Abstract
The synthesis and properties of multifunctional thioureas bearing a variety of functional groups at a position remote from the thiourea moiety are described. A 1,5-disubstituted triazole tether connected with a thiourea and another functional group was synthesized via ruthenium catalyzed Huisgen cycloaddition. We demonstrate the utility of the synthetic thioureas as asymmetric catalysts and probes for the mechanistic elucidation of the course of the Michael reaction of an α,β-unsaturated imide.
1. Introduction
The development of organocatalysts represents an important field in asymmetric synthesis [1]. Over the past decade, thiourea-based bifunctional catalysts such as 1 (Figure 1) have emerged as promising chiral catalysts due to ease of accessibility and their high efficiency in various asymmetric transformations [2,3,4,5,6,7,8,9]. Thiourea 1 has isolated acidic and basic functional groups in the same molecule. The combination of two functional groups within a chiral space of the catalyst leads to synergistic effects on the activation of substrates, providing high stereoselectivity and/or acceleration of the reaction rates. In most bifunctional thiourea catalysts, another functional partner is placed at a neighboring position so as to entropically activate the bimolecular reaction. Thioureas bearing another activating site at comparably remote positions have not been explored thoroughly [10]. On the other hand, in case of well-designed enzymes, sequentially distant functional groups can synergistically participate in the activation of the enzymatic reaction through the organization of an adequate chiral space. We envisioned that thiourea catalysts tethered with the third functional group at a remote position would provide further advantages with regard to molecular catalysis (Figure 1). One of the important and challenging matters would be the adequate design of the tether, which must appropriately display conformational flexibility/rigidity in order to provide an organized reaction space. Additionally, synthetic accessibility in the formation of the tether would be valuable.
Figure 1.
Design of a trifunctional thiourea catalyst.
1,3-Dipolar cycloaddition of alkynes with alkyl- or arylazides, also known as the Huisgen cycloaddition [11], affords substituted 1,2,3-triazole compounds. A great deal of attention has been paid to the Cu(I)-catalyzed Huisgen cycloaddition giving 1,4-disubstituted triazoles (known as “click chemistry”) due to several synthetic advantages, including a wide tolerance for various functional groups, high chemical yield, simple reaction operation and easy purification [12]. Ru(II) catalysts are also known to activate the cycloaddition, but the catalyst results in the exclusive formation of 1,5-disubstituted triazoles [13,14,15]. Thus, both substituents of Ru-catalyzed cycloadducts, 1,5-triazoles, direct at the same side, whereas those of 1,4-disubstituted triazoles are oriented at opposite sides (Figure 2). We envisioned that the 1,5-disubstituted triazole core would be suitable for the tether for the following reasons: 1) conformational rigidity of the aromatic ring, 2) both substituents of 1,5-disubstituted triazoles directing to the same side, and 3) synthetic convenience. Herein we wish to report on the synthesis of chiral thioureas bearing acidic, basic or neutral functional groups at a remote position using Ru-catalyzed Huisgen cycloaddition and their utility as chiral organocatalysts and probes for the mechanistic elucidation of the course of the Michael reaction of an α,β-unsaturated imide [16].
Figure 2.
Regioisomeric 1,2,3-triazoles synthesized by Huisgen cycloaddition.
2. Results and Discussion
2.1. Synthesis of Multifunctional Thioureas Bearing a 1,2,3-Triazole Tether
At the outset of this study, thioureas 6a,b bearing an alkynyl moiety were synthesized (Scheme 1). Starting from mono-Boc 1,2-diaminocyclohexane (2) [17], alkylation with propargyl bromide (3a) and homopropargyl tosylate (3b) afforded secondary amines 4a and 4b, respectively. N-methylation of 4 was accomplished by reductive amination with formaldehyde to give 5. Deprotection of the Boc group followed by treatment with 3,5-bis(trifluoromethyl)phenylisothiocyanate provided compounds 6 in good yield.
Scheme 1.
Synthesis of chiral bifunctional thioureas bearing an alkynyl moiety.
We envisioned synthesizing thioureas bearing a variety of functional groups at remote positions. Preparative procedures of azide partners 8, 10, 12, 15 are depicted in Scheme 2. Azide 8 bearing a phenolic function was synthesized from alcohol 7 according to the reported procedure [18]. Azide 10 possessing a carboxylate equivalent was prepared from bromide 9 [19]. Both enantiomers of proline derivative 12 were obtained from the corresponding enantiomeric alcohols 11 [20] in two steps. Azides 15a,b having α,β-unsaturated imide moieties were prepared in two steps from 13a,b [21,22], respectively.
Scheme 2.
Synthesis of azide partners.
We next examined the Ru-catalyzed Huisgen reaction of alkynes 6 with benzylazide (16) in the presence of Cp*Ru(PPh3)2Cl or [Cp*RuCl]4, which were reported to be highly active catalysts in the Huisgen cycloaddition [13,14,15]. Unfortunately, almost no formation of the desired cycloadduct was observed under any of the conditions tested. Further study revealed that the ruthenium catalyst was being inactivated by an undesired ligation with the sulfur atom of the thiourea moiety. Therefore, we modified the synthetic route towards creation of the desired thioureas to the following sequence: i) Ru-catalyzed Huisgen cycloaddition of alkynyl substrates and azide partners, ii) installation of thiourea moiety (Scheme 3).
Scheme 3.
Synthesis of chiral thioureas bearing a 1,5-disubstituted triazole tether
Chemical yields of 18 are summarized in Table 1. For example, regioselective Huisgen cycloaddition of alkyne 5a with benzylazide (16) was smoothly activated by [Cp*RuCl]4 in THF at ambient temperature giving 1,5-disubstituted triazole 17a in 71% yield (entry 1).
Table 1.
Chemical yields of 17 and 18.
| Entry | Substrates | Final products | Huisgen reaction | deprotection methodb | overall %yield of 18 from 17 | ||
|---|---|---|---|---|---|---|---|
| methoda | %yield of 17 | ||||||
| 1 | 5a, 16 | ![]() | 18a | A | 71 | - | 51(2 steps) |
| 2 | 5a, 8 | ![]() | 18b (X = OH) | B | 42 | - | 57 (2 steps) |
| 3 | 5a, 10 | 18c (X = CO2H) | C | 71 | E | 41 (3 steps) | |
| 4 | 5a, (R)-12 | ![]() | 18d (n = 1, β-isomer) | C | 54 | F | 71 (3 steps) |
| 5 | 5a, (S)-12 | 18e (n = 1, α-isomer) | C | 47 | F | 66 (3 steps) | |
| 6 | 5b, (R)-12 | 18f (n = 2, β-isomer) | C | 43 | F | 58 (3 steps) | |
| 7 | 5a, 15a | ![]() | 18g (n = 1, m = 1) | A | 56 | - | 61 (2 steps) |
| 8 | 5a, 15b | 18h (n = 1, m = 0) | A-D | trace | - | - | |
| 9 | 5b, 15a | 18i (n = 2, m = 1) | D | 62 | - | 66 (2 steps) | |
a Method A: Cp*Ru(PPh3)2Cl (10 mol%), THF, rt, 24 h; method B: [Cp*RuCl]4 (2.5 mol%), DMF, 110 °C, microwave, 20 min; method C: [Cp*RuCl]4 (2.5 mol%), THF, reflux, 8 h; method D: [Cp*RuCl]4 (2.5 mol%), DMF, 110 °C, microwave, 1 h. bMethod E: LiOH (10 eq), THF-H2O, rt, 10 h; method F: LiOH (10 eq), THF-H2O, rt, 2-4 h.
Conversely, the reaction with phenol 8 under the same conditions resulted in poor conversion to the desired triazole 17b. It was found that microwave irradiation in DMF (110 oC) was effective for the cycloaddition, giving 17b in 42% yield (entry 2). Huisgen cycloaddition of 5a,b with azides 8, 10, 12, 15a and 16 , respectively, under the same conditions, afforded 17 in moderate yield (entries 2-7 and 9). The regioselectivity in the cyloaddition was controlled to furnish 1,5-disubstited 1,2,3-triazoles exclusively. However, it was found that the reactivity of arylazide 15b in the Ru-catalyzed Huisgen reaction was poor and, consequently, only a trace amount of triazole 17h was produced under all conditions tested (entry 8). Transformation of 17 into 18 was achieved over a couple of steps, namely, deprotection of the Boc group of 17, followed by treatment with 3,5-bis(trifluoromethyl)isothiocyanate and hydrolysis (only for 17c-f), furnished thiourea 18a-g,i in fair yield. The synthetic sequence involving Huisgen cycloaddition would be a facile and new methodology to prepare new classes of multifunctional thioureas. Although a thiourea function is incompatible, it was found that various functionalities, such as phenol, amine, amide, carbamate, imide and ester groups, are tolerant of the Ru-catalyzed Huisgen reaction.
Thiourea catalysts having a regioisomeric 1,4-disubstituted triazole tether were also synthesized using Cu(I)-catalyzed cycloaddition (Scheme 4). 1,3-Dipolar cycloaddition of alkyne 5a with 8 and (R)-12 in the presence of a catalytic amount of Cu(II) salt with a reductant [23] furnished 1,4-disubstituted 1,2,3-triazoles 19b and 19d, respectively. According to the same method as above, thioureas 20b and 20d were obtained in good overall yield.
Scheme 4.
Synthesis of chiral thioureas bearing a 1,4-disubstituted triazole tether.
2.2. Michael Reaction of α,β-Unsaturated Imides Bearing a Thiourea Auxiliary: Identification of Adequate Hydrogen Bond Network
We have reported that thiourea 1 smoothly catalyzes a conjugate addition of malononitrile to α,β-unsaturated imides to give the corresponding Michael adducts with high enantioselectivity [24,25,26]. We proposed a ternary complex as the transition state model [27], in which the thiourea moiety of 1 would interact with the imide function of the substrate by two sets of hydrogen bonding to create an adequate chiral catalytic site, and, moreover, malononitrile would be activated by an amino moiety of 1 (Figure 3, left). However, because the binding constant of thiourea 1 with an imide substrate was very small, it was difficult to observe the binding structure by NMR in order to elucidate the mechanistic insight. The correct structure of the transition state remains to be cleared. We envisaged that thioureas 18g and 18i tethered with an α,β-unsaturated imide moiety would be utilized as appropriate mimic for the transition state model.
Figure 3.
A transition state model for a Michael addition to imide with bifunctional thiourea 1 (left), and its mimetic hybrid molecules 18g,i (right).
