Antioxidant Activity of a New Aromatic Geranyl Derivative of the Resinous Exudates from Heliotropium glutinosum Phil.
Abstract
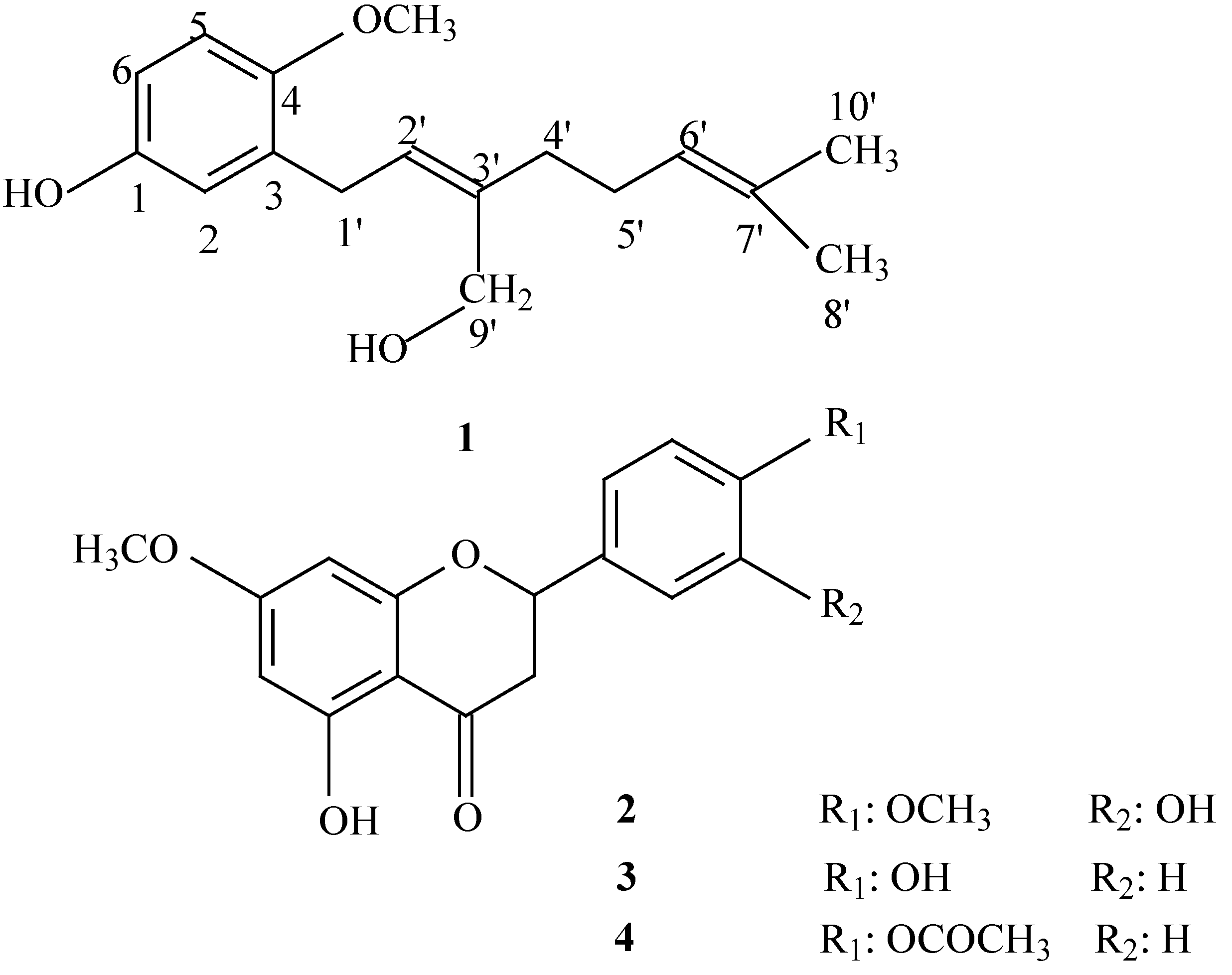
:Introduction
Results and Discussion

Antioxidant activity
| Compounds | Number of phenolic groups | ABT SFRE TRE | DPPH FRE TRE |
|---|---|---|---|
| 1 | 1 | 1.6 2.4 | 0.003 0.057 |
| 2 | 2 | 1.5 2.7 | 0.007 0.013 |
| 3 | 1 | 0.02 1.3 | 0.005 0.006 |
| 4 | 2 | 2.3 11.8 | 0.010 0.057 |
| Trolox® | 1 | 1.0 1.0 | 1.0 1.0 |
| Concentration of antioxidants present in the extracts. | ABTS | DPPH |
|---|---|---|
| Resin of H. glutinosum | 1.9 | 0.14 |
| Resin of H. huascoense | 2.0 | 0.058 |
| Resin of H. filifolium | 2.4 | 0.28 |
Conclusions
Experimental Section
General
Plant material
Extraction and isolation
Acknowledgments
References
- Lissi, E.; Modak, B.; Torres, R.; Escobar, J.; Urzúa, A. Total antioxidant potential of resinous exudates from Heliotropium species and a comparison of the ABTS and DPPH methods. Free Rad. Res. 1999, 30, 471–477. [Google Scholar]
- Villarroel, L.; Torres, R.; Urzúa, A. Compuestos fenólicos en el exudado resinoso de Heliotropium stenophyllum. Determinación estructural y efectos antialimentario y antioxidantes. Bol. Soc. Chil. Quím. 1991, 36, 169–174. [Google Scholar]
- Urzúa, A.; Villarroel, L.; Torres, R.; Teillier, S. Flavonoids in the resinous exudate of Chilean Heliotropium species from Cochranea Section. Biochem. Syst. Ecol. 1993, 21, 744. [Google Scholar]
- Torres, R.; Urzúa, A.; Villarroel, L.; Delle Monache, F.; Gacs-Baitz, E. Filifolinol, a rearranged geranyl aromatic derivative from the resinous exudates of Heliotropium filifolium. Phytochemestry. 1994, 36, 249–250. [Google Scholar] [CrossRef]
- Torres, R.; Modak, B.; Villarroel, L.; Urzúa, A.; Delle Monache, F.; Sanchez-Ferrando, F. Flavonoides del exudado resinoso de Heliotropium sinuatum. Bol. Soc. Chil. Quím. 1996, 41, 195–197. [Google Scholar]
- Urzúa, A.; Modak, B.; Villarroel, L.; Torres, R.; Andrade, L. Comparative flavonoid composition of the resinous exudates from Heliotropium chenopodiaceum var. chenopodiaceum and H. chenopodiaceum var. ericoideum. Biochem. Syst. Ecol. 1998, 26, 127–130. [Google Scholar]
- Urzúa, A.; Modak, B.; Villarroel, L.; Torres, R.; Andrade, L.; Mendoza, L.; Wilkens, M. External flavonoids from Heliotropium megalanthum and H. huascoense (Boraginaceae). Bol. Soc. Chil. Quím. 2000, 45, 23–29. [Google Scholar]
- Urzúa, A.; Modak, B.; Torres, R. Identification of a new aromatic geranyl derivative in the resinous exudate of Heliotropium filifolium (Boraginaceae). Bol. Soc. Chil. Quím. 2001, 46, 175–178. [Google Scholar]
