyl)phosphonium chloride was obtained from Cytec and used without further purification. PTA [44,56], PTAPh3 [30], P(CH2NH3Br)3 [38], P(CH2NH2)3 [30], [Me-PTA]+I− [35], DAPTA [36,37], PTA-CO2Li [33], and PdCl2(COD) [57] were synthesized according to previously reported methods. The synthesis of ROPTA was performed by a modification of a method reported by Schmidbaur [35]. Palladium chloride and palladium acetate were purchased from Strem and stored in a drybox. Aryl bromides and phenylboronic acids were purchased from Acros Organics and used without further purification.
3,7-Dimethyl-1,5,7-triaza-3-phosphabicyclo[3.3.1]nonane (RO-PTA): Prepared by a modification of a method reported by Schmidbaur [35]. To a mixture of condensed liquid ammonia (80 mL) and [Me-PTA]+I− (9.00 g, 30.2 mmol) was added sodium metal (878 mg, 38.2 mmol) at −78 °C until the color turned dark blue. Stirring was continued for 20 min at −78 °C. The ammonia was slowly evaporated at room temperature. To the residue was added hexanes (200 mL) and the resulting mixture vigorously stirred for several minutes before filtering under nitrogen. The hexane was removed under reduced pressure resulting in a white, crystalline solid (1.50 g, 29%). Spectral data were identical to previously reported data [35].
cis-(3,7-Dimethyl-1,5,7-triaza-3-phosphabicyclo[3.3.1]nonane)dichloro palladium (II) (1): To a solution of PdCl2(COD) (142.8 mg, 0.5 mmol) in methylene chloride (15 mL) was added RO-PTA (86.5 mg, 0.5 mmol). Precipitation was observed after 10 min, but the reaction was stirred for another hour. The precipitate was filtered off, washed with methylene chloride (2 × 10 mL), collected and dried in vacuo to give the product as a yellow solid (136 mg, 78%). 1H-NMR (D2O, 400 MHz): δ 4.71 (d, J = 12.0 Hz, 2H), 4.18–4.13 (m, 4H),4.02 (d, J =12.8 Hz, 2H), 3.86 (d, J = 6.8 Hz, 1H), 3.83 (d, J = 64 Hz, 1H), 2.52 (s, 3H), 1.67 (d, J = 14.4 Hz); 31P-NMR (D2O, 161.9 MHz): δ −26.6. X-ray quality crystals were obtained by slow evaporation of the dilute solution of chloroform and ether.
2,4,6-tri(p-tert-Butylphenyl)-1,3,5-phosphatricyclo[3.3.1.1]decane (2): Tris(aminomethyl)phosphine trihydrobromide (1.091 g, 3.0 mmol) and sodium hydroxide (360 mg, 9 mmol) were added to a 100 mL Schlenk flask in a drybox. Fresh distilled methanol (40 mL) was added via syringe resulting in a clear solution. Hydrogen chloride (30 µL 2.0 M in Et2O, 0.06 mmol) and 4-tert-butylbenzaldehyde (2.60 mL, 15 mmol) were added to the resulting solution via syringe. The resulting solution was stirred overnight at room temperature. Methanol was removed under reduced pressure. The resultant white residue was dissolved in methylene chloride (100 mL) and sodium bromide was extracted by water (2 × 50 mL). The organic layer was dried over anhydrous potassium carbonate, filtered, and the methylene chloride removed under reduced pressure. The residue was dissolved in methylene chloride (5 mL), absolute ethanol (120 mL) was added, and the flask was set in the freezer overnight. The precipitate was filtered off, washed with ethanol (2 × 15 mL) and dried in vacuo to give the product as a white, crystalline solid (1.063, 64%). 1H-NMR (CDCl3, 400 MHz): δ 7.66–7.40 (m, 6H), 7.51–7.48 (m, 4H), 7.31 (d, J = 8.40 Hz, 2H), 5.95 (s, 1H), 5.49 (s, 2H), 4.48 (d, JPH = 9.20 Hz, 1H), 4.44 (d, JPH = 9.20 Hz, 1H), 3.87 (JPH = 9.60 Hz, 1H), 3.84 (d, JPH = 10.00 Hz, 1H), 3.73 (d, JPH = 9.20 Hz, 2H), 1.37 (s, 18 H), 1.28 (s, 9H). 13C-NMR (100.5 MHz, CDCl3): δ 150.4, 150.2, 137.3, 136.1, 126.8, 126.1, 125.8, 125.7, 82.9 (d, 3JPC = 2.90 Hz), 75.1 (d, 3JPC = 2.70 Hz), 46.4 (d, J = 19.50 Hz), 35.71 (d, J = 18.69 Hz), 34.76, 34.6, 31.7, 31.6; 31P-NMR (161.7 MHz, CDCl3): −111.9. X-ray-quality crystals were obtained by slow diffusion of ether into a methylene chloride solution of ligand 2, resulting in the formation of clear and colorless blocks over the course of ten days.