For this purpose, we examined the reactivity of 18g and 18i in a Michael addition with malononitrile. If the thiourea moiety of 18 interacts with the imide group via the appropriate hydrogen bonds like the transition state shown in Figure 3, the conjugate addition should proceed much more smoothly as compared with a substrate possessing no or less hydrogen bond Interaction. When 18g was treated with two equivalents of malononitrile in dichloromethane at room temperature, almost no reaction producing Michael adduct 21g occurred within 48 h (Scheme 5). In contrast, 18i, whose tether is one methylene unit longer than that of 18g, furnished the corresponding adduct 21i in 32% yield [28]. The diastereomeric selectivity of 21i was determined to be 55%de after transesterification of 21i to give the corresponding methyl ester. The chirality of the stereogenic center was assigned to be (R), which is identical to that reported ones using thiourea 1 [24]. The results indicated that the α,β-unsaturated imide moiety would be activated by the thiourea function through the hydrogen bonding and the length of the tether between thiourea and imide functions would be very important. Although we next attempted the conformational analysis of 18g,i to throw light on their hydrogen bond network, no suitable crystal on which X-ray crystallography could be performed was obtained and it was, unfortunately, difficult to analyze the conformation via NMR. We anticipate that further studies employing another approach will be indispensable to elucidate the transition state for the Michael addition catalyzed by thiourea 1.
Scheme 5.
Michael addition of 18g and 18i with malononitrile.
2.3. Asymmetric Michael addition with Thiourea-Pyrrolidine Based Trifunctional Catalyst
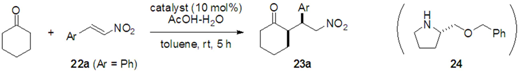
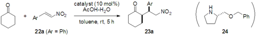
We next examined the utility of trifunctional catalysts 18 and 20 having a triazole tether to elucidate the effect of the remote functional group. Asymmetric Michael addition is one of the representative C‑C bond formation reactions in organocatalysis. In particular, extensive efforts have been devoted to the enantioselective Michael reaction of ketones with nitroalkenes [29,30,31,32,33,34,35,36,37,38] since the nitroalkanes produced bearing contiguous stereogenic centers would be versatile synthetic intermediates. Several pyrrolidine-based derivatives have been reported to catalyze the reaction with good to high diastereo- and enantioselectivity. Chiral thiourea-pyrrolidine-based bifunctional catalysts have been also found to give excellent enantioselectivities [7]. However, some problems, such as the slow reaction rates still persist with most of the pyrrolidine-based organocatalysts.
During the course of our study, Kilburn et al. reported on some thiourea-pyrrolidine based bifunctional catalysts [7] in which both functions are placed at considerably distant positions tethered with a simple alkyl chain. Some of these bifunctional catalysts demonstrated excellent rate acceleration with good stereoselectivity in the reaction of cyclohexanone with trans-β-nitrostyrene. They clarified the fact that the tether between thiourea and pyrrolidine of the optimized catalyst consists of five atoms.
The catalytic activity of thiourea-pyrrolidine catalyst 18d-f and 20d was evaluated under the same conditions as Kilburn’s study [7] (Table 2). The thiourea moiety of 18d and 18e is separated from the imide function by seven atoms, whereas the spacing of 18f and 20d is eight atoms. Catalyst 18d which has a 1,5-disubstituted triazole tether produced nitroalkane 23a in 91% yield with good diastereo- and enantioselectivities (91:9 syn/anti selectivity, 92% ee of syn-23a; entry 1). The stereochemistry of major isomer 23a was determined to be syn by comparison with reported data [5,6,7,8,9]. The chirality of 23a obtained from 18d was opposite to that from 18e (entry 2). Thus, the enantioselection in the reaction appears to be mainly dominated by the chirality of the pyrrolidinyl moiety. Although the difference in the value of enantiomeric excess is not so significant, it was observed that the chirality of the 1,2-diaminocyclohexyl moiety affects the selectivity somewhat (entries 1 vs 2). Catalyst 18f having a tether that is one methylene longer also afforded 23a in good yield, however, with lower syn/anti selectivity and enantioselectivity (entry 3). The results clearly indicated that tether length would be important for asymmetric induction in the Michael addition. Interestingly, we have found that the rate of reaction with 20d having a 1,4-disubstituted triazole tether was much slower than that with 18d-f, although the enantioselectivity was comparable to that of 18d (entry 4).
Table 2.
Enantioselective conjugate addition of cyclohexanone to trans-β-nitrostyrene catalyzed by trifunctional thiourea. a
| entry | catalyst | %yield of 23ab | dr (syn/anti)c | %ee of syn-23ad |
|---|---|---|---|---|
| 1 | 18d | 91 | 91 : 9 | 92 |
| 2 | 18e | 93 | 91 : 9 | 82 (ent) |
| 3 | 18f | 85 | 82 : 18 | 55 |
| 4 | 20d | 32 | 93 : 7 | 87 |
| 5e | 24 | 10f | 91 : 9 | 93 (ent) |
a The reaction was conducted with 22a (0.34 mmol) and cyclohexanone (3.4 mmol, 10 equiv.) in the presence of catalyst (10 mol%), AcOH (15 mol%) and H2O (1.0 equiv) in toluene (0.5 mL) at ambient temperature. b Isolated yield as a mixture of syn/anti isomers. c Determined by HPLC analysis and 1H-NMR. d Determined by HPLC analysis (Daicel Chiralpak AS-H, hexane-iPrOH = 90:10). e The reaction result was cited from Kilburn’s study (ref. [7]). f Conversion yield after the reaction was carried out for 720 h.
This result points out that the relative position of the thiourea and pyrrolidine moieties are a critical factor for the rate acceleration in the Michael addition reaction. Although the catalysts 18f and 20d possess a tether that is eight atoms in length, the acceleration rate of the conjugate addition by catalyst 18f was, interestingly, greater than that of 20d. Thus, the direction of the substituents on the triazole ring of the catalyst would affect the rate enhancement in the reaction. In other word, the tether of 18f would be more flexible than that of 20d. Therefore, both of the thiourea and pyrrolidine moieties of 18f could participate in the synergistic activation of the substrates.
As Kilburn reported that the reaction rate drastically decreased in the reaction with monofunctional pyrrolidine catalyst 24 (entry 5), it has been made clear that the thiourea function of the catalyst system can positively participate in the activation of the substrate. The absolute configuration of the major enantiomer syn-23a in the reaction with 18d was determined to be (2R,1’S) by the comparison of HPLC data with reported data [5,6,7,8,9]. The configuration is consistent with a synclinal transition state for pyrrolidine-based chiral organocatalysis. A suggested transition state model is shown in Figure 4. The hydrogen bond network among the thiourea moiety, tertiary ammonium and the nitro group would direct the nitrostyrene to attack of si-face of the enamine.
Figure 4.
A Proposed Transition State for Michael Addition by Trifunctional Thiourea 18d
Furthermore, we examined the scope of the asymmetric Michael addition using 18d (Table 3). Nitroolefins 22b-f bearing a variety of aryl group gave the corresponding Michael adducts in high yield with a good stereoselectivity [39].
Table 3.
Scope of the Enantioselective Michael addition by catalyst 18d.a
| Entry | Substrate 22 (Ar) | % Yield of 5 b | dr (syn/anti)c | % ee of syn-23d |
|---|---|---|---|---|
| 1 | 22b (2-ClC6H4) | 88 | 91 : 9 | 91 |
| 2 | 22c (3-ClC6H4) | 89 | 90 : 10 | 91 |
| 3 | 22d (4-ClC6H4) | 83 | 89 : 11 | 89 |
| 4e | 22e (4-MeOC6H4) | 89 | 91 : 9 | 91 |
| 5 | 22f (2-furyl) | 96 | 84 : 16 | 98 |
a The reaction was conducted with 22 (0.34 mmol) and cyclohexanone (3.4 mmol, 10 equiv.) in the presence of 18d (10 mol%), AcOH (15 mol%) and H2O (1.0 equiv) in toluene (0.5 mL) at ambient temperature. Reactions were carried out for 5 h (except for entry 4) b Isolated yield as a mixture of syn/anti isomers. c Determined by HPLC analysis and 1H-NMR. d Determined by HPLC analysis (for 23b: Daicel Chiralpak AD-H, hexane-iPrOH = 90:10; for 23c: Chiralpak AS-H, hexane-iPrOH = 75 : 25; for 23d-h: Chiralpak AD-H, hexane-iPrOH = 91:9). eThe reaction was carried out for 12 h.
3. Experimental
3.1. General
All reactions were carried out under a positive atmosphere of argon in dried glassware unless otherwise noted. Solvents and materials were obtained from commercial suppliers and used without further purification. Column chromatography was performed on Merck silica gel 60 (230-400 mesh). Reactions and chromatography fractions were analyzed employing pre-coated silica gel plate (Merck Silica Gel 60 F254). All melting points were measured on YANACO MP-500P micro melting point apparatus and are uncorrected. IR spectra were measured on JASCO FT/IR-410. The 1H- and 13C- NMR spectra were recorded on JEOL AL-400 or JEOL ECP-500 instruments with tetramethylsilane as internal standard. Low-resolution and high-resolution mass spectra were recorded on JEOL JMS-01SG-2 or JMS-HX/HX 110A mass spectrometer.
3.2. Representative Synthetic Procedure: Preparation of 6a
tert-Butyl (1R,2R)-2-(2-Propynylamino)cyclohexylcarbamate (4a): To a stirred mixture of 2 (1.50 g, 7.0 mmol) and K2CO3 (1.03 g, 8.4 mmol) in MeCN (30 mL) at room temperature, propagyl bromide (832 mg, 7.0 mmol) in MeCN (40 mL) was added. After being stirred at room temperature for 3 h, the mixture was quenched with water (20 mL) and extracted with CHCl3 (100 mL × 3). The extracts were dried over NaSO4, filtered, and concentrated in vacuo. The residue was purified by silica gel column chromatography with hexane/AcOEt (1:1) to afford 4a (1.24 g, 70%). Colorless crystals; [α]D24 -18.3 (c 0.94, CHCl3); Mp 109-110 °C; 1H-NMR (400 MHz, CDCl3) δ 4.46 (br, 1H), 3.52 (dd, J = 17.6, 2.4 Hz, 1H), 3.39 (dd, J = 17.6, 2.4 Hz, 1H), 3.32 (br, 1H), 2.45 (ddd, J = 10.4, 10.4, 6.0 Hz, 1H), 2.20 (dd, J = 2.4, 2.4 Hz, 1H), 2.04-2.06 (m, 1H), 2.05 (br, 1H), 1.66-1.73 (m, 1H), 1.45 (s, 9H), 1.04-1.42 (m, 4H) ppm; 13C-NMR (126 MHz, CDCl3) δ 155.9, 82.6, 79.4, 71.0, 59.3, 54.4, 35.3, 32.9, 31.1, 28.4, 24.8, 24.3 ppm; IR (ATR) 3349, 3313, 3251, 2973, 2935, 2859, 1718, 1679, 1519 cm-1; MS (FAB) 253 (MH+, 100); Anal. Calcd. for C14H24N2O2: C, 66.63; H, 9.59; N, 11.10; Found; C, 66.66; H, 9.73; N, 10.94.
