The Photochemistry of Benzotriazole Derivatives. Part 2: Photolysis of 1-Substituted Benzotriazole Arylhydrazones: New Route to Phenanthridin-6-yl-2-phenyldiazines
Abstract
:1. Introduction


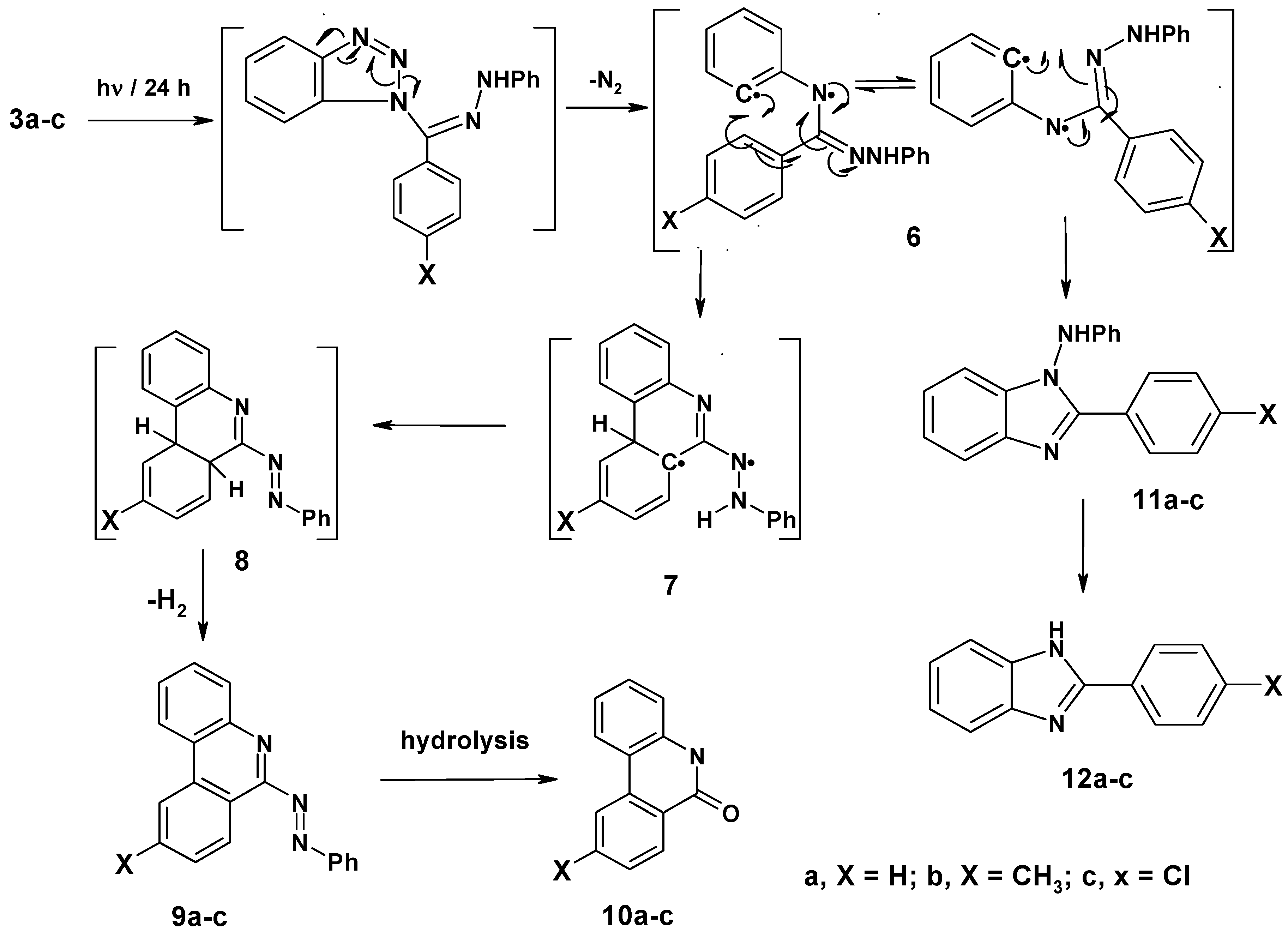
2. Results and Discussion


| Bond | Bond lengths (Å) | Bond | Bond angles (Å) |
|---|---|---|---|
| N1-N2 | 1.2462 (13) | N1-N2-C5 | 112.58 (9) |
| N2-C5 | 1.4368 (14) | N3-C5-N2 | 117.90 (10) |
| N3-C6 | 1.3857 (15) | N2-C5-N17 | 116.62 (10) |
| N3-C5 | 1.2949 (15) | C5-N3-C6 | 117.99 (10) |
| C5-C17 | 1.4400 (16) | C6-C11-C12 | 118.27 (11) |
| N1-C4 | 1.4286 (14) | C10-C11-C12 | 124.11 (11) |
| C11-C12 | 1.4450 (18) | N3-C6-C11 | 122.68 (11) |



| 4b Bond | Bond lengths (Å) | Bond | Bond angles (°) | 14b Bond | Bond lengths (Å) | Bond | Bond angles (°) |
|---|---|---|---|---|---|---|---|
| N1-C6 | 1.375 (6) | N1-C6-C1 | 104.8 (4) | N1-C1 | 1.380 (10) | C1-N1-C7 | 104.4 (6) |
| N1-C7 | 1.409 (6) | N1-C7-C14 | 117.1 (4) | N1-C7 | 1.318 (10) | N1-C7-N2 | 114.1 (7) |
| N4-C7 | 1.301 (6) | N1-C7-N4 | 125.3 (4) | N2-C7 | 1.375 (9) | N3-N2-C7 | 130.6 (6) |
| C7-C14 | 1.477 (7) | N1-N2-N3 | 108.5 (4) | N2-N3 | 1.372 (9) | N2-C6-C5 | 131.6 (8) |
| N5-C8 | 1.408 (6) | N2-N1-C7 | 120.3 (4) | N2-C6 | 1.405 (10) | N2-C7-C14 | 126.8 (7) |
| N4-N5 | 1.328 (6) | N5-C8-C13 | 118.2 (5) | C7-C14 | 1.495 (11) | N1-C1-C6 | 111.1 (7) |
| N3-C1 | 1.386 (7) | N3-C1-C6 | 109.2 (4) | N3-C8 | 1.409 (10) | O2-C14-C7 | 112.7 (7) |


| Comp | R | Ar | λmax | Photo-products and yields (%) | |||||||
|---|---|---|---|---|---|---|---|---|---|---|---|
| 9 | 10 | 11 | 12 | 14 | 16 | 18 | 21 | ||||
| 3a | C6H5 | C6H5 | 244, 338 | 51 | 16 | 12 | 10 | - | - | - | - |
| 3b | CH3C6H4(p) | C6H5 | 247, 347 | 48 | 18 | 14 | 8 | - | - | - | - |
| 3c | ClC6H4(p) | C6H5 | 243, 392 | 50 | 15 | 10 | 9 | - | - | - | - |
| 4a | CO2C2H5 | C6H5 | 244, 370 | - | - | - | - | 48 | 36 | - | - |
| 4b | CO2C2H5 | ClC6H4(p) | 245, 355 | - | - | - | - | 45 | 35 | - | - |
| 5a | COC6H5 | C6H5 | 253, 345 | - | 15 | - | - | - | - | 25 | 27 |
| 5b | COC6H5 | CH3C6H4(p) | 256, 379 | - | 17 | - | - | - | 30 | 24 | |