bis(2,4,6-Triphenyl-1,3,5-triaza-7-phosphatricyclo[3.3.1.1]decane)dichloro palladium (II) (3): To a solution of PdCl2(COD) (57.1 mg, 0.2 mmol) in chloroform (15 mL), 2,4,6-triphenyl-1,3,5-triaza-7-phosphatricyclo[3.3.1.1]decane (155.2 mg, 0.4 mmol) in chloroform (5 mL) was added via syringe. The resulting solution was stirred overnight at room temperature and the solvent removed under vacuum. The residue was taken up into a minimum amount of methylene chloride (2 mL), hexanes (20 mL) was added, and the flask was set in the freezer overnight. The precipitate was filtered off, washed with hexanes (2 × 5 mL), and dried under vacuum to give the product as a yellow solid (148 mg, 78%). 1H and 31P-NMR spectra showed both cis and trans isomers in CDCl3 in a ratio of approximately 1:1. 1H-NMR (CDCl3, 400 MHz): δ 7.66–7.26 (m, 30 H), 5.99 (s, 2H), 5.95 (s, 2H), 5.45 (s, 1H), 5.43 (s, 1H), 4.52 (s, 2H), 4.48 (s, 2H), 4.16 (s, 2H), 4.12 (s, 2H), 4.02 (s, 2H), 2.94 (s, 2H); 31P-NMR (161.7 MHz, CDCl3): δ −34.0, −51.5. X-ray-quality crystals were obtained by slow diffusion of ether into a methylene chloride solution of compound 3.
trans-bis(2,4,6-tri(p-tert-butylphenyl)-1,3,5-phosphatricyclo[3.3.1.1]decane)dichloro palladium (II) (4): To a solution of PdCl2(COD) (65.6 mg, 0.23 mmol) in chloroform (15 mL) ligand 2 (255.8 mg, 0.46 mmol) in chloroform (5 mL) was added via syringe. The resulting solution was stirred overnight at room temperature, and the solvent removed under vacuum. The residue was taken up into a minimum amount of methylene chloride (2 mL), hexanes (20 mL) was added, and the flask was set in the freezer overnight. The precipitate was filtered off, washed with hexanes (2 × 5 mL), and dried under vacuum to give the product as a yellow solid (256 mg, 83%). 1H-NMR (CDCl3, 400 MHz): δ 7.54–7.49 (m, 20 H), 7.31–7.31 (m, 4H), 5.97 (s, 2H), 5.40 (s, 4H), 4.52 (s, 2H), 4.48 (s, 2H), 4.22 (s, 2H), 4.18 (s, 2H), 3.97 (s, 4H), 1.37 (s, 36 H), 1.24 (18H) (161.7 MHz, CDCl3): δ −51.4. X-ray-quality crystals were obtained by slow diffusion of ether into a methylene chloride solution of compound 4.
3.2. General Procedure for the Suzuki Coupling Reaction Aryl Halides and Arylboronic Acids
A round bottom flask equipped with stir bar in the drybox was charged with palladium chloride or palladium acetate (11.2 mg, 0.05 mmol), an appropriate amount of ligand, sodium carbonate (212 mg, 2.0 mmol) and phenylboronic acid (183 mg, 1.5 mmol). Deoxygenated 1:1 H2O:CH3CN (5 mL) and aryl halide (1.0 mmol) were added and the reaction was stirred at 80 °C for 6 h unless noted. The reaction was cooled to room temperature, saturated sodium bicarbonate (20 mL) was added, and the organics were extracted with ethyl acetate (3 × 30 mL). The combined ethyl acetate extracts were dried (MgSO4) and the solvent was removed under reduced pressure. The crude material was flash chromatographed on a short silica gel column.