tert-Butyl (1R,2R)-2-{Methyl-(2-propynyl)amino}cyclohexylcarbamate (5a): To a stirred mixture of 2a (1.10 g, 4.4 mmol) in MeCN (30 mL) at room temperature, 37% aq HCHO (707 mg, 8.7 mmol) was added. After the mixture was stirred at room temperature for 15 min and 45 min, NaBH3CN (274 mg, 4.4 mmol) and AcOH (9 mL), respectively, were added. After being stirred at the same temperature for 4 h, the mixture was quenched with 1N aq NaOH (150 mL) and extracted with CHCl3 (150 mL × 3). The extracts were dried over NaSO4, filtered, and concentrated in vacuo. The residue was purified by silica gel column chromatography with hexane/AcOEt (8:1) to afford 5a (1.08 g, 93%). Colorless oil; [α]D24 -41.9 (c 1.1, CHCl3); 1H-NMR (400 MHz, CDCl3) δ 5.09 (br, 1H), 3.35 (t, J = 2.8 Hz, 2H), 3.21-3.30 (m, 1H), 2.40-2.46 (m, 2H), 2.28 (s, 3H), 2.20 (t, J = 2.8 Hz, 1H), 1.89-1.92 (m, 1H), 1.75-1.78 (m, 1H), 1.63-1.66 (m, 1H), 1.45 (s, 9H), 1.05-1.29 (m, 4H) ppm; 13C-NMR (126 MHz, CDCl3) δ 156.2, 81.4, 78.9, 72.2, 65.1, 51.9, 42.7, 36.1, 33.2, 28.5, 25.3, 24.5, 23.31 ppm; IR (ATR) 3311, 1694, 1484 cm-1; MS (FAB) 267 (MH+, 84), 211 (100); Anal. Calcd. for C15H26N2O2: C, 67.63; H, 9.84; N, 10,52; Found; C, 67.40; H, 10.11; N, 10.44.
1-{3,5-Bis(trifluoromethyl)phenyl}-3-(1R,2R)-2-[{methyl(2-propynyl)amino}cyclohexyl]thiourea (6a): To a stirred mixture of 5a (100 mg, 0.38 mmol) in CH2Cl2 (1 mL) at room temperature, TFA (1 mL) was added. After being stirred at the same temperature for 3 h, the mixture was basified with 3 N NaOHaq (5 mL) and extracted with CHCl3 (5 mL × 3). The extracts were dried over NaSO4, filtered, and concentrated in vacuo. A mixture of the resulting crude product and 3,5-bis(trifluoromethyl)-phenylisothiocyanate (82 mg, 0.30 mmol) in THF (1.5 mL) was stirred at room temperature for 11 h. After concentration in vacuo, the mixture was purified by silica gel column chromatography with hexane/AcOEt/NEt3 (150:50:1) to afford 6a (112 mg, 78% in two steps). Pale yellow oil; [α]D24 -17.5 (c 1.2, CHCl3); 1H-NMR (400 MHz, acetone-d6) δ 9.47 (br, 1H), δ 8.28 (s, 2H), 7.67 (s, 1H), 7.51 (br, 1H), 4.25 (br, 1H), 3.44 (dd, J = 16.8, 2.4 Hz, 1H), 3.37 (dd, J = 16.8, 2.4 Hz, 1H), 2.77-2.84 (m, 1H), 2.64 (t, J = 2.4 Hz, 1H), 2.45-2.48 (m, 1H), 2.37 (s, 3H), 2.04-2.06 (m, 1H), 1.78-1.82 (m, 1H), 1.67-1.70 (m, 1H), 1.18-1.43 (m, 4H) ppm; 13C-NMR (126 MHz, acetone-d6): 181.1, 142.7, 132.1 (q, JC-F = 33.7 Hz), 124.3 (q, JC-F = 273 Hz), 123.0, 117.2, 82.0, 73.8, 66.0, 56.4, 43.0, 36.5, 32.9, 25.9, 25.4, 24.2; IR (ATR) 3309, 2937, 1531, 1467 cm-1; MS (FAB) 438 (MH+, 100); HRMS (FAB+) [C19H22F6N3S]+: 438.1439; Found. 438.1432
tert-Butyl (1R,2R)-2-(3-Butynylamino)cyclohexylcarbamate (4b): Colorless crystals; [α]D24 -30.5 (c 1.0, CHCl3); Mp 89-90 °C; 1H-NMR (400 MHz, CDCl3) δ 4.60 (br, 1H), 3.22 (br, 1H), 2.84-2.90 (m, 2H), 2.66-2.72 (m, 1H), 2.33-2.40 (m, 2H), 2.23-2.30 (m, 1H), 2.09 (d, J = 12.0 Hz, 1H), 1.98-2.03 (m, 1H), 1.98 (dd, J = 2.4, 2.4 Hz, 1H), 1.65-1.72 (m, 2H), 1.45 (s, 9H), 1.12-1.32 (s, 4H) ppm; 13C- NMR (126 MHz, CDCl3) δ 155.9, 82.6, 79.2, 69.5, 60.5, 54.4, 44.7, 32.8, 31.6, 28.4, 24.8, 24.6, 19.9 ppm; IR (ATR) 3280, 2933, 2857, 1708, 1525 cm-1; MS (FAB) 267 (MH+, 100); Anal. Calcd. for C15H26N2O2: C, 67.63; H, 9.84; N, 10,52; Found; C, 67.36; H, 9.74; N, 10.35.
tert-Butyl (1R,2R)-2-{3-Butynyl(methyl)amino}cyclohexylcarbamate (5b): Colorless crystals; Mp 60-61 °C; [α]D26 -37.7 (c 1.6, CHCl3); 1H-NMR (400 MHz, CDCl3) δ 5.45 (br, 1H), 3.15-3.23 (m, 1H), 2.65-2.70 (m, 1H), 2.47-2.54 (m, 2H), 2.29-2.33 (m, 3H), 2.21 (s, 3H), 1.98 (t, J = 2.7 Hz, 1H), 1.59-1.78 (m, 3H), 1.44 (s, 9H), 1.03-1.26 (m, 4H) ppm; 13C-NMR (126 MHz, CDCl3) δ 156.4, 83.0, 78.6, 69.1, 66.4, 52.0, 36.1, 33.1, 28.5, 25.5, 24.5, 23.0, 18.6 ppm; IR (ATR) 3383, 2974, 2929, 2857, 2361, 1707, 1483 cm-1: MS (FAB) 281 (MH+, 100); Anal. Calcd. for C16H28N2O2: C, 68.53; H, 10.06; N, 9.99; Found; C, 68.38; H, 10.34; N, 9.78.
1-{3,5-Bis(trifluoromethyl)phenyl}-(1R,2R)-3-[2-{2-butynyl(methyl)amino}cyclohexyl]thiourea (6b): White amorphous; [α]D27 -20.2 (c 1.0, CHCl3); 1H-NMR (400 MHz, acetone-d6) δ 9.34 (br, 1H), δ 8.28 (s, 2H), 7.66 (s 1H), 7.47 (br, 1H), 4.18 (br, 1H), 2.78 (m, 1H), 2.64 (m, 1H), 2.48-2.55 (m, 2H), 2.23-2.32 (m, 2H), 2.30 (s, 3H), 2.03 (t, J = 2.4 Hz, 1H), 1.90-1.94 (m, 1H), 1.77-1.80 (m, 1H), 1.63-1.67 (m, 1H), 1.13-1.32 (m, 4H) ppm; 13C-NMR (126 MHz, acetone-d6) δ 181.3, 142.8, 132.1 (q, JC-F = 27.7 Hz), 126.5 (q, JC-F = 270 Hz), 123.1, 117.2, 83.6, 70.4, 66.9, 56.4, 52.6, 37.5, 33.0, 25.4, 23.9, 19.2 ppm; IR (ATR) 3195, 3047, 2935, 1530, 1467 cm-1; MS (FAB) 452 (MH+, 100); Anal. Calcd. for C20H23F6N3S: C, 53.27; H, 5.13; N, 9.37; Found; C, 53.25; H, 5.15; N, 9.31.
3.3. Synthesis of Azides
4-Nitrobenzyl 2-(Azidomethyl)benzoate (10): To a stirred solution of NaN3 (294 mg, 4.5 mmol) in MeCN (2 mL), 9 (660 mg, 1.9 mmol) in MeCN (3 mL) was added at room temperature. The mixture was refluxed for 20 h. After water (10 mL) was added, the organic layer was extracted with AcOEt (10 mL × 3). The extracts were dried over MgSO4, filtered, and concentrated in vacuo. The resulting residue was purified by silica gel column chromatography with hexane/AcOEt (7:1) to afford 10 (433 mg, 74%). Colorless crystals; Mp 33-34 °C; 1H-NMR (400 MHz, CDCl3) δ 8.26 (d, J = 6.8 Hz, 2H), 8.08 (dd, J = 7.8, 1.2 Hz, 1H), 7.58-7.63 (m, 3H), 7.51 (d, J = 7.1 Hz, 1H), 7.42-7.46 (m, 1H), 5.46 (s, 2H), 4.82 (s, 2H) ppm; 13C-NMR (126 MHz, CDCl3) δ 166.0, 147.8, 143.0, 137.7, 133,2, 131,2, 130.1, 129.0, 128.3, 128.0, 123.9, 65.4, 53.1 ppm; IR (ATR) 2941, 2094, 1715, 1603 cm-1; MS (FAB) 313 (MH+, 13),136 (100); Anal. Calcd. for C15H12N4O4: C, 57.69; H, 3.87; N, 17.94; Found: C, 57.72; H, 3.64; N, 18.19.
(S)-1-{2-(Azidomethyl)-1-pyrrolidinyl}-2,2,2-trifluoroethanone [(S)-12]: To a mixture of (S)-11 (1.25 g, 6.3 mmol), NEt3 (0.77 g, 7.6 mmol) and DMAP (77 mg, 0.63 mmol) in CH2Cl2 (20 mL), TsCl (1.45 g, 7.6 mmol) was added at 0 °C. The mixture was stirred at room temperature for 3 h. The mixture was diluted with AcOEt (100 mL), and then washed with sat. aq NaHCO3 (50 mL × 2) and brine (50 mL). The extracts were dried over MgSO4, filtered, and concentrated in vacuo to give the corresponding tosylate. The crude tosylate was added to a mixture of NaN3 (1.03 g, 15.9 mmol) and NaI (190 mg, 1.3 mmol) in DMSO-1,4-dioxane (1:3 v/v, 30 mL) at room temperature. The mixture was stirred at 80 °C for 24 h. After addition of water (50 mL), the mixture was extracted with Et2O (50 mL × 3). The organic layers were washed with H2O (50 mL × 2) and brine (50 mL). The extracts were dried over MgSO4, filtered, and concentrated in vacuo. The residue was purified by silica gel column chromatography with hexane/AcOEt (7:1) to afford (S)-12 (1.02 g, 73%). Colorless oil; [α]D26 -97.7 (c 2.3, CHCl3); 1H-NMR (400 MHz, CDCl3) δ 4.26-4.28 (m, 1H), 3.75 (dd, J = 12.4, 8.8 Hz, 1H), 3.63-3.72 (m, 2H), 3.48 (dd, 12.4, 2.8 Hz, 1H), 1.94-2.12 (m, 4H) ppm; 13C-NMR (126 MHz, CDCl3) δ 156.0 (q, J = 37.8 Hz), 113.8 (q, J = 282 Hz), 58.3, 51.3, 47.5, 27.3, 24.5 ppm; IR (ATR) 2983, 2101, 1685 cm-1; MS (FAB) 223(MH+, 8), 154 (100); Anal. Calcd. for C7H9F3N4O: C, 37.84; H, 4.08; N, 10.52; Found: C, 37.68; H, 4.00; N, 25.44.