3. Experimental
3.1. General
3.2. Synthesis of Starting Compounds 4a,b
3.3. Irradiation Using a Low Pressure Mercury Arc-Lamp
4. Conclusions
Acknowledgements
References and Notes
- Hubert, A.J. Photochemistry of benzotriazole. J. Chem. Soc. C 1969, 10, 1334–1336. [Google Scholar] [CrossRef]
- Kazuo, T.; Mamoru, O.; Teijiro, Y. Thermal and photochemical decomposition of 4,5,6,7-tetrahydro-1,2,3-benzotriazole analogs. Bull. Chem. Soc. Jpn. 1973, 46, 3605–3607. [Google Scholar] [CrossRef]
- Kazuo, T.; Mamoru, O.; Teijiro, Y. Photochemical decomposition of benzotriazole. Bull. Chem. Soc. Jpn. 1972, 45, 515–519. [Google Scholar] [CrossRef]
- Crow, W.D.; Wentrup, C. Cyanocyclopentadienes by pyrolysis of isatain and 1H-benzotriazole. Chem. Commun. 1968, 17, 1026–1027. [Google Scholar]
- Mäerky, M.; Doppler, Th.; Hansen, H.; Schmid, H. Photoreactions of 1-alkylbenzotriazoles with aromatic compounds. Chimia 1969, 23, 230–231. [Google Scholar]
- Mäerky, M.; Schmid, H.; Hansen, H. Photoreactions of 1-alkylbenzotriazoles. J. Helv. Chim. Acta 1979, 62, 2129–2153. [Google Scholar] [CrossRef]
- Booker-Milburn, K.I.; Wood, P.M.; Dainty, R.F.; Urquhart, M.W.; White, A.J.; Lyon, H.J.; Charmant, J.P. Photochemistry of benzotriazole: Unprecedented tatumer-selective interamolecular [2 + 2] photocycloddition. Org. Lett. 2002, 4, 1487–1489. [Google Scholar]
- Wander, P.A.; Cooper, C.B. The photochemistry of 1-alkenybenzotriazoles: Methodology for the synthesis of indoles. Tetrahedron 1986, 42, 2985–2991. [Google Scholar] [CrossRef]
- Androsov, D.A.; Neckers, D.C. Photochemical study of tris(benzotriazol-1-yl)methane. J. Org. Chem. 2007, 72, 1148–1152. [Google Scholar] [CrossRef]
- Katritzky, A.R.; Lan, X.; Yang, J.; Denisko, O. Properties and synthesis utility of N-substituted benzotriazoles. Chem. Rev. 1998, 98, 409–548. [Google Scholar]
- Al-Jalal, N.; Al-Awadi, N.A.; Ibrahim, M.R.; Elnagdi, M.H. The photochemistry of 1-alkenyl-substituted-1,2,3-benzotriazoles leading to formation of indole and fused indole derivatives. ARKIVOC 2011, x, 288–297. [Google Scholar]
