Abstract
Tetrazoles remain a challenge to photochemists. Photolysis leads to cleavage of the tetrazolyl ring, may involve various photodegradation pathways and may produce a diversity of photoproducts, depending on the structure and conformational flexibility of the substituents and the possibility of tautomerism. If the photochemistry of tetrazoles is considered within the frame of synthetic applications the subject is even more challenging, since the ultimate goal is to achieve selectivity and high yield. In addition, the photoproducts must remain stable and allow isolation or trapping, in order to be used in other reactions. This review summarises the photochemical transformations of tetrazole derivatives that can be used as effective synthetic routes to other compounds.
1. Introduction
Tetrazole and its derivatives have important applications in major areas, such as medicine, agriculture and imaging technology, and are very stimulating heterocycles from an academic viewpoint. Tetrazole (CN4H2, 1, Figure 1) exhibits tautomerism [], and its nitrogen content is 80% of the total weight of the molecule, the largest percentage among stable unsubstituted heterocyclic systems. In this respect, tetrazole (1) surpasses tetrazine (2) and is inferior only to some unstable heterocyclic systems practically nonexistent in the free state, such as pentazoles (3) and pentazines (4) (structures in Figure 1).

Figure 1.
Structures of 1H-tetrazole (1), 1,2,4,5-tetrazine (2), 1H-pentazole (3) and pentazine (4).
Despite the high nitrogen content, tetrazole and most of its derivatives are relatively stable, on heating or under microwave irradiation and also in the presence of various chemical reagents (oxidants, acids, bases, alkylating agents, dienophiles, etc.). In naturally occurring molecules, the tetrazole fragment is virtually lacking. Yet, its presence in metabolic products of some protozoa was reported []. It is postulated that tetrazole, alongside other unusual polynitrogen heterocycles, may be formed under the natural conditions of other planets of the Solar system or their satellites, provided that they contain hydrocarbons and nitrogen in the composition of the atmosphere or on the surface [].
The tetrazolyl system is to the same extent unusual in structure and unique in acid-base characteristics. For instance, compared with other thermally and chemically stable azoles, tetrazoles possess abnormally high acidity and very weak basicity [,,,,,,,,,,,]. In the tetrazole ring, the four nitrogen atoms connected in succession may be involved in protolytic processes, and many physical, chemical, physicochemical, and biological properties of tetrazoles are closely related to their ability to behave as acids and bases. In fact, most medical applications of tetrazoles stem from the acidic properties of the tetrazolyl ring. The tetrazolic acid fragment, –CN4H, has similar acidity to the carboxylic acid group, –CO2H, and is almost allosteric with it, but is metabolically more stable at physiologic pH. Hence, synthetic methodologies leading to the replacement of –CO2H groups by –CN4H groups in pharmacologically active molecules are of major relevance []. The tetrazole ring is found in drugs or drug candidates with antihypertensive, antiallergic and antibiotic activity [,,], or of use as anticonvulsants [], in cancer or in AIDS treatments [,]. Tetrazoles are also used in agriculture as plant growth regulators, herbicides and fungicides [], or in photography and photoimaging as stabilizers []. Due to the high enthalpy of formation, tetrazole decomposition results in the liberation of two nitrogen molecules and a significant amount of energy. Therefore, several tetrazole derivatives have been explored as explosives, propellant components for missiles and as gas generators for air-bags in the automobile industry []. In addition, various tetrazole-based compounds have good coordination properties and are able to form stable complexes with several metal ions []. This ability is successfully used in analytical chemistry for the removal of heavy metal ions from liquids, and in chemical systems formulated for metal protection against corrosion []. Furthermore, the tetrazole ring has strong electron-withdrawing properties and, as such, tetrazolyl halides have been successfully used in synthesis as derivatising agents for the chemical modification of alcohols [,,,,,].
Tetrazoles are also particularly interesting compounds because they exhibit a very rich photochemistry. The photochemistry of matrix-isolated unsubstituted tetrazole was studied by Maier and co-workers and published in 1996 []. Upon photolysis with the 193 nm emission line of an ArF laser, rapid photocleavage of tetrazole was observed, leading to extrusion of N2 and formation of several different photoproducts, including nitrilimine (5), an HCN···NH complex (6), diazomethane (7), carbodiimide (8) and cyanamide (9) (Scheme 1). By use of different excitation wavelengths, cyanamide and carbodiimide could be accumulated as final products. This investigation also revealed, for the first time, the vibrational signature of matrix-isolated nitrilimine [].

Scheme 1.
Photodecomposition of matrix-isolated unsubstituted tetrazole.
Several tetrazole derivatives have also been studied regarding their photochemical fragmentation reactions, matrix-isolated or in solution [,,,,,,,,,,,,,,,,,,,,,,]. Results show that the photodecomposition of tetrazoles always involves cleavage of the tetrazolyl ring, leading to a variety of photoproducts. For these compounds, the structure of the substituents present in the tetrazole ring was found to strongly determine the nature of the photoproducts. Two other factors that contribute to the diversity in the photodegradation pathways and the variety of photoproducts are the possibility of tautomerism (which is associated with the presence in the molecule of labile hydrogen atoms) and the conformational flexibility of the substituents. In the case of substituted tetrazoles, tautomerism may also involve substituent groups [,,]. In general, the presence of labile hydrogen atoms (either directly linked to the tetrazole ring or belonging to the tetrazole substituents) is a source of complexity in photochemical reactions that opens additional reaction channels or allows for secondary photochemical reactions to take place concomitantly with the main primary photoprocesses [,,,,,]. When substituents are linked to the tetrazole ring, the photochemistry of the molecule can also be influenced by the their conformational flexibility, which may favour or exclude certain reaction channels [,,,,,], determining the precise nature and relative amount of the final photoproducts.
This diversity in photodegradation pathways and putative photoproducts has rendered tetrazoles a permanent challenge to photochemists. If the photochemistry of tetrazoles is considered within a frame of potential development of synthetic methodologies the task is even more challenging, since the ultimate goal is to achieve selectivity. This may be difficult, because photochemical processes often lead to mixtures of primary and secondary photoproducts.
The photochemistry of tetrazoles isolated in cryogenic inert matrices, has recently been reviewed [,]. Matrix isolation coupled to a suitable spectroscopic technique, such as FTIR, provides an excellent approach for the investigation of the photodegradation pathways, enabling the detection and charaterisation of unstable intermediates. For the range of compounds investigated, various fragmentation patterns were established (Figure 2), involving photocleavage of the formally single bonds on the heterocycle, and several photoproducts were produced on the matrix, often leading to the identification and characterization of new species [,,,,,,]. However, their isolation and extraction is difficult, and therefore these processes are not easily applicable to organic synthesis.