3.3. Mercury Experiment
A Schlenk flask with stir bar was charged with palladium chloride or palladium acetate (8.8 mg or 11.2 mg respectively, 0.05 mmol), PTA (17.3 mg, 0.10 mmol), and sodium carbonate (212.0 mg, 2.0 mmol) under N2 atmosphere. Five mL of deoxygenated H2O was then added via syringe and the catalyst solution was stirred for 1.5 h. A 25 mL round bottom was charged with phenylboronic acid (183 mg, 1.5 mmol) and bromobenzene (105 mL, 1.00 mmol), equipped with a condenser under N2 atmosphere. Deoxygenated CH3CN (5 mL) and catalyst solution (5 mL) were added via syringe. The reaction mixture was stirred for 15 min followed by the addition of a few drops of mercury before heating to 80 °C. After 24 or 48 h the reaction was allowed to cool to room temperature. The mixture was then extracted with dichloromethane (3 × 5 mL). The combined organic extracts were dried over Na2SO4 and the solvent removed under reduced pressure. The crude product was purified on a short column of silica gel.
Biphenyl (Table 2 and Table 3). Bromobenzene (105 μL, 1.00 mmol) and phenylboronic acid (183 mg, 1.5 mmol) were coupled by the above procedure. The product was isolated by column chromatography on silica gel with hexanes as the elution solvent. A white solid was obtained (132 mg, 86%) with spectral data identical to previously reported [58].
4-Methyl-1,1’-biphenyl (Table 4, entry 1). 4-Bromotoluene (123 μL, 1.00 mmol) and phenylboronic acid (183 mg, 1.5 mmol) were coupled by the above procedure. The product was isolated by column chromatography on silica gel with hexanes as the elution solvent. A white solid was obtained (133 mg, 84%) with spectral data identical to previously reported [58].
2-Methyl-1,1’-biphenyl (Table 4, entry 2). 2-Bromotoluene (120 μL, 1.0 mmol) and phenylboronic acid (183 mg, 1.5 mmol) were coupled by the above procedure. The product was isolated by column chromatography on silica gel with hexanes as the elution solvent. A white solid was obtained (109 mg, 65%) with spectral data identical to previously reported [59].
4-Methoxy-1,1’-biphenyl (Table 4, entry 4). 4-Bromoanisole (125 μL, 1.00 mmol) and phenylboronic acid (183 mg, 1.50 mmol) were coupled by the above procedure. The product was isolated by column chromatography on silica gel with 5% ethyl acetate-hexanes as the elution solvent. A colorless oil was obtained (92 mg, 50%) with spectral data identical to previously reported [58].
4-Cyano-1,1’-biphenyl (Table 4, entry 5). 4-Bromobenzonitrile (182.0 mg, 1.00 mmol) and phenylboronic acid (183 mg, 1.50 mmol) were coupled by the above procedure. The product was isolated by column chromatography on silica gel with 75:25:5 hexanes-CH2Cl2-ethyl acetate as the elution solvent. A pale yellow solid was obtained (160.9 mg, 90%) with spectral data identical to previously reported [58].
2-Methoxy-1,1’-biphenyl (Table 4, entry 6). 2-Bromoanisole (123.7 μL, 1.00 mmol) and phenylboronic acid (183 mg, 1.50 mmol) were coupled by the above procedure. The product was isolated by column chromatography on silica gel with hexanes as the eluting solvent. A pale yellow oil was obtained (101.3 mg, 55%) with spectral data identical to previously reported [60].
2-Nitro-1,1’-biphenyl (Table 4, entry 7). 1-Bromo-2-nitrobenzene (202 mg, 1.00 mmol) and phenylboronic acid (183 mg, 1.50 mmol) were coupled by the above procedure. The product was isolated by column chromatography on silica gel with hexanes and 5% ethyl acetate/hexanes as the elution solvent. A light yellow oil was obtained (153.7 mg, 77%) with spectral data identical to previously reported [61].
3.4. X-ray Crystallography
X-ray crystallographic data were obtained on a Bruker APEX CCD diffractometer. The structures were solved by direct methods and refined using SHELXTL, version 6.10 [62,63]. Crystallographic data and data collection parameters may be found in Table 4. CCDC 827744–827747 contains the supplementary crystallographic data for this paper. These data can be obtained free of charge via www.ccdc.cam.ac.uk/conts/retrieving.html.
Table 4.
Crystallographic data for compounds 1–4.
