Antioxidant Phenolic Compounds of Cassava (Manihot esculenta) from Hainan
Abstract
:1. Introduction
2. Results and Discussion
2.1. Isolation of Antioxidant Compounds

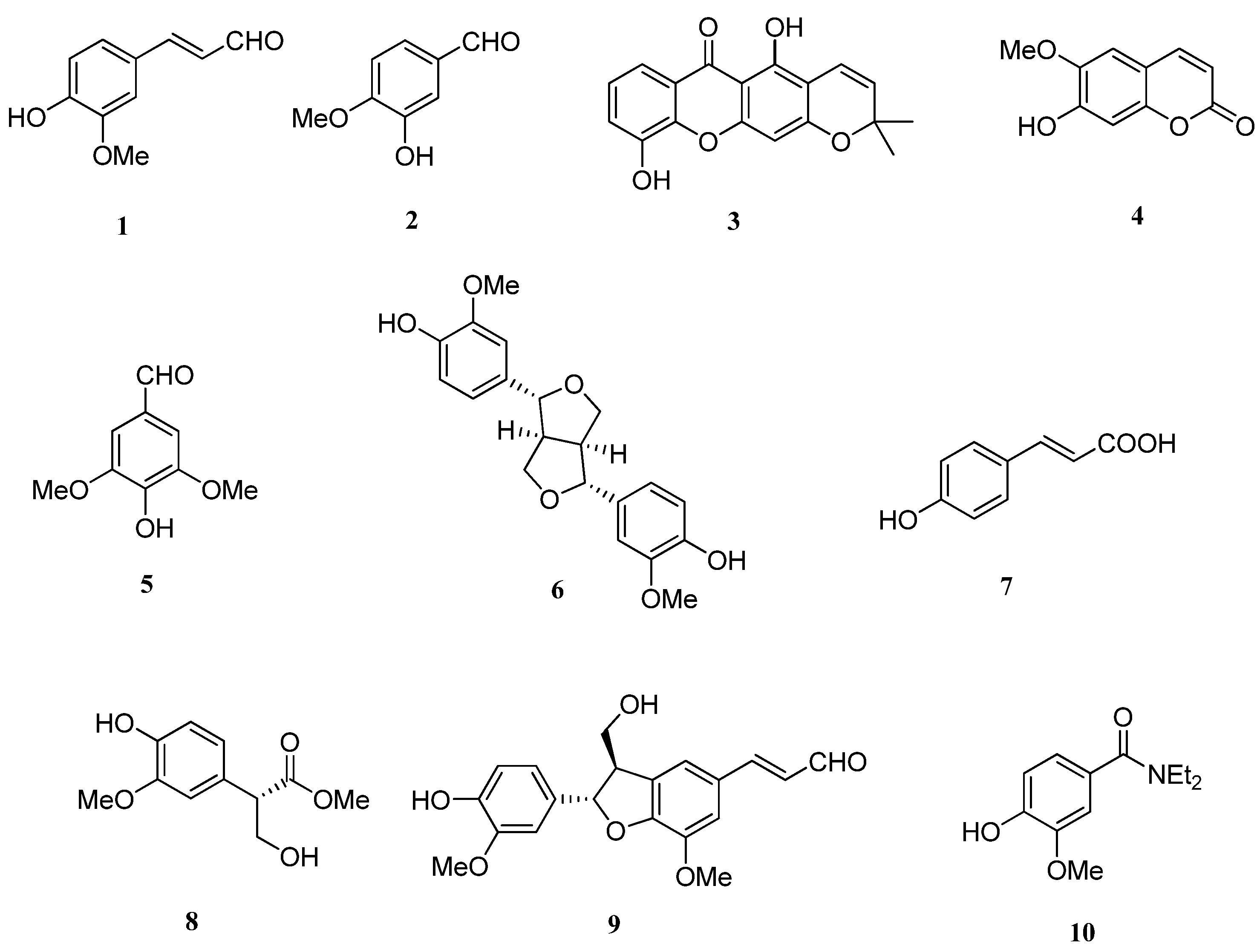
2.2. Structural Elucidation of Isolated Compounds

2.3. DPPH Scavenging Capacities
2.4. ABTS Free Radical Scavenging Assay
| Test materials | Antioxidant activity | Total phenolics (GAE g/g extract) | |
|---|---|---|---|
| DPPH˙ | ABTS·+ | ||
| PEF | 4.394 ± 0.23 | 3.353 ± 0.25 | 4.58 ± 1.35 b |
| EAF | 0.518 ± 0.20 | 0.257 ± 0.07 | 29.82 ± 1.02 a |
| BUF | 0.616 ± 0.24 | 0.345 ± 0.08 | 15.06 ± 0.26 b |
| AF | 2.667 ± 0.11 | 2.408 ± 0.22 | 6.02 ± 0.18 b |
| Conniferaldehyde (1) | 0.225 ± 0.03 | 0.046 ± 0.03 | |
| Isovanilin (2) | 4.654 ± 0.22 | 0.117 ± 0.05 | |
| 6-Deoxyjacareubin (3) | 1.058 ± 0.15 | 0.121 ± 0.05 | |
| Scopoletin (4) | 1.179 ± 0.16 | 0.053 ± 0.04 | |
| Syringaldehyde (5) | 1.572 ± 0.21 | 0.028 ± 0.02 | |
| Pinoresinol (6) | 0.200 ± 0.01 | 0.055 ± 0.05 | |
| p-Coumaric acid (7) | 1.327 ± 0.13 | 0.029 ± 0.03 | |
| Ficusol (8) | 0.259 ± 0.02 | 0.058 ± 0.04 | |
| Balanophonin (9) | 0.716 ± 0.05 | 0.199 ± 0.17 | |
| Ethamivan (10) | 0.374 ± 0.03 | 0.050 ± 0.04 | |
| Ascorbic acid | 0.100 ± 0.01 | - | |
| Trolox | - | 0.118 ± 0.01 | |
2.5. Determination of the Amount of Total Phenolics
3. Experimental
3.1. General Procedures and Reagents
3.2. Plant Materials
3.3. Extraction and Isolation of Antioxidant Compounds
3.4. Spectroscopic Data
3.5. DPPH˙ Scavenging Capacity
3.6. ABTS Free Radical Scavenging Assay
3.7. Determination of the Amount of Total Phenolics
3.8. Statistical Analyses
4. Conclusions
Acknowledgments
References and Notes
- Favaro, S.P.; Beleia, A.; Junior, N.; Waldron, K.W. The roles of cell wall polymers and intracellular components in the thermal softening of cassava roots. Food Chem. 2008, 108, 220–227. [Google Scholar] [CrossRef]
- Jansson, C.; Westerbergh, A.; Zhang, J.; Hu, A.; Sun, C. Cassava, a potential biofuel crop in (the) People’s Republic of China. Appl. Energ. 2009, 86 (Suppl. 1), S95–S99. [Google Scholar]
