Abstract
Novel N-arylpyrazole-containing enaminones 2a,b were synthesized as key intermediates. Reactions of 2a,b with active methylene compounds in acetic acid in the presence of ammonium acetate afforded substituted pyridine derivatives 5a-d. Enaminones 2a,b also reacted with aliphatic amines such as hydrazine hydrate and hydroxylamine hydrochloride to give bipyrazoles 8a,b and pyrazolylisoxazoles 9a,b, respectively. On the other hand, treatment of 2a,b with a heterocyclic amine and its diazonium salt yielded the respective [1,2,4]triazolo[4,3-a]pyrimidines 12a,b and pyrazolylcarbonyl[1,2,4]triazolo-[3,4-c][1,2,4]triazines 14a,b. Moreover, 2-thioxo-2,3-dihydro-1H-pyrido[2,3-d]pyrimidin-4-one (17) was prepared via reaction of enaminone 2a with aminothiouracil (15). Cyclocondensation of 17 with the appropriate hydrazonoyl chlorides 18a-c gave the corresponding pyrido[2,3-d][1,2,4]triazolo[4,3-a]pyrimidin-5-ones 21a-c. The cytotoxic effects of compounds 2b, 14a and 17 against human breast cell line (MCF-7) and liver carcinoma cell line (HEPG2) were screened and in both lines they showed inhibition effects comparable to those of 5-fluorouracil, used as a standard. The antimicrobial activity of some products chosen as representative examples was also evaluated.
1. Introduction
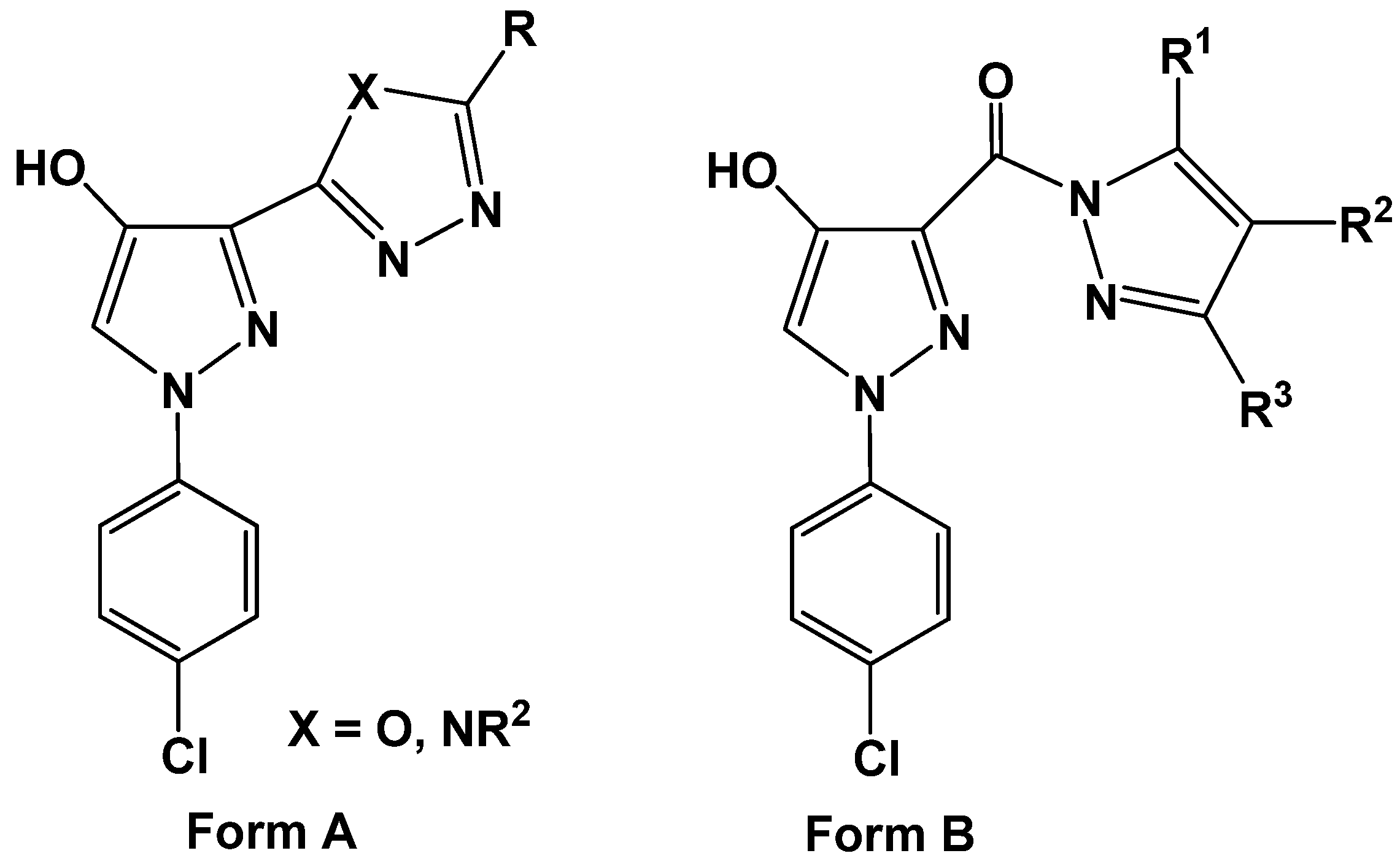
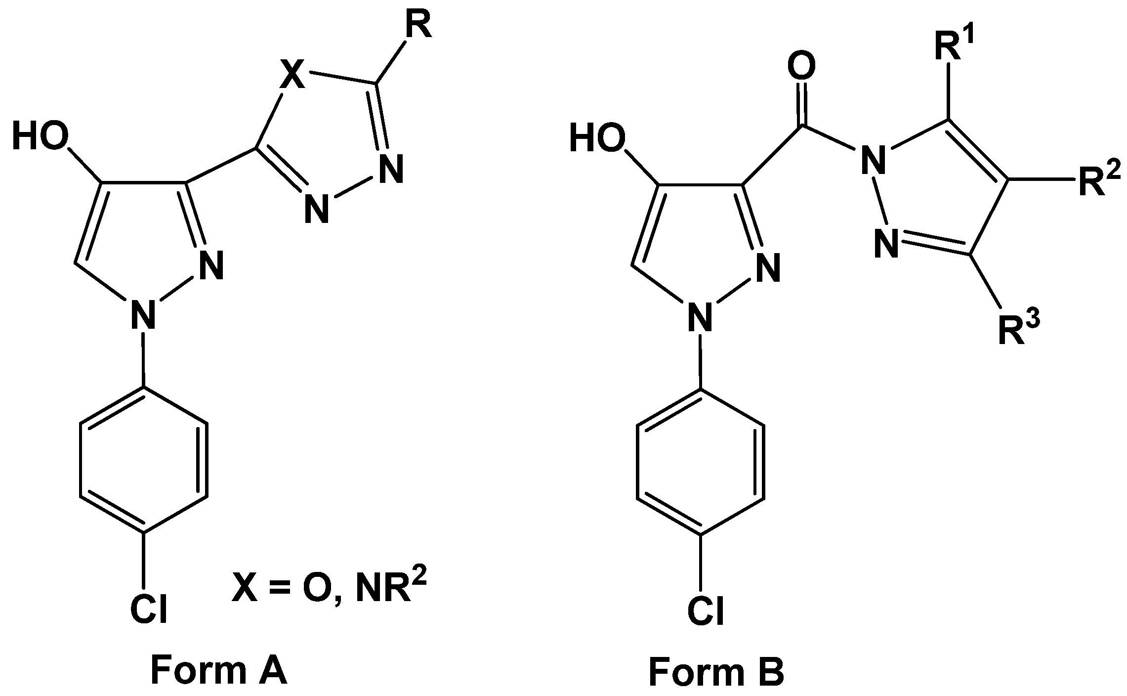
The growing interest in bioactive N-arylpyrazoles has led to an increasing demand for efficient syntheses of this class of heterocyclic compounds. Several reports have found diverse applications for N-arylpyrazoles in medicine such as antitumor [1,2,3,4,5,6,7,8,9,10,11], antiviral [12], anti-inflammatory [13] agents, or kinase inhibitors for the treatment of type 2 diabetes, hyperlipidemia, and obesity [14]. Moreover, these compounds have remarkable potential in nanomedicine applications against malignant gliomas [15]. 1-(4-Chlorophenyl)-4-hydroxy-3-substituted-1H-pyrazoles (Figure 1) were reported by the U.S. National Cancer Institute (NCI) to have pronounced anticancer activity [16,17].
Figure 1.
substituted pyrazoles with potential antitumor activity.
Figure 1.
substituted pyrazoles with potential antitumor activity.

Structure modifications suggested in this work focused mainly on synthesis of polysubstituted pyrazole analogues to form A and B, having a variety of azoles and fused azoles at position 3. These substituents at position 3 are linked directly to the pyrazole ring or through the carbonyl group in order to improve the antitumor and antimicrobial activities of such compounds. This work is an extension of an ongoing research program devoted to the synthesis and characterization of different heterocyclic ring systems endowed with potential biological activities [18,19,20,21,22,23,24,25].
2. Results and Discussion
The synthetic route for preparation of the previously unreported 3-[E-3-(N,N-dimethyl-amino)acryloyl]-4-(4-nitrophenyl)-1-aryl-1H-pyrazoles (2a,b), involving condensation of 3-acetyl-4-(4-nitrophenyl)-1-aryl-1H-pyrazoles (1a,b) [26] with dimethylformamide dimethylacetal (DMF-DMA) under reflux for 10 hours in the absence of solvent, is depicted in Scheme 1.
Scheme 1.
Synthesis of 3-[E-3-(N,N-dimethylamino)acryloyl]-4-(4-nitrophenyl)-1-aryl-1H-pyrazoles (2a,b).
Scheme 1.
Synthesis of 3-[E-3-(N,N-dimethylamino)acryloyl]-4-(4-nitrophenyl)-1-aryl-1H-pyrazoles (2a,b).

