Thiazolo[3,2-a]benzimidazoles: Synthetic Strategies, Chemical Transformations and Biological Activities
Abstract
:1. Introduction

2. Synthetic Strategies
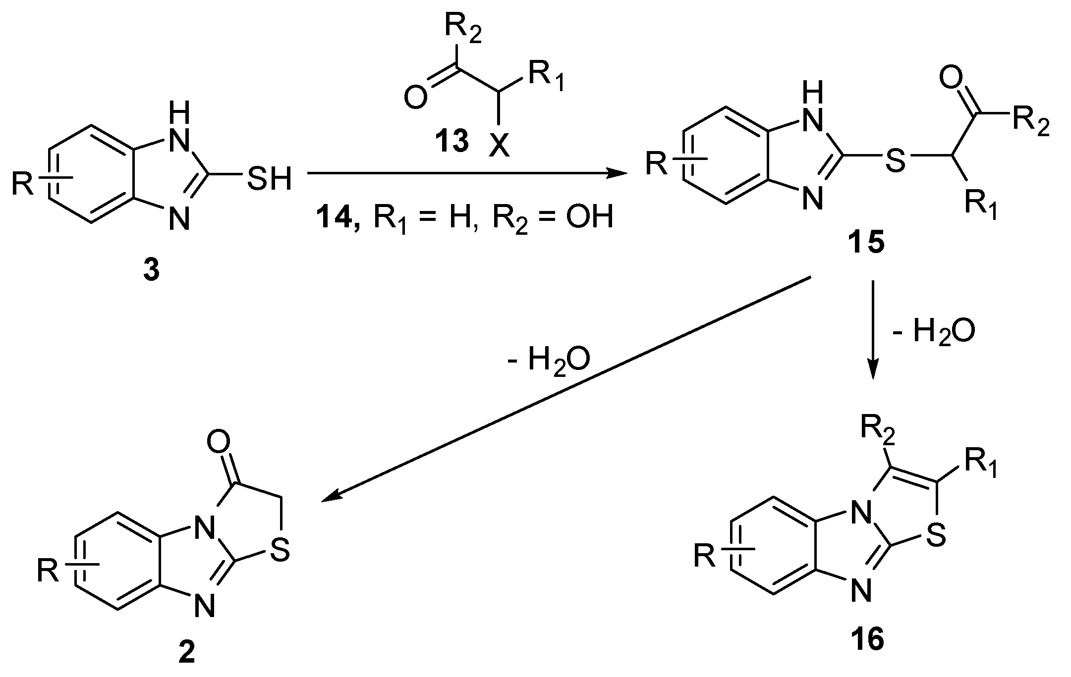
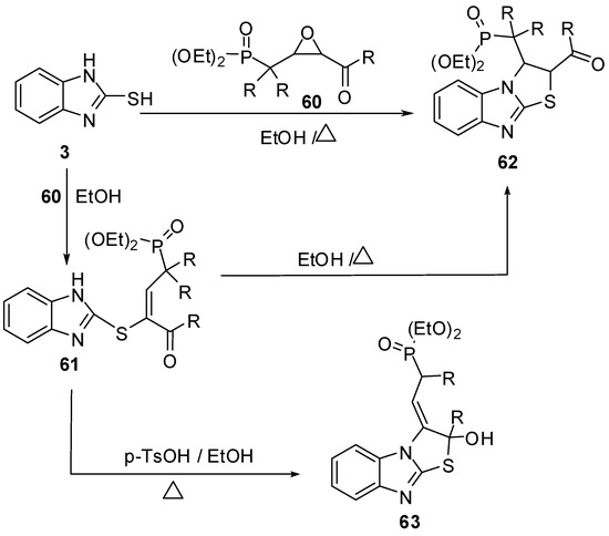
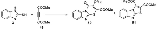
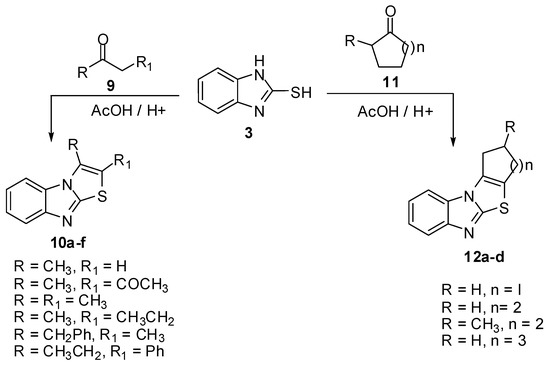
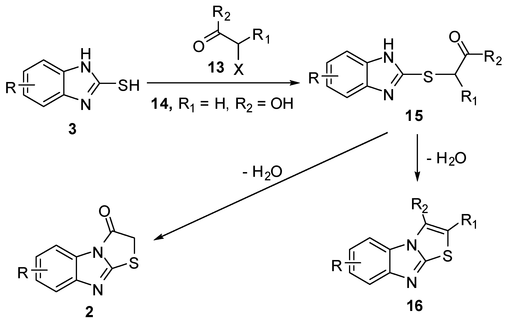
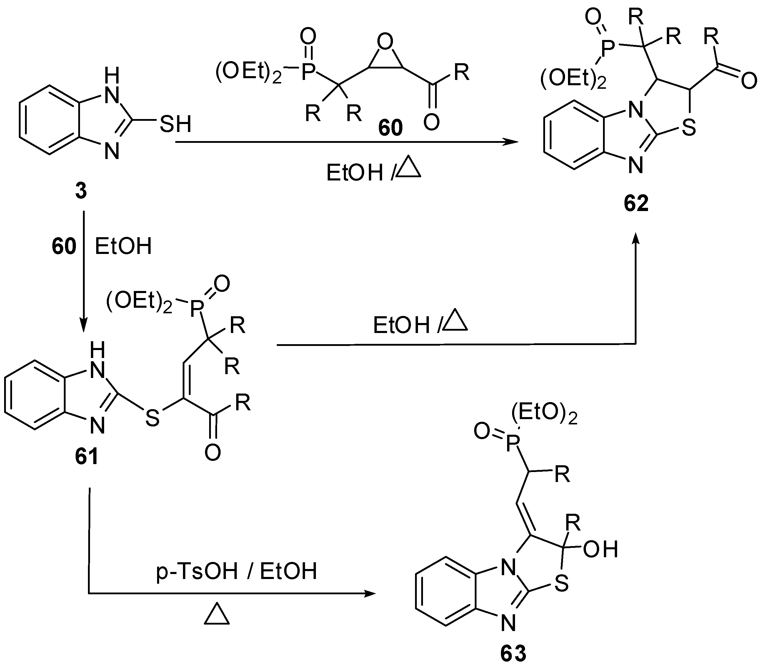
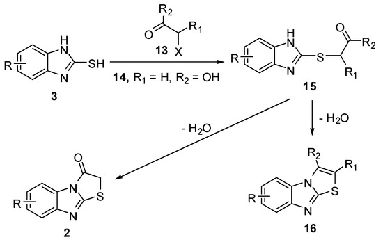
2.1. From 2-mercaptobenzimidazoles





















2.2. From 1-alkylbenzimidazoles


2.3. From 2-chlorobenzimidazoles

2.4. From 1,3-thiazoles

2.5. From other reagents
3. Chemical Transformations

3.1. Reactions of S1


3.2. Reactions of S1-C1

3.3. Reactions of S1-C9a

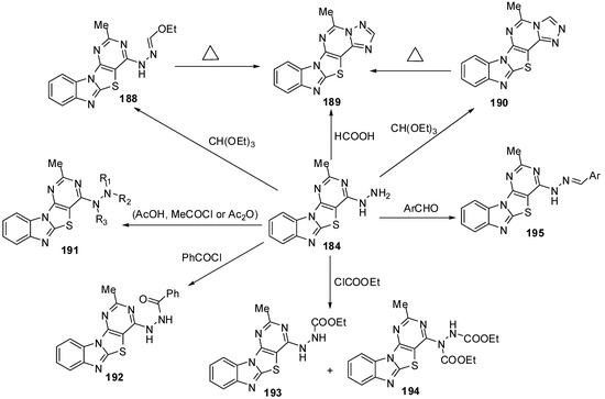
3.4. Reactions of C2
3.4.1. Reactions of 3-methylthiazolo[3,2-a]benzimidazole (10a)

