Next Article in Journal
Selection and Characterization of DNA Aptamers for Egg White Lysozyme
Previous Article in Journal
Radical-Scavenging Activity and Cytotoxicity of p-Methoxyphenol and p-Cresol Dimers
 
 
Font Type:
Arial Georgia Verdana
Font Size:
Aa Aa Aa
Line Spacing:
Column Width:
Background:
Article

Synthesis of Novel Aryl(heteroaryl)sulfonyl Ureas of Possible Biological Interest

by
Franciszek Sączewski
1,*,
Anna Kuchnio
1,
Monika Samsel
1,
Marta Łobocka
1,
Agnieszka Kiedrowska
1,
Karolina Lisewska
1,
Jarosław Sączewski
1,
Maria Gdaniec
2 and
Patrick J. Bednarski
3
1
Department of Chemical Technology of Drugs, Faculty of Pharmacy, Medical University of Gdańsk, 80-416 Gdańsk, Poland
2
Faculty of Chemistry, A. Mickiewicz University, 60-780 Poznań, Poland
3
Department of Pharmaceutical and Medicinal Chemistry, Institute of Pharmacy, University of Greifswald, D-17487 Greifswald, Germany
*
Author to whom correspondence should be addressed.
Molecules 2010, 15(3), 1113-1126; https://doi.org/10.3390/molecules15031113
Submission received: 19 January 2010 / Revised: 26 February 2010 / Accepted: 26 February 2010 / Published: 26 February 2010

Abstract

:
The course of reaction of aryl and heteroaryl sulfonamides with diphenylcarbonate (DPC) and 4-dimethylaminopyridine (DMAP) was found to depend on the pKa of the sulfonamide used. Aryl sulfonamides with pKa ~ 10 gave 4-dimethylamino-pyridinium arylsulfonyl-carbamoylides, while the more acidic heteroaryl sulfonamides (pKa ~ 8) furnished 4-dimethylaminopyridinium heteroarylsulfonyl carbamates. Both the carbamoylides and carbamate salts reacted with aliphatic and aromatic amines with the formation of appropriate aryl(heteroaryl)sulfonyl ureas, and therefore, can be regarded as safe and stable substitutes of the hazardous and difficult to handle aryl(heteroaryl)sulfonyl isocyanates.

1. Introduction

Arylsulfonyl ureas constitute a well known class of compounds which exhibit a wide range of biological activities. The most important include: antidiabetic drugs (e.g., glibenclamide) [1], diuretic drugs (e.g., torasemide) [2], inhibitors of thromboxane synthase and thromboxane A2 receptor antagonists with antithrombotic properties [3,4] and inhibitors of acetohydroxyacid synthase (AHAS) which are used as herbicides (e.g., chlosulfuron) or agents active against Mycobacterium tuberculosis [5,6] as well as antiischemic [7], antimalarial [8], antifungal [9] and oncolytic (e.g., sulofenur) [10] agents. Of special interest are antagonists of chemokine receptors (CXCR2 receptors) which are potential drugs for the treatment of acute respiratory distress syndrome, asthma, chronic bronchitis, pulmonary fibrosis and cystic fibrosis [11]. Therefore, for medicinal chemistry purposes an easy access to arylsulfonylureas is of great importance.
Recently, we have described a facile method for the preparation of arylsylfonyl ureas of general formula C (Scheme 1) using 4-dimethylaminopyridinium arylsulfonyl-carbamoylides B, which constitute non-hazardous substitutes of arylsulfonyl isocyanates [12,13]. As shown in Scheme 1, the method consists in the reaction of aromatic sulfonamides A with diphenyl carbonate (DPC) in the presence of 4-dimethylaminopyridine (DMAP), followed by the reaction with primary or secondary aliphatic or aromatic amine. The above procedure worked well with phenylsulfonamide and its para-substituted congeners, such as p-alkyl, p-methoxy- and p-chloro-phenylsulfonamide as the substrates. The unique structure of the carbamoylides obtained were confirmed by IR and NMR spectra as well as single crystal X-ray structure analysis [13]. Carbamoylides B compose of an appropriate arylsulfonyl isocyanate and a DMAP molecule. The stability of these highly polarizable adducts is mainly due to the delocalization of the positive charge on the pyridine ring and the negative charge on the arylsulfonylcarbamoyl moiety.
Scheme 1. 4-Dimethylaminopyridinium arylsulfonyl carbamoylides as stable substitutes of arylsulfonyl isocyanates.
Scheme 1. 4-Dimethylaminopyridinium arylsulfonyl carbamoylides as stable substitutes of arylsulfonyl isocyanates.
Molecules 15 01113 g002
In order to explore the scope of this procedure, an analogous previously not attempted reaction sequence starting from variously substituted phenylsulfonamides, naphthylsulfonamide as well as heteroarylsulfonamides, such as 2-thienyl- and benzothiazol-2-yl-sulfonamide has now been attempted.