The structures of 2a,b were confirmed by their spectral data (IR, MS and 1H-NMR) and elemental analyses. For example, the 1H-NMR spectrum revealed two doublet signals at δ 5.88, 7.67 ppm with coupling constant J = 13 Hz assignable to olefinic protons (CH=CH) in a trans configuration [26,27] besides two singlet signals of the dimethylamino group at δ 2.8, 3.1 ppm.
Reactions of enaminones 2a,b with C-nucleophiles such as 2,4-pentanedione and ethyl 3-oxo-butanoate were carried out in glacial acetic acid in the presence of ammonium acetate and led to formation of 6-(pyrazol-3-yl)-pyridine derivatives 5a-d via nucleophilic displacement of active methylene to the dimethylamino group followed by concurrent elimination of water molecule from non-isolable intermediates 4a-d (Scheme 2). The other possible isomeric structures 4-(pyrazol-3-yl)-pyridines 7a-d were discarded based on 1H-NMR data that revealed pyridyl hydrogens at C-4, C-5 as a pair of doublets at δ 7.5, 7.7 ppm, respectively, with J = 8 Hz assignable to 6-substituted-pyridines 5a-d. The isomeric structures 7a-d should display pair of doublets corresponding to C-5, C-6 with a lower coupling constant (J = 2–3 Hz) [28].
Scheme 2.
Reactions of enaminones 2a,b with active methylene compounds.
Scheme 2.
Reactions of enaminones 2a,b with active methylene compounds.

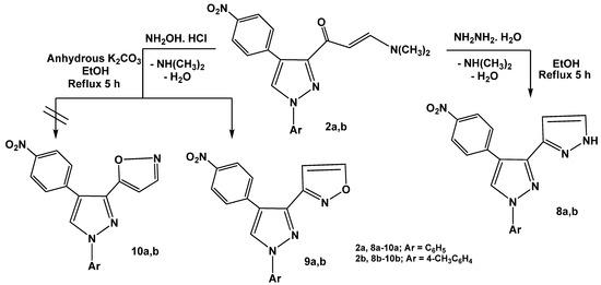
Treatment of enaminones 2a,b with a N-nucleophile such as hydrazine hydrate in absolute ethanol under reflux afforded 1H,1'H-3,3'-bipyrazoles 8a,b. The structures of the products were substantiated by the 1H-NMR spectra which displayed new pair of doublets at δ 7.53 and 7.58 ppm with (J = 7.5 Hz) corresponding to pyrazole protons at positions 4 and 5, respectively and another D2O exchangeable proton at δ 13 ppm assignable to the NH group. The products were formed via initial addition of the amino group in hydrazine to the enaminone double bond, followed by elimination of dimethylamine and water molecules to give the final isolable products 8a,b as previously mentioned [29] (Scheme 3). Similarly, enaminones 2a,b reacted with hydroxylamine hydrochloride in refluxing absolute ethanol in the presence of anhydrous potassium carbonate to yield products that may be formulated as pyrazolylisoxazoles 9a,b or its isomeric forms 10a,b. Structure 9 was assigned for the reaction products on the basis of the 1H-NMR spectral data in which a resonance for H-4 and H-5 of isoxazole appeared typically at δ 6.78 and 8.50 ppm, respectively (see Experimental). The other isomeric structures 10a,b were ruled out as the isoxazole H-3 would be expected to resonate at a higher field of δ 8.0 ppm [30]. It is thus assumed that, the products 9a,b were formed via initial condensation of amino group of hydroxylamine with carbonyl group of enaminones 2a,b followed by elimination of dimethylamine (cf. Scheme 3).
Scheme 3.
Reactions of enaminones 2a,b with hydrazine hydrate and hydroxylamine.
Scheme 3.
Reactions of enaminones 2a,b with hydrazine hydrate and hydroxylamine.

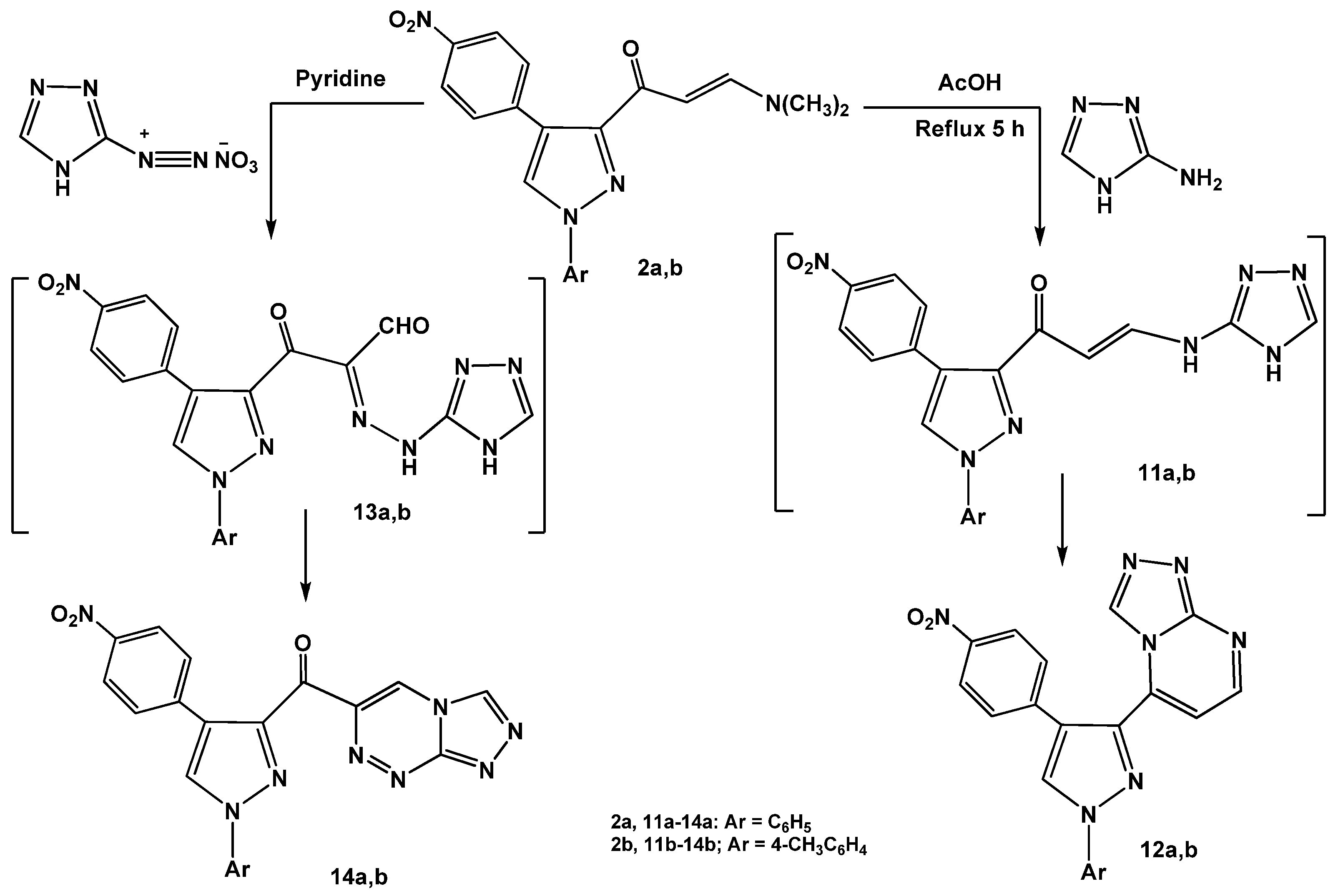
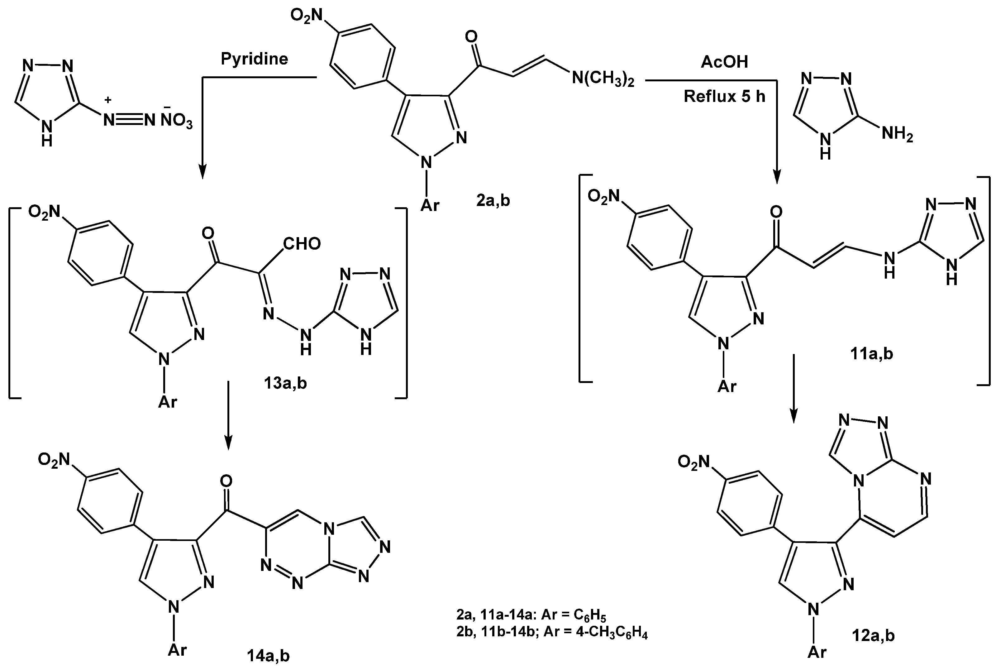
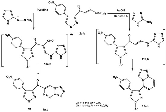
Next, the reactions of enaminones 2a,b with heterocyclic amines were investigated. Refluxing of enaminones 2a,b with 3-amino-1H-[1,2,4]triazole in glacial acetic acid gave the corresponding [1,2,4]triazolo[4,3-a]pyrimidines 12a,b via non-isolable intermediates 11a,b (Scheme 4).
The structures of the products were confirmed by spectral (IR, MS and 1H-NMR) and elemental analyses (see Experimental). On the other hand, coupling of enaminones 2a,b with diazotized 3-amino-1H-[1,2,4]triazole in pyridine at low temperature afforded the respective pyrazolylcarbonyl- [1,2,4]triazolo[3,4-c][1,2,4]triazines 14a,b. The reactions proceeded by initial formation of non-isolable hydrazonals [31,32,33] 13a,b followed by elimination of water molecules to give the desired products 14a,b.
The utility of enaminone 2a in the synthesis of annelated heterocycles was further explored via its reaction with 6-amino-2-thioxo-2,3-dihydropyrimidin-4(1H)-one (15) in glacial acetic acid under reflux for 6 hours. This reaction afforded the 2-thioxo-2,3-dihydro-1H-pyrido[2,3-d]pyrimidin-4-one 17 via intermediate 16. Spectral (IR, MS, 1H-NMR) data and elemental analysis were in consistent with the isolated product 17.
Scheme 4.
Reactions of enaminones 2a,b with heterocyclic amines.
Scheme 4.
Reactions of enaminones 2a,b with heterocyclic amines.