3-Azidobenzamide (14b): A mixture of 13b (2.62 g, 15 mmol), NH4Cl (395 mg, 7.4 mmol), 28% NH4OHaq (50 mL) and THF (5 mL) was stirred at 50 °C for 24 h. The mixture was extracted with AcOEt (75 mL × 3) and washed with brine (50 mL). The extracts were dried over MgSO4, filtered, and concentrated in vacuo to give 14b (1.86 g, 78%). Colorless crystals; Mp 142-143 °C; 1H-NMR (400 MHz, CDCl3) δ 7.52-7.54 (m, 2H), 7.43 (t, J = 8.1 Hz, 1H), 7.18 (ddd, J = 8.1, 2.4, 1.0 Hz, 1H) ppm; 13C-NMR (126 MHz, CDCl3) δ 168.2, 141.0, 135.1, 130.1, 123.4, 122.4, 118.2 ppm; IR (KBr) 3442, 3358, 2111, 1657, 1581, 1443 cm-1; MS (FAB) 436 (MH+) 163 (100); Anal. Calcd. for C7H6N4O: C, 51.85; H, 3.73; N, 34.55; Found; C, 52.13; H, 3.92; N, 34.53.
3-(Azidomethyl)benzamide (14a): A procedure similar to that of 14b afforded 14a (4.33g, 84%) from 13a. Colorless crystals; Mp 82-83 °C; 1H-NMR (400 MHz, CDCl3) δ 7.80 (s, 1H), 7.76 (dt, J = 6.4, 2.0 Hz, 1H), 7.46-7.51 (m, 2H), 4.42 (s, 2H) ppm; 13C-NMR (126 MHz, CDCl3) δ 169.3, 136.1, 134.0, 131.4, 129.1, 127.1, 127.0, 54.2 ppm; IR (KBr) 3369, 3181, 2112, 2086, 1621, 1582 cm-1; MS (FAB) 177 (MH+, 100); Anal. Calcd. for C8H8N4O: C, 54.45; H, 4.58; N, 31.80; Found; C, 54.43; H, 4.36; N, 32.02.
(E)-3-Azido-(N-cinnamoyl)benzamide (15b): A mixture of NaH (1.40 g, 59 mmol) and 14b (3.79 g, 23 mmol) in THF (200 mL) was stirred for 30 min at 0 °C. To a solution of cinnamoyl chloride (3.90 g, 23 mmol) THF (30 mL) was added the resulting mixture, and stirred for 2 h at room temperature. The reaction mixture was quenched with 1 aq N HCl (100 mL). The aqueous layer was extracted with AcOEt (150 mL x 3). The combined organic layers were washed with brine (100 mL), then dried over MgSO4, filtered, and concentrated in vacuo. The residue was purified by recrystallization (CHCl3/hexane). The collected mother liquid was purified again by silica gel column chromatography with CHCl3 . The desired product 7a (5.18 g, 76%) was combined. Pale brown crystals; Mp 148-149 °C; 1H-NMR (400 MHz, CDCl3) δ 8.58 (s, 1H), 7.96 (d, J = 15.9 Hz, 1H), 7.83 (d, J = 15.9 Hz, 1H), 7.60-7.68 (m, 4H), 7.52 (t, J = 7.8 Hz, 1H), 7.43-7.45 (m, 3H), 7.29 (dd, J = 2.2, 1.0 Hz, 1H) ppm; 13C-NMR (126 MHz, CDCl3) δ 167.7, 165.1, 147.1, 141.4, 134.8, 134.5, 130.8, 130.4, 128.9, 128.7, 123.8, 123.6, 119.1, 118.7 ppm; IR (KBr) 3261, 2099, 1703, 1667, 1608, 1350 cm-1; MS (FAB) 293 (MH+, 100); Anal. Calcd. for C16H12N4O2: C, 65.75; H, 4.14; N, 19.17; Found; C; 65.76; H, 4.39; N, 19.13.
(E)-3-(Azidomethyl)-(N-cinnamoyl)benzamide (15a): A procedure similar to that of 14b afforded 15a (6.99 g, 94%) from 14a. Colorless crystals; Mp 120-121 °C; 1H-NMR (400 MHz, CDCl3) δ 8.99 (s, 1H), 7.91-7.96 (d, J = 15.6 Hz, 1H), 7.85-7.92 (m, 2H), 7.84 (d, J = 15.6 Hz, 1H), 7.64-7.67 (m, 2H), 7.53-7.60 (m, 2H), 7.40-7.43 (m, 3H), 4.47 (s, 1H) ppm; 13C-NMR (126 MHz, CDCl3) δ 168.8, 165.6, 146.8, 136.6, 134.5, 133.6, 132.6, 130.7, 129.4, 128.9, 128.6, 127.7, 127.6, 119.4, 54.2 ppm; IR (CHCl3) 3020, 2102, 1681, 1618, 1339, 1216 cm-1; MS (FAB) 306 (MH+, 97) 131 (100); Anal. Calcd. for C17H14N4O2: C, 66.66; H, 4.61; N, 18.29; Found; C; 66.55; H, 4.91; N, 18.11.
3.4. General Procedure for Ru-Catalyzed Huisgen Reactions
To a solution of [Cp*RuCl]4 (2.5 mol%) in DMF, 5 (1.0 eq) and azide (1.0 eq) were successively added at room temperature .The mixture was heated to 110 °C under microwave irradiation with stirring for 20 min. The resulting mixture was diluted with AcOEt and brine, and then extracted with AcOEt twice and washed with brine three times. The extracts were dried over Na2SO4, filtered, and concentrated in vacuo. The residue was purified by silica gel column chromatography.
tert-Butyl [(1R,2R)-2-[{(1-Benzyl-1H-1,2,3-triazol-5-yl)methyl}(methyl)amino]cyclohexyl] carbamate (17a): White amorphous solid; [α]D28 -3.1 (c 0.95, CHCl3); 1H-NMR (500 MHz, CDCl3) δ 7.57 (s, 1H), 7.29-7.35 (m, 3H), 7.15-7.17 (m, 2H), 5.70 (d, J = 15.5 Hz, 2H), 4.60 (br, 1H), 3.52 (d, J = 16.0 Hz), 3.47 (d, J = 16.0 Hz), 2.20-2.23 (m, 1H), 2.14 (s, 3H), 2.06-2.09 (m, 1H), 1.75-1.79 (m, 2H), 1.65-1.67 (m, 1H), 1.44 (s, 9H), 1.03-1.24 (m, 4H) ppm; 13C-NMR (126 MHz, CDCl3) δ 155.6, 135.1, 134.7, 134.4, 128.9, 128.2, 127.1, 79.2, 65.5, 51.9, 51.2, 36.2, 33.4, 28.5, 25.1, 24.8, 22.6 ppm; IR (ATR) 3315, 2930, 1701 cm-1; MS (FAB) 400 (MH+, 80), 344 (100); HRMS (FAB) [C22H34N5O2]+: 400.2713; Found. 400.2731.
tert-Butyl [2-[[{1-(2-Hydroxybenzyl)-1H-1,2,3-triazol-5-yl}methyl](methyl)amino]cyclohexyl] carb-amate (17b): Pale brown amorphous solid; [α]D27 +6.5 (c 1.1, CHCl3); 1H-NMR (400 MHz, DMSO-d6) δ 9.81 (s, 1H), δ 8.31 (s, 1H), 7.12 (dd, J = 7.6 Hz, 7.6 Hz, 1H), 6.83-6.85 (m, 1H), 6.74 (dd, J = 7,6, 7.6 Hz, 2H), 6.40 (br, 1H), 5,59 (s, 2H), 3.75 (d, J = 14.4 Hz, 1H), 3.64 (d, J = 14.4 Hz, 1H), 3.37 (br, 1H), 2.28-2.33 (m, 1H), 2.08 (s, 3H), 1.59-1.79 (m, 4H), 1.03-1.25 (m, 4H) ppm; IR (ATR) 3387, 3160, 2935, 1661 cm-1; MS (FAB) 416 (MH+, 100); HRMS (FAB) [C22H34N5O3]+: 416.2662; Found. 416.2651.
4-Nitrobenzyl 2-[[5-[[{(1R,2R)-2-(tert-Butylcarbamoyl)cyclohexyl}(methyl)amino]methyl]-1H-1,2,3-triazol-1-yl]methyl]benzoate (17c): Pale brown amorphous solid; [α]D28 -9.8 (c 1.4, CHCl3); 1H-NMR (400 MHz, CDCl3) δ 8.26 (dd, J = 8.8, 2.0 Hz, 2H), δ 8.10 (d, J = 7.8 Hz, 1H), 7.62 (s, 1H), 7.60 (dd, J = 8.8, 2.0 Hz, 2H), 7.50 (dd, J = 7.8, 7.6 Hz, 1H), 7.42 (dd, J = 7.8, 7.6 Hz, 1H), 6.78 (d, J = 7.8 Hz, 1H), 6.12 (d, J = 16.6 Hz, 1H), 5,93 (d, J = 16.6 Hz, 1H), 5.45 (s, 2H), 4.90 (s, 1H), 3.65 (d, J = 14.4 Hz, 1H), 3.47 (d, J = 14,4 Hz, 1H), 3.35-3.40 (m, 1H), 2.20-2.23 (m, 2H), 2.14 (s, 3H), 1.71-1.75 (m, 2H), 1.61-1.63 (m, 1H), 1.41 (s, 9H), 1.02-1.27 (m, 4H) ppm; 13C-NMR (126 MHz, CDCl3) δ 166.1, 155.8, 147.8, 142.8, 137.6, 135.5, 134.1, 133.5, 131.1, 128.54 128.5, 128.2, 127.3, 123.9, 79.0, 66.2, 65.5, 51.5, 49.8, 46.6, 36.2, 33.8, 28.4, 25.1, 24.8, 23.2 ppm; IR (ATR) 2934, 1716, 1523 cm-1; MS (FAB) 580 (MH+, 100); HRMS (FAB) [C30H39N6O6]+: 579.2931; Found. 579.2930.