Figure 2.
Photodecomposition patterns observed for several tetrazole derivatives in criogenic matrices.
The photochemistry of tetrazoles in solution is a more versatile strategy for synthetic applications, since a careful choice of solvent may lead to selectivity in photodegradation pathways and increase the stability of photoproducts through solvation. An important contribution to the available data on the photochemistry of tetrazole derivatives in solution is due to the work of Quast and co-workers during the 1980s [,,,,,,]. Since then, other important contributions were added to the field, and some valuable information regarding applications of the photochemistry of tetrazoles in the development of synthetic methodologies is available in the literature. Also, recent experiments conducted in our labs indicate that cellulose induces selectivity in the photocleavage of some tetrazole derivatives.
In the past decade, new effective synthetic routes to tetrazoles were published. Of special importance in the present context is the work by Sharpless and co-workers [] on the development of efficient synthetic route to 5-substituted tetrazoles, by addition of azide to organic nitriles, catalyzed by zinc salts, in water. This review provides a summary of the photochemical transformations of tetrazole derivatives that lead to the formation of thermodynamically stable molecules, which, as such, can be used as target compounds or as building blocks in the development of new synthetic processes.
2. Photolysis of Tetrazoles as a Synthetic Tool for Easy Access to New Compounds
Most of the contributions to the available knowledge on the photochemistry of tetrazole-based compounds reported in the last three decades were directed to the investigation of the photodegradation mechanisms of these nitrogen heterocycles. Moreover, the number of publications describing synthetically valuable photochemical processes by photolysis of tetrazoles is limited, since the number of compounds likely to be isolated from the reaction medium, or trapped, after irradiation, is not particularly large. This article reviews the photochemical transformations of tetrazoles that can be used in synthetic strategies, either for the production of final targets or the preparation of intermediate compounds. Each section relates to the preparation of a particular class of compounds, by direct photolysis of tetrazole derivatives.
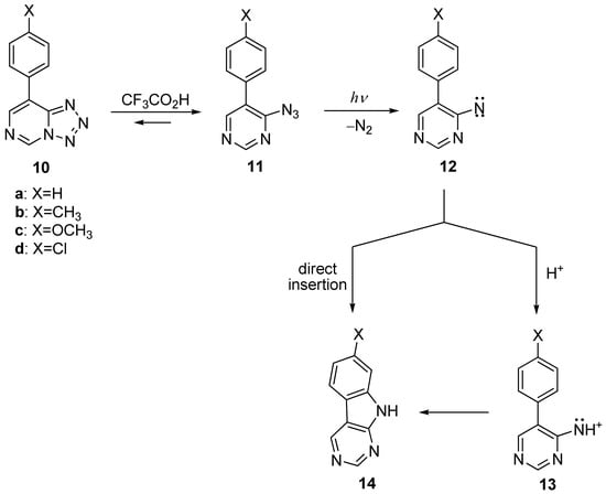
2.1. 9H-Pyrimido[4,5-b]indoles from photolysis of biaryltetrazoles
In 1972, Swenton et al. demonstrated that photolysis of biaryltetrazoles 10a-d in acidic media leads to 9H-pyrimido[4,5-b]indoles 14a-d in good to excellent yields (84–95%) ( Scheme 2) []. The authors presented a mechanistic proposal, according to which the reaction involves a shift of the tetrazole-azidoazomethine equilibration in acid media to the azide tautomer and its subsequent photolysis (16 RPR-3000-Å lamp). The initial photochemical reaction involves photoextrusion of molecular nitrogen, producing the corresponding nitrene 12, followed by nitrene insertion to produce 14. However, in the highly acidic trifluoroacetic acid, protonation would result in formation of the nitrenium ion 13, which would be most reasonably followed by cyclization and proton loss to yield 14. The authors demonstrated that substituent effects on the photolysis are negligible for the range of compounds studied, and chemical diversity may therefore be introduced.

Scheme 2.
Photolysis of 8-(p-substituted)tetrazolo[1,5-c]-pyrimidines 10a-d in trifluoro-acetic acid.
2.2. Diaziridinones from photolysis of 1,4-dialkyl-1,4-dihydro-5H-tetrazol-5-ones and 1-alkenyl-4-alkyl-1,4-dihydro-5H-tetrazol-5-ones
In 1975 Quast and Bieber described the photochemical synthesis of diaziridinone 16 from photolysis of 1,4-dimethyl-1,4-dihydro-5H-tetrazol-5-one (15) (Scheme 3) []. In the course of their investigation, the authors observed that photolysis of the thermally highly stable tetrazolone 15 in ether or 2-propanol afforded only secondary products from radical reactions of primary photoproducts with the solvent. However, when the irradiation of 15 (degassed samples at 10−5 Torr, 150 or 450 W Hg lamp) was conducted in CD3CN a single photoproduct was formed, characterized by 1H-NMR and IR as 1,2-dimethyldiaziridinone (16).

