Development of Designed Site-Directed Pseudopeptide-Peptido-Mimetic Immunogens as Novel Minimal Subunit-Vaccine Candidates for Malaria
Abstract
:Abbreviations
| HABP | High activity binding peptide |
| MHC | major histocompatibility complex |
| TCR | T-cell receptor |
| TCC | T-cell clone |
| APC | antigen presenting cell |
| CDR | complimentarily determinant region |
| HLA | human leukocyte antigens |
| IL-4 | interleulin-4 |
| INF-γ | gamma interferon |
| mAb | monoclonal antibody |
| MSA-1 or MSP-1 | Merozoite Surface Antigen-1 |
| MSA-2 or MSP-2 | Merozoite Surface Antigen-2 |
| rMSP-1 | recombinant merozoite surface protein-1 fragment |
| RBC | red blood cells |
| iRBC | infected red blood cell |
| CSP | Circumsporozoite Surface Protein |
| IgM | immunoglobulin-M isotype |
| IgG | immunoglobulin-G isotype |
| F(ab)2’ | immunoglobulins antigen binding fragment-2 |
| NaBH(OAc)3 | triacetoxyborohydride |
| DMF | N,N’-dimethylformamide |
| DCE | dichloro-ethane |
| THF | tetrahydrofuran |
| NaCNBH3 | sodium cyanoborohydride |
| Pd/C | palladium over charcoal |
| 4-MBHA | 4-methylbenzhydrylamine |
| t-Boc | tert-butyloxycarbonyl |
| DIEA | 9-fluorenylmethyloxycarbonyl |
| Fmoc | diisopropylethylamine |
| TFA | trifluoroacetic acid |
| TFE | trifluoroethanol |
| m-R,S-TMD | 2,2,5-trimethyl-1,3-dioxane-4,6-dione |
| RP-HPLC | reverse phase-high performance liquid chromatography |
| [D6]DMSO | deuterated-dimethylsulfoxide |
| 1H-NMR | proton-nuclear magnetic resonance |
| CD | Circular Dichroism |
| NOE | Nuclear Overhauser effect |
| SPf-66 | Synthetic Plasmodium falciparum-66 vaccine |
1. Introduction
Malaria
2. Peptide Bond Transition State Analogues

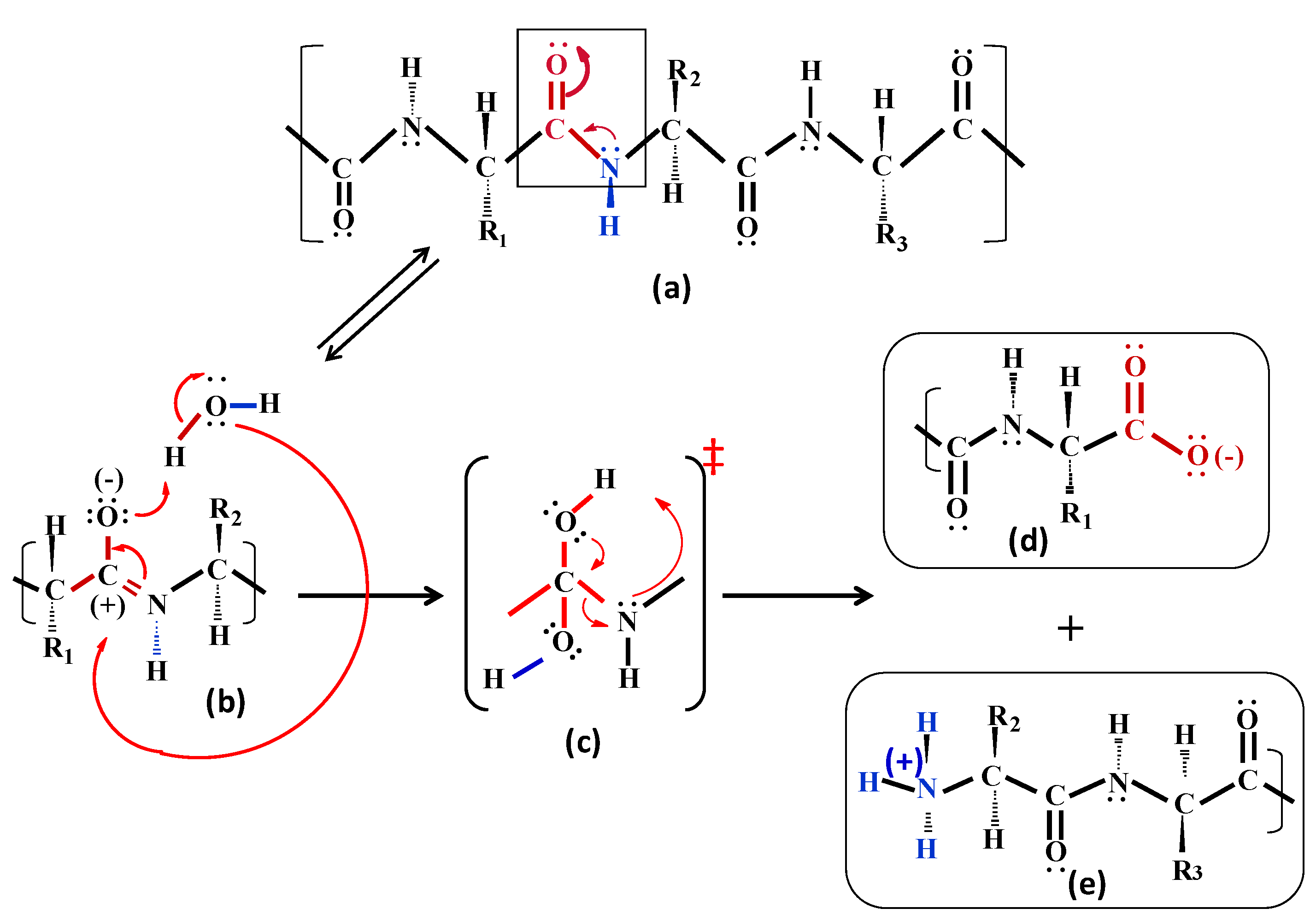
The transition state theory

3. The Peptide Bond as an Immunotherapeutic Target for Molecule Design