tert-Butyl [(1R,2R)-2-[Methyl[[1-[{(R)-1-(2,2,2-trifluoroacetyl)pyrrolidin-2-yl}methyl]-1H-1,2,3-triazol-5-yl]methyl]amino]cyclohexyl]carbamate (17d): Pale brown amorphous solid; [α]D26 -12.3 (c 0.92, CHCl3);1H-NMR (400 MHz, acetone-d6) δ 7.53 (s, 1H), 5.70 (br, 1H), 4.68 (br, 3H), 3.75 (d, J = 14.2 Hz, 1H), 3.73 (d, J = 14.2 Hz, 1H), 3.72 (br, 2H), 3.46 (br, 1H), 2.75-2.78 (m, 1H), 2.08 (s, 3H), 1.88-2.00 (m, 2H), 1.77-1.81 (m, 1H), 1.62-1.66 (m, 1H), 1.38 (s, 9H), 1.10-1.38 (m, 4H) ppm; 13C-NMR (126 MHz, acetone-d6) δ 156.7 (q, J = 37.2 Hz), 156.3, 136.1, 134.9, 117.3 (q, J = 289 Hz), 78.2, 67.6, 59.4, 51.9, 48.2, 48.2, 35.0, 34.7, 28.7, 28.6, 27.2, 26.0, 24.4, 23.6 ppm; IR (ATR) 3370, 2931, 2858, 1683, 1525 cm-1; MS (FAB) 489 (MH+, 62), 180 (100); HRMS (FAB) [C22H36F3N6O3]+: 489.2801; Found. 489.2802.
tert-Butyl [(1R,2R)-2-[Methyl[[1-[{(S)-1-(2,2,2-trifluoroacetyl)pyrrolidin-2-yl}methyl]-1H-1,2,3-triazol-5-yl]methyl]amino]cyclohexyl]carbamate (17e): Pale brown amorphous solid; [α]D26 -17.9 (c 1.7, CHCl3); 1H-NMR (400 MHz, acetone-d6) δ 7.53 (s, 1H), 5.57 (br, 1H), 5.03 (br, 1H), 4.52-4.57 (m, 1H), 4.43 (dd, J = 13.6, 9.3 Hz, 1H), 3.87 (s, 2 H), 3.75-3.80 (m, 2H), 3.47 (br, 1H), 2.61 (br, 1H), 2.05 (s, 3H), 1.86-2.05 (m, 2H), 1.75-1.80 (m, 1H), 1.65-1.70 (m, 1H), 1.38 (s, 9H), 1.10-1.38 (m, 4H) ppm; 13C-NMR (126 MHz, acetone-d6) δ 156.5 (q, JC-F = 36.0 Hz), 156.1, 136.4, 134.7, 117.3 (q, JC-F = 287 Hz), 78.3, 66.4, 59.7, 57.7, 52.0, 48.1, 47.9, 47.5, 35.1, 28.7, 28.7, 27.3, 25.9, 24.4, 23.7 ppm; IR (ATR) 3371, 2933, 2858, 1684, 1522 cm-1; MS (FAB) 489 (MH+, 100); HRMS (FAB) [C22H36F3N6O3]+: 489.2801; Found. 489.2798.
tert-Butyl [(1R,2R)-2-[Methyl[2-[1-[{(R)-1-(2,2,2-trifluoroacetyl)pyrrolidin-2-yl}methyl)-1H-1,2,3-triazol-5-yl]ethyl]amino]cyclohexyl]carbamate (17f): Pale brown oil; [α]D26 -5.5 (c 0.77, CHCl3); 1H- NMR (500 MHz, CDCl3) δ 7.54 (s, 1H), 4.95 (br, 1H), 4.59 (d, J = 10.9 Hz, 1H), 4.40 (d, J = 10.9 Hz, 1H), 4.38-4.40 (m, 1H), 3.66-3.68 (m, 2H), 3.27 (br, 1H), 2.87-2.89 (m, 2H), 2.79-2.81 (m, 1H), 2.62-2.65 (m, 1H), 2.20-2.35 (m, 3H), 2.26 (s, 3H), 1.90-2.02 (m, 2H), 1.62-1.82 (m, 4H), 1.44 (s, 9H), 1.02-1.25 (m, 4H) ppm; 13C-NMR (126 MHz, CDCl3) δ 156.4 (q, JC-F = 37.2 Hz), 155.9, 136.4, 132.6, 116.0 (q, JC-F = 287 Hz), 78.8, 66.1, 58.8, 52.8, 51.6, 47.3 (q, JC-F = 3.6 Hz), 47.2, 36.1, 33.4, 28.4, 26.9, 25.3, 24.6, 23.9, 23.3, 22.2 ppm; IR (ATR) 3373, 2932, 1692 cm-1; MS (FAB) 503 (MH+, 83), 241 (100); HRMS (FAB) [C23H37F3N6O3]+ 503.2879; Found. 503.2882.
tert-Butyl (1R,2R)-2-[[[1-{3-(Cinnamoylcarbamoyl)benzyl}-1H-1,2,3-triazol-5-yl]methyl](methyl) amino]cyclohexylcarbamate (17g): Pale brown amorphous solid; [α]D26 +1.4 (c 2.0, CHCl3); 1H-NMR (400 MHz, CDCl3) δ 7.85-7.92 (m, 3H), 7.62-7.72 (m 3H), 7.58-7.65 (m, 4H), 7.50-7.53 (m, 3H), 7.40-7.42 (m, 3H), 5.58 (s, 2H), 5.06 (br, 1H), 3.79 (d, J = 14.9 Hz, 1H), 3.63 (d, J = 14.9 Hz, 1H), 3.30 (br, 1H), 2.25 (br, 2H), 2.17 (s, 3H), 1.91 (m, 1H), 1.78 (m, 1H), 1.66 (m, 1H), 1.36 (s, 9H), 0.90-1.25 (m, 4H) ppm; 13C-NMR (126 MHz, CDCl3) δ; 167.1 165.6, 155.9, 146.1, 135.9, 134.9, 134.5, 134.2, 133.6, 132.4, 130.5, 129.6, 128.8, 128.4, 128.3, 127.2, 119.6, 79.6, 66.4, 65.7, 51.2, 37.2, 33.7, 28.3, 25.0, 24.7, 22.6, 15.2 ppm; IR (ATR) 3293, 2931, 1679, 1623 cm-1; MS (FAB) 573 (MH+, 8) 149 (100); HRMS (FAB) [C33H43N6O4]+: 573.3189; Found. 573.3199
tert-Butyl (1R,2R)-2-[[2-[1-{3-(Cinnamoylcarbamoyl)benzyl}-1H-1,2,3-triazol-5-yl]ethyl(methyl) amino]cyclohexylcarbamate (17i): Pale brown amorphous solid; [α]D27 -2.1 (c 0.85, CHCl3); 1H-NMR (400 MHz, CDCl3) δ 9.96 (br, 1H), 7.89-7.93 (m 3H), 7.61-7.69 (m, 3H), 7.55 (s, 1H), 7.48 (t, J = 7,8 Hz 1H), 7.40-7.42 (m, 4H), 5.69 (d, J = 15.6 Hz, 1H), 5.54 (d, J = 15.6 Hz, 1H), 4.92 (br, 1H), 2.99 (br, 1H), 2.76 (m, 1H), 2.63 (m, 1H), 2.50 (m, 1H), 2.22 (s, 3H), 2.04-2.22 (m, 3H), 1.60-1.76 (m, 3H), 0.88-1.28 (m, 4H) ppm; 13C-NMR (126 MHz, CDCl3) δ; 167.1, 165.5, 156.2, 146.4, 135.5, 134.7, 134.0, 133.4, 131.3, 130.6, 129.8, 128.9, 128.6, 128.2, 126.6, 119.5, 67.5, 51.9, 51.8, 51.1, 50.9, 33.6, 28.5, 25.2, 24.7, 23.0 ppm; IR (ATR) 3343, 2927, 2856, 1674 cm-1; MS (FAB) 587 (MH+, 12) 149 (100); HRMS (FAB) [C33H43N6O4]+: 586.3346; Found. 586.3340.
3.5. General Procedure for Cu-Catalyzed Huisgen Reaction
To a solution of CuSO4 (10 mol%) and sodium ascorbate (20 mol%) in t-BuOH-H2O (1 : 1 v/v), 5a (1.0 eq) and azide (1.0 eq) were successively added at room temperature. After being stirred for an appropriate time (4-6 h), the mixture was diluted with H2O. The residue was extracted with CHCl3 three times. The combined organic layers were washed with water twice and brine. The organic phase were dried over Na2SO4, filtered, and concentrated in vacuo. The residue was purified by silica gel column chromatography.
tert-Butyl [(1R,2R)-2-[[{1-(2-Hydroxybenzyl)-1H-1,2,3-triazol-4-yl}methy](methyl)amino] cyclo- hexyl]carbamate (19b): White amorphous solid; [α]D27 -2.4 (c 1.0, CHCl3); 1H-NMR (400 MHz, DMSO-d6) δ 9.82 (s, 1H), 7.15 (dd, J = 8.0, 7.6 Hz, 1H), 6.99 (d, J = 6.8 Hz, 1H), 6.86 (d, J = 8.0 Hz, 1H), 6.76 (dd, J = 7.6, 6.8 Hz, 1H), 6.31 (br, 1H), 5,45 (s, 2H), 3.72 (d, J = 14.0 Hz, 1H), 3.52 (d, J = 14.0 Hz), 3.28 (br, 1H), 2.31-2.36 (m, 1H), 2.11 (s, 3H), 1.86-1.90 (m, 1H), 1.72-1.77 (m, 1H), 1.65-1.70 (m, 1H), 1.36 (s, 9H), 1.11-1.25 (m, 4H) ppm; IR (ATR) 2925, 1715 cm-1; MS (FAB) 416 (MH+, 100); HRMS (FAB) [C22H34N5O3]+: 416.2662; Found. 416.2661.
tert-Butyl [(1R,2R)-2-[Methyl[[1-[{(R)-1-(2,2,2-trifluoroacetyl)pyrrolidin-2-yl}methyl]-1H-1,2,3-triazol-4-yl]methyl]amino]cyclohexyl]carbamate (19d): Pale brown amorphous solid; [α]D24 -5.6 (c 3.3, CHCl3); 1H-NMR (500 MHz, CDCl3) δ 7.43 (s, 1H), 5,11 (br, 1H), 4.70 (dd, J = 14.0, 6.3Hz, 1H), 4.59 (dd, J = 14.0, 2.9 Hz, 1H), 4.46 (br, 1H), 3.80 (d, J = 13.8 Hz, 1H), 3.63 (d, J = 13.8 Hz, 1H), 3.40-3.45 (m, 1H)¸ 3.29-3.33 (m, 1H), 2.37-2.39 (m, 1H), 2.28-2.32 (m, 1H), 2.21 (s, 3H), 2.00-2.15 (m, 2H), 1.85-1.90 (m, 2H), 1.78-1.81 (m, 1H), 1.57-1.66 (m, 2H), 1.44 (s, 9H), 1.02-1.31 (m, 4H) ppm; IR (ATR) 3372, 2931, 1692 cm-1; MS (FAB) 489 (MH+, 100); HRMS (FAB) [C22H36F3N6O3]+: 489.2801; Found. 489.2799.