Scheme 3.
Synthesis of diaziridinone 16 from photolysis of tetrazolone 15.
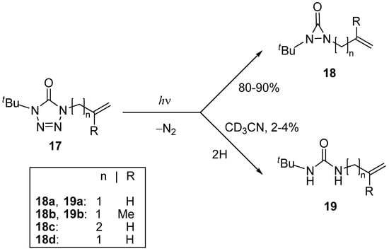
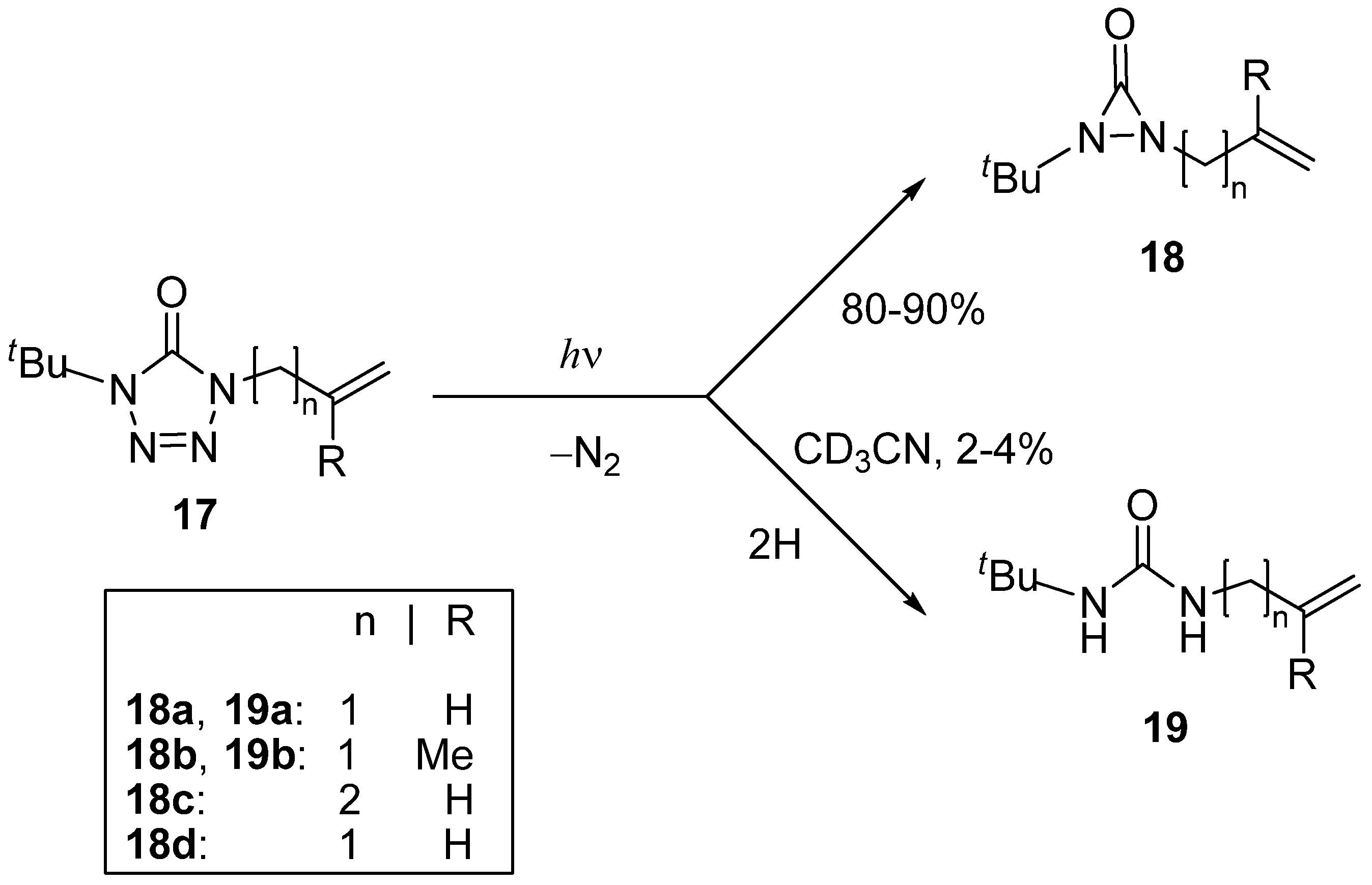
Eight years later, Quast and Nahr reported the formation of 1-alkenyl-2-alkyl-diaziridinones 18 via photoextrusion of nitrogen from 1-alkenyl-4-alkyl-1,4-dihydro-5H-tetrazol-5-ones 17a-d []. Photolysis of tetrazolones 17 (254 nm, 20 °C, degassed samples at 10−5 Torr., 150 W Hg lamp) was conducted in [D3]acetonitrile, [D12]cyclohexane and [D14]methylcyclohexane, and diaziridinones 18a-d were formed in 80–90% yield (Scheme 4), together with small amounts (<10%) of byproducts. When photolysis was performed in [D3]acetonitrile, the by-product was identified as N-alkenyl-N-alkyl urea (19), possibly resulting from hydrolysis of the primary photoproduct 18, or from its biradical precursor.

Scheme 4.
Synthesis of alkenyl-diaziridinones 18 from photolysis of tetrazolones 17.
2.3. Benzimidazolones from 1,4-dihydro-1-phenyl-5H-tetrazol-5-ones
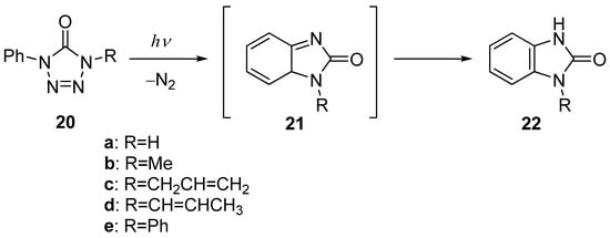
In 1985, the same researchers reported the synthesis of benzimidazolones through photolysis of 1,4-dihydro-1-phenyl-5H-tetrazol-5-ones []. In this work, the authors irradiated a series of five (N-4)substituted 1-phenyl-tetrazolones 20a-e (254 nm, 15 W Hg lamp, 20 °C) in methanol, acetonitrile or 2-propanol and observed photoextrusion of molecular nitrogen leading to benzimidazolones 22a-e as final products in nearly quantitative yields. Proposed pathway involves formation of an intermediate that subsequently cyclises to 21 (Scheme 5), then rearranges to give 22.