For example, IR revealed three absorption bands at 3261, 3245, 1677 cm−1 assignable for 2 NH, and a C=O, respectively. The 1H-NMR spectrum also displayed a characteristic pair of doublet signals at δ 8.29, 8.48 ppm assigned to the pyridine H-2, H-3 protons, respectively [34]. Treatment of 2-thioxo-2,3-dihydro-1H-pyrido[2,3-d]pyrimidin-4-one (17) with the appropriate hydrazonoyl chlorides 18a-c in dioxane in the presence of triethylamine under reflux conditions furnished the corresponding pyrido[2,3-d][1,2,4]triazolo[4,3-a]pyrimidinones 21a-c as the end products (Scheme 5).
Scheme 5.
Reactions of enaminone 2a with pyrimidinethione.
Scheme 5.
Reactions of enaminone 2a with pyrimidinethione.

The reactions proceeded through S-alkylation [35] to give S-alkylated products 19a-c followed by Smiles rearrangement [36], affording intermediates 20a-c which cyclized in situ under the employed reaction conditions via elimination of hydrogen sulfide gas to give the desired products 21a-c (cf. Scheme 5). The other isomeric structures, pyrido[2,3-d][1,2,4]triazolo[3,4-a]pyrimidinones 22a-c, were ruled out based on the 13C-NMR which revealed a signal for a carbonyl group at δ = 161.9–164 ppm which is similar to that of I (δ = 161–164 ppm) and different from its isomeric structure II (δ = 170–175) [37] (Figure 2).
Figure 2.
13C NMR for azolopyrimidinones.
Figure 2.
13C NMR for azolopyrimidinones.

2.1. Antitumor Screening Test
The cytotoxic effects of compounds 2b, 14a and 17 against human breast cell line (MCF-7) and liver carcinoma cell line (HEPG2) were evaluated using 5-fluorouracil as a standard sample in both lines. These compounds were selected by the National Cancer Institute (NCI), Cairo, Egypt. The analysis of the data obtained indicated that the values of IC50 for such compounds against human breast cell MCF-7 line are 0.863 μg/well (Figure 3), 2.33 μg/well (Figure 4), and 2.33 μg/well (Figure 5), respectively [IC50 of 5-fluorouracil as a standard sample = 0.67 μg] (Figure 6). The results indicated that biologically active compound 2b has almost the same activity as the reference drug (5-fluorouracil).
Figure 3.
Effect of conc. of 2b on MCF-7 line.
Figure 3.
Effect of conc. of 2b on MCF-7 line.

Figure 4.
Effect of conc. of 14a on MCF-7 line.
Figure 4.
Effect of conc. of 14a on MCF-7 line.

Figure 5.
Effect of conc. of 17 on MCF-7 line.
Figure 5.
Effect of conc. of 17 on MCF-7 line.

Figure 6.
Effect of conc. of 5-fluorouracil (standard) on MCF-7 line.
Figure 6.
Effect of conc. of 5-fluorouracil (standard) on MCF-7 line.

On the other hand, IC50 of compounds 2b, 14a and 17 against liver carcinoma cell line (HEPG2) are 0.884 μg/well (Figure 7), 0.806 μg/well (Figure 8), and 4.07 μg/well (Figure 9), respectively. [IC50 of 5-fluorouracil as standard sample = 5 μg] (Figure 10). The values of IC50 indicated that the tested compounds 2b, 14a and 17 have higher cytotoxic activities against liver carcinoma cell line (HEPG2) than standard drug (5-fluorouracil). The cytotoxic activity was measured by the Skehan et al. method (see Experimental).
Figure 7.
Effect of conc. of 2b on HEPG2 line.
Figure 7.
Effect of conc. of 2b on HEPG2 line.

Figure 8.
Effect of conc. of 14a on HEPG2 line.
Figure 8.
Effect of conc. of 14a on HEPG2 line.

Figure 9.
Effect of conc. of 17 on HEPG2 line.
Figure 9.
Effect of conc. of 17 on HEPG2 line.

Figure 10.
Effect of conc. of 5-fluorouracil (standard) on HEPG2 line.
Figure 10.
Effect of conc. of 5-fluorouracil (standard) on HEPG2 line.