| 1 | 2 | 3 | 4 | |
|---|---|---|---|---|
| Empirical Formula | C7H16Cl2N3PPd | C36H48N3P | C52H58Cl2N6OP2Pd | C74H98Cl8N6P2Pd |
| Fw | 350.50 | 553.74 | 1022.28 | 1523.52 |
| T(K) | 100(2) | 100(2) | 100(2) | 100(2) |
| λ(Ǻ) | 0.71073 | 0.71073 | 0.71073 | 0.71073 |
| cryst syst | Monoclinic | Triclinic | Triclinic | Triclinic |
| space group | P21/c | P-1 | P-1 | P-1 |
| a(Ǻ) | 8.60830(10 | 8.2876(8) | 11.10810(10) | 12.0121(3) |
| b(Ǻ) | 11.5593(2) | 11.8367(12) | 14.6003(2) | 12.7019(3) |
| c(Ǻ) | 12.0933(2) | 17.4678(19) | 16.9813(2) | 13.9564(3) |
| α(deg) | 90 | 97.424(7) | 113.3050(10) | 116.1830(10) |
| β(deg) | 107.1980(10) | 100.306(7) | 102.5090(10) | 94.1170(10) |
| γ(deg) | 90 | 104.442(8) | 100.2660(10) | 99.6960(10) |
| V(Ǻ3) | 1149.55(3) | 1605.2(3) | 2359.92(5) | 1857.75(8) |
| Z | 4 | 2 | 2 | 1 |
| Dcalc (Mg/m3) | 2.025 | 1.146 | 1.439 | 1.362 |
| abs coeff (mm−1) | 2.184 | 0.114 | 0.620 | 0.626 |
| cryst size (mm3) | 0.07 × 0.06 × 0.03 | 0.56 × 0.56 × 0.04 | 0.12 × 0.08 × 0.07 | 0.31 × 0.09 × 0.05 |
| θ data collect (deg) | 2.48 to 26.37 | 1.81 to 22.50 | 1.38 to 27.43 | 1.65 to 27.55 |
| Index ranges | −10 ≤ h ≤ 9 | −8 ≤ h ≤ 8 | −14 ≤ h ≤ 14 | −15 ≤ h ≤ 15 |
| −14 ≤ k ≤13 | −12 ≤ k ≤ 12 | −18 ≤ k ≤ 18 | −16 ≤ k ≤ 16 | |
| −14 ≤ l ≤ 15 | −18 ≤ l ≤ 18 | −21 ≤ l ≤ 21 | −18 ≤ l ≤ 18 | |
| reflns collected | 21262 | 10984 | 59870 | 30379 |
| indep reflns | 2351 Rint = 0.0452 | 4121 Rint = 0.0822 | 10747 Rint = 0.0622 | 8530 Rint = 0.0674 |
| abs correction | SADABS | SADABS | SADABS | SADABS |
| data/restraints/param | 2351/0/127 | 4121/0/418 | 10747/0/582 | 8530/0/421 |
| GOF F2 | 1.088 | 0.930 | 1.033 | 1.051 |
| final R indices | R1 = 0.0343 | R1 = 0.0643, | R1 = 0.0424 | R1 = 0.0810 |
| [ I □ 2σ(I)] | wR2 = 0.0761 | wR2 = 0.1190 | wR2 = 0.0898 | wR2 = 0.2168 |
| R indicies | R1 = 0.0462 | R1 = 0.1289 | R1 = 0.0755 | R1 = 0.1200 |
| (all data) | wR2 = 0.0791 | wR2 = 0.1363 | wR2 = 0.1046 | wR2 = 0.2426 |
| CCDC no. | 827747 | 827746 | 827745 | 827744 |
4. Conclusions
We have reported here the synthesis and structure of palladium(II) complexes of RO-PTA (1) and PTAR3 (3–4). The air stable, water-soluble, and potentially hemilabile P,N ligand RO-PTA was successfully used for the Suzuki reaction in aqueous media. The combination of RO-PTA and palladium acetate generated an effective catalyst for the Suzuki coupling reaction. Electron neutral and electron deficient aryl bromide substrates coupled well with phenylboronic acid in good yields. The catalytic system was modestly effective in the Suzuki coupling reaction for electron-rich and sterically bulky aryl bromides. Catalytic activity of RO-PTA is comparable to TPPMS and TPPTS and less active than water-soluble diamines and phosphines like TXPTS.
Acknowledgments
The authors thank the National Science Foundation (NSF) CAREER program (Grant CHE-0645365) for support. Financial support from the NSF is acknowledged for the X-ray and NMR facilities (Grants CHE-0226402 and CHE 0521191). Tae Ho Kim is also acknowledged for help with the X-ray crystallography.