3.4.2. Reactions of 1-(3-methylthiazolo[3,2-a]benzimidazol-2-yl)ethanone (10b)






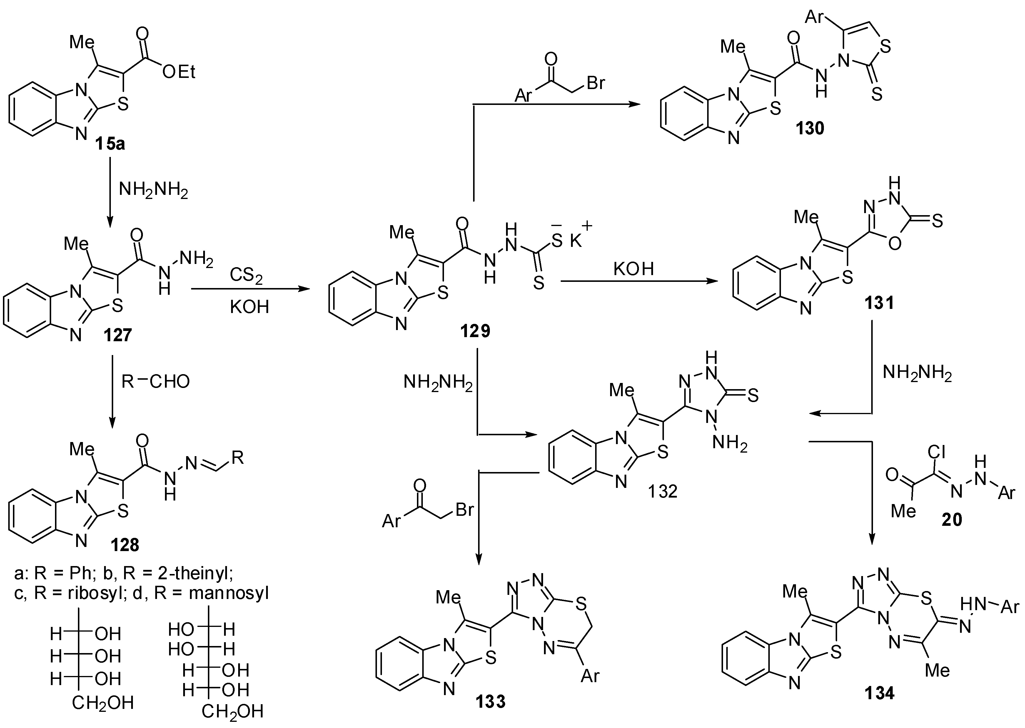
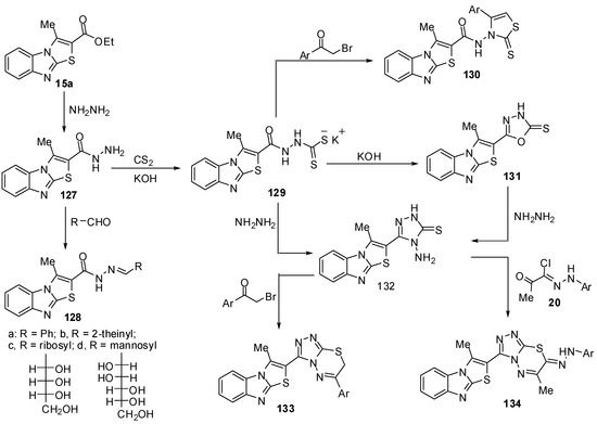
3.4.3. Reactions of ethyl 3-methyl-1,3-thiazolo[3,2-a]benzimidazole-2-carboxylate (15a)




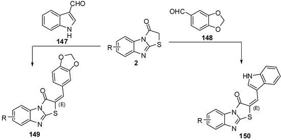
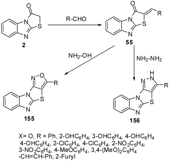
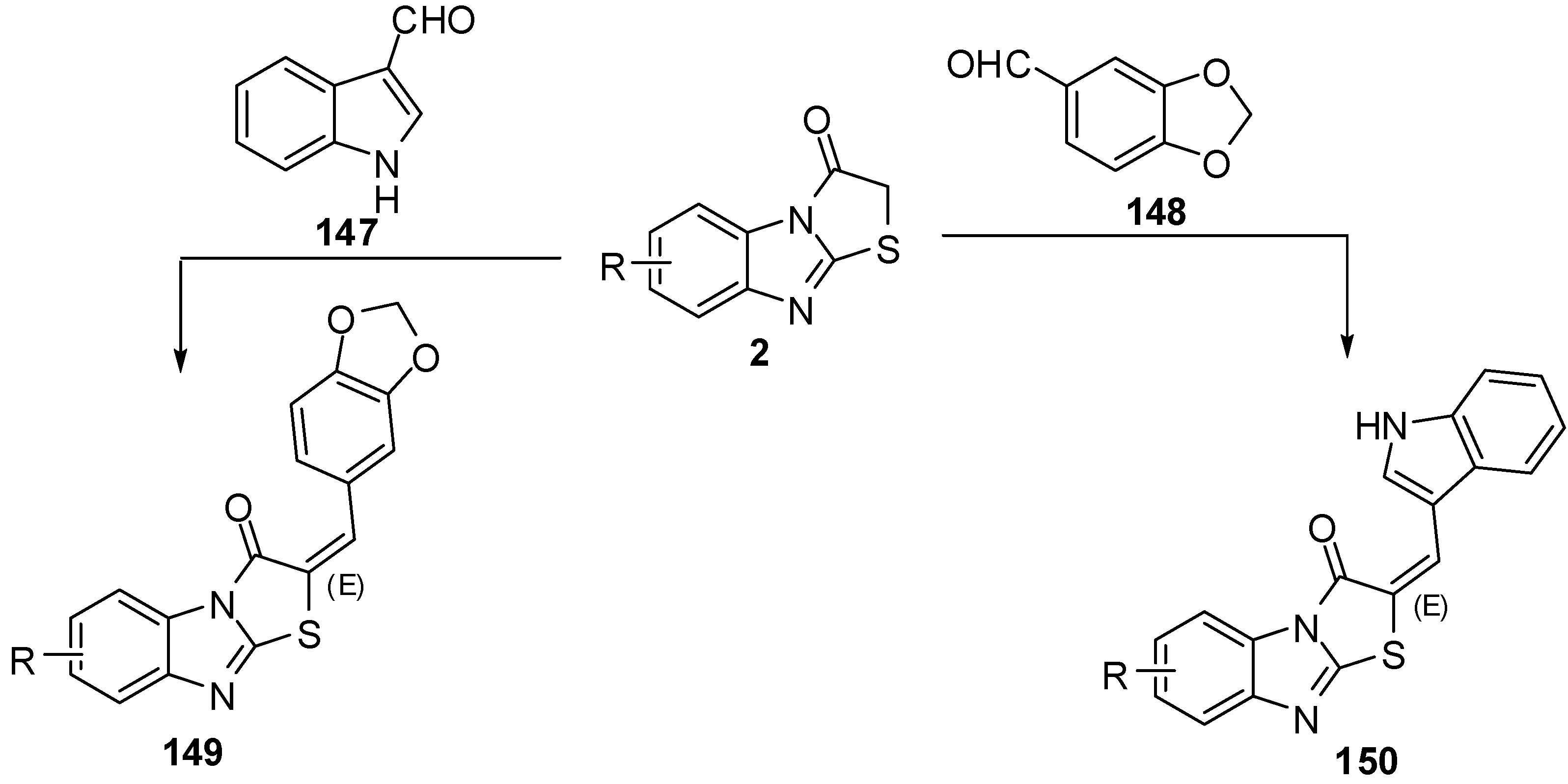
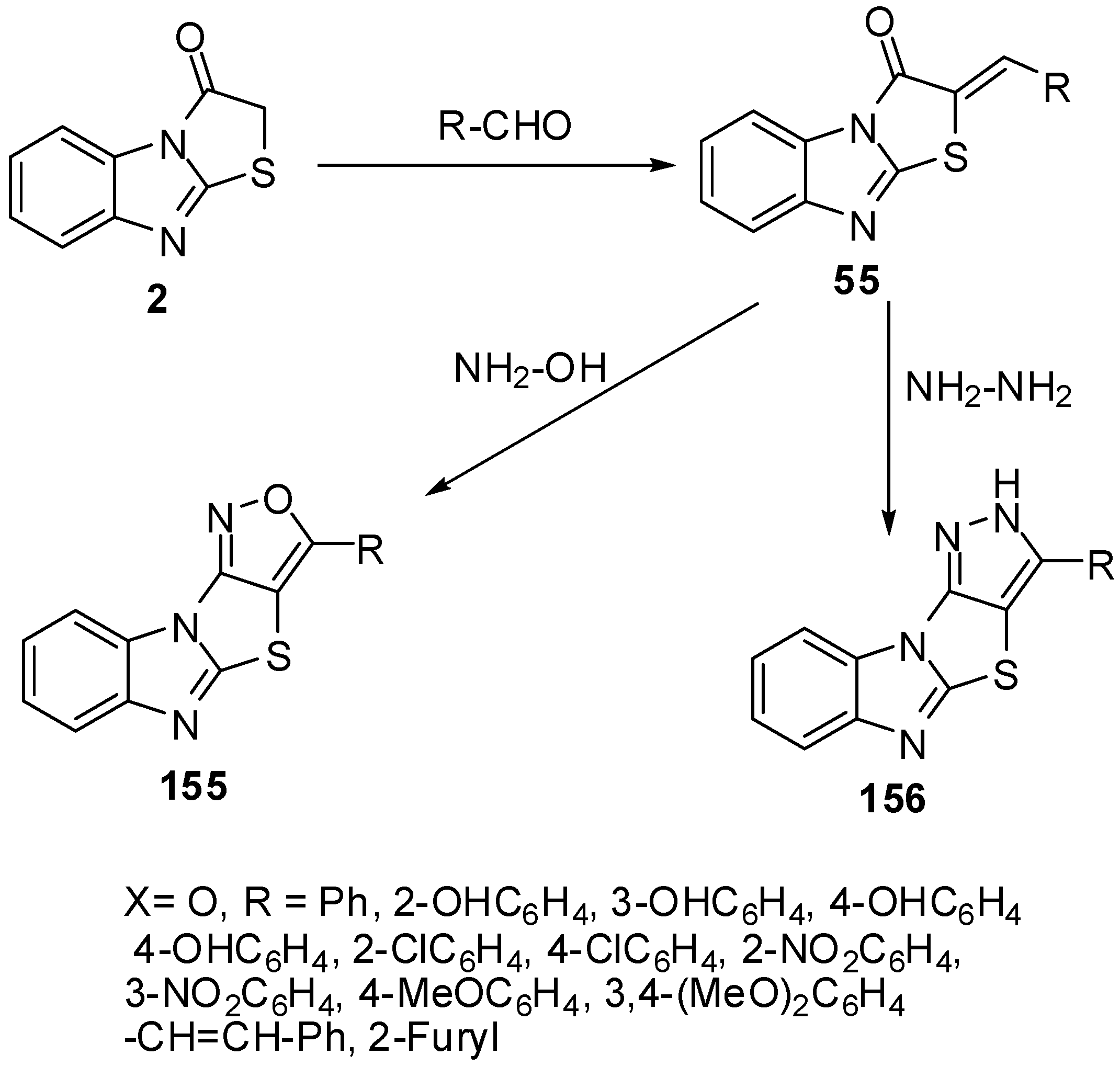
3.4.4. Reactions of thiazolo[3,2-a]bezimidazol-3(2H)ones 2