2. Results and Discussion

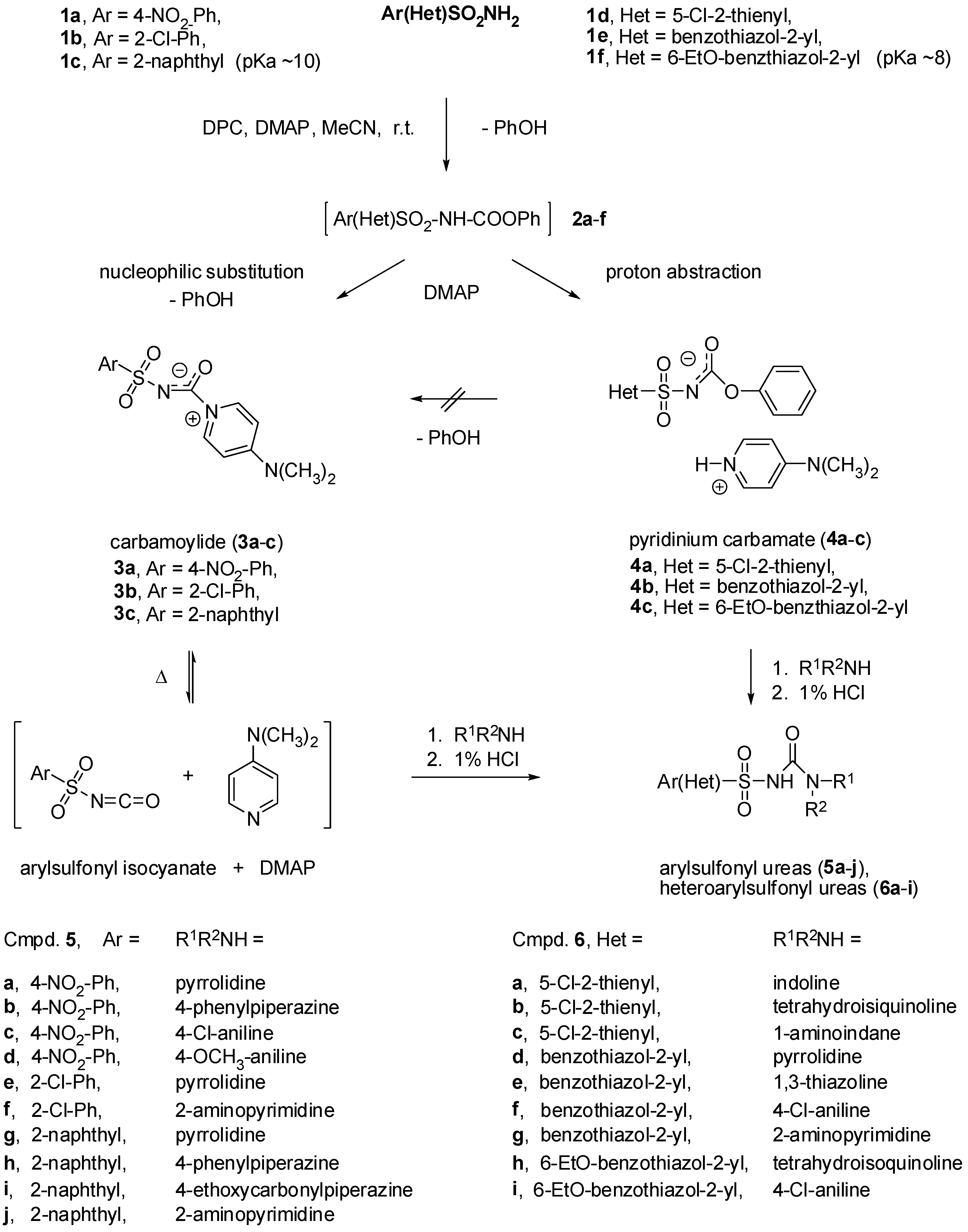
The results of the investigations are presented in Scheme 2. First, it was found that the reaction of variously substituted phenylsulfonamides 1a-c (including p-nitrophenyl-, o-chlorophenyl- and 2-naphthylsulfonamide) with DPC in the presence of DMAP proceeded smoothly at room temperature to give appropriate carbamoylides 3a-c in good yields. The reactions of these stable arylsulfonyl isocyanates substitutes carried out in CH3CN with both aliphatic and aromatic amines at elevated temperature afforded the desired arylsulfonyl ureas, which could be easily separated from the reaction mixtures upon treatment with 1% aqueous HCl.
However, when 2-thienyl and benzothiazol-2-yl-sulphonamides 1d-f were treated with DPC in the presence of DMAP, the pyridinium carbamates 4a-c were obtained as the sole products. Neither prolonged reaction times nor elevated temperatures changed the reaction course.
The structures of pyridinium carbamoylides 3 and pyridinium carbamates 4 were confirmed by IR and NMR spectroscopic data as well as X-ray single crystal structure analysis of 4b and 4c (Figure 1). The compounds 4b and 4c are organic salts with the proton transferred from the sulfonylcarbamate group to 4-dimethylaminopyridine. In the crystal the anions and the pyridinium cations form ionic pairs via N-H+···N- hydrogen bonds. The anions assume similar conformation with one of the SO2 group O atoms approximately in the plane of benzothiazole moiety and the bond lengths and angles are as expected. The crystal packing is, to a large extent, governed by electrostatic interactions, with a pair of 4-dimethylaminopyridinium cations stacked in anti-parallel manner and completely surrounded by the anions.
The major difference between the two classes of sulfonamide derivatives studied lies in their relative acidity, hence, it was reasoned that the more acidic heteroarylsulfonyl sulfonamides 1d-f (pKa ~ 8) [14] formed the more acidic carbamates 2d-f which, in turn, suffered proton abstraction by DMAP to give pyridinium salts of carbamates 4a-c, while the less acidic arylsulfonamides 1a-c (pKa ~ 10) [15] gave rise to the formation of less acidic carbamates 2a-c which underwent nucleophilic substitution reaction with DMAP to give the desired carbamoylides 3a-c.
In order to confirm the above hypothesis the reaction of DPC/DMAP couple with 4-chloropyridin-3-yl-sulfonamide (1g), characterized by a pKa value of 8.9 [16], was performed. As shown in Scheme 3, the above reaction carried out at ambient temperature afforded two products: the carbamate pyridinium salt 4d and the carbamoylide 3d which could be separated from the reaction mixture by fractional crystallization in 48% and 39% yield, respectively. Interestingly enough, while the desired aryl(heteroaryl)sulfonyl ureas 5 and 6 were obtained in good yields from the reactions of either 3a-c or 4a-c with aliphatic, aromatic and heteroaromatic amines, upon treatment of both the carbamate 4d and carbamoylide 3d with an excess of a secondary amine, 3-(indolin-1-yl)pyrido[3,4-e] [1,4,3]oxathiazine 1,1-dioxide (8) was obtained. This might be formed as a result of an intramolecular nucleophilic substitution reaction in the transiently formed arylsulfonyl ureidate 7 (Scheme 3).
All the newly prepared compounds 5, 6 and 8, including benzothiazol-2-yl analogues of sulofenur, were screened in vitro for their potential cytotoxic activity using human urinary bladder cancer 5637, small cell lung cancer A-427 and large cell lung cancer LCLC-103H cell lines. None of these compounds exhibited cytotoxic activity at concentrations below 20 μM.
Scheme 2. Synthesis of compounds 3-6.
Scheme 2. Synthesis of compounds 3-6.
Molecules 15 01113 g003
Figure 1. ORTEP drawings of (a) 4c and (b) two symmetry independent molecules of 4b with the atom labeling scheme. Displacement ellipsoids are drawn at the 50% probability level.
Figure 1. ORTEP drawings of (a) 4c and (b) two symmetry independent molecules of 4b with the atom labeling scheme. Displacement ellipsoids are drawn at the 50% probability level.
Molecules 15 01113 g001
Scheme 3. Synthesis of compound 8.
Scheme 3. Synthesis of compound 8.
Molecules 15 01113 g004

3. Experimental

3.1. General

Melting points were measured on a Boetius 545 apparatus and are not corrected. The IR spectra were obtained on a Nicolet 380 FTIR spectrometer using potassium bromide pellets and the frequencies were quoted in cm-1. The 1H-NMR spectra were recorded on a Varian Gemini spectrometer at 200 MHz or a Varian Unity Plus apparatus at 500 MHz. The chemical shifts (δ) are expressed in ppm in relation to tetramethylsilane as a standard and the coupling constants (J) are given in Hz. The starting substrates were commercial reagents.