3.1. Synthesis of reduced amide peptide bond isosters towards exploring the role of backbone malarial antigens and urea-motif containing pseudopeptides

3.2. Reduced amide isoster analogues

3.3. Synthesis of all-retro and all-retro-inverso peptide bond topochemical-surrogates in the exploration of a malarial antigen

3.4. Succinimidyl carbamate derivatives from N-protected α-amino-acids and dipeptides. Synthesis of ureidopeptides and oligourea peptide pseudopeptides

3.5. Solid-phase synthesis of ureidopeptides and oligo-(amide/urea) hybrids
4. Immunological Significance of Site-directed Modifications Performed on Malarial Target Antigens
4.1. Characterization of a reduced peptide bond analogue from a promiscuous CD4 T cell epitope derived from the merozoite surface protein-1 malaria vaccine candidate of Plasmodium falciparum

4.2. Mapping the anatomy of a Plasmodium falciparum MSP-1 epitope using pseudopeptide-induced mono- and polyclonal antibodies, and CD and NMR conformation analysis

4.3. MSP-1 malaria pseudopeptide analogs: biological and immunological significance and three-dimensional structure



4.4. Antibodies induced by Plasmodium falciparum merozoite surface antigen-2-designed pseudopeptides, possess neutralizing properties of the in vitro malarial infection

4.5. Passive transfer of Plasmodium falciparum MSP-2 pseudopeptide-induced antibodies efficiently controlled parasitemia in Plasmodium berghei-infected mice
4.6. Antimalarial protection is conferred by passively transferring rabbit F(ab)2’ antibody fragments induced against Plasmodium falciparum MSP-1 site-directed modified pseudopeptides in a rodent model


5. Conclusions
Acknowledgements
- Samples Availability: Samples are available from the authors.