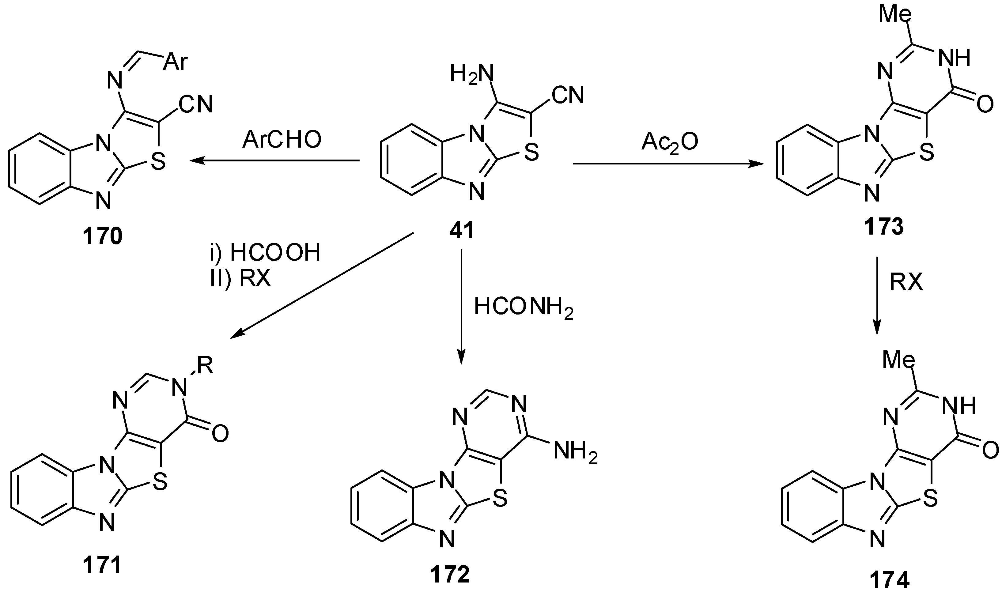
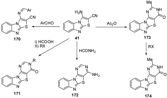
3.5. Reactions of C2-C3 [Reactions of 3-aminothiazolo[3,2-a]benzimidazol-2-carbonitrile (41)]





