A High Molar Extinction Coefficient Mono-Anthracenyl Bipyridyl Heteroleptic Ruthenium(II) Complex: Synthesis, Photophysical and Electrochemical Properties
Abstract
:1. Introduction
2. Results and Discussion
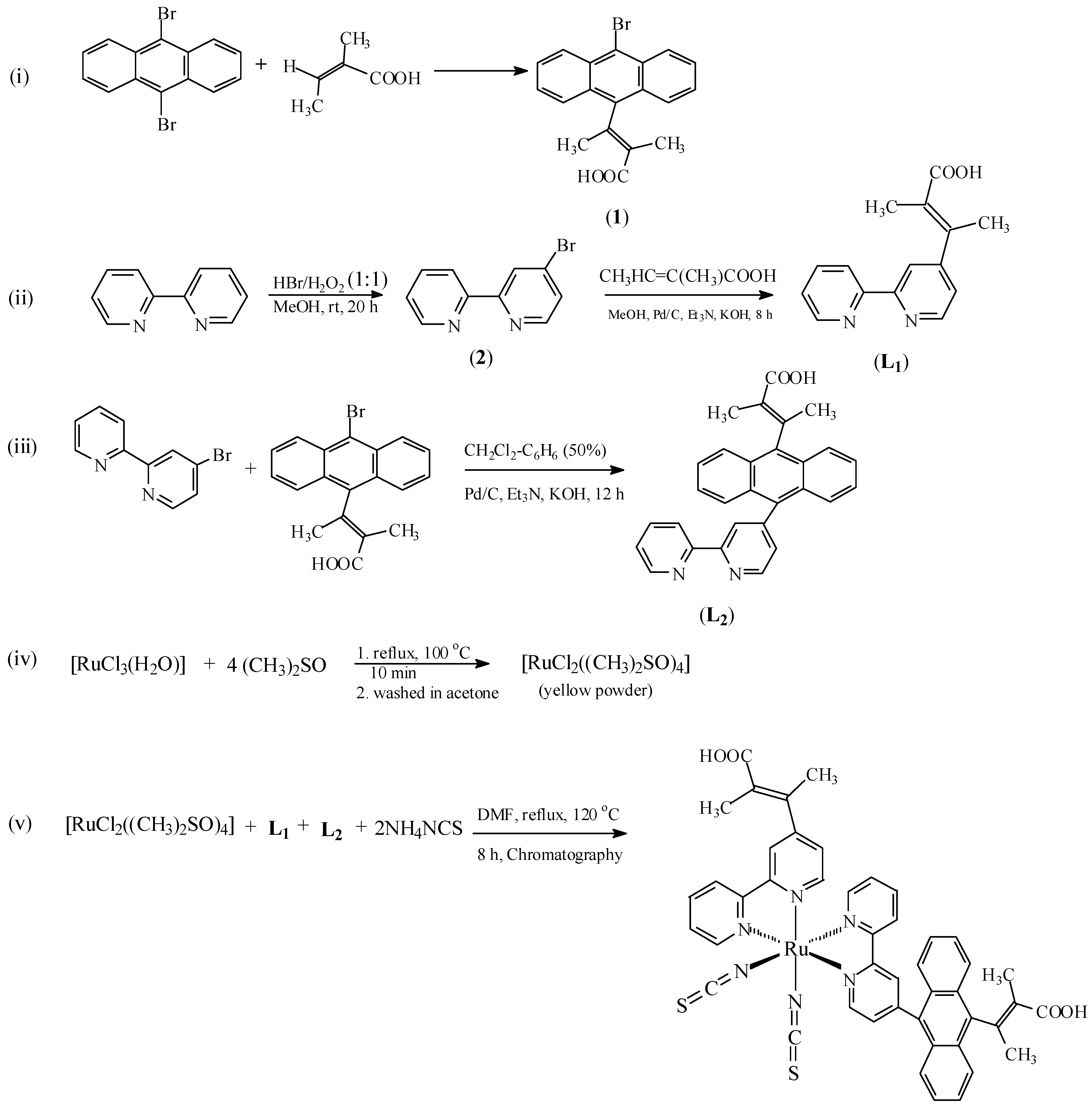
2.1. Chemistry
2.2. Infrared Spectra


2.3. 1H and 13C-NMR Spectroscopic Studies

2.4. Electronic Absorption and Emission Spectra
2.4.1. Electronic absorption spectroscopy

2.4.2. Emission study

2.5. Electrochemical Study



3. Experimental
3.1. Materials and General Physical Measurements
3.2. Synthesis of 4-(2,3-DMAA)-2,2'-bipyridine (L1)
3.3. Synthesis of 4-(9-Anthracenyl-10-(2,3-DMAA))-2,2'-bipyridine (L2)
3.4. Synthesis of cis-Dithiocyanato-4-(2,3-dimethylacrylic acid)-2,2'-bipyridyl-4-(9-anthracenyl-(2,3-dimethylacrylic acid)-2,2'-bipyridyl-ruthenium(II) complex [RuL1L2(NCS)2]
4. Conclusions
Supplementary Materials
Acknowledgments
Conflict of Interest
References and Notes
- Kay, A.; Grätzel, M. Artificial photosynthesis. photosensitization of TiO2 solar cells with chlorophyll derivatives and related natural porphyrins. J. Phys. Chem. 1993, 117, 6272–6277. [Google Scholar]
- Nazeeruddin, Md.K.; Humphry-Baker, R.; Grätzel, M.; Murrer, B.A. Efficient near IR sensitization of nanocrystalline TiO2 films by ruthenium phthalocyanines. Chem. Commun. 1998, 719–720. [Google Scholar]
- Sayama, K.; Sugino, M.; Sugihara, H.; Abe, Y.; Arakawa, H. Photosensitization of porous TiO2 semiconductor electrode with xanthene dyes. Chem. Lett. 1998, 753–754. [Google Scholar]
- Ferrere, S.; Zaban, A.; Gregg, B.A. Dye sensitization of nanocrystalline Tin oxide by perylene derivatives. J. Phys. Chem. B 1997, 101, 4490–4493. [Google Scholar] [CrossRef]
- O’Regan, B.; Grätzel, M. A low-cost, high efficient solar cell based on dye-sensitized colloidal TiO2 films. Nature 1991, 353, 737–740. [Google Scholar] [CrossRef]
- Nazeeruddin, Md.K.; Kay, A.; Rodicio, I.; Humphry-Baker, R.; Muller, E.; Liska, P.; Vlachopoulos, N.; Grätzel, M. Conversion of light to electricity by cis-X2(dcbpy)2Ru(II) CT sensitizers on nanocrystalline TiO2 electrodes. J. Am. Chem. Soc. 1993, 115, 6382–6390. [Google Scholar]
- Hara, K.; Sugihara, H.; Singh, L.P.; Islam, A.; Kator, R.; Yanagida, M.; Sayama, K.; Murata, S.; Arakawa, H. New Ru(II) phenanthroline complex photosensitizers having different number of carboxyl groups for dye-sensitized solar cells. J. Photochem. Photobiol. A-Chem. 2001, 145, 117–122. [Google Scholar] [CrossRef]