The results of biological screening allow the following assumptions about the structure activity relationships (SAR) of these compounds:
- The presence of nitrogenous fused heterocycles at position 3 of the main pyrazole moiety, linked directly or through carbonyl group, with multicenters for hydrogen accepting properties are essential for activity where it can intercalate within the DNA strands.
- The 3-[E-3-(N,N-dimethylamino)acryloyl]-4-(4-nitrophenyl)-1-aryl-1H-pyrazoles 2a,b are essential for antitumor activity.
2.2. Antimicrobial Activity
The newly synthesized products 2a, 2b, 5b, 5c, 8b, 9b, 12b, 14a, 21a and 21b were tested for their antimicrobial activities using four species of fungi, namely Aspergillus fumigatus AF, Penicillium italicum PI, Syncephalastrum racemosum SR and Candida albicans CA, in addition to four bacterial species, namely Staphylococcus aureus SA, Pesudomonas aeruginosa PA, Bacillus subtilis BS and Escherichia coli EC. The organisms were tested against the activity of solutions of three different concentrations [5 mg/mL, 2.5 mg/mL, 1.25 mg/mL] of each compound and using inhibition zone diameter (IZD) in mm as criterion for the antimicrobial activity. The fungicide terbinafine and the bactericide chloramphenicol were used as references to evaluate the potency of the tested compounds under the same conditions. The results, depicted in Table 1, Table 2, Table 3, revealed that compounds 2a and 5c exhibited high degree of inhibition against SA, and BS. Compounds 9b, 12b, 14a, 21a and 21b have high inhibition effects against AF, PI, SR and SA. These compounds also exhibited moderate inhibition effect against CA and BS. All the tested compounds were reflecting no inhibition of growth against PA and EC.
Table 1.
Antimicrobial activity of products 2a, 2b, 5b, and 5c.
| (Sample) | 2a (mg/mL) | 2b (mg/mL) | 5b (mg/mL) | 5c (mg/mL) | Standard* | ||||||||||
|---|---|---|---|---|---|---|---|---|---|---|---|---|---|---|---|
| Tested Microorganism | 5 | 2.5 | 1.25 | 5 | 2.5 | 1.25 | 5 | 2.5 | 1.25 | 5 | 2.5 | 1.25 | 5 | 2.5 | 1.25 |
| Aspergillus fumigatus (AF) | 9 | 5 | 0 | 8 | 0 | 0 | 7 | 0 | 0 | 6 | 4 | 0 | 24 | 18 | 11 |
| Penicillium italicum (PI) | 7 | 3 | 0 | 6 | 0 | 0 | 5 | 0 | 0 | 5 | 3 | 0 | 19 | 9 | 4 |
| Syncephalastrum racemosum (SR) | 12 | 7 | 3 | 12 | 9 | 5 | 14 | 9 | 0 | 11 | 9 | 0 | 21 | 13 | 9 |
| Candida albicans (CA) | 9 | 6 | 3 | 7 | 4 | 0 | 9 | 4 | 0 | 12 | 9 | 5 | 19 | 10 | 6 |
| Staphylococcus aureus (SA) | 11 | 7 | 4 | 11 | 8 | 5 | 14 | 8 | 5 | 11 | 8 | 5 | 15 | 6 | 4 |
| Pesudomonas aeruginosa (PA) | 0 | 0 | 0 | 0 | 0 | 0 | 0 | 0 | 0 | 0 | 0 | 0 | 11 | 5 | 0 |
| Bacillus subtilis (BS) | 15 | 8 | 6 | 12 | 7 | 4 | 14 | 9 | 4 | 18 | 13 | 9 | 22 | 18 | 11 |
| Escherichia coli (EC) | 0 | 0 | 0 | 0 | 0 | 0 | 0 | 0 | 0 | 0 | 0 | 0 | 27 | 20 | 13 |
*Chloramphenicol was used as a standard antibacterial agent while, Terbinafine was used as a standard antifungal agent.
Table 2.
Antimicrobial activity of products 8b, 9b, 12b, and 14a.
| (Sample) | 8b (mg/mL) | 9b (mg/mL) | 12b (mg/mL) | 14a (mg/mL) | Standard* | ||||||||||
|---|---|---|---|---|---|---|---|---|---|---|---|---|---|---|---|
| Tested Microorganism | 5 | 2.5 | 1.25 | 5 | 2.5 | 1.25 | 5 | 2.5 | 1.25 | 5 | 2.5 | 1.25 | 5 | 2.5 | 1.25 |
| Aspergillus fumigatus (AF) | 9 | 7 | 3 | 22 | 14 | 9 | 18 | 11 | 6 | 16 | 7 | 3 | 24 | 18 | 11 |
| Penicillium italicum (PI) | 10 | 6 | 3 | 14 | 6 | 3 | 13 | 6 | 4 | 0 | 0 | 0 | 19 | 9 | 4 |
| Syncephalastrum racemosum (SR) | 9 | 7 | 4 | 19 | 12 | 8 | 16 | 9 | 6 | 18 | 12 | 7 | 21 | 13 | 9 |
| Candida albicans (CA) | 10 | 8 | 4 | 9 | 6 | 2 | 10 | 7 | 3 | 9 | 6 | 2 | 19 | 10 | 6 |
| Staphylococcus aureus (SA) | 12 | 7 | 4 | 12 | 8 | 5 | 13 | 8 | 5 | 11 | 8 | 5 | 15 | 6 | 4 |
| Pesudomonas aeruginosa (PA) | 0 | 0 | 0 | 0 | 0 | 0 | 0 | 0 | 0 | 0 | 0 | 0 | 11 | 5 | 0 |
| Bacillus subtilis (BS) | 16 | 9 | 5 | 15 | 8 | 5 | 14 | 10 | 7 | 10 | 8 | 4 | 22 | 18 | 11 |
| Escherichia coli (EC) | 0 | 0 | 0 | 0 | 0 | 0 | 0 | 0 | 0 | 0 | 0 | 0 | 27 | 20 | 13 |
*Chloramphenicol was used as a standard antibacterial agent while, Terbinafine was used as a standard antifungal agent.
Table 3.
Antimicrobial activity of products 21a and 21b.
| (Sample) | 21a (mg/mL) | 21b (mg/mL) | Standard* | ||||||
|---|---|---|---|---|---|---|---|---|---|
| Tested Microorganism | 5 | 2.5 | 1.25 | 5 | 2.5 | 1.25 | 5 | 2.5 | 1.25 |
| Aspergillus fumigatus (AF) | 20 | 11 | 6 | 19 | 14 | 9 | 24 | 18 | 11 |
| Penicillium italicum (PI) | 17 | 6 | 4 | 13 | 6 | 3 | 19 | 9 | 4 |
| Syncephalastrum racemosum (SR) | 15 | 8 | 6 | 17 | 12 | 8 | 21 | 13 | 9 |
| Candida albicans (CA) | 10 | 7 | 3 | 9 | 6 | 2 | 19 | 10 | 6 |
| Staphylococcus aureus (SA) | 13 | 7 | 5 | 10 | 8 | 5 | 15 | 6 | 4 |
| Pesudomonas aeruginosa (PA) | 0 | 0 | 0 | 0 | 0 | 0 | 11 | 5 | 0 |
| Bacillus subtilis (BS) | 12 | 9 | 7 | 13 | 10 | 8 | 22 | 18 | 11 |
| Escherichia coli (EC) | 0 | 0 | 0 | 0 | 0 | 0 | 27 | 20 | 13 |
*Chloramphenicol was used as a standard antibacterial agent while, Terbinafine was used as a standard antifungal agent.
3. Experimental
3.1. General
All melting points were determined on an electrothermal Gallenkamp apparatus and are uncorrected. Solvents were generally distilled and dried by standard literature procedures prior to use. The IR spectra were measured on a Pye-Unicam SP300 instrument in potassium bromide discs. The 1H NMR spectra were recorded on a Varian Mercury VXR-300 spectrometer (300 MHz) and the chemical shifts were related to that of the solvent DMSO-d6. The mass spectra were recorded on a GCMS-Q1000-EX Shimadzu and GCMS 5988-A HP spectrometers, the ionizing voltage was 70 eV. Elemental analyses were carried out by the Microanalytical Center of Cairo University, Giza, Egypt. Antitumor activity was evaluated by the National Institute of Cancer, Biology Department, Cairo University, Egypt. Antimicrobial activity was carried out at the Regional Center for Mycology and Biotechnology at Al-Azhar University, Cairo, Egypt. 3-Acetyl-4-(4-nitrophenyl)-1-aryl-1H-pyrazoles 1a,b [26] and hydrazonoyl halides [38,39,40,41,42,43] 18a-c were prepared following literature methods.
3.2. Synthesis of 3-[E-3-(N,N-dimethylamino)acryloyl]-4-(4-nitrophenyl)-1-aryl-1H-pyrazoles 2a,b
A mixture of 3-acetyl-4-(4-nitrophenyl)-1-aryl-1H-pyrazoles (1a or 1b) (0.01 mol) and dimethyl-formamide dimethylacetal (DMF-DMA) (5 mL) was refluxed for 10 hours. After cooling, methanol was added and the solid product was collected by filtration and crystallized from ethanol. The physical constants and the spectral data are shown below.