3.6. Reactions of C3

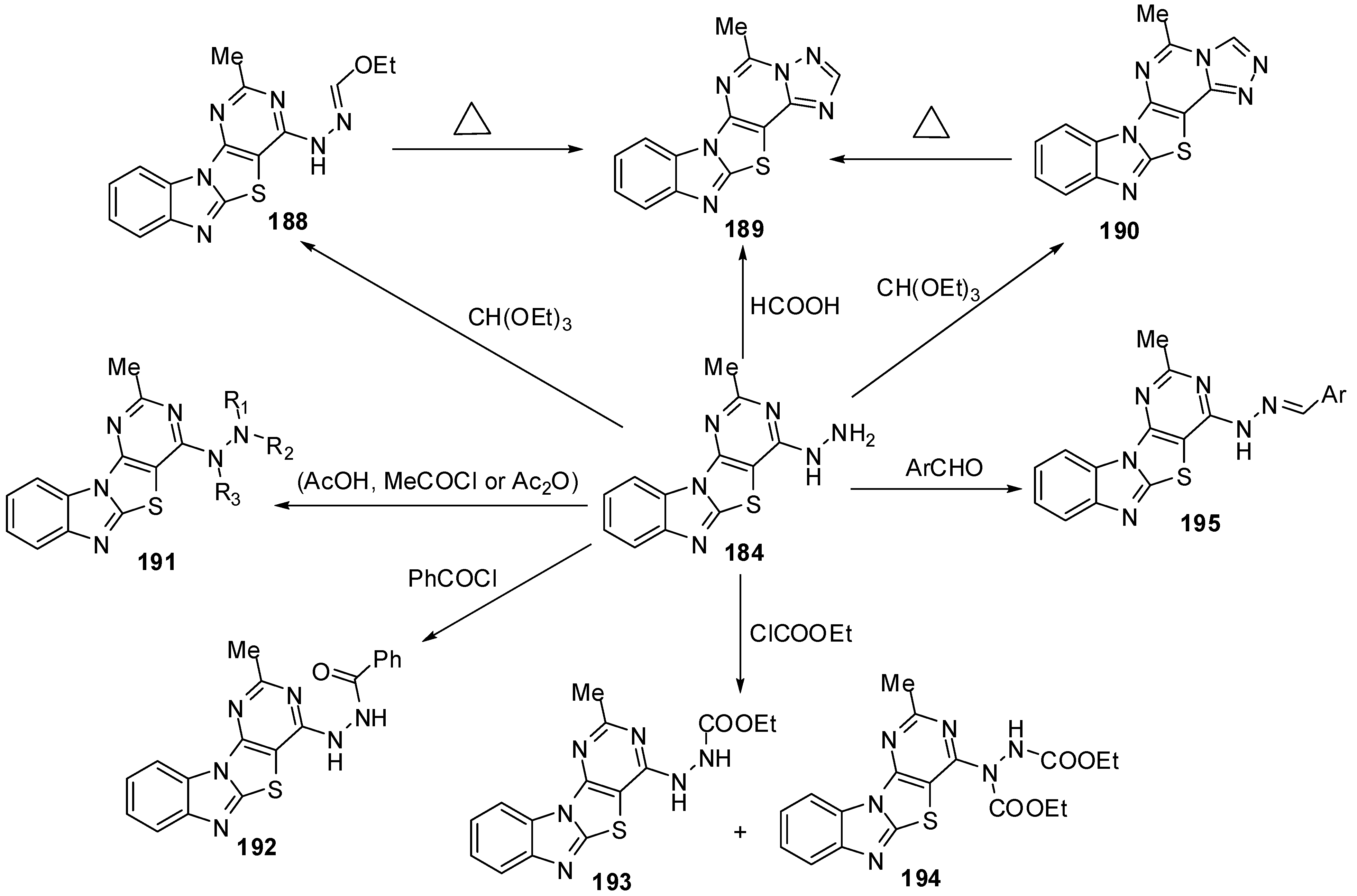
3.7. Reactions of C3-N4

3.8. Reactions of C6

3.9. Reactions of N9

3.10. Reactions of N9-C9a

4. Spectral characteristics
5. Biological Activities



6. Conclusions
References and Notes
- Stephen, H.W.; Wilson, F.J. Some thiazole derivatives. Part I. J. Chem. Soc. 1926, 2531–2538. [Google Scholar] [CrossRef]
- Kochergin, P.M.; Krasovskii, A.N. Synthesis of thiazolo[3,2-a]benzimidazole. Khimiya Geterotsiklicheskikh Soedinenii 1966, 6, 945–946. [Google Scholar]
- Alper, A.E.; Taurins, A. Thiazolo[3,2-a]benzimidazoles. Can. J. Chem. 1967, 45, 2903–2912. [Google Scholar] [CrossRef]
- Andersag, H.; Westphal, K. Über die synthese des antineuritischen vitamins. Ber. Deut. Chem. Ges. 1937, 70, 2035–2054. [Google Scholar] [CrossRef]
- Todd, A.R.; Bergel, F.; Karimullah. Über aneurin II. Mitteil über die synthese von N-arylthiazoliumsalzen; über einzelheiten in der konstitution des aneurins und thiochroms. Ber. Deut. Chem. Ges. 1936, 69, 217–223. [Google Scholar] [CrossRef]
- D’Amico, J.J.; Campbell, R.N.; Guinn, E.C. Derivatives of 3-methylthiazolo[3,2-a]benzimidazole. J. Org. Chem. 1965, 29, 865–869. [Google Scholar]
- DeStevens, G.; Halamanaris, A. Investigations in heterocycles III. Imidazo and imidazolino[2,1-b]thiazolium compounds. J. Am. Chem. Soc. 1957, 79, 5710–5711. [Google Scholar] [CrossRef]
- Rudner, B. Heterocyclic fused ring phenols. U.S. Patent 2,790,172,1957.
- Chimirri, A.; Grasso, S.; Romeo, G.; Zappala, M. Thiazolobenzimidazole. Heterocycles 1988, 27, 1975–2003 and References cited therein. [Google Scholar] [CrossRef]
- Kotovskaya, S.K.; Perova, N.M.; Baskakova, Z.M.; Remanova, S.A.; Charushin, V.N.; Chupakhin, O.N. Fluoro-containing heterocycles. IV. Synthesis of benzimidazole derivatives. Russ. J. Org. Chem. 2001, 37, 564–569. [Google Scholar] [CrossRef]
- Sarhan, A.A.O.; El-Shereif, H.A.H.; Mahmoud, A.M. A convenient one-pot synthesis of 2-benzimidazolyl-thioacetophenones and thiazolo[3,2-a]benzimidazoles. Tetrahedron 1996, 52, 10485–10496. [Google Scholar]
- Barchéchath, S.D.; Tawatao, R.I.; Corr, M.; Carson, D.A.; Cottam, H.B. Inhibitors of apoptosis in lymphocytes: Synthesis and biological evaluation of compounds related to pifithrin-α. J. Med. Chem. 2005, 48, 6409–6422. [Google Scholar] [CrossRef]
- Preakash, O.; Rani, N.; Goyal, S. Hypervalent iodine in the synthesis of bridgehead heterocycles: novel and facile syntheses of 3-substituted-5,6-dihydroimidazo[2,1-b]thiazoles and 3-phenylthiazolo[3,2-a]benzimidazole from acetophenones using [hydroxy(tosyloxy)iodo]benzene. J. Chem. Soc. Perkin Trans. 1 1992, 1, 707–710. [Google Scholar]
- Badr, M.Z.A.; Mahmoud, A.M.; Mahgoub, S.A.; Hozine, Z.A. Condensation and cyclization reactions of 2-hydrazinobenzimidazole, -benzoxazole, and -benzothiazole. Bull. Chem. Soc. Jpn. 1988, 61, 1339–1344. [Google Scholar] [CrossRef]
- Khaliulin, F.A.; Kataev, V.A.; Alekhin, E.K.; Volkova, S.S.; Nasyrov, K.M.; Strokin, Y.V. Synthesis of biologically active derivatives of xanthine and benzimidazole. Bashk. Khim. Zh. 1997, 4, 59–62, Chem. Abstr. 1998, 129, 49337m. [Google Scholar]
- Shorbagi, A.A.; Hayallah, A.A.; Omar, N.M.; Ahmed, A.N. Design and synthesis of some thiazolo[3,2-a]benzimidazole quaternary salts of potential antidiabetic activity. Bull. Pharm. Sci. Assiut. Univ. 2001, 24, 7–20, Chem. Abstr. 2002, 136, 151102n. [Google Scholar]
- Dianov, V.M.; Sibiryak, S.V.; Sadykov, R.F.; Strokin, Yu.V.; Khaibullina, S.F. Synthesis and immunotropic activity of thiazolo[3,2-a]benzimidazole derivatives. Khim. Farm. Zh. 1991, 25, 40–42, Chem.Abstr.1991, 115, 29202w. [Google Scholar]
- Rached, A.; Baziard-Mouysset, G.; Payard, M.; Bellan, J.; Bonnafous, R.; Tisne-Versailles, J.; Bories, C.; Loiseau, P.; Gayral, P. Synthèse et approche pharmacologique de nouveaux hétérocycles azotés et soufrés apparentés au fostedil. Eur. J. Med. Chem. 1992, 27, 425–429. [Google Scholar]
- Bercin, E.; Eroglu, Y.; Cakir, B. Synthesis and anthelmintic activities of some acetophenone and thiazolo[3,2-a]benzimidazole derivatives II. J. Fac. Pharm. Gazi. Univ. 1993, 10, 25–34, Chem. Abstr. 1994, 121, 9244g. [Google Scholar]
- D’Amico, J.J.; Bollinger, F.G.; Thompson, M.; Freeman, J.J.; Dahl, W.E.; Pustinger, J.V. Synthesis of heterocyclic compounds from 3-acetyl-3-chloropropyl acetate. J. Het. Chem. 1988, 25, 1193–1198. [Google Scholar] [CrossRef]
- Peseke, K.; Bohn, I. Preparation of substituted (polyhydroxyalkyl) thiazole analogs. Ger (East) DD 269,853, 1989. Chem.Abstr. 1990, 112, 119333g. [Google Scholar]
- Mohan, J.; Anjaneyulu, G.S.R. Heterocyclic systems containing bridgehead nitrogen atom: Synthesis of thiazolo[3,2-a]benzimidazol-3(2H)-ones and thiazolo[3,2-a]benzimidazoles. Indian J. Chem. 1989, 28B, 631–634. [Google Scholar]
- Koos, M. Acetylation and cyclization reactions of some imidazole derivatives containing 1,3-dicarbony system. Chem. Pap. 1994, 48, 108–110, Chem. Abstr.1995, 122, 55911r. [Google Scholar]
- Bercin, E.; Eroglu, Y.; Noyanalpan, N. Synthesis and structure elucidation of some acetophenone and thiazolo[3,2-a]benzimidazole derivatives III. J. Fac. Pharm. Gazi. Univ. 1993, 10, 93–104, Chem. Abstr. 1994, 121, 179548b. [Google Scholar]
- Pujari, H.K.; Shrma, B.R.; Dahiya, R.; Kumar, S.; Murakami, Y.; Tani, M. Heterocyclic systems containing bridgehead nitrogen atoms. Part LXVIII. Reaction of 5-fluorobenzimidazolyl-2-thione with chloroacetic acid: studies of orientation of cyclization in the syntheses of 6-fluoro- and 7-fluorothiazolo[3,2-a]benzimidazol-3(2-H)-ones. J. Flu. Chem. 1990, 46, 343–355. [Google Scholar] [CrossRef]
- Dahiya, R.; Pujari, H.K. Heterocyclic systems containing bridgehead nitrogen atom: Part LXVI. Studies of orientation of cyclization in the synthesis of 8-fluorothiazolo[3,2-a]benzimidazol-3(2H)one. J. Flu. Chem. 1989, 42, 245–255. [Google Scholar] [CrossRef]
- Pujari, H.K.; Murakami, Y.; Watanabe, T. Cyclization of [(5-bromo-2-benzimidazolyl)thio]acetic acid. Indian J. Chem. 1989, 28(B), 90–91. [Google Scholar]
- Dianov, V.M.; Zeleev, K.M.; Enikeev, D.A.; Timirkhanova, L.V. Reaction of mercaptoazoles with chloroacetopropyl acetate. Bashk. Khimi. Zh. 2004, 11, 32–33, Chem. Abstr. 2005, 143, 7639v. [Google Scholar]
- Abdelhamid, A.O.; Metwally, N.H.; Bishai, N.S. Reactions with hydrazonoyl halides. Part XXIX. Synthesis of some new 1,2,4-triazolo[4,3-a]benzimidazole, thiazolo[3,2-a]benzimidazole, and unsymmetrical azine derivatives. J. Chem. Res. 2000, (S), 462–463, (M), 1144-1154. [Google Scholar]
- Abdel-Mohdy, F.A.; Abdelhamid, A.O. Reactions with hydrazidoyl halides VIII: Synthesis of thiazolo[3,2-a]benzimidazoles, imidazo[2,1-b]thiazoles and imidazo[2,1-b]benzthiazoles. Arch. Pharm. Res. 1992, 15, 9–13. [Google Scholar] [CrossRef]