Scheme 5.
Synthesis of benzimidazolones 22 from photolysis of tetrazolones 20.
We have studied recently the UV-induced photochemistry (λ ≥ 235 nm) of 1-phenyltetrazolone 20a isolated in solid argon []. Under these conditions, compound 20a undergoes three different fragmentation pathways: (i) photo-induced [3+2] pericyclic molecular nitrogen elimination to give phenyldiaziridinone, which subsequently decomposes to afford isocyanic acid and cycloheptatetraene, (ii) photocleavage of the C(5)-N(1) and N(3)-N(4) bonds to yield phenylazide and isocyanic acid and (iii) photocleavage of the N(1)-N(2) and N(49-C(5) bonds to give phenylisocyanate and azide. Thus, formation of 22a was not observed in solid argon.
We have also investigated the uv-induced photochemistry (λ ≥ 235 nm) of 1-phenyl-4-allyl-tetrazolone 20c isolated in solid argon []. Under these conditions, compound 20c, undergoes three different fragmentation pathways: (i) photo-induced [3+2] pericyclic molecular nitrogen elimination to give 1-allyl-2-phenyldiaziridinone, which is subsequently converted in 1-allyl-1H-benzoimidazol-2(3H)-one 22c, (ii) photocleavage of the C(5)-N(1) and N(3)-N(4) bonds to yield phenylazide and allylisocyanate and (iii) photocleavage of the N(1)-N(2) and N(49-C(5) bonds to give phenylisocyanate and allylazide. Thus, formation of 22c was also observed in solid argon, but the process was not selective.
From the above, it appears that, unlike in solid argon, UV-induced photolysis of a range of tetrazolones in solution may occur through a sole photodegradation mechanism, if experimental conditions are carefully adjusted, affording diaziridinones or benzimidazolones, depending on the nature of the starting tetrazolones. Thus, the process is selective, and is therefore of synthetic utility.
2.4. Carbodiimides from 1,4-disubstituted-1,4-dihydro-1-phenyl-5H-tetrazol-5-thiones
In 1983, Quast and Nahr reported that photolysis of 1-allyl-4-alkyltetrazol-5-thiones 23 affords the corresponding carbodiimides 24 by photochemically induced extrusion of molecular nitrogen and sulfur []. The authors irradiated diluted degassed solutions of 1-allyl-4-alkyltetrazol-5-thiones (23; R = allyl; R’ = alkyl) in [D14]-methylcyclohexane and [D3]-acetonitrile (λ ≥ 254 nm; high pressure mercury lamp; 20 °C) and the yields of carbodiimide obtained ranged from 50 to 80% yield. Two years later, in another publication, the same researchers reported formation of carbodiimides by photolysis of 4-alkenyl-, allyl-, or vinyl-1-phenyltetrazol-5-thiones 23 []. Solvents used were [D3]-acetonitrile, [D4]-methanol and dichloromethane, and irradiation conditions were those described above (λ ≥ 254nm; high pressure mercury lamp; 20 °C). Reported yields of conversion are above 80%. When irradiations were carried out in acetonitrile, the carbodiimide was converted to the corresponding urea.
We studied the photochemistry of 5-mercapto-1-methyltetrazole in solid argon []. In this environment, photolysis leads to formation of (i) 1-methyl-1-H-diazirene-3-thiol through photo-induced elimination of molecular nitrogen, (ii) methylisothiocyanate and azide, through photo-induced cleavage of bonds N(1)-N(2) and N(4)-C(5), (iii) N-methylcarbodiimide, through simultaneous extrusion of molecular nitrogen and sulfur. Again, photochemistry of 1,4-disubstituted-1,4-dihydro-5H-tetrazol-5-thiones in solution appears to be more selective than in cryogenic matrices, occurring exclusively through pathway (iii).
2.5. Iminoaziridines and hexahydronaphthyridines from photolysis of alkylidenedihydrotetrazoles
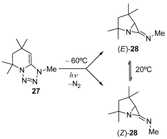
In 1998, Quast and Fuss described the synthesis of different annulated iminoaziridines by photolysis of 5-alkylidene-4,5-dihydro-1H-tetrazoles in solution []. During this study, diluted degassed solutions of alkylidenedihydrotetrazoles 25, 27 and 29 were irradiated (λ ≥ 305 or 320 nm; high pressure mercury lamp) in [D8]toluene, affording annulated-iminoaziridines with an exocyclic CN double bond, i.e. derivatives 26, 28, and 30, respectively (Scheme 7, Scheme 8 and Scheme 9) through extrusion of molecular nitrogen. Also, an equal amount of the isomer 31 with the endocyclic CN double bond is reported from 29. In addition, irradiation (λ ≥ 320 nm) of a solution of alkylidenedihydrotetrazole 32b in [D8]toluene at −60 °C afforded the hexahydronaphthyridine 33 quantitatively (Scheme 10). In a number of experiments, low temperature (−60 °C) was maintained during irradiation and recording of 1H-NMR spectra, precluding thermal (E) ↔ (Z) equilibration of the photoproducts 25, 27 and 29. Declining of the original yellow colour during irradiation indicated the disappearance of the alkylidenedihydrotetrazoles, which occurred slower at −60 °C than at 20 °C. Besides, the photolysis was monitored by NMR spectroscopy, which provided the evidence to the photoproduct structures. Some of the alkylidenedihydrotetrazoles investigated in this work were also irradiated in [D6]benzene and [D6]tetrahydrofuran. In all cases except for 25a, the conversion and the yields, determined by comparison with the internal standard t-butyl methyl ether, were higher than 95%, and no by-products were identified. Just derivative 25a formed considerable amounts of unidentified by-products, and, therefore, the yield of 26a dropped to 30–50% (see Table 1).

Scheme 7.
Synthesis of iminoaziridines 26a-b by photolysis of alkylidenedihydrotetrazoles 25a-b.

Scheme 8.
Synthesis of iminoaziridine 28 by photolysis of alkylidenedihydrotetrazole 27.

Scheme 9.
Synthesis of iminoaziridines 30 and 31 by photolysis of alkylidene-dihydrotetrazole 29.

Scheme 10.
Synthesis of hexahydronaphthyridine 33 from photolysis of alkylidenedihydrotetrazole 32b.

Table 1.
Experimental conditions and results for the photolysis of alkylidenedihydrotetrazoles 25, 27, 29 and 32. The conversions and the yields were higher than 95%, except for the cases referred on the footnotes.
2.6. 3,4-Dihydro-6-substituted-3-phenylpyrimidin-2(1H)-ones from 1,4-dihydro-1-allyl-4-phenyl-5H-tetrazol-5-ones
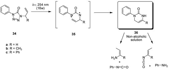
The photochemistry of 1-allyl-4-phenyltetrazolones 34a-c in solution was recently investigated by Cristiano and co-workers [,]. Solutions of compounds 34a-c were irradiated (λ = 254 nm, 16 W low-pressure Hg lamp, 25 °C) in cyclohexane, acetonitrile, methanol, 1-propanol and 1-hexanol (Scheme 11). Gas evolution from the solution was observed, corresponding to the photoeliminated molecular nitrogen. Photolysis of compounds 34a-c in cyclohexane, carbon tetrachloride and acetonitrile, resulted in formation of 3,4-dihydro-6-substituted-3-phenylpyrimidin-2(1H)-ones 36a-c as sole primary photoproducts. However, in these solvents, the photoproducts 36a-c were photochemically unstable, undergoing a rapid decomposition to afford a mixture of products identified as allyl amine and aniline (resulting from the secondary photoproducts allyl- and phenyl-azide), phenyl-, and allyl-isocyanates (Scheme 11). Photolysis of the same tetrazolones 34a-c in the protic solvents methanol, 1-propanol or 1-hexanol also led to formation of 3,4-dihydro-6-substituted-3-phenylpyrimidin-2(1H)-ones 36a-c as the sole primary photoproducts. However, in these solvents, pyrimidinones 36a-c remained photostable even after extended periods of irradiation, and no secondary photoproducts were ever detected throughout the exposure. The products are formed in nearly quantitative yields and their isolation is carried out by simple evaporation of the solvent under reduced pressure, in mild conditions.