References and Notes
- Jana, R.; Pathak, T.P.; Sigman, M.S. Advances in transition metal (Pd, Ni, Fe)-catalyzed cross-coupling reactions using alkyl-organometallics as reaction partners. Chem. Rev. 2011, 111, 1417–1492. [Google Scholar]
- Liu, S.; Xiao, J. Toward green catalytic synthesis-Transition metal-catalyzed reactions in non-conventional media. J. Mol. Catal. A: Chem. 2007, 270, 1–43. [Google Scholar] [CrossRef]
- Beletskaya, I.P.; Cheprakov, A.V. The Heck reaction as a sharpening stone of palladium catalysis. Chem. Rev. 2000, 100, 3009–3066. [Google Scholar]
- Alonso, F.; Beletskaya, I.P.; Yus, M. Non-conventional methodologies for transition-metal catalysed carbon-carbon coupling: a critical review. Part 2: The Suzuki reaction. Tetrahedron 2008, 64, 3047–3101. [Google Scholar]
- De Souza, M.V.N. Stille reaction: An important tool in the synthesis of complex natural products. Curr. Org. Syn. 2006, 3, 313–326. [Google Scholar] [CrossRef]
- Espinet, P.; Echavarren, A.M. The mechanisms of the Stille reaction. Angew. Chem. Int. Ed. Engl. 2004, 43, 4704–4734. [Google Scholar]
- Doucet, H.; Hierso, J.-C. Palladium-based catalytic systems for the synthesis of conjugated enynes by Sonogashira reactions and related alkynylations. Angew. Chem. Int. Ed. Engl. 2007, 46, 834–871. [Google Scholar] [CrossRef]
- Chinchilla, R.; Najera, C. The Sonogashira reaction: A booming methodology in synthetic organic chemistry. Chem. Rev. 2007, 107, 874–922. [Google Scholar]
- Schlummer, B.; Scholz, U. Palladium-catalyzed C–N and C–O coupling—A practical guide from an industrial vantage point. Adv. Synth. Catal. 2004, 346, 1599–1626. [Google Scholar]
- Hartwig, J.F. Carbon-heteroatom bond-forming reductive eliminations of amines, ethers, and sulfides. Acc. Chem. Res. 1998, 31, 852–860. [Google Scholar] [CrossRef]
- Casalnuovo, A.L.; Calabrese, J.C. Palladium-catalyzed alkylations in aqueous media. J. Am. Chem. Soc. 1990, 112, 4324–4330. [Google Scholar] [CrossRef]
- Shaughnessy, K.H. Beyond TPPTS: New approaches to the development of efficient palladium-catalyzed aqueous-phase cross-coupling reactions. Eur. J. Org. Chem. 2006, 1827–1835. [Google Scholar] [CrossRef]
- Zhou, J.; Li, X.; Sun, H. An efficient and recyclable water-soluble cyclopalladated complex for aqueous Suzuki reactions under aerial conditions. J. Organomet. Chem. 2010, 695, 297–303. [Google Scholar]
- Liu, C.; Ni, Q.; Hu, P.; Qiu, J. Oxygen-promoted PdCl2-catalyzed ligand-free Suzuki reaction in aqueous media. Org. Biomol. Chem. 2011, 9, 1054–1060. [Google Scholar]
- Wang, J.; Song, G.; Peng, Y. Reusable Pd nanoparticles immobilized on functional ionic liquid co-polymerized with styrene for Suzuki reactions in water-ethanol solution. Tetrahedron Lett. 2011, 52, 1477–1480. [Google Scholar] [CrossRef]
- Mejías, N.; Pleixats, R.; Shafir, A.; Medio-Simón, M.; Asensio, G. Water-soluble palladium nanoparticles: Click synthesis and applications as a recyclable catalyst in Suzuki cross-couplings in aqueous media. Eur. J. Org. Chem. 2010, 5090–5099. [Google Scholar]
- Monopoli, A.; Nacci, A.; Calò, V.; Ciminale, F.; Cotugno, P.; Mangone, A.; Giannossa, L.C.; Azzone, P.; Cioffi, N. Palladium/zirconium oxide nanocomposite as a highly recyclable catalyst for C–C coupling reactions in water. Molecules 2010, 15, 4511–4525. [Google Scholar] [CrossRef]
- Shaughnessy, K.H. Hydrophilic ligands and their application in aqueous-phase metal-catalyzed reactions. Chem. Rev. 2009, 109, 643–710. [Google Scholar]
- Casalnuovo, A.L.; Calabrese, J.C. Palladium-catalyzed alkylations in aqueous media. J. Am. Chem. Soc. 1990, 112, 4324–4330. [Google Scholar] [CrossRef]