- Baguma, Y.; Sun, C.X.; Borén, M.; Olsson, H.; Rosenqvist, S.; Mutisya, J.; Rubaihayo, P.R.; Jansson, C. Sugar-mediated semidian oscillation of gene expression in the cassava storage root regulates starch synthesis. Plant Signal. Behav. 2008, 3, 439–445. [Google Scholar] [CrossRef]
- Buschmann, H.; Rodriguez, M.X.; Tohme, J.; Beeching, J.R. Accumulation of Hydroxycoumarins During Post-harvest Deterioration of Tuberous Roots of Cassava (Manihot esculenta Crantz). Ann. Bot. 2000, 86, 1153–1160. [Google Scholar] [CrossRef]
- Sakai, T.; Nakagawa, Y. Diterpenic stress metabolites from cassava roots. Phytochemistry 1988, 27, 3769–3779. [Google Scholar]
- Aruoma, O.I. Free radicals, oxidative stress, and antioxidants in human health and disease. J. Am. Oil Chem. Soc. 1998, 75, 199–212. [Google Scholar] [CrossRef]
- Block, G.; Langseth, L. Antioxidant vitamins and disease prevention. Food Technol. 1994, 48, 80–84. [Google Scholar]
- Giacomo, C.D.; Acquaviva, R.; Sorrenti, V.; Vanella, A.; Grasso, S.; Barcellona, M.L.; Galvano, F.; Vanella, L.; Renis, M. Oxidative and antioxidant status in plasma of runners: Effect of oral supplementation with natural antioxidants. J. Med. Food 2009, 12, 145–150. [Google Scholar] [CrossRef]
- Zhang, Z.; Liao, L.; Moore, J.; Wu, T.; Wang, Z. Antioxidant phenolic compounds from walnut kernels (Juglans regia L.). Food Chem. 2009, 113, 160–165. [Google Scholar] [CrossRef]
- Vinson, J.A.; Hao, Y.; Su, X.H.; Zubik, L. Phenol antioxidant quality in foods: Vegetables. J. Agric. Food Chem. 1998, 46, 3630–3634. [Google Scholar] [CrossRef]
- Wang, H.; Cao, G.H.; Prior, L. Total antioxidant capacity of fruits. J. Agric. Food Chem. 1996, 44, 701–705. [Google Scholar] [CrossRef]
- Karakaya, S. Antioxidant activity of some foods containing phenolic compounds. Int. J. Food Sci. Nutr. 2001, 52, 501–508. [Google Scholar]
- Granato, D.; Katayama, F.C.U.; de Castro, I.A. Phenolic composition of South American red wines classified according to their antioxidant activity, retail price and sensory quality. Food Chem. 2011, 129, 366–373. [Google Scholar] [CrossRef]
