Next Article in Journal
Development of Designed Site-Directed Pseudopeptide-Peptido-Mimetic Immunogens as Novel Minimal Subunit-Vaccine Candidates for Malaria
Previous Article in Journal
Microwave Assisted Synthesis of Some New Heterocyclic Spiro-Derivatives with Potential Antimicrobial and Antioxidant Activity
 
 
Font Type:
Arial Georgia Verdana
Font Size:
Aa Aa Aa
Line Spacing:
Column Width:
Background:
Article

Synthesis of 6-Amino-5-cyano-1,4-disubstituted-2(1H)-Pyrimidinones via Copper-(I)-catalyzed Alkyne-azide ‘Click Chemistry’ and Their Reactivity

1
Laboratory of Applied Chemistry, Heterocycles, Fats and Polymers, Faculty of Science, University of Sfax, 3000 Sfax, Tunisia
2
Laboratory of Medicinal Chemistry of Natural Substances and Redox Pharmacophores, University of Toulouse, UPS, UMR 152, F-31062 Toulouse cedex 9, France
3
IRD, UMR 152, F-31062 Toulouse cedex 9, France
*
Author to whom correspondence should be addressed.
Molecules 2010, 15(12), 8841-8855; https://doi.org/10.3390/molecules1512884
Submission received: 15 October 2010 / Revised: 25 November 2010 / Accepted: 30 November 2010 / Published: 3 December 2010

Abstract

:
In this paper we present the room temperature synthesis of a novel serie of 1,4-disubstituted-1,2,3-triazoles 4a-l by employing the (3 + 2) cycloaddition reaction of pyrimidinones containing alkyne functions with different model azides in the presence of copper sulphate and sodium ascorbate. To obtain the final triazoles, we also synthesized the major precursors 6-amino-5-cyano-1,4-disubstituted-2(1H)-pyrimidinones 3a-r from ethyl 2,2-dicyanovinylcarbamate derivatives 2a-c and various primary aromatic amines containing an alkyne group. The triazoles were prepared in good to very good yields.

Introduction

The copper-(I)-catalyzed Huisgen–Sharpless–Meldal 1,3-dipolar cycloaddition between alkynes and azides (‘click’ chemistry) resulting in the formation of 1,4-disubstituted-1,2,3-triazoles has gained significant importance because of its wide range of applications in various fields of drug discovery [1], bioconjugation [2] and material or surface science [3,4]. Amongst the various classes of nitrogen heterocycles, 1,2,3-triazoles and their derivatives deserve special recognition due to their wide usage in industrial applications as dyes, photographic materials, corrosion inhibitors and as herbicidal, fungicidal and antibacterial agrochemicals [5,6]. Several members of the 1,2,3-triazole family exhibit a broad spectrum of antiinfectious properties such as antimicrobial [7], anti-HIV [8], anti-allergic [9] and antimalarial activities [10]. On the other hand, 2(1H)-pyrimidinones also show significant biological activities [11]. For instance, 2(1H)-pyrimidinones derivatives have been screened for antihypertension [12], insulin-mimetic [13], anti-inflammatory [14] and anti-proliferative [15] activities or as selective α1a-andrenergic receptor antagonists [16]. Interested by the wide variety of pharmacological properties and potential applications of both 2(1H)-pyrimidinones and 1,2,3-triazoles we have designed the synthesis of hybrid molecules consisting of both moieties. Our method is based on the (3 + 2) cycloaddition reaction of 6-amino-5-cyano-1-(meta- or para-ethynylphenyl)-4-substituted-2(1H)-pyrimidinones with different azides in the presence of copper sulphate and sodium ascorbate at room temperatures that affords 1,4-disubstituted-1,2,3-triazoles.