References
- Dellicour, S.; Tatem, A.J.; Guerra, C.A.; Snow, R.W.; ter Kuile, F.O. Quantifying the Number of Pregnancies at Risk of Malaria in 2007. A Demographic Study. PLoS Med. 2010, 7, e1000221. [Google Scholar] [CrossRef]
- Graves, P.; Gelband, H.; Garne, P. The SPf66 malaria vaccine: what is the evidence for efficacy? Parasitol. Today 1998, 14, 219. [Google Scholar]
- Patarroyo, M.E.; Romero, P.; Torres, M.L.; Clavijo, P.; Moreno, A.; Martínez, A.; Rodríguez, R.; Guzmán, F.; Cabezas, E. Induction of protective immunity against experimental infection with malaria using synthetic peptides. Nature 1987, 328, 629–632. [Google Scholar]
- Patarroyo, M.E.; Amador, R.; Clavijo, P.; Moreno, A.; Guzmán, F.; Romero, P.; Tascón, R.; Franco, A.; Murillo, L.; Pontón, G.; Trujillo, G. A synthetic vaccine protects humans against challenge with asexual blood stages of Plasmodium falciparum malaria. Nature 1988, 332, 158–161. [Google Scholar]
- Miller, L.H.; Good, M.F.; Kaslow, D.C. Vaccines against the blood stages of Falciparum malaria. Adv. Exp. Med. Biol. 1998, 452, 193–205. [Google Scholar] [CrossRef]
- Holder, A.; Lockyer, M.J.; Odink, K.G.; Sandhu, J.S.; Riveros, M.V.; Davey, L.S.; Tizard, M.L.V.; Schwarz, R.T.; Freeman, R.R. Primary structure of the precursor to the three major surface antigens of plasmodium falciparum merozoites. Nature 1985, 317, 270–273. [Google Scholar]
- Tanabe, K.; Makay, M.; Goman, M.; Scaife, J.G. Allelic dimorphism in a surface antigen gene of the malaria parasite Plasmodium falciparum. J. Mol. Biol. 1987, 195, 273–287. [Google Scholar] [CrossRef]
- Fenton, B.; Clark, J.T.; Khan, C.M.; Robinson, J.V.; Walliker, D.; Ridley, R. Structural and antigenic polymorphism of the 35- to 48-kilodalton merozoite surface antigen (MSA-2) of the malaria parasite Plasmodium falciparum. Mol. Cell Biol. 1991, 11, 963–971. [Google Scholar]
- Lerner, R.A.; Benkovic, S.J.; Schultz, P.G. At the crossroads of chemistry and immunology: catalytic antibodies. Science 1991, 252, 659–667. [Google Scholar]
- Li, K.; Foy, E.; Ferreon, J.C.; Nakamura, M.; Ferreon, A.C.; Ikeda, M.; Ray, S.C.; Gale, M.; Lemon, S.M. Immune evasion by hepatitis C virus NS3/4A protease-mediated cleavage of the Toll-like receptor 3 adaptor protein TRIF. Proc. Natl. Acad. Sci. USA 2005, 102, 2992–2997. [Google Scholar]
- Kontogiorgis, C.A.; Papaioannou, P.; Hadjipavlou-Litina, D.J. Matrix metalloproteinase inhibitors: a review on pharmacophore mapping and (Q)SARs results. Curr. Med. Chem. 2005, 12, 339–355. [Google Scholar] [CrossRef]
- Spatola, A.F. Chemistry and Biochemistry of Amino acids, Peptides and Proteins; Weinstein, B., Ed.; Marcel Dekker Inc.: New York, NY, USA, 1983; Volume 7, pp. 267–357. [Google Scholar]
- Sefler, A.M.; He, J.X.; Sawyer, T.K.; Holub, K.E.; Omecinsky, D.O.; Reily, M.D.; Thanabal, V.; Akunne, H.C.; Cody, W.L. Design and structure-activity relationships of C-terminal cyclic neurotensin fragment analogues. J. Med. Chem. 1995, 38, 249–257. [Google Scholar] [CrossRef]
- Guichard, G. Pseudopeptides in Drug Development; Nielsen, P.E., Ed.; Wiley-VCH: Weinheim, Germany, 2004; pp. 33–120. [Google Scholar]
- Kritzer, J.A.; Stephens, O.M.; Guarracino, D.A.; Reznik, S.K.; Schepartz, A. β-Peptides as inhibitors of protein-protein interactions. Bioorg. Med. Chem. 2005, 13, 11–16. [Google Scholar] [CrossRef]
- Fischer, L.; Didierjean, C.; Jolibois, F.; Semetey, V.; Lozano, J.M.; Briand, J.P.; Marraud, M.; Poteau, R.; Guichard, G. Propensity for local folding induced by the urea fragment in short-chain Oligomers. Org. Biomol. Chem. 2008, 6, 2596–2610. [Google Scholar] [CrossRef]