- Abdelhamid, A.O.; Attaby, F.A. Reactions with hydrazidoyl halides. IV. Synthesis of thiazolo[3,2-a]benzimidazoles, imidazo[2,1-b]thiazoles and pyrazolo[4,3-b]thiazines. J. Het. Chem. 1991, 28, 41–44. [Google Scholar] [CrossRef]
- Abdelhamid, A.O.; Abdelmegeid, F.F.; Hassan, N.M.; Zohdi, H.F. Synthesis and reactions of 1-bromo-2-(4-cyano-5-phenyl-1-p-tolylpyrazol-3-yl)-ethananedione-1-phenylhydrazone. J. Chem. Res. 1995, (S), 942–943, (M) 3036. [Google Scholar]
- Hassan, N.M.; Abdelhamid, A.O. Coupling of organotin reagents with aryl, acyl and heteroaryl halides: synthesis of pyridazine and quinoxalne derivatives. J. Chem. Res. 1995, (S), 350–351, (M) 2422-2433. [Google Scholar]
- Backert, R.; Gruner, M. 1,3-Acyl rearrangments in the cyclization of thioureas with oxalimidoyl chlorides. An approach to interesting thiocarbonyl system. J. Prakt. Chem. 1992, 334, 611–618. [Google Scholar] [CrossRef]
- Kumar, S.; Dahiya, R.; Pujari, H.K. Heterocyclic systems containing bridgehead nitrogen atom. Part LXV. Synthesis of thiazolo- and thiazino[3,2-a]benzimidazole derivatives from 4,6-dimethylbenzimidazole-2-thione. Indian J. Chem. 1990, 29(B), 989–991. [Google Scholar]
- Sharma, B.R.; Pujari, H.K. Heterocyclic systems containing bridgehead nitrogen atom. Part LXII. Synthesis of thiazolo[3,2-a]benzimidazol-3(2H)-ones. Indian J. Chem. 1988, 27(B), 121–127. [Google Scholar]
- Shawali, A.S.; Abdallah, M.A.; Zayed, M.E.M. Regioselectivity in reactions of bis-hydrazonoyl halides with some bifunctional heterocycles. J. Chin. Chem. Soc. 2002, 49, 1035–1040. [Google Scholar]
- Dawood, K.M.; Raslan, M.A.; Farag, A.M. Synthesis of 3,3′-bi-1,2,4-Triazolo[4,5-a]- benzimidazole, 5,5′-bi-1,3,4-Thiadiazole, and Thiazolo[3,2-a]benzimidazole Derivatives. Syn. Comm. 2003, 33, 4079–4086. [Google Scholar] [CrossRef]
- Shklyarenko, A.A.; Yakovlev, V.V.; Chistokletov, V.N. Aryl 2,3-dibromopropyl sulfones in S,N-tandem heterocyclizations. New synthesis of benzimidazothiazolidines. Russ. J. Org. Chem. 2004, 40, 591–592. [Google Scholar] [CrossRef]
- Korotkikh, N.I.; Aslanov, A.F.; Raenko, G.F.; Shvaika, O.P. Halocyclization and recyclization reactions: Synthesis of thiirane, thietane, and selenetane derivatives of azolones. Rus. J. Org. Chem. 1999, 35, 730–740. [Google Scholar]
- Korotkikh, N.I.; Raenko, G.F.; Aslanov, A.F. Heterocyclization of 2-(allylthio)benzimidazoles with bromine. Zh. Org. Khim. 1996, 32, 632–640, ChemAbstr. 1997, 126, 18833d. [Google Scholar]
- Korotkikh, N.I.; Raenko, G.F.; Shvaika, O.P. Heterocyclization of 2-(allylthio)benzimidazoles into benzidazo[2,1-b]-1,3-thiazine derivatives. Khim. Geterotsikl. Soedin. 1995, 410–415, Chem. Abstr. 1995, 123, 198717p. [Google Scholar]
- Popov, I.I. Study of unsaturated derivatives of azoles II. Reaction of benzimidazol-2-thione with 1,2,3-tribromopropane. Khim. Geterotsikl. Soedin. 1994, 567–570, Chem. Abstr. 1995, 123, 339886g. [Google Scholar]
- Kim, G.D.; Avdin, V.V.; Gavrilova, L.V. Reaction of 2-alkenylthiobenzimidazoles with iodine. Chem. Heterocycl. Compd. 1997, 33, 986–988. [Google Scholar] [CrossRef]
- Slivka, N.Yu.; Gevaza, Y.I.; Staninets, V.I.; Turov, A.V. Chemoselectivity and regioselectivity in halogen cyclization reactions of substituted 2-alkenylthiobenzimidazoles. Ukrainskii. Zh. 2003, 69, 104–110, Chem. Abstr. 2004, 141, 23506p. [Google Scholar]
- Heravi, M.M.; Keivanloo, A.; Rahimizadeh, M.; Bakavoli, M.; Ghassemzadeh, M. Pd-Cu catalyzed heterocyclization during Sonogashira coupling: synthesis of 3-benzylthiazolo[3,2-a]benzimidazole. TetrahedronLett. 2004, 45, 5747–5749. [Google Scholar]
- Sarhan, A.A.O.; Hozien, Z.A.; El-Sherief, H.A.H.; Mahmoud, A.M. Cyclocondensation of novel thiazolo[3,2-a]benzimiazoles. Pol. J. Chem. 1995, 69, 1479–1483. [Google Scholar]
- Sarhan, A.A.O.; El-Sherief, H.A.H.; Mahamoud, A.M. Synthesis and reactions of 3-aminothiazolo[3,2-a]benzimidazole-2-carbonitrile. J. Chem. Res. 1996, (S), 4–5, (M)1996, 116-135. [Google Scholar]
- Chi, K.; Kim, H.; lee, W.; Park, T.; Lee, U.; Furin, G. ynthesis of novel heterocycles containing perfluoroalkyl groups:Reaction of perfluoro-2-methyl-2-pentene with 1,3-binucleophilic reagents. Bull. Korean Chem. Soc. 2002, 23, 1017–1020. [Google Scholar] [CrossRef]
- Ochiai, M.; Nishi, Y.; Hashimoto, S.; Tsuchimoto, Y.; Chen, D. Synthesis of 2,4-disubstituted thiazoles from (Z)-(2-acetoxyvinyl)phenyl-λ3-iodanes: Nucleophilic substitution of α-λ3-iodanyl ketones with thioureas and thioamides. J. Org. Chem. 2003, 68, 7887–7888. [Google Scholar] [CrossRef]
- Ochiai, M.; Tada, N. Domino Michael addition-carbene rearrangement-cyclization reaction of 1-alkynyl(aryl)-λ3-bromanes with 2-mercapto-1,3-benzazoles. Chem. Commun. 2005, 5083–5085. [Google Scholar] [CrossRef]
- El-Shaieb, K.M. Reaction of dimethyl acetylenedicarboxylate with 2-mercaptoperimidine and 2-mercaptobenzimidazole. Phosphorus, Sulfur Silicon Relat. Elem. 2006, 181, 675–681. [Google Scholar] [CrossRef]
- Thyagarajan, B.S.; Glowienka, J.A.; Nee, S. Novel synthesis of thiazolidines. Phosphorus Sulfur Silicon 1988, 39, 11–18. [Google Scholar]
- Gabillet, S.; Lecerclé, D.; Loreau, O.; Carboni, M.; Dézard, S.; Gomis, J.; Taran, F. Phosphine-catalyzed construction of sulfur heterocycles. Org. Lett. 2007, 9, 3925–3927. [Google Scholar]
- Sissouma, D.; Adjou, A.; Touré, S.A.; Zoakouma, S.; Gnon, B.; Téa, G.C. Reactivity of amidinium salts' access to benzo[4,5]imidazo[2,1-b]thiazoles. Phosphorus, Sulfur Silicon Relat. Elem. 2005, 180, 1375–1378. [Google Scholar] [CrossRef]
- Öehler, E.; Kang, H.; Zbiral, E. Regioselektive cyclisierungsreaktionen acylsubstituierter epoxyphosphosphonate mit 2-mercaptoazolen: synthesen von thiazolo[3,2-a]benzimidazol-, imidazo[2,1-b]thiazol- und thiazolo[3,2-b][1,2,4]triazol-derivaten. Chem. Ber. 1988, 121, 977–990. [Google Scholar] [CrossRef]
- Lee, K.J.; Jeong, J.U.; Choi, D.O.; Kim, S.H.; Kim, S.; Park, H. Synthesis of methoxythiazolidine fused heterocycles. Bull. Korean Chem. Soc. 1991, 12, 360. [Google Scholar]
- Korotkikh, N.I.; Raenko, G.F.; Aslanov, A.F.; Shvaika, O.P. Cyclization reactions. 31. Synthesis of 2-methyl-2-(halomethyl)benzimidazo[2,1-b]thiazolidinium salts and their transformations to N-(2-methyl-2,3-epithiopropyl)benzimidazol-2-ones. Khim Geterotsikl Soedin 1994, 706–710, Chem. Abstr.1995, 122, 265304w. [Google Scholar]
- Shvaika, O.P.; Korotkikh, N.I.; Aslanov, A.F. Recyclization reactions. New approach to synthesis of azocyclic derivatives of theitanes and selenetanes. Dokl. Akad. Nauk. Ukr. SSR 1991, 4, 112–115, Chem. Abstr. 1991, 115, 207769w. [Google Scholar]
- Khaliulin, F.A.; Katayev, V.A.; Zaks, A.S.; Terekhova, N.M.; Strokin, Y.V. Products of reaction of epithiochorohydrin with benzimidazoles: Pharmacological properties. Khim. Farm. Zh. 1993, 27, 25–26, Chem. Abstr. 1995, 122, 9937f. [Google Scholar]