Scheme 11.
Synthesis of 3,4-dihydro-6-substituted-3-phenylpyrimidin-2(1H)-ones 36a-c from photolysis of 4-allyl-tetrazolones 34a-c.
Mechanistically, we postulated that photoexcitation of 4-allyl-tetrazolones 34 leads to elimination of molecular nitrogen, yielding the triplet biradical intermediate 35. In a second step, this intermediate rapidly undergoes ring closure and a 1,2-migration of hydrogen to form the pyrimidinone 36, in an exothermic process. This mechanistic proposal was supported by the effect of the solvent viscosity on the photolysis quantum yields, and the sensitizing effect of the dissolved oxygen upon the photodegradation of tetrazolone, interpreted as a consequence of the T→S conversion of triplet biradicals, opening the way to the formation of the product 36. Both effects were explained by the involvement of a caged triplet radical pair. The photostability exhibited by the pyrimidinones in alcoholic solutions, as opposed to cyclohexane, acetonitrile and carbon tetrachloride, is due to an efficient solvation through strong association with solvent molecules. Pyrimidinones bear several putative atoms capable of forming hydrogen bonds with solvent molecules, as depicted in Figure 3. Product solvation would then be very efficient, through stable ‘cages’ enclosing the pyrimidinone molecules and preventing their photodecomposition. The influence of these cage effects is also related to the kinetic energy of the primary photoproducts and to the viscosity of the solvent, affecting the photolysis quantum yields. In the alcoholic solutions, the pyrimidinones have more difficulty in forming molecular fragments upon excitation due to the ‘solvent cage’, this effect increasing with the increase in alcohol viscosity. Also, the absorbed energy is more efficiently dissipated though the solvated complex. The introduction of substituents on the allylic part (e.g. phenyl in 34c) only affects the time required for complete conversion (around 5 hours for 34c, as opposed to 3 hours for compound 34a). Thus, we consider that the methodology can be applied to a wider range of 4-allyl-1-substituted tetrazolones, allowing for the introduction of chemical diversity. This methodology provides a valid access to a range of 3,4-dihydro-6-substituted-3-phenylpyrimidin-2(1H)-ones that may be stored as stable compounds after isolation.

Figure 3.
Stabilisation of pyrimidinone 36a through solvation, in alcoholic solutions.
Considering the relevance of this type of compounds in agriculture, we are now investigating the photochemistry of 1-allyl-4-aryl tetrazolones in cellulose. Results have shown that, upon irradiation (λ = 254 nm, 16 W low-pressure Hg lamp, 25 °C), compounds 34a-c undergo complete conversion into the corresponding pyrimidinones 36a-c in 1-2 minutes. Thus, the photocleavage in cellulose is selective and high yielding, affords the same photoproducts as in solution, but occurs at a much higher rate. Research is ongoing with the aim of understanding the basis of the catalytic effect exhibited by the cellulose matrix.
2.7. Oxazines from 5-allyloxy-1-aryl-1H-tetrazoles
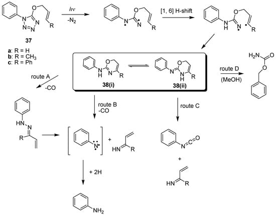
The photochemistry of 5-allyloxy-1-aryl-tetrazoles was also investigated by Cristiano and co-workers []. Compounds 37a-c were irradiated with a low-pressure mercury lamp (λ = 254 nm), in methanol, acetonitrile and cyclohexane. Photolysis of ethers 37a-c led to formation of N-phenyl-1,3-oxazines 38a-c as the sole primary photoproduct (Scheme 12), resulting from photoextrusion of molecular nitrogen. However, oxazines 38a-c could only be recovered in around 30% yield, due to their low photostability in solution. Chromatographic analysis revealed that, after a conversion of compounds 37a-c of around 30%, secondary photoproducts resulting from photodecomposition of oxazines 38a-c start to be detected (Scheme 12). Thus, oxazines may be isolated, but the yield of recovery from photolysed solutions is relatively low.