3.2. General procedure for the preparation of 4-dimethylaminopyridinium arylsulfonyl carbamoylides 3a-c and 4-dimethylaminopyridinium heteroarylsulfonyl carbamates 4a-c

A solution of appropriate arylsulfonamide 1a-c (33 mmol) in acetonitrile (40 mL) was treated with 4-dimethylaminopyridine (DMAP, 4.1 g, 66 mmol) and the reaction mixture was stirred at room temperature until sufonamide 1 had dissolved. Then diphenyl carbonate (DPC, 2.3 g, 37 mmol) was added and the reaction mixture was left overnight at room temperature. The solid that precipitated was separated by suction, washed with dry acetonitrile and dried to give pure carbamoylides 3a-d or carbamates 4a-d.
According to the above procedure the following compounds were obtained:
4-Dimethylaminopyridinium 4-nitrophenylsulfonyl carbamoylide (3a). Yield 56%; m.p. 175–177 °C (dec); IR (KBr) ν = 3099, 2937, 2683, 1691, 1645, 1578, 1520, 1349, 1294, 1257, 1215, 1159, 1072, 1078 cm-1; 1H-NMR (DMSO-d6) δ = 3.33 (s, 6H, CH3), 6.97 (d, 2H, CH, J = 7.2 Hz), 8.31 (d, 2H, CH, J = 8.7 Hz), 8.71 (d, 2H, CH, J = 8.7 Hz), 8.95 (d, 2H, CH, J = 7.2 Hz); Anal. Calcd. for C14H14 N4O5S (350.35) C, 47.99%; H, 4.03%; N, 15.99%; Found C, 47.72%; H, 3.87%; N, 15.83%.
4-Dimethylaminopyridinium 2-chlorophenylsulfonyl carbamoylide (3b). Yield: 54%; m.p. 112–115 °C; IR (KBr) ν = 3072, 2924, 1697, 1644, 1560, 1293, 1255, 1215, 1184, 1150, 1128, 1110, 1028 cm-1; 1H-NMR (DMSO-d6) δ = 3.16 (s, 6H, CH3), 6.96 (d, 2H, CH, J = 7.6 Hz), 7.60 (d, 1H, CH), 7.20-7.47 (m, 2H, CH), 7.95 (d, 1H, CH), 8.65 (d, 2H, CH, J = 7.6 Hz); Anal. Calcd. for C14H14ClN3O3S (339.80) C, 49.49%; H, 4.15%; N, 12.37%; Found C, 49.18%; H, 4.29%; N, 12.31%.
4-Dimethylaminopyridinium naphth-2-ylsulfonyl carbamoylide (3c). Yield: 53%; m.p. 153–156 °C (dec); IR (KBr) ν = 3087, 1707, 1648, 1572, 1289, 1253, 1217, 1150, 1090, 1065, 862, 834, 768 cm-1; 1H-NMR (DMSO-d6) δ = 3.22 (s, 6H, CH3), 6.95 (d, 2H, CH, Ј = 7.3 Hz), 7.60-7.69 (m, 2H, CH), 7.88-8.14 (m, 4H, CH), 8.43 (s, 1H, CH), 8.74 (d, 2H, CH, Ј = 7.3 Hz); Anal. Calcd. for C18H17N3O3S (355.41) C, 60.83%; H, 4.82%; N, 11.82%; Found C, 60.58%; H, 4.77%; N, 11.59%.
4-Dimethylaminopyridinium (4-chloropyridin-3-ylsulfonyl carbamoylide (3d). Yield: 39%; m.p. 151–153 °C (dec); IR (KBr) ν = 3097, 2934, 1702, 1645, 1572, 1559, 1449, 1395, 1296, 1260, 1089, 842, 824, 766, 596 cm-1; 1H-NMR (DMSO-d6) δ = 3.25 (s, 6H, CH3), 7.00 (d, 2H, CH, J = 8.1 Hz), 7.64 (d, 1H, CH, J = 5.2 Hz), 8.64 (d, 1H, CH, J = 5.2 Hz), 8.73 (d, 2H, CH, J = 8.1 Hz), 9.07 (s, 1H, CH); Anal. Calcd. for C13H13ClN4O3S (340.79) C, 45.82%; H, 3.85%; N, 16.44%; Found C, 45.61%; H, 3.90%; N, 16.16%.
4-(Dimethylamino)pyridinium (5-chlorothiophen-2-ylsulfonyl)(phenoxycarbonyl)amide (4a). Yield: 54%; m.p. 144–146 °C (dec); IR (KBr) ν = 3077, 2924, 2611, 1964, 1645, 1562, 1409, 1295, 1262, 1210, 1186, 1173, 1024, 988, 924, 887, 807, 626 cm-1; 1H-NMR (DMSO-d6) δ = 3.18 (s, 6H, CH3), 6.96-7.38 (m, 8H, CH), 7.42 (d, 1H, CH, J = 3.9 Hz), 8.21 (d, 2H, CH, J = 7.6 Hz), 12.6 (bs, 1H, NH); Anal. Calcd. for C18H18ClN3O4S2 (439.94) C, 49.14%; H, 4.12%; N, 9.55%; Found C, 48.93%; H, 4.26%; N, 9.19%.
4-(Dimethylamino)pyridinium (benzothiazol-2-ylsulfonyl)(phenoxycarbonyl)amide (4b). Yield: 73%; m.p. 135–138 °C (dec); IR (KBr) ν = 3060, 2924, 1685, 1646, 1559, 1271 cm-1; 1H-NMR (DMSO-d6) δ = 3.14 (s, 6H, CH3), 6.92-6.96 (m, 4H, CH), 7.02-7.12 (t, 1H, J = 7.4 Hz), 7.25-732 (t, 2H, CH, J = 7.4 Hz), 7.45-7.62 (m, 2H, CH), 8.04-8.16 (m, 2H, CH), 8.29 (d, 2H, CH, J = 7.6 Hz); Anal. Calcd. for C21H20N4O4S2 (456.54) C, 55.25%; H, 4.42%; N, 12.27%; Found C, 55.21%; H, 4.62%; N, 11.92%. Upon treatment of the above pyridinium salt with aqueous 1% HCl at room temperature the free carbamate 4b’ was obtained; m.p. 206-208 °C; IR (KBr) ν = 3007, 2851, 2799, 1758, 1458, 1222, 1096, 922, 767, 634 cm-1; 1H-NMR (DMSO-d6) δ = 6.75 (d, 2H, CH, J = 7.8 Hz), 7.16 (t, 1H, CH, J = 7.8 Hz), 7.35 (t, 2H, CH, J = 7.8 Hz), 7.60-7.72 (m, 2H, CH), 8.16-8.30 (m, 2H, CH), 8.35 (s, 1H, NH); Anal. Calcd. for C14H10N2O4S2 (334.37) C, 50.29%; H, 3.01%; N, 8.38%; Found C, 50.22%; H, 3.32%; N, 8.61%.
4-(Dimethylamino)pyridinium (6-ethoxybenzothiazol-2-ylsulfonyl)(phenoxy-carbonyl)amide (4c). Yield: 29.7%; m.p. 251–255 °C; IR (KBr) ν = 3223, 3066, 2924, 1681, 1645, 1557, 1296 cm-1; 1H-NMR (DMSO-d6) δ = 1.35 (t, 3H, CH3, J = 8.1 Hz), 3.14 (s, 6H, CH3), 4.09 (q, 2H, CH2, J = 8.1 Hz), 6.92-6.96 (m, 4H, CH), 7.05-7.15 (dd, 1H, CH, Jortho = 6.75, Jmeta = 2.3 Hz), 7.22-7.30 (t, 2H, CH, J = 7.4 Hz), 7.65 (d, 1H, CH, Jmeta = 2.3 Hz), 7.93 (d, 1H, CH, Jortho = 6.75 Hz), 8.19 (d, 2H, CH, J = 7.7 Hz); Anal. Calcd. for C23H24N4O5S2 (500.59) C, 55.18%; H, 4.83%; N, 11.19%; Found C, 54.97%; H, 5.11%; N, 10.98%. Upon treatment of the above pyridinium salt with aqueous 1% HCl the free carbamate 4c’ was obtained; m.p. 206-208 °C; IR (KBr) ν = 2989, 2859, 2787, 2663, 1756, 1599, 1485, 1375, 1262, 1217, 1168, 1080, 1042, 842, 759, 688, 627 cm-1; 1H-NMR (DMSO-d6) δ = 1.37 (t, 3H, CH3, J = 8.2 Hz), 4.12 (q, 2H, CH2, J = 8.2 Hz), 6.75 (m, 1H, CH), 7.00-7.45 (m, 5H, CH), 7.80-7.95 (m, 1H, CH), 8.00-8.15 (m, 1H, CH), 8.75 (bs, 1H, NH); Anal. Calcd. for C16H14N2O5S2 (378.42) C, 50.78%; H, 3.73%; N, 7.40%; Found C, 50.53%; H, 3.89%; N, 7.06%.
4-(Dimethylamino)pyridinium (4-chloropyridin-3-ylsulfonyl)(phenoxycarbonyl)amide (4d). Yield: 48%; m.p. 191–193 °C; IR (KBr) ν = 3215, 3082, 2922, 1688, 1646, 1561, 1397, 1263, 1191, 1149, 1028, 916, 887, 806, 797 cm-1; 1H-NMR (DMSO-d6) δ = 3.16 (s, 6H, CH3), 6.88-6.93 (m, 2H, CH), 6.96 (d, 2H, CH, J = 7.7 Hz), 7.06 (t, 1H, CH, J = 7.1 Hz), 7.22-7.30 (m, 2H, CH), 7.56 (d, 1H, CH, J = 5.3 Hz), 8.20 (d, 2H, CH, J = 7.7 Hz), 8.53 (d, 1H, CH, J = 5.3 Hz), 8.96 (s, 1H, CH), 12.60 (bs, 1H, NH); Anal. Calcd. for C19H19ClN4O4S (434.90) C, 52.47%; H, 4.40%; N, 12.88%; Found C, 52.19%; H, 4.71%; N, 12.60%.