Results and Discussion

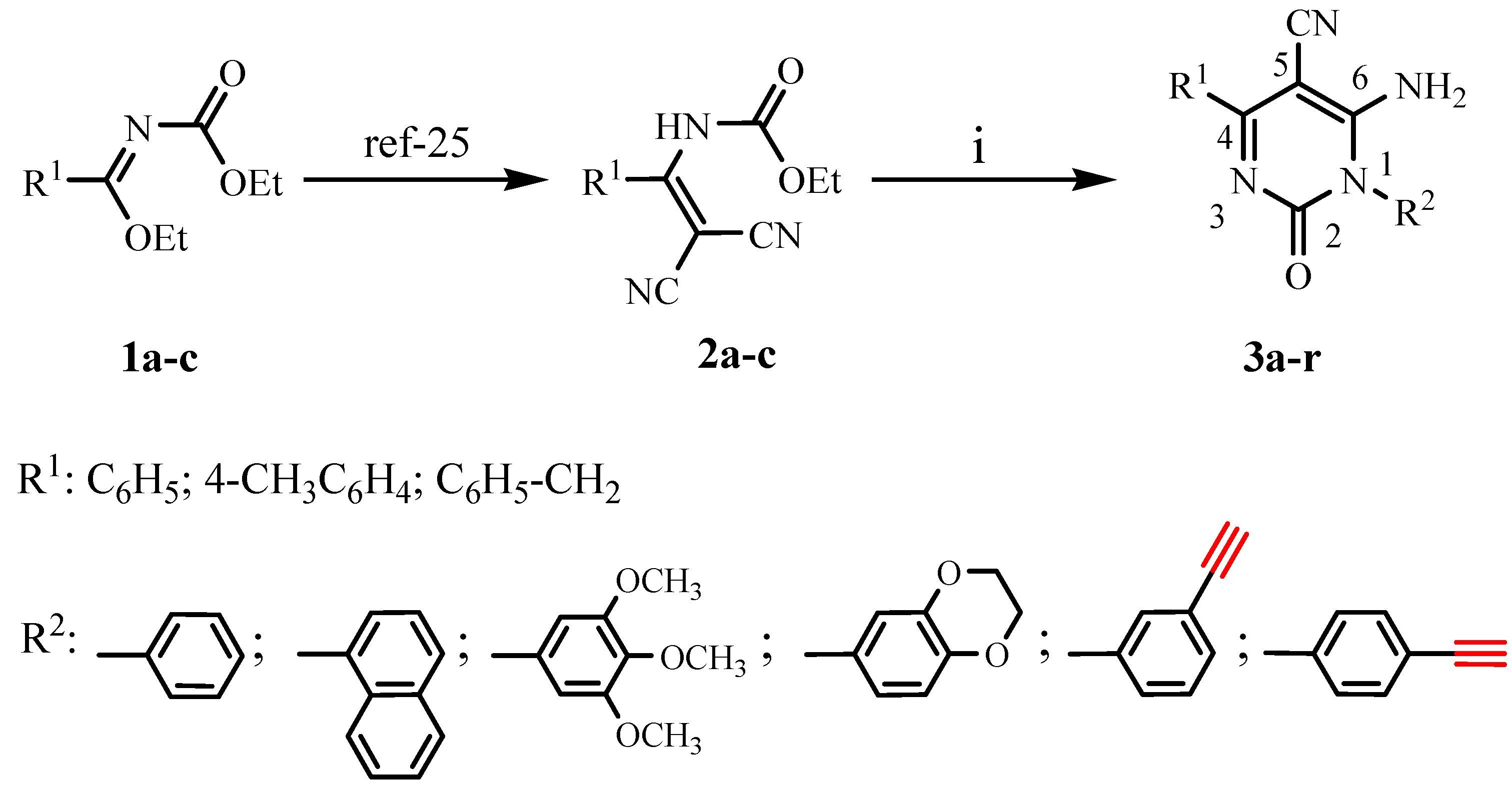
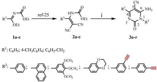
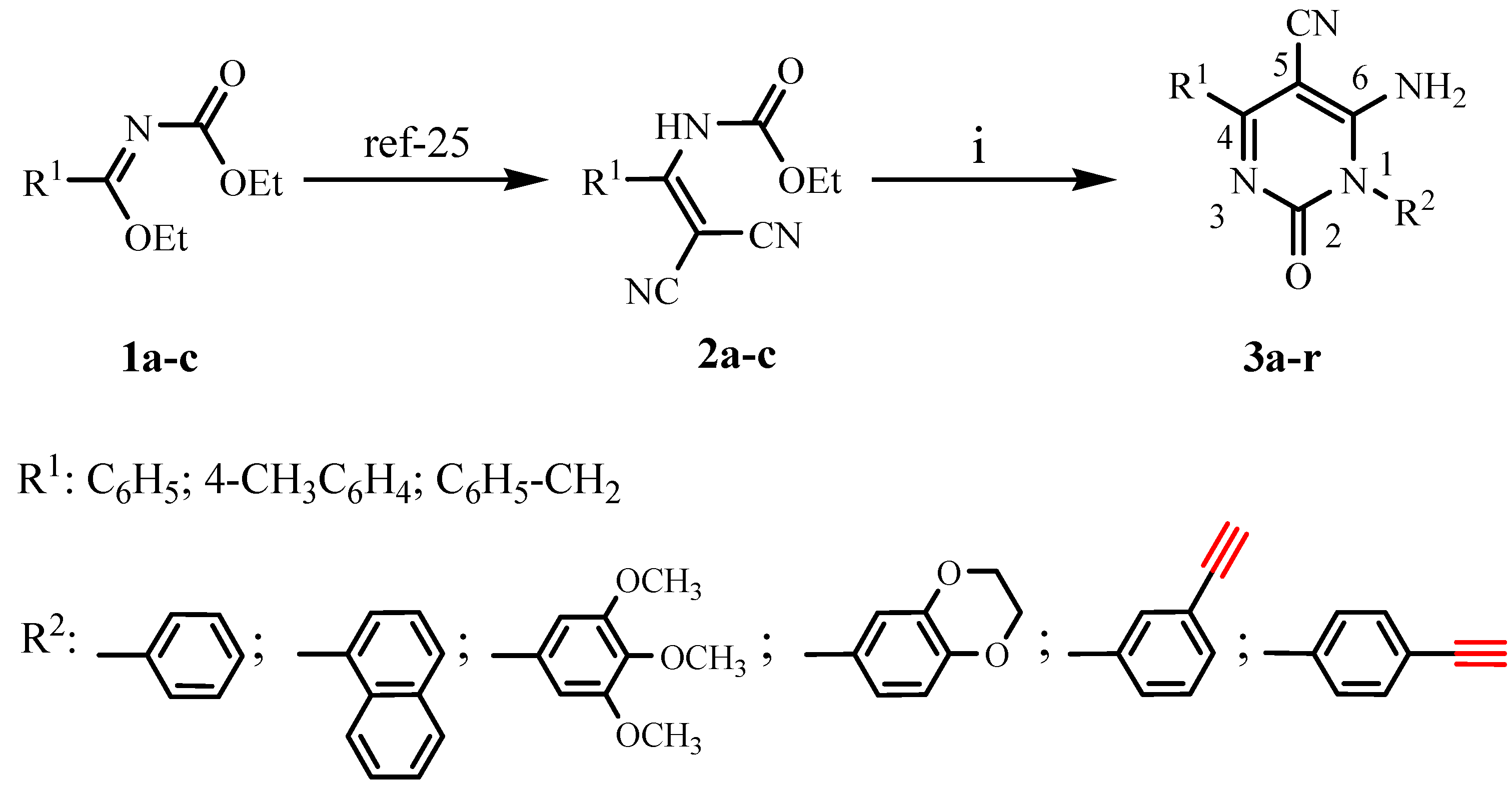
Ethyl 2,2-dicyanovinylcarbamate derivatives 2a-c were prepared in good yields by action of malononitrile with ethyl N-(ethoxycarbonyl)imidates 1a-c following a previously reported method [17] (Scheme 1). The reaction of these compounds 2a-c with primary aromatic amines in chlorobenzene under reflux yielded the 6-amino-5-cyano-1,4-disubstituted-2(1H)-pyrimidinones 3a-r in yields ranging from 55 to 76% (Table 1). This synthetic method is more general and easier to implement than the methods already described in the literature [18,19].
Scheme 1. Synthesis of 6-amino-5-cyano-1,4-disubstituted-2(1H)-pyrimidinones (3a-r). Reagents and conditions: (i) primary aromatic amines, chlorobenzene, 110 °C, (2~4) h.
Scheme 1. Synthesis of 6-amino-5-cyano-1,4-disubstituted-2(1H)-pyrimidinones (3a-r). Reagents and conditions: (i) primary aromatic amines, chlorobenzene, 110 °C, (2~4) h.
Molecules 15 08841 g004
Table 1. Synthesis of 6-amino-5-cyano-1,4-disubstituted-2(1H)-pyrimidinones 3a-r.
Table 1. Synthesis of 6-amino-5-cyano-1,4-disubstituted-2(1H)-pyrimidinones 3a-r.
EntryCompoundR1R2Yieldsa
13a26PhPhenyl75%
23bPhNaphthalen-1-yl68%
33cPh3,4,5-Trimethoxyphenyl71%
43dPh2,3-Dihydrobenzo[b][1,4]dioxin-6-yl74%
53ePh3-Ethynylphenyl62%
63fPh4-Ethynylphenyl60%
73g264-CH3PhPhenyl73%
83h4-CH3PhNaphthalen-1-yl67%
93i4-CH3Ph3,4,5-Trimethoxyphenyl75%
103j4-CH3Ph2,3-Dihydrobenzo[b][1,4]dioxin-6-yl72%
113k4-CH3Ph3-Ethynylphenyl70%
123l4-CH3Ph4-Ethynylphenyl61%
133mPh-CH2Phenyl76%
143nPh-CH2Naphthalen-1-yl59%
153oPh-CH23,4,5-Trimethoxyphenyl65%
163pPh-CH22,3-Dihydrobenzo[b][1,4]dioxin-6-yl55%
173qPh-CH23-Ethynylphenyl62%
183rPh-CH24-Ethynylphenyl58%
a Isolated yield.
The (3 + 2) cycloaddition of 6-amino-5-cyano-1-(meta- or para-ethynylphenyl)-4-substituted-2(1H)-pyrimidinones 3k, 3l, 3q and 3r with different azides A1, A2 and A3 (Figure 1) in the presence of Na-ascorbate, THF/t-BuOH/H2O and CuSO4.5H2O, at room temperature resulted in the corresponding 1,4-disubstituted-1,2,3-triazole compounds 4a-l (Scheme 2) in good yields (Table 2). The structures of compounds 3a-r were in accordance with their spectroscopic data. The IR spectra of the compounds in general exhibited an absorption band at 2,210 cm−1 indicating the presence of one cyano group. The absorption band at around 3,265–3,275 cm−1 for the compounds 3e, 3f, 3k, 3l, 3q and 3r indicated that the terminal alkyne C≡C-H was present in these compounds.
Scheme 2. Synthesis of 1,4-disubstituted-1,2,3-triazoles 4a-l. Reagents and conditions: (a) Na-ascorbate (0.45 equiv), CuSO4·5H2O (0.1 equiv), THF/H2O/t-BuOH (3:1:1, v/v/v), rt, 2d.
Scheme 2. Synthesis of 1,4-disubstituted-1,2,3-triazoles 4a-l. Reagents and conditions: (a) Na-ascorbate (0.45 equiv), CuSO4·5H2O (0.1 equiv), THF/H2O/t-BuOH (3:1:1, v/v/v), rt, 2d.
Molecules 15 08841 g005
Figure 1. Structures of the three different azides used in this work.
Figure 1. Structures of the three different azides used in this work.
Molecules 15 08841 g001
Table 2. Synthesis of 1,4-disubstituted-1,2,3-triazoles 4a-l.
Table 2. Synthesis of 1,4-disubstituted-1,2,3-triazoles 4a-l.
EntryCompoundAlkynesAzidesYieldsa
14a3kA182%
24b3lA172%
34c3qA180%
44d3rA175%
54e3kA273%
64f3lA294%
74g3qA276%
84h3rA271%
94i3kA384%
104j3lA372%
114k3qA381%
124l3rA388%
a Isolated yield.
The mass spectra showed the respective [M + H]+ peaks. In the 1H-NMR spectra the most significant information was the disappearance of triplet and quadruplet of ethoxy groups present in the starting reagent 2a-c and the appearance of signals for the protons of the group R2 introduced by the primary aromatic amines.
Structures of compounds 4a-l were established on the basis of their spectroscopic data. The IR absorption band corresponding to a terminal C≡C-H group was not observed around 3,271 cm−1. The mass spectra showed the respective [M + H]+ peaks. According to 1H-NMR spectra of the ‘click’ products the terminal triple bonded proton signal (δH = 4.3 ppm) of the alkynes 3 disappeared and the newly formed triazole signal was observed at 8.5–9.5 ppm. The triazole ring formation was also identified from the 13C-NMR spectra with the new signals of the ethylenic C atoms of the 1,2,3-triazole moiety at δ = 120–122 ppm (CHar-triazole) and δ = 146–148 ppm (Cq-triazole).

X-ray crystal analysis of compounds 3b and 3g

To further confirm the structure of compounds 3, an X-ray crystallographic study of compounds 3b and 3g was carried out (Figure 2 and Figure 3). Crystals were obtained by slow evaporation from methanol solution. Crystallographic data were collected at 180K with an Oxford-Diffraction XCALIBUR CCD Diffractometer equipped with a Cryojet cooler device from Oxford Instruments. Structures were solved by direct methods using SIR92 [20] and refined by full-matrix least-squares procedures on F using the programs of the PC version of CRYSTALS [21]. Atomic scattering factors were taken from the International Tables for X-ray Crystallography [22].
Figure 2. X-ray crystal analysis of compound 3b.
Figure 2. X-ray crystal analysis of compound 3b.
Molecules 15 08841 g002
Figure 3. X-ray crystal analysis of compound 3g.
Figure 3. X-ray crystal analysis of compound 3g.
Molecules 15 08841 g003
Data for 3b: C21H14N4O, CH4O, M = 370.41, colorless block crystal, 0.15 × 0.20 × 0.25 mm3, monoclinic, space group P 21/c, a = 11.1402(4), b = 19.9585(6), c = 8.4770(3) Å, β = 105.839(4)°, V = 1813.23(11) Å3, Z = 4, d = 1.36, µ(MoKα) = 0.090, 253 parameters, 17,459 reflexions measured, 4,850 unique (R int = 0.030), 3,133 reflections used in the calculations (I > 3σ[I]), R = 0.0345, wR = 0.0403, residual electronic density = - 0.17/0.32 (e.Å-3).
Data for 3g: C18H14N4O, CH4O, M = 334.38, colorless block crystal, 0.20 x 0.20 x 0.20 mm3, monoclinic, space group P 21/c, a = 10.5511(3), b = 14.2950(5), c = 10.9120(4) Å, β = 93.184(3)°, V = 1643.29(10) Å3, Z = 4, d = 1.35, µ(MoKα) = 0.091, 226 parameters, 14,902 reflexions measured, 4,408 unique (R int = 0.030), 2,930 reflections used in the calculations (I > 3σ[I]), R = 0.0428, wR = 0.0462, residual electronic density = - 0.22/0.39 (e.Å-3).
CCDC contain the supplementary crystallographic data for this paper. These data can be obtained free of charge from The Cambridge Crystallographic Data Centre via www.ccdc.cam.ac.uk/data_request/cif.