Scheme 12.
Synthesis of N-phenyl-1,3-oxazines 38a-c from photolysis of 5-allyloxy-1-aryl-tetrazoles 37a-c.
Oxazines 38a-c can adopt two tautomeric forms, depending on the position of the amino function on the molecule. The NH group can act as a bridge, connecting the oxazine and phenyl rings, or this group can be alternatively included in the oxazine ring. DFT calculations performed at the B3LYP/6-31G(d,p) level of theory were carried out for all conformers of the two tautomeric forms of oxazines, 38a and 38b. The results obtained led to the identification of two low-energy local minima when the NH group is connected to the two rings [structure 38(i)], and of three low-energy local minima when the NH function is included in the oxazine ring [structure 38(ii)]. Because of the significant energy differences between the tautomers 38(i) and 38(ii), it can be expected that the population of oxazines at 25 °C will be dominated by structures 38(i). Indeed, for all compounds 38a-c, predicted populations of forms 38(i) exceed 96%. The contribution of the minor tautomer 38(ii) to the equilibrium mixture was predicted to range from about 2 to 4%, for isolated molecules in vacuum. It is important to call attention to the fact that the total dipole moments of tautomers 38(ii) are systematically higher than those of the tautomers 38(i). Thus, it may be expected that, in polar media, forms 38(ii) will undergo additional stabilization with respect to forms 38(i), and the relative population of the minor conformer will increase. Thus, both the tautomers 38(i) and 38(ii) are relevant for further photolysis of oxazines 38a-c in solution, and the secondary photoproducts of 5-allyloxy-tetrazoles 37a-c will be formed via photodecomposition of forms 38(i) and 38(ii), as presented in Scheme 12.
Considering the importance of oxazines, and the interest in developing synthetic methodologies for their easy preparation, we are now investigating the effect of other reaction media on the photolysis of 5-allyloxy-1-aryl-tetrazoles and on the stabilization of their primary photoproducts. Specifically, we are exploring the influence of matrices such as cellulose or silica on the photolysis and stability of photoproducts.
We recently investigated the photochemistry of 5-alkoxy-1-phenyltetrazoles isolated in solid argon [,]. In this media, photolysis leads to the formation of alkylcyanate and phenylazide, resulting from photoinduced cleavage of the C(5)-N(1) and N(3)-N(4) bonds, as the major photodegradation pathway. Another photofragmentation channel also observed results from cleavage of N(1)-N(2) and N(3)-N(4) bonds, leading to photo-elimination of molecular nitrogen and formation of 3-ethoxy-1-phenyl-1H-diazirene.
2.8. Iminodiaziridines from 5-imino-4,5-dihydro-1H-tetrazoles
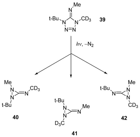
The photochemistry of 5-imino-4,5-dihydro-1H-tetrazoles 39 was recently studied []. The authors irradiated diluted degassed solutions of 5-imino-4,5-dihydro-1H-tetrazoles in [D8]-tetrahydrofuran (λ ≥ 254 nm; high pressure mercury lamp; −60 °C). The irradiation was conducted in sealed NMR tubes and the reaction monitored by NMR. Results indicated the intervention of a major photofragmentation channel leading to elimination of molecular nitrogen and formation of iminoaziridines 40-42, in yields above 80%, and a minor photofragmentation channel leading to N,N-dialkylcarbodiimide and alkyl azide. Although this procedure leads to a mixture of isomers, and there are two fragmentation pathways involved, this work is very relevant in mechanistic terms, because it brings further evidence for the involvement of singlet biradicals in photodegradation pathways of tetrazoles. The authors proposed the formation of triaza trimethylene methane diradicals as the intermediate species resulting from initial photo induced extrusion of molecular nitrogen. Biradical intermediates had already been proposed by us for the photofragmentation of 5-allyloxy-1-phenyltetrazoles and 1,4-dihydro-1-allyl-4-phenyltetrazol-5-ones in solution [,,].
3. Conclusions
Photolysis of tetrazole derivatives in solution may be an attractive synthetic methodology for the preparation of other compounds. Through a careful selection of solvent and other reaction conditions, the photofragmentation process may be tuned to grant selectivity, affording stable and synthetically useful photoproducts that may be isolated and stored, or trapped in the reaction media. A diversity of photoproducts such as 9H-pyrimido(4,5-b) indoles, diaziridinones, iminoaziridines, iminodiaziridines, carbodiimides, benzimidazolones, pyrimidinones and oxazines may be trapped, or isolated and used. It is interesting to note that, for all tetrazoles studied, the photodegration pathway in solution always leads to extrusion of molecular nitrogen. This contrasts with photochemistry in cryogenic matrices, where a plethora of pathways and photoproducts may be at play. Preliminary results for the photolysis of tetrazoles in cellulose matrices indicate that this media may be important in the development of efficient and selective synthetic strategies based on the photolysis of tetrazoles.
Acknowledgements
The authors are grateful to FCT and FEDER (Project FCT/PTDC/QUI/67674/2006 and grant SFRH/BPD/43853/2008).
References and Notes
- Bugalho, S.C.S.; Maçoas, E.M.S.; Cristiano, M.L.S.; Fausto, R. Low temperature matrix-isolation and solid state vibrational spectra of tetrazole. Phys. Chem. Chem. Phys. 2001, 3, 3541–3547. [Google Scholar] [CrossRef]
- Butler, R.N. Comprehensive Heterocyclic Chemistry, II; Pergamon: Oxford, UK, 1996; p. 621. [Google Scholar]
- Butler, R.N. Comprehensive Heterocyclic Chemistry, I; Pergamon: New York, NY, USA, 1984; p. 791. [Google Scholar]
- Catalan, J.; Abboud, J.L.M.; Elguero, J. Basicity and acidity of azoles. Adv. Het. Chem. 1987, 41, 187–274. [Google Scholar]
- Elguero, J.; Marzin, C.; Katritzky, A.R.; Linda, P. The Tautomerism of Heterocycles; Academic Press: New York, NY, USA, 1976; p. 287. [Google Scholar]
