New Conjugated Benzothiazole-N-oxides: Synthesis and Biological Activity
Abstract
:Introduction

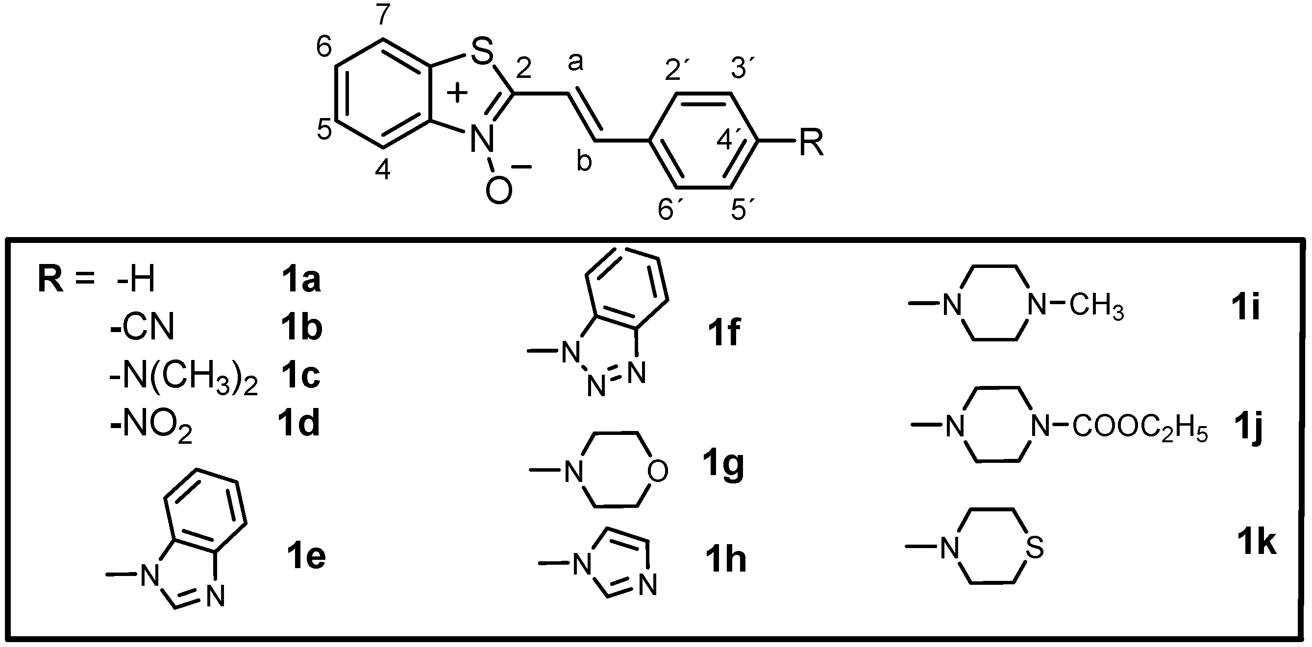
Results and Discussion

| Compound | MIC values (μg/mL) for individual organisms | |||||
|---|---|---|---|---|---|---|
| S. aureus | B. subtilis | E. coli | P. aeruginosa | C. albicans | M. gypseum | |
| 1c | 50 | 500 | >500 | >500 | 250 | 500/250 |
| 1e | 250 | 500 | >500 | >500 | 250 | > 500/250 |
| 1f | 250 | 500 | >500 | >500 | 250 | > 500/500 |
| 1h | 250 | 500 | >500 | >500 | 250 | > 500/500 |
Conclusions
Experimental
General
2-Methylbenzothiazole-N-oxide
General procedure for the preparation of condensation products
Biological testing
Acknowledgements
- Sample Availability: Samples of the compounds are available from the authors.