- Sasaki, Y.; Coy, D. Solid phase synthesis of peptides containing the CH2NH peptide bond isostere. Peptides 1987, 1, 119–121. [Google Scholar] [CrossRef]
- Sasaki, Y.; Murphy, W.; Coy, D. Solid-phase synthesis and biological properties of ψ[CH2NH] pseudopeptide analogues of a highly potent somatostatin octapeptide. J. Med. Chem. 1987, 30, 1162–1166. [Google Scholar] [CrossRef]
- Kamphuis, I.G.; Drenth, J.; Baker, E.N. Thiol proteases. Comparative studies based on the high-resolution structures of papain and actinidin, and on amino acid sequence information for cathepsins B and H, and stem bromelain. J. Mol. Biol. 1985, 182, 317–329. [Google Scholar] [CrossRef]
- Chorev, M.; Goodman, M. Recent developments in retro peptides and proteins - an ongoing topochemical exploration. Trends Biotechnol. 1995, 13, 438–45. [Google Scholar] [CrossRef]
- Bastian, M.; Lozano, J.M.; Patarroyo, M.E.; Pluschke, G.; Daubenberger, C.A. Characterization of a reduced peptide bond analogue of a promiscuos CD4 T cell epitope derived from the Plasmodium falciparum malaria vaccine candidate merozoite surface protein 1. Mol. Immunol. 2004, 41, 775–784. [Google Scholar] [CrossRef]
- Merrifield, R.B. Solid phase peptide synthesis. I. The synthesis of a tetrapeptide. J. Am. Chem. Soc. 1963, 85, 2149. [Google Scholar] [CrossRef]
- Houghten, R.A. General method for the rapid solid-phase peptide synthesis of the large number of peptides: specificity of antigenantibody interactions of the level of individual amino acids. Proc. Natl. Acad. Sci. USA 1985, 82, 5131. [Google Scholar] [CrossRef]
- Guichard, G. Solid-Phase Synthesis; Kates, S., Albericio, F., Eds.; Marcel Dekker: New York, NY, USA, 2000; pp. 649–703. [Google Scholar]
- Kruijzer, J.A.W.; Lefeber, D.J.; Liskamp, R.M.J. Approaches to the Synthesis of Ureapeptoid Peptidomimetics. Tetrahedron Lett. 1997, 38, 5335–5338. [Google Scholar] [CrossRef]
- Mardsen, A.F.; Caffrey, P.; Aparicio, J.F.; Loughran, M.S.; Staunton, J.; Leadlay, P.F. Stereospecific Acyl Transfers on the Erythromycin-Producing Polyketide Synthase. Science 1994, 263, 380–384. [Google Scholar]
- Du, X.; Hansell, E.; Engel, J.C.; Caffrey, C.R.; Cohen, F.E.; McKerrow, J.H. Aryl ureas represent a new class of anti-trypanosomal agents. Chem. Biol. 2000, 7, 733–742. [Google Scholar] [CrossRef]
- Kozikowski, A.P.; Zhang, J.; Nan, F.; Petukhov, P.A.; Grajkowska, E.; Wroblewski, J.T.; Yamamoto, T.; Bzdega, T.; Wroblewska, B.; Neale, J.H. Synthesis of urea-based inhibitors as active site probes of glutamate carboxypeptidase II: efficacy as analgesic agents. J. Med. Chem. 2004, 47, 1729–1738. [Google Scholar]
- Dannecker, W.; Kopf, J.; Rust, H. N,N'-Diphenylurea, C13H12N20. Cryst. Struct. Commun. 1979, 8, 429. [Google Scholar]
- Ranganathan, D.; Kurur, S.; Madhusudanan, K.P.; Karle, I.L. Self-assembling Urea-based Peptidomimetics: A Simple One-step Synthesis and Crystal Structure of Core b-Alanyl Ureylene Retro-bispeptides (MeO-Aaa-[NH-CO-NH]-CH2-CH2-CO-NH-Aaa-OMe; Aaa= amino acid A). Tetrahedron Lett. 1997, 38, 4659–4662. [Google Scholar]
- Semetey, V.; Didierjean, C.; Briand, J.P.; Aubry, A.; Guichard, G. Stable helical secondary structure in short chain N,N’-linked oligoureas bearing proteinogenic side chains. Angew. Chem. Int. Ed. 2002, 41, 1895–1898. [Google Scholar] [CrossRef]
- Nowick, J.S. Chemical models of protein β–sheets. Acc. Chem. Res. 1999, 32, 287–296. [Google Scholar] [CrossRef]