- Brigas, A.F. Tetrazoles. In Science of Synthesis, Houben-Weyl Methods of Molecular Transformations; Storr, R.C., Gilchrist, T.L., Eds.; Thieme: Stuttgard, Germany, 2004; Volume 13, pp. 861–915. [Google Scholar]
- Koldobskii, G.I.; Ostrovskii, V.A. Acid-base properties of 5-membered nitrogen-heterocycles. Khim. Get. Soed. 1988, 579–592. [Google Scholar]
- Koldobskii, G.I.; Ostrovskii, V.A. Tetrazoles. Uspek. Khim. 1994, 63, 847–865. [Google Scholar] [CrossRef]
- Koldobskii, G.I.; Ostrovskii, V.A.; Gidaspov, B.V. Tautomerism and acid-base properties of tetrazoles - review. Khim. Get. Soed. 1980, 867–879. [Google Scholar] [CrossRef]
- Koldobskii, G.I.; Ostrovskii, V.A.; Poplavskii, V.S. Advances in tetrazole chemistry. Khim. Get. Soed. 1981, 1299–1326. [Google Scholar]
- Ostrovskii, V.A.; Koren, A.O. Alkylation and related electrophilic reactions at endocyclic nitrogen atoms in the chemistry of tetrazoles. Heterocycles 2000, 53, 1421–1448. [Google Scholar]
- Katritzky, A.R.; Pozharskii, A.F. Handbook of Heterocyclic Chemistry; Pergamon/Elsevier: Amsterdam, The Netherlands, 2000; p. 377. [Google Scholar]
- Katritzky, A.R.; Karelson, M.; Harris, P.A. Prototropic tautomerism of heteroaromatic-compounds. Heterocycles 1991, 32, 329–369. [Google Scholar] [CrossRef]
- Noda, K.; Saad, Y.; Kinoshita, A.; Boyle, T.P.; Graham, R.M.; Husain, A.; Karnik, S.S. Tetrazole and carboxylate groups of angiotensin receptor antagonists bind to the same subsite by different mechanisms. J. Bio. Chem. 1995, 270, 2284–2289. [Google Scholar] [CrossRef]
- Mavromoustakos, T.; Kolocouris, A.; Zervou, M.; Roumelioti, P.; Matsoukas, J.; Weisemann, R. An effort to understand the molecular basis of hypertension through the study of conformational analysis of Losartan and Sarmesin using a combination of nuclear magnetic resonance spectroscopy and theoretical calculations. J. Med. Chem. 1999, 42, 1714–1722. [Google Scholar] [CrossRef]
- Toney, J.H.; Fitzgerald, P.M.D.; Grover-Sharma, N.; Olson, S.H.; May, W.J.; Sundelof, J.G.; Vanderwall, D.E.; Cleary, K.A.; Grant, S.K.; Wu, J.K.; Kozarich, J.W.; Pompliano, D.L.; Hammond, G.G. Antibiotic sensitization using biphenyl tetrazoles as potent inhibitors of bacteroides fragilis metallo-beta-lactamase. Chem. Biol. 1998, 5, 185–196. [Google Scholar] [CrossRef]
- Hashimoto, Y.; Ohashi, R.; Kurosawa, Y.; Minami, K.; Kaji, H.; Hayashida, K.; Narita, H.; Murata, S. Pharmacologic profile of TA-606, a novel angiotensin II receptor antagonist in the rat. J. Card. Pharm. 1998, 31, 568–575. [Google Scholar] [CrossRef]
- Desarro, A.; Ammendola, D.; Zappala, M.; Grasso, S.; Desarro, G.B. Relationship between structure and convulsant properties of some beta-lactam antibiotics following intracerebroventricular microinjection in rats. Antimicrob. Agents Chemother. 1995, 39, 232–237. [Google Scholar] [CrossRef]
- Abell, A.D.; Foulds, G.J. Synthesis of a cis-conformationally restricted peptide bond isostere and its application to the inhibition of the HIV-1 protease. J. Chem. Soc. Perkin Trans. 1 1997, 2475–2482. [Google Scholar] [CrossRef]
- Tamura, Y.; Watanabe, F.; Nakatani, T.; Yasui, K.; Fuji, M.; Komurasaki, T.; Tsuzuki, H.; Maekawa, R.; Yoshioka, T.; Kawada, K.; Sugita, K.; Ohtani, M. Highly selective and orally active inhibitors of type IV collagenase (MMP-9 and MMP-2): N-sulfonylamino acid derivatives. J. Med. Chem. 1998, 41, 640–649. [Google Scholar] [CrossRef] [PubMed]
- Sandmann, G.; Schneider, C.; Boger, P. A new non-radioactive assay of phytoene desaturase to evaluate bleaching herbicides. Z. Naturf. C (Biosciences) 1996, 51, 534–538. [Google Scholar] [CrossRef]
- Ostrovskii, V.A.; Pevzner, M.S.; Kofman, T.P.; Shcherbinin, M.B.; Tselinskii, I.V. Targets in Heterocyclic Systems: Chemistry and Properties; Societa Chimica Italiana: Rome, Italy, 1999; p. 467. [Google Scholar]
- Frija, L.M.T.; Fausto, R.; Loureiro, R.M.S.; Cristiano, M.L.S. Synthesis and structure of novel benzisothiazole-tetrazolyl derivatives for potential application as nitrogen ligands. J. Mol. Cat. A Chem. 2009, 305, 142–146. [Google Scholar] [CrossRef]
- Moore, D.S.; Robinson, S.D. Catenated Nitrogen Ligands.2. Transition-metal derivatives of triazoles, tetrazoles, pentazoles, and hexazine. Adv. Inorg. Chem. 1988, 32, 171–239. [Google Scholar]
- Araujo, N.C.P.; Barroca, P.M.M.; Bickley, J.F.; Brigas, A.F.; Cristiano, M.L.S.; Johnstone, R.A.W.; Loureiro, R.M.S.; Pena, P.C.A. Structural effects on sigmatropic shifts in heteroaromatic allyl ethers. J. Chem. Soc. Perkin Trans. 1 2002, 1213–1219. [Google Scholar]
- Araujo, N.C.P.; Brigas, A.F.; Cristiano, M.L.S.; Frija, L.M.T.; Guimaraes, E.M.O.; Loureiro, R.M.S. Heteroaromatic benzyl ethers as intermediates for palladium-catalysed transfer hydrogenolysis of benzyl alcohols. J. Mol. Cat. A Chem. 2004, 215, 113–120. [Google Scholar] [CrossRef]
- Barkley, J.V.; Cristiano, M.L.S.; Johnstone, R.A.W.; Loureiro, R.M. S. 3-(E)-but-2-enoxy-1,2-benzisothiazole 1,1-dioxide: unusual C-O-C ether bond lengths and reactivity. Acta Crystallogr. C-Cryst. Struct. Commun. 1997, 53, 383–386. [Google Scholar] [CrossRef]
- Cristiano, M.L.S.; Johnstone, R.A.W. Intramolecularity of the thermal rearrangement of allyloxytetrazoles to n-allyltetrazolones. J. Chem. Res. (S) 1997, 164–165. [Google Scholar] [CrossRef]
- Cristiano, M.L.S.; Johnstone, R.A.W. A kinetic investigation of the thermal rearrangement of allyloxytetrazoles to N-allyltetrazolones. J. Chem. Soc. Perkin Trans. 2 1997, 489–494. [Google Scholar]
- Frija, L.M.T.; Cristiano, M.L.S.; Guimaraes, E.M.O.; Martins, N.C.; Loureiro, R.M.S.; Bickley, J.F. Palladium-catalysed reduction of heteroaromatic naphthyl ethers: Structural effects on reactivity. J. Mol. Cat. A Chem. 2005, 242, 241–250. [Google Scholar] [CrossRef]
- Maier, G.; Eckwert, J.; Bothur, A.; Reisenauer, H.P.; Schmidt, C. Photochemical fragmentation of unsubstituted tetrazole, 1,2,3-triazole, and 1,2,4-triazole: First matrix-spectroscopic identification of nitrilimine HCNNH. Lieb. Annal. 1996, 1041–1053. [Google Scholar]