3-[E-3-(N,N-dimethylamino)acryloyl]-4-(4-nitrophenyl)-1-phenyl-1H-pyrazole (2a). Yellow crystals, (2.89 g, 80%), m.p. 132–134 °C; IR (KBr) υ = 1,642 (CO) cm−1; 1H-NMR (CDCl3) δ = 2.82 (s, 3H, CH3), 3.00 (s, 3H, CH3), 5.88 (d, 1H, J = 13 Hz, CH=), 7.27 (d, 2H, J = 8 Hz, Ar-H), 7.67 (d, 1H, J = 13 Hz, CH=), 7.35–7.68 (m, 5H, Ar-H), 8.05 (d, 2H, J = 8 Hz, Ar-H), 8.90 (s, 1H, pyrazole-H-5) ppm; MS, m/z (%) 362 (M+, 25), 292 (30), 264 (20), 122 (15), 98 (40), 77 (100), 70 (40). Anal. Calcd. for C20H18N4O3 (362.14): C, 66.29; H, 5.01; N, 15.46. Found: C, 66.18; H, 4.93; N, 15.58%.
3-[E-3-(N,N-dimethylamino)acryloyl]-1-(4-methylphenyl)-4-(4-nitrophenyl)-1H-pyrazole (2b). Yellow crystals, (3.31 g, 88%), m.p. 148–150 °C; IR (KBr) υ = 1647 (CO) cm−1; 1H-NMR (DMSO-d6) δ = 2.37 (s, 3H, Ar-CH3), 2.89 (s, 3H, CH3), 3.13 (s, 3H, CH3), 5.88 (d, 1H, J = 13 Hz, CH=), 7.35 (d, 2H, J = 8 Hz, Ar-H), 7.66 (d, 1H, J = 13 Hz, CH=), 7.82 (d, 2H, J = 8 Hz, Ar-H), 7.91 (d, 2H, J = 8 Hz, Ar-H), 8.21 (d, 2H, J = 8 Hz, Ar-H), 8.92 (s, 1H, pyrazole-H-5) ppm; MS, m/z (%) 376 (M+, 25), 306 (40), 278 (20), 98 (40), 92 (85), 77 (100), 70 (40). Anal. Calcd. for C21H20N4O3 (376.15): C, 67.01; H, 5.36; N, 14.88. Found: C, 67.12; H, 5.23; N, 14.71%.
3.3. Reactions of 3-[E-3-(N,N-dimethylamino)acryloyl]-4-(4-nitrophenyl)-1-aryl-1H-pyrazoles 2a,b with Active Methylene Compounds
To a solution of 2a or 2b (1 mmol) and 2,4-pentanedione (3a) or ethyl 3-oxobutanoate (3b) (1 mmol) in acetic acid (20 mL) was added ammonium acetate (0.156 g, 2 mmol). The reaction mixture was heated under reflux for 5 hours. After cooling, the reaction mixture was poured onto ice and the solid product was collected by filtration and crystallized from an ethanol/dioxane mixture (1:1). The physical constants, together with the spectral data for products 5a-d, are shown below.
3-Acetyl-2-methyl-6-[4-(4-nitrophenyl)-1-phenyl-1H-pyrazol-3-yl]pyridine (5a). Yellow crystals, (0.34 g, 85%), m.p. 318–320 °C; IR (KBr) υ = 1,691 (CO) cm−1; 1H-NMR (DMSO-d6) δ = 2.32 (s, 3H, CH3), 2.42 (s, 3H, COCH3), 7.35 (d, 2H, J = 8 Hz, Ar-H), 7.55 (d, 1H, J = 8 Hz, pyridyl H-4), 7.67 (d, 1H, J = 8 Hz, pyridyl H-5), 7.71–8.20 (m, 5H, Ar-H), 8.26 (d, 2H, J = 8 Hz, Ar-H), 9.01 (s, 1H, pyrazole-H-5) ppm; MS, m/z (%) 398 (M+, 60), 355 (30), 122 (25), 77 (100). Anal. Calcd. for C23H18N4O3 (398.14): C, 69.34; H, 4.55; N, 14.06. Found: C, 69.27; H, 4.68; N, 14.11%.
3-Acetyl-2-methyl-6-[4-(4-nitrophenyl)-1-(4-methylphenyl)-1H-pyrazol-3-yl]pyridine (5b). Yellow crystals, (0.35 g, 85%), m.p. 322–325 °C; IR (KBr) υ = 1,692 (CO) cm−1; 1H-NMR (DMSO-d6) δ = 2.32 (s, 3H, CH3), 2.38 (s, 3H, Ar-CH3), 2.44 (s, 3H, COCH3), 7.37 (d, 2H, J = 8 Hz, Ar-H), 7.53 (d, 1H, J = 8 Hz, pyridyl H-4), 7.61 (d, 1H, J = 8 Hz, pyridyl H-5), 7.76–8.26 (m, 4H, Ar-H), 8.29 (d, 2H, J = 8 Hz, Ar-H), 9.11 (s, 1H, pyrazole H-5) ppm; MS, m/z (%) 412 (M+, 75), 369 (30), 122 (25), 91 (50), 77 (100). Anal. Calcd. for C24H20N4O3 (412.15): C, 69.89; H, 4.89; N, 13.58. Found: C, 69.77; H, 4.78; N, 13.41%.
Ethyl 2-methyl-6-[4-(4-nitrophenyl)-1-phenyl-1H-pyrazol-3-yl]nicotinate (5c). Pale yellow crystals, (0.35 g, 82%), m.p. 180–182 °C; IR (KBr) υ = 1,706 (CO) cm−1; 1H-NMR (DMSO-d6) δ = 1.31 (t, 3H, J = 7 Hz, CH3), 2.38 (s, 3H, CH3), 4.35 (q, 2H, J = 7 Hz, CH2), 7.36 (d, 2H, J = 8 Hz, Ar-H), 7.52 (d, 1H, J = 8 Hz, pyridyl H-4), 7.62 (d, 1H, J = 8 Hz, pyridyl H-5), 7.81-8.20 (m, 5H, Ar-H), 8.28 (d, 2H, J = 8 Hz, Ar-H), 8.97 (s, 1H, pyrazole H-5) ppm; MS, m/z (%) 428 (M+, 60), 355 (30), 122 (25), 77 (100). Anal. Calcd. for C24H20N4O4 (428.15): C, 67.28; H, 4.71; N, 13.08. Found: C, 67.19; H, 4.62; N, 13.16%.
Ethyl 2-methyl-6-[4-(4-nitrophenyl)-1-(4-methylphenyl)-1H-pyrazol-3-yl]nicotinate (5d). Pale yellow crystals, (0.37 g, 85%), m.p. 186–188 °C; IR (KBr) υ = 1,709 (CO) cm−1; 1H-NMR (DMSO-d6) δ = 1.33 (t, 3H, J = 7 Hz, CH3), 2.38 (s, 3H, CH3), 2.41 (s, 3H, Ar-CH3), 4.39 (q, 2H, J = 7 Hz, CH2), 7.38 (d, 2H, J = 8 Hz, Ar-H), 7.51 (d, 1H, J = 8 Hz, pyridyl H-4), 7.59 (d, 1H, J = 8 Hz, pyridyl H-5), 7.72–8.10 (m, 4H, Ar-H), 8.29 (d, 2H, J = 8 Hz, Ar-H), 8.99 (s, 1H, pyrazole H-5) ppm; MS, m/z (%) 442 (M+, 50), 369 (30), 122 (25), 91 (100), 77 (60). Anal. Calcd. for C25H22N4O4 (442.16): C, 67.86; H, 5.01; N, 12.66. Found: C, 67.74; H, 4.92; N, 12.56%.
3.4. Reactions of 3-[E-3-(N,N-dimethylamino)acryloyl]-4-(4-nitrophenyl)-1-aryl-1H-pyrazoles 2a,b with Hydrazine Hydrate
To a solution of the enaminone (2a or 2b) (1 mmol) in ethanol (10 mL) was added hydrazine hydrate (1 mL) and the mixture was heated under reflux for 5 hours. The reaction mixture was acidified by HCl/ice mixture and the formed product was filtered and crystallized from ethanol.
4-(4-Nitrophenyl)-1-phenyl-1H,1'H-3,3'-bipyrazole (8a). Yellow crystals, (0.30 g, 90%), m.p. 200–202 °C; IR (KBr) υ = 3,246 (NH) cm–1; 1H-NMR (DMSO-d6) δ = 7.25 (d, 2H, J = 8 Hz, Ar-H), 7.35–7.97 (m, 5H, Ar-H), 7.53 (d, 1H, J = 7.5 Hz, pyrazole H-4), 7.58 (d, 1H, J = 7.5 Hz, pyrazole H-5), 8.23 (d, 2H, J = 8 Hz, Ar-H), 9.01 (s, 1H, pyrazole H-5), 13.00 (D2O-exchangeable) (s, 1H, NH) ppm; MS, m/z (%) 331 (M+, 60), 284 (20), 122 (25), 77 (100). Anal. Calcd. for C18H13N5O2 (331.11): C, 65.25; H, 3.95; N, 21.14. Found: C, 65.37; H, 3.88; N, 21.21%.
4-(4-Nitrophenyl)-1-(4-methylphenyl)-1H,1'H-3,3'-bipyrazole (8b). Yellow crystals, (0.31 g, 90%), m.p. 172–174 °C; IR (KBr) υ = 3,226 (NH) cm−1; 1H-NMR (DMSO-d6) δ = 2.36 (s, 3H, Ar-CH3), 7.23 (d, 2H, J = 8 Hz, Ar-H), 7.25–7.91 (m, 4H, Ar-H), 7.51 (d, 1H, J = 7.5 Hz, pyrazole H-4), 7.56 (d, 1H, J = 7.5 Hz, pyrazole H-5), 8.20 (d, 2H, J = 8 Hz, Ar-H), 9.00 (s, 1H, pyrazole H-5), 12.97 (D2O-exchangeable) (s, 1H, NH) ppm; MS, m/z (%) 345 (M+, 70), 299 (20), 122 (25), 91 (100), 77 (80). Anal. Calcd. for C19H15N5O2 (345.12): C, 66.08; H, 4.38; N, 20.28. Found: C, 66.12; H, 4.46; N, 20.18%.
3.5. Reactions of 3-[E-3-(N,N-dimethylamino)acryloyl]-4-(4-nitrophenyl)-1-aryl-1H-pyrazoles 2a,b with Hydroxylamine Hydrochloride
Hydroxylamine hydrochloride (0.07 g, 1 mmol) was added to a mixture of enaminone 2a or 2b (1 mmol) and anhydrous potassium carbonate (0.5 g) in absolute ethanol (20 mL). The mixture was heated under reflux for 5 hours and poured onto water. The solid product was filtered and crystallized from ethanol.
3-[4-(4-Nitrophenyl)-1-phenyl-1H-pyrazol-3-yl]isoxazole (9a). Yellow crystals, (0.25 g, 75%), m.p. 160–162 °C; IR (KBr) υ = 1,600 (C=N), cm−1; 1H-NMR (DMSO-d6) δ = 6.78 (d, 1H, J = 5 Hz, isoxazole H-4), 7.29 (d, 2H, J = 8 Hz, Ar-H), 7.36–8.21 (m, 5H, Ar-H), 8.48 (d, 2H, J = 8 Hz, Ar-H), 8.72 (d, 1H, J = 5 Hz, isoxazole H-5), 9.05 (s, 1H, pyrazole H-5) ppm; MS, m/z (%) 332 (M+, 60), 286 (20), 122 (25), 77 (100). Anal. Calcd. for C18H12N4O3 (332.09): C, 65.06; H, 3.64; N, 16.86. Found: C, 65.17; H, 3.58; N, 16.71%.
3-[4-(4-Nitrophenyl)-1-(4-methylphenyl)-1H-pyrazol-3-yl]isoxazole (9b). Yellow crystals, (0.26 g, 75%), m.p. 170–172 °C; IR (KBr) υ = 1,601 (C=N), cm−1; 1H-NMR (DMSO-d6) δ = 2.37 (s, 3H, Ar-CH3), 6.78 (d, 1H, J = 5 Hz, isoxazole H-4), 7.35 (d, 2H, J = 8 Hz, Ar-H), 7.39–8.32 (m, 4H, Ar-H), 8.68 (d, 2H, J = 8 Hz, Ar-H), 8.79 (d, 1H, J = 5 Hz, isoxazole H-5), 9.04 (s, 1H, pyrazole H-5) ppm; MS, m/z (%) 346 (M+, 50), 300 (20), 122 (25), 91 (100), 77 (60). Anal. Calcd. for C19H14N4O3 (346.11): C, 65.89; H, 4.07; N, 16.18. Found: C, 65.77; H, 3.98; N, 16.11%.