3.3. General procedure for preparation of arylsulfonyl ureas 5 and heteroarylsulfonyl ureas 6. Reaction of carbamoylides 3a-c and carbamates 4a-c with aliphatic and aromatic amines

A mixture of carbamoylide 3 or carbamate 4 (2.8 mmol) and appropriate aliphatic or aromatic amine (3 mmol) in acetonitrile (10 mL) was heated at reflux for 10 min (in case of aliphatic) or 1 h (in case of aromatic) amine. The reaction mixture was cooled to room temperature and the solvent was evaporated under reduced pressure to dryness. The oily residue was suspended in methanol and treated with 10% aqueous hydrochloric acid. The sulphonylureas 5 or 6 that precipitated were separated by suction, washed with methanol and water and re-crystallized from suitable solvent.
According to the above procedure the following sulphonylureas were obtained:
N-(4-Nitrophenylsulfonyl)pyrrolidine-1-carboxamide (5a). Yield: 17%; m.p. 187–193 °C (methanol); IR (KBr) ν = 3466, 3271, 3109, 2990, 2788, 1670, 1529, 1348, 1313, 1167, 1091, 1067 cm-1; 1H-NMR (DMSO-d6) δ = 1.60-1.90 (m, 4H, CH2CH2), 3.15-3.45 (m, 4H, N-CH2), 8.15 (d, 2H, CH, J = 5.2 Hz), 8.42 (d, 2H, CH, J = 5.2 Hz), 11.05 (bs, 1H, NH); Anal. Calcd. for C11H13N3O5S (299.30) C, 44.14%; H, 4.38%; N, 14.04%; Found C, 44.08%; H, 4.52; N, 13.96%.
N-4-Nitrophenylsulfonyl)-4-phenylopiperazine-1-carboxamide (5b). Yield: 31%; m.p. 105–107 °C (ethanol); IR (KBr) ν = 3419, 3105, 2882, 1669, 1600, 1529, 1494, 1350, 1235, 1166, 1091 cm-1; 1H-NMR (DMSO-d6) δ = 2.90-3.20 (m, 4H, CH2), 3.30-3.60 (m, 4H, CH2), 6.80 (t, 1H, CH, J = 7.4 Hz), 6.90 (d, 2H, CH, J = 7.4 Hz), 7.20 (t, 2H, CH, J = 7.4 Hz), 8.50 (d, 2H, CH, J = 9.7 Hz), 8.43 (d, 2H, CH, J = 9.7 Hz), 11.45 (bs, 1H, NH); Anal. Calcd. for C17H18N4O5S (390.41) C, 52.30%; H, 4.65%; N, 14.35%; Found C, 52.05%; H, 4.83%; N, 14.16%.
N-4-Chlorophenylcarbamoyl)-4-nitrophenylsulfonamide (5c). Yield: 42%; m.p. 165–170 °C (ethanol); IR (KBr) ν = 3438, 3351, 3112, 2890, 1715, 1607, 1542, 1351, 1158, 1086, 1039, 1013 cm-1; 1H-NMR (DMSO-d6) δ = 7.32 (d, 2H, CH, J = 8.8 Hz), 7.38 (d, 2H, CH, J = 8.8 Hz), 8.22 (d, 2H, CH, J = 8.8 Hz), 8.46 (d, 2H, CH, J = 8.8 Hz), 9.80 (bs, 1H, NH), 11.20 (bs, 1H, NH); Anal. Calcd. for C13H10ClN3O5S (355.75) C, 43.89%; H, 2.83%; N, 11.81%; Found C, 44.17%; H, 3.12%; N, 11.57%.
N-(4-Methoksyphenylcarbamoyl)-4-nitrophenylsulfonamide (5d). Yield: 46%; m.p. 148–152 °C (ethanol); IR (KBr) ν = 3482, 3316, 3117, 3071, 3013, 2959, 2836, 1698, 1530, 1514, 1436, 1348, 1311, 1252, 1163, 1089, 1023 cm-1; 1H-NMR (DMSO-d6) δ = 3.68 (s, 3H, OCH3), 6.84 (d, 2H, CH, J = 9 Hz), 7.24 (d, 2H, CH, J = 9 Hz), 8.20 (d, 2H, CH, J = 9 Hz), 8.45 (d, 2H, CH, J = 9 Hz); 8.93 (bs, 1H, NH), 11.2 (bs, 1H, NH); Anal. Calcd. for C14H13N3O6S (351.33) C, 47.86%; H, 3.73%; N, 11.96%; Found C, 47.74%; H, 3.95%; N, 11.71%.
N-(2-Chlorophenylsulfonyl)pyrrolidine-1-carboxamide (5e). Yield: 37%; m.p. 175–190 °C (methanol); IR (KBr) ν = 3400, 3271, 3102, 3068, 1694, 1575, 1487, 1436, 1255, 1236, 1185, 1168, 1132, 1115 cm-1; 1H-NMR (DMSO-d6) δ = 1.64-1-94 (m, 4H, CH2), 3.15-45 (m, 4H, N-CH2), 7.54-7.58 (m, 1H, CH), 7.60-7.68 (m, 2H, CH), 8.03 (d, 1H, CH, J = 7.7 Hz), 11.06 (s, 1H, NH); Anal. Calcd. for C11H13ClN2O3S (288.75) C, 45.75%; H, 4.54%; N, 9.70%; Found C, 45.61%; H, 4.82%; N, 9.47%.
