A Novel Benzo[f][1,7]Naphthyridine Produced by Streptomyces Albogriseolus from Mangrove Sediments
Abstract
:1. Introduction

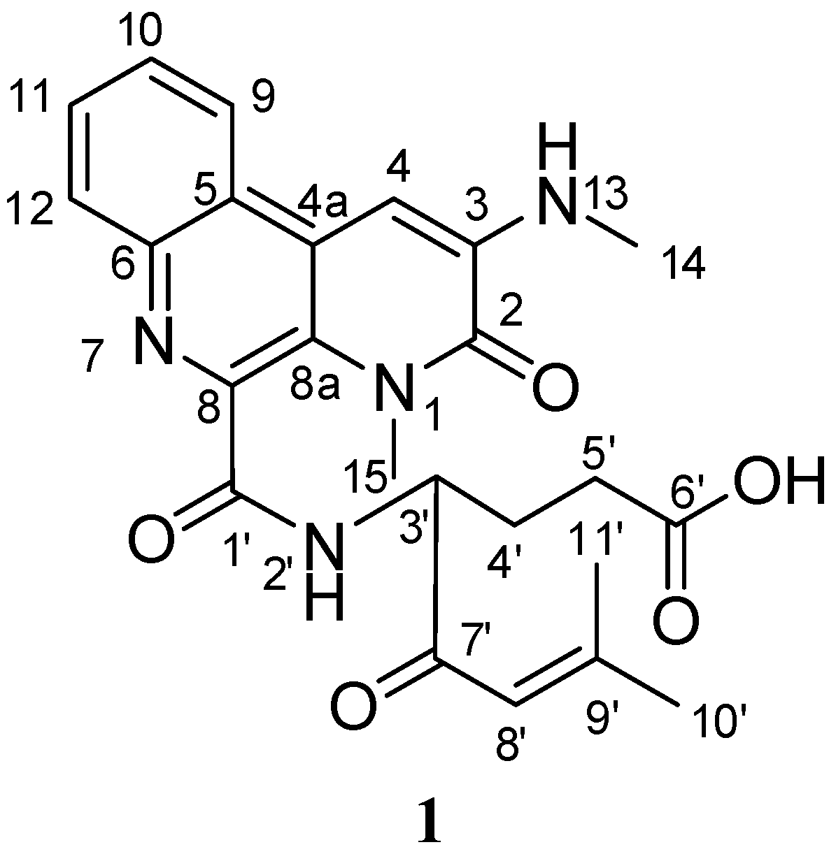
2. Results and Discussion

| Position | 1 | |
|---|---|---|
| δH | δC | |
| 1 | -- | -- |
| 2 | -- | 157.9 s |
| 3 | -- | 142.2 s |
| 4 | 7.28 s | 95.8 d |
| 4a | -- | 123.0 s |
| 5 | -- | 123.2 s |
| 6 | -- | 142.0 s |
| 7 | -- | -- |
| 8 | -- | 145.3 s |
| 8a | -- | 125.8 s |
| 9 | 8.63 d (8.3) | 123.4 d |
| 10 | 7.68 dd (8.3, 1.1) | 127.5 d |
| 11 | 7.72 dd (8.4, 1.1) | 128.6 d |
| 12 | 7.98 d (8.4) | 129.5 d |
| 13-NH | 6.92 q (5.1) | -- |
| 14 | 2.98 d (5.0) | 29.9 q |
| 15 | 3.71 s | 34.9 q |
| 1′ | -- | 169.2 s |
| 2′-NH | 9.24 d (7.4) | -- |
| 3′ | 4.57 ddd (8.4, 7.3, 4.8) | 58.8 d |
| 4′ | 2.10 m1.89 dddd (14.6, 8.4, 8.4, 8.4) | 25.9 t |
| 5′ | 2.39 m | 30.8 t |
| 6′ | -- | 174.0 s |
| 7′ | -- | 198.4 s |
| 8′ | 6.46 s | 121.5 d |
| 9′ | -- | 157.8 s |
| 10′ | 1.94 s | 21.1 q |
| 11′ | 2.16 s | 28.0 q |
| 6′-OH | 12.23 s | -- |
| Carbon | δexpt. | δ cald. | Δ (δ cald. − δexpt.) |
|---|---|---|---|
| 2 | 157.9 s | 158.8 | +0.9 |
| 3 | 142.2 s | 141.5 | +0.7 |
| 4 | 95.8 d | 93.2 | +2.4 |
| 4a | 123.0 s | 127.4 | +4.4 |
| 5 | 123.2 s | 123.9 | +0.7 |
| 6 | 142.0s | 146.1 | +4.1 |
| 8 | 145.3 s | 144.3 | +1.0 |
| 8a | 125.8 s | 129.2 | +3.4 |
| 9 | 123.4 d | 120.7 | +2.7 |
| 10 | 127.5 d | 128.2 | +0.7 |
| 11 | 128.6 d | 127.7 | +1.1 |
| 12 | 129.5 d | 135.0 | +5.5 |
3. Experimental
3.1. General
3.2. Strain Isolation, Characterization, and Cultivation
3.3. Extraction and Isolation
3.4. Computational Methods
4. Conclusions
Acknowledgements
References and Notes
- Ghosh, A.; Dey, N.; Bera, A.; Tiwari, A.; Sathyaniranjan, K.; Chakrabarti, K.; Chattopadhyay, D. Culture independent molecular analysis of bacterial communities in the mangrove sediment of Sundarban, India. Saline Systems 2010, 6, 1. [Google Scholar] [CrossRef]
- Xu, J.; Wang, Y.; Xie, S.J.; Xu, J.; Xiao, J.; Ruan, J.S. Streptomyces xiamenensis sp. nov., isolated from mangrove sediment. Int. J. Syst. Evol. Microbiol. 2009, 59, 472–476. [Google Scholar] [CrossRef]
- Xiao, J.; Wang, Y.; Luo, Y.; Xie, S.J.; Ruan, J.S.; Xu, J. Streptomyces avicenniae sp. nov., a novel actinomycete isolated from the rhizosphere of the mangrove plant Avicennia mariana. Int. J. Syst. Evol. Microbiol. 2009, 59, 2624–2628. [Google Scholar] [CrossRef]