- Kataev, V.A.; Spirkhin, L.V.; Khaliulin, A.N.; Gailyunas, I.A. Reaction of 2-chloro-5(6)-nitrobenzimidazole with cloromethylthiirane and isomeric composition of the products. Russ. J. Org. Chem. 2002, 38, 1507–1509. [Google Scholar]
- Roussel, C.; Andreoli, F.; Roman, M.; Hristova, M.; Vanthuyne, N. New route to 3-alkylthiazolo[3,2-a]benzimidazole derivatives. Molecules 2005, 10, 327–333. [Google Scholar] [CrossRef]
- Morel, G.; Marchand, E. Diisothiocyanates as heterodienophiles or dipolarophiles in the presence of α-thioxothioamides or mesoionic thiazoles. Heteroatom Chem. 2001, 12, 617–624. [Google Scholar] [CrossRef]
- Baird, C.L.; Griffitts, A.E.; Baffic, S.; Bryant, P.; Wolf, B.; Lutton, J.; Beradini, M.; Arvanitis, G.M. Synthesis, characterization and antitumor activity of platinum triamine complexes containing imidazothiazole ligands. Inorg. Chim. Acta 1997, 256, 253–262. [Google Scholar] [CrossRef]
- Hayashibe, S.; Kamikubo, T.; Tsukamoto, S.; Sakamoto, S. Regioselective synthesis of 6- and 7-substituted thiazol[3,2-a]benzimidazole derivatives using crystallization induced region-isomerization. Heterocycles 2004, 62, 815–819. [Google Scholar] [CrossRef]
- Slivka, N.Y.; Staninets, V.I.; Yu, I.; Gevaza, A.V. Ukrainskii Khimicheskii Zh. 2004, 70, 108, Chem. Abstr. 2004, 141, 295958x.
- Abdel-Aziz, H.A.; El-Zahabi, H.S.A.; Dawood, K.M. Regioselective synthesis and in-vitro anti-tumor activity of 1,3,4-triaryl-5-N-arylpyrazole-carboxamides. Eur. J.Med. Chem. 2010, 45, 2427–2432. [Google Scholar] [CrossRef]
- Abe, N.; Fujii, H.; Kakehi, A.; Shiro, M. Revised structures, 1-methylene-1H-[1,4]thiazino[4,3-a]-benzimidazole and 10-methylene-10H-imidazo[2,1-c][1,4]-benzothiazine derivatives, for the cycloadducts accompanying rearrangement from imidazo[2,1]benzothiazole and thiazolo[3,2-a]benzimidazole derivatives with propiolic esters. J. Chem. Res. 1999, (S), 322–323. [Google Scholar]
- Pattanaik, J.M.; Pattanaik, M.; Bhatta, D. Synthesis of some new Mannich bases and their fungicidal activities. Indian. J. Het. Chem. 1998, 8, 75–76. [Google Scholar]
- Abdel-Aziz, H.A.; Hamdy, N.A.; Farag, A.M.; Fakhr, I.M.I. Synthesis of some novel pyrazolo[1,5-a]pyrimidine, 1,2,4-triazolo[1,5-a]pyrimidine, pyrido[2,3-d]pyrimidine, pyrazolo[5,1-c]-1,2,4-triazine and 1,2,4-triazolo[5,1-c]-1,2,4-triazine derivatives incorporating a thiazolo[3,2-a]benzimidazole moiety. J. Het. Chem. 2008, 45, 1. [Google Scholar] [CrossRef]
- Abdel-Aziz, H.A.; Saleh, T.S.; El-Zahabi, H.S.A. Facile synthesis and in-vitro anti-tumor activity of some pyrazolo[3,4-b]pyridines and pyrazolo[1,5-a]pyrimidines linked to thiazolo[3,2-a]benzimidazole moiety. Arch. Pharm. 2010, 343, 24–30. [Google Scholar]
- Farag, A.M.; Dawood, K.M.; Abdel-Aziz, H.A.; Hamdy, N.A.; Fakhr, I.M.I. Synthesis of some isoxazole, pyrazole, pyrimidine, pyran and benzo/naphto[b]furan derivatives incorporating thiazolo[3,2-a]benzimidazole nucleus. Het. Chem. 2010. submitted. [Google Scholar]
- Abdel-Aziz, H.A.; Hamdy, N.A.; Gamal-Eldeen, A.M.; Fakhr, I.M.I. Synthesis of new 2-substituted 6-bromo-3-methylthiazolo[3,2-a]benzimidazole derivatives and their biological activities. Z.Naturforsch. C 2010, in press. [Google Scholar]
- Hamdy, N.A.; Abdel-Aziz, H.A.; Farag, A.M.; Fakhr, I.M.I. Synthesis of some 1,3-thiazole, 1,3,4-thiadiazole, pyrazolo[5,1-c]-1,2,4-triazine, and 1,2,4-Triazolo[5,1-c]-1,2,4-triazine derivatives based on the thiazolo[3,2-a]benzimidazole moiety. Monatsh. Chem. 2007, 138, 1001–1010. [Google Scholar] [CrossRef]
- Abdel-Aziz, H.A.; Hamdy, N.A.; Farag, A.M.; Fakhr, I.M.I. Synthesis and reactions of 3-methylthiazolo[3,2-a]benzimidazole-2-carboxylic acid hydrazide: Synthesis of some new pyrazole, 1,3-thiazoline, 1,2,4-triazole and 1,2,4-triazolo[3,4-b]-1,3,4-thiadiazine derivatives pendant to thiazolo[3,2-a]benzimidazole moiety. J. Chin. Chem. Soc. 2007, 54, 1573–1582. [Google Scholar]
- Abdel-Aziz, H.A.; Gamal-Eldeen, A.M.; Hamdy, N.A.; Fakhr, I.M.I. Immunomodulatory and anti-cancer activity of some novel 2-substituted-6-bromo-3-methylthiazolo[3,2-a]benzimidazole derivatives. Arch. Pharm. 2009, 342, 230–237. [Google Scholar] [CrossRef]
- Allanson, N.M.; Leslie, B.W.; Thomson, S. Preparation of benzimidazo[2,1-b]thiazolidin-2-ylmethylidine)arylbenzoates as antibacterials. Brit. U.K. Pat. Appl. GB 2,376,944, 2001. Chem. Abstr. 2003, 138, 55966t. [Google Scholar]
- Bercin, E.; Usal, M.; Noyanalpan, N. Synthesis of some new 2-(substituted benzylidene)-6-(or 7)- substituted thiazolo[3,2-a]benzimidazol-3-(2H)-one. J. Fac. Pharm. Gazi .Univ. 1993, 10, 143–151, Chem. Abstr. 1994, 121, 83176c. [Google Scholar]
- Augustin, M.; Doelling, W.; Elias, D. Reactions of thiazolo[3,2-a]benzimidazol-3-one with electrophiles. Z. Chem. 1989, 29, 206–207, Chem. Abstr. 1990, 112, 20939x. [Google Scholar]
- Mavrova, A.T.; Anichina, K.K.; Vuchev, D.I.; Tsenov, J.A.; Kondeva, M.S.; Micheva, M.K. Synthesis and antitrichinellosis activity of some 2-substituted-[1,3]thiazolo[3,2-a]benzimidazol-3(2H)-ones. Bioorg. Med. Chem. 2005, 13, 5550–5559. [Google Scholar] [CrossRef]
- Gašparová, R.; Lácová, M. Study of microwave irradiation effect on condensation of 6-R-3-formylchromones with active methylene compounds. Collec. Czechoslovak Chem. Comm. 1995, 60, 1178–1185. [Google Scholar] [CrossRef]
- Rábarová, E.; Koiš, P.; Lácová, M.; Krutošíková, A. Effect of microwave irradiation on reactions of 5-arylfuran-2-carboxaldehydes with some active methylene compounds. ARKIVOC 2004, (i), 110–122. [Google Scholar]
- Ketan, H.; Satyen, P.; Ashutosh, J.; Hansa, P. Synthesis and biological evaluation of some cyanopyridines and isoxazoles. IndianJ. Het. Chem. 2004, 13, 221–224. [Google Scholar]
- Pande, P.S.; Wadodkar, K.N. Microwave-assisted solvent-free synthesis of substituted 1,3a,4,5-tetrahydropyrazol[3,4-c]pyrazoles and benzo[4,5]imidazo-5H-thiazolo[5,4-c]2,3-dihydropyrazoles. Indian J. Het. Chem. 2007, 17, 19–22. [Google Scholar]
- Xiao-Fang, L.; Ya-Qing, F.; Da-Xin, S.; Hong-Liang, C. 4'-(2,4-Dichlorophenyl)-1'-methyl-2,3,2'',3''-tetrahydro-1H-indole-3-spiro-2'-pyrrolidine-3'-spiro-2''-(1,3-benzimidazo[2,1-b]thiazole)-2,3''-dione. Acta. Cryst. Sec. E 2003, E59, o1405–o1406. [Google Scholar]
- Mahmoud, A.M.; El-Ezbawy, S.R.; El-Sherief, H.A.H.; Sarhan, A.A.O. Synthesis of some new benzimidazoles bearing different heterocyclic moieties, part III. Rev. Roum. Chim. 1997, 42, 1155–1163. [Google Scholar]
- Sarhan, A.A.O.; Hozien, Z.A.; Mahmoud, A.M.; El-Sherief, H.A.H. Synthesis and reactions of new 4-chloro-2-methylpyrimidino[4′,5′:4,5]thiazolo[3,2-a]-benzimidazoles. Monatsh. Chem. 1997, 128, 1133–1141. [Google Scholar] [CrossRef]
- Sarhan, A.A.O. Synthesis, characterization and reactions of 4-hydrazino-2-methylpyrimidino[4',5':4,5]thiazolo[3,2-a]benzimidazole. J. Chin. Chem. Soc. 2000, 47, 1279–1286. [Google Scholar]