- Violette, A.; Averlant-Petit, M.C.; Semetey, V.; Hemmerlin, C.; Casimir, R.; Graff, R.; Marraud, M.; Briand, J.P.; Rognan, D.; Guichard, G. N,N´-Linked Olgoureas as foldamers: Chain Length requirements for helix formation in protic solvent investigated by circular dichroism, NMR spectroscopy and molecular dynamics. J. Am. Chem. Soc. 2005, 127, 2156–2164. [Google Scholar]
- Violette, A.; Fournel, S.; Lamour, K.; Chaloin, O.; Frisch, B.; Briand, J.P.; Monteil, H.; Guichard, G. Mimicking Helical Antibacterial Peptides with Nonpeptidic Folding Oligomers. Chem. Biol. 2006, 13, 531–538. [Google Scholar] [CrossRef]
- Tritsch, G.L.; Wooley, D.W. The Synthesis of L-Leucyl-L-valyl-L-cysteinylglycyl-L-glutyl-Larginine, an Insulin Fragment with Strepogenin Activity. J. Am. Chem. Soc. 1960, 82, 2787–2793. [Google Scholar] [CrossRef]
- Vegner, R.E.; Chipens, G.I.; Kibirev, V.K. Synthesis of [1-(ethyl ester of carbonylglycine), 2-D-arginine, 5-valine]-angiotensin II and [1-carbon-ylglycinamide, 2-D-arginine, 5-valine]-angiotensin II. Chem. Nat. Compd. 1975, 9, 481–484. [Google Scholar]
- Kawasaki, K.; Maeda, M.; Watanabe, J.; Kaneto, H. Amino acids and peptides IX. Synthetic studies on Le-enkephalin analogues containing a ureylene bond. Chem. Pharm. Bull. 1988, 36, 1766–1771. [Google Scholar] [CrossRef]
- Rodriguez, M.; Dubreuil, P.; Bali, J.P.; Martinez, J. Synthesis and biological activity of partially modified retro-inverso pseudopeptide derivatives of the C-terminal tetrapeptide of gastrin. J. Med. Chem. 1987, 30, 758–763. [Google Scholar] [CrossRef]
- Myers, A.C.; Kowalski, J.A.; Lipton, M.A. Facile incorporation of urea pseudopeptides into protease substrate analogue inhibitors. Bioorg. Med. Chem. Lett. 2004, 14, 5219–5222. [Google Scholar] [CrossRef]
- Guerlavais, V.; Boeglin, D.; Mousseaux, D.; Oiry, C.; Heitz, A.; Deghenghi, R.; Locatelli, V.; Torsello, A.; Ghe, C.; Catapano, F.; Muccioli, G.; Galleyrand, J.C.; Fehrentz, J.A.; Martinez, J. New active series of growth hormone secretagogue. J. Med. Chem. 2003, 46, 1191–1203. [Google Scholar] [CrossRef]
- Mishnev, A.F.; Bleidelis, Y.Y.; Liepin'sh, E.E.; Ramzaeva, N.P.; Goncharova, I.N. Synthesis and structure of 6-substituted 9-(2-ethoxy-1,3-dioxan-5-yl)purines. Chem. Heterocycl. Compd. 1979, 15, 798–804. [Google Scholar]
- Semetey, V.; Hemmerlin, C.; Didierjean, C.; Schaffner, A.P.; Giner, A.G.; Aubry, A.; Briand, J.P.; Marraud, M.; Guichard, G. Unexpected stability of the urea cis-trans isomer in urea containing model pseudopeptides. Org. Lett. 2001, 3, 3843–3846. [Google Scholar] [CrossRef]
- Sureshbabu, V.V.; Patil, B.S.; Venkataramanarao, R. Preparation, isolation, and characterization of Nalpha-Fmoc-peptide isocyanates: solution synthesis of oligo-alpha-peptidyl ureas. J. Org. Chem. 2006, 71, 7697–7705. [Google Scholar] [CrossRef]
- Valmori, D.; Fonteneau, J.F.; Lizana, C.; Gervois, N.; Lienard, D.; Rimoldi, D.; Jongeneel, V.; Jotereau, F.; Cerottini, J.C.; Romero, P. Enhanced generation of specific tumor-reactive CTL in vitro by selected Melan-A/MART-1 immunodominant peptide analogues. J. Immunol. 1998, 160, 1750–1758. [Google Scholar]
- Neimark, J.; Briand, J.P. Development of a fully automated multichannel peptide synthesizer with integrated TFA cleavage capability. J.Pept. Res. 1993, 6, 219–228. [Google Scholar]
- Fischer, L.; Semetey, V.; Lozano, J.M.; Schaffner, A.P.; Briand, J.P.; Didierjean, C.; Guichard, G. Succinimidyl Carbamate Derivatives from N-Protected α-Amino Acids and Dipeptides-Synthesis of Ureidopeptides and Oligourea/Peptide Hybrids. Eur. J. Org. Chem. 2007, 2511–2525. [Google Scholar]