2-Chloro-N-(pyrimidin-2-ylcarbamoyl)benzenesulfonamide (5f). Yield: 68%; m.p. 178–182 °C; IR (KBr) ν = 3148, 3067, 2970, 2920, 1715, 1582, 1470, 1449, 1402, 1353, 1282, 1155, 1130, 1075, 1006, 914, 866, 812 cm-1; 1H-NMR (DMSO-d6) δ = 7.42-7.50 (m, 1H, CH), 7.65-7.80 (m, 3H, CH), 7.97-8.03 (d, 1H, CH, J = 7.6 Hz), 8.70-8.77 (m, 2H, CH), 10.69 (s, 1H, NH), 12.63 (bs, 1H, NH); Anal. Calcd. for C11H9 ClN4O3S (312.73); C, 42.25%; H, 2.90%; N, 17.92%; Found C, 41.89%; H, 3.27%; N, 17.65%.
N-(Naphthalene-2-ylsulfonyl)pyrrolidine-1-carboxamide(5g). Yield: 48%; m.p. 203–208 °C (ethanol); IR (KBr) ν = 3266, 2975, 2870, 1692, 1441, 1328, 1157, 1057, 861, 748, 658 cm-1; 1H-NMR (DMSO-d6) δ = 1.60-1.90 (m, 4H, CH2), 3.15-3.45 (m, 4H, N-CH2), 7.62-7.75 (m, 2H, CH), 7.91-8.21 (m, 4H, CH), 8.57 (s, 1H, CH), 10.77 (s, 1H, NH); Anal. Calcd. for C15H16N2O3S (304.36) C, 59.19%; H, 5.30%; N, 9.20%; Found C, 58.98%; H, 5.43%; N, 9.01%.
N-(Naphthalene-2-ylsulfonyl)-4-phenylpiperazine-1-carboxamide (5h). Yield: 98%; m.p. 119–123 °C (ethanol); IR (KBr) ν = 3277, 3059, 3016, 2959, 2936, 1676, 1484, 1338, 1252, 1162, 1125, 1070, 1021, 876, 745 cm-1; 1H-NMR (DMSO-d6) δ = 3.28-3.36 (m, 4H, CH2), 3.66-3.74 (m, 4H, CH2), 7.11-7.17 (m, 1H, CH), 7.30-7.40 (m, 4H, CH), 7.64-7.76 (m, 2H, CH), 7.92-8.22 (m, 4H, CH), 8.59 (s, 1H, CH), 11.35 (bs, 1H, NH); Anal. Calcd. for C21H21N3O3S (395.47) C, 63.78%; H, 5.35%; N, 10.63%; Found C, 63.56%; H, 5.50%; N, 10.33%.
Ethyl 4-(naphthalen-2-ylsulfonylcarbamoyl)piperazine-1-carboxylate (5i). Yield: 48%; m.p. 143–147 °C; IR (KBr) ν = 3196, 3060, 2978, 2930, 2868, 1709, 1677, 1469, 1441, 1257, 1230, 1163, 1072 cm-1; 1H-NMR (DMSO-d6) δ = 1.16 (t, 3H, CH3, Ј = 7 Hz), 3.20-3.42 (m, 8H, CH2), 4.02 (q, 2H, CH2, Ј = 7 Hz), 7.67-7.73 (m, 2H, CH), 7.88-7.93 (m, 1H, CH), 8.02-8.21 (m, 3H, CH), 8.55 (s, 1H, CH), 11.20 (bs, 1H, NH); Anal. Calcd. for C18H21N3O5S (391.44) C, 55.23%; H, 5.41%; N, 10.73%; Found C, 54.94%; H, 5.72%; N, 10.66%.
N-(Pyrimidin-2-ylcarbamoyl)naphthalene-2-sulfonamide (5j). Yield: 68%; m.p. 177–182 °C; IR (KBr) ν = 3148, 3067, 2971, 2920, 1716, 1583, 1471, 1449, 1354, 1283, 1156, 1075 cm-1; 1H-NMR (DMSO-d6) δ = 7.20-7.24 (m, 1H, CH), 7.66-7.78 (m, 2H, CH), 7.98-8.26 (m, 4H, CH), 8.70-8.72 (m, 3H, CH), 10.70 (s, 1H, NH), 12.65 (bs, 1H, NH); Anal. Calcd. for C15H12N4O3S (328.35) C, 54.87%; H, 3.68%; N, 17.06%; Found C, 55.02%; H, 3.84%; N, 16.81%.
N-(5-Chlorothiophen-2-ylsulfonyl)indoline-1-carboxamide (6a). Yield: 73%; m.p. 182–184 °C; IR (KBr) ν = 3635, 3450, 2920, 1659, 1486, 1464, 1400, 1348, 1165, 1137, 1091, 998, 808, 871, 679, 620, 604 cm-1; 1H-NMR (DMSO-d6) δ = 3.11 (t, 2H, CH2, J = 8.4 Hz), 4.03 (t, 2H, CH2, J = 8.4 Hz), 6.92-7.01 (m, 1H, CH), 7.08-7.23 (m, 2H, CH), 7.27 (d, 1H, CH, J = 4.2 Hz), 7.69 (d, 1H, CH, J = 4.2 Hz), 10.9 (bs, 1H, NH); Anal. Calcd. for C13H11ClN2O3S2 (342.82) C, 45.55%; H, 3.23%; N, 8.17%; Found C, 45.38%; H, 3.59%; N, 7.93%.
N-(5-Chlorothiophen-2-ylsulfonyl)-3,4-dihydroisoquinoline-2(1H)-carboxamide (6b). Yield: 61%; m.p. 169–172 °C; IR (KBr) ν = 3107, 3020, 2896, 2805, 2751, 1646, 1481, 1410, 1344, 1235, 1167, 1001, 757, 616, 572 cm-1; 1H-NMR (DMSO-d6) δ = 2.81-2.82 (m, 2H, CH2), 3.59-3.61 (m, 2H, CH2), 4.53 (s, 2H, CH2), 7.16-7.20 (m, 4H, CH), 7.25 (d, 1H, CH, J = 3.9 Hz), 7.64 (d, 1H, CH, J = 3.9 Hz), 11.44 (bs, 1H, NH); Anal. Calcd. for C14H13ClN2O3S2 (356.85) C, 47.12%; H, 3.67%; N, 7.85%; Found C, 46.84%; H, 3.73%; N, 7.57%.
