Principal Component Regression Analysis of the Relation Between CIELAB Color and Monomeric Anthocyanins in Young Cabernet Sauvignon Wines
Abstract
:Introduction

Results and Discussion
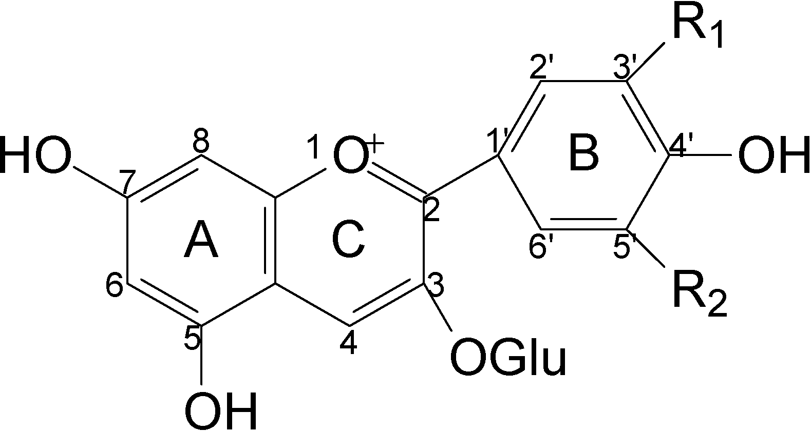
Identification of monomeric anthocyanins in Cabernet Sauvignon wine
Validity of Principal Component Regression (PCR)
| Peak No. | Rt | Anthocyanins | λmax (nm) | Molecular and Product Ions (m/z) |
|---|---|---|---|---|
| 1 | 8.047 | Dp3-glu | 524 | 465 (M+), 303 |
| 2 | 10.272 | Cy3-glu | 516 | 449 (M+), 287 |
| 3 | 11.303 | Pt3-glu | 524 | 479 (M+), 317 |
| 4 | 13.272 | Pn3-glu | 518 | 463 (M+), 301 |
| 5 | 13.885 | Mv3-glu | 528 | 493 (M+), 331 |
| 6 | 14.612 | Dp3-acet-glu | 526 | 507 (M+), 303 |
| 7 | 17.490 | Pt3-acet-glu | 522 | 521 (M+), 317 |
| 8 | 19.814 | Pn3-acet-glu | 522 | 505 (M+), 301 |
| 9 | 20.212 | Mv3-acet-glu | 528 | 535 (M+), 331 |
| 10 | 21.367 | Mv3-caff-glu | 532 | 655 (M+), 331 |
| 11 | 21.793 | Pt3-coum-glu | 530 | 625 (M+), 317 |
| 12 | 22.836 | Mv3-cis-coum-glu | 536 | 639 (M+), 331 |
| 13 | 23.625 | Pn3-coum-glu | 522 | 609 (M+), 301 |
| 14 | 23.849 | Mv3-trans-coum-glu | 530 | 639 (M+), 331 |
| Samples | L* | a* | b* | C*ab | H*ab |
|---|---|---|---|---|---|
| W1 | 0.6490** | 0.7796** | 0.1997** | 0.7649** | 0.5306** |
| W2 | 0.7623** | 0.7347** | 0.3134** | 0.7309** | 0.6013** |
| W3 | 0.7458** | 0.7885** | 0.0636 | 0.7846** | 0.4416** |
| W4 | 0.5937** | 0.6456** | 0.0073 | 0.6405** | 0.2111** |
| W5 | 0.7529** | 0.8157** | 0.0366 | 0.8197** | 0.5087** |
| Significance | a | a | c | a | b |
The CIELa*b*color of different anthocyanins
Effects of substituents of the B-ring on anthocyanins’ contribution to color
Effect of acylation of anthocyanins on color
| Peak No. | Anthocyanins | L* | a* | b* | C*ab | H*ab | ||||||||
|---|---|---|---|---|---|---|---|---|---|---|---|---|---|---|
| Mean ± STD | Mean ± STD | Mean ± STD | Mean ± STD | Mean ± STD | ||||||||||
| 2 | Cy3-glu | -2.3079±0.3995 | a | 2.8100±0.5751 | a | -0.2977±0.3165 | a | 2.6948±0.4598 | a | -1.3099±1.0863 | a | |||
| 11 | Pt3-coum-glu | -1.7715±0.3522 | b | 2.1636±0.5072 | b | -0.1840±0.1485 | ab | 2.0912±0.5269 | b | -0.8846±0.4949 | ab | |||
| 13 | Pn3-coum-glu | -1.2023±0.1639 | c | 1.4641±0.2424 | c | -0.1273±0.1024 | bc | 1.4149±0.2672 | c | -0.5971±0.3205 | bc | |||
| 12 | Mv3-cis-coum-glu | -1.1452±0.196 | c | 1.3910±0.2568 | c | -0.1175±0.0844 | bc | 1.3456±0.2818 | c | -0.5578±0.2548 | bcd | |||
| 10 | Mv3-caff-glu | -0.8647±0.0532 | d | 1.0521±0.1110 | d | -0.0972±0.0853 | bc | 1.0146±0.1225 | d | -0.4449±0.2722 | bcde | |||
| 7 | Pt3-acet-glu | -0.3247±0.0242 | e | 0.3945±0.0401 | e | -0.0376±0.0333 | c | 0.3799±0.0389 | e | -0.1715±0.1076 | cde | |||