- Nazeeruddin, Md.K.; Bessho, T.; Le Cevey; Ito, S.; Klein, C.; De Angelis, F.; Fantacci, S.; Comte, P.; Liska, P.; Imai, H.; Grätzel, M. A high molar extinction coefficient charge transfer sensitizer and its application in dye-sensitized solar cells. J. Photochem. Photobiol. A-Chem. 2007, 185, 331–337. [Google Scholar] [CrossRef]
- Pearson, P.; Bond, A.M.; Deacon, G.B.; Forsyth, C.; Spiccia, L. Synthesis and characterization of bis(2,2'-bipyridine)(4-carboxy-4'-(pyrid-2-ylmethylamido)-2,2'-bipridine) ruthenium(II) dihexafluoro- phosphate): Comparison of spectroelectro-chemical properties with related complexes. Inorg. Chim. Acta 2008, 361, 601–612. [Google Scholar] [CrossRef]
- Funaki, T.; Yanagida, M.; Onozawa-Komatsuzaki, N.; Kawanishi, Y.; Kasuga, K.; Sugihara, H. Ruthenium(II) complexes with π expanded ligands having phenylene-ethynylene moiety as sensitizers for dye-sensitized solar cells. Solar Energy Mat. Solar Cells 2009, 93, 729–732. [Google Scholar] [CrossRef]
- Li, C.; Yang, X.; Chen, R.; Pan, J.; Tian, H.; Zhu, H.; Wang, X.; Hagfeldt, A.; Sun, L. Anthraquinone dyes as photosensitizers for dye-sensitized solar cells. Solar Energy Mat. Solar Cells 2007, 91, 1863–1871. [Google Scholar] [CrossRef]
- Wang, X.F.; Fuji, R.; Ito, S.; Koyama, Y.; Yamano, Y.; Ito, M.; Kitamura, T.; Yanagida, S. Dye-sensitized solar cells using retinoic acid and carotenoic acids: Dependence of performance on the conjugation length and the dye concentration. Chem. Phys. Lett. 2005, 416, 1–6. [Google Scholar] [CrossRef]
- Song, A.; Zhang, H.; Zhang, M.; Shen, T. Photophysical properties of polyads containing a fluorescein moiety. Dyes Pigments 1999, 42, 149–158. [Google Scholar] [CrossRef]
- Mosurkal, R.; He, J.; Yang, K.; Samuelson, L.A.; Kumar, J. Organic photosensitizers with catechol groups for dye-sensitized photovoltaics. J. Photochem. Photobiol. A-Chem. 2004, 168, 191–196. [Google Scholar] [CrossRef]
- Wang, P.; Zakeeruddin, S.M.; Moser, J.E.; Humphry-Baker, R.; Comte, P.; Aranyos, V.; Hagfeldt, A.; Nazeeruddin, M.K.; Gratzel, M. Stable new sensitizer with improved light harvesting for nanocrystalline dye-sensitized solar cells. Adv. Mater. 2004, 16, 1806–1811. [Google Scholar] [CrossRef]
