Isolation and Characterization of a New Ginsenoside from the Fresh Root of Panax Ginseng
Abstract
:1. Introduction

2. Results and Discussion
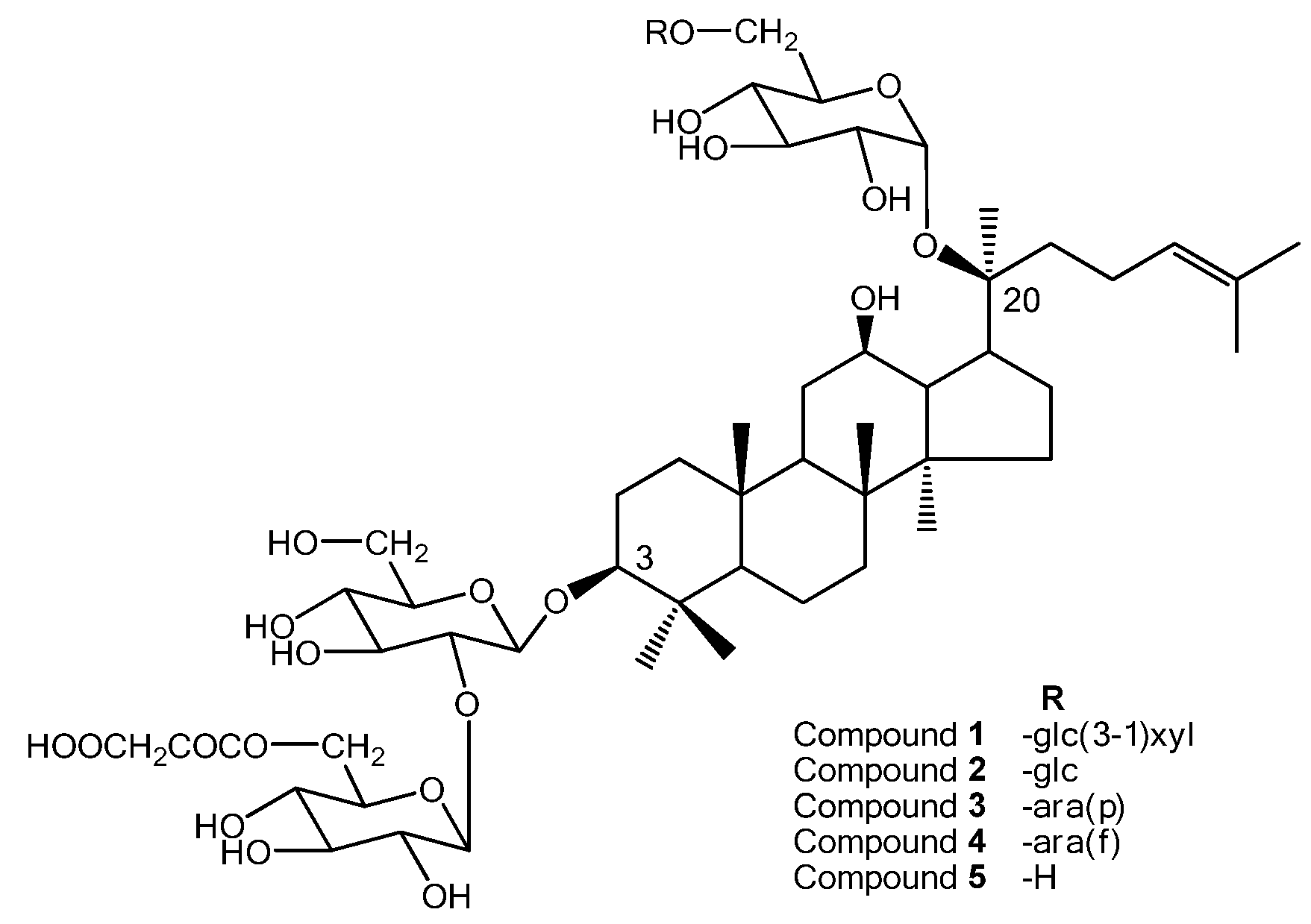
Characterization of compound 1
| 1 | 2 | 1a | 1 | 2 | 1a | ||
|---|---|---|---|---|---|---|---|
| C-1 | 40.0 | 40.1 | 39.3 | 3-Glu | |||
| C-2 | 27.7 | 27.6 | 26.7 | C-1’ | 105.5 | 105.8 | 105.0 | 
| C-3 | 90.9 | 90.7 | 89.0 | C-2’ | 85.1 | 84.8 | 83.5 | 
| C-4 | 40.6 | 40.6 | 39.6 | C-3’ | 78.5 | 78.5 | 78.0 | 
| C-5 | 57.4 | 57.4 | 56.5 | C-4’ | 72.2 | 72.2 | 71.6 | 
| C-6 | 19.4 | 19.4 | 18.4 | C-5’ | 78.5 | 78.8 | 78.0 | 
| C-7 | 36.0 | 36.0 | 35.1 | C-6’ | 63.4 | 63.4 | 62.8 | 
| C-8 | 40.9 | 41 | 40.0 | Glu | |||
| C-9 | 51.0 | 51.1 | 50.1 | C-1” | 106.3 | 106.5 | 105.9 | 
| C-10 | 37.8 | 37.8 | 36.8 | C-2” | 77.4 | 77.5 | 77.1 | 
| C-11 | 31.2 | 31.3 | 30.9 | C-3” | 79.5 | 79.4 | 79.2 | 
| C-12 | 71.0 | 70.9 | 70.1 | C-4” | 71.6 | 71.7 | 71.6 | 
| C-13 | 50.0 | 50.2 | 49.3 | C-5” | 75.7 | 75.8 | 78.0 | 
| C-14 | 52.5 | 52.4 | 51.4 | C-6” | 66.1 | 66.1 | 62.8 | 
| C-15 | 31.8 | 31.9 | 30.9 | 20-Glu | |||
| C-16 | 27.7 | 27.6 | 26.6 | C-1’ | 98.7 | 98.8 | 98.1 | 
| C-17 | 52.8 | 52.8 | 51.7 | C-2’ | 75.3 | 75.6 | 74.8 | 
| C-18 | 17.2 | 17.2 | 16.3 | C-3’ | 78.5 | 78.8 | 78.0 | 
| C-19 | 16.9 | 16.9 | 16.0 | C-4’ | 72.2 | 72.2 | 71.6 | 
| C-20 | 85.2 | 85.0 | 83.5 | C-5’ | 77.4 | 77.2 | 77.1 | 
| C-21 | 23.3 | 23.3 | 22.7 | C-6’ | 70.4 | 72 | 69.6 | 
| C-22 | 37.2 | 37.1 | 36.1 | Glu | |||
| C-23 | 24.3 | 24.2 | 23.3 | C-1” | 105.5 | 105.6 | 105.0 | 
| C-24 | 126.7 | 126.8 | 126.0 | C-2” | 74.7 | 75.6 | 74.2 | 
| C-25 | 132.8 | 132.6 | 130.8 | C-3” | 88.0 | 78.8 | 87.4 | 
| C-26 | 26.9 | 26.8 | 25.8 | C-4” | 71.7 | 72.2 | 71.3 | 
| C-27 | 19.0 | 19.0 | 17.9 | C-5” | 78.5 | 78.8 | 78.0 | 
| C-28 | 29.0 | 29.0 | 28.1 | C-6” | 63.0 | 63.4 | 62.4 | 
| C-29 | 17.5 | 17.5 | 16.5 | Xyl | |||
| C-30 | 18.3 | 18.3 | 17.3 | C-1’’’ | 106.6 | 106.2 | |
| -O-CO | 172.1 | 171.9 | C-2’’’ | 75.7 | 75.2 | ||
| CH2 | 41.9 | 41.9 | C-3’’’ | 77.4 | 77.1 | ||
| COOH | 174.6 | 174.5 | C-4’’’ | 71.2 | 70.8 | ||
| C-5’’’ | 67.8 | 67.2 | 

3. Experimental
3.1. General
3.2. Plant material
3.3. Extraction and isolation
3.4. Alkaline hydrolysis of compound 1
3.5. Acid hydrolysis of compound 1
4. Conclusion
Acknowledgements
- Sample Availability: Samples are available from the authors (contact zh.lianxue@gmail.com).