- Altomare, M.C.; Burla, M.; Camalli, G.; Cascarano, C.; Giacovazzo, A.; Guagliardi, G.; Polidori, G. SIR92 - a program for automatic solution of crystal structures by direct methods. J. Appl. Crystallogr. 1994, 27, 435–436. [Google Scholar]
- Loudon, G.M.; Almond, M.R.; Jacob, J.N. The mechanism of hydrolysisof N-(1-Aminoalkyl) Amides. J. Am. Chem. Soc. 1981, 103, 4508–4515. [Google Scholar] [CrossRef]
- Ostankovitch, M.; Guichard, G.; Connan, F.; Muller, S.; Chaboissier, A.; Hoebeke, J.; Choppin, J.; Briand, J.P.; Guillet, J.G. A partially modified retro-inverso pseudopeptide modulates the cytokine profile of CTL specific for an influenza virus epitope. J. Immunol. 1998, 161, 200–208. [Google Scholar]
- Albo, F.; Cavazza, A.; Giardina, B.; Lippa, S.; Marini, M.; Roda, L.G.; Spagnoli, G. Degradation of the immunogenic peptide gp100 (280–288) by the monocyte-like U937 cell line. Peptides 2003, 24, 371–378. [Google Scholar] [CrossRef]
- Lozano, J.M.; Espejo, F.; Diaz, D.; Salazar, L.M.; Rodriguez, J.; Pinzon, C.; Calvo, J.C.; Guzman, F.; Patarroyo, M.E. Reduced amide pseudopeptide analogues of a malaria peptide possess secondary structural elements responsible for induction of functional antibodies which react with native proteins expressed in Plasmodium falciparum erythrocyte stages. J. Pept. Res. 1998, 52, 457–469. [Google Scholar]
- Lozano, J.M.; Alba, M.P.; Vanegas, M.; Silva, Y.; Torres-Castellanos, J.L.; Patarroyo, M.E. MSP-1 malaria pseudopeptide analogs: biological and immunological significance and three-dimensional structure. Biol. Chem. 2003, 384, 71–82. [Google Scholar]
- Holder, A.A.; Blackman, M.J. What is the function of MSP-1 on the malaria merozoite? Parasitol. Today 1994, 10, 182–184. [Google Scholar] [CrossRef]
- Carvalho, L.J.; Daniel-Ribeiro, C.T.; Goto, H. Malaria vaccine: candidate antigens, mechanisms, constraints and prospects. Scand. J. Immunol. 2002, 56, 327–343. [Google Scholar] [CrossRef]
- Cheung, A.; Leban, J.; Shaw, A.R.; Merkli, B.; Stocker, J.; Chizzolini, C.; Sander, C.; Perrin, L.H. Immunization with synthetic peptides of a Plasmodium falciparum surface antigen induces antimerozoite antibodies. Proc. Natl. Acad. Sci. USA 1986, 83, 8328–8332. [Google Scholar] [CrossRef]
- Daubenberger, C.A.; Nickel, B.; Ciatto, C.; Grutter, M.G.; Poltl-Frank, F.; Rossi, L.; Siegler, U.; Robinson, J.; Kashala, O.; Patarroyo, M.E.; Pluschke, G. Amino acid dimorphism and parasite immune evasion: cellular immune responses to a promiscuous epitope of Plasmodium falciparum merozoite surface protein 1 displaying dimorphic amino acid polymorphism are highly constrained. Eur. J. Immunol. 2002, 32, 3667–3677. [Google Scholar] [CrossRef]
- Panina-Bordignon, P.; Tan, A.; Termijtelen, A.; Demotz, S.; Corradin, G.; Lanzavecchia, A. Universally immunogenic T cell epitopes: promiscuous binding to human MHC class II and promiscuous recognition by T cells. Eur. J. Immunol. 1989, 19, 2237–2242. [Google Scholar] [CrossRef]
- Kashala, O.; Amador, R.; Valero, M.V.; Moreno, A.; Barbosa, A.; Nickel, B.; Daubenberger, C.A.; Guzman, F.; Pluschke, G.; Patarroyo, M.E. Safety, tolerability and immunogenicity of new formulations of the Plasmodium falciparum malaria peptide vaccine SPf66 combined with the immunological adjuvant QS-21. Vaccine 2002, 20, 2263–2277. [Google Scholar] [CrossRef]
- Rotzschke, O.; Falk, K.; Mack, J.; Lau, J.M.; Jung, G.; Strominger, J.L. Conformational variants of class II MHC/peptide complexes induced by N- and C-terminal extensions of minimal peptide epitopes. Proc. Natl. Acad. Sci. USA 1999, 96, 7445–7450. [Google Scholar]