- Dib, H.H.; Al-Awadi, N.A.; Ibrahim, Y.A.; El-Dusouqui, O.M. Gas-phase thermolysis of benzotriazole derivatives. Part 2: Synthesis of benzimidazo[1,2-b] cinnolines, a novel heterocyclic ring system, by pyrolysis of benzotriazole derivatives, kinetics and mechanistic study. Tetrahedron 2003, 59, 9455–9464. [Google Scholar]
- Al-Awadi, N.A.; George, B.; Dib, H.H.; Ibrahim, M.R.; Ibrahim, Y.A.; El-Dusouqui, O.M. Gas-phase thermolysis of benzotriazole derivatives. Part 3: Kinetic and mechanistic evidence for biradical intermediates in pyrolysis of aroylbenzotriazoles and related compounds. Tetrahedron 2005, 61, 8257–8263. [Google Scholar] [CrossRef]
- Al-Awadi, H.; Ibrahim, M.R.; Ibrahim, Y.A.; Al-Awadi, N.A. Gas-phase thermolysis of benzotriazole derivatives. Part 4: Pyrolysis of 1-acylbenzotriazole phenylhydrazones. Interesting direct route towards N-aminobenzimidazole. J. Heterocycl. Chem. 2008, 45, 723–727. [Google Scholar] [CrossRef]
- Shawali, A.S.; Eweiss, N.F.; Hassaneen, H.M.; Sami, M. Synthesis and rearrangement of ethyl aryloxyglyoxalatearylhydrazones. Bull. Chem. Soc. Jpn. 1975, 48, 365–366. [Google Scholar] [CrossRef]
- Dubost, E.; Magnelli, R.; Cailly, T.; Legay, R.; Fabis, F.; Rault, S. General methods for the synthesis of substituted phennthradin-6(5H)-ones using a KOH-mediated anionic ring closure as the key step. Tetrahedron 2010, 66, 5008–5016. [Google Scholar] [CrossRef]
- Xiao-Feng, W.; Pazhamala, A.; Helfried, N.; Matthias, B. Palladium-catalyzed carbonylative C-H activation of heteroarenes. Angew. Chem. Int. Ed. 2010, 49, 7316–7319. [Google Scholar] [CrossRef]
- Oliver, M.; Christian, L.; Evelyn, F.; Klaus, K.; Nicolle, L.; Christian, S.; Jens, R.; Gerhard, W.; Soichi, W. Transition metal cyclometalated complexes with chelating bidentate N-heterocyclic carben-heterocycle ligands as light-emitting materials for organic light-emitting devices. WO 2008-EP64064 20081017, 2008. (Chem. Abstr. 2009, 150, 472908).. [Google Scholar]
- Morgan, A.R.; Severini, A.; James, M.N.G. Methods for assaying proteinases and proteinase inhibitors. WO 1992-CA18 19920115, 1992. (Chem. Abstr. 1992, 117, 187290).. [Google Scholar]