References and Notes
- Li, X.G.; Li, X.; Lei, J. Drug Discovery and Traditional Chinese Medicine: Science, Regulation, and Globalization; Kluwer Academic Publishers: Maryland, MD, USA, 2000; pp. 97–109. [Google Scholar]
- Xiang, Y.Z.; Shang, H.C.; Gao, X.M.; Zhang, B.L. A comparison of the ancient use of ginseng in traditional Chinese medicine with modern pharmacological experiments and clinical trials. Phytother. Res. 2008, 22, 851–858. [Google Scholar] [CrossRef]
- Bachran, C.; Bachran, S.; Sutherland, M.; Bachran, D.; Fuchs, H. Saponins in tumor therapy. Mini. Rev. Med. Chem. 2008, 8, 575–584. [Google Scholar]
- Yue, P.Y.; Mak, N.K.; Cheng, Y.K.; Leung, K.W.; Ng, T.B.; Fan, D.T.; Yeung, H.W.; Wong, R.N. Pharmacogenomics and the Yin/Yang actions of ginseng: anti-tumor, angiomodulating and steroid-like activities of ginsenosides. Chin. Med. 2007, 15, 6. [Google Scholar]
- Tung, N.H.; Song, G.Y.; Park, Y.J.; Kim, Y.H. Two new Dammarane-type saponins from the leaves of Panax ginseng. Chem. Pharm. Bull. 2009, 57, 1412–1414. [Google Scholar] [CrossRef]
- Sun, G.Z.; Liu, Z.; Li, X.G.; Zheng, Y.N.; Wang, J.Y. Isolation and identification of two malonyl-ginsenosides from the fresh root of Panax ginseng. Chin. J. Anal. Chem. 2005, 33, 1783–1786. [Google Scholar]
- Kitagawa, I.; Taniyama, T.; Hayashi, T.; Yoshikawa, M. Malonyl-ginsenosides Rb1, Rb2, Rc and Rd, four new malonylated dammarane-type triterpene oligosaccharides from ginseng radix. Chem. Pharm. Bull. 1983, 31, 3353–3356. [Google Scholar] [CrossRef]
- Yamaguchi, H.; Kasai, R.; Matsuura, H.; Tanaka, O.; Fuwa, T. High-performance liquid chromatographic analysis of acidic saponins of ginseng and related plants. Chem. Pharm. Bull. 1988, 36, 3468–3473. [Google Scholar] [CrossRef]
- Liu, Z.; Wang, L.J.; Li, X.; Hu, J.N.; Chen, Y.; Ruan, C.C.; Sun, G.Z. Hypoglycemic effects of malonyl-ginsenosides extracted from roots of Panax ginseng on streptozotocin-induced diabetic mice. Phytother. Res. 2009, 23, 1426–1430. [Google Scholar] [CrossRef]
- Wang, J.Y.; Li, X.G.; Zheng, Y.N.; Yang, X.W. Isoginsenoside-Rh3, a new triterpenoid saponin from the fruits of Panax ginseng C. A. Mey. J. Asian Nat. Prod. Res 2004, 6, 289–293. [Google Scholar] [CrossRef]
- Lei, J.; Li, X.; Gong, X.J.; Zheng, Y.N. Isolation, synthesis and structures of cytotoxic ginsenoside derivatives. Molecules 2007, 12, 2140–2150. [Google Scholar] [CrossRef]