- Sant’Angelo, D.B.; Robinson, E.; Janeway, C.A., Jr.; Denzin, L.K. Recognition of core and flanking amino acids of MHC class II-bound peptides by the T cell receptor. Eur. J. Immunol. 2002, 32, 2510–2520. [Google Scholar] [CrossRef]
- Wang, J.H.; Reinherz, E.L. Structural basis of T cell recognition of peptides bound to MHC molecules. Mol. Immunol. 2002, 38, 1039–1049. [Google Scholar] [CrossRef]
- Van Der Merwe, P.A.; Davis, S.J. Molecular interactions mediating T cell antigen recognition. Annu. Rev. Immunol. 2003, 21, 659–684. [Google Scholar] [CrossRef]
- Stemmer, C.; Quesnel, A.; Prevost-Blondel, A.; Zimmermann, C.; Muller, S.; Briand, J.P.; Pircher, H. Protection against lymphocytic choriomeningitis virus infection induced by a reduced peptide bond analogue of the H-2Db-restricted CD8(+) T cell epitope GP33. J. Biol. Chem. 1999, 274, 5550–5556. [Google Scholar]
- Calbo, S.; Guichard, G.; Muller, S.; Kourilsky, P.; Briand, J.P.; Abastado, J.P. Antitumor vaccination using a major histocompatibility complex (MHC) class I-restricted pseudopeptide with reduced peptide bond. J. Immunother. 2000, 23, 125–130. [Google Scholar] [CrossRef]
- Levitsky, V.; Zhang, Q.J.; Levitskaya, J.; Masucci, M.G. The life span of major histocompatibility complex-peptide complexes influences the efficiency of presentation and immunogenicity of two class I restricted cytotoxic T lymphocyte epitopes in the Epstein-Barr virus nuclear antigen 4a. J. Exp. Med. 1996, 183, 915–926. [Google Scholar] [CrossRef]
- Helg, A.; Mueller, M.S.; Joss, A.; Poltl-Frank, F.; Stuart, F.; Robinson, J.A.; Pluschke, G. Comparison of analytical methods for the evaluation of antibody responses against epitopes of polymorphic protein antigens. J. Immunol. Method. 2003, 276, 19–31. [Google Scholar]
- Herrera, S.; Perlaza, B.L.; Bonelo, A.; Arevalo-Herrera, M. Aotus monkeys: their great value for anti-malaria vaccines and drug testing. Int. J. Parasitol. 2002, 32, 1625–1635. [Google Scholar] [CrossRef]
- Stowers, A.W.; Miller, L.H. Are trials in New World monkeys on the critical path for blood-stage malaria vaccine development? Trends Parasitol. 2001, 17, 415–419. [Google Scholar] [CrossRef]
- Lyon, J.A.; Haynes, J.D.; Diggs, C.L.; Chulay, J.D.; Haidaris, C.G.; Pratt-Rossiter, J. Monoclonal antibody characterization of the 195-kDa major surface glycoprotein of Plasmodium falciparum malaria schizonts and merozoites: identification of additional processed products and a serotype-restricted repetitive epitope. J. Immunol. 1987, 138, 895–901. [Google Scholar]
- Pfeiffer, B.; Peduzzi, E.; Moehle, K.; Zurbriggen, R.; Gluck, R.; Pluschke, G.; Robinson, J.A. A virosome-mimotope approach to synthetic vaccine design and optimization: synthesis, conformation, and immune recognition of a potential malaria-vaccine candidate. Angew. Chem. Int. Ed. Engl. 2003, 42, 2368–2371. [Google Scholar] [CrossRef]
- Cubillos, M.; Espejo, F.; Purmova, J.; Martinez, J.C.; Patarroyo, M.E. Alpha helix shortening in 1522 MSP-1 conserved peptide analogues is associated with immunogenicity and protection against Plasmodium falciparum malaria. Proteins 2003, 50, 400–409. [Google Scholar] [CrossRef]
- Espejo, F.; Cubillos, M.; Salazar, L.M.; Guzmán, F.; Urquiza, M.; Ocampo, M.; Silva, Y.; Rodríguez, R.; Lioy, E.; Patarroyo, M.E. Structure, immunogenicity, and protectivity relationship for the 1585 malarial peptide and its substitution analogues. Angew. Chem. Int. Ed. 2001, 40, 4654–4657. [Google Scholar] [CrossRef]