3.6. Reactions of 3-[E-3-(N,N-dimethylamino)acryloyl]-4-(4-nitrophenyl)-1-aryl-1H-pyrazoles 2a,b with 3-amino-1H-[1,2,4]triazole
A mixture of enaminone 2a or 2b (1 mmol) and 3-amino-1H-[1,2,4]triazole (0.085 g, 1 mmol), in glacial acetic acid (20 mL), was refluxed for 5 hours. The solid that formed was filtered off, and crystallized from dioxane to afford compounds 12a,b.
5-[4-(4-Nitrophenyl)-1-phenyl-1H-pyrazol-3-yl][1,2,4]triazolo[4,3-a]pyrimidine (12a). Yellow crystals, (0.32 g, 85%), m.p. 290–292 °C; IR (KBr) υ = 1,596 (C=N) cm−1; 1H-NMR (DMSO-d6) δ = 7.45 (d, 2H, J = 8 Hz, Ar-H), 7.59–8.01 (m, 5H, Ar-H), 7.71 (d, 1H, J = 5 Hz, pyrimidine H-5), 8.11 (d, 2H, J = 8 Hz, Ar-H), 8.47 (s, 1H, triazole H-5), 9.01 (s, 1H, pyrazole H-5), 9.34 (d, 1H, J = 5 Hz, pyrimidine H-4) ppm; MS, m/z (%) 383 (M+, 50), 337 (40), 122 (25), 77 (100). Anal. Calcd. for C20H13N7O2 (383.11): C, 62.66; H, 3.42; N, 25.58. Found: C, 62.77; H, 3.58; N, 25.71%.
5-[4-(4-Nitrophenyl)-1-(4-methylphenyl)-1H-pyrazol-3-yl][1,2,4]triazolo[4,3-a]pyrimidine (12b). Yellow crystals, (0.34 g, 85%), m.p. 310–312 °C; IR (KBr) υ = 1,598 (C=N) cm−1; 1H-NMR (DMSO-d6) δ = 2.41 (s, 3H, Ar-CH3), 7.37 (d, 2H, J = 8 Hz, Ar-H), 7.49–8.01 (m, 4H, Ar-H), 7.74 (d, 1H, J = 5 Hz, pyrimidine H-5), 8.16 (d, 2H, J = 8 Hz, Ar-H), 8.49 (s, 1H, triazole H-5), 9.03 (s, 1H, pyrazole H-5), 9.36 (d, 1H, J = 5 Hz, pyrimidine H-4) ppm; MS, m/z (%) 397 (M+, 50), 351 (40), 122 (25), 91 (70), 77 (100). Anal. Calcd. for C21H15N7O2 (397.13): C, 63.47; H, 3.80; N, 24.67. Found: C, 63.58; H, 3.62; N, 24.77%.
3.7. Coupling of 3-[E-3-(N,N-dimethylamino)acryloyl]-4-(4-nitrophenyl)-1-aryl-1H-pyrazoles 2a,b with diazonium salt of 3-amino-1H-[1,2,4]triazole
To a cold solution of enaminone 2a or 2b (1 mmol) in pyridine (25 mL) was added the heterocyclic diazonium salt [prepared by diazotizing 3-amino-1H-[1,2,4]triazole (0.085 g, 1 mmol) dissolved in concentrated nitric acid (2 mL) with a solution of sodium nitrite (0.07 g, 1 mmol) in water (2 mL)]. After complete addition of the diazonium salt, the reaction mixture was stirred for a further 30 min in an ice bath, and then poured onto ice/HCl mixture. The solid precipitated was filtered off, washed with water, dried and crystallized from ethanol/dioxane mixture to give the respective products 14a and 14b.
[4-(4-Nitrophenyl)-1-phenyl-1H-3-pyrazolyl]carbonyl[1,2,4]triazolo[3,4-c][1,2,4]triazine (14a). Pale yellow crystals, (0.32 g, 80%), m.p. 290–292 °C; IR (KBr) υ = 1,662 (CO) cm−1; 1H-NMR (DMSO-d6) δ = 7.43 (d, 2H, J = 8 Hz, Ar-H), 7.56–7.96 (m, 5H, Ar-H), 7.77 (s, 1H, triazine H-5), 8.22 (d, 2H, J = 8 Hz, Ar-H), 8.48 (s, 1H, triazole H-5), 9.17 (s, 1H, pyrazole H-5) ppm; MS, m/z (%) 412 (M+, 50), 292 (20), 122 (50), 77 (100). Anal. Calcd. for C20H12N8O3 (412.10): C, 58.25; H, 2.93; N, 27.17. Found: C, 58.37; H, 3.02; N, 27.31%.
[4-(4-Nitrophenyl)-1-(4-methylphenyl)-1H-3-pyrazolyl]{[1,2,4]triazolo[3,4-c][1,2,4]triazin-6-yl}-methanone (14b). Pale yellow crystals, (0.34 g, 80%), m.p. 198–200 °C; IR (KBr) υ = 1,664 (CO) cm−1; 1H-NMR (DMSO-d6) δ = 2.39 (s, 3H, Ar-CH3), 7.46 (d, 2H, J = 8 Hz, Ar-H), 7.51–7.99 (m, 4H, Ar-H), 7.78 (s, 1H, triazine H-5), 8.26 (d, 2H, J = 8 Hz, Ar-H), 8.49 (s, 1H, triazole H-5), 9.13 (s, 1H, pyrazole H-5) ppm; MS, m/z (%) 426 (M+, 50), 306 (20), 148 (60), 122 (50), 77 (100). Anal. Calcd. for C21H14N8O3 (426.12): C, 59.15; H, 3.31; N, 26.28. Found: C, 59.39; H, 3.22; N, 26.38%.
3.8. Synthesis of 5-[4-(4-nitrophenyl)-1-phenyl-1H-pyrazol-3-yl]-2-thioxo-2,3-dihydro-1H-pyrido[2,3-d]pyrimidin-4-one (17)
A mixture of 3-[E-3-(N,N-dimethylamino)acryloyl]-4-(4-nitrophenyl)-1-phenyl-1H-pyrazole (2a) (1.81 g, 5 mmol) and 6-amino-2-thioxo-2,3-dihydropyrimidin-4(1H)-one (15, 0.715 g, 5 mmol) in acetic acid (20 mL) was refluxed for 6 hours. The reaction mixture was cooled and diluted with methanol and the solid product was collected by filtration and recrystallized from dioxane to give 17. Yellow crystals (0.35 g, 80%), m.p. 310–313 °C; IR (KBr) υ = 3,261, 3,245 (2 NH), 1,677 (CO), cm−1; 1H-NMR (DMSO-d6) δ = 7.42 (d, 2H, J = 8 Hz, Ar-H), 7.49–8.20 (m, 5H, Ar-H), 8.24 (d, 2H, J = 8 Hz, Ar-H), 8.29 (d, 1H, J = 7 Hz, pyridine-H), 8.48 (d, 1H, J = 7 Hz, pyridine-H), 9.05 (s, 1H, pyrazole H-5), 12.62 (s, 1H, NH), 13.14 (s, 1H, NH) ppm; MS, m/z (%) 442 (M+, 40), 396 (20), 122 (40), 77 (100). Anal. Calcd. for C22H14N6O3S (442.08): C, 59.72; H, 3.19; N, 18.99; S, 7.25. Found: C, 59.81; H, 3.14; N, 19.04; S, 7.20%.
3.9. Synthesis of pyrido[2,3-d][1,2,4]triazolo[4,3-a]pyrimidin-5-one derivatives 21a-c
To a mixture of equimolar amounts of 17 and the appropriate hydrazonoyl chlorides 18a-c (1 mmol) in dioxane (15 mL) was added triethylamine (0.14 mL, 1 mmol). The reaction mixture was refluxed until all of the starting materials have disappeared and hydrogen sulfide gas ceased to evolve (6 hours, monitored by TLC). The solvent was evaporated and the residue was triturated with methanol. The solid that formed was filtered and crystallized from methanol/dioxane mixture to give compounds 21a-c.
3-Acetyl-6-[4-(4-nitrophenyl)-1-phenyl-1H-pyrazol-3-yl]-1-phenyl-1,5-dihydropyrido[2,3-d][1,2,4] triazolo[4,3-a]pyrimidin-5-one (21a). Yellow crystals, (0.45 g, 80%), m.p. 280–282 °C; IR (KBr) υ = 1,707, 1,650 (2 CO), cm−1; 1H-NMR (DMSO-d6) δ = 2.84 (s, 3H, COCH3), 7.26 (d, 2H, J = 8 Hz, Ar-H), 7.39–7.85 (m, 10H, Ar-H), 8.03 (d, 1H, J = 7 Hz, pyridine-H), 8.27 (d, 2H, J = 8 Hz, Ar-H), 8.69 (d, 1H, J = 7 Hz, pyridine-H), 9.05 (s, 1H, pyrazole H-5) ppm; 13C-NMR (DMSO-d6) δ = 31.3, 119.8, 121.7, 122.4, 123.3, 124.5, 125.3, 127.4, 128.5, 129.1, 129.8, 131.2, 139.4, 142.5, 143.9, 146.8, 147.8, 148.1, 148.8, 152.1, 153.8, 155.3, 159.5, 164.0, 176 ppm; MS, m/z (%) 568 (M+, 25), 525 (20), 497 (40), 122 (30), 77 (100). Anal. Calcd. for C31H20N8O4 (568.16): C, 65.49; H, 3.55; N, 19.71. Found: C, 65.34; H, 3.42; N, 19.64%.
Ethyl 5-oxo-6-[4-(4-nitrophenyl)-1-phenyl-1H-pyrazol-3-yl]-1-phenyl-1,5-dihydropyrido[2,3-d] [1,2,4]triazolo[4,3-a]pyrimidine-3-carboxylate (21b). Yellow crystals, (0.47 g, 80%), m.p. 250–253 °C; IR (KBr) υ = 1,719, 1,645 (2 CO), cm−1; 1H-NMR (DMSO-d6) δ = 1.45 (t, J = 7 Hz, 3H, CH3,), 4.57 (q, J = 7 Hz, 2H, CH2,), 7.26 (d, 2H, J = 8 Hz, Ar-H), 7.27–7.81 (m, 10H, Ar-H), 8.16 (d, 1H, J = 7 Hz, pyridine-H), 8.21 (d, 2H, J = 8 Hz, Ar-H), 8.62 (d, 1H, J = 7 Hz, pyridine-H), 9.07 (s, 1H, pyrazole H-5) ppm; 13C-NMR (DMSO-d6) δ = 31.6, 35.8, 118.9, 120.7, 122.4, 123.3, 124.6, 125.7, 127.2, 128.5, 129.3, 129.9, 131.2, 139.4, 142.5, 143.7, 146.8, 147.9, 148.2, 148.8, 152.1, 153.8, 155.3, 159.5, 163.4, 177 ppm; MS, m/z (%) 598 (M+, 25), 525 (40), 479 (40), 122 (30), 77 (100). Anal. Calcd. for C32H22N8O5 (598.17): C, 64.21; H, 3.70; N, 18.72. Found: C, 64.34; H, 3.62; N, 18.62%.