3.6. General Procedure for the Synthesis of Thioureas 18 and 20
To a stirred mixture of appropriate substrates in CH2Cl2 at room temperature, TFA was added (CH2Cl2 : TFA = 1:1). After being stirred at room temperature for 1-3 h, the mixture was made basic with sat. aq NaHCO3 and extracted three times with CHCl3. The combined organic layers were dried over NaSO4, filtered, and concentrated in vacuo to give the corresponding amine. A solution of the crude amine and 3,5-bis(trifluoromethyl)phenylisothiocyanate (1.0 eq) in THF was stirred at room temperature for 2-10 h. The mixture was concentrated in vacuo. The residue was purified by silica gel column chromatography to give the corresponding thiourea. If necessary, the following deprotonation reaction was carried out. To a mixture of the protected compound in THF, LiOH (10 eq) in H2O was added (THF/ H2O = 1:1). After being stirred at room temperature for 2-10 h, the mixture was quenched with sat. aq NaHCO3 or sat. aq NH4Cl. The mixture was extracted three times with AcOEt. The combined organic layers were dried over Na2SO4, filtered, and concentrated in vacuo. The residue was purified by silica gel column chromatography.
1-[(1R,2R)-2-[{(1-Benzyl-1H-1,2,3-triazol-5-yl)methyl}(methyl)amino]cyclohexyl]-3-{3,5-bis-(tri-
fluoromethyl)phenyl}thiourea (18a): White amorphous solid; [α]D27 +27.1 (c 1.5, CHCl3); 1H-NMR (400 MHz, CDCl3) δ 9.00 (br, 1H), 8.08 (s, 2H), 7.60 (br, 1H), 7.52 (s, 1H), 7.42 (s, 1H), 7.21-7.30 (m, 3H), 6.98-7.02 (m, 2H), 5.72 (d, J = 15.6 Hz, 1H), 5.59 (d, J = 15.6 Hz, 1H), 4.46 (br, 1H), 3.64 (d, J = 14.9 Hz, 1H), 3.34 (d, J = 14.9 Hz, 1H), 2.37 (s, 3H), 2.27-2.36 (m, 2H), 1.71-1.88 (m, 3H), 1.12-1.38 (m, 4H) ppm; 13C-NMR (126 MHz, CDCl3) δ 180.4, 141.1, 135.7, 134.02, 133.5, 131.6 (q, JC-F = 34.8 Hz), 129.1, 128.5, 126.6, 123.1 (q, JC-F = 274 Hz), 122.3, 117.3, 63.8, 54.1, 52.2, 46.1, 37.8, 33.1, 25.3, 24.9, 22.0 ppm; IR (ATR) 3333, 2935, 1534 cm-1; MS (FAB) 571 (MH+, 100); HRMS (FAB) [C26H29F6N6S]+: 571.2079; Found. 571.2075.
1-{3,5-Bis(trifluoromethyl)phenyl}-3-[(1R,2R)-2-[[{1-(2-hydroxybenzyl)-1H-1,2,3-triazol-4-yl}-
methyl](methyl)amino]cyclohexyl]thiourea (18b): White amorphous solid; [α]D24 +56.0 (c 0.56, CHCl3); 1H-NMR (400 MHz, CDCl3) δ 8.27 (br, 1H), 7.60 (s, 2H), 7.52 (s, 1H), 7.49 (s, 1H), 7.26 (s, 1H), 7.23 (br, 1H), 7.15 (dd, J = 8.0, 8.0 Hz, 1H), 7.08 (br, 1H), 6.84 (dd, J = 8.0, 8.0 Hz, 1H), 6.78 (d, J = 8.0 Hz, 1H), 5.58(d, J = 14.6 Hz, 1H), 5.28 (d, J = 14.6 Hz, 1H), 4.64 (br, 1H), 4.02 (d, J = 13.9 Hz, 1H), 3.60 (d, J = 13.9 Hz, 1H), 2.63 (m, 1H), 2.40 (m, 1H), 2.18 (s, 3H), 2.02 (m, 1H), 1.91 (m, 1H), 1.88 (m, 1H), 1.77 (m, 1H), 1.74 (m, 1H), 1.14-1.40 (m, 4H) ppm; 13C-NMR (126 MHz, CDCl3) δ 180.1, 154.1, 139.9, 134.1, 131.9, 131.7, 131.4, 130.6, 123.0, 122.9 (q, JC-F = 274 Hz), 121.2, 121.0, 118.1, 117.2, 66.5, 54.9, 47.5, 44.3, 38.0, 33.1, 25.0, 24.7, 22.4 ppm; IR (KBr) 3316, 2938, 1540 cm-1; MS (FAB) 587 (MH+, 100); Anal. Calcd. for C26H28F6N6OS: C, 53.24; H, 4.81; N, 14.33; Found: C, 53.14; H, 4.84; N, 14.18.
2-[[5-[[[(1R,2R)-2-[3-{3,5-Bis(trifluoromethyl)phenyl}thioureido]cyclohexyl](methyl)amino]
methyl]-1H-1,2,3-triazol-1-yl]methyl]benzoic Acid (18c): Colorless crystals; [α]D27 +116 (c 0.68, CHCl3); Mp 53-54°C; 1H-NMR (400 MHz, CD3OD) δ 8.17 (s, 2H), 7.85 (d, J = 7.6 Hz, 1H), 7.70 (s, 1H), 7.46 (s, 1H), 7.29-7.37 (m, 2H), 7.16 (d, J = 7.6 Hz, 1H), 5.93 (d, J = 14.4, 1H), 5.74 (d, J = 14.4, 1H),4.57-4.61 (m, 1H), 4.24 (d, J = 14.2 Hz, 1H), 4.09 (d , J = 14.2 Hz, 1H), 1.65-1.72 (m, 2H), 3.16-3.20 (m, 1H), 2.47 (s, 3H), 2.26-2.28 (m, 1H), 2.05-2.09 (m, 1H), 1.83-1.87 (m, 1H), 1.66-1.70 (m, 1H), 1.18-1.46 (m, 4H) ppm; 13C-NMR (126 MHz, CDCl3) δ 180.9, 173.7, 141.6, 135.4, 134.7, 134.0, 133.3, 132.4, 131.2 (q, JC-F = 34 Hz), 131.1, 130.9, 129.4, 128.8, 123.3 (q, JC-F = 277 Hz), 116.8, 68.2, 53.2, 52.1, 38.7, 32.3, 30.4, 29.7, 24.2, 23.0, 22.9 cm-1; IR (KBr) 3241, 2942, 1712 cm-1; MS (FAB) 615 (MH+, 100); HRMS (FAB) [C27H28F6N6O2S]+: 614.1899; Found. 614.1893.
1-{3,5-Bis(trifluoromethyl)phenyl}-3-[(1R,2R)-2-[methyl[[1-{(R)-pyrrolidin-2-ylmethyl}-1H-1,2,3-
triazol-5-yl]methyl]amino]cyclohexyl]thiourea (18d): White amorphous solid; [α]D24 -0.4 (c 0.86, CHCl3); 1H-NMR (400 MHz, CDCl3) δ 8.06 (s, 2H), 7.59 (s, 1H), 7.55 (s, 1H), 4.54 (dd, J = 13.7, 6.3 Hz, 1H), 4.35 (dd, J = 13.7, 5.9 Hz, 1H), 4.26-4.30 (m, 1H), 3.84-3.89 (m, 1H), 3.71-3.77 (m, 2H), 2.88-3.02 (m, 2H), 2.60 (br, 1H), 2.42-2.47 (m, 1H), 2.23 (s, 3H), 1.71-1.99 (m, 7H), 1.00-1.40 (m, 4H) ppm; 13C-NMR (126 MHz, CDCl3) δ 180.9, 141.4, 134.4, 131.8 (q, JC-F = 33.7 Hz), 123.2 (q, JC-F = 274 Hz), 122.7, 117.3, 64.5, 57.5, 57.4, 54.7, 51.9, 46.1, 36.0, 32.9, 28.8, 25.0, 24.6, 24.5, 21.8 ppm; IR (ATR) 3253, 2935, 2860, 1543 cm-1; MS (FAB) 564 (MH+, 41), 41 (100); HRMS (FAB) [C24H33F6N7S]+ 564.2344; Found. 564.2334.
1-{3,5-Bis(trifluoromethyl)phenyl}-3-[(1R,2R)-2-[methyl[[1-{(S)-pyrrolidin-2-ylmethyl}-1H-1,2,3-
triazol-5-yl]methyl]amino]cyclohexyl]thiourea (18e): Pale brown amorphous solid; [α]D27 +1.0 (c 2.6, CHCl3); 1H-NMR (400 MHz, DMSO-d6) δ 8.26 (s, 2H), 7.72 (s, 1H), 7.59 (s, 1H), 4.23-4.28 (m, 3H), 3.88 (d, J = 14.4 Hz, 1H), 3.66 (d, J = 14.4 Hz, 1H), 2.78-2.97 (m, 2H), 2.62-2.68 (m, 1H), 2.12 (s, 3H), 1.16-2.15 (m, 12H) ppm; IR (ATR) 2931, 1692 cm-1; MS (FAB) 564 (MH+, 100); HRMS (FAB) [C24H33F6N7S]+: 564.2344; Found. 564.2349.
1-{3,5-Bis(trifluoromethyl)phenyl}-3-[(1R,2R)-2-[methyl[2-[1-[{(R)-1-(2,2,2-trifluoroacetyl) pyrrol-idin-2-yl}methyl]-1H-1,2,3-triazol-5-yl]ethyl]amino]cyclohexyl]thiourea (18f): Pale brown amorphous solid; [α]D27 -18.0 (c 1.6, CHCl3); 1H-NMR (500 MHz, pyridine-d5) δ 11.82 (br, 1H), 8.62 (br, 1H), 8.48 (s, 2H), 7.87 (s, 1H), 7.66 (s, 1H), 4.86 (br, 1H), 4.50 (br, 1H), 4.48 (dd, J = 13.8, 4.3 Hz, 1H), 4.62 (dd, J = 13.8, 8.3 Hz, 1H), 3.72-3.77 (m, 1H), 2.95-3.02 (m, 2H), 2.44-2.89 (m, 5H), 2.36 (s, 3H), 1.40-1.85 (m, 7H), 0.99-1.35 (m, 4H) ppm; 13C-NMR (126 MHz, pyridine-d5) δ 182.7, 144.4, 138.4, 134.3, 133.2 (q, JC-F = 32.5 Hz), 125.7 (q, JC-F = 249 Hz), 118.5, 68.9, 60.6, 57.5, 54.4, 52.9, 48.3, 39.8, 34.6, 31.2, 27.3, 27.2, 26.8, 24.8 ppm (one peak for a nonaromatic carbon is missing); IR (ATR) 3329, 3019, 1735 cm-1; MS (FAB) 578 (MH+, 50), 369 (100); HRMS (FAB) [C25H34F6N7S]+ 578.2501; Found. 578.2498.