- Lioy, E.; Suarez, J.; Guzmán, F.; Siegrist, S.; Pluschke, G.; Patarroyo, M.E. Synthesis, Biological, and Immunological Properties of Cyclic Peptides from Plasmodium falciparum Merozoite Surface Protein-1. Angew. Chem. Int. Ed. 2001, 40, 2631–2635. [Google Scholar] [CrossRef]
- Stern, L.J.; Brown, J.H.; Jardetzky, T.S.; Gorga, J.C.; Urban, R.G.; Strominger, J.L.; Wiley, D.C. Crystal structure of the human class II MHC protein HLA-DR1 complexed with an influenza virus peptide. Nature 1994, 368, 215–221. [Google Scholar]
- Sloan-Lancaster, J.; Allen, P. Significance of T-cell stimulation by altered peptide ligands in T cell biology. Curr. Opin. Immunol. 1995, 7, 103–109. [Google Scholar]
- Ghosh, P.; Amaya, M.; Mellins, E.; Wiley, D.C. The structure of an intermediate in class II MHC maturation: CLIP bound to HLA-DR3. Nature 1995, 378, 457–462. [Google Scholar]
- Dessen, A.; Lawrence, C.M.; Cupo, S.; Zaller, D.M.; Wiley, D.C. X-ray crystal structure of HLA-DR4 (DRA*0101, DRB1*0401) complexed with a peptide from human collagen II. Immunity 1997, 7, 473–481. [Google Scholar] [CrossRef]
- Suárez, C.F.; Patarroyo, M.E.; Trujillo, E.; Estupiñán, M; Baquero, J.E.; Parra, C.; Rodriguez, R. Owl monkey MHC-DRB exon 2 reveals high similarity with several HLA-DRB lineages. Immunogenetics 2006, 58, 542–558. [Google Scholar] [CrossRef]
- Thomas, A.W.; Carr, D.A.; Carter, J.M.; Lyon, J.A. Sequence comparison of allelic forms of the Plasmodium falciparum merozoite surface antigen MSA2. Mol. Biochem. Parasitol. 1990, 43, 211–220. [Google Scholar] [CrossRef]
- Narum, D.L.; Ogun, S.A.; Batchelor, A.H.; Holder, A.A. Passive immunization with a multicomponent vaccine against conserved domains of apical membrane antigen 1 and 235-kilodalton rhoptry proteins protects mice against Plasmodium yoelii blood-stage challenge infection. Infect Immun. 2006, 74, 5529–5536. [Google Scholar] [CrossRef]
- Baca, M.; Scanlan, T.; Stephenson, R.C.; Wells, J.A. Phage display of a catalytic antibody to optimize affinity for transition-state analog binding. Proc. Natl. Acad. Sci. USA 1997, 94, 10063–10068. [Google Scholar]
© 2010 by the authors; licensee MDPI, Basel, Switzerland. This article is an open access article distributed under the terms and conditions of the Creative Commons Attribution license (http://creativecommons.org/licenses/by/3.0/).
Share and Cite
Lozano, J.M.; Lesmes, L.P.; Carreño, L.F.; Gallego, G.M.; Patarroyo, M.E. Development of Designed Site-Directed Pseudopeptide-Peptido-Mimetic Immunogens as Novel Minimal Subunit-Vaccine Candidates for Malaria. Molecules 2010, 15, 8856-8889. https://doi.org/10.3390/molecules15128856
Lozano JM, Lesmes LP, Carreño LF, Gallego GM, Patarroyo ME. Development of Designed Site-Directed Pseudopeptide-Peptido-Mimetic Immunogens as Novel Minimal Subunit-Vaccine Candidates for Malaria. Molecules. 2010; 15(12):8856-8889. https://doi.org/10.3390/molecules15128856
Chicago/Turabian StyleLozano, José Manuel, Liliana P. Lesmes, Luisa F. Carreño, Gina M. Gallego, and Manuel Elkin Patarroyo. 2010. "Development of Designed Site-Directed Pseudopeptide-Peptido-Mimetic Immunogens as Novel Minimal Subunit-Vaccine Candidates for Malaria" Molecules 15, no. 12: 8856-8889. https://doi.org/10.3390/molecules15128856
APA StyleLozano, J. M., Lesmes, L. P., Carreño, L. F., Gallego, G. M., & Patarroyo, M. E. (2010). Development of Designed Site-Directed Pseudopeptide-Peptido-Mimetic Immunogens as Novel Minimal Subunit-Vaccine Candidates for Malaria. Molecules, 15(12), 8856-8889. https://doi.org/10.3390/molecules15128856