Conclusions

In summary, various 6-amino-5-cyano-1-(meta- or para-ethynylphenyl)-4-substituted-2(1H)-pyrimidinones were synthesized and utilized as starting materials in the ‘click’ reaction to attach azido residues. Consequently, we have employed these, in house synthesized precursors, to prepare a new class of hybrid molecules 1,4-disubstituted-1,2,3-triazoles employing already known chemistry of (3 + 2) cycloaddition of azides and acetylenes in good to very good yields. All products that we have obtained were hitherto unknown. A number of them are presently under pharmacological screening.

Experimental

Commercially available reagent grade chemicals were used as received without additional purification. All reactions were followed by TLC (E. Merck Kieselgel 60 F-254), with detection by UV light at 254 nm. Column chromatography was performed on silica gel (60–200 mesh E. Merck). IR spectra were recorded on a Perkin-Elmer PARAGON 1000 FT-IR spectrometer. 1H- and 13C-NMR spectra were recorded on an AC Bruker spectrometer at 300 MHz (1H) and 75 MHz (13C) using (CD3)2SO as solvent with (CD3)2SO (δH 2.5) or (CD3)2SO (δC 39.5). Chemical shifts (δ) are reported in parts per million (ppm) relative to tetramethylsilane (0 ppm) as internal reference and the following multiplicity abbreviations were used: s, singlet; d, doublet; t, triplet; q, quadruplet; m, multiplet; J in hertz. The mass spectra were recorded on an ion trap mass spectrometer (Finnigan LCQ Deca XP Max) using electrospray as an ionization source. Melting points were determined on an Electrothermal 9300 capillary melting point apparatus and are uncorrected. UV-visible spectra were recorded on a Specord 205 Analytikjena spectrophotometer. The purity of all compounds was determined by LC-PDA-MS methods and was found to be in the range between 96–99%.

General experimental procedure for preparation of 6-amino-5-cyano-1,4-disubstituted-2(1H)-pyrimid-inones 3a-r