| 4 | Pn3-glu | -0.2644±0.0272 | e | 0.3208±0.0344 | ef | -0.0323±0.0307 | c | 0.3083±0.0250 | ef | -0.1435±0.1001 | cde | |||
| 8 | Pn3-acet-glu | -0.2180±0.0255 | ef | 0.2644±0.0308 | ef | -0.0239±0.0190 | c | 0.2553±0.0353 | ef | -0.1104±0.0587 | cde | |||
| 1 | Dp3-glu | -0.1786±0.0212 | ef | 0.2172±0.0325 | ef | -0.0218±0.0211 | c | 0.2087±0.0269 | ef | -0.0981±0.0708 | cde | |||
| 6 | Dp3-acet-glu | -0.1760±0.0123 | ef | 0.2133±0.0129 | ef | -0.0200±0.0170 | c | 0.2056±0.0155 | ef | -0.0911±0.0527 | cde | |||
| 14 | Mv3-trans-coum-glu | -0.1179±0.0047 | ef | 0.1432±0.0101 | ef | -0.0139±0.0129 | c | 0.1378±0.0083 | ef | -0.0624±0.0417 | de | |||
| 3 | Pt3-glu | -0.1116±0.0085 | ef | 0.1356±0.0134 | ef | -0.0127±0.0110 | c | 0.1306±0.0139 | ef | -0.0583±0.0352 | de | |||
| 9 | Mv3-acet-glu | -0.0196±0.0012 | f | 0.0237±0.0009 | f | -0.0022±0.0019 | c | 0.0229±0.0015 | f | -0.0101±0.0057 | e | |||
| 5 | Mv3-glu | -0.0091±0.0007 | f | 0.0110±0.0005 | f | -0.0010±0.0008 | c | 0.0106±0.0008 | f | -0.0047±0.0026 | e | |||
Conclusions
Materials and methods
Analytical standards and reagents
Samples
Analysis of CIELAB values
Quantitative analysis of anathocyanins by HPLC-MS
Statistical analysis
Acknowledgements
References and Notes
- Fulcrand, H.; Benabdeljalil, C.; Rigaud, J.; Cheynier, V.; Moutounet, M. A new class of wine pigments generated by reaction between pyruvic acid and grape anthocyanins. Phytochemistry 1998, 47, 1401–1407. [Google Scholar] [CrossRef]
- Mateus, N.; Pascual-Teresa, S.; Rivas-Gonzalo, J.C.; Santos-Buelga, C.; Freitas, V. Structural diversity of anthocyanin-derived pigments in port wines. Food Chem. 2002, 76, 335–342. [Google Scholar] [CrossRef]
- Sáenz-López, R.; Fernández-Zurbano, P.; Tena, M.T. Analysis of aged red wine pigments by capillary zone electrophoresis. J. Chromatogr. A. 2004, 1052, 191–197. [Google Scholar] [CrossRef]
- Alcalde-Eon, C.; Escribano-Bailón, M.T.; Santos-Buelga, C.; Rivas-Gonzalo, J.C. Changes in the detailed pigment composition of red wine during maturity and ageing A comprehensive study. Anal. Chim. Acta 2006, 563, 238–254. [Google Scholar] [CrossRef]
- Oliveira, J.; Santos-Buelga, C.; Silva, A.M.S.; de Freitas, V.; Mateus, N. Chromatic and structural features of blue anthocyanin-derived pigments present in Port wine. Anal. Chim. Acta 2006, 563, 2–9. [Google Scholar] [CrossRef]
- Versari, A.; Boulton, R.B.; Parpinello, G.P. A comparison of analytical methods for measuring the color components of red wines. Food Chem. 2008, 106, 397–402. [Google Scholar] [CrossRef]
- Rentzsch, M.; Schwarz, M.; Winterhalter, P. Pyranoanthocyanins -an overview on structures, occurrence, and pathways of formation. Trends Food Sci. Tech. 2007, 18, 526–534. [Google Scholar] [CrossRef]