- Chen, C.Y.; Wu, S.J.; Wu, C.G.; Chen, J.G.; Ho, K.C. A Ruthenium complex with superhigh light harvesting capacity for dye-sensitized solar cells. Angew. Chem. Int. Ed. 2006, 45, 5822–5825. [Google Scholar] [CrossRef]
- Leroy-Lhez, S.; Belin, C.; D’aleo, A.; Williams, R.M.; De Cola, L.; Fages, F. Extending excited-state lifetimes by interchromophoric triplet-state equilibration in a pyrene-Ru(II) diimine dyad system. Supramol. Chem. 2003, 15, 627–637. [Google Scholar] [CrossRef]
- Juris, A.; Balzani, V.; Barigelletti, F.; Campagna, S.; Belser, P.; Zelewsky, A.V. Ruthenium(II) polypyridine complexes: Photophysics, photochemistry, electrochemistry, and chemiluminescence. Coord. Chem. Rev. 1988, 84, 85–277. [Google Scholar]
- Juris, A.; Campagna, S.; Balzani, V.; Gremaud, G.; Zelewsky, A.V. Absorption spectra, luminescence properties and electrochemical behaviuor of tris-heteroleptic ruthenium(II) polypyridine complexes. Inorg. Chem. 1988, 27, 3652–3655. [Google Scholar] [CrossRef]
- Goze, C.; Kozlov, D.V.; Castellano, F.N.; Suffert, J.; Ziessel, R. Synthesis of bipyridine and terpyridine based ruthenium metallosynthons for grafting of multiple pyrene auxiliaries. Tetrahedron 2003, 44, 8713–8716. [Google Scholar] [CrossRef]
- Jiang, K.J.; Masaki, N.; Xia, J.B.; Noda, S.; Yanagida, S. A novel ruthenium sensitizer with a hydrophobic 2-thiophen-2-yl-vinyl-conjugated bipyridyl ligand for effective dye sensitized TiO2 solar cells. Chem. Commun. 2006, 2460–2462. [Google Scholar]
- Kukrek, A.; Wang, D.; Hou, Y.; Zong, R.; Thummel, R. Photosensitizers containing the 1,8-naphthyridyl moiety and their use in dye-sensitized solar cells. Inorg. Chem. 2006, 45, 10131–10317. [Google Scholar]
- Yanagida, M.; Yamaguchi, T.; Kurashige, M.; Hara, K.; Katoh, R.; Sugihara, H.; Arakawa, H. Panchromatic sensitization of nanocrystalline TiO2 with cis-bis(4-carboxy-2-[2'-(4'-carbo- xypyridyl)]quinoline) bis(thiocyanato-N) ruthenium(II). Inorg. Chem. 2003, 42, 7921–7931. [Google Scholar] [CrossRef]
- Sauve, G.; Cass, M.E.; Coia, G.; Doig, S.J.; Lauermann, I.; Pomykal, K.E.; Lewis, N.S. Dye-sensitization of nanocrystalline titanium dioxide with osmium and ruthenium polypyridyl complexes. J. Phys. Chem. 2000, 104, 6831–6836. [Google Scholar]
- Argazzi, R.; Bignozzi, C.A.; Heimer, T.A.; Castellano, F.N.; Meyer, G.J. Enhanced spectral sensitivity from Ru(II) polypyridyl photovoltaic devices. Inorg. Chem. 1994, 33, 5741–5749. [Google Scholar]