- Genet, J.P.; Blart, E.; Savignac, M. Palladium-catalyzed cross-coupling reactions in a homogeneous aqueous medium. Synlett 1992, 715–717. [Google Scholar]
- Ueda, M.; Nishimura, M.; Miyaura, N. A palladium-catalyzed biaryl coupling of arylboronic acids in aqueous media using a gluconamide-substituted triphenylphosphine (GLCAphos) ligand. Synlett 2000, 6, 856–858. [Google Scholar]
- Moore, L.R.; Shaughnessy, K.H. Efficient aqueous-phase Heck and Suzuki couplings of aryl bromides using tri(4,6-dimethyl-3-sulfonatophenyl)phosphine trisodium salt (TXPTS). Org. Lett. 2004, 2, 225–228. [Google Scholar]
- Moore, L.R.; Western, E.C.; Craciun, R.; Spruell, J.M.; Dixon, D.A.; O’Halloran, K.P.; Shaughnessy, K.H. Sterically demanding, sulfonated, triarylphosphines: Application to palladium-catalyzed cross-coupling, steric and electronic properties, and coordination chemistry. Organometallics 2008, 27, 576–593. [Google Scholar]
- Wallow, T.I.; Novak, B.M. Highly efficient and accelerated Suzuki aryl couplings mediated by phosphine-free palladium sources. J. Org. Chem. 1994, 59, 5034–5037. [Google Scholar] [CrossRef]
- Wu, W.-Y.; Chen, S.-N.; Tsai, F.-Y. Recyclable and highly active cationic 2,2’-bipyridyl palladium(II) catalyst for Suzuki cross-coupling reaction in water. Tetrahedron Lett. 2006, 47, 9267–9270. [Google Scholar]
- Pawar, S.S.; Uppalla, L.S.; Shingare, M.S.; Thore, S.N. Sodium 2-(2-pyridin-3-ylethylamino)ethyl sulfonate: an efficient ligand and base for palladium-catalyzed Suzuki reaction in aqueous media. Tetrahedron Lett. 2008, 49, 5858–5862. [Google Scholar] [CrossRef]
- Huang, R.; Shaughnessy, K.H. Water-soluble palladacycles as precursors to highly recyclable catalysts for the Suzuki coupling of aryl bromides in aqueous solvents. Organometallics 2006, 25, 4105–4112. [Google Scholar] [CrossRef]
- Frost, B.J.; Mebi, C.A. Aqueous organometallic chemistry: Synthesis, structure, and reactivity of the water-soluble metal hydride CpRu(PTA)2H. Organometallics 2004, 23, 5317–5323. [Google Scholar] [CrossRef]
- Wong, G.W.; Harkreader, J.L.; Mebi, C.A.; Frost, B.J. Synthesis and coordination chemistry of a novel bidentate phosphine: 6-(Diphenylphosphino)-1,3,5-triaza-7-phophaadamantane (PTA-PPh2). Inorg. Chem. 2006, 45, 6748–6755. [Google Scholar]
- Huang, R.; Frost, B.J. Development of a series of P(CH2NCHR)3 and trisubstituted 1,3,5-triaza-7-phosphaadamantane ligands. Inorg. Chem. 2007, 46, 10962–10964. [Google Scholar] [CrossRef]
- Mebi, C.A.; Frost, B.J. Isomerization of trans-[Ru(PTA)4Cl2] to cis-[Ru(PTA)4Cl2] in water and organic solvent: Revisiting the chemistry of [Ru(PTA)4Cl2]. Inorg. Chem. 2007, 46, 7115–7120. [Google Scholar]
- Frost, B.J.; Harkreader, J.L.; Bautista, C.M. Synthesis and solid state structure of Co(II) complexes of O=PTA. Inorg. Chem. Comm. 2008, 11, 580–583. [Google Scholar] [CrossRef]
- Wong, G.W.; Lee, W.-C.; Frost, B.J. Insertion of CO2, ketones, and aldehydes into the C-Li bond of 1,3,5-triaza-7-phosphaadamantan-6-yllithium. Inorg. Chem. 2008, 47, 612–620. [Google Scholar]
- Frost, B.J.; Lee, W.-C.; Pal, K.; Kim, T.H.; VanDerveer, D.; Rabinovich, D. Synthesis, structure, and coordination chemistry of O=PTA and S=PTA with group 12 metals (PTA = 1,3,5-triaza-7-phosphaadamantane). Polyhedron 2010, 29, 2373–2380. [Google Scholar]
- Assmann, B.; Angermaier, K.; Paul, M.; Riede, J.; Schmidbaur, H. Synthesis of 7-alkyl/aryl-1,3,5-triaza-7-phosphoniaadamantane cations and their reductive cleavage to novel N-methyl-P-alkyl/aryl[3.3.1]bicyclononane ligands. Chem. Ber. 1995, 128, 891–900. [Google Scholar] [CrossRef]