To a magnetically stirred solution of the ethyl 2,2-dicyanovinylcarbamate derivatives 2a-c (1 equiv) in chlorobenzene (25 mL), a primary aromatic amine (1.2 equiv) added and reaction mixture was stirred for 2~4 h at 110 °C. Reaction progress was monitored by TLC using the indicated eluents. The resulting mixture was allowed to cool at room temperature. The formed precipitate was isolated by filtration and washed with ethanol or with diethyl ether for 3e, 3f, 3k, 3l, 3q and 3r to give pure products.
6-Amino-5-cyano-1,4-diphenyl-2(1H)-pyrimidinone (3a). White cristals, yield (75%), C17H12N4O, M = 288 gmol−1, mp 252–254 °C, Rf = 0.21 (ethyl acetate/dichloromethane, 70:30, v/v); UV (MeOH) λmax nm (ε Lmol−1cm−1): 248 (32,400), 318 (11,232); IR (KBr) cm−1: 3,450–3,310 (NH2), 2,212 (CN), 1,665 (C=O), 1,616 (C=N); 1H-NMR: (DMSO-d6): δ = 7.34–7.82 (m, 12H, Ar-H + NH2); 13C-NMR (DMSO-d6): δ = 72.9 (C-5), 117.1 (CN), 128.8, 128.9, 130, 130.7, 131.5, 135.1, 137.5, 154.1 (C-2), 160.5 (C-4), 172 (C-6); MS-(+)ESI: m/z (%): 599 ([2M+Na]+, 35), 311 ([M+Na]+, 4), 289 ([M+H]+, 100).
6-Amino-5-cyano-1-(naphthalen-1-yl)-4-phenyl-2(1H)-pyrimidinone (3b). Greyish white solid, yield (68%), C21H14N4O, M = 338 gmol−1, mp 198–200 °C, Rf = 0.54 (ethyl acetate/dichloromethane, 70:30, v/v); UV (MeOH) λmax nm (ε Lmol−1cm−1): 248 (37,518), 318 (14,196); IR (KBr) cm−1: 3,450–3,310 (NH2), 2,211 (CN), 1,672 (C=O), 1,620 (C=N); 1H-NMR: (DMSO-d6): δ = 7.42–8.15 (m, 14H, Ar-H + NH2); 13C-NMR (DMSO-d6): δ = 73.1 (C-5), 117.2 (CN), 122, 127.1, 127.2, 127.8, 128, 128.8, 129, 129.2, 129.7, 130.7, 131.5, 131.6, 135.1, 137.6, 154.2 (C-2), 160.9 (C-4), 172.6 (C-6); MS-(+)ESI: m/z (%): 699 ([2M+Na]+, 16), 339 ([M+H]+, 100).
6-Amino-5-cyano-1-(3,4,5-trimethoxyphenyl)-4-phenyl-2(1H)-pyrimidinone (3c). Yellowish white solid, yield (71%), C20H18N4O4, M = 378 gmol−1, mp 255–257 °C, Rf = 0.21 (ethyl acetate/dichloromethane, 70:30, v/v); UV (MeOH) λmax nm (ε L.mol−1cm−1): 249 (51,030), 320 (14,742); IR (KBr) cm−1: 3,450-3,310 (NH2), 2,209 (CN), 1,687 (C=O), 1,620 (C=N); 1H-NMR: (DMSO-d6): δ = 3.74 (s, 6H, 2OCH3), 3.76 (s, 3H, OCH3), 7.39–7.60 (m, 9H, Ar-H + NH2); 13C-NMR (DMSO-d6): δ = 56.5 (2C, 2OCH3), 60.4 (OCH3), 72.6 (C-5), 106.4, 117.1 (CN), 125.9, 128.6, 130.5, 136.9, 138, 138.4, 153.9, 154 (C-2), 160.7 (C-4), 172 (C-6); MS-(+)ESI: m/z (%): 779 ([2M+Na]+, 3), 379 ([M+H]+, 100).
6-Amino-5-cyano-1-(2,3-dihydrobenzo[b][1,4]dioxin-6-yl)-4-phenyl-2(1H)-pyrimidinone (3d). Pale brown solid, yield (74%), C19H14N4O3, M = 346 gmol−1, mp 283–285 °C, Rf = 0.49 (ethyl acetate/dichloromethane, 70:30, v/v); UV (MeOH) λmax nm (ε Lmol−1cm−1): 248 (37887), 318 (12456); IR (KBr) cm−1: 3,450-3,310 (NH2), 2,210 (CN), 1,696 (C=O), 1,662 (C=N); 1H-NMR: (DMSO-d6): δ = 4.30 (s, 4H, 2CH2), 6.80-7.59 (m, 10H, Ar-H + NH2); 13C-NMR (DMSO-d6): δ = 64.5 (CH2), 64.6 (CH2), 72.6 (C-5), 117.2 (CN), 118.5, 121.7, 125.7, 127.6, 129.2, 131.9, 137.7, 138.1, 144.5, 144.6, 154.1 (C-2), 160.7 (C-4), 171.8 (C-6); MS-(+)ESI: m/z (%): 715 ([2M+Na]+, 8), 347 ([M+H]+, 100).
6-Amino-5-cyano-1-(3-ethynylphenyl)-4-phenyl-2(1H)-pyrimidinone (3e). Pale yellow solid, yield (62%), C19H12N4O, M = 312 gmol−1, mp 237–239 °C, Rf = 0.52 (ethyl acetate/dichloromethane, 50:50, v/v); UV (MeOH) λmax nm (ε Lmol−1cm−1): 254 (36,972), 307 (14,508); IR (KBr) cm−1: 3,450–3,310 (NH2), 3,270 (≡C-H), 2,209 (CN), 1,665 (C=O), 1,636 (C=N); 1H-NMR: (DMSO-d6): δ = 4.32 (s, 1H, C≡CH), 7.27–7.86 (m, 11H, Ar-H + NH2); 13C-NMR (DMSO-d6): δ = 73.7 (C-5), 82.4 (C≡CH), 83.2 (C≡CH), 117.2 (CN), 124.1, 128.6, 129.2, 129.9, 131.1, 132.4, 133.4, 134.5, 135.4, 141.5, 154 (C-2), 160.5 (C-4), 171.7 (C-6); MS-(+)ESI: m/z (%): 647 ([2M+Na]+, 21), 313 ([M+H]+, 100).
6-Amino-5-cyano-1-(4-ethynylphenyl)-4-phenyl-2(1H)-pyrimidinone (3f). White solid, yield (60%), C19H12N4O, M = 312 gmol−1, mp 206–208 °C, Rf = 0.57 (ethyl acetate/dichloromethane, 50:50, v/v); UV (MeOH) λmax nm (ε Lmol−1cm−1): 247 (38,844), 309 (13,572); IR (KBr) cm−1: 3,450-3,310 (NH2), 3,268 (≡C-H), 2,210 (CN), 1,676 (C=O), 1,635 (C=N); 1H-NMR: (DMSO-d6): δ = 4.31 (s, 1H, C≡CH), 7.34–7.91 (m, 11H, Ar-H + NH2); 13C-NMR (DMSO-d6): δ = 73.7 (C-5), 82.3 (C≡CH), 83.2 (C≡CH), 117.2 (CN), 125, 128.5, 130.1, 131.2, 132.4, 133.4, 135.4, 141.3, 154 (C-2), 160 (C-4), 172.1 (C-6); MS-(+)ESI: m/z (%): 647 ([2M+Na]+, 10), 313 ([M+H]+, 100).
6-Amino-5-cyano-4-(4-methylphenyl)-1-phenyl-2(1H)-pyrimidinone (3g). White solid, yield (73%), C18H14N4O, M = 302 gmol−1, mp 257–259 °C, Rf = 0.47 (ethyl acetate/dichloromethane, 70:30, v/v);UV (MeOH) λmax nm (ε Lmol−1cm−1): 250 (26,727), 319 (11,325); IR (KBr) cm−1: 3,450–3,310 (NH2), 2,211 (CN), 1,674 (C=O), 1,619 (C=N); 1H-NMR: (DMSO-d6): δ = 2.52 (s, 3H, CH3), 7,45–7,9 (m, 11H, Ar-H + NH2); 13C-NMR (DMSO-d6): δ = 21.5 (CH3), 72.6 (C-5), 118.3 (CN), 128.8, 129, 130.1, 130.8, 131.5, 132.4, 135.1, 137.5, 154.3 (C-2), 160.8 (C-4), 172.5 (C-6); MS-(+)ESI: m/z (%): 627 ([2M+Na]+, 31), 325 ([M+Na]+, 3), 303 ([M+H]+, 100).
6-Amino-5-cyano-4-(4-methylphenyl)-1-(naphthalen-1-yl)-2(1H)-pyrimidinone (3h). Greyish green solid, yield (67%), C22H16N4O, M = 352 gmol−1, mp 261–263 °C, Rf = 0.57 (ethyl acetate/ dichloromethane, 50:50, v/v); UV (MeOH) λmax nm (ε Lmol−1cm−1): 251 (26,928), 318 (12,672); IR (KBr) cm−1: 3,450-3,310 (NH2), 2,209 (CN), 1,686 (C=O), 1,617 (C=N); 1H-NMR: (DMSO-d6): δ = 2.43 (s, 3H, CH3), 7.38-8.15 (m, 13H, Ar-H + NH2); 13C-NMR (DMSO-d6): δ = 21.5 (CH3), 72.4 (C-5), 118.3 (CN), 122.5, 127, 127.2, 127.9, 128.1, 128.9, 129.1, 129.3, 129.8, 130.7, 131.4, 132.1, 135.6, 137.7, 154.6 (C-2), 161 (C-4), 172.8 (C-6); MS-(+)ESI: m/z (%): 727 ([2M+Na]+, 15), 353 ([M+H]+, 100).
6-Amino-5-cyano-4-(4-methylphenyl)-1-(3,4,5-trimethoxyphenyl)-2(1H)-pyrimidinone (3i). Pale yellow solid, yield (75%), C21H20N4O4, M = 392 gmol1, mp 292–294 °C, Rf = 0.53 (ethyl acetate/ dichloromethane, 70:30, v/v); UV (MeOH) λmax nm (ε Lmol1cm1): 250 (52,920); IR (KBr) cm1: 3,450-3,310 (NH2), 2,212 (CN), 1,671 (C=O), 1,625 (C=N); 1H-NMR: (DMSO-d6): δ = 2.41 (s, 3H, CH3), 3.74 (s, 6H, 2OCH3), 3.77 (s, 3H, OCH3), 7.4–7.59 (m, 8H, Ar-H + NH2); 13C-NMR (DMSO-d6): δ = 21.4 (CH3), 56.6 (2C, 2OCH3), 60.4 (OCH3), 72.6 (C-5), 106.4, 117.1 (CN), 125.8, 128.6, 130.5, 137.5, 138.1, 138.5, 154, 154.5 (C-2), 160.6 (C-4), 171.9 (C-6); MS-(+)ESI: m/z (%): 393 ([M+H]+, 100).