- Ruan, C.C.; Zhang, H.; Zhang, L.X.; Liu, Z.; Sun, G.Z.; Lei, J.; Qin, Y.X.; Zheng, Y.N.; Li, X.; Pan, H.Y. Biotransformation of Ginsenoside Rf to Rh1 by Recombinant β-Glucosidase. Molecules 2009, 14, 2043–2048. [Google Scholar] [CrossRef]
- Matsuura, H.; Kasai, R.; Tanaka, O.; Saruwatari, Y.; Kunihiro, K.; Fuwa, T. Further studies on damarane-saponins of ginseng roots. Chem. Pharm. Bull. 1984, 32, 1188–1192. [Google Scholar] [CrossRef]
- Li, X.; Liu, Z.; Zhang, X.F.; Wang, L.J.; Zheng, Y.N.; Ruan, C.C.; Sun, G.Z. Isolation and characterization of phenolic compounds from the leaves of Salix matsudana. Molecules 2008, 13, 1530–1537. [Google Scholar] [CrossRef]
- Li, X.; Liu, Z.; Chen, Y.; Wang, L.J.; Zheng, Y.N.; Sun, G.Z.; Ruan, C.C. Rubiacordone A: A new anthraquinone glycoside from the roots of Rubia cordifolia. Molecules 2009, 14, 566–572. [Google Scholar] [CrossRef]
© 2010 by the authors; licensee Molecular Diversity Preservation International, Basel, Switzerland. This article is an open-access article distributed under the terms and conditions of the Creative Commons Attribution license (http://creativecommons.org/licenses/by/3.0/).
Share and Cite
Ruan, C.-C.; Liu, Z.; Li, X.; Liu, X.; Wang, L.-J.; Pan, H.-Y.; Zheng, Y.-N.; Sun, G.-Z.; Zhang, Y.-S.; Zhang, L.-X. Isolation and Characterization of a New Ginsenoside from the Fresh Root of Panax Ginseng. Molecules 2010, 15, 2319-2325. https://doi.org/10.3390/molecules15042319
Ruan C-C, Liu Z, Li X, Liu X, Wang L-J, Pan H-Y, Zheng Y-N, Sun G-Z, Zhang Y-S, Zhang L-X. Isolation and Characterization of a New Ginsenoside from the Fresh Root of Panax Ginseng. Molecules. 2010; 15(4):2319-2325. https://doi.org/10.3390/molecules15042319
Chicago/Turabian StyleRuan, Chang-Chun, Zhi Liu, Xiang Li, Xia Liu, Li-Juan Wang, Hong-Yu Pan, Yi-Nan Zheng, Guang-Zhi Sun, Yan-Sheng Zhang, and Lian-Xue Zhang. 2010. "Isolation and Characterization of a New Ginsenoside from the Fresh Root of Panax Ginseng" Molecules 15, no. 4: 2319-2325. https://doi.org/10.3390/molecules15042319
APA StyleRuan, C.-C., Liu, Z., Li, X., Liu, X., Wang, L.-J., Pan, H.-Y., Zheng, Y.-N., Sun, G.-Z., Zhang, Y.-S., & Zhang, L.-X. (2010). Isolation and Characterization of a New Ginsenoside from the Fresh Root of Panax Ginseng. Molecules, 15(4), 2319-2325. https://doi.org/10.3390/molecules15042319
 
        
 
       