- Guan, S.; Grabley, S.; Groth, I.; Lin, W.; Christner, A.; Guo, D.; Sattler, I. Structure determination of germacrane-type sesquiterpene alcohols from an endophyte Streptomyces griseus subsp. Magn. Reson. Chem. 2005, 43, 1028–1031. [Google Scholar] [CrossRef]
- Guan, S.H.; Sattler, I.; Lin, W.H.; Guo, D.A.; Grabley, S. p-Aminoacetophenonic acids produced by a mangrove endophyte: Streptomyces griseus subsp. J. Nat. Prod. 2005, 68, 1198–1200. [Google Scholar] [CrossRef]
- Lin, W.; Li, L.; Fu, H.; Sattler, I.; Huang, X.; Grabley, S. New cyclopentenone derivatives from an endophytic Streptomyces sp. isolated from the mangrove plant Aegiceras comiculatum. J. Antibiot (Tokyo) 2005, 58, 594–598. [Google Scholar] [CrossRef]
- Wang, F.; Xu, M.; Li, Q.; Sattler, I.; Lin, W. p-Aminoacetophenonic Acids Produced by a Mangrove Endophyte Streptomyces sp. (strain HK10552). Molecules 2010, 15, 2782–2790. [Google Scholar] [CrossRef]
- Xu, M.; Gessner, G.; Groth, I.; Lange, C.; Christner, A.; T., B.; Deng, Z.; Li, X.; Heinemann, S.H.; Grabley, S.; Bringmann, G.; Sattler, I.; Lin, W. Shearinines D-K, new indole triterpenoids from an endophytic Penicillium sp. (strain HKI0459) with blocking activity on large-conductance calcium-activated potassium channels. Tetrahedron 2007, 63, 435–444. [Google Scholar]
- Cui, C.B.; Liu, H.B.; Gu, J.Y.; Gu, Q.Q.; Cai, B.; Zhang, D.Y.; Zhu, T.J. Echinosporins as new cell cycle inhibitors and apoptosis inducers from marine-derived Streptomyces albogriseolus. Fitoterapia 2007, 78, 238–240. [Google Scholar] [CrossRef]
- Stapley, E.O.; Mata, J.M. Antibiotics cephamycin C and toyocamycin by fermentation of Streptomyces albogriseolus. United States Patent 3914158, 1975. [Google Scholar]
- Benedict, R.G.; Shotwell, O.L.; Pridham, T.G.; Lindenfelser, L.A.; Haynes, W.C. The production of the neomycin complex by Streptomyces albogriseolus, nov. sp. Antibiot. Chemother. 1954, 4, 653–656. [Google Scholar]
- Kenji, K.; Hiroshi, N.; Kazuo, N.; Yoshiro, O.; Tomio, T. Thienodolin, a new plant growth-regulating substance produced by a streptomycete strain: II structure of thienodolin. Biosci. Biotechnol. Biochem. 1993, 57, 636–637. [Google Scholar] [CrossRef]
- Timmons, C.; Wipf, P. Density functional theory calculation of 13C NMR shifts of diazaphenanthrene alkaloids: reinvestigation of the structure of samoquasine A. J. Org. Chem. 2008, 73, 9168–9170. [Google Scholar] [CrossRef]