5-Chloro-N-(2,3-dihydro-1H-inden-1-ylcarbamoyl)thiophene-2-sulfonamide (6c). Yield: 49%, m.p. 144–148 °C; IR (KBr) ν = 3353, 3094, 1687, 1650, 1541, 1466, 1409, 1367, 1168, 995, 752, 679 cm-1; 1H-NMR (DMSO-d6) δ = 1.71-1.86 (m, 1H, CH), 2.30-2.48 (m, 1H, CH), 2.68-2.96 (m, 2H, CH), 5.00-5.18 (m, 1H, CH, J = 8.0 Hz), 6.99 (d, 1H, NH, J =8.0 Hz), 7.10-7.24 (m, 4H, CH), 7.29 (d, 1H, CH, J = 4.1 Hz), 7.65 (d, 1H, CH, J = 4.1 Hz), 10.90 (bs, 1H, NH); Anal. Calcd. for C14H13ClN2O3S2 (356.85) C, 47.12%; H, 3.67%; N, 7.85%; Found C, 46.97%; H, 3.95%; N, 7.82%.
N-(Benzothiazol-2-ylsulfonyl)pyrrolidine-1-carboxamide (6d). Yield: 80%; m.p. 220–222 °C; IR (KBr) ν = 3277, 2877, 1690, 1454, 1168, 1056, 860, 765, 625 cm-1; 1H-NMR (DMSO-d6) δ = 1.60-1.95 (m, 4H, CH2), 3.25-3.65 (m, 4H, CH2), 7.61-7.73 (m, 2H, CH), 8.16-8.32 (m, 2H, CH), 11.80 (bs, 1H, NH); Anal. Calcd. for C12H13N3O3S2 (311.38); C, 46.29%; H, 4.21%; N, 13.49%; Found C, 45.97%; H, 4.53%; N, 13.42%.
N-(Benzothiazol-2-ylsulfonyl)thiazolidine-1-carboxamide (6e). Yield: 79%; m.p. 240–241 °C; IR (KBr) ν = 3068, 2887, 2791, 1681, 1455, 1181, 1385, 1092, 859, 626 cm-1; 1H-NMR (DMSO-d6) δ = 2.98-3.04 (m, 2H, CH2), 3.59-3.63 (m, 2H, CH2), 4.42 (s, 2H, CH2), 7.61-7.74 (m, 2H, CH), 8.16-8.22 (m, 1H, CH), 8.26-8.33 (m, 1H, CH), 11.20 (bs, 1H, NH); Anal. Calcd. for C11H11N3O3S3 (329.42) C, 40.11%; H, 3.37%; N, 12.76%; Found C, 39.87%; H, 3.42%; N, 12.40%.
N-(4-Chlorophenylcarbamoyl)benzothiazole-2-sulfonamide (6f). Yield: 81%, m.p. 182–184 °C; IR (KBr) ν = 3281, 1709, 1597, 1532, 1367, 1166, 1028, 923, 673 cm-1; 1H-NMR (DMSO-d6) δ = 7.28 (d, 1H, CH, J = 7.6 Hz,), 7.38 (d, 2H, CH, J = 7.6 Hz), 7.62-7.72 (m, 2H, CH), 8.16-8.23 (m, 1H, CH), 8.25-8.34 (m, 1H, CH), 9.39 (bs, 1H, NH), 12.6 (bs, 1H, NH); Anal. Calcd. for C14H10ClN3O3S2 (367.83) C, 45.71%; H, 2.74%; N, 11.42%; Found C, 45.34%; H, 3.11%; N, 11.10%.
N-(Pyrimidin-2-ylcarbamoyl)benzothiazole-2-sulfonamide (6g). Yield: 70%; m.p. 312–314 °C; IR (KBr) ν = 3067, 2972, 2919, 1646, 1583, 1449, 1374, 1161, 1028, 917, 761 cm-1; 1H-NMR (DMSO-d6) δ = 7.27-7.32 (m, 1H, CH), 7.56-7.69 (m, 2H, CH), 8.10-8.16 (m, 1H, CH), 8.19-8.27 (m, 1H, CH), 8.73-8.76 (m, 2H, CH), 11.43 (bs, 2H, NH); Anal. Calcd. for C12H9N5O3S2 (335.36) C, 42.98%; H, 2.70%; N, 20.88%; Found C, 42.71%; H, 3.02%; N, 20.57%.
N-(6-Ethoxybenzothiazol-2-ylsulfonyl)-3,4-dihydroisoquinoline-2(1H)-carboxamide (6h). Yield: 87%; m.p. 203–206 °C; IR (KBr) ν = 3145, 3088, 2956, 2876, 1648, 1555, 1432, 1386, 1145, 1128, 1034, cm-1; 1H-NMR (DMSO-d6) δ = 1.37 (t, 3H, CH3, J = 7.8 Hz), 2.80 (t, 2H, CH2, J = 6.8 Hz), 3.60 (t, 2H, CH2, J = 6.8 Hz), 4.12 (q, 2H, CH2, J = 7.8 Hz), 4.51 (s, 2H, CH2), 7.05-7.2 (m, 4H, CH), 7.23 (dd, 1H, CH, Jortho = 6.8 Hz, Jmeta = 2.0 Hz), 7.80 (d, 1H, CH, Jortho = 6.8 Hz), 8.05 (d, 1H, CH, Jmeta = 2.0 Hz), 11.30 (bs, 1H, NH); Anal. Calcd. for C19H19N3O4S2 (417.50) C, 54.66%; H, 4.59%; N, 10.06%; Found 54.56%; H, 4.85%; N, 10.03%.
N-(4-Chlorophenylcarbamoyl)-6-ethoxybenzothiazol-2-ylsulfonamide (6i). Yield: 75%; m.p. 238–240 °C; IR (KBr) ν = 3326, 3194, 3088, 2967, 2902, 2887, 1642, 1558, 1442, 1390, 1148, 1148, 1142, 1044 cm-1; 1H-NMR (DMSO-d6) δ = 1.37 (t, 3H, CH3, J = 7.7 Hz), 4.16 (q, 2H, CH2, J = 7.7 Hz), 7.26 (dd, 1H, CH, Jortho = 6.9 Hz, Jmeta = 2.1 Hz), 7.30 (d, 2H, CH, J = 7.0 Hz), 7.38 (d, 2H, CH, J = 7.0 Hz), 7.80 (d, 1H, CH, J = 2.1 Hz), 8.06 (d, 1H, CH, J = 6.9 Hz), 9.30 (s, 1H, NH), 11.80 (bs, 1H, NH); Anal. Calcd. for C16H14ClN3O4S2 (411.88) C, 46.66%; H, 3.43%; N, 10.20%; Found C, 46.73%; H, 3.68%; N, 9.83%.