References and Notes
- Milne, G.W.A. Gardner´s Commercially Important Chemicals; Wiley Interscience: New York, NY, USA, 2005; pp. 61, 69, 424. [Google Scholar]
- Mishra, A.; Behera, R.K.; Behera, P.K.; Mishra, B.K.; Behera, G.B. Cyanines during 1990s: A review. Chem. Rev. 2000, 100, 1973–2012. [Google Scholar] [CrossRef]
- Michaelidou, A.S.; Hadjipavlou-Litina, D. Nonsteroidal anti-inflammatory drugs (NSAIDs): A comparative QSAR study. Chem. Rev. 2005, 105, 3235–3271. [Google Scholar] [CrossRef]
- Aiello, S.; Wells, G.; Stone, E.L.; Kadri, H.; Bazzi, R.; Bell, D.R.; Stevens, M.F.G.; Matthews, C.S.; Bradshaw, T.D.; Westwell, A.D. Synthesis and biological properties of benzothiazole, benzoxazole, and chromen-4-one analogues of the potent antitumor agent 2-(3,4-dimethoxyphenyl)-5-fluorobenzothiazole (PMX 610, NSC 721648). J. Med. Chem. 2008, 51, 5135–5139. [Google Scholar]
- Cho, Y.; Ioerger, T.R.; Sacchettini, J.C. Discovery of novel nitrobenzothiazole inhibitors for Mycobacterium tuberculosis ATP phosphoribosyl transferase (HisG) through virtual screening. J. Med. Chem. 2008, 51, 5984–5992. [Google Scholar] [CrossRef]
- Zahradník, P.; Foltínová, P.; Halgaš, J. QSAR Study of the toxicity of benzothiazolium salts against Euglena gracilis: The free-Wilson approach. SAR QSAR Environ. Res. 1996, 5, 51–55. [Google Scholar] [CrossRef]
- Magdolen, P.; Zahradník, P. Foltínová, synthesis, antimicrobial testing and QSAR study of new 2-phenylethenylbenzothiazolium salts substituted by cyclic amines. Pharmazie 2000, 55, 803–810. [Google Scholar]
- Buffa, R.; Zahradník, P.; Foltínová, P. Synthesis and QSAR studies of new conjugated benzothiazole derivatives. Coll. Czech. Chem. Commun. 2002, 67, 1820–1832. [Google Scholar] [CrossRef]
- Zajac, M.; Hrobárik, P.; Magdolen, P.; Foltínová, P.; Zahradník, P. Donor-π-acceptor benzothiazole derivatives with extended heteroaryl-containing conjugated system: Synthesis, DFT study and antimicrobial activity. Tetrahedron 2008, 64, 10605–10618. [Google Scholar]
- Sigmundová, I.; Zahradník, P.; Loos, D. Synthesis and study of novel benzothiazole derivatives with potential nonlinear optical properties. Collect. Czechoslov. Chem. Commun. 2007, 72, 1069–1093. [Google Scholar] [CrossRef]
- Hrobárik, P.; Sigmundová, I.; Zahradnik, P. Preparation of novel push-pull benzothiazole derivatives with reverse polarity: The compounds with potential non-linear optic application. Synthesis 2005, 600–604. [Google Scholar]
- Takahashi, S.; Kano, K. Studies on heteroaromatic N-oxides. IX. The Synthesis and structure of benzothiazole N-oxides. Chem. Pharm. Bull. 1969, 17, 1598–1604. [Google Scholar] [CrossRef]
- Magdolen, P.; Mečiarová, M.; Toma, S. Ultrasound effect on the synthesis of 4-alkyl-(aryl)aminobenzaldehydes. Tetrahedron 2001, 57, 4781–4785. [Google Scholar] [CrossRef]
- Foltínová, P.; Sutoris, V.; Blockinger, G.; Ebringer, L. Antimicrobial effects of some benzothiazole derivatives. Folia Microbiol. (Prague) 1978, 23, 222–228. [Google Scholar]
© 2009 by the authors; licensee Molecular Diversity Preservation International, Basel, Switzerland. This article is an open-access article distributed under the terms and conditions of the Creative Commons Attribution license ( http://creativecommons.org/licenses/by/3.0/).
Share and Cite
Gajdoš, P.; Magdolen, P.; Zahradník, P.; Foltínová, P. New Conjugated Benzothiazole-N-oxides: Synthesis and Biological Activity. Molecules 2009, 14, 5382-5388. https://doi.org/10.3390/molecules14125382
Gajdoš P, Magdolen P, Zahradník P, Foltínová P. New Conjugated Benzothiazole-N-oxides: Synthesis and Biological Activity. Molecules. 2009; 14(12):5382-5388. https://doi.org/10.3390/molecules14125382
Chicago/Turabian StyleGajdoš, Peter, Peter Magdolen, Pavol Zahradník, and Pavlína Foltínová. 2009. "New Conjugated Benzothiazole-N-oxides: Synthesis and Biological Activity" Molecules 14, no. 12: 5382-5388. https://doi.org/10.3390/molecules14125382
APA StyleGajdoš, P., Magdolen, P., Zahradník, P., & Foltínová, P. (2009). New Conjugated Benzothiazole-N-oxides: Synthesis and Biological Activity. Molecules, 14(12), 5382-5388. https://doi.org/10.3390/molecules14125382