- Sarhan, A.A.O.; Al-Dhfyan, A.; Al-Mozaini, M.A.; Adra, C.N.; Aboul-Fadl, T. Cell cycle disruption and apoptotic activity of 3-aminothiazolo[3,2-a]benzimidazole-2-carbonitrile and its homologues. Eur. J. Med. Chem. 2010, 45, 2689–2694. [Google Scholar] [CrossRef]
- Davoodnia, A.; Roshani, M.; Nadim, E.S.; Bakavoli, M.; Hoseini, N.T. Microwave-assisted synthesis of new pyrimido[4',5':4,5]thiazolo[3,2-a]benzimidazol-4(3H)-one derivatives in solvent-free condition. Chin. Chem. Lett. 2007, 18, 1327–1330. [Google Scholar] [CrossRef]
- Park, Y.J.; Such, K.H.; Kang, E.C.; Yoon, H.S.; Kim, Y.H.; Kang, D.P.; Chang, M.S. Synthesis and biological activity of the new benzimidazole derivatives having a thiazolo[3,2-a]benzimidazole moiety. Korean J. Med. Chem. 1993, 3, 124–129, Chem. Abstr. 1994, 121, 9242e. [Google Scholar]
- Dianov, V.M. Synthesis and antioxidant properties of 3-methyl substituted thiazolo[3,2-a]benzimidazole. Pharm. Chem. J. 2007, 41, 308–309. [Google Scholar] [CrossRef]
- Oh, C.; Ham, Y.; Hong, S.; Cho, J. Synthesis and antibacterial activity of new 1β-methyl carbapenem having a thiazolo[3,2-a]benzimidazole moiety. Arch. Pharm. 1995, 328, 289–291. [Google Scholar] [CrossRef]
- Mavrova, A.Ts.; Anichina, K.K.; Vuchev, D.I.; Tsenov, J.A.; Denkova, P.S.; Kondeva, M.S.; Micheva, M.K. Antihelminthic activity of some newly synthesized 5(6)-(un)substituted-1H-benzimidazol-2-ylthioacetylpiperazine derivatives. Eur. J. Med. Chem. 2006, 41, 1412–1420. [Google Scholar] [CrossRef]
- Andrews, P.; Djakiew, D. Steroid homone and nonsteroidal anti-inflammatory drug (NSAID) combinations for inducing tumor cell apoptosis. PCT Int. Appl. WO 0,298,403, 2002. Chem. Abstr. 2003, 138, 11401a. [Google Scholar]
- Bakbardina, O.V.; Nurmagambetova, R.T.; Gazalieva, M.A.; Fazylov, S.D.; Temreshev, I.I. Synthesis and fungicidal activity of pseudo- thiohydatoins, their 5-arylidine derivatives, and 5-arylidine-3-β-aminothiazolid-2,4-one hhydrochlorides. Pharm. Chem. J. 2006, 40, 735–739. [Google Scholar]
- Bakbardina, O.V.; Nurmagambetova, R.T.; Gazalieva, M.A.; Fazylov, S.D.; Zhivotova, T.S. Synthesis of pseudothiohydantoins with a condensed imidazole ring and 5-arylidine derivatives and their hydrolysis. Izvestiya Natsional’noi Akademii Nauk Res-publiki Kazakhstan, Seriya Khimicheskaya 2005, 3, 86–89, Chem. Abstr. 2006, 144, 468068z. [Google Scholar]
- Chen, H.L.; Feng, Y.Q.; Li, X.F.; Wang, G. 4-(2-Chlorophenyl)-3-(2,6-dichlorophenyl)spiroisoxazoline-5,2'-benzo[4,5]imidazo[2,1-b]thiazol-3'-one dioxane hemisolvate. Acta. Crystalographica, Sec. E 2003, E59. o1128-o1129. [Google Scholar]
- Li, X.F.; Chen, H.L.; Feng, Y.Q.; Wang, G. 5'-(2-Chlorophenyl)-1'-methyl-2'',3''-dihydroindoline-3-spiro-3'-pyrrolidine-4'-spiro-2''-(1,3-benzimidazo[2,1-b]thiazole)-2,3''-dione dioxane hemisolvate. Acta. Crystalographica, Sec. E 2003, E59, o1307–o1308. [Google Scholar]
- Breemen, R.B.V.; Stogniew, M.; Fenselau, C. Characterization of acyl-linked glucuronides by electron impact and fast atom bombardment mass spectrometry. Biomed. Environ. Mass Spectro. 1988, 17, 97–103. [Google Scholar] [CrossRef]
- Perjessy, A.; Loos, D.; Perjesi, P.; Lacova, M. Investigation of transmission of substitutuent effects in 2-arylidene derivatives of cyclohexanone, tetralone, and 3-oxo-2.3-dihydro-1-thia-3a,8-diazocyclopent[a]indene by infrared spectroscopy and theoretical methods. Acta. Fac. Rerum. Nat. Univ. Comenianae Chem. 1993, 40, 33–53, Chem. Abstr. 1995, 123, 169137u. [Google Scholar]
- Venkatesan, A.M.; Mansour, T.S.; Abe, T.; Mihira, A.; Agarwal, A.; Ushirogochi, H.; Gu, Y.; Tamai, S.; Sum, F. Preparation of heterocyclic 6-alkylidene-penems as β-lactamase inhibitors for use against bacterial infections or diseases. PCT Int. Appl. WO 0,393,280, 2002. Chem. Abstr. 2003, 139, 381302u. [Google Scholar]
- Dianov, V.M.; Chikayeva, I.G.; Timirkhanova, G.A.; Strokin, Y.V.; Zarudiy, F.S.; Lifanov, V.A. Some aminomethyl derivatives of thiazoloazoles: Synthesis and pharmacological activity. Khim. Farm. Zh. 1994, 28, 21–23, Chem.Abstr. 1995, 123, 329538f. [Google Scholar]
- Yoshida, A.; Oda, K.; Tabata, K. Preparation of benzimidazole-2-thiol derivatives as k+-adenosine triphosphatase (ATPase) inhibitors. Jpn. Kokai Tokkyo Koho JP, 0,314,566, 1991. Chem. Abstr. 1991, 115, 71600z. [Google Scholar]
- Crossley, R. Preparation of 2,3-dihydrothiazolo- and thiazinobenzimidazoles as antiulcer and antihypersecretion agents. U.S. Patent 4,873,237,1989.
- Crossley, R.; Meade, P.J. Preparation and formulation of thiazolo- and thiazinobenzimidazoles as antiulcer and antihypersecretion agents. U.S. Patent 4,725,605,1988.
- Crossley, R.; Meade, P.J. Preparation of thiazolo- and thiazinobenzimidazoles as ulcer inhibitors. Brit. U.K. Pat. Appl. GB, 2,194,230, 1988. Chem.Abstr. 1988, 109, 931011m. [Google Scholar]
- Moormann, A.E.; Becker, D.P.; Flynn, D.L.; Li, H.; Vilamil, C.I. Preparation of benzimidazolylsulfinylmethyl-arylamines as (H+/K+) APTase inhibitors useful as antiviral agents. U.S. Patent 5,945,425,1999.
- Moormann, A.E.; Becker, D.P.; Flynn, D.L.; Li, H.; Vilamil, C.I. Preparation of sulphur-contaning heterocyclic (H+/K+) APTase inhibitors as antiviral agents. PCT Int. Appl. WO 9,529,897,1995. Chem. Abstr. 1996, 124, 202255b. [Google Scholar]
- Jaguelin, S.; Robert, A.; Gayral, P. Réaction des cyanoépoxydes avec le 2-mercaptobenzimidazole et la 2-aminothiazoline et évaluation biologique des produits formés. Eur. J. Med. Chem. 1991, 26, 51–57. [Google Scholar] [CrossRef]
- Whittaker, M.; Davidson, A.H.; Spavold, Z.M.; Bowles, S.A. Preparation of γ-butyrolactol ethers as platelet activating factor antagonists. PCT Int. Appl. WO 9,117,157, 1991. Chem. Abstr. 1992, 117, 26321q. [Google Scholar]
- Ao, E.; Tanaka, H.; Nakao, T.; Yamagami, K.; Fujii, A. Nicotinamide derivatives. Jpn. Kokai Tokkyo Koho JP 0,377,881, 1991. Chem Abstr. 1991, 115, 255995. [Google Scholar]
- Kovalev, G.V.; Spasov, A.A.; Bakumov, P.A.; Reshetov, M.E.; Anisimova, V.A.; Kuz''menko, T.A.; Strokin, Yu.V.; Dianov, V.M. Influence of condensed benzimidazole derivatives on gastric secretion. Pharm. Chem. J. 1990, 24, 123–127. [Google Scholar]
- Dijoseph, J.F.; Palumbo, G.J.; Crossley, R.; Santili, A.A.; Nielsen, S.T. Gastric antisecretory activity of an acid stable H+/K+ ATPase inhibitor, WY-26,769. Drug. Dev. Res. 1991, 23, 57–64. [Google Scholar] [CrossRef]
- Mavrova, A.T.; Anichina, K.K.; Vuchev, D.I. Synthesis, structure and antihelmintic activity of some novel derivatives of thiazolo[3,2-a]benzimidazole-3(2H)-one. J. Univ.Chem. Tech. Metall. 2003, 38, 251–256. [Google Scholar]
- Alcalde, E.; Perez-Garcia, L.; Dinares, I.; Frigola, J. Heterocyclic betaines. XXII. Azinium(Azolium) 4-nitrobenzimidazolate inner salts and their derivatives with several interannular spacers. Synthesis, characterization and antitrichomonal activity. Chem. Pham. Bull. 1995, 43, 493–498. [Google Scholar] [CrossRef]