- Siele, V.I. Some reactions of 1,3,5-Triaza-7-phosphaadamantane and its 7-oxide. J. Heterocycl. Chem. 1977, 14, 337–339. [Google Scholar] [CrossRef]
- Darensbourg, D.J.; Ortiz, C.G.; Kamplain, J.W. A new water-soluble phosphine derived from 1,3,5-triaza-7-phospaadamantane (PTA), 3,7-diacetyl-1,3,7-triaza-5-phosphabicyclo[3.3.1]nonane. Structural, bonding, and solubility properties. Organometallics 2004, 23, 1747–1754. [Google Scholar]
- Frank, A.W.; Daigle, D.J. Triacidic salts of tris(aminomethly)phosphines and their oxides. Phosphorus Sulfur Relat. Elem. 1981, 10, 255–259. [Google Scholar]
- Darensbourg, D.J.; Stafford, N.W.; Joo, F.; Reibenspies, J.H. Water-soluble organometallic compounds. 5. The regio-selective catalytic hydrogenation of unsaturated aldehydes to saturated aldehydes in an aqueous two-phase solvent system using 1,3,5-triaza-7-phosphaadamantane complexes of rhodium. J. Organomet. Chem. 1995, 488, 99–108. [Google Scholar]
- Darensbourg, D.J.; Joo, F.; Katho, A.; Stafford, J.N.W.; Benyei, A.; Reibenspies, J.H. Nucleophilic addition of a water-soluble phosphine to aldehydes. Isolation of (1-hydroxyalkyl)phosphonium salts and the crystal structure of the (1-methoxy-1-benzyl)(m-sulfonatophenyl)diphenyl phosphonium salt. Inorg. Chem. 1994, 33, 175–177. [Google Scholar] [CrossRef]
- Darensbourg, D.J.; Joo, F.; Kannisto, M.; Katho, A.; Reibenspies, J.H.; Daigle, D.J. Water-soluble organometallic compunds. 4. Catalytic hydrogenation of aldehydes in an aqueous two-phase solvent system using a 1,3,5-triaza-7-phosphaadamantane complex of ruthenium. Inorg. Chem. 1994, 33, 200–208. [Google Scholar]
- Darensbourg, D.J.; Joo, F.; Kannisto, M.; Katho, A.; Reibenspies, J.H. Water-soluble organometallic compounds. 2. Catalytic hydrogenation of aldehydes and olefins by new water-soluble 1,3,5-triaza-7-phosphaadamantane complexes of ruthenium and rhodium. Organometallics 1992, 11, 1990–1993. [Google Scholar] [CrossRef]
- Kovacs, J.; Todd, T.D.; Reibenspies, J.H.; Joo, F.; Darensbourg, D.J. Water-soluble organometallic compounds. 9. Catalytic hydrogenation and selective isomerization of olefins by water-soluble analogues of Vaska's complex. Organometallics 2000, 19, 3963–3969. [Google Scholar] [CrossRef]
- Phillips, A.D.; Gonsalvi, L.; Romerosa, A.; Vizza, F.; Peruzzini, M. Coordination chemistry of 1,3,5-triaza-7-phophaadamantane (PTA): Transition metal complexes and related catalytic, medicinal, and photoluminescent applications. Coord. Chem. Rev. 2004, 248, 955–993. [Google Scholar]
- Bravo, J.; Bolano, S.; Gonsalvi, L.; Peruzzini, M. Coordination chemistry of 1,3,5-triaza-7-phosphaadamantane (PTA) and derivatives, Part II. The quest for tailoring ligands, complexes and related applications. Coord. Chem. Rev. 2010, 254, 555–607. [Google Scholar]
- Krogstad, D.A.; Cho, J.; DeBoer, A.J.; Klitzke, J.A.; Sanow, W.R.; Williams, H.A.; Halfen, J.A. Platinum (II) and Palladium(II) 1,3,5-triaza-7-phosphaadamantane (PTA) complexes as intramolecular hydroamination catalysts in aqueous and organic media. Inorg. Chim. Acta 2006, 359, 136–148. [Google Scholar] [CrossRef]
- Tang, X.; Zhang, B.; He, Z.; Gao, R.; He, Z. 1,3,5-Triaza-7-phosphadamantane (PTA): A practical and versatile nucleophilic phosphine organocatalyst. Adv. Synth. Catal. 2007, 349, 2007–2017. [Google Scholar] [CrossRef]
- He, Z.; Tang, X.; Chen, Y.; He, Z. The First air-stable and efficient nucleophilic trialkylphophine organocatalyst for the Baylis-Hillman reaction. Adv. Synth. Catal. 2006, 348, 413–417. [Google Scholar] [CrossRef]