N3,1-Diphenyl-5-oxo-6-[4-(4-nitrophenyl)-1-phenyl-1H-pyrazol-3-yl]-1,5-dihydropyrido[2,3-d] [1,2,4]triazolo[4,3-a]pyrimidine-3-carboxamide (21c). Yellow crystals, (0.48 g, 75%), m.p. 325−327 °C; IR (KBr) υ = 3,388 (NH), 1,697, 1,651 (2 CO), cm−1; 1H-NMR (DMSO-d6) δ = 7.23 (d, 2H, J = 8 Hz, Ar-H), 7.39–8.15 (m, 15H, Ar-H), 8.01 (d, 1H, J = 7 Hz, pyridine-H), 8.24 (d, 2H, J = 8 Hz, Ar-H), 8.62 (d, 1H, J = 7 Hz, pyridine-H), 9.01 (s, 1H, pyrazole H-5), 10.92 (s, 1H, NH) ppm; 13C-NMR (DMSO-d6) δ = 111.8, 119.8, 120.7, 121.4, 121.7, 122.4, 123.3, 124.5, 125.3, 125.9, 127.4, 128.5, 129.1, 129.8, 131.2, 139.4, 142.5, 143.9, 146.8, 147.8, 148.1, 148.8, 152.1, 153.8, 155.3, 159.5, 161.9, 168 ppm; MS, m/z (%) 645 (M+, 25), 525 (40), 122 (20), 77 (100). Anal. Calcd. for C36H23N9O4 (645.19): C, 66.97; H, 3.59; N, 19.53. Found: C, 66.84; H, 3.46; N, 19.61%.
3.10. Agar diffusion well method to determine the antimicrobial activity
The microorganism inoculums were uniformly spread using sterile cotton swab on a sterile Petri dish Malt extract agar (for fungi) and nutrient agar (for bacteria). One hundred μL of each sample was added to each well (10 mm diameter holes cut in the agar gel, 20 mm apart from one another). The systems were incubated for 24–48 h at 37 °C (for bacteria) and at 28 °C (for fungi). After incubation, the microorganism's growth was observed. Inhibition of the bacterial and fungal growth were measured in mm. Tests were performed in triplicate [44].
3.11. Cytotoxic activity
The method applied is similar to that reported by Skehan et al. [45] using Sulfo-Rhodamine-B stain (SRB). Cells were plated in 96-multiwill plate (104 cells/well) for 24 h before treatment with the tested compounds to allow attachment of cell to the wall of the plate. Different concentrations of the compound under test (0, 2.5, 5, and 10 µg/mL) were added to the cell monolayer in triplicate wells individual dose, monolayer cells were incubated with the compounds for 48 h at 37 °C and in atmosphere of 5% CO2. After 48 h, cells were fixed, washed and stained with SRB stain, excess stain was washed with acetic acid and attached stain was recovered with tris-EDTA buffer, color intensity was measured in an ELISA reader. The relation between surviving fraction and drug concentration is plotted to get the survival curve of each tumor cell line after the specified compound. The response parameter calculated was the IC50 value, which corresponds to the compound concentration causing 50% mortality in net cells (Figures 3-10).
4. Conclusions
In this study, synthetic routes to a wide variety of azoles, fused azoles, and azines at the 3-position of N-arylpyrazole ring were developed using novel enaminones as building blocks. Moreover, some of the newly synthesized products were tested as antitumor and antimicrobial agents and the results obtained were promising.
References and Notes
- Farag, A.M.; Mayhoub, A.S.; Barakat, S.E.; Bayomi, A.H. Synthesis of new N-phenylpyrazole derivatives with potent antimicrobial activity. Bioorg. Med. Chem. 2008, 16, 4569–4578. [Google Scholar]
- Insuasty, B.; Tigreros, A.; Orozco, F.; Quiroga, J.; Abonia, R.; Nogueras, M.; Sanchez, A.; Cobo, J. Synthesis of novel pyrazolic analogues of chalcones and their 3-aryl-4-(3-aryl-4,5-dihydro-1H-pyrazol-5-yl)-1-phenyl-1H-pyrazole derivatives as potential antitumor agents. Bioorg. Med. Chem. 2010, 18, 4965–4974. [Google Scholar] [CrossRef]
- Farag, A.M.; Mayhoub, A.S.; Barakat, S.E.; Bayomi, A.H. Regioselective synthesis and antitumor screening of some novel N-phenylpyrazole derivatives. Bioorg. Med. Chem. 2008, 16, 881–889. [Google Scholar] [CrossRef]
- Svete, J. Utilisation of the chiral enaminones and azomethine imines in the synthesis of functionalized pyrazoles. ARKIVOC 2006, vii, 35–56. [Google Scholar]
- El-Deeb, I.M.; Lee, S.H. Design and synthesis of new potent anticancer pyrazoles with high FLT3 kinase inhibitory selectivity. Bioorg. Med. Chem. 2010, 18, 3961–3973. [Google Scholar] [CrossRef]
- Raffa, D.; Daidone, G.; Maggio, B.; Cascioferro, S.; Plescia, F.; Schillaci, D. Synthesis and antileukemic activity of new 3-(1-phenyl-3-methylpyrazol-5-yl)-2-styrylquinazolin-4(3H)-ones. Farmaco 2004, 59, 215–221. [Google Scholar] [CrossRef]
- Sherif, A.F.R. Synthesis and in vitro antitumor evaluation of some indeno[1,2-c] pyrazol(in)es substituted with sulfonamide, sulfonylurea(-thiourea)pharmacophores, and some derived thiazole ring systems. Bioorg. Med. Chem. 2006, 14, 6475–6485. [Google Scholar] [CrossRef]
- Cheung, K.M.; Matthews, T.P.; James, K.; Rowlands, M.G.; Boxall, K.J.; Sharp, S.Y.; Maloney, A.; Roe, S.M.; Prodromou, C.; Pearl, L.H.; Aherne, G.W.; McDonald, E.; Workman, P. The identification, synthesis, protein crystal structure and in vitro biochemical evaluation of a new 3,4-diarylpyrazole class of Hsp90 inhibitors. Bioorg. Med. Chem. Lett. 2005, 15, 3338–3343. [Google Scholar]
- Dymock, B.W.; Barril, X.; Brough, P.A.; Cansfield, J.E.; Massey, A.; McDonald, E.; Hubbard, R. E.; Surgenor, A.; Roughley, S.D.; Webb, P.; Workman, P.; Wright, L.; Drysdale, M.J. Novel, potent small-molecule inhibitors of the molecular chaperone Hsp90 discovered through structure-based design. J. Med. Chem. 2005, 48, 4212–4215. [Google Scholar]
- Barril, X.; Beswick, M.C.; Collier, A.; Drysdale, M.J.; Dymock, B.W.; Fink, A.; Grant, K.; Howes, R.; Jordan, A.M.; Massey, A.; Wayne, A.S.; Workman, J.P.; Wright, L. 4-Amino derivatives of the Hsp90 inhibitor CCT018159. Bioorg. Med. Chem. Lett. 2006, 16, 2543–2548. [Google Scholar]
- Allan, G.M.; Bubert, C.; Vicker, N.; Smith, A.; Tutill, H.J.; Purohit, A.; Reed, M.J.; Potter, B.V.L. Novel, potent inhibitors of 17β-hydroxysteroid dehydrogenase type 1. Molecul. Cell Endocrin. 2006, 248, 204–207. [Google Scholar] [CrossRef]
- Rashad, A.E.; Hegab, M.I.; Abdel-Megeid, R.E.; Micky, J.A.; Abdel-Megeid, F.M.E. Synthesis and antiviral evaluation of some of new pyrazole and fused pyrazolopyrimidine derivatives. Bioorg. Med. Chem. 2008, 16, 7102–7106. [Google Scholar]
- Ragavan, R.V.; Vijayakumar, V.; Kumari, N.S. Synthesis and antimicrobial activities of novel 1,5-diaryl pyrazoles. Eur. J. Med. Chem. 2010, 45, 1173–1180. [Google Scholar] [CrossRef]
- Kim, D.; Lee, Y.; Lee, Y.W.; Dewang, P.M.; Sheen, Y.Y.; Kim, Y.W.; Park, H.; Yoo, J.; Lee, H.S.; Kim, Y. Synthesis and biological evaluation of 4(5)-(6-methylpyridin-2-yl)imidazoles and -pyrazoles as transforming growth factor-β type 1 receptor kinase inhibitors. Bioorg. Med. Chem. 2010, 18, 4459–4467. [Google Scholar] [CrossRef]
- Franchini, M.C.; Bonini, B.F.; Camaggi, C.M.; Gentili, D.; Pession, A.; Rani, M.; Strocchi, E. Design and synthesis of novel 3,4-disubstituted pyrazoles for nanomedicine applications against malignant gliomas. Eur. J. Med. Chem. 2010, 45, 2024–2033. [Google Scholar] [CrossRef]