6-Amino-5-cyano-1-(2,3-dihydrobenzo[b][1,4]dioxin-6-yl)-4-(4-methylphenyl)-2(1H)-pyrimidinone (3j). Yellow solid, yield (72%), C20H16N4O3, M = 360 gmol1, mp 284–286 °C, Rf = 0.54 (ethyl acetate/dichloromethane, 70:30, v/v); UV (MeOH) λmax nm (ε Lmol1cm1): 251 (32,940), 280 (19,980), 318 (13,500); IR (KBr) cm1: 3,450–3,310 (NH2), 2,211 (CN), 1,658 (C=O), 1,634 (C=N); 1H-NMR: (DMSO-d6): δ = 2.40 (s, 3H, CH3), 4.30 (s, 4H, 2CH2), 6.79-7.60 (m, 9H, Ar-H + NH2); 13C- NMR (DMSO-d6): δ = 21.4 (CH3), 64.5 (CH2), 64.6 (CH2), 72.6 (C-5), 117.1 (CN), 117.9, 121.5, 125.8, 127.7, 128.5, 132, 137.4, 138, 144.8, 144.8, 154.1 (C-2), 160.7 (C-4), 171.8 (C-6); MS-(+)ESI: m/z (%): 743 ([2M+Na]+, 9), 361 ([M+H]+, 100).
6-Amino-5-cyano-1-(3-ethynylphenyl)-4-(4-methylphenyl)-2(1H)-pyrimidinone (3k). Pale yellow solid, yield (70%), C20H14N4O, M = 326 gmol1, mp 247–249 °C, Rf = 0.61 (ethyl acetate/dichloromethane, 50:50, v/v); UV (MeOH) λmax nm (ε Lmol1cm1): 252 (24,339), 307 (16,137); IR (KBr) cm1: 3,450–3,310 (NH2), 3,271 (≡C-H), 2,211 (CN), 1,671 (C=O), 1,640 (C=N); 1H-NMR: (DMSO-d6): δ = 2.41 (s, 3H, CH3), 4.32 (s, 1H, C≡CH), 7.25–7.75 (m, 10H, Ar-H + NH2); 13C-NMR (DMSO-d6): δ = 21.5 (CH3), 73.81 (C-5), 82.4 (C≡CH), 83.2 (C≡CH), 117.2 (CN), 124, 128.8, 129.3, 129.8, 131, 132.5, 133.3, 134.6, 135.6, 141.5, 153.9 (C-2), 160.5 (C-4), 171.8 (C-6); MS-(+)ESI: m/z (%): 675 ([2M+Na]+, 19), 327 ([M+H]+, 100).
6-Amino-5-cyano-1-(4-ethynylphenyl)-4-(4-methylphenyl)-2(1H)-pyrimidinone (3l). Brownish yellow solid, yield (61%), C20H14N4O, M = 326 gmol1, mp 192–194 °C, Rf = 0.49 (ethyl acetate/ dichloromethane, 50:50, v/v); UV (MeOH) λmax nm (ε Lmol1cm1): 250 (28,851), 308 (15,159); IR (KBr) cm1: 3,450–3,310 (NH2), 3,270 (≡C-H), 2,209 (CN), 1,662 (C=O), 1,638 (C=N); 1H-NMR: (DMSO-d6): δ = 2.41 (s, 3H, CH3), 4.30 (s, 1H, C≡CH), 7.27–7.94 (m, 10H, Ar-H + NH2); 13C-NMR (DMSO-d6): δ = 21.5 (CH3), 72.9 (C-5), 82.3 (C≡CH), 83.3 (C≡CH), 117.2 (CN), 124.1, 128.9, 129.3, 131.1, 132.5, 134.4, 135.8, 141.3, 153.9 (C-2), 160.1 (C-4), 171.6 (C-6); MS-(+)ESI: m/z (%): 675 ([2M+Na]+, 9), 327 ([M+H]+, 100).
6-Amino-4-benzyl-5-cyano-1-phenyl-2(1H)-pyrimidinone (3m). White solid, yield (76%), C18H14N4O, M = 302 gmol−1, mp 276–278 °C, Rf = 0.31 (ethyl acetate/dichloromethane, 70:30, v/v); UV (MeOH) λmax nm (ε Lmol−1cm−1): 248 (22,197), 308 (14,043); IR (KBr) cm−1: 3,450-3,310 (NH2), 2,211 (CN), 1,680 (C=O), 1,614 (C=N); 1H-NMR: (DMSO-d6): δ = 3.9 (s, 2H, CH2), 7.3–7.53 (m, 12H, Ar-H + NH2); 13C-NMR (DMSO-d6): δ = 43.4 (CH2), 73.7 (C-5), 116.7 (CN), 127.3, 128.9, 129, 129.4, 129.7, 130.7, 135, 137.1, 154.1 (C-2), 159.7 (C-4), 175.4 (C-6); MS-(+)ESI: m/z (%): 627 ([2M+Na]+, 20), 325 ([M+Na]+, 3), 303 ([M+H]+, 100).
6-Amino-4-benzyl-5-cyano-1-(naphthalen-1-yl)-2(1H)-pyrimidinone (3n). Pale violet solid, yield (59%), C22H16N4O, M = 352 gmol−1, mp 252–254 °C, Rf = 0.47 (ethyl acetate/dichloromethane, 50:50, v/v); UV (MeOH) λmax nm (ε Lmol−1cm−1): 248 (24,288), 296 (17,952); IR (KBr) cm−1: 3,450–3,310 (NH2), 2,212 (CN), 1,678 (C=O), 1,618 (C=N); 1H-NMR: (DMSO-d6): δ = 3.97 (s, 2H, CH2), 7.27–8.27 (m, 14H, Ar-H + NH2); 13C-NMR (DMSO-d6): δ = 43.6 (CH2), 73.7 (C-5), 116.6 (CN), 117.9, 121.7, 126.5, 126.9, 127.4, 127.8, 127.9, 129.1, 129.6, 129.7, 131.3, 134.3, 135, 137.1, 154.1 (C-2), 160 (C-4), 175.9 (C-6); MS-(+)ESI: m/z (%): 727 ([2M+Na]+, 10), 353 ([M+H]+, 100).
6-Amino-4-benzyl-5-cyano-1-(3,4,5-trimethoxyphenyl)-2(1H)-pyrimidinone (3o). Yellow solid, yield (65%), C21H20N4O4, M = 392 gmol−1, mp 224–226 °C, Rf = 0.26 (ethyl acetate/dichloromethane, 70:30, v/v); UV (MeOH) λmax nm (ε L.mol−1cm−1): 247 (39,396), 307 (19,404); IR (KBr) cm−1: 3,450–3,310 (NH2), 2,208 (CN), 1,687 (C=O), 1,627 (C=N); 1H-NMR: (DMSO-d6): δ = 3.91 (s, 2H, CH2), 3.75 (s, 6H, 2OCH3), 3.77 (s, 3H, OCH3), 7.47–8.62 (m, 9H, Ar-H + NH2); 13C-NMR (DMSO-d6): δ = 43.4 (CH2), 56.6 (2C, 2OCH3), 60.4 (OCH3), 72.7 (C-5), 107.1, 116.9 (CN), 126, 128.6, 129.9, 137.1, 138.3, 138.5, 153.6, 154.4 (C-2), 160.7 (C-4), 175 (C-6); MS-(+)ESI: m/z (%): 393 ([M+H]+, 100).
6-Amino-4-benzyl-5-cyano-1-(2,3-dihydrobenzo[b][1,4]dioxin-6-yl)-2(1H)-pyrimidinone (3p). Dark brown solid, yield (55%), C20H16N4O3, M = 360 gmol−1, mp 287–289 °C, Rf = 0.41 (ethyl acetate/ dichloromethane, 70:30, v/v); UV (MeOH) λmax nm (ε Lmol−1cm−1): 251 (31,320), 318 (15,120); IR (KBr) cm−1: 3,450-3,310 (NH2), 2,210 (CN), 1,661 (C=O), 1,609 (C=N); 1H-NMR: (DMSO-d6): δ = 3.9 (s, 2H, CH2), 4.32 (s, 4H, 2CH2), 6.79–8.05 (m, 10H, Ar-H + NH2); 13C-NMR (DMSO-d6): δ = 43.4 (CH2), 64.5 (CH2), 64.8 (CH2), 72.6 (C-5), 116.9 (CN), 117.4, 121.7, 126, 127.5, 128.1, 131.5, 136.9, 138.1, 143.9, 144.2, 153.9 (C-2), 160.5 (C-4), 175.4 (C-6); MS-(+)ESI: m/z (%): 743 ([2M+Na]+, 11), 361 ([M+H]+, 100).
6-Amino-4-benzyl-5-cyano-1-(3-ethynylphenyl)-2(1H)-pyrimidinone (3q). White solid, yield (62%), C20H14N4O, M = 326 gmol−1, mp 224–226 °C, Rf = 0.47 (ethyl acetate/dichloromethane, 50:50, v/v); UV (MeOH) λmax nm (ε Lmol−1cm−1): 248 (40,587), 308 (15,160); IR (KBr) cm−1: 3,450–3,310 (NH2), 3,271 (≡C-H), 2,209 (CN), 1,662 (C=O), 1,625 (C=N); 1H-NMR: (DMSO-d6): δ = 3.9 (s, 2H, CH2), 4.3 (s, 1H, C≡CH), 7.32–7.83 (m, 11H, Ar-H + NH2); 13C-NMR (DMSO-d6): δ = 43.4 (CH2), 73.8 (C-5), 82.3 (C≡CH), 83.2 (C≡CH), 116.5 (CN), 123.9, 128.5, 129.2, 130.2, 131.4, 132.7, 132.9, 134.3, 136.4, 142.1, 154.1 (C-2), 160.8 (C-4), 174.9 (C-6); MS-(+)ESI: m/z (%): 675 ([2M+Na]+, 17), 327 ([M+H]+, 100).
6-Amino-4-benzyl-5-cyano-1-(4-ethynylphenyl)-2(1H)-pyrimidinone (3r). White solid, yield (58%), C20H14N4O, M = 326 gmol−1, mp 252–254 °C, Rf = 0.56 (ethyl acetate/dichloromethane, 50:50, v/v); UV (MeOH) λmax nm (ε Lmol−1cm−1): 250 (44,010), 318 (12,714); IR (KBr) cm−1: 3,450–3,310 (NH2), 3,269 (≡C-H), 2,211 (CN), 1,668 (C=O), 1,639 (C=N); 1H-NMR: (DMSO-d6): δ = 3.89 (s, 2H, CH2), 4.31 (s, 1H, C≡CH), 7.27–7.63 (m, 11H, Ar-H + NH2); 13C-NMR (DMSO-d6): δ = 43.4 (CH2), 73.8 (C-5), 82.3 (C≡CH), 83.4 (C≡CH), 116.5 (CN), 123.4, 127.2, 128.9, 129.5, 129.6, 133.9, 135.5, 137, 153.9 (C-2), 159.6 (C-4), 175.5 (C-6); MS-(+)ESI: m/z (%): 675 ([2M+Na]+, 8), 327 ([M+H]+, 100).