- Heimer, T.A.; Heilweil, E.J.; Bignozzi, C.A.; Meyer, G.J. Electron injection, recombination and halide oxidation dynamics at dye-sensitized TiO2 interfaces. J. Phys. Chem. A 2000, 104, 4256–4262. [Google Scholar] [CrossRef]
- Polo, A.S.; Itokazu, M.K.; Iha, N.Y.M. Metal complex sensitizers in dye-sensitized solar cells. Coord. Chem. Rev. 2004, 248, 1343–1361. [Google Scholar] [CrossRef]
- Adeloye, A.O.; Ajibade, P.A. Synthesis and characterization of a heteroleptic Ru(II) complex of phenanthroline containing oligo-anthracenyl carboxylic acid moieties. Int. J. Mol. Sci. 2010, 11, 3158–3176. [Google Scholar] [CrossRef]
- Adeloye, A.O.; Ajibade, P.A. Synthesis and characterization of a Ru(II) complex with functionalized phenanthroline ligands having single-double linked anthracenyl and 1-methoxy- buten-3-yne moieties. Molecules 2010, 15, 7570–7581. [Google Scholar] [CrossRef]
- Vyas, P.; Bhatt, A.K.; Ramachandraiah, G.; Bedekar, A.V. Environmentally benign chlorination and bromination of aromatic amines, hydrocarbons and naphthols. Tetrahedron Lett. 2003, 44, 4085–4088. [Google Scholar] [CrossRef]
- Evans, I.P.; Spencer, A.; Wilkinson, G. Dichlorotetrakis(dimethyl sulphoxide) ruthenium(II) and its use as a source material for some new Ruthenium(II) complexes. J. Chem. Soc. Dalton 1973, 204–208. [Google Scholar]
- Mitsopoulou, C.A.; Veroni, I.; Philippopoulos, A.I.; Falaras, P. Synthesis, characterization and sensitization properties of two novel mono and bis carboxyl-dipyrido-phenazine ruthenium(II) charge transfer complexes. J. Photochem. Photobiol. A-Chem. 2007, 191, 6–12. [Google Scholar]
- Gunzler, H.; Gremlich, H. IR Spectroscopy—An Introduction; Wiley-VCH Verlag GmbH: Weinheim, Germany, 2002. [Google Scholar]
- Chen, C.Y.; Wu, S.J.; Li, J.Y.; Wu, C.G.; Chen, J.G.; Ho, K.C. A new route to enhance the light harvesting capability of ruthenium complexes for dye-sensitized solar cells. Advan. Mater. 2007, 19, 3888–3891. [Google Scholar] [CrossRef]
- Adeloye, A.O.; Ajibade, P.A. Synthesis, characterization and preliminary investigation of the electro redox properties of anthracenyl-functionalized terpyridyl ligands. Tetrahedron Lett. 2011, 52, 274–277. [Google Scholar] [CrossRef]
- Imatori, H.; Umeyama, T.; Ito, S. Large pi-aromatic molecules as potential sensitizers for highly efficient dye-sensitized solar cells. Acc. Chem. Res. 2009, 42, 1809–1818. [Google Scholar] [CrossRef]