- Frisch, J.; Trucks, G.W.; Schlegel, H.B.; Scuseria, G.E.; Robb, M.A.; Cheeseman, J.R.; Scalmani, G.; Barone, V.; Mennucci, B.; Petersson, G.A.; Nakatsuji, H.; Caricato, M.; Li, X.; Hratchian, H.P.; Izmaylov, A.F.; Bloino, J.; Zheng, G.; Sonnenberg, J.L.; Hada, M.; Ehara, M.; Toyota, K.; Fukuda, R.; Hasegawa, J.; Ishida, M.; Nakajima, T.; Honda, Y.; Kitao, O.; Nakai, H.; Vreven, T.; Montgomery, J.J.A.; Peralta, J.E.; Ogliaro, F.; Bearpark, M.; Heyd, J.J.; Brothers, E.; Kudin, K.N.; Staroverov, V.N.; Kobayashi, R.; Normand, J.; Raghavachari, K.; Rendell, A.; Burant, J.C.; Iyengar, S.S.; Tomasi, J.; Cossi, M.; Rega, N.; Millam, J.M.; Klene, M.; Knox, J.E.; Cross, J.B.; Bakken, V.; Adamo, C.; Jaramillo, J.; Gomperts, R.; Stratmann, R.E.; Yazyev, O.; Austin, A.J.; Cammi, R.; Pomelli, C.; Ochterski, J.W.; Martin, R.L.; Morokuma, K. Gaussian 2009, Revision A.02. Gaussian Inc.: Wallingford, CT, 2009. [Google Scholar]
- Becke, A.D. Density-functional thermochemistry. III. The role of exact exchange. J. Chem. Phys. 1993, 98, 5648–5652. [Google Scholar] [CrossRef]
- Schuler, R.H.; Albarran, G.; Zajicek, J.; George, M.V.; Fessenden, R.W.; Carmichael, I. On the addition of OH radicals to the Ipso positions of alkyl-substituted aromatics: Production of 4-hydroxy-4-methyl-2,5-cyclohexadien-1-one in the adiolytic oxidation of p-Cresol. J. Phys. Chem. A 2002, 106, 12178–12183. [Google Scholar]
- Shubina, L.K.; Kalinovsky, A.I.; Fedorov, S.N.; Radchenko, O.S.; Denisenko, V.A.; Dmitrenok, P.S.; Dyshlovoy, S.A.; Krasokhin, V.B.; Stonik, V.A. Aaptamine alkaloids from the Vietnamese sponge Aaptos sp. Nat. Prod. Commun. 2009, 4, 1085–1088. [Google Scholar]
- Shaari, K.; Ling, K.C.; Rashid, Z.M.; Jean, T.P.; Abas, F.; Raof, S.M.; Zainal, Z.; Lajis, N.H.; Mohamad, H.; Ali, A.M. Cytotoxic aaptamines from Malaysian Aaptos aaptos. Mar. Drugs 2009, 7, 1–8. [Google Scholar]
- Jang, K.H.; Chung, S.C.; Shin, J.; Lee, S.H.; Kim, T.I.; Lee, H.S.; Oh, K.B. Aaptamines as sortase A inhibitors from the tropical sponge Aaptos aaptos. Bioorg. Med. Chem. Lett. 2007, 17, 5366–5369. [Google Scholar] [CrossRef]
- Ohizumi, Y.; Kajiwara, A.; Nakamura, H.; Kobayashi, J. Alpha-adrenoceptor blocking action of aaptamine, a novel marine natural product, in vascular smooth muscle. J. Pharm. Pharmacol. 1984, 36, 785–786. [Google Scholar]
- Aoki, S.; Kong, D.; Suna, H.; Sowa, Y.; Sakai, T.; Setiawan, A.; Kobayashi, M. Aaptamine, a spongean alkaloid, activates p21 promoter in a p53-independent manner. Biochem. Biophys. Res. Commun. 2006, 342, 101–106. [Google Scholar] [CrossRef]