- Modak, B.; Torres, R.; Lissi, E.; Delle Monache, F. Antioxidant capacity of flavonoids and a new arylphenol of the resinous exudates from Heliotropium sinuatum. Nat. Prod. Res. 2003, 17, 403–407. [Google Scholar]
- Modak, B.; Contreras, L.; González-Nilo, D.; Torres, R. Structure-Antioxidant Activity relationships of flavonoids isolated of resinous exudates from Heliotropium sinuatum. Bioorg. Med. Chem. Lett. 2005, 15, 309–312. [Google Scholar] [CrossRef] [PubMed]
- Aliaga, C.; Lissi, E. Reactions of the radical cation derived from 2,2`-azinobis(3-ethylbenzothiazoline-6-sulfonicacid) (ABTS .+) with amino acids. Kinetics and mechanism. Can. J. Chem. 2000, 78, 1052–1059. [Google Scholar]
- Leu, T. The molecular mechanism for the antitumorigenic effect of curcumin. Curr. Med. Chem. Anti-Can. Agents. 2000, 2, 357–370. [Google Scholar]
- Campos, A.; Lissi, E. Evaluation of the antioxidant capacity of herbal teas by a procedure based on the bleaching of ABTS radical cations. Bol. Soc. Chil. Quím. 1995, 40, 375–381. [Google Scholar]
- Perez, D.; Leighton, F.; Aspee, A.; Aliaga, C.; Lissi, E. A comparison of methods employed to evaluate antioxidant capabilities. Biol. Res. 2000, 33, 71–77. [Google Scholar] [CrossRef] [PubMed]
- Sample Availability: Samples of the compound 1 are available from authors.
© 2007 by MDPI (http://www.mdpi.org). Reproduction is permitted for noncommercial purposes.
Share and Cite
Modak, B.; Rojas, M.; Torres, R.; Rodilla, J.; Luebert, F. Antioxidant Activity of a New Aromatic Geranyl Derivative of the Resinous Exudates from Heliotropium glutinosum Phil. Molecules 2007, 12, 1057-1063. https://doi.org/10.3390/12051057
Modak B, Rojas M, Torres R, Rodilla J, Luebert F. Antioxidant Activity of a New Aromatic Geranyl Derivative of the Resinous Exudates from Heliotropium glutinosum Phil. Molecules. 2007; 12(5):1057-1063. https://doi.org/10.3390/12051057
Chicago/Turabian StyleModak, Brenda, Macarena Rojas, René Torres, Jesús Rodilla, and Federico Luebert. 2007. "Antioxidant Activity of a New Aromatic Geranyl Derivative of the Resinous Exudates from Heliotropium glutinosum Phil." Molecules 12, no. 5: 1057-1063. https://doi.org/10.3390/12051057
APA StyleModak, B., Rojas, M., Torres, R., Rodilla, J., & Luebert, F. (2007). Antioxidant Activity of a New Aromatic Geranyl Derivative of the Resinous Exudates from Heliotropium glutinosum Phil. Molecules, 12(5), 1057-1063. https://doi.org/10.3390/12051057