- Crosby, G.A.; Watts, R.J.; Carstens, D.H.W. Inversion of excited state of transition-metal complexes. Science 1970, 170, 1195–1196. [Google Scholar]
- Henderson, L.J., Jr.; Fronczek, F.R.; Cherry, W.R. Selective perturbation of ligand field excited states in polypyridine ruthenium(II) complexes. J. Am. Chem. Soc. 1984, 106, 5876–5879. [Google Scholar]
- Staniszewski, A.; Heuer, W.B.; Meyer, G.J. High-extinction ruthenium compounds for sunlight harvesting and hole transport. Inorg. Chem. 2008, 47, 7062–7064. [Google Scholar] [CrossRef]
- Nalwa, H.S.; Shirk, J.S. Phthalocyanines, Properties and Applications; Leznoff, C.C., Lever, A.B.P., Eds.; VCH: New York, NY, USA, 1996; Volume 4, pp. 79–182. [Google Scholar]
- Roundhill, D.M. Photochemistry and Photophysics of Metal Complexes; Plenum Address: New York, NY, USA, 1993. [Google Scholar]
- Sample Availability: Samples of the compounds L1, L2 and [RuL1L2(NCS)2] are available from the authors.
© 2011 by the authors; licensee MDPI, Basel, Switzerland. This article is an open access article distributed under the terms and conditions of the Creative Commons Attribution license ( http://creativecommons.org/licenses/by/3.0/).
Share and Cite
Adeloye, A.O.; Ajibade, P.A. A High Molar Extinction Coefficient Mono-Anthracenyl Bipyridyl Heteroleptic Ruthenium(II) Complex: Synthesis, Photophysical and Electrochemical Properties. Molecules 2011, 16, 4615-4631. https://doi.org/10.3390/molecules16064615
Adeloye AO, Ajibade PA. A High Molar Extinction Coefficient Mono-Anthracenyl Bipyridyl Heteroleptic Ruthenium(II) Complex: Synthesis, Photophysical and Electrochemical Properties. Molecules. 2011; 16(6):4615-4631. https://doi.org/10.3390/molecules16064615
Chicago/Turabian StyleAdeloye, Adewale O., and Peter A. Ajibade. 2011. "A High Molar Extinction Coefficient Mono-Anthracenyl Bipyridyl Heteroleptic Ruthenium(II) Complex: Synthesis, Photophysical and Electrochemical Properties" Molecules 16, no. 6: 4615-4631. https://doi.org/10.3390/molecules16064615
APA StyleAdeloye, A. O., & Ajibade, P. A. (2011). A High Molar Extinction Coefficient Mono-Anthracenyl Bipyridyl Heteroleptic Ruthenium(II) Complex: Synthesis, Photophysical and Electrochemical Properties. Molecules, 16(6), 4615-4631. https://doi.org/10.3390/molecules16064615