3.4. Preparation of 3-(indolin-1-yl)-pyrido[3,4-e][1,4,3]oxathiazine 1,1-dioxide 8

A mixture of carbamoylide 3d or pyridinium carbamate 4d (2.8 mmol) and indoline (3 mmol) in acetonitrile (10 mL) was heated at reflux for 3 h under reflux. The reaction mixture was cooled to room temperature and solvent was evaporated under reduced pressure to dryness. The crude residue triturated with methanol and water to give product 8 which was then separated by suction, washed with methanol and water and purified by crystallization from DMF. Yield: 33% and 29%, respectively; m.p. 248–250 °C; IR (KBr) ν = 2919, 1633, 1586, 1488, 1472, 1315, 1301, 1173, 1151, 1104, 1011, 765, 595 cm-1; 1H-NMR (DMSO-d6) δ = 3.25 (t, 2H, CH2, J = 7.8 Hz), 4.39 (t, 2H, CH2, J = 7.8 Hz), 7.18-7.21 (m, 1H, CH), 7.34-7.39 (m, 2H, CH), 7.62 (d, 1H, CH, J = 5.4 Hz), 8.07-8.09 (m, 1H, CH), 8.88 (d, 1H, CH, J = 5.4 Hz), 9.13 (s, 1H, CH); Anal. Calcd. for C14H11N3O3S (301.32) C, 55.80%; H, 3.68%; N, 13.95%; Found C, 55.74%; H, 3.78%; N, 14.13%.

3.5. X-ray structure analysis

The diffraction data were collected with a KumaCCD diffractometer using graphite monochromated Mo Kα radiation. The intensity data were collected and processed using Oxford Diffraction CrysAlis Software [17]. The crystal structures were solved by direct methods with the program SHELXS-97 [18] and refined by full-matrix least-squares method on F2 with SHELXL-97 [18].
Crystal data for C14H9N2O4S2·C7H11N2 (4b): Triclinic, space group P-1, a = 11.2168(5), b = 12.0651(6), c = 16.3837(8) Å, α = 79.042(4), β = 85.852(4), γ = 83.798(4)°, V = 2161.02(18) Å3, Z = 4, dx = 1.403 g.cm-3, T =130K. Data were collected for a crystal with dimensions 0.4x0.4x0.3 mm. Final R indices for 5697 reflections with I>2σ(I) and 582 refined parameters are: R1 = 0.0319, wR2 = 0.0764 (R1 = 0.0490, wR2 = 0.0864 for all 7589 data). The benzothiazole ringof one of the symmetry independent molecules is disordered over two strongly overlapping positions.
Crystal data for C16H13N2O5S2·C7H11N2 (4c): Monoclinic, space group P21/n, a = 12.3446(2), b = 12.5528(2), c = 15.6694(3) Å, β = 99.7467(18)°, V = 2393.07(7) Å3, Z = 4, dx = 1.389 g.cm-3, T = 130K. Data were collected for a crystal with dimensions 0.5x0.5x0.1 mm. Final R indices for 4467 reflections with I > 2σ(I) and 314 refined parameters are: R1 = 0.0291, wR2 = 0.0721 (R1 = 0.0391, wR2 = 0.0832 for all 5320 data).
Crystallographic data for compounds 4b and4c have been deposited with Cambridge Crystallographic Data Centre (CCDC deposition numbers CCDC 742624-742625). Copies of the data can be obtained upon request from CCDC, 12 Union Road, Cambridge CB2 1EZ, UK, quoting the deposition numbers.

3.6. In vitro cytotoxicity assay

The following primary screening of the new compounds was done to indicate whether a substance possesses enough activity at the concentration of 20 μM to inhibit human tumor cell growth by 50% (GI50 < 20 μM).
The in vitro cytotoxic activity of all arylsulfonylureas 5a-j and heteroarylsulfonylureas 6a-i were evaluated [19,20] using human urinary bladder cancer 5637, small cell lung cancer A-427 and large cell lung cancer LCLC-103H cell lines. The assay was carried out in 96-well microtiter plates. When the cells were putted into the plates after 24 h cells were treated with appropriate drug solutions. The cytotoxic effects of the compounds were measured after a 96 h continuous exposure to the substances. The cell growth inhibition values were estimated by staining the adherent cells with crystal violet. Only viable cells remained attached to the plastic surface of the wells and bind the dye. The unbound dye was washed out with water and stain remaining in the wells was redissolved with 70% ethanol. Finally, the optical density (OD) was measured with a microplate reader set at λ = 570 nm.

4. Conclusions

The current work has addressed the use of environmentally non hazardous aryl(heteroaryl)sulfonamides and diphenyl carbonate (DPC) in the synthesis of 4-dimethylamino-pyridinium N-[aryl(heteroaryl)sulfonyl] carbamoylides of type 3, the stable and easy-to-handle substitutes of aryl(heteroaryl)sulfonyl isocyanates. The comparison of the existing literature methods for the preparation of arylsulfonyl/heteroaryl carbamates and ureas from arylsulfonamides suggests that the DPC/DMAP approach is superior. Some of the advantages include mild reaction conditions, the ease of preparation and product separation and the extended shelf-life of the parent ylides. Moreover, a very high reactivity of pyridinium carbamoylides renders them suitable for the syntheses of arylsulfonyl ureas. It should be emphasized, however, that in the above procedure diphenyl carbonate (DPC) could not be replaced by the less reactive diethyl or dimethyl carbonates.
It has been also found that the course of the reaction between sulphonamide and DPC/DMAP couple depends on pKa of the substrate. Thus, arylsulphonamides with pKa in the range of 9-10 give the desired carbamoylides 3, while the more acidic heteroarylsulfonamides (pKa ~ 8) react preferentially with the formation of pyridinium salts of the intermediary formed carbamates 4.
Although none of the compounds described in this work exhibited pronounced cytotoxic activity against selected human tumor cell lines, yet the biological potential of these derivatives incorporating aryl(heteroaryl)sulfonylurea pharmacophoric group presented in Introduction remains to be explored.