- Gómez-Zavaglia, A.; Reva, I.D.; Frija, L.; Cristiano, M.L.; Fausto, R. Molecular structure, vibrational spectra and photochemistry of 2-methyl-2H-tetrazol-5-amine in solid argon. J. Phys. Chem. A 2005, 109, 7967–7976. [Google Scholar] [CrossRef] [PubMed]
- Gómez-Zavaglia, A.; Reva, I.D.; Frija, L.; Cristiano, M.L.; Fausto, R. Photochemistry of 1-phenyl-tetrazolone isolated in solid argon. J. Photochem. Photobiol. A Chem. 2006, 179, 243–255. [Google Scholar] [CrossRef]
- Gómez-Zavaglia, A.; Reva, I.D.; Frija, L.; Cristiano, M.L.; Fausto, R. Molecular structure, vibrational spectra and photochemistry of 5-mercapto-1-methyltetrazole. J. Mol. Struct. 2006, 786, 182–192. [Google Scholar] [CrossRef]
- Gómez-Zavaglia, A.; Reva, I.D.; Frija, L.; Cristiano, M.L.S.; Fausto, R. Infrared spectrum and UV-induced photochemistry of matrix-isolated 5-methoxy-1-phenyl-1H-tetrazole. J. Photochem. Photobiol. A Chem. 2006, 180, 175–183. [Google Scholar] [CrossRef]
- Frija, L.M.T.; Khmelinskii, I.V.; Cristiano, M.L.S. Novel efficient synthesis of 3,4-dihydro-6-substituted-3-phenylpyrimidin-2-(1H)-ones. Tetrahedron Lett. 2005, 46, 6757–6760. [Google Scholar] [CrossRef]
- Frija, L.M.T.; Khmelinskii, I.V.; Cristiano, M.L.S. Mechanistic investigations into the photochemistry of 4-allyl-tetrazolones in solution: A new approach to the synthesis of 3,4-dihydro-pyrimidinones. J. Org. Chem. 2006, 71, 3583–3591. [Google Scholar] [CrossRef] [PubMed]
- Frija, L.M.T.; Reva, I.D.; Gómez-Zavaglia, A.; Cristiano, M.L.S.; Fausto, R. UV-induced photochemistry of matrix-isolated 1-phenyl-4-allyl-tetrazolone. Photochem. Photobiol. Sci. 2007, 6, 1170–1176. [Google Scholar] [CrossRef] [PubMed]
- Frija, L.M.T.; Reva, I.D.; Gómez-Zavaglia, A.; Cristiano, M.L.S.; Fausto, R. Photochemistry and vibrational spectra of matrix-isolated 5-ethoxy-1-phenyl-1H-tetrazole. J. Phys. Chem. A 2007, 111, 2879–2888. [Google Scholar] [CrossRef] [PubMed]
- Frija, L.M.T.; Khmelinskii, I.V.; Serpa, C.; Reva, I.D.; Fausto, R.; Cristiano, M.L.S. Photochemistry of 5-allyloxy-tetrazoles: steady-state and laser flash photolysis study. Org. Biomol. Chem. 2008, 6, 1046–1055. [Google Scholar] [CrossRef] [PubMed]
- Awadallah, A.; Kowski, K.; Rademacher, P. Gas phase thermolysis of pyrazolines.5. Electronic structure and gas phase thermolysis of tetrazole derivatives studied by photoelectron spectroscopy. J. Het. Chem. 1997, 34, 113–122. [Google Scholar] [CrossRef]
- Dunkin, I.R.; Shields, C.J.; Quast, H. The photochemistry of 1,4-dihydro-5H-tetrazole derivatives isolated in low-temperature matrices. Tetrahedron 1989, 45, 259–268. [Google Scholar] [CrossRef]
- Quast, H.; Bieber, L. Photochemical formation of methylenecyclopropane analogs.1. aziridinimines, diaziridinimines, diaziridinones, and carbodiimides by photolysis of 2-tetrazolines. Angew. Chem. Int. Ed. Engl. 1975, 14, 428–429. [Google Scholar] [CrossRef]
- Dunkin, I.R. The infrared-spectrum, light-induced infrared linear dichroism and conformational-analysis of phenyl azide in solid nitrogen at 12-K. Spectrochim. Acta Part A Mol. Biomol. Spectrosc. 1986, 42, 649–655. [Google Scholar] [CrossRef]
- Gómez-Zavaglia, A.; Reva, I.D.; Frija, L.M.T.; Cristiano, M.L.S.; Fausto, R. Photochemistry of Tetrazole Derivatives in Cryogenic Rare Gas Matrices. In Photochemistry Research Progress; Nova Publishers: New York, NY, USA, 2008; pp. 295–324. [Google Scholar]
- Gómez-Zavaglia, A.; Reva, I.D.; Frija, L.M.T.; Cristiano, M.L.S.; Fausto, R. Photochemistry of tetrazole derivatives in cryogenic rare gas matrices. Chem. Phys. Res. J. 2009, 1, 221–250. [Google Scholar]
- Quast, H.; Bieber, L. Photochemical-synthesis of methylencyclopropane analogs.5. Synthesis and photolysis of 1,4-dialkyl-1,4-dihydro-5H-tetrazol-5-ones and 1,4-dialkyl-1,4-dihydro-5H-tetrazol-5-thiones - a novel approach to diaziridinones and carbodiimides. Chem. Ber. Recl. 1981, 114, 3253–3272. [Google Scholar] [CrossRef]
- Quast, H.; Fuss, A.; Nahr, U. Photochemical formation of methylene cyclopropane analogs.11. photochemical elimination of molecular nitrogen from phenyl-substituted 1,4-dihydro-5-imino-5H-tetrazoles - products of phenyl substituted tris(imino)methane diradicals. Chem. Ber. Recl. 1985, 118, 2164–2185. [Google Scholar] [CrossRef]
- Quast, H.; Nahr, U. Photoextrusion of nitrogen from 1,4-dihydro-1-phenyl-5H-tetrazol-5-ones and 5-thiones - benzimidazolones and carbodiimides. Chem. Ber. Recl. 1985, 118, 526–540. [Google Scholar] [CrossRef]
- Quast, H. Some recent advances in the synthesis of 3-membered ring heterocycles. Heterocycles 1980, 14, 1677–1702. [Google Scholar] [CrossRef]
- Hyatt, J.A.; Swenton, J.S. Photochemistry in the tetrazole-azidoazomethine system. A facile synthesis of 9H-pyrimido[4,5-b]indoles. J. Org. Chem. 1972, 37, 3216–3220. [Google Scholar] [CrossRef]
- Quast, H.; Nahr, U. Photchemische stickstoff-eliminierung aus 1-alkenyl-4-alkyl-1,4-dihydro-5H-tetrazol-5-onen und -thionen. Diaziridinone und carbodiimide mit alkenylsubstituenten. Chem. Ber. Recl. 1983, 116, 3427–3437. [Google Scholar] [CrossRef]
- Quast, H.; Fuss, A.; Nüdling, W. Photoextrusion of molecular nitrogen from annulated 5-alkylidene-4,5-dihydro-1H-tetrazoles: Annulated iminoaziridines and the first triplet diazatrimethylenemethane. Eur. J. Org. Chem. 1998, 317–327. [Google Scholar] [CrossRef]
- Quast, H.; Bieber, L. Iminodiaziridines by regio- and stereoselective cyclization of diasterioisomeric singlet triazatrimethylenemethane diradicals generated through photolysis of 5-imino-4,5-dihydro-1H-tetrazoles. J. Org. Chem. 2008, 73, 3738–3744. [Google Scholar] [CrossRef] [PubMed]
- Demko, Z.P.; Sharpless, K.B. Preparation of 5-substituted 1H-tetrazoles from nitriles in water. J. Org. Chem. 2001, 66, 7945. [Google Scholar] [CrossRef] [PubMed]
Sample Availability: Samples of the compounds 34a-c and 37a-c are available from the authors. |
© 2010 by the authors; licensee MDPI, Basel, Switzerland. This article is an open-access article distributed under the terms and conditions of the Creative Commons Attribution license (http://creativecommons.org/licenses/by/3.0/).