- Ruiz, J.; Cutillas, N.; Lopez, F.; Lopez, G.; Bautista, D. A Copper and amine-free Sonogashira reaction of aryl halides catalyzed by 1,3,5-triaza-7-phosphaadamantane palladium systems. Organometallics 2006, 25, 5768–5773. [Google Scholar]
- García-Álvarez, J.; Díez, J.; Gimeno, J. A highly efficient copper(I) catalyst for the 1,3-dipolar cycloaddition of azides with terminal and 1-iodoalkynes in water: Regioselective synthesis of 1,4-disubstituted and 1,4,5-trisubstituted 1,2,3-triazoles. Green Chem. 2010, 12, 2127–2130. [Google Scholar] [CrossRef]
- Komine, N.; Ishiguro, K.; Kanai, S.; Hirano, M.; Komiya, S. Branch selective allylation of acetylacetone catalyzed by Water-soluble rhodium complex catalyst. J. Organomet. Chem. 2011, 696, 1927–1930. [Google Scholar] [CrossRef]
- Strotman, N.A.; Chobanian, H.R.; He, J.; Guo, Y.; Dormer, P.G.; Jones, C.M.; Steves, J.E. Catalyst-controlled regioselective Suzuki coupling at both postitions of dihaloimidazoles, dihalooxazoles, and dihalothiazoles. J. Org. Chem. 2010, 75, 1733–1739. [Google Scholar] [CrossRef]
- Caporali, M.; Bianchini, C.; Bolaño, S.; Bosquain, S.S.; Gonsalvi, L.; Oberhauser, W.; Rossin, A.; Peruzzini, M. Synthesis and characterization of κ1-P and κ1-P,N palladium (II) complexes of the open cage water soluble aminophosphine PTN. Inorg. Chim. Acta 2008, 361, 3017–3023. [Google Scholar]
- Weng, Z.; Teo, S.; Hor, T.S. A. metal unsaturated and ligand hemilability in Suzuki coupling. Acc. Chem. Res. 2007, 40, 676–684. [Google Scholar] [CrossRef]
- Liu, C.; Ni, Q.; Bao, F.; Qiu, J. A simple and efficient protocol for a palladium-catalyzed ligand-free Suzuki reaction at room temperature in aqueous DMF. Green Chem. 2011, 13, 1260–1266. [Google Scholar] [CrossRef]
- Daigle, D.J.; Pepperman, A.B., Jr.; Vail, S.L. Synthesis of a monphosphorus analog of hexamethylenetetramine. J. Heterocycl. Chem. 1974, 11, 407–408. [Google Scholar]
- Drew, D.; Doyle, J.R. Cyclic diolefin complexes of platinum and palladium. Inorg. Synth. 1990, 28, 346–349. [Google Scholar] [CrossRef]
- Arvela, R.K.; Leadbeater, N.E. Suzuki coupling of aryl chlorides with phenylboronic acid in water, using microwave heating with simultaneous cooling. Org. Lett. 2005, 7, 2101–2104. [Google Scholar] [CrossRef]
- Huang, R.; Shaughnessy, K.H. Water-soluble palladacycles as precursors to highly recyclable catalysts for the Suzuki coupling of aryl bromides in aqueous solvents. Organometallics 2006, 25, 4105–4112. [Google Scholar] [CrossRef]
- Wolfe, J.P.; Singer, R.A.; Yang, B.H.; Buchwald, S.L. Highly active palladium catalysts for suzuki coupling reactions. J. Am. Chem. Soc. 1999, 121, 9550–9561. [Google Scholar] [CrossRef]
- Hiyama, J.-H.; Li, C.-C.; Deng, C.-L.; Liu, W.-J.; Xie, Y.-X. Pd(OAc)2/DABCO as an inexpensive and efficient catalytic system for Hiyama cross-coupling reactions of aryl halides with aryltrimethoxysilanes. Synthesis 2005, 18, 3039–3044. [Google Scholar]
- Sheldrick, G.M. SHELXTL: Structure Determination Software Suite, version 6.10; Bruker AXS: Madison, WI, USA, 2001. [Google Scholar]
- Sheldrick, G.M. A short history of SHELX. Acta Crystallogr. Sect. A 2008, 64, 112–122. [Google Scholar] [CrossRef]
- Sample Availability: Samples of most compounds are available from the authors.
© 2011 by the authors; licensee MDPI, Basel, Switzerland. This article is an open access article distributed under the terms and conditions of the Creative Commons Attribution license ( http://creativecommons.org/licenses/by/3.0/).