- Dalla, C.; Laureano, O. Effect of pH, sulphur dioxide, alcohol content, temperature and storage time on color composition of a young Portuguese red table wine. J. Sci. Food Agric. 1994, 65, 477–485. [Google Scholar] [CrossRef]
- Fossen, T.; Cabrita, L.; Andersen, Ø.M. Color and stability of pure anthocyanins influenced by pH including the alkaline region. Food Chem. 1998, 63, 435–440. [Google Scholar] [CrossRef]
- Boulton, R. The copigmentation of anthocyanins and its role in the color of red wine: A critical review. Am. J. Enol. Viticulture 2001, 52, 67–87. [Google Scholar]
- Darias-Martin, J.; Carrillo, M.; Diaz, E.; Boulton, R.B. Enhancement of red wine color by pre-fermentation addition of copigments. Food Chem. 2001, 73, 217–220. [Google Scholar] [CrossRef]
- Gutiérrez, I.H.; Lorenzo, E.S-P.; Espinosa, A.V. Phenolic composition and magnitude of copigmentation in young and shortly aged red wines made from the cultivars, Cabernet Sauvignon, Cencibel, and Syrah. Food Chem. 2005, 92, 269–283. [Google Scholar] [CrossRef]
- Berké, B.; de Freitas, V.A.P. Influence of procyanidin structures on their ability to complex with oenin. Food Chem. 2005, 90, 453–460. [Google Scholar] [CrossRef]
- Esparza, I.; Santamaría, C.; Fernández, J.M. Chromatic characterisation of three consecutive vintages of Vitis vinifera red wine: Effect of dilution and iron addition. Anal. Chim. Acta 2006, 563, 331–337. [Google Scholar] [CrossRef]
- Pérez-Magariño, S.; González-San José, M.L. Polyphenols and color variability of red wines made from grapes harvested at different ripeness grade. Food Chem. 2006, 96, 197–208. [Google Scholar] [CrossRef]
- Heredia, F.J.; Francia-Aricha, E.M.; Rivas-Gonzalo, J.C.; Vicario, I.M.; Santos-Buelga, C. Chromatic characterization of anthocyanins from red grapes-I. pH effect. Food Chem. 1998, 63, 491–498. [Google Scholar] [CrossRef]
- Cabrita, L.; Fossen, T.; Andersen, Ø.M. Colour and stability of the six common anthocyanidin 3-glucosides in aqueous solutions. Food Chem. 2000, 68, 101–107. [Google Scholar] [CrossRef]
- Giusti, M.M.; Wrolstad, R.E. Acylated anthocyanins from edible sources and their applications in food systems. Biochem. Eng. J. 2003, 14, 217–225. [Google Scholar] [CrossRef]
- Romero, C.; Bakker, J. Anthocyanin and colour evolution during maturation of four port wines: effect of pyruvic acid addition. J. Sci. Food Agric. 2000, 81, 252–260. [Google Scholar] [CrossRef]
- Håkansson, A.E.; Pardon, K.; Hayasaka, Y.; de Sa, M.; Herderich, M. Structures and colour properties of new red wine pigments. Tetrahedron Lett. 2003, 44, 4887–4891. [Google Scholar] [CrossRef]