3-[[5-[[[(1R,2R)-2-[3-{3,5-Bis(trifluoromethyl)phenyl}thioureido]cyclohexyl](methyl)amino]
methyl]-1H-1,2,3-triazol-1-yl]methyl]-N-cinnamoylbenzamide (18g): Colorless crystals; Mp 134-137 °C; [α]D26 -32.0 (c 1.2, CHCl3); 1H-NMR (500 MHz, acetone-d6) δ 10.14 (s, 1H), 9.29 (s, 1H), 8.22 (s, 2H), 7.86-7.88 (m, 2H), 7.79 (d, J = 15.5 Hz, 1H), 7.58-7.68 (m, 5H), 7.39-7.50 (m, 6H), 5.70 (s, 2H), 4.53 (br, 1H), 3.88 (d, J = 14.4 Hz, 1H), 3.74 (d, J = 14.4 Hz, 1H), 2.73-2.75 (m, 1H), 2.32-2.35 (m, 1H), 2.25 (s, 3H), 1.96-2.01 (m, 1H), 1.77-1.81 (m, 1H), 1.65-1.69 (m, 1H), 1.18-1.46 (m, 4H) ppm; 13C-NMR (126 MHz, CDCl3) δ; 180.9, 167.2, 167.0, 145.3, 142,8, 137.8, 135.9, 135.6, 134.9, 134.8, 133.8, 133.2, 131.9, 131.6, 131.3, 129.9, 129.8, 129.1, 128.7, 128.5, 125.4, 123.3, 123.1, 121.5, 117.2, 66.5, 55.6, 51.6, 46.2, 37.8, 33.4, 30.3, 30.1, 25.9, 25.6, 23.8 ppm; IR (ATR) 3127, 1738, 1635, 1528 cm-1; MS (FAB) 744 (MH+, 31) 369 (100); Anal. Calcd. for C36H35F6N7O2S: C, 58.13; H, 4.74; N, 13.18; Found: C, 57.73; H, 4.84; N, 12.87.
3-[[5-[2-[[(1R,2R)-2-[3-{3,5-Bis(trifluoromethyl)phenyl}thioureido]cyclohexyl](methyl)amino]
ethyl]-1H-1,2,3-triazol-1-yl]methyl]-N-cinnamoylbenzamide (18i): White amorphous solid; [α]D24 -161 (c 0.74, CHCl3); 1H-NMR (500 MHz, acetone-d6) δ 10.15 (s, 1H), 9.22 (s, 1H), 8.27 (s, 2H), 7.91 (d, J = 15.9 Hz, 1H), 7.60-7.64 (m, 3H), 7.55 (s, 1H), 7.51 (d, J = 15.9 Hz, 1H), 7.39-7.45 (m, 6H), 5.68 (s, 2H), 4.26 (br, 1H), 2.75-2.88 (m, 4H), 2.48-2.52 (m, 1H), 2.30-2.42 (m, 2H), 2.24 (s, 3H), 1.75-2.78 (m, 1H), 1.67-1.70 (m 1H), 1.58-1.61 (m, 1H), 1.18-1.28 (m, 4H) ppm; 13C-NMR (126 MHz, CDCl3) δ; 180.9, 167.2, 167.1, 145.3, 142.7, 137.9, 136.8, 135.7, 135.0, 133.7, 132.6, 132.1, 131.8, 131.6, 131.3, 130.0, 129.9, 129.1, 128.5, 128.3, 125.5, 123.4, 123.3, 121.5, 117.2, 67.6, 56.2, 52.2, 51.1, 37.6, 33.0, 25.9, 25.5, 23.9, 23.2 ppm; IR (ATR) 3298, 2934, 1726 cm-1; MS (FAB) 758 (MH+, 30), 369 (100); HRMS (FAB) [C37H38F6N7O2S]+: 758.2712; Found. 758.2717.
1-{3,5-Bis(trifluoromethyl)phenyl}-3-[(1R,2R)-2-[[{1-(2-hydroxybenzyl)-1H-1,2,3-triazol-4-yl}
methyl](methyl)amino]cyclohexyl]thiourea (20b): White amorphous solid; [α]D24 +39.5 (c 0.56, CHCl3); 1H-NMR (500 MHz, acetone-d6, 50 °C) δ 8.67 (br, 1H), 8.36 (s, 2H), 7.95 (s, 1H), 7.62 (s, 1H). 7.12 (m, 2H), 6.88 (d, J = 7.8 Hz, 1H), 6.76 (t, J = 7.5 Hz, 1H), 5.52 (s, 2H), 2.27-2.77 (br, 3H), 2.04 (s, 3H), 1.86-1.95 (m, 2H), 1.68-1.75 (m, 3H), 1.20-1.43 (m, 4H) ppm; IR (KBr) 3266, 3057, 1674 cm-1; MS (FAB) 587 (MH+, 100); HRMS (FAB) [C26H30F6N6OS]+ 587.2028; Found. 587.2031.
1-{3,5-Bis(trifluoromethyl)phenyl}-3-[(1R,2R)-2-[methyl[[1-{(R)-pyrrolidin-2-ylmethyl}-1H-1,2,3-
triazol-4-yl]methyl]amino]cyclohexyl]thiourea (20d): Colorless crystals, Mp 179-181 °C; [α]D24 -0.16 (c 3.5, CHCl3); 1H-NMR (500 MHz, CDCl3) δ 8.10 (s, 2H), 7.79 (s, 1H), 7.49 (s, 1H), 4.26 (dd, J = 13.8, 5.8 Hz, 1H), 4.19 (dd, J = 13.8, 7.5 Hz, 1H), 4.14 (br, 1H), 3.77 (d, J = 13.8 Hz, 1H), 3.52 (d, J = 13.8 Hz, 1H), 3.36-3.40 (m, 2H), 2.68-2.80 (m, 2H), 2.50-2.57 (m, 1H), 2.32-2.36 (m, 1H), 2.17 (s, 3H), 1.88-1.92 (m, 1H), 1.55-1.77 (m, 5H), 1.05-1.37 (m, 4H) ppm; 13C-NMR (126 MHz, CD3OD) δ 181.6, 147.4, 143.3, 132.7 (q, JC-F = 33.6 Hz), 125.3, 124.8 (q, JC-F = 273 Hz), 123.1, 117.4, 67.2, 67.1, 66.9, 59.4, 56.7, 55.4, 47.1, 37.5, 33.5, 30.1, 26.4, 25.9, 24.2 ppm; IR (ATR) 3375, 2484, 1476 cm-1; MS (FAB) 564 (MH+, 38), 70 (100); Anal. Calcd. for C24H31F6N7S: C, 51.16; H, 5.54; N, 17.24; Found; C, 51.12; H, 5.43; N, 17.24.
3.7. Procedure for Michael addition with Malononitrile
To a solution of malonoritrile (2.0 eq) in CH2Cl2 (0.2 mL), thiourea-imide 18g or 18i (45.5 mg, 60 μmol) in CH2Cl2 (0.4 mL) was added at room temperature. The mixture was stirred for 48 h. The solution was directly put on the silica gel column without concentration, and purified (hexane/AcOEt = 2:1 to CHCl3/MeOH = 10:1) to give a mixture of the product and the starting material. The yield of the product was determined by 1H-NMR by a ratio of typical peaks.
3.8. General Procudure for Michael addition of Nitrostyrene with Cyclohexanone
To a solution of β-nitrostyrene 22 (0.34 mmol, 1.0 eq) and thiourea 18 or 20 (10 mol%) were added at room temperature cyclohexanone (10 eq), H2O (1.0 eq) and AcOH (0.15 eq) successively. The mixture was stirred for 5 h at room temperature. The resulting mixture was directly put on the silica gel column without concentration, and purified by column chromatography. Spectral data of all products 23a-f were identical with the reported ones [8,38].
4. Conclusions
In conclusion, we have described the synthesis of trifunctional thioureas bearing a 1,2,3-triazole tether, in which one of the functional groups is placed at a considerable distance from the thiourea moiety. Regioisomeric catalysts having a 1,5- and 1,4-disubstituted triazole were readily prepared using ruthenium and copper catalyzed Huisgen cycloadditions, respectively. To the best of our knowledge, this is the first reported case of preparation of asymmetric catalysts by Ru-catalyzed azide-alkyne click chemistry [40,41]. We utilized the synthetic thioureas bearing an imide moiety as transition state mimics of the catalytic Michael reaction of α,β-unsaturated imides with malononitrile. Moreover, we demonstrated the catalytic activity of synthesized thiourea-pyrrolidine based catalysts in the enantioselective Michael addition. It was found that thiourea and pyrrolidine functions would synergistically activate substrates, although they are placed at sequentially remote positions (seven atoms’ tether length) to accelerate the reaction rate.
Acknowledgements
The work was supported by a Grant-in-Aid for Scientific Research and Targeted Proteins Research Program from Ministry of Education, Culture, Sports, Science, and Technology, Japan and Takeda Science Foundation.