General experimental procedure for preparation of 1,4-disubstituted-1,2,3-triazoles 4a-l

The mixture of alkyne 3 (1 mmol) and azides (1 mmol) was suspended in a mixture of THF/t-BuOH/H2O (3:1:1, v/v/v, 6/2/2 mL). Sodium ascorbate (89 mg, 0.45 equiv) was added followed by addition of CuSO45H2O (16 mg, 0.1 equiv). The heterogeneous mixture was stirred vigorously for 2 days, at which time TLC showed complete conversion. The reaction mixture was concentrated under vacuum and the residue was treated with H2O (50 mL) and extracted with dichloromethane (3 × 15 mL). The combined organic extracts were dried over anhydrous Na2SO4, filtered and evaporated under reduced pressure to give a crude mass. Column chromatography purification using ethyl acetate/dichloromethane as eluent gave the clicked product 4.
6-Amino-5-cyano-4-(4-methylphenyl)-1-(3-(1-(phenylthiomethyl)-1H-1,2,3-triazol-4-yl)phenyl)-2(1H)-pyrimidinone (4a). White solid, yield (82%), C27H21N7OS, M = 491 gmol1, mp 220–222 °C, Rf = 0.34 (ethyl acetate/dichloromethane, 70:30, v/v); UV (MeOH) λmax nm (ε Lmol1cm1): 253 (57,447), 319 (13,993); IR (KBr) cm1: 3,450–3,310 (NH2), 2,225 (CN), 1,677 (C=O), 1,643 (C=N); 1H-NMR: (DMSO-d6): δ = 2.41 (s, 3H, CH3), 6.02 (s, 2H, CH2), 7.30–7.98 (m, 15H, Ar-H + NH2), 8.65 (s, 1H, CHar-triazole); 13C-NMR (DMSO-d6): δ = 21 (CH3), 52.1 (CH2), 72.1 (C-5), 116.7 (CN), 121.3 (CHar-triazole), 125.3, 125.9, 127.8, 127.9, 128.3, 128.8, 129.3, 130.6, 130.7, 132.2, 132.4, 134.1, 135.3, 141, 146 (Cq-triazole), 153.5 (C-2), 160 (C-4), 171.3 (C-6); MS-(+)ESI: m/z (%): 983 ([2M + H]+, 19), 514 ([M + Na]+, 7), 492 ([M+H]+, 100), MS-(-)ESI: m/z (%): 464 (26), 354 (8).
6-Amino-5-cyano-4-(4-methylphenyl)-1-(4-(1-(phenylthiomethyl)-1H-1,2,3-triazol-4-yl)phenyl)-2(1H)-pyrimidinone (4b). White solid, yield (72%), C27H21N7OS, M = 491 gmol1, mp 259–261 °C, Rf = 0.27 (ethyl acetate/dichloromethane, 70:30, v/v); UV (MeOH) λmax nm (ε Lmol1cm1): 251 (46,399), 318 (15,466); IR (KBr) cm1: 3,450–3,310 (NH2), 2,226 (CN), 1,681 (C=O), 1,648 (C=N); 1H-NMR: (DMSO-d6): δ = 2.4 (s, 3H, CH3), 6.08 (s, 2H, CH2), 7.29–8.11 (m, 15H, Ar-H + NH2), 8.72 (s, 1H, CHar-triazole); 13C-NMR (DMSO-d6): δ = 21 (CH3), 52.3 (CH2), 72.7 (C-5), 116.5 (CN), 121.7 (CHar-triazole), 125.6, 127.4, 127.7, 128.6, 129.7, 130.5, 130.9, 132.1, 132.5, 133.9, 135.4, 140.9, 146.1 (Cq-triazole), 154 (C-2), 160.1 (C-4), 171.4 (C-6); MS-(+)ESI: m/z (%): 983 ([2M + H]+, 20), 514 ([M + Na]+, 8), 492 ([M+H]+, 100), MS-(-)ESI: m/z (%): 464 (22), 354 (9).
6-Amino-4-benzyl-5-cyano-1-(3-(1-(phenylthiomethyl)-1H-1,2,3-triazol-4-yl)phenyl)-2(1H)-pyrimidin-one (4c). White solid, yield (80%), C27H21N7OS, M = 491 gmol1, mp 235–237 °C, Rf = 0.36 (ethyl acetate/dichloromethane, 70:30, v/v); UV (MeOH) λmax nm (ε Lmol1cm1): 250 (62,602), 318 (19,939); IR (KBr) cm1: 3,450–3,310 (NH2), 2,208 (CN), 1,668 (C=O), 1,616 (C=N); 1H-NMR: (DMSO-d6): δ = 3.90 (s, 2H, CH2), 6.13 (s, 2H, CH2), 7.27–7.65 (m, 16H, Ar-H + NH2), 8.85 (s, 1H, CHar-triazole); 13C-NMR (DMSO-d6): δ = 43.4 (CH2), 52.2 (CH2), 73.4 (C-5), 117 (CN), 122.3 (CHar-triazole), 124.9, 125.6, 126.9, 127.7, 128.3, 129.2, 129.6, 131.2, 131.8, 133.1, 133.4, 134.7, 136.5, 140.9, 147.3 (Cq-triazole), 154 (C-2), 159.6 (C-4), 175.7 (C-6); MS-(+)ESI: m/z (%): 983 ([2M + H]+, 19), 514 ([M + Na]+, 7), 492 ([M+H]+, 100), MS-(-)ESI: m/z (%): 464 (2), 354 (8).
6-Amino-4-benzyl-5-cyano-1-(4-(1-(phenylthiomethyl)-1H-1,2,3-triazol-4-yl)phenyl)-2(1H)-pyrimidin-one (4d). White solid, yield (75%), C27H21N7OS, M = 491 gmol1, mp 262–264 °C, Rf = 0.30 (ethyl acetate/dichloromethane, 70:30, v/v); UV (MeOH) λmax nm (ε Lmol1cm1): 248 (61,129), 319 (18,412); IR (KBr) cm1: 3,450–3,310 (NH2), 2,226 (CN), 1,685 (C=O), 1,647 (C=N); 1H-NMR: (DMSO-d6): δ = 3.9 (s, 2H, CH2), 6.23 (s, 2H, CH2), 7.2–7.91 (m, 16H, Ar-H + NH2), 8.64 (s, 1H, CHar-triazole); 13C-NMR (DMSO-d6): δ = 43.5 (CH2), 51.9 (CH2), 73.7 (C-5), 116.5 (CN), 120.5 (CHar-triazole), 126, 126.9, 127.2, 129.1, 129.9, 129.9, 129.9, 131.9, 132.2, 134.2, 136.4, 141.2, 146.7 (Cq-triazole), 153.5 (C-2), 159.3 (C-4), 175.6 (C-6); MS-(+)ESI: m/z (%): 983 ([2M + H]+, 22), 514 ([M + Na]+, 7), 492 ([M+H]+, 100), MS-(-)ESI: m/z (%): 464 (25), 354 (9).
6-Amino-5-cyano-1-(3-(1-(4-(isopropylamino)-6-(methylthio)-1,3,5-triazin-2-yl)-1H-1,2,3-triazol-4-yl)-phenyl)-4-(4-methylphenyl)-2(1H)-pyrimidinone (4e). Pale yellow solid, yield (73%), C27H25N11OS, M = 551 gmol1, mp 230–232 °C, Rf = 0.39 (ethyl acetate/dichloromethane, 70:30, v/v); UV (MeOH) λmax nm (ε Lmol1cm1): 248 (71,905), 318 (19,009); IR (KBr) cm1: 3,450–3,310 (NH2 + NH), 2,208 (CN), 1,671 (C=O), 1,627 (C=N); 1H-NMR: (DMSO-d6): δ = 1.21 (d, 3H, J = 9 Hz, CH3), 1.23 (d, 3H, J = 9 Hz, CH3), 2.41 (s, 3H, CH3), 2.59 (s, 3H, -SCH3), 4.3 (m, 1H, CH), 7.25–7.77 (m, 11H, Ar-H + NH2 + NH), 8.1 (s, 1H, CHar-triazole); 13C-NMR (DMSO-d6): δ = 21.2 (SCH3), 21.5 (CH3), 22.3 (CH3), 22.6 (CH3), 42.8 (CH), 73.8 (C-5), 117.2 (CN), 120.7 (CHar-triazole), 126.3, 128.8, 129.3, 129.4, 131.3, 132.1, 132.1, 134.6, 135.9, 141.5, 146.4 (Cq-triazole), 154 (C-2), 160.5 (C-4), 164, 171.8 (C-6), 182.1, 183.1; MS-(+)ESI: m/z (%): 574 ([M + Na]+, 7), 552 ([M+H]+, 100), MS-(-)ESI: m/z (%): 524 (64), 482 (7).
6-Amino-5-cyano-1-(4-(1-(4-(isopropylamino)-6-(methylthio)-1,3,5-triazin-2-yl)-1H-1,2,3-triazol-4-yl)-phenyl)-4-(4-methylphenyl)-2(1H)-pyrimidinone (4f). white solid, yield (94%), C27H25N11OS, M = 551 gmol1, mp 253–255 °C, Rf = 0.31 (ethyl acetate/dichloromethane, 70:30, v/v); UV (MeOH) λmax nm (ε Lmol1cm1): 251 (64,467), 319 (15,703); IR (KBr) cm1: 3,450–3,310 (NH2 + NH), 2,225 (CN), 1,663 (C=O), 1,638 (C=N); 1H-NMR: (DMSO-d6): δ = 1.21 (d, 3H, J = 9 Hz, CH3), 1.23 (d, 3H, J = 9 Hz, CH3), 2.4 (s, 3H, CH3), 2.61 (s, 3H, -SCH3), 4.31 (m, 1H, CH), 7.21–7.75 (m, 11H, Ar-H + NH2 + NH), 8.21 (s, 1H, CHar-triazole); 13C-NMR (DMSO-d6): δ = 21.1 (SCH3), 21.5 (CH3), 22.3 (CH3), 22.5 (CH3), 42.9 (CH), 73.8 (C-5), 116.9 (CN), 120.6 (CHar-triazole), 124.2, 128.8, 129.6, 131.4, 133.3, 134.6, 136, 141.3, 146.7 (Cq-triazole), 153.9 (C-2), 160.3 (C-4), 163.9, 171.7 (C-6), 182.1, 183.2; MS-(+)ESI: m/z (%): 574 ([M + Na]+, 7), 552 ([M+H]+, 100), MS-(-)ESI: m/z (%): 524 (54), 482 (9).