- Mckee, T.D.; Suto, R.K. Pinl peptidyl prolyl isomerase-modulating compounds and methods of use in the treatment of cancer and other Pin1-associated conditions. PCT Int. Appl. WO 0,373999, 2002. Chem. Abstr. 2003, 139, 240337x. [Google Scholar]
- Itahana, H.; Okada, S.; Ohara, A.; Negoro, K.; Nozawa, S.; Kamikubo, T.; Sakamoto, S. Preparation of imidazothiazole derivatives as ligands for metabotropic glutamate receptor. Jpn. Kokai Tokkyo Koho JP 105,085, 2002. Chem.Abstr. 2002, 136, 294827p. [Google Scholar]
- Oku, T.; Kawai, Y.; Yatabe, T.; Sato, S.; Yamazaki, H.; Kayakiri, N.; Yoshihara, K. Preparation of benzimidazoles for the preventation and/or treatment of bone deseases. PCT Int. Appl. WO 9,710,219, 1997. Chem. Abstr. 1997, 126, 293352m. [Google Scholar]
- Rainsford, K.D. Effects of anti-inflammatory drugs on interleukinl-induced cartilage proteoglycan resorption in vitro: Inhibition by aurothiophosphines but no influence from perturbed eicosanoid metabolism. J. Pharm. Pharmacol. 1989, 41, 112–117. [Google Scholar] [CrossRef]
- Bercin, E.; Uysal, M. Synthesis and anthelmintic activities of some 2-benzylidenethiazolo[3,2-a]benzimidazol-3-(2H)-one derivatives I. J. Fac. Pharm. Gazi. Univ. 1993, 10, 47, Chem. Abstr. 1994, 120, 323375s. [Google Scholar]
- Liveridge, G.G.; Conzentino, P.; Cundy, K.C.; Sarpotdar, P.P. Surface-modified nonsteroidal anti-inflammatory drug (NSAID) nanoparticles. PCT Int. Appl. WO 9,325,190, 1993. Chem. Abstr. 1994, 120, 144167. [Google Scholar]
- Franson, N.M.; Snyder, D.R. Surface-modified nonsteroidal anti-inflammatory nanoparticles. PCT Int. Appl. WO 9,624,336, 1996. Chem. Abstr. 1996, 125, 230824. [Google Scholar]
- Eickhoff, W.M.; Engers, D.A.; Mueller, K.R. Nanoparticulate NSAID compositions. U.S. Patent 9,624,336,1996.
- Carlson, R.P.; Daniel, W.C.; Gregory, F.J.; Fenichel, L.R.; Gilman, S.C. Nonsteroidal Anti-Inlammatory Drugs, 2nd; Lewis, A.J., Furst, D.E., Eds.; Dekker: New York, N.Y.,USA, 1994; pp. 333–47. [Google Scholar]
- Calhoun, W.; Gilman, S.C.; Datko, L.J.; Copenhaver, T.W.; Carlson, R.P. Interaction studies of tilomisole, aspirin, and naproxen in acute and chronic inflammation with assessment of gastrointestinal irritancy in the rat. Agents Actions (Inflamm. Res.) 1992, 36, 99–106. [Google Scholar] [CrossRef]
- Dillman, R.O.; Ryan, K.P.; Dillman, J.B.; Shawler, D.L.; Maguire, R. WY 18,251 (Tilomisole), an analog of levamisole: tolerability, and immune modulating effects in cancer patients. Mol. Biother. 1992, 4, 10–14. [Google Scholar]
- Yocum, D.E. The use of immunomodulators in early rheumatoid arthritis. Semin. Arthritis Rheum. 1994, 23, 44–49. [Google Scholar] [CrossRef]
- Goodrich, K.H.; Alvarez, X.; Holcombe, R.F. Effect of levamisole on major histocompatibility complex class I expression in colorectal and breast carcinoma cell lines. Cancer 1993, 72, 225–230. [Google Scholar] [CrossRef]
- Kohara, A.; Toya, T.; Tamura, S.; Watabiki, T.; Nagakura, Y.; Shitaka, Y.; Hayashibe, S.; Kawabata, S.; Okada, M. Radioligand binding properties and pharmacological characterization of 6-amino-N-cyclohexyl-N,3-dimethylthiazolo[3,2-a]benzimidazole-2-carboxamide (YM-298198), a high-affinity, selective, and noncompetitive antagonist of metabotropic glutamate receptor type 1. J. Pharm. Exp. Ther. 2005, 315, 163–169. [Google Scholar] [CrossRef]
- Knöpfel, T. Two new non-competitive mGlu1 receptor antagonists are potent tools to unravel functions of this mGlu1 receptor subtype. Br. J. Pharmacol. 2007, 151, 723–724. [Google Scholar] [CrossRef]
- Fukunaga, I.; Yeo, C.; Batchelor, A.M. Potent and specific action of the mGlu1 antagonists YM-298198 and JNJ16259685 on synaptic transmission in rat cerebellar slices. Br. J. Pharmacol. 2007, 151, 870–876. [Google Scholar] [CrossRef]
- Hayashibe, S.; Itahana, H.; Okada, M.; Kohara, A.; Maeno, K.; Yahiro, K.; Shimada, I.; Tanabe, K.; Negoro, K.; Kamikubo, T.; Sakamoto, S. Preparation of imidazothiazole derivatives as ligands for metabotropic glutamate receptor. PCT Int. Appl. WO 059,913, 2000. Chem. Abstr. 2002, 136, 294827p. [Google Scholar]
- Cahusac, P.M.B.; Mavulati, S.C. Non-competitive mGlu1 receptor antagonists units in the rat sinus hair follicle. Neuroscience 2009, 163, 933–941. [Google Scholar] [CrossRef]
- Okada, M.; Nagakura, Y.; Kiso, T.; Toya, T.; Hayashibe, S. Remedies for neurogenic pains. PCT Int. Appl. WO 0,108,705, 2001. Chem. Abstr. 2001, 134, 141763y. [Google Scholar]
- Ohta, H.; Tanaka, T.; Sato, A.; Ohkubo, M.; Tsukamoto, N.; Mitsuya, M. Remedies for schizophrenia. PCT Int. Appl. WO 16,287, 2004. ChemAbstr. 2004, 140, 193088a. [Google Scholar]
- Itahana, H.; Fujiyasu, J.; Hayashibe, S.; Watanabe, T. Okada, M.; Toya, T. Preparation of aminomethyl-substituted thiazolobenzimidazole derivatives having metabotropic glutamate receptor activity. PCT Int. Appl. WO 0,378,441, 2002. Chem.Abstr. 2003, 139, 261301w. [Google Scholar]
- Itahana, H.; Fujiyasu, J.; Watanabe, T.; Okada, M.; Toya, T. Preparation of aminomethyl-substituted fluoro thiazolobenzimidazole derivatives with affinity for mGLuR1 receptors. PCT Int. Appl. WO 106,348, 2004. Chem. Abstr. 2005, 142, 38247z. [Google Scholar]
- Momose, S. Magnetic recording disk having thin film fluorine contaning lubricating coating. Jpn. Kokai Tokkyo Koho JP 09 115,126, 1997. Chem. Abstr. 1998, 127, 59685w. [Google Scholar]
- Ito, H. Silver halide photographic material containing hydrazine and thiazolothiazolium derivatives. Jpn. Kokai Tokkyo Koho JP, 06 258 75, 1994. Chem. Abstr. 1995, 122, 174217d. [Google Scholar]
- Harada, H.; Oka, S. Electrophotographic receptors using specific azo compound. Jpn. Kokai Tokkyo Koho JP, 05,150,523, 1993. Chem. Abstr. 1993, 119, 259520k. [Google Scholar]
- Kita, H.; Kaneko, Y.; Ikesu, S. Photographic cyan coupler with heat and moisture. Jpn. Kokai Tokkyo Koho JP, 04,260,035, 1992. Chem. Abstr. 1993, 118, 222791c. [Google Scholar]
- Sample Availability: Samples of the compounds are available from the authors.
© 2010 by the authors;
Share and Cite
Al-Rashood, K.A.; Abdel-Aziz, H.A. Thiazolo[3,2-a]benzimidazoles: Synthetic Strategies, Chemical Transformations and Biological Activities. Molecules 2010, 15, 3775-3815. https://doi.org/10.3390/molecules15063775
Al-Rashood KA, Abdel-Aziz HA. Thiazolo[3,2-a]benzimidazoles: Synthetic Strategies, Chemical Transformations and Biological Activities. Molecules. 2010; 15(6):3775-3815. https://doi.org/10.3390/molecules15063775
Chicago/Turabian StyleAl-Rashood, Khalid A., and Hatem A. Abdel-Aziz. 2010. "Thiazolo[3,2-a]benzimidazoles: Synthetic Strategies, Chemical Transformations and Biological Activities" Molecules 15, no. 6: 3775-3815. https://doi.org/10.3390/molecules15063775
APA StyleAl-Rashood, K. A., & Abdel-Aziz, H. A. (2010). Thiazolo[3,2-a]benzimidazoles: Synthetic Strategies, Chemical Transformations and Biological Activities. Molecules, 15(6), 3775-3815. https://doi.org/10.3390/molecules15063775