- Gao, L.; Girard, B.; Mazza, G.; Reynolds, A.G. Changes in anthocyanins and color characteristics of Pinot Noir wines during different vinification processed. J. Agric. Food Chem. 1997, 45, 2003–2008. [Google Scholar] [CrossRef]
- Monagas, M.; Martín-Álvarez, P.J.; Bartolomé, B.; Gómez-Cordovés, C. Statistical interpretation of the color parameters of red wines in function of their phenolic composition during aging in bottle. Eur. Food Res. Technol. 2005, 222, 702–709. [Google Scholar]
- Cano-López, M.; Pardo-Minguez, F.; López-Roca, J.M.; Gómez-Plaza, E. Effect of microoxygenation on anthocyanin and derived pigment content and chromatic characteristics of red wines. Am. J. Enol. Viticulture 2006, 57, 325–331. [Google Scholar]
- Preys, S.; Mazerolles, G.; Courcoux, P.; Samson, A.; Fischer, U.; Hanafi, M.; Bertrand, D.; Cheynier, V. Relationship between polyphenolic composition and some sensory properties in red wines using multiway analyses. Anal. Chim. Acta 2006, 563, 126–136. [Google Scholar] [CrossRef]
- Gómez-Míguez, M.; González-Miret, M.L.; Heredia, F.J. Evolution of color and anthocyanin composition of Syrah wines elaborated with pre-fermentative cold maceration. J. Food Eng. 2007, 79, 271–278. [Google Scholar] [CrossRef]
- Xie, Y.L.; Kalivas, J.H. Evaluation of principal component selection methods to form a global prediction model by principal component regression. Anal. Chim. Acta 1997, 348, 19–27. [Google Scholar] [CrossRef]
- Rougoor, C.W.; Sundaram, R.; van Arendonk, J.A.M. The relation between breeding management and 305-day milk production determined via principal components regression and partial least squares. Livest. Prod. Sci. 2000, 66, 71–83. [Google Scholar] [CrossRef]
- Zhang, M.H.; Xu, Q.S.; Massart, D.L. Robust principal components regression based on principal sensitivity vectors. Chemometr. Intell. Lab. 2003, 67, 175–185. [Google Scholar] [CrossRef]
- Preys, S.; Mazerolles, G.; Courcoux, P.; Samson, A.; Fischer, U.; Hanafi, M.; Bertrand, D.; Cheynier, V. Relationship between polyphenolic composition and some sensory properties in red wines using multiway analyses. Anal. Chim. Acta 2006, 563, 126–136. [Google Scholar] [CrossRef]
- Vivar-Quintana, A.M.; Santos-Buelga, C.; Rivas-Gonzalo, J.C. Anthocyanin-derived pigments and colour of red wines. Anal. Chim. Acta 2002, 458, 147–155. [Google Scholar] [CrossRef]
- Torskangerpoll, K.; Nøbæk, R.; Nodland, E.; Øvstedal, D.O.; Andersen, Ø.M. Anthocyanin content of Tulipa species and cultivars and its impact on tepal colours. Biochem. Syst. Ecol. 2005, 33, 499–510. [Google Scholar] [CrossRef]
- Dangles, O.; Saito, N.; Brouillard, R. Anthocyanin intramolecular copigment effect. Phytochemistry 1993, 34, 119–124. [Google Scholar] [CrossRef]