6-Amino-4-benzyl-5-cyano-1-(3-(1-(4-(isopropylamino)-6-(methylthio)-1,3,5-triazin-2-yl)-1H-1,2,3-triazol-4-yl)phenyl)-2(1H)-pyrimidinone (4g). Yellowish solid, yield (88%), C27H25N11OS, M = 551 gmol1, mp 241–243 °C, Rf = 0.37 (ethyl acetate/dichloromethane, 70:30, v/v); UV (MeOH) λmax nm (ε Lmol1cm1): 249 (50,416), 307 (27,274); IR (KBr) cm1: 3,450–3,310 (NH2), 2,206 (CN), 1,670 (C=O), 1,629 (C=N); 1H-NMR: (DMSO-d6): δ = 1.21 (d, 3H, J = 9 Hz, CH3), 1.23 (d, 3H, J = 9 Hz, CH3), 2.59 (s, 3H, -SCH3), 3.9 (s, 2H, CH2), 4.3 (m, 1H, CH), 7.27–7.43 (m, 12H, Ar-H + NH2 + NH), 8.29 (s, 1H, CHar-triazole); 13C-NMR (DMSO-d6): δ = 22.2 (SCH3), 22.3 (CH3), 22.5 (CH3), 42.8 (CH), 43.4 (CH2), 73.8 (C-5), 116.6 (CN), 120.8 (CHar-triazole), 127.4, 128, 128.3, 129, 129.8, 130, 131.3, 135.2, 137.3, 146.5 (Cq-triazole), 153.9 (C-2), 160.2 (C-4), 163.8, 164.2, 175.4 (C-6), 182.1, 183; MS-(+)ESI: m/z (%): 574 ([M + Na]+, 9), 552 ([M+H]+, 100), MS-(-)ESI: m/z (%): 524 (61), 482 (7).
6-Amino-4-benzyl-5-cyano-1-(4-(1-(4-(isopropylamino)-6-(methylthio)-1,3,5-triazin-2-yl)-1H-1,2,3-triazol-4-yl)phenyl)-2(1H)-pyrimidinone (4h). White solid, yield (71%), C27H25N11OS, M = 551 gmol1, mp 274–276 °C, Rf = 0.32 (ethyl acetate/dichloromethane, 70:30, v/v); UV (MeOH) λmax nm (ε Lmol1cm1): 250 (52,069), 308 (25,621); IR (KBr) cm1: 3,450–3,310 (NH2), 2,226 (CN), 1,685 (C=O), 1,642 (C=N); 1H-NMR: (DMSO-d6): δ = 1.21 (d, 3H, J = 9 Hz, CH3), 1.23 (d, 3H, J = 9 Hz, CH3), 2.60 (s, 3H, -SCH3), 3.9 (s, 2H, CH2), 4.3 (m, 1H, CH), 7.36–7.47 (m, 12H, Ar-H + NH2 + NH), 8.3 (s, 1H, CHar-triazole); 13C-NMR (DMSO-d6): δ = 21.5 (SCH3), 22.3 (CH3), 22.5 (CH3), 42.8 (CH), 43.4 (CH2), 73.8 (C-5), 116.5 (CN), 120.7 (CHar-triazole), 127.2, 127.8, 128.9, 129.6, 131.1, 135, 137.1, 146.5 (Cq-triazole), 154.1 (C-2), 159.7 (C-4), 163.6, 164, 175.4 (C-6), 182.1, 183.1; MS-(+)ESI: m/z (%): 574 ([M + Na]+, 7), 552 ([M+H]+, 100), MS-(-)ESI: m/z (%): 524 (56), 482 (7).
(Z)-Ethyl-2-(4-(4-(3-(6-amino-5-cyano-4-(4-methylphenyl)-2-oxopyrimidin-1(2H)-yl)phenyl)-1H-1,2,3-triazol-1-yl)benzylidene)-7-methyl-3-oxo-5-phenyl-3,5-dihydro-2H-thiazolo[3,2-a]pyrimidine-6-carboxylate (4i). Golden yellow solid, yield (84%), C43H33N9O4S, M = 771 gmol1, mp 285–287 °C, Rf = 0.28 (ethyl acetate/dichloromethane, 50:50, v/v); UV (MeOH) λmax nm (ε Lmol1cm1): 248 (95,989), 308 (35,851); IR (KBr) cm1: 3,450–3,310 (NH2), 2,211 (CN), 1,715 (C=O, ester), 1,677 (C=O); 1H-NMR: (DMSO-d6): δ = 1.13 (t, 3H, J = 6 Hz, CH3), 2.40 (s, 3H, CH3), 2.41 (s, 3H, CH3), 4.04 (q, 2H, J = 6 Hz, CH2), 6.06 (s, 1H, C-CH-N), 7.31–8.14 (m, 20H, Ar-H + NH2), 9.47 (s, 1H, CHar-triazole); 13C-NMR (DMSO-d6): δ = 14.3 (CH3-CH2), 21.5 (CH3), 22.9 (CH3), 55.5 (C-CH-N), 60.7 (CH3-CH2), 72.6 (C-5), 109.4, 117.1 (CN), 120.4, 120.8 (CHar-triazole), 121.3, 125.9, 126.7, 127.9, 128.8, 129.1, 129.2, 129.3, 131.5, 131.9, 132.1, 132.5, 133.4, 134.6, 135.9, 137.7, 140.7, 141.5, 147.3 (Cq-triazole), 151.5, 154 (C-2), 155.7, 160.5 (C-4), 164.6 (C=O), 165.3, 171.9 (C-6); MS-(+)ESI: m/z (%): 794 ([M + Na]+, 3), 772 ([M+H]+, 100), MS-(-)ESI: m/z (%): 744 (10).
(Z)-Ethyl-2-(4-(4-(4-(6-amino-5-cyano-4-(4-methylphenyl)-2-oxopyrimidin-1(2H)-yl)phenyl)-1H-1,2,3-triazol-1-yl)benzylidene)-7-methyl-3-oxo-5-phenyl-3,5-dihydro-2H-thiazolo[3,2-a]pyrimidine-6-carboxylate (4j). Golden yellow solid, yield (72%), C43H33N9O4S, M = 771 gmol1, mp 292–294 °C, Rf = 0.25 (ethyl acetate/dichloromethane, 50:50, v/v); UV (MeOH) λmax nm (ε Lmol1cm1): 249 (84,424), 307 (38,164); IR (KBr) cm1: 3,450–3,310 (NH2), 2,225 (CN), 1,727 (C=O, ester), 1,685 (C=O); 1H-NMR: (DMSO-d6): δ = 1.15 (t, 3H, J = 6 Hz, CH3), 2.41 (s, 3H, CH3), 2.43 (s, 3H, CH3), 4.11 (q, 2H, J = 6 Hz, CH2), 6.02 (s, 1H, C-CH-N), 7.29–8.20 (m, 20H, Ar-H + NH2), 9.32 (s, 1H, CHar-triazole); 13C-NMR (DMSO-d6): δ = 14.3 (CH3-CH2), 21.5 (CH3), 22.9 (CH3), 55.5 (C-CH-N), 60.6 (CH3-CH2), 72.6 (C-5), 109.4, 117.4 (CN), 120.7, 120.8 (CHar-triazole), 122, 126.2, 126.7, 128.1, 129, 129.3, 131.6, 132, 132.2, 132.6, 133.6, 134.5, 136.1, 137.7, 140.6, 141.4, 147.5 (Cq-triazole), 151.7, 152.2 (C-2), 156.2, 161.2 (C-4), 165.1 (C=O), 165.6, 172.5 (C-6); MS-(+)ESI: m/z (%): 794 ([M + Na]+, 3), 772 ([M+H]+, 100), MS-(-)ESI: m/z (%): 744 (7).
(Z)-Ethyl-2-(4-(4-(3-(6-amino-4-benzyl-5-cyano-2-oxopyrimidin-1(2H)-yl)phenyl)-1H-1,2,3-triazol-1-yl)benzylidene)-7-methyl-3-oxo-5-phenyl-3,5-dihydro-2H-thiazolo[3,2-a]pyrimidine-6-carboxylate (4k). Golden yellow solid, yield (81%), C43H33N9O4S, M = 771 gmol−1, mp 277–279 °C, Rf = 0.32 (ethyl acetate/dichloromethane, 50:50, v/v); UV (MeOH) λmax nm (ε Lmol−1cm−1): 250 (72,859), 318 (27,756); IR (KBr) cm−1: 3,450–3,310 (NH2), 2,212 (CN), 1,721 (C=O, ester), 1,671 (C=O); 1H-NMR: (DMSO-d6): δ = 1.12 (t, 3H, J = 6 Hz, CH3), 2.40 (s, 3H, CH3), 3.9 (s, 2H, CH2), 4.09 (q, 2H, J = 6 Hz, CH2), 5.98 (s, 1H, C-CH-N), 7.33–8.02 (m, 21H, Ar-H + NH2), 9.33 (s, 1H, CHar-triazole); 13C-NMR (DMSO-d6): δ = 14.3 (CH3-CH2), 22.9 (CH3), 43.5 (CH2), 55.4 (C-CH-N), 60.7 (CH3-CH2), 73.4 (C-5), 110.2, 116.5 (CN), 119.9, 121.2 (CHar-triazole), 122, 126, 126.6, 128.3, 128.9, 129, 129.8, 130.1, 131.5, 132, 132.4, 132.9, 134.2, 134.7, 136.1, 137.5, 139.9, 142, 146.7 (Cq-triazole), 150.9, 153.6 (C-2), 156.2, 159.6 (C-4), 164.5 (C=O), 166.2, 175.8 (C-6); MS-(+)ESI: m/z (%): 794 ([M + Na]+, 3), 772 ([M+H]+, 100), MS-(-)ESI: m/z (%): 744 (9).
(Z)-ethyl-2-(4-(4-(4-(6-amino-4-benzyl-5-cyano-2-oxopyrimidin-1(2H)-yl)phenyl)-1H-1,2,3-triazol-1-yl)benzylidene)-7-methyl-3-oxo-5-phenyl-3,5-dihydro-2H-thiazolo[3,2-a]pyrimidine-6-carboxylate (4l). Golden yellow solid, yield (68%), C43H33N9O4S, M = 771 gmol−1, mp 281–283 °C, Rf = 0.61 (ethyl acetate/dichloromethane, 50:50, v/v); UV (MeOH) λmax nm (ε Lmol−1cm−1): 253 (90,207), 319 (15,381); IR (KBr) cm−1: 3,450–3,310 (NH2), 2,226 (CN), 1,728 (C=O, ester), 1,676 (C=O); 1H-NMR: (DMSO-d6): δ = 1.15 (t, 3H, J = 6 Hz, CH3), 2.41 (s, 3H, CH3), 3.89 (s, 2H, CH2), 4.12 (q, 2H, J = 6 Hz, CH2), 6.00 (s, 1H, C-CH-N), 7.28–8.46 (m, 21H, Ar-H + NH2), 9.40 (s, 1H, CHar-triazole); 13C-NMR (DMSO-d6): δ = 14.3 (CH3-CH2), 22.9 (CH3), 43.5 (CH2), 56.2 (C-CH-N), 60.7 (CH3-CH2), 73.8 (C-5), 112.5, 117.2 (CN), 120.3, 120.9 (CHar-triazole), 121.9, 126.3, 128.6, 129.4, 129.5, 129.9, 131.6, 131.8, 133.5, 133, 135.2, 135.4, 135.9, 137.6, 140.1, 142.2, 147.7 (Cq-triazole), 149.5, 153.9 (C-2), 157, 159.9 (C-4), 164.6 (C=O), 167.2, 174.9 (C-6); MS-(+)ESI: m/z (%): 794 ([M + Na]+, 3), 772 ([M+H]+, 100), MS-(-)ESI: m/z (%): 744 (6).