- Iyer, S.; Mattinson, D.S.; Fellman, J.K. Study of the Early Events Leading to Cassava Root Postharvest Deterioration. Trop. Plant Biol. 2010, 3, 151–165. [Google Scholar] [CrossRef]
- Stoilova, L.; Krastanov, A.; Stoyanova, A.; Denev, P.; Gargova, S. Antioxidant activity of a ginger extract (Zingiber officinale). Food Chem. 2007, 102, 764–770. [Google Scholar] [CrossRef]
- Li, H.Y.; Hao, Z.B.; Wang, X.L. Antioxidant activities of extracts and fractions from Lysimachia foenum-graecum Hance. Bioresour. Technol. 2009, 100, 970–974. [Google Scholar] [CrossRef]
- Negro, C.; Tommasi, L.; Miceli, A. Phenolic compounds and antioxidant activity from red grape marc extracts. Bioresour. Technol. 2003, 87, 41–44. [Google Scholar] [CrossRef]
- Wu, Y.B.; Zheng, C.J.; Qin, L.P.; Sun, L.N.; Han, T.; Jiao, L.; Zhang, Q.Y.; Wu, J.Z. Antiosteoporotic Activity of Anthraquinones from Morinda officinalis on Osteoblasts and Osteoclasts. Molecules 2009, 14, 573–583. [Google Scholar] [CrossRef]
- Xie, H.; Zhang, H.; Zhang, J.; Xu, L.; Zou, Z. Chemical Constituents from Inula cappa. Chin. J. Nat. Med. 2007, 5, 193–196. [Google Scholar]
- Han, B.; Li, N.; Li, X. Isolation and identification of chemical constituents from Cirsium setosum (Willd.) MB. J. Shenyang Pharm. Univ. 2008, 25, 793–795. [Google Scholar]
- Li, Y.C.; Kuo, Y.H. A monoterpenoid and two simple phenols from heartwood of Ficus microcarpa. Phytochemistry 1998, 49, 2417–2419. [Google Scholar] [CrossRef]
- Ho, J.; Chen, C.; Row, L. Neolignans from the parasitic plants. Part 1. Aeginetia indica. J. Chin. Chem. Soc. 2003, 50, 1271–1274. [Google Scholar]
- Rosenthal, L.S.; Curran, E.; Bean, J.W.; Nelson, D.J. Solvent dependency of rotational barriers in ethamivan and comparison to nikethamide. Biochem. Pharmacol. 1989, 38, 581–588. [Google Scholar] [CrossRef]
- Bondet, V.; Brand-Williams, W.; Berset, C. Kinetics and Mechanisms of Antioxidant Activity using the DPPH. Free Radical Method. LWT-Food Sci. Technol. 1997, 30, 609–615. [Google Scholar] [CrossRef]
- Foti, M.C.; Daquino, C.; Geraci, C. Electron-Transfer Reaction of Cinnamic Acids and Their Methyl Esters with the DPPH• Radical in Alcoholic Solutions. J. Org. Chem. 2004, 69, 2309–2314. [Google Scholar] [CrossRef]