- Figueiredo, P.; Elhabiri, M.; Toki, K.; Saito, N.; Dangles, O.; Brouillard, R. New aspects of anthocyanin complexation. Intramolecular copigmentation as a means for colour loss? Phytochemistry 1996, 41, 301–308. [Google Scholar] [CrossRef]
- Figueiredo, P.; George, F.; Tatsuzawa, F.; Toki, K.; Saito, N.; Brouillard, R. New features of intramolecular copigmentation by acylated anthocyanins. Phytochemistry 1999, 51, 125–132. [Google Scholar] [CrossRef]
- George, F.; Figueiredo, P.; Toki, K.; Tatsuzawa, F.; Saito, N.; Brouillard, R. Influence of trans-cis isomerisation of coumaric acid substituents on colour variance and stabilisation in anthocyanins. Phytochemistry 2001, 57, 791–795. [Google Scholar] [CrossRef]
- Schwarz, M.; Winterhalter, P. A novel synthetic route to substituted pyranoanthocyanins with unique colour properties. Tetrahedron Lett. 2003, 44, 7583–7587. [Google Scholar] [CrossRef]
- Ayala, F.; Echávarri, J.F.; Negueruela, A.I. A new simplified method for measuring the color of wines: I. Red and Rosé wines. Am. J. Enol. Viticulture 1997, 48, 357–363. [Google Scholar]
- Ayala, F.; Echávarri, J.F.; Negueruela, A.I. A new simplified method for measuring the color of wines: III. All wines and brandies. Am. J. Enol. Viticulture 1999, 50, 359–363. [Google Scholar]
- Sample Availability: Not available.
© 2008 by the authors. Licensee Molecular Diversity Preservation International, Basel, Switzerland. This article is an open-access article distributed under the terms and conditions of the Creative Commons Attribution license ( http://creativecommons.org/licenses/by/3.0/).
Share and Cite
Han, F.-L.; Zhang, W.-N.; Pan, Q.-H.; Zheng, C.-R.; Chen, H.-Y.; Duan, C.-Q. Principal Component Regression Analysis of the Relation Between CIELAB Color and Monomeric Anthocyanins in Young Cabernet Sauvignon Wines. Molecules 2008, 13, 2859-2870. https://doi.org/10.3390/molecules13112859
Han F-L, Zhang W-N, Pan Q-H, Zheng C-R, Chen H-Y, Duan C-Q. Principal Component Regression Analysis of the Relation Between CIELAB Color and Monomeric Anthocyanins in Young Cabernet Sauvignon Wines. Molecules. 2008; 13(11):2859-2870. https://doi.org/10.3390/molecules13112859
Chicago/Turabian StyleHan, Fu-Liang, Wen-Na Zhang, Qiu-Hong Pan, Cheng-Rong Zheng, Hai-Yan Chen, and Chang-Qing Duan. 2008. "Principal Component Regression Analysis of the Relation Between CIELAB Color and Monomeric Anthocyanins in Young Cabernet Sauvignon Wines" Molecules 13, no. 11: 2859-2870. https://doi.org/10.3390/molecules13112859
APA StyleHan, F.-L., Zhang, W.-N., Pan, Q.-H., Zheng, C.-R., Chen, H.-Y., & Duan, C.-Q. (2008). Principal Component Regression Analysis of the Relation Between CIELAB Color and Monomeric Anthocyanins in Young Cabernet Sauvignon Wines. Molecules, 13(11), 2859-2870. https://doi.org/10.3390/molecules13112859