Acknowledgements

Thanks are due to the Ministry of Higher Education and Scientific Research of Tunisia for awarding a fellowship to Ennaji Najahi. The Authors wish to thank R Duval for gift of the azide derivative A3. We thank Dr. Carine Duhayon for providing the X-ray crystal analysis. Hany Ibrahim and Pierre Perio for their help in the physico-chemical characterization of our compounds.
  • Samples Availability: Samples of the compounds are available from the authors.

References

  1. Kolb, H.C.; Sharpless, K.B. The growing impact of click chemistry on drug discovery. Drug Discov. Today 2003, 8, 1128–1137. [Google Scholar] [CrossRef]
  2. Yi, L.; Shi, J.; Gao, S.; Li, S.; Niu, C.; Xi, Z. Sulfonium alkylation followed by ‘click’ chemistry for facile surface modification of proteins and tobacco mosaic virus. Tetrahedron Lett. 2009, 50, 759–762. [Google Scholar] [CrossRef]
  3. Bock, V.D.; Hiemstra, H.; van Maarseveen, J.H. CuI-Catalyzed Alkyne-Azide“Click”Cycloadditions from a Mechanistic and Synthetic Perspective. Eur. J. Org. Chem. 2006, 1, 51–68. [Google Scholar]
  4. Fournier, D.; De Geest, B.G.; Du Prez, F.E. On-demand click functionalization of polyurethane films and foams. Polymer 2009, 50, 5362–5367. [Google Scholar] [CrossRef]
  5. Fan, W.Q.; Katritzky, A.R. 1,2,3-Triazoles. Compr. Heterocycl. Chem. II 1996, 4, 1–126. [Google Scholar]
  6. Kategaonkar, A.H.; Shinde, P.V.; Kategaonkar, A.H.; Pasale, S.K.; Shingate, B.B.; Shingare, M.S. Synthesis and biological evaluation of new 2-chloro-3-((4-phenyl-1H-1,2,3-triazol-1-yl)methyl)quinoline derivatives via click chemistry approach. Eur. J. Med. Chem. 2010, 45, 3142–3146. [Google Scholar] [CrossRef]
  7. Genin, M.J.; Allwine, D.A.; Anderson, D.J.; Barbachyn, M.R.; Emmert, D.E.; Garmon, S.A.; Graber, D.R.; Grega, K.C.; Hester, J.B.; Hutchinson, D.K.; Morris, J.; Reischer, R.J.; Ford, C.W.; Zurenko, G.E.; Hamel, J.C.; Schaadt, R.D.; Stapert, D.; Yagi, B.H. Substituent Effects on the Antibacterial Activity of Nitrogen-Carbon-Linked (Azolylphenyl)oxazolidinones with Expanded Activity Against the Fastidious Gram-Negative Organisms Haemophilus influenzae and Moraxella catarrhalis. J. Med. Chem. 2000, 43, 953–970. [Google Scholar]
  8. Alvarez, R.; Velázquez, S.; San-Félix, A.; Aquaro, S.; De Clercq, E.; Perno, C.F.; Karlsson, A.; Balzarini, J.; Camarasa, M.J. 1,2,3-Triazole-[2,5-Bis-O-(tert butyldimethylsilyl)-.beta.-D-ribofuranosyl]-3'-spiro-5''-(4''-amino-1'',2''-oxathiole2'',2'' dioxide) (TSAO) Analogs: Synthesis and Anti-HIV-1 Activity. J. Med. Chem. 1994, 37, 4185–4194. [Google Scholar] [CrossRef]
  9. Buckle, D.R.; Outred, D.J.; Rockell, C.J.M.; Smith, H.; Spicer, B.A. Studies on v-triazoles. 7. Antiallergic 9-oxo-1H,9H-benzopyrano[2,3-d]-v-triazoles. J. Med. Chem. 1983, 26, 251–254. [Google Scholar] [CrossRef]
  10. Patil, V.; Guerrant, W.; Chen, P.C.; Gryder, B.; Benicewicz, D.B.; Khan, S.I.; Tekwani, B.L.; Oyelere, A.K. Antimalarial and antileishmanial activities of histone deacetylase inhibitors with triazole-linked cap group. Bioorg. Med. Chem. 2010, 18, 415–425. [Google Scholar]
  11. Rovnyak, G.C.; Atwal, K.S.; Hedberg, A.; Kimball, S.D.; Moreland, S.; Gougoutas, J.Z.; O’Reilly, B.C.; Schwartz, J.; Malley, M.F. Dihydropyrimidine calcium channel blockers. 4. Basic 3-substituted-4-aryl-1,4 dihydropyrimidine-5-carboxylic acid esters. Potent antihypertensive agents. J. Med. Chem. 1992, 35, 3254–3263. [Google Scholar] [CrossRef]
  12. Atwal, K.S.; Rovnyak, G.C.; Schwartz, J.; Moreland, S.; Hedberg, A.; Gougoutas, J.Z.; Malley, M.F.; David, M.F. Dihydropyrimidine calcium channel blockers: 2-heterosubstituted 4-aryl-1,4-dihydro-6-methyl-5-pyrimidinecarboxylic acid esters as potent mimics of dihydropyridines. J. Med. Chem. 1990, 33, 1510–1515. [Google Scholar] [CrossRef]
  13. Yamaguchi, M.; Wakasugi, K.; Saito, R.; Adachi, Y.; Yoshikawa, Y.; Sakurai, H.; Katoh, A. Syntheses of vanadyl and zinc(II) complexes of 1-hydroxy-4,5,6-substituted 2(1H)-pyrimidinones and their insulin–mimetic activities. J. Inorg. Biochem. 2006, 100, 260–269. [Google Scholar] [CrossRef]
  14. Sadanandam, Y.S.; Shetty, M.M.; Diwan, P.V. Synthesis and biological evaluation of new 3,4-dihydro-6-methyl-5-N-methyl-carbamoyl-4-(substituted phenyl)-2(1H)pyrimidinones and pyrimidinethiones. Eur. J. Med. Chem. 1992, 27, 87–92. [Google Scholar] [CrossRef]
  15. Wright, C.M.; Chovatiya, R.J.; Jameson, N.E.; Turner, D.M.; Zhu, G.; Werner, S.; Huryn, D.M.; Pipas, J.M.; Day, B.W.; Wipf, P.; Brodskya, J.L. Pyrimidinone-peptoid hybrid molecules with distinct effects on molecular chaperone function and cell proliferation. Bioorg. Med. Chem. 2008, 16, 3291–3301. [Google Scholar] [CrossRef]
  16. Lagu, B.; Tian, D.; Chiu, G.; Nagarathnam, D.; Fang, J.; Shen, Q.; Forray, C.; Ransom, R.W.; Raymond, S.L.C.; Kamlesh, P.V.; Zhang, K.; Gluchowski, C. Synthesis and evaluation of furo[3,4-d]pyrimidinones as selective α1a-adrenergic receptor antagonists. Bioorg. Med. Chem. Lett. 2000, 10, 175–178. [Google Scholar] [CrossRef]
  17. Zribi, F.; Rekik, A.; Chabchoub, F.; Trabelsi, M.; Salem, M. Effect of malonates on simple imino esters, N-acyls and N-ethoxycarbonyls in a basic medium. J. Tun. Chem. Soc. 2001, 4, 965–970. [Google Scholar]
  18. Krechl, J.; Perez, M.A.; Cuadrado, F.J.; Soto, J.L. Pyrimidine-5-carbonitriles from Methyl N-(Aminocarbonyl)-or N-(Aminothiocarbonyl)-imidates. Synthesis 1988, 2, 122–126, Our compounds 3a and 3g were prepared according to the above cited reference by reaction of methyl N-(phenyl or 4-methylphenylaminocarbonyl)imidates with malononitrile and sodium methoxide in dry methanol. [Google Scholar]
  19. Whitehead, C.W.; Traverso, J.J. Reactions of Orthoesters with Ureas II. J. Am. Chem. Soc. 1955, 77, 5867–5872. [Google Scholar] [CrossRef]
  20. Altomare, A.; Cascarano, G.; Giacovazzo, C.; Guagliardi, A. Completion and refinement of crystal structures with SIR92. J. Appl. Crystallogr. 1993, 26, 343–350. [Google Scholar] [CrossRef]
  21. Betteridge, P.W.; Carruthers, J.R.; Cooper, R.I.; Prout, K.; Watkin, D.J. CRYSTALS version 12: Software for guided crystal structure analysis. J. Appl. Crystallogr. 2003, 36, 1487. [Google Scholar] [CrossRef]
  22. IBERS, J.A.; Hamilton, W.C. International Tables for X-ray Crystallography; Kynoch Press: Birmingham, UK, 1974; Volume IV. [Google Scholar]

Share and Cite

MDPI and ACS Style

Najahi, E.; Sudor, J.; Chabchoub, F.; Nepveu, F.; Zribi, F.; Duval, R. Synthesis of 6-Amino-5-cyano-1,4-disubstituted-2(1H)-Pyrimidinones via Copper-(I)-catalyzed Alkyne-azide ‘Click Chemistry’ and Their Reactivity. Molecules 2010, 15, 8841-8855. https://doi.org/10.3390/molecules1512884

AMA Style

Najahi E, Sudor J, Chabchoub F, Nepveu F, Zribi F, Duval R. Synthesis of 6-Amino-5-cyano-1,4-disubstituted-2(1H)-Pyrimidinones via Copper-(I)-catalyzed Alkyne-azide ‘Click Chemistry’ and Their Reactivity. Molecules. 2010; 15(12):8841-8855. https://doi.org/10.3390/molecules1512884

Chicago/Turabian Style

Najahi, Ennaji, Jan Sudor, Fakher Chabchoub, Françoise Nepveu, Fethi Zribi, and Romain Duval. 2010. "Synthesis of 6-Amino-5-cyano-1,4-disubstituted-2(1H)-Pyrimidinones via Copper-(I)-catalyzed Alkyne-azide ‘Click Chemistry’ and Their Reactivity" Molecules 15, no. 12: 8841-8855. https://doi.org/10.3390/molecules1512884

APA Style

Najahi, E., Sudor, J., Chabchoub, F., Nepveu, F., Zribi, F., & Duval, R. (2010). Synthesis of 6-Amino-5-cyano-1,4-disubstituted-2(1H)-Pyrimidinones via Copper-(I)-catalyzed Alkyne-azide ‘Click Chemistry’ and Their Reactivity. Molecules, 15(12), 8841-8855. https://doi.org/10.3390/molecules1512884

Article Metrics

Back to TopTop