References and Notes
- Berkessel, A.; Gröger, H. Asymmetric Organocatalysis-From Biomimetic Concepts to Applications in Asymmetric Synthesis; Wiley-VCH: Weinheim, Germany, 2005. [Google Scholar]
- Okino, T.; Hoashi, Y.; Takemoto, Y. Enantioselective Michael reaction of malonates to nitroolefins catalyzed by bifunctional organocatalysts. J. Am. Chem. Soc. 2003, 125, 12672–12673. [Google Scholar]
- Vachal, P.; Jacobsen, E. N. Structure-based analysis and optimization of a highly enantioselective catalyst for the Strecker reaction. J. Am. Chem. Soc. 2002, 124, 10012–10014. [Google Scholar] [CrossRef]
- Inokuma, T.; Takasu, K.; Sakaeda, T.; Takemoto, Y. Hydroxyl group-directed organocatalytic asymmetric Michael addition of α,β-unsaturated ketones with alkenylboronic acids. Org. Lett. 2009, 11, 2425–2428. [Google Scholar] [CrossRef]
- Cao, C.-L.; Ye, M.-C.; Sun, X.-L.; Tang, Y. Pyrrolidine−thiourea as a bifunctional organocatalyst: highly enantioselective Michael addition of cyclohexanone to nitroolefins. Org. Lett. 2006, 8, 2901–2904. [Google Scholar] [CrossRef]
- Shen, Z.; Zhang, Y.; Jiao, C.; Li, B.; Ding, J.; Zhang, Y. Enantioselective and diastereoselective Michael addition of ketone/aldehyde to trans-nitroolefins catalyzed by a novel chiral pyrrolidine-thiourea. Chirality 2007, 19, 307–312. [Google Scholar] [CrossRef]
- Carley, A. P.; Dixon, S.; Kilburn, J. D. Pyrrolidine-based organocatalysts for enantioselective Michael addition of cyclohexanone to trans-β-nitrostyrene. Synthesis 2009, 2509–2516. [Google Scholar]
- Chen, J.-R.; Cao, Y.-J.; Zou, Y.-Q.; Tan, F.; Fu, L.; Zhu, X.-Y.; Xiao, W.-J. Novel thiourea-amine bifunctional catalysts for asymmetric conjugate addition of ketones/aldehydes to nitroalkenes: rational structural combination for high catalytic efficiency. Org. Biomol. Chem. 2010, 8, 1275–1279. [Google Scholar] [CrossRef]
- Wang, L.; Cai, C.; Curran, D. P.; Zhang, W. Enantioselective α-chlorination of aldehydes with recyclable fluorous (S)-pyrrolidine-thiourea bifunctional organocatalyst. Synlett 2010, 433–436. [Google Scholar]
- Yamaoka, Y.; Miyabe, H.; Takemoto, Y. Catalytic enantioselective Petasis-type reaction of quinolines catalyzed by a newly designed thiourea catalyst. J. Am. Chem. Soc. 2007, 129, 6686–6687. [Google Scholar] [CrossRef]
- Huisgen, R. Kinetics and reaction mechanisms: Selected examples from the experience of forty years. Pure Appl. Chem. 1989, 61, 613–628. [Google Scholar] [CrossRef]
- Kolb, H. C.; Finn, M. G.; Sharpless, K. B. Click chemistry: Diverse chemical function from a few good reactions. Angew. Chem. Int. Ed. 2001, 40, 2004–2021. [Google Scholar] [CrossRef]
- Zhang, L.; Chen, X.; Xue, P.; Sun, H. H.; Williams, I. D.; Sharpless, K. B.; Fokin, V. V.; Jia, G. J. Am. Chem. Soc. 2005, 127, 15998–15999.
- Rasmussen, L. K.; Boren, B. C.; Fokin, V. V. Ruthenium-catalyzed cycloaddition of aryl azides and alkynes. Org. Lett. 2007, 9, 5337–5339. [Google Scholar] [CrossRef]
- Boren, B. C.; Narayan, S.; Rasmussen, L. K.; Zhang, L.; Xhao, H.; Lin, Z.; Jia, G.; Fokin, V. V. Ruthenium-catalyzed azide−alkyne cycloaddition: Scope and mechanism. J. Am. Chem. Soc. 2008, 130, 8923–8930. [Google Scholar]
- A part of this work was published as a preliminary communication: Takasu, K.; Azuma, T.; Takemoto, Y. Synthesis of trifunctional thioureas bearing 1,5-disubstituted triazole tether by Ru-catalyzed Huisgen cycloaddition. Tetrahedron Lett. 2010, 51, 2737–2740. [Google Scholar]
- Lee, D. W.; Ha, H.-J.; Lee, W. K. Selective mono-BOC protection of diamines. Synth. Commun. 2007, 37, 737–742. [Google Scholar] [CrossRef]
- Zhang, Q.; Takacs, J. M. Click-connected ligand scaffolds: Macrocyclic chelates for asymmetric hydrogenation. Org. Lett. 2008, 10, 545–548. [Google Scholar] [CrossRef]
- Goetschi, E.; Jenny, C. J.; Reindl, P.; Ricklin, F. Total synthesis of cyclothialidine. Helv. Chim. Acta 1996, 79, 2219–2234. [Google Scholar] [CrossRef]
- Wright, D. L.; McMills, M. C. Intramolecular aziridination: Decomposition of diazoamides with tethered imino bonds. Org. Lett. 1999, 1, 667–670. [Google Scholar] [CrossRef]
- Purvis, R.; Smalley, R. K.; Suschitzky, H.; Alkhader, M. A. 3H-Azepines and related systems. Part 2. The photolyses of aryl azides bearing electron-withdrawing substituents. J. Chem. Soc., Perkin Trans. 1 1984, 249–254. [Google Scholar]
- Okada, Y.; Yokozawa, M.; Akiba, M.; Oishi, K.; Okawa, K.; Akeboshi, T.; Kawamura, Y.; Inokuma, S.; Nakamura, Y.; Nishimura, J. Org. Biomol. Chem. 2003, 1, 2506–2511. [CrossRef]
- Rostovtsev, V. V.; Green, L. G.; Fokin, V. V.; Sharpless, K. B. A stepwise Huisgen cycloaddition process: Copper(I)-catalyzed regioselective “ligation” of azides and terminal alkynes. Angew. Chem. Int. Ed. 2002, 41, 2596–2599. [Google Scholar] [CrossRef]
- Hoashi, Y.; Okino, T.; Takemoto, Y. Enantioselective Michael addition to α,β-unsaturated imides catalyzed by a bifunctional organocatalyst. Angew. Chem. Int. Ed. 2005, 44, 4032–4035. [Google Scholar] [CrossRef]
- Inokuma, T.; Hoashi, Y.; Takemoto, Y. Thiourea-catalyzed asymmetric Michael addition of activated methylene compounds to α,β-unsaturated imides: Dual activation of imide by intra- and intermolecular hydrogen bonding. J. Am. Chem. Soc. 2006, 128, 9413–9419. [Google Scholar] [CrossRef]
- Inokuma, T.; Nagamoto, Y.; Sakamoto, S.; Miyabe, H.; Takasu, K.; Takemoto, Y. Asymmetric synthesis of 4-substituted 2,6-dioxopiperidine-3-carbonitrile by using thiourea-catalyzed asymmetric Michael addition. Heterocycles 2009, 79, 573–582. [Google Scholar] [CrossRef]
- Zhang, D.; Wang, G.; Zhu, R. Insight into the mechanism of the Michael addition of malononitrile to α,β-unsaturated imides catalyzed by bifunctional thiourea catalysts. Tetrahedron: Asymmetry 2008, 19, 568–576. [Google Scholar] [CrossRef]
- Against our expectations, the reaction rate of 18g,i was much slower. According to our previous reports, thiourea catalysts bearing a bulky amino group as a basic function displayed less catalytic activity than 1 possessing a dimethylamino group in the conjugate additions [24,42]. We have examined a Michael addition to a,b-unsaturated imide 25 with 1 or 18a. Thiourea 1 afforded the corresponding Michael adduct in a fair yield, but almost no reaction occurred in the presence of 18a.

- List, B.; Pojarliev, P.; Martin, H. J. Efficient proline-catalyzed Michael additions of unmodified ketones to nitro olefins. Org Lett. 2001, 3, 2423–2425. [Google Scholar] [CrossRef]
- Enders, D.; Seki, A. Proline-catalyzed enantioselective Michael additions of ketones to nitrostyrene. Synlett 2002, 26–28. [Google Scholar] [CrossRef]
- Beyancort, J. M.; Barbas III, C. F. Catalytic direct asymmetric Michael reactions: Taming naked aldehyde donors. Org. Lett. 2001, 3, 3737–3740. [Google Scholar] [CrossRef]
- Ishii, T.; Fujioka, S.; Sekiguchi, Y.; Kotsuki, H. A new class of chiral pyrrolidine−pyridine conjugate base catalysts for use in asymmetric Michael addition reactions. J. Am. Chem. Soc. 2004, 126, 9558–9559. [Google Scholar] [CrossRef]
- Cobb, A. J. A.; Longbottom, D. A.; Shaw, D. M.; Ley, S. V. 5-Pyrrolidin-2-yltetrazole as an asymmetric organocatalyst for the addition of ketones to nitroolefins. Chem. Commun. 2004, 1808–1809. [Google Scholar]
- Hayashi, Y.; Gotoh, H.; Hayashi, T.; Shoji, M. Diphenylprolinol silyl ethers as efficient organocatalysts for the asymmetric Michael reaction of aldehydes and nitroalkenes. Angew. Chem. Int. Ed. 2005, 44, 4212–4215. [Google Scholar]
- Clarke, M. L.; Fuentes, J. A. Self-assembly of organocatalysts: Fine-tuning organocatalytic reactions. Angew. Chem. Int. Ed. 2007, 46, 930–933. [Google Scholar] [CrossRef]
- Quintard, A.; Bournaud, C.; Alexakis, A. Diversity-oriented synthesis towards conceptually new highly modular aminal-pyrrolidine organocatalysts. Chem. Eur. J. 2008, 14, 7504–7507. [Google Scholar] [CrossRef]
- Tan, B.; Zeng, X.; Lu, Y.; Chua, P. J.; Zhong, G. Rational design of organocatalyst: Highly stereoselective Michael addition of cyclic ketones to nitroolefins. Org. Lett. 2009, 11, 1927–1930. [Google Scholar] [CrossRef]
- Xiong, Y.; Wen, Y.; Wang, F.; Gao, B.; Liu, X.; Huang, X.; Feng, X. A chiral functionalized salt-catalyzed asymmetric Michael addition of ketones to nitroolefins. Adv. Synth. Catal. 2007, 349, 2156–2166. [Google Scholar] [CrossRef]
- Although some kinds of asymmetric reactions with 18b-d have been attempted, no satisfactory result in asymmetric catalysis was, at present, observed except for the Michael addition of nitrostyrenes. Further studies are under investigation
- Luo, S.; Xu, H.; Mi, X.; Li, J.; Zheng, X.; Cheng, J.-P. Evolution of pyrrolidine-type asymmetric organocatalysts by “click” chemistry. J. Org. Chem. 2006, 71, 9244–9247. [Google Scholar]
- Yan, Z.-Y.; Niu, Y.-N.; Wei, H.-L.; Wu, L.-Y.; Zhao, Y.-B.; Liang, Y.-M. Combining proline and 'click chemistry': a class of versatile organocatalysts for the highly diastereo- and enantioselective Michael addition in water. Tetrahedron Asymmetry 2006, 17, 3288–3293. [Google Scholar] [CrossRef]
- Okino, T.; Hoashi, Y.; Furukawa, T.; Xu, X.; Takemoto, Y. Enantio- and diastereoselective Michael reaction of 1,3-dicarbonyl compounds to nitroolefins catalyzed by a bifunctional thiourea. J. Am. Chem. Soc. 2005, 127, 119–125. [Google Scholar] [CrossRef]
- Sample Availability: Not available.
© 2010 by the authors; licensee MDPI, Basel, Switzerland. This article is an open access article distributed under the terms and conditions of the Creative Commons Attribution license (http://creativecommons.org/licenses/by/3.0/).