- Pettit, G.R.; Hoffmann, H.; Herald, D.L.; McNulty, J.; Murphy, A.; Higgs, K.C.; Hamel, E.; Lewin, N.E.; Pearce, L.V.; Blumberg, P.M.; Pettit, R.K.; Knight, J.C. Antineoplastic agents 491. Synthetic conversion of aaptamine to isoaaptamine, 9-demethylaaptamine, and 4-methylaaptamine. J. Org. Chem. 2004, 69, 2251–2256. [Google Scholar]
- Bowling, J.J.; Pennaka, H.K.; Ivey, K.; Wahyuono, S.; Kelly, M.; Schinazi, R.F.; Valeriote, F.A.; Graves, D.E.; Hamann, M.T. Antiviral and anticancer optimization studies of the DNA-binding marine natural product aaptamine. Chem. Biol. Drug Des. 2008, 71, 205–215. [Google Scholar] [CrossRef]
- Walz, A.J.; Sundberg, R.J. Synthesis of 8-methoxy-1-methyl-1H-benzo[de][1,6]naphthyridin-9-ol (Isoaaptamine) and analogues. J. Org. Chem. 2000, 65, 8001–8010. [Google Scholar] [CrossRef]
- Gross, H.; Goeger, D.E.; Hills, P.; Mooberry, S.L.; Ballantine, D.L.; Murray, T.F.; Valeriote, F.A.; Gerwick, W.H. Lophocladines, bioactive alkaloids from the red alga Lophocladia sp. J. Nat. Prod. 2006, 69, 640–644. [Google Scholar] [CrossRef]
- Nilar, N.; Sidebottom, P.J.; Carte, B.K.; Butler, M.S. Three new pyridoacridine type alkaloids from a singaporean ascidian. J. Nat. Prod. 2002, 65, 1198–1200. [Google Scholar] [CrossRef]
- Sample Availability: Samples of compound 1 are available from authors.
© 2010 by the authors; licensee MDPI, Basel, Switzerland. This article is an open access article distributed under the terms and conditions of the Creative Commons Attribution license (http://creativecommons.org/licenses/by/3.0/).
Share and Cite
Li, X.-L.; Xu, M.-J.; Zhao, Y.-L.; Xu, J. A Novel Benzo[f][1,7]Naphthyridine Produced by Streptomyces Albogriseolus from Mangrove Sediments. Molecules 2010, 15, 9298-9307. https://doi.org/10.3390/molecules15129298
Li X-L, Xu M-J, Zhao Y-L, Xu J. A Novel Benzo[f][1,7]Naphthyridine Produced by Streptomyces Albogriseolus from Mangrove Sediments. Molecules. 2010; 15(12):9298-9307. https://doi.org/10.3390/molecules15129298
Chicago/Turabian StyleLi, Xiao-Ling, Min-Juan Xu, Yi-Lei Zhao, and Jun Xu. 2010. "A Novel Benzo[f][1,7]Naphthyridine Produced by Streptomyces Albogriseolus from Mangrove Sediments" Molecules 15, no. 12: 9298-9307. https://doi.org/10.3390/molecules15129298
APA StyleLi, X.-L., Xu, M.-J., Zhao, Y.-L., & Xu, J. (2010). A Novel Benzo[f][1,7]Naphthyridine Produced by Streptomyces Albogriseolus from Mangrove Sediments. Molecules, 15(12), 9298-9307. https://doi.org/10.3390/molecules15129298