- Lu, Y.; Yeap Foo, L. Antioxidant and radical scavenging activities of polyphenols from apple pomace. Food Chem. 2000, 68, 81–85. [Google Scholar] [CrossRef]
- Fang, Z.; Zhang, Y.; Lü, Y.; Ma, G.; Chen, J.; Liu, D.; Ye, X. Phenolic compounds and antioxidant capacities of bayberry juices. Food Chem. 2009, 113, 884–888. [Google Scholar] [CrossRef]
- Re, R.; Pellegrini, N.; Proteggente, A.; Pannala, A.; Yang, M.; Rice-Evans, C. Antioxidant activity applying an improved ABTS radical cation decolorization assay. Free Radic. Biol. Med. 1999, 26, 1231–1237. [Google Scholar] [CrossRef]
- Chang, S.T.; Wu, J.H.; Wang, S.Y.; Kang, P.L.; Yang, N.S.; Shyur, L.F. Antioxidant activity of extracts fromAcaciaconfusa bark and heartwood. J. Agric. Food Chem. 2001, 49, 3420–3424. [Google Scholar] [CrossRef]
- Sample Availability: Samples of the compounds 4 and 9 are available from the authors.
© 2011 by the authors; licensee MDPI, Basel, Switzerland. This article is an open access article distributed under the terms and conditions of the Creative Commons Attribution license ( http://creativecommons.org/licenses/by/3.0/).
Share and Cite
Yi, B.; Hu, L.; Mei, W.; Zhou, K.; Wang, H.; Luo, Y.; Wei, X.; Dai, H. Antioxidant Phenolic Compounds of Cassava (Manihot esculenta) from Hainan. Molecules 2011, 16, 10157-10167. https://doi.org/10.3390/molecules161210157
Yi B, Hu L, Mei W, Zhou K, Wang H, Luo Y, Wei X, Dai H. Antioxidant Phenolic Compounds of Cassava (Manihot esculenta) from Hainan. Molecules. 2011; 16(12):10157-10167. https://doi.org/10.3390/molecules161210157
Chicago/Turabian StyleYi, Bo, Lifei Hu, Wenli Mei, Kaibing Zhou, Hui Wang, Ying Luo, Xiaoyi Wei, and Haofu Dai. 2011. "Antioxidant Phenolic Compounds of Cassava (Manihot esculenta) from Hainan" Molecules 16, no. 12: 10157-10167. https://doi.org/10.3390/molecules161210157
APA StyleYi, B., Hu, L., Mei, W., Zhou, K., Wang, H., Luo, Y., Wei, X., & Dai, H. (2011). Antioxidant Phenolic Compounds of Cassava (Manihot esculenta) from Hainan. Molecules, 16(12), 10157-10167. https://doi.org/10.3390/molecules161210157