- Crystallographic data of (excluding structure factors) for the structures in this paper have been deposited with the Cambridge Crystallographic Data Centre as supplementary publication nos. CCDC 852370 (9a), CCDC 852374 (4b) and CCDC 852389 (14b). Copies of the data can be obtained, free of charge, on application to CCDC, 12 Union Road, Cambridge CB2 1EZ, UK, (fax: +44-(0)1223-336033 or e-mail: deposit@ccdc.cam.ac.uk.
- Sample Availability: Samples of the compounds 4, 9, 14, 18 and 21 are available from the authors.
© 2011 by the authors; licensee MDPI, Basel, Switzerland. This article is an open access article distributed under the terms and conditions of the Creative Commons Attribution license ( http://creativecommons.org/licenses/by/3.0/).
Share and Cite
Al-Jalal, N.A.; Ibrahim, M.R.; Al-Awadi, N.A.; Elnagdi, M.H. The Photochemistry of Benzotriazole Derivatives. Part 2: Photolysis of 1-Substituted Benzotriazole Arylhydrazones: New Route to Phenanthridin-6-yl-2-phenyldiazines. Molecules 2011, 16, 10256-10268. https://doi.org/10.3390/molecules161210256
Al-Jalal NA, Ibrahim MR, Al-Awadi NA, Elnagdi MH. The Photochemistry of Benzotriazole Derivatives. Part 2: Photolysis of 1-Substituted Benzotriazole Arylhydrazones: New Route to Phenanthridin-6-yl-2-phenyldiazines. Molecules. 2011; 16(12):10256-10268. https://doi.org/10.3390/molecules161210256
Chicago/Turabian StyleAl-Jalal, Nader A., Maher R. Ibrahim, Nouria A. Al-Awadi, and Mohamed H. Elnagdi. 2011. "The Photochemistry of Benzotriazole Derivatives. Part 2: Photolysis of 1-Substituted Benzotriazole Arylhydrazones: New Route to Phenanthridin-6-yl-2-phenyldiazines" Molecules 16, no. 12: 10256-10268. https://doi.org/10.3390/molecules161210256
APA StyleAl-Jalal, N. A., Ibrahim, M. R., Al-Awadi, N. A., & Elnagdi, M. H. (2011). The Photochemistry of Benzotriazole Derivatives. Part 2: Photolysis of 1-Substituted Benzotriazole Arylhydrazones: New Route to Phenanthridin-6-yl-2-phenyldiazines. Molecules, 16(12), 10256-10268. https://doi.org/10.3390/molecules161210256