- Rostom, S.A.F.; Shalaby, M.A.; El-Demellawy, M.A. Polysubstituted pyrazoles, part 5. Synthesis of new 1-(4-chlorophenyl)-4-hydroxy-1H-pyrazole-3-carboxylic acid hydrazide analogs and some derived ring systems. A novel class of potential antitumor and anti-HCV agents. Eur. J. Med. Chem. 2003, 38, 959–974. [Google Scholar] [CrossRef]
- Al-Saadi, M.S.M.; Rostom, S.A.F.; Faid Allah, H.M. In vitro antitumor screening of somepolysubstituted pyrazole analogs. Saudi Pharm. J. 2005, 13, 89–96. [Google Scholar]
- Riyadh, S.M.; Farghaly, T.A.; Abdallah, M.A.; Abdalla, M.M.; Abd El-Aziz, M.R. New pyrazoles incorporating pyrazolylpyrazole moiety: Synthesis, anti-HCV and antitumor activity. Eur. J. Med. Chem. 2010, 45, 1042–1050. [Google Scholar] [CrossRef]
- Farghaly, T.A.; Riyadh, S.M. Microwave assisted synthesis of annelated benzosuberone as new penta-heterocyclic ring system. Arkivoc 2009, x, 54–64. [Google Scholar]
- Gomha, S.M.; Riyadh, S.M. Synthesis of triazolo[4,3-b][1,2,4,5]tetrazines and triazolo[3,4-b][1,3,4]thiadiazines using chitosan as heterogeneous catalyst under microwave irradiation. Arkivoc 2009, xi, 58–68. [Google Scholar]
- Abbas, I.M.; Riyadh, S.M.; Abdallah, M.A.; Gomha, S.M. A novel route to tetracyclic fused tetrazines and thiadiazines. J. Heterocycl. Chem. 2006, 43, 935–942. [Google Scholar] [CrossRef]
- Riyadh, S.M. Novel regioselective synthesis and biological activity of 6-phenylazo and 3,6-bis(arylazo)-7-hydroxy-1H-[1,2,4]triazolo[4,3-a]pyrimidinon-5(4H)-one. J. Chin. Chem. Soc. 2005, 52, 545–551. [Google Scholar]
- Riyadh, S.M.; Al-Matar, H.M.; Elnagdi, M.H. Studies with β-Oxoalkanonitriles: Simple Novel Synthesis of 3-[2,6-Diaryl-4- pyridyl]-3-oxopropanenitriles. Molecules 2008, 13, 3140–3148. [Google Scholar] [CrossRef]
- Riyadh, S.M.; Abdallah, M.A.; Abbas, I.M.; Gomha, S.M. A facile one-pot synthesis of pyrido[3`,2`:4,5]thieno[3,2-d][1,2,4]triazolo[5,4-a]pyrimidin-5-one. Inter. J. Pure Appl. Chem. 2006, 1, 57–64. [Google Scholar]
- Riyadh, S.M.; Abdelhamid, I.A.; Al-Matar, H.M.; Hilmy, N.M.; Elnagdi, M.H. Enamines as precursors to polyfunctional aromatic and heteroaromatic; A decade of development. Heterocycles 2008, 75, 1849–1905. [Google Scholar] [CrossRef]
- Al-Matar, H.M.; Riyadh, S.M.; Elnagdi, M.H. Studies with enamines: Reactivity of N,N-dimethyl-N-[(E)-2-(4-nitrophenyl)-1-ethenyl]amine towards nitrilimine and aromatic diazonium salts. J. Heterocycl. Chem. 2007, 44, 603–607. [Google Scholar] [CrossRef]
- Bennett, P.; Donnelly, J.A.; Meaney, D.C.; Boyle, P.O. Stereochemistry of cyclopropyl ketones from the reaction of dimethylsulphoxonium methylide with 3-benzylidenechroman-4-ones. J. Chem. Soc. Perkin Trans. I 1972, 1554–1559. [Google Scholar]
- Al-Saleh, B.; Abdel-Khalik, M.M.; Eltoukhy, A.M.; Elnagdi, M.H. Enaminones in heterocyclic synthesis: A new regioselective synthesis of 2,3,6-trisubstituted pyridines, 6-substituted-3-aroylpyridines and 1,3,5-triaroylbenzenes. J. Heterocycl. Chem. 2002, 39, 1035–1038. [Google Scholar] [CrossRef]
- Cantos, P.; De March, M. Synthesis of pyrano[4,3-c]pyrazol-4(1H)-ones and -4(2H)-ones from dehydroacetic acid. Homo- and Heteronuclear selective NOE measurements for unambiguous structure assignment. Bull. Chem. Soc. Jpn. 1987, 60, 4425–4431. [Google Scholar]
- Wasylishen, R.E.; Rowbotham, J.B.; Schaefer, T. Proton spin-spin coupling constants in isothiazole, isoxazole, and some of their alkyl derivatives. Can. J. Chem. 1974, 52, 833–837. [Google Scholar] [CrossRef]
- Al-Shiekh, M.A.; Salah El-Din, A.M.; Hafez, E.A.; Elnagdi, M.H. α-Enones in heterocyclic synthesis, part I. Classical synthetic and environmentally friendly synthetic approaches to alkyl and acyl azoles and azines. J. Chem. Res. 2004, 174–179. [Google Scholar]
- Shawali, A.S.; Farghaly, T.A.; Aldahshoury, A.I.R. An efficient synthesis of functionalized 3-(hetaryl)pyrazoles. Arkivoc 2010, ix, 19–30. [Google Scholar]
- Farghaly, T.A.; Abdalla, M.M. Synthesis, tautomerism, and antimicrobial, anti-HCV, anti-SSPE, antioxidant,and antitumor activities of arylazobenzosubes. Bioorg. Med. Chem. 2009, 17, 8012–8019. [Google Scholar] [CrossRef]
- Quiroga, J.; Rengifo, A.; Insuasty, B.; Abonı´, R.; Nogueras, M.; Sa´nchez, A. A novel product from the reaction of 6-aminopyrimidines and 3-formylchromone. Tetrahedron Lett. 2002, 43, 9061–9063. [Google Scholar]
- Geies, A.A.; Kamal-Eldeen, A.M.; Abdelhafez, A.A.; Gaber, A.M. Synthesis of some thiazolo[3,2-a]pyrimidines. Phosphor. Sulfur Silicon Relat. Elem. 1991, 56, 87–91. [Google Scholar] [CrossRef]
- Elliott, A.J.; Callaghan, P.D.; Gibson, M.S.; Nemeth, S.T. Rearrangement of arylthiohydrazonates. Can. J. Chem. 1975, 53, 1484–1490. [Google Scholar] [CrossRef]
- Shawali, A.S.; Elghandour, A.H.; Sayed, A.R. A Novel One-Pot Synthesis Of 3-Arylazo-[1,2,4]Triazolo-[4,3-A]Pyrimidin-5(1h)-Ones. Syn. Commun. 2001, 31, 731–740. [Google Scholar] [CrossRef]
- Shawali, A.S.; Osman, A. Synthesis and reactions of phenylcarbamoylaryl-hydrazidic chlorides. Tetrahedron 1971, 27, 2517–2528. [Google Scholar] [CrossRef]
- Shawali, A.S.; Eweiss, N.F.; Hassaneen, H.M.; Algharib, M.S. Synthesis and rearrangement of ethyl aryloxyglyoxalate arylhydrazones. Bull. Chem. Soc. Jpn. 1973, 46, 365–371. [Google Scholar]
- Shawali, A.S.; Abdelhamid, A.O. Reaction of dimethylphenacylsulfoniumbromide with N-nitrosoacetarylamidesand reactions of the products with nucleophiles. Bull. Chem. Soc. Jpn. 1976, 49, 321–324. [Google Scholar] [CrossRef]
- Parkanyi, C.; Shawali, A.S. An HMO’ study of the Azo-hydrazone tautomerism in diazonium coupling products of 5-isoxazoles. J. Heterocycl. Chem. 1980, 17, 897–903. [Google Scholar] [CrossRef]
- Eweiss, N.F.; Osman, A. Synthesis of Heterocycles. Part II. New Routes to Acetylthiadiazolines and Alkylazothiazoles. J. Heterocycl. Chem. 1980, 17, 1713–1717. [Google Scholar] [CrossRef]
- Wolkoff, P. New method of preparing hydrazonoyl halides. Can. J. Chem. 1975, 53, 1333–1335. [Google Scholar] [CrossRef]
- Smania, A.; Monache, F.D.; Smania, E.F.A.; Cuneo, R.S. Triterpenes and sterols from ganoderma australe (Fr.) Pat. (Aphyllophoromycetideae). Int. J. Med. Mushrooms 1999, 1, 325–334. [Google Scholar] [CrossRef]
- Skehan, P.; Storeng, R.; Scudiero, D.; Monks, A.; McMahon, J.; Vistica, D.; Warren, J.T.; Bokesch, H.; Kenney, S.; Boyd, M.R. New Colorimetric Cytotoxicity Assay for Anticancer-Drug Screening. J. Nat. Cancer Inst. 1990, 82, 1107–1112. [Google Scholar] [CrossRef]
- Sample Availability: No Available.
© 2011 by the authors; licensee MDPI, Basel, Switzerland. This article is an open access article distributed under the terms and conditions of the Creative Commons Attribution license ( http://creativecommons.org/licenses/by/3.0/).