References and Notes

  1. Gribble, F.M.; Reimann, F. Differential selectivity of insulin secretagogues: Mechanisms, clinical implications, and drug interactions. J. Diabetes Complicat. 2003, 2, 11–15. [Google Scholar] [CrossRef]
  2. Knauf, H.; Mutschler, E. Clinical Pharmacokinetics and Pharmacodynamics of Torasemide. Clin. Pharmacokinet. 1998, 34, 1–24. [Google Scholar] [CrossRef]
  3. Rolin, S.; Hanson, J.; Vastersaegher, C.; Cherdon, C.; Pratico, D.; Masereel, B.; Dogne, J.-M. BM-520, an original TXA2 modulator, inhibits the action of thromboxane A2 and 8-iso-prostaglandin F in vitro and in vivo on human and rodent platelets, and aortic vascular smooth muscles from rodents. Prostagland. Other Lipid Mediat. 2007, 84, 14–23. [Google Scholar] [CrossRef]
  4. De Leval, X.; Dassesse, T.; Dogne, J.-M.; Waltregny, D.; Bellahcene, A.; Benoit, V.; Pirotte, B.; Castronovo, V. Evaluation of original dual thromboxane A2 modulators as antiangiogenic agents. J. Pharmacol. Exp. Ther. 2006, 318, 1057–1067. [Google Scholar] [CrossRef]
  5. Guo, W.-C.; Liu, X.-H.; Li, Y.-H.; Wang, S.-H.; Li, Z.-M. Synthesis and Herbicidal Activity of Novel Sulfonylureas Containing Thiadiazol Moiety. Chem. Res. Chin. Univ. 2008, 24, 32–35. [Google Scholar] [CrossRef]
  6. Sohn, H.; Lee, K.-S.; Ko, Y.-K.; Ryu, J.-W.; Woo, J.-C.; Koo, D.-W.; Shin, S.-J.; Ahn, S.-J.; Shin, A-R.; Song, C.-H.; Jo, E.-K.; Park, J.-K.; Kim, H.-J. In vitro and ex vivo activity of new derivatives of acetohydroxyacid synthase inhibitors against Mycobacterium tuberculosis and non-tuberculous mycobacteria. Int. J. Antimicrob. Agents 2008, 31, 567–571. [Google Scholar] [CrossRef]
  7. Cyrus, T.; Yao, Y.; Ding, T.; Dogne, J.-M.; Pratico, D. A novel thromboxane receptor antagonist and synthase inhibitor, BM-573, reduces development and progression of atherosclerosis in LDL receptor deficient mice. Eur. J. Pharmacol. 2007, 561, 105–111. [Google Scholar] [CrossRef]
  8. Li, R.; Chen, X.; Gong, B.; Dominguez, J.N.; Davidson, E.; Kurzban, G.; Miller, R.E.; Nuzum, E.O.; Rosenthal, P.J. In vitro antimalarial activity of chalcones and their derivatives. J. Med. Chem. 1995, 38, 5031–5037. [Google Scholar] [CrossRef]
  9. Mastrolorenzo, A.; Scozzafava, A.; Supuran, C.T. Antifungal activity of silver and zinc complexes of sulfadrug derivatives incorporating arylsulfonylureido moieties. Eur. J. Pharm. Sci. 2000, 11, 99–107. [Google Scholar] [CrossRef]
  10. Rostom, S.A.F. Synthesis and in vitro antitumor evaluation of some indeno[1,2-c ]pyrazol(in)es substituted with sulfonamide, sulfonylurea(-thiourea) pharmacophores, and some derived thiazole ring system. Bioorg. Med. Chem. 2006, 14, 6475–6485. [Google Scholar] [CrossRef]
  11. Winters, M.P.; Crysler, C.; Subasinghe, N.; Ryan, D.; Leong, L.; Zhao, S.; Donatelli, R.; Yurkow, E.; Mazzulla, M.; Boczon, L.; Manthey, C.L.; Molloy, C.; Raymond, H.; Murray, L.; McAlonan, L.; Tomczuk, B. Carboxylic acid bioisosteres acylsulfonamides, acylsulfamides, and sulfonylureas as novel antagonists of the CXCR2 receptor. Bioorg. Med. Chem. Lett. 2008, 18, 1926–1930. [Google Scholar]
  12. Sączewski, F.; Kornicka, A.; Brzozowski, Z. 4-Dimethylaminopyridinium carbamoylides as stable and non-hazardous substitutes of arylsulfonyl and heteroaryl isocyanates. Green Chem. 2006, 8, 647–656. [Google Scholar] [CrossRef]
  13. Sączewski, J.; Gdaniec, M. The structure and theoretical study of 4-dimethylaminopyridinium N-(arylsulfonyl)carbamoylides. J. Mol. Struct. 2009, 921, 13–17. [Google Scholar] [CrossRef]
  14. Lewis, R.A.; Schoenwald, R.D.; Eller, M.G.; Barfknecht, C.F.; Phelps, C.D. Ethozolamide Analogue Gel. Arch. Ophthalmol. 1984, 102, 1821–1824. [Google Scholar] [CrossRef]
  15. Krishnamurthy, V.M.; Bohall, B.R.; Kim, C.-Y.; Moustakas, D.T.; Christianson, D.W.; Whitesides, G.M. Thermodynamic parameters for association of fluorinated benzenesulfonamides with bovine carbonic anhydrase II. Chem. Asian J. 2007, 2, 94–105. [Google Scholar] [CrossRef]
  16. The pKa value was determined at 25 °C by potentiometric titration with TiNet 2.5 software.
  17. Oxford Diffraction, Crysalis CCD and RED, ver. 1.173, Oxford Diffractio: Oxfordshire, UK, 2007.
  18. Sheldrick, G.M. A short history of SHELX. Acta Crystallogr. A 2008, 64, 112–122. [Google Scholar] [CrossRef]
  19. Bracht, K.; Boubakari; Grünert, R.; Bednarski, P.J. Correlations between the activities of 19 anti-tumor agents and the intracellular glutathione concentrations in a panel of 14 human cancer cell lines: Comparisons with the National Cancer Institute data. Anticancer Drugs 2006, 17, 41–51. [Google Scholar] [CrossRef]
  20. Rinke, K.; Grünert, R.; Bednarski, P.J. New synthetic route to [bis-1,2-(aminomethyl)benzene]dichloroplatinum(II) complexes, screening for cytotoxic activity in cisplatin-sensitive and resistant human cancer cell lines, and reaction with glutathione. Pharmazie 2001, 56, 763–769. [Google Scholar]
  • Sample Availability: Samples of the compounds 3, 4 and 8 are available from the authors.

Share and Cite

MDPI and ACS Style

Sączewski, F.; Kuchnio, A.; Samsel, M.; Łobocka, M.; Kiedrowska, A.; Lisewska, K.; Sączewski, J.; Gdaniec, M.; Bednarski, P.J. Synthesis of Novel Aryl(heteroaryl)sulfonyl Ureas of Possible Biological Interest. Molecules 2010, 15, 1113-1126. https://doi.org/10.3390/molecules15031113

AMA Style

Sączewski F, Kuchnio A, Samsel M, Łobocka M, Kiedrowska A, Lisewska K, Sączewski J, Gdaniec M, Bednarski PJ. Synthesis of Novel Aryl(heteroaryl)sulfonyl Ureas of Possible Biological Interest. Molecules. 2010; 15(3):1113-1126. https://doi.org/10.3390/molecules15031113

Chicago/Turabian Style

Sączewski, Franciszek, Anna Kuchnio, Monika Samsel, Marta Łobocka, Agnieszka Kiedrowska, Karolina Lisewska, Jarosław Sączewski, Maria Gdaniec, and Patrick J. Bednarski. 2010. "Synthesis of Novel Aryl(heteroaryl)sulfonyl Ureas of Possible Biological Interest" Molecules 15, no. 3: 1113-1126. https://doi.org/10.3390/molecules15031113

APA Style

Sączewski, F., Kuchnio, A., Samsel, M., Łobocka, M., Kiedrowska, A., Lisewska, K., Sączewski, J., Gdaniec, M., & Bednarski, P. J. (2010). Synthesis of Novel Aryl(heteroaryl)sulfonyl Ureas of Possible Biological Interest. Molecules, 15(3), 1113-1126. https://doi.org/10.3390/molecules15031113

Article Metrics

Back to